Embed presentation
Downloaded 17 times












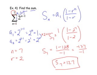
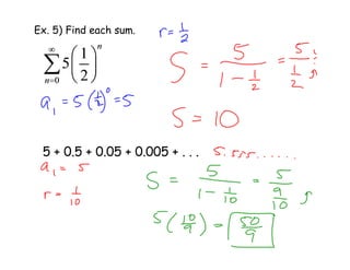
This document introduces geometric sequences and series. It defines a geometric sequence as a sequence where each term after the first is obtained by multiplying the previous term by a fixed number called the common ratio. It provides examples of finding the common ratio of a geometric sequence, finding specific terms, and calculating the sum of finite and infinite geometric series. Students are assigned practice problems finding terms and sums of various geometric sequences and series.










