PC 4.4 Notes                                                         10/12-13/2010




            4.4: Trigonometric Functions of
            Any Angle
            Find the sine, cosine, and tangent of the following
            angles and determine what quadrant they terminate in.

            Angle           Quadrant       sin       cos       tan
            130°        II             0.766     –0.643    –1.192
            290°        IV             –0.940    0.342     –2.747
            5π/4        III            –0.707    –0.707    1
            2π/9        I              0.643     0.766     0.839




Fjelstrom
PC 4.4 Notes   10/12-13/2010




Fjelstrom
PC 4.4 Notes                                10/12-13/2010




               Remember that…

               All Students Take Calculus




Fjelstrom
PC 4.4 Notes                                                 10/12-13/2010




            Ex. 1) (–2, 3) is a point on the terminal side
            of ϴ. Find the six trigonometric functions
            for ϴ.




Fjelstrom
PC 4.4 Notes                                       10/12-13/2010




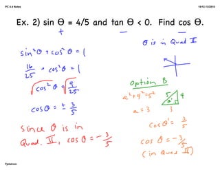
        Ex. 2) sin ϴ = 4/5 and tan ϴ < 0. Find cos ϴ.




Fjelstrom
PC 4.4 Notes                                      10/12-13/2010




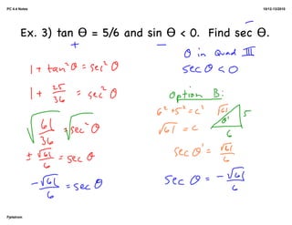
       Ex. 3) tan ϴ = 5/6 and sin ϴ < 0. Find sec ϴ.




Fjelstrom
PC 4.4 Notes                                                                                     10/12-13/2010




            The one-handed trick…
            When evaluating trig
            functions:
            Step 1) Find the trig
            function for the
            reference angle
            Step 2) Determine the
            sign (+ or -) for the
            value based on the
            terminating quadrant.
               More info at http://function-of-time.blogspot.com/2009/08/trig-reference-angle-
               cheat-hand.html

Fjelstrom
PC 4.4 Notes                                    10/12-13/2010



        Ex. 5) Evaluate without a calculator.
        (BM 10)




Fjelstrom
PC 4.4 Notes                                           10/12-13/2010




            Going Backwards…
        Ex. 6) Find the value(s) for ϴ that make the
        statement true. (BM 11)




Fjelstrom
PC 4.4 Notes                                   10/12-13/2010




               Assignment:


               #16 p. 318 #1, 5, 7, 11, 14,
               17-23 (odd), 29-57 (odd), 61,
               62, 81-85 (odd)



Fjelstrom
PC 4.4 Notes   10/12-13/2010




Fjelstrom
PC 4.4 Notes   10/12-13/2010




Fjelstrom

Pc 4.4 notes Trig of any angle

  • 1.
    PC 4.4 Notes 10/12-13/2010 4.4: Trigonometric Functions of Any Angle Find the sine, cosine, and tangent of the following angles and determine what quadrant they terminate in. Angle Quadrant sin cos tan 130° II 0.766 –0.643 –1.192 290° IV –0.940 0.342 –2.747 5π/4 III –0.707 –0.707 1 2π/9 I 0.643 0.766 0.839 Fjelstrom
  • 2.
    PC 4.4 Notes 10/12-13/2010 Fjelstrom
  • 3.
    PC 4.4 Notes 10/12-13/2010 Remember that… All Students Take Calculus Fjelstrom
  • 4.
    PC 4.4 Notes 10/12-13/2010 Ex. 1) (–2, 3) is a point on the terminal side of ϴ. Find the six trigonometric functions for ϴ. Fjelstrom
  • 5.
    PC 4.4 Notes 10/12-13/2010 Ex. 2) sin ϴ = 4/5 and tan ϴ < 0. Find cos ϴ. Fjelstrom
  • 6.
    PC 4.4 Notes 10/12-13/2010 Ex. 3) tan ϴ = 5/6 and sin ϴ < 0. Find sec ϴ. Fjelstrom
  • 7.
    PC 4.4 Notes 10/12-13/2010 The one-handed trick… When evaluating trig functions: Step 1) Find the trig function for the reference angle Step 2) Determine the sign (+ or -) for the value based on the terminating quadrant. More info at http://function-of-time.blogspot.com/2009/08/trig-reference-angle- cheat-hand.html Fjelstrom
  • 8.
    PC 4.4 Notes 10/12-13/2010 Ex. 5) Evaluate without a calculator. (BM 10) Fjelstrom
  • 9.
    PC 4.4 Notes 10/12-13/2010 Going Backwards… Ex. 6) Find the value(s) for ϴ that make the statement true. (BM 11) Fjelstrom
  • 10.
    PC 4.4 Notes 10/12-13/2010 Assignment: #16 p. 318 #1, 5, 7, 11, 14, 17-23 (odd), 29-57 (odd), 61, 62, 81-85 (odd) Fjelstrom
  • 11.
    PC 4.4 Notes 10/12-13/2010 Fjelstrom
  • 12.
    PC 4.4 Notes 10/12-13/2010 Fjelstrom