Embed presentation
Download to read offline














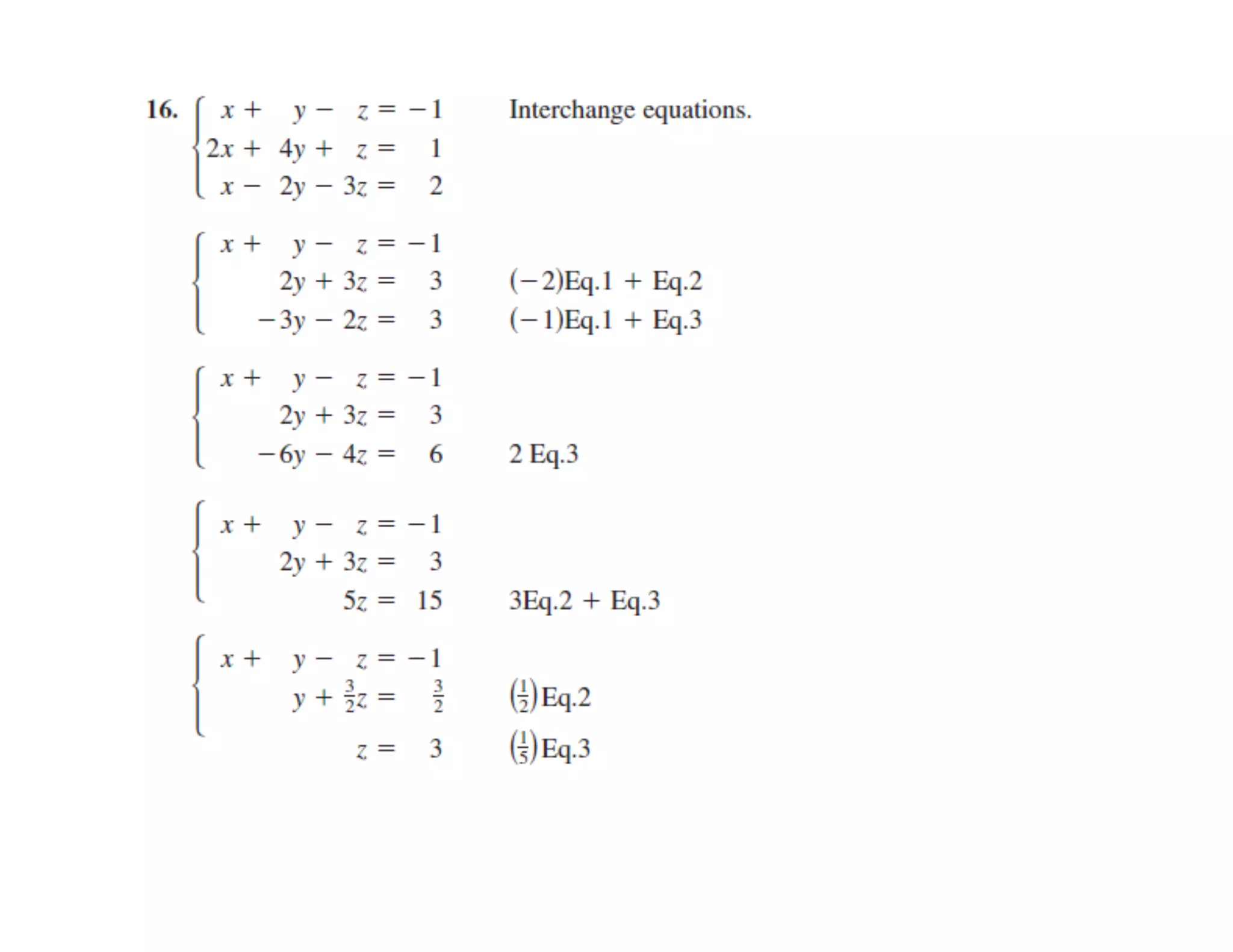
This document discusses using matrices to solve systems of equations. It defines what a matrix is and explains how to write a system of equations as an augmented matrix. It outlines the steps of using elementary row operations to solve the system, including examples working through row operations and solving a sample system. Students are assigned practice problems from the text and reminded there will be a quiz on Monday.












