April 11, 2012




9.5 The Binomial
Theorem
Essential Question:
How do you expand (x+y)n?




                                             1
April 11, 2012




Our 9.5 Objectives (Quiz
Topics)
Objectives:
• evaluate combinations (group notation) to determine
binomial coefficients
• Create Pascal's Triangle to find binomial coefficients
• Expand binomials with Pascal's Triangle or the
Binomial Theorem
• Determine specific terms of a binomial expansion




                                                                            2
April 11, 2012



What is "binomial expansion"?




                                                 3
April 11, 2012




Patterns in binomial expansion.
1.

2.

3.

4.

                                                   4
April 11, 2012




The Binomial Theorem




                                        5
April 11, 2012




Evaluating Combinations
Ex. 1) Evaluate.

a)                 b)




c)                 d)




e)



                                           6
April 11, 2012




Creating Pascal's Triangle




                                              7
April 11, 2012




Expanding Binomials

1)

2)

3)



                                       8
April 11, 2012


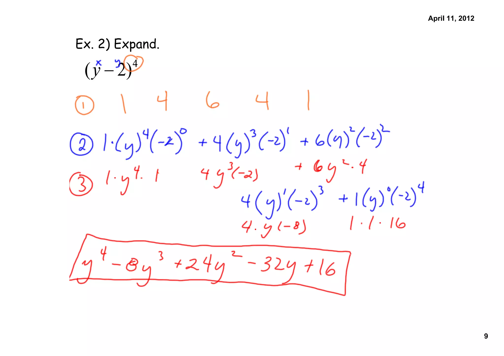
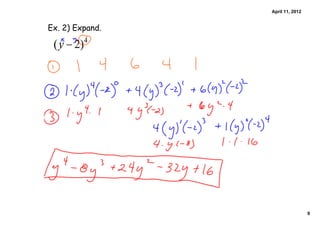
Ex. 2) Expand.




                                  9
April 11, 2012


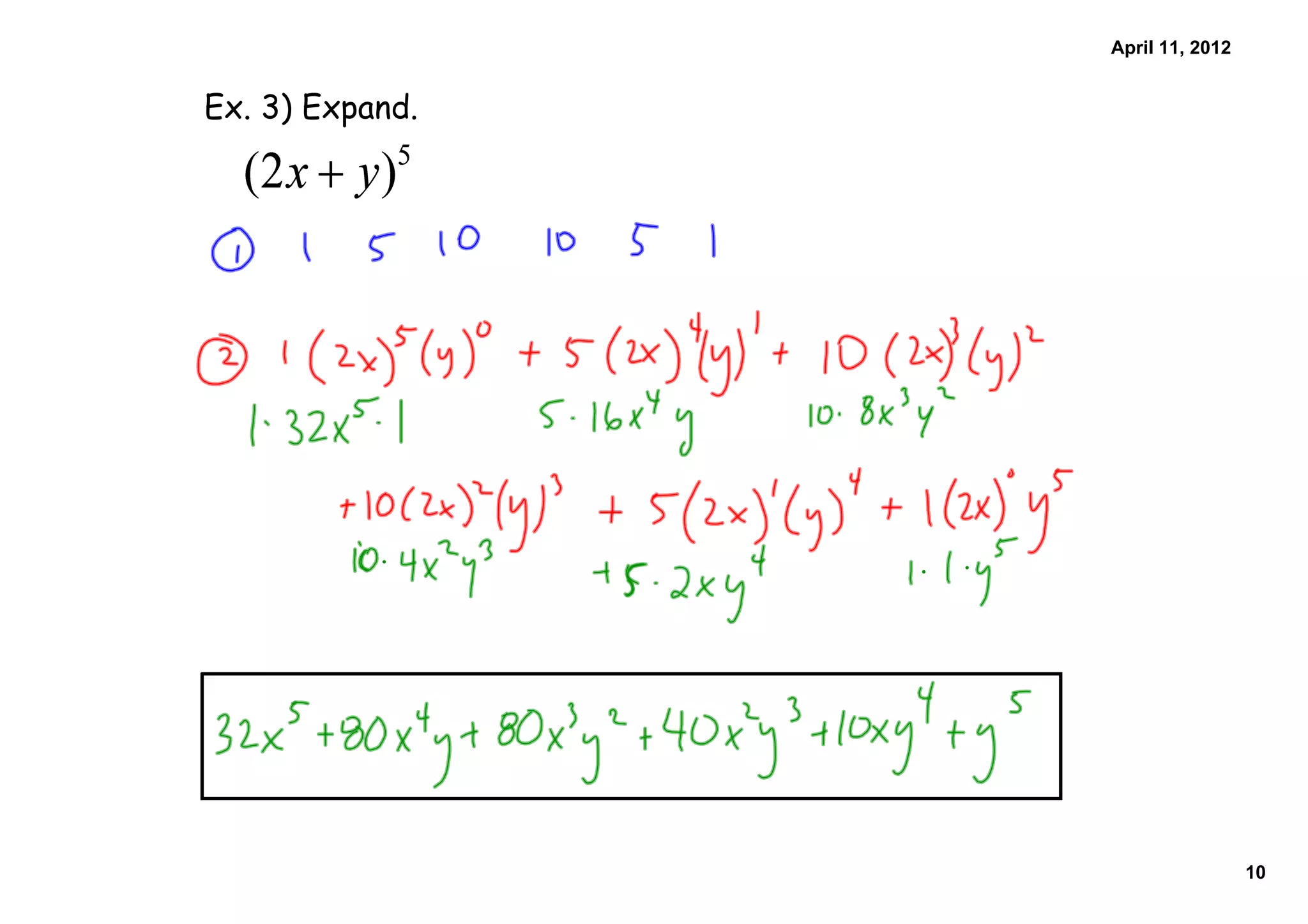
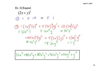
Ex. 3) Expand.




                                  10
April 11, 2012


Ex. 4) Expand.




                                  11
April 11, 2012


Ex. 5) What is the fifth term of (a - 2b)8?




                                                               12
April 11, 2012



Ex. 6) Find the coefficient of the term
containing a4b7 in the expansion of (2a - 3b)11.




                                                                    13
April 11, 2012




Assignment:

9.5 p. 688 #1-13 (odd), 17, 23-29
(odd), 33, 39, 41, 47, 49, 67




                                                     14
April 11, 2012




                 15

Pc 9.5 notes