PC_6.1B_Notes                                                February 03, 2012




                6.1 Continued…
                Law of Sines

                Objective:  Use the law of sines to solve 
                the ambiguous case of a triangle


                Standard: Trigonometry 13.0, 14.0




                                                                                 1
PC_6.1B_Notes                                              February 03, 2012




                The Ambiguous Case: SSA
                SSA is not a congruency property from 
                Geometry, so we need to be careful 
                when solving a triangle given two sides 
                and the NON­included angle.

                Three Possible Outcomes:




                                                                               2
PC_6.1B_Notes                                        February 03, 2012



                Here's how 2 triangles 
                are formed.
                                                0°
                                          234



                       12        19

                                  52°




                                                                         3
PC_6.1B_Notes                                                               February 03, 2012




                The Test for SSA ­
                How you determine the number of solutions:
                If opp ≥ adj, then __________

                If opp < adj, then __________ 
                The second solution:                       Then find B , 
                                                                       1
                A1 is the _______ angle found.             C , and c  
                                                            1       1

                Second solution angle A2= _______
                                    Then find B2, C2, and c2 

                You will have to complete the problem twice!


                                                                                                4
PC_6.1B_Notes                                                      February 03, 2012

                Ex. 1﴿ Use the Law of Sines to find the missing 
                sides and angles.      Solutions?
                A=48°, a=11.4, c=12.8




                                                                                       5
PC_6.1B_Notes                                                      February 03, 2012


                Ex. 2﴿ Use the Law of Sines to find the missing 
                sides and angles.    Solutions?
                A=76°, a=18, c=20




                                                                                       6
PC_6.1B_Notes            February 03, 2012


                Ex. 3)




                                             7
PC_6.1B_Notes            February 03, 2012


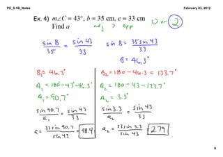
                Ex. 4)




                                             8
PC_6.1B_Notes                      February 03, 2012




                How do you know?

                0 solutions:


                1 solution:


                2 solutions:




                                                       9
PC_6.1B_Notes                    February 03, 2012




                Assignment:

                LOS: The
                Ambiguous Case
                WS

                                                     10
PC_6.1B_Notes   February 03, 2012




                                    11
PC_6.1B_Notes   February 03, 2012




                                    12
PC_6.1B_Notes   February 03, 2012




                                    13

Pc 6.1 b_notes

  • 1.
    PC_6.1B_Notes February 03, 2012 6.1 Continued… Law of Sines Objective:  Use the law of sines to solve  the ambiguous case of a triangle Standard: Trigonometry 13.0, 14.0 1
  • 2.
    PC_6.1B_Notes February 03, 2012 The Ambiguous Case: SSA SSA is not a congruency property from  Geometry, so we need to be careful  when solving a triangle given two sides  and the NON­included angle. Three Possible Outcomes: 2
  • 3.
    PC_6.1B_Notes February 03, 2012 Here's how 2 triangles  are formed. 0° 234 12 19 52° 3
  • 4.
    PC_6.1B_Notes February 03, 2012 The Test for SSA ­ How you determine the number of solutions: If opp ≥ adj, then __________ If opp < adj, then __________  The second solution:  Then find B ,  1 A1 is the _______ angle found. C , and c   1 1 Second solution angle A2= _______ Then find B2, C2, and c2  You will have to complete the problem twice! 4
  • 5.
    PC_6.1B_Notes February 03, 2012 Ex. 1﴿ Use the Law of Sines to find the missing  sides and angles. Solutions? A=48°, a=11.4, c=12.8 5
  • 6.
    PC_6.1B_Notes February 03, 2012 Ex. 2﴿ Use the Law of Sines to find the missing  sides and angles. Solutions? A=76°, a=18, c=20 6
  • 7.
    PC_6.1B_Notes February 03, 2012 Ex. 3) 7
  • 8.
    PC_6.1B_Notes February 03, 2012 Ex. 4) 8
  • 9.
    PC_6.1B_Notes February 03, 2012 How do you know? 0 solutions: 1 solution: 2 solutions: 9
  • 10.
    PC_6.1B_Notes February 03, 2012 Assignment: LOS: The Ambiguous Case WS 10
  • 11.
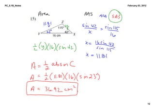
    PC_6.1B_Notes February 03, 2012 11
  • 12.
    PC_6.1B_Notes February 03, 2012 12
  • 13.
    PC_6.1B_Notes February 03, 2012 13