February 17, 2012




6.5 Notes: Part 2
DeMoivre's Theorem and 
Nth Roots
Objective: Use DeMoivre's Theorem to 
find complex numbers raised to a power.

Standard: Math Analysis 2.0




                                                              1
February 17, 2012


Review:
Trig form:

Multiplying Complex Numbers in Trig 
form:



Dividing Complex Numbers in Trig form:




                                                             2
February 17, 2012




DeMoirve's Theorem

      n
﴾a+bi﴿  =




                                         3
February 17, 2012


                          6
Ex. 1﴿ Evaluate ﴾1 + i﴿




                                                  4
February 17, 2012



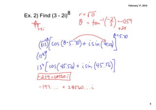
Ex. 2﴿ Find ﴾3 ­ 2i﴿ 8




                                             5
February 17, 2012



Ex. 4﴿ Find




                                  6
February 17, 2012




Nth Roots
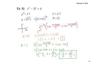
       4
Solve x +1=0




                                   7
February 17, 2012




Nth Roots Theorem




                                        8
February 17, 2012


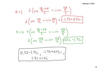
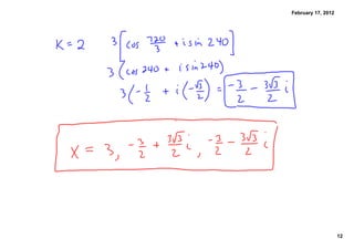
Ex. 5﴿ Find the fourth root of 625i.




                                                           9
February 17, 2012




                    10
February 17, 2012



Ex. 6﴿




                             11
February 17, 2012




                    12
February 17, 2012



Ex. 7﴿ 




                              13
February 17, 2012




                    14
February 17, 2012




Assignment:


  6.5B p. 479 #71­103 
  ﴾odd﴿




                                             15
February 17, 2012




                    16