NIPER GUWAHATI 2016
OXIDATIVE STRESS & ESTIMATION OF BIOMARKERS FOR ALZHEIMER’S DISEASE Page 1
OXIDATIVE STRESS& ITS ROLE IN ALZHEIMER’S
DISEASE
1.INTRODUCTION
An antioxidant is a molecule that inhibits the oxidation of other molecules in human body.
Antioxidants protect the body from damage caused by harmful molecules called free radicals.
This damage is a factor in the development of blood vessel disease atherosclerosis, cancer and
other conditions.
1.1What is a free radical?
 Free radical is an atom that has at list one unpaired electron.
 Free radical are released are during normal metabolism, as well as by pollution, smoking,
radiation & stress ,air pollution, Alcohol intake , Toxins, High blood sugar levels etc.
 Under normal circumstance the body keeps them in check.
 These are highly reactive chemical entities that have a single unpaired electron in their outer
most orbits.
 Under certain conditions can be highly toxic to the cells.
 Generally unstable and try to become stable, either by accepting or donating an electron.
Fig 1.1.Free Radicals Formation. Human Aging Free Radical Theory
NIPER GUWAHATI 2016
OXIDATIVE STRESS & ESTIMATION OF BIOMARKERS FOR ALZHEIMER’S DISEASE Page 2
1.2 TYPES OF FREE RADICALS
 Superoxide radical
 Hydroxide radical
 Nitric oxide radical
 Peroxide radicals
 H2O2 (non radical).etc
1.3 What are Reactive oxygen species?
Reactive Oxygen Species (ROS) is a phrase used to describe a number of reactive molecules and
free radicals derived from molecular oxygen. The production of oxygen based radicals is the
bane to all aerobic species. These molecules, produced as by-products during the mitochondrial
electron transport of aerobic respiration or by oxidoreductase enzymes and metal catalyzed
oxidation, have the potential to cause a number of deleterious events.
It was originally thought that only phagocytic cells were responsible for ROS production as their
part in host cell defense mechanisms. Recent work has demonstrated that ROS have a role in cell
signaling, including; apoptosis; gene expression; and the activation of cell signalingcascades [1].
ROS are formed as necessary intermediates of metal catalyzed oxidation reactions. Atomic
oxygen has two unpaired electrons in separate orbits in its outer electron shell. This electron
NIPER GUWAHATI 2016
OXIDATIVE STRESS & ESTIMATION OF BIOMARKERS FOR ALZHEIMER’S DISEASE Page 3
structure makes oxygen susceptible to radical formation. The sequential reduction of oxygen
through the addition of electrons leads to the formation of a number of ROS including:
superoxide; hydrogen peroxide; hydroxyl radical; hydroxyl ion; and nitric oxide.
1. Superoxide
Superoxide radical (O2¯•) is formed by reduction of oxygen molecule with one electron. In
aqueous solution it is a weak oxidant and acts mainly on ascorbic acid and thiol compounds.
Superoxide radical is a very strong reducing agent and can reduce certain iron complexes, such
as cytochrome C[6]. In vivo, it is decomposed by SOD to hydrogen peroxide and oxygen
2. Hydroxyl radical
Particularly, the most reactive hydroxyl radical, when generated in excess, causes cellular
damage leading to cell death. Hydroxyl radical is generated via the Fenton reaction from
hydrogen peroxide in the presence of ferrous ions or via the Heber- Weiss reaction from
hydrogen peroxide and superoxide radical [2].
3. Nitric oxide
The free radical NO• is synthesized from amino acid L-arginine by vascular endothelial cells,
phagocytes, certain cells in the brain and other cell’s types. Nitric oxide is a vasodilator agent
and possibly an important neurotransmitter. The NO• contains an unpaired electron and is
paramagnetic, it rapidly reacts with O2¯ to form peroxynitrite anion (ONOO¯) in high yield [3].
4. Hydrogen peroxide
Hydrogen peroxide (H2O2) is formed in two ways: indirectly through superoxide anion
dismutation, and directly in some oxidative reactions associated with the transfer of two
electrons to the oxygen. Hydrogen peroxide is a relatively stable in water and appears as a weak
oxidizer and reductant. It is readily diffuses through cell membranes and in the presence of ions
with variable valency it is formed the highly toxic for the cell –hydroxyl radicals [4]. Hydrogen
peroxide is converted by the glutathione peroxidase enzyme to form water and oxygen, thus
preventing the accumulation of precursor to free –radical biosynthesis.
1.4 Whatis oxidative stress?
Oxidative stress is defined as a “state in which oxidation exceeds the antioxidant systems in the
body secondary to a loss of the balance between them.” Disturbance in the balance between the
production of reactive oxygen species (free radicals) and antioxidant defenses.Oxidative stress is
the result of an imbalance in pro-oxidant/antioxidant homeostasis that leads to the generation
of toxic reactive oxygen species [5].oxidative stress has been implicated in the ageing process &
many diseases as shown in below fig.
NIPER GUWAHATI 2016
OXIDATIVE STRESS & ESTIMATION OF BIOMARKERS FOR ALZHEIMER’S DISEASE Page 4
Fig 1.2 Role of oxidative stress in various diseases (© 2015 by CorinGreenBioITTeam.)
1.4.2. Sources of oxidative stress and defensive mechanisms
NIPER GUWAHATI 2016
OXIDATIVE STRESS & ESTIMATION OF BIOMARKERS FOR ALZHEIMER’S DISEASE Page 5
2. CLASSIFICATION OF ANTIOXIDANTS
-
ANTIOXIDANTS
Enzymatic antioxidants Non enzymatic antioxidants
Primary enzymes
 SOD,
 Catalase,
 Glutathione peroxidase
 Glutathione reductase
Secondary enzymes
 Glutathione reductase
 Glucose 6-phosphate
dehydrogenase
Vitamins
VitaminA,VitaminC
VitaminE,VitaminK
Minerals
Zinc,Selenium
Organosulfur
compound
Allium, allyl sulfide,
indoles
Carotenoids
β-carotene,lycopene,
Lutein,
Antioxidant cofactors
Coenzyme Q10
Low molecular weightAntioxidants
Glutathione,uricacid
Polyphenols
Flavonoids Phenolicacids
Hydroxy cinnamic acids
Ferulic, p-coumaric
Hydroxy benzoicacids
Gallic aid, ellagic acid
Flavonols
quercetin
Isoflavonoids
genistein
Flavonols
catechin
Flavanones
Hesperitin
Anthocyanidins
Cyanidin, pelagonidin
NIPER GUWAHATI 2016
OXIDATIVE STRESS & ESTIMATION OF BIOMARKERS FOR ALZHEIMER’S DISEASE Page 6
2.1Antioxidant defense system(ADS).
A biological antioxidant may be defined as a substance (present in low concentrations compared
to an oxidizable substrate) that significantly delays or inhibits oxidation of a substrate.
Substances that neutralize potential ill effect of free radicals are generally grouped in so called
an Antioxidant defense system (ADS)[6, 7].
2.2 Mode of Antioxidant defense system(ADS)
Antioxidant defense systems (ADS) traditionally have been termed.
1. Primary defense system 2. Secondary defense system
Primary defense system
Includes antioxidant compounds like a Vitamin A, E, C and Glutathione and uric acid. AO
scavenging enzymes such as peroxidases
Secondary defense system
Includes Lipolytic enzymes, Phospholipases, proteolytic enzymes and DNA repair enzymes
3. THE EFFECTOF OXIDATIVE STRESS:PHYSIOLOGICAL,
ANDBIOCHEMICALMECHANISMS
3.1 Effects of Oxidative Stress on DNA
 ROS can lead to DNA modifications in several ways, which involves degradation of bases,
single- or double-stranded DNA breaks, purine, pyrimidine or sugar-bound modifications,
mutations, deletions or translocations, and cross-linking with proteins.
 Formation of 8-OH-G is the best-known DNA damage occurring via oxidative stress and is
a potential biomarker for carcinogenesis.. Oxidative stress causes instability of microsatellite
(short tandem repeats) regions. Redox active metal ions, hydroxyl radicals increase
microsatellite instability. Even though single-stranded DNA breaks caused by oxidant
injury can easily be tolerated by cells, double-stranded DNA breaks induced by ionizing
radiation can be a significant threat for the cell survival[8].
3.2 Effects of Oxidative Stress on Lipids
 ROS can induce lipid peroxidation and disrupt the membrane lipid bilayer arrangement that
may inactivate membrane-bound receptors and enzymes and increase tissue permeability.
NIPER GUWAHATI 2016
OXIDATIVE STRESS & ESTIMATION OF BIOMARKERS FOR ALZHEIMER’S DISEASE Page 7
 Products of lipid peroxidation, such as MDA and unsaturated aldehydes, are capable of
inactivating many cellular proteins by forming protein cross-linkages. 4-Hydroxy-2-nonenal
causes depletion of intracellular GSH and induces of peroxide production, activates
epidermal growth factor receptor, and induces fibronectin production[9].
 Lipid peroxidation products, such as isoprostanes and thiobarbituric acid reactive
substances, have been used as indirect biomarkers of oxidative stress, and increased levels
were shown in thebroncho alveolar lavage fluid or lung of chronic obstructive pulmonary
disease patients or smokers.
3.3 Effects of Oxidative Stress on Proteins
 ROS can cause fragmentation of the peptide chain, alteration of electrical charge of proteins,
cross-linking of proteins and oxidation of specific amino acids and therefore lead to
increased susceptibility to proteolysis by degradation by specific proteases.
 Cysteine and methionine residues in proteins are particularly more susceptible to oxidation.
Oxidation of sulfhydryl groups or methionine residues of proteins cause conformational
changes, protein unfolding, and degradation.
 In some cases, specific oxidation of proteins may take place. For example, methionine can
be oxidized methionine sulfoxide and phenylalanine to o-tyrosine sulfhydryl groups can be
oxidized to form disulfide bonds and carbonyl groups may be introduced into the side chains
of proteins[10].
4. ROLE OF OXIDATIVE STRESS IN ALZHEIMER’S DISEASE
4.1 Alzheimer’s disease
 Alzheimer’s disease (AD) is a neurodegenerative disorder associated with a decline in
cognitive impairments, progressive neurodegeneration and formation of amyloid-β (Aβ)
containing plaques and neurofibrillary tangles.
 Alzheimer's disease (AD) is a slowly progressive disease of the brain that is characterized by
impairment of memory and eventually by disturbances in reasoning, planning, language, and
perception [11].
 Mutations of amyloid precursor protein or presenilin genes or apolipoprotein E gene
polymorphism appear to affect amyloid formation, which in turn causes neuronal death via a
NIPER GUWAHATI 2016
OXIDATIVE STRESS & ESTIMATION OF BIOMARKERS FOR ALZHEIMER’S DISEASE Page 8
number of possible mechanisms, including Ca2+ homeostasis disruption, oxidative stress,
excitotoxicity, energy depletion, neuro- inflammation and apoptosis.
4.2 RELATION OF OXIDATIVE STRESS WITH ALZHEIMER’S DISEASE
 Oxidative stress plays a central role in the pathogenesis of AD leading to neuronal
dysfunction and cell death.
 Oxidative stress can lead to alterations in cells with an accumulation of oxidized products
such as aldehydes and isoprostanes from lipid peroxidation, protein carbonyls from protein
oxidation, and base adducts from DNA oxidation, all of which serve as markers of
oxidation.
 The process of aging is also associated with increased oxidative stress. Through pathological
redox reactions ROS can denature biomolecules such as proteins, lipids and nucleic acids.
This can initiate tissue damage via apoptosis and necrosis[12].
 The increased level of oxidative stress in the AD brain is reflected by
 increased protein and DNA oxidation,
 Decreased level of cytochrome c oxidase and advanced glycosylation end products.
 enhanced lipid peroxidation,
 Lipid peroxidation can weaken cell membranes causes ion imbalance and impair
metabolism. Oxidative stress can influence DNA methylation which regulates gene
expression. Internalized beta-amyloid may play a role in this process.
 Mitochondria are essential for the formation and maintenance of synapses. There is evidence
that oxidative damage precedes pathological changes. Oxidation of mitochondrial DNA
renders it more susceptible to somatic mutation as oxidized bases are frequently misread
during replication. These mutations may initiate erroneous beta-amyloid processing[13].
 Beta-amyloid peptide has been shown to inhibit cytochrome oxidase leading to disruption of
the electron transport chain and production of ROS. Thus a viscous cycle may be initiated
that culminates in progressive disease.
 Four-hydroxynonenal causes degeneration and death of cultured hippocampal neurons by
impairing ion motive adenosine triphosphatase activity and disrupting calcium homeostasis.
Exposure of cultured hippocampal neurons to amyloid (A) peptide causes a significant
increase in levels of free and protein-bound HNE and increases ROS [14].
 4-hydroxy-2,3-nonenal (HNE), acrolein, malondialdehyde (MDA) and F2-isoprostanes are
important break down products of lipid peroxidation. Elevated HNE levels have been
NIPER GUWAHATI 2016
OXIDATIVE STRESS & ESTIMATION OF BIOMARKERS FOR ALZHEIMER’S DISEASE Page 9
observed in Alzheimer’s disease (AD). Acrolein, thiobarbituric acid-reactive substances
(TBARs, the most prevalent substrate of which is malondialdehyde) and F2-isoprostanes are
all increasedin AD brains relative to age-matched controls.
 Under stressful conditions and in aging, the electron transport system can increase ROS
formation considerably. Thus, the mitochondria are both a source and a target of toxic ROS.
Mitochondrial dysfunction and oxidative metabolism may play an important role in the
pathogenesis of AD and other neurodegenerative diseases.
FIG 1.3Role of oxidative stress and acetylcholinesterase in neurodegeneration .Abbreviations:
Aβ, amyloid beta; ACh, acetylcholine; AChE, acetylcholinesterase; GSH, glutathione; GSSG,
glutathione disulfide; SOD, superoxide dismutase.
5. ESTIMATION OF BIOMARKERS FOR ALZHEIMER’S DISEASE
5.1SCREENINGMETHODS OF ANTIOXIDANT ACTIVITY
NIPER GUWAHATI 2016
OXIDATIVE STRESS & ESTIMATION OF BIOMARKERS FOR ALZHEIMER’S DISEASE Page 10
 Various in-vitromethods are used to evaluate the ability of antioxidantto reduce theradical.
Antioxidantactivity can be measured using both serum sample as well as tissue
homogenate[16].
 The different in vitro antioxidantscreening methods
 Nitric oxide assay
 Lipid peroxidation (LPO)
 Superoxide Dismustase (SOD)
 Reduce Glutathiol (GSH) assay
 Glutathione peroxidase (GPx)
 Glutathione-s-transferase (GST)
 Catalase (CAT)
 Glucose 6 phosphatase (G6P)
 Creatinine phosphokinase (CPK) etc.
5.2NITRIC OXIDE RADICAL SCAVENGING (NO) ASSAY
 Nitric oxide, because of its unpaired electron, is classified as a free radical and displays
important reactivity’s with certain types of proteins and other free radicals.
 In vitro inhibition of nitric oxide radical is also a measure of antioxidant activity.
 This method is based on the inhibition of nitric oxide radical generated from sodium
nitroprusside in buffer saline and measured by Griess reagent.
 In presence of scavengers, the absorbance of the chromophore is evaluated at 546nm.
 The activity is expressed as % reduction of nitric oxide.
Procedure
 3.0 ml of 10mM sodium nitroprusside in phosphate buffer (pH-7.5) is added to 2.0 ml of
extract and reference compound in different concentrations (20 – 100 µg/ml).
 The resulting solutions are then incubated at 25°C for 60 min
 A similar procedure is repeated with methanol as blank, which serves as control.
NIPER GUWAHATI 2016
OXIDATIVE STRESS & ESTIMATION OF BIOMARKERS FOR ALZHEIMER’S DISEASE Page 11
 To 5.0 ml of the incubated sample, 5.0ml of Griess reagent (1% sulphanilamide, 0.1%
naphthyethylenediaminedihydrochloride (NED) in 2% H3PO3) is added and pink
chromophore generate during diazotization of nitrite ions with sulphanilamide and
subsequent coupling with NED was measured spectrophotometrically at 540nm.
 Percent inhibition of the nitrite oxide generated is measured by comparing the absorbance
values of control and test preparations.
 POSITIVE CONTROL: Curcumin, Caffeic acid, Sodium nitrite, BHA, Ascorbic acid,
Rutin, BHT or α-tocopherol
5.3 LIPID PEROXIDATION (LPO) ASSAY
 LPO is an autocatalytic process, which is a common cause of cell death.
 This process may cause peroxidative tissue damage in inflammation, cancer and toxicity of
xenobiotics and aging.
 MDA is one of the end products in the lipid per-oxidation process .
 Malondialdehyde (MDA) is formed during oxidative degeneration as a product of free
oxygen radicalswhich is accepted as an indicator of lipid peroxidation.
PROCEDURE:
 The reaction mixture contained 0.1 ml of sample, 0.2 ml of 8.1% sodium dodecylsulfate
(SDS), 1.5 ml of 20% acetic acid solution of various pHs, and 1.5 ml of 0.8% aqueous
solution of thiobarbituric acid (TBA).
 The pH of 20% acetic acid solution was adjusted with NaOH above pH 3.0, and in the pH
range of 1.0-3.0, 20% acetic acid containing 0.27 M HClwas adjusted to the specified pH
with NaOH.
 The mixture was finally made up to 4.0 ml with distilled water, and heated at 95°C for 60
min.
 After cooling with tap water, 1.0 ml of distilled water and 5.0 ml of the mixture of n-butanol
and pyridine (15: 1, v/v) were added, and the mixture was shaken vigorously.
 After centrifugation at 4000 rpm for 10 min, the absorbance of the organic layer (upper
layer) was measured at 532 nm against blank without the sample.
 The levels of lipid peroxidase were expressed as thiobarbituric acid reactive substance
(TBARS)/mg protin.
NIPER GUWAHATI 2016
OXIDATIVE STRESS & ESTIMATION OF BIOMARKERS FOR ALZHEIMER’S DISEASE Page 12
Reagents preparation:
1. 8.1% Sodium Dodecyl Sulphate
in water bath if recrystalization occurs
2. 20% Glacial acetic acid
3. 0.8% Thiobarbituric acid
4. MDA standards
+
100mM
+
10mM
+
1mM
Use this solution C for preparation of standard as below
17µl of Tetramethoxypropane
(TMP)
983µl of Distilled water
SolutionA
100µl of above solution A 900µl of Distilled water
Solution B
100µl of above solution A 900µl of Distilled water
Solution C
NIPER GUWAHATI 2016
OXIDATIVE STRESS & ESTIMATION OF BIOMARKERS FOR ALZHEIMER’S DISEASE Page 13
125μl of solution C + 875μl of distilled water = 125μM STOCK
SOLUTION
TUBE NUMBER VOLUME OF
WATER
VOLUME OF 125 μM
STOCK SOLUTION
MDA STANDARD
CONC.
A 1000 0 0
B 995 50 0.625
C 990 10 1.25
D 980 20 2.5
E 960 40 5
F 920 80 10
G 800 200 25
H 600 400 50
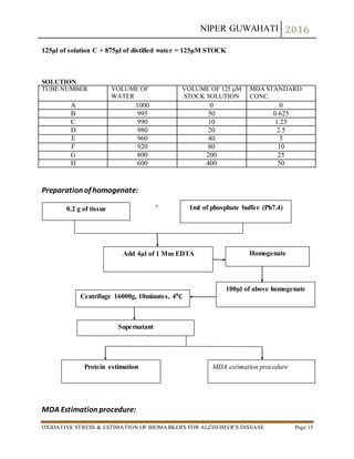
Preparation of homogenate:
+
MDA Estimation procedure:
0.2 g of tissue 1ml of phosphate buffer (Ph7.4)
Add 4µl of 1 Mm EDTA Homogenate
100µl of above homogenate
Centrifuge 16000g, 10minutes, 40C
Supernatant
Protein estimation MDA estimation procedure
NIPER GUWAHATI 2016
OXIDATIVE STRESS & ESTIMATION OF BIOMARKERS FOR ALZHEIMER’S DISEASE Page 14
REAGENTS FOR 2ML FOR 1ML
8.1% SDS 100µl 50µl
0.8% TBA 750µl 375µl
20% Glacial acetic acid 750µl 375µl
Supernatant sample/standard 100µ 50µl
Mix and make up the
volume with distilled water
Make up to 2ml Make up to 1ml
5.4 SUPEROXIDE DISMUTASE (SOD) ASSAY
 SOD is a metalloprotein and is the first enzyme involved in theantioxidant defence by
lowering the steady-state level of O2.
 Superoxide dismutasesare enzymes that catalyze the dismutation of superoxide into oxygen
and hydrogen peroxide. Thus, they are an important antioxidant defense in nearly all cells
exposed to oxygen[17]. One of the exceedingly rare exceptions is Lactobacillus plantarum
and related lactobacilli, which use a different mechanism
 Three forms of superoxide dismutase are present in humans, in all other mammals, and most
chordates. SOD1 is located in the cytoplasm, SOD2 in the mitochondria, and SOD3 is
extracellular. SOD1 and SOD3 contain copper and zinc, whereas SOD2, the mitochondrial
enzyme, has manganese in its reactive centre. The genes are located on chromosomes 21, 6,
and 4, respectively
 Mutations in the first SOD enzyme (SOD1) can cause familial amyotrophic lateral sclerosis
(ALS, a form of motor neuron disease) [18].The most common mutation in the U.S. is A4V,
while the most intensely studied isG93A. The other two isoforms of SOD have not been
linked to any human diseases, however, in mice inactivation ofSOD2 causes perinatal
lethality [86] and inactivation of SOD1 causes hepatocellular carcinoma. Mutations inSOD1
can cause familial ALS (several pieces of evidence also show that wild-type SOD1, under
conditions ofcellular stress, is implicated in a significant fraction of sporadic ALS cases,
which represent 90% of ALSpatients [19] by a mechanism that is presently not understood,
but not due to loss of enzymatic activity or a decrease in the conformational stability of the
SOD1 protein. Over expression of SOD1 has been linked to the neural disorders seen in
Down syndrome.
Incubate for 45-60 minutes in
950C in water bath
Cool the system Pink colour will develop
Centrifuge at 10000 g for
10min
Micro titer plate
Absorbance at 530nm
Calculation by standard curve
method
NIPER GUWAHATI 2016
OXIDATIVE STRESS & ESTIMATION OF BIOMARKERS FOR ALZHEIMER’S DISEASE Page 15
Procedure:
 Assay mixture contained 0.1ml of sample, 1.2ml of sodium pyrophosphate buffer (pH 8.3,
0.052 M), 0.1 ml phenazinemethosulphate (186 μM), 0.3 ml of 300 μM
nitrobluetetrazolium, 0.2 ml NADH (750 μM).
 Reaction was started by addition of NADH.
 After incubation at 30°C for 90 s, then addition of 0.1ml glacial acetic acid to stop reaction.
 Reaction mixture was stirred vigorously with 4.0ml of n-butanol.
 Mixture was allowed to stand for 10min, centrifuged and butanol layer was separated.
 Colour intensity of the chromogen in the butanol layer was measured at 560 nm
spectrophotometrically and concentration of SOD was expressed as units/mg.
5.5 REDUCE GLUTATHIOL (GSH) ASSAY
 If deficiency of GSH within living organisms can lead to tissue disorder and injury.
 GSH is an intra-cellular reductant and plays major role in catalysis, metabolism and
transport.
 It protects cells against free radicals, peroxides and other toxic compounds. .
 Glutathione also plays an important role in the kidney and takes part in a transport system
involved in the reabsorption of amino acids.
 Thus GSH monoesters are also useful in the treatment of aminoaciduria.
PROCEDURE
 To measure the GSH level, the tissue homogenate (in 0.1 M phosphate buffer pH 7.4) was
taken.
 The homogenate was added with equal volume of 20% trichloroacetic acid (TCA)
containing 1 mM EDTA to precipitate the tissue proteins.
 The mixture was centrifugation for 10 min at 200 rpm allowed to stand for 5 min.
 The supernatant (200 μl) was then transferred to a new set of test tubes and added 1.8ml of
the 5, 5'-dithiobis-2-nitrobenzoic acid (0.1mM) was prepared in 0.3 M phosphate buffer
with 1% of sodium citrate solution).
 Then all the test tubes make up to the volume of 2ml with double distilled water.
NIPER GUWAHATI 2016
OXIDATIVE STRESS & ESTIMATION OF BIOMARKERS FOR ALZHEIMER’S DISEASE Page 16
 After completion of the total reaction, solutions were measured at 412 nm against blank.
 Absorbance values were compared with a standard curve generated from standard curve
from known GSH[20, 21].
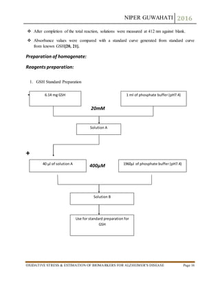
Preparation of homogenate:
Reagents preparation:
1. GSH Standard Preparation
+
20mM
+
400µM
6.14 mg GSH 1 ml of phosphate buffer (pH7.4)
Solution A
40 µl of solution A 1960µl of phosphate buffer (pH7.4)
Solution B
Use for standard preparation for
GSH
NIPER GUWAHATI 2016
OXIDATIVE STRESS & ESTIMATION OF BIOMARKERS FOR ALZHEIMER’S DISEASE Page 17
STANDARD
NAME
SOLUTION B (μl) PHOSPHATE
BUFFER (μl)
FINAL
CONC. (μM)
BLANK 0 500 0
A 5 495 4
B 10 490 8
C 20 480 16
D 40 460 32
E 80 420 64
F 160 340 128
G 320 180 256
2. Ellman’s Reagent (0.1 mM)
2. 5% Sulfosalicylic acid
Preparation of homogenate:
+
350µl of homogenate from
MDA
Centrifuge at 700 g for 10min
at 40C
250 µl of supernatant 250 µl of 5% chilled SSA
Centrifuge at 1200 g for 10min at
40C
Supernatant
NIPER GUWAHATI 2016
OXIDATIVE STRESS & ESTIMATION OF BIOMARKERS FOR ALZHEIMER’S DISEASE Page 18
GSH estimation procedure:
Protein estimation GSH estimation procedure
Sample Blank Standard
25µl sample + 475µl of
phosphate buffer
25µl of solution C + 475µl
of phosphate buffer
25µl of solution (A-G)
+475µl of phosphate
buffer
Vortex
Add 1500µl of Ellman’s
reagent
Vortex
Incubation at 370C for 10
minutes
Absorbance at 412 nm
NIPER GUWAHATI 2016
OXIDATIVE STRESS & ESTIMATION OF BIOMARKERS FOR ALZHEIMER’S DISEASE Page 19
5.6 GLUTATHIONE PEROXIDASE (GPx) ASSAY
 Low levels of GPx have been correlated with free radical related disease
Principle: indirect determination method, kinetic assay GPx is the sample (supernatant of
homogenate) reduces H2O2 while oxidizing GSH (reduced) to GSSG (oxidized). The generated
GSSG is reduced to GSH with consumption of NADPH by GR. The rate of decrease of NADPH
(whose λmax is 340nm) is proportional to GPx activity. H2O2 & GSH react spontaneously at a
slow rate.
Sample: plasma, erythrocyte lysates, tissue homogenates, cell lysates.
R-OOH + 2GSH GPx in sample R-OH + GSSG+H2O
GSSG +NADPH + H+ GR in assay buffer 2GSH + NADP+
Where GPx = glutathione peroxidase
GR = glutathione reductase
GSH = glutathione reductase – a major intracellular antioxidant
GSSG = glutathione oxidase – glutathione disulfide
GSH = Glutamyl cysteinyl glycine
R = tert-butyl/cumene/H
ROOH = R-hydroperoxide
1. Homogenization buffer
Phosphate buffer saline (pH7.2)
100mg tissue + 1ml homogenizing buffer
3 × 8 strokes (8strokes each time & 30-90sec gap between each time
Centrifuge at 10,000 g for 15min at 40C
Use the supernatant for the assay
Assay reagents:
1) Assay buffer 50mM phosphate buffer, pH7.0
Prepare 0.2M solutions of NaH2PO4(A), NaH2PO4 (B)
NIPER GUWAHATI 2016
OXIDATIVE STRESS & ESTIMATION OF BIOMARKERS FOR ALZHEIMER’S DISEASE Page 20
39ml of A + 61ml of B + 100ml H2O = 0.1M sodium phosphate buffer pH7.0
39ml of A + 61ml of B + 200ml H2O = 0.05M = 500mM sodium phosphate buffer pH7.0
Mixing of these solutions yields exactly pH7.0 as determined with pH meter
2) 10mM GSH
307.3232g 1000ml H2O 1M = 1000mM
3.0732g 1000mlH2O 10mM
0.0307g = 30.732mg 10ml H2O 10mM
3) 2mM β – NADPH
833.35g 1000ml H2O 1M
83.335mg 10ml H2O 10mM
16.667mg 10mlH2O 2mM
4) 5mM H2O2
5.1µl of 30% H2O2(W/W) 10ml 5mM
5) 1000U/ml Glutathione reductase
6) 1.125M sodium aride
31.362mg 10ml H2O 1.125M
Assay procedure:
For 1ml assay
50mM sodium phosphate buffer, pH7.0 0.63ml
10mM GSH 0.1ml
2mM NADPH 0.1ml
1.125 sodium aride 0.01ml
1000U/ml GR enzyme 0.01ml
Sample/standard 0.1ml
NIPER GUWAHATI 2016
OXIDATIVE STRESS & ESTIMATION OF BIOMARKERS FOR ALZHEIMER’S DISEASE Page 21
Mix well & allow equilibrating for 10-15min
Add 50µl of 5mM H2O2
Mix quickly
Read at 340nm for 5min with 30sec interval
Calculation:
λA340nm/min = (sampleA1 – sample A2) – (Reagent/blank A1 – Reagent/blank A2)
T2 (min) – T1 (min)
Where A1 is absorbance at time T1
A2 is absorbance at time T2
Reagent = blank is the one in which, instead of sample phosphate buffer is used
% inhibition of NADPH oxidation = λA340nm/min× 100
5.7 CATALASE (CAT) ASSAY
 CAT is a hemeprotein, localized in the peroxisomes or the microperoxisomes.
 This enzyme catalyses the decomposition of H2O2 to water and oxygen and thus protecting
the cell from oxidative damage by H2O2 and OH.
 CAT is a key component of the antioxidant defence system.
 Inhibition of these protective mechanisms results in enhanced sensitivity to free radical-
induced cellular damage.
PROCEDURE:
 0.1 ml of supernatant was added to cuvette containing 1.9 ml of 50 mM phosphate buffer
(pH 7.0)
 Reaction was started by the addition of 1.0 ml of freshly prepared 30 mM H2O2
NIPER GUWAHATI 2016
OXIDATIVE STRESS & ESTIMATION OF BIOMARKERS FOR ALZHEIMER’S DISEASE Page 22
 The rate of decomposition of H2O2 was measured spectrophotometrically from changes
in absorbance at 240 nm.
 Absorbance is calculated was expressed as units/mg protein.
2H2O2 Catalase2H2O + O2
1) homogenization
Phosphate buffer saline (pH7.2)
100mg tissue + 1ml homogenizing buffer
3 × 8 strokes (8strokes each time & 30-90sec gap between each time
Centrifuge at 10,000 g for 15min at 40C
Use the supernatant for the assay
Assay reagents:
1) phosphate buffer: 0.1M sodium phosphate buffer, pH7.0
Prepare 0.2M solutions of NaH2PO4 (A), Na2HPO4 (B)
39ml of A + 61ml of B + 100ml H2O = 0.1M sodium phosphate buffer,pH7.0
2) 65µM H2O2 in PBS
1.3ml of 5mM H2O2 100ml PBS = 65µM H2O2 in PBS
3) 32.4mM Ammonium molybdate (M.W. 1235.86, SIGMA)
1235.86g 1000ml 1M
123.586g 10ml PBS 10mM
2g 50ml PBS 32.4m
Assay procedure:
Sample Blank 1 Blank 2
0.5ml of 65µM H2O2 +
100µl sample
0.5ml of 65µM H2O2 +
100µl PBS
0.5ml of PBS+ 100µl
PBS
NIPER GUWAHATI 2016
OXIDATIVE STRESS & ESTIMATION OF BIOMARKERS FOR ALZHEIMER’S DISEASE Page 23
Mix and allow to stand for 60sec
Add 0.5ml of 32.4mM Ammonium molybdate
Read at 405nm
Reaction type: end point
Catalase activity (KU/L) = A sample - A blank1 × 271
A blank1 – A blank2
Where, blank 1 = H2O2 + buffer (no enzyme control)
Blank 2 = buffer + (no enzyme/no substrate)
Sample containing Catalase when added to H2O2, decomposes H2O2 in the buffer exactly after
60sec (a fixed time). Undecomposed H2O2 is made to react with ammonium molybdate to form
a yellow complex whose λmax is 405nm.
2H2O2 Catalase2H2O + O2
NIPER GUWAHATI 2016
OXIDATIVE STRESS & ESTIMATION OF BIOMARKERS FOR ALZHEIMER’S DISEASE Page 24
6. REFERENCES
1. finkelstein e, rosengm, rauckmanngj. Spin trapping of superoxide and hydroxyl radical: practical
aspects. Arch BiochemBiophys 1980; 200: 1-16.
2. FLORENCE TM. The role of free radicals in cancer and aging. In: I. E. Dreosti (Ed): Trace
Elements, Micronutrients and Free Radicals Humana Press, Totowa, New Jersey, 1991; pp. 171-198.
3. HALLIWELL B, WHITEMAN M. Measuring reactive species and oxidative damage in vivo and
in cell culture: how should you do it and what the results mean Br J Pharmacol 2004; 142: 231-255.
4. Filipcik P, Cente M, Ferencik M, Hulin, Novak: The role of oxidative stress in the
pathogenesis of Alzheimer’s disease. 2006; 107 (9–10): 384–394
5.RavindraPratap Singh, ShashwatSharad, SumanKapur: Free Radicals and Oxidative Stress in
Neurodegenerative Diseases: Relevance of Dietary Antioxidants. JIACM 2004; 5(3): 218-25
6.Halliwell B, Gutteridge JM, Cross CE. Free radicals, antioxidants, and human disease: where
are we now? J Lab Clin Med. 1992;119(6):598-620.
7.Sharifian A, Farahani S, Pasalar P, Gharavi M, Aminian O. Shift work as an oxidative stressor.
J Circadian Rhythms. 2005;3:15.
8.Cracowski, J.L.; Durand, T.; Bessard, G. Isoprostanes as a biomarker of lipid peroxidation in
humans: physiology, pharmacology and clinical implications. Trends Pharmacol. Sci. 2002, 23,
360–366.
9.Bohnstedt, K.C.; Karlberg, B.; Wahlund, L.-O.; Jönhagen, M.E.; Basun, H.; Schmidt, S.
Determination of isoprostanes in urine samples from Alzheimer patients using porous graphitic
carbon liquid. J. Chromatogr. B 2003, 796, 11–19.
10.Asami S, Manabe H, Miyake J, Tsurudome Y, Hirano T, et al. Cigarette smoking induces an
increase in oxidative DNA damage, 8-hydroxydeoxyguanosine, in a central site of the human
lung. Carcinogenesis. 1997;18:1763–1766.
11.Valko M, Rhodes CJ, Moncol J, Izakovic M, Mazur M. Free radicals, metals and antioxidants
in oxidative stress-induced cancer. ChemBiolInteract. 2006;160:1–40.
12.Halliwell B, Gutteridge JMC. Free Radicals in Biology and Medicine. 3rd ed. New York:
Oxford University Press; 1999.
NIPER GUWAHATI 2016
OXIDATIVE STRESS & ESTIMATION OF BIOMARKERS FOR ALZHEIMER’S DISEASE Page 25
13.Lyras L, Cairns NJ, Jenner A, Jenner P, Halliwell B.An assessment of oxidative damage to
proteins, lipids, and DNA in brain from patients with Alzheimer’s disease.J Neurochem.
1997;68:2061–2069.
14. Sayre LM, Smith MA, Perry G. Chemistry and biochemistry of oxidative stress in
neurodegenerative disease. Curr Med Chem. 2001;8:721–738.
15.Toshniwal PK, Zarling EJ.Evidence for increased lipid peroxidation in multiple
sclerosis.Neurochem Res. 1992;17:205–207.
16. Haghdoost S , Czene S, Naalund I, Skog S, Harms-Ringdahl M. Extracellular 8-oxo-dG as a
sensitive parameter for oxidative stress in vivo and in vitro, Free Radical Res,2005 Feb 39(2)
17.Deng HX, Hentati A, Tainer JA, Iqbal Z, Cayabyab A, Hung WY, Getzoff ED, Hu P et al.
(August 1993). "Amyotrophic lateral sclerosisand structural defects in Cu,Zn superoxide
dismutase". Science.261 (5124): 1047–51. doi:10.1126/science.8351519. PMID 8351519.
18.Conwit RA (December 2006). "Preventing familial ALS: a clinical trial may be feasible but is
an efficacy trial warranted?". J. Neurol. Sci.251 (1–2): 1–2. doi:10.1016/j.jns.2006.07.009.
PMID 17070848.
19. Al-Chalabi A, Leigh PN (August 2000). "Recent advances in amyotrophic lateral sclerosis"
(http://meta.wkhealth.com/pt/pt-core/template-journal/lwwgateway/media/landingpage.
htm?issn=1350-7540&volume=13&issue=4&spage=397). Curr.Opin. Neurol.13 (4):397–
405. doi:10.1097/00019052-200008000-00006. PMID 10970056. .
20.Gagliardi S, Cova E, Davin A, Guareschi S, Abel K, Alvisi E, Laforenza U, Ghidoni R,
Cashman JR, Ceroni M, Cereda C (August 2010)."SOD1 mRNA expression in sporadic
amyotrophic lateral sclerosis".Neurobiol. Dis.39 (2): 198–203.
doi:10.1016/j.nbd.2010.04.008.PMID 20399857.
21.Elchuri S, Oberley TD, Qi W, Eisenstein RS, Jackson Roberts L, Van Remmen H, Epstein
CJ, Huang TT (January 2005). "CuZnSODdeficiency leads to persistent and widespread
oxidative damage and hepatocarcinogenesis later in life". Oncogene24 (3): 367–
80.doi:10.1038/sj.onc.1208207. PMID 15531919.

Oxidative stress

  • 1.
    NIPER GUWAHATI 2016 OXIDATIVESTRESS & ESTIMATION OF BIOMARKERS FOR ALZHEIMER’S DISEASE Page 1 OXIDATIVE STRESS& ITS ROLE IN ALZHEIMER’S DISEASE 1.INTRODUCTION An antioxidant is a molecule that inhibits the oxidation of other molecules in human body. Antioxidants protect the body from damage caused by harmful molecules called free radicals. This damage is a factor in the development of blood vessel disease atherosclerosis, cancer and other conditions. 1.1What is a free radical?  Free radical is an atom that has at list one unpaired electron.  Free radical are released are during normal metabolism, as well as by pollution, smoking, radiation & stress ,air pollution, Alcohol intake , Toxins, High blood sugar levels etc.  Under normal circumstance the body keeps them in check.  These are highly reactive chemical entities that have a single unpaired electron in their outer most orbits.  Under certain conditions can be highly toxic to the cells.  Generally unstable and try to become stable, either by accepting or donating an electron. Fig 1.1.Free Radicals Formation. Human Aging Free Radical Theory
  • 2.
    NIPER GUWAHATI 2016 OXIDATIVESTRESS & ESTIMATION OF BIOMARKERS FOR ALZHEIMER’S DISEASE Page 2 1.2 TYPES OF FREE RADICALS  Superoxide radical  Hydroxide radical  Nitric oxide radical  Peroxide radicals  H2O2 (non radical).etc 1.3 What are Reactive oxygen species? Reactive Oxygen Species (ROS) is a phrase used to describe a number of reactive molecules and free radicals derived from molecular oxygen. The production of oxygen based radicals is the bane to all aerobic species. These molecules, produced as by-products during the mitochondrial electron transport of aerobic respiration or by oxidoreductase enzymes and metal catalyzed oxidation, have the potential to cause a number of deleterious events. It was originally thought that only phagocytic cells were responsible for ROS production as their part in host cell defense mechanisms. Recent work has demonstrated that ROS have a role in cell signaling, including; apoptosis; gene expression; and the activation of cell signalingcascades [1]. ROS are formed as necessary intermediates of metal catalyzed oxidation reactions. Atomic oxygen has two unpaired electrons in separate orbits in its outer electron shell. This electron
  • 3.
    NIPER GUWAHATI 2016 OXIDATIVESTRESS & ESTIMATION OF BIOMARKERS FOR ALZHEIMER’S DISEASE Page 3 structure makes oxygen susceptible to radical formation. The sequential reduction of oxygen through the addition of electrons leads to the formation of a number of ROS including: superoxide; hydrogen peroxide; hydroxyl radical; hydroxyl ion; and nitric oxide. 1. Superoxide Superoxide radical (O2¯•) is formed by reduction of oxygen molecule with one electron. In aqueous solution it is a weak oxidant and acts mainly on ascorbic acid and thiol compounds. Superoxide radical is a very strong reducing agent and can reduce certain iron complexes, such as cytochrome C[6]. In vivo, it is decomposed by SOD to hydrogen peroxide and oxygen 2. Hydroxyl radical Particularly, the most reactive hydroxyl radical, when generated in excess, causes cellular damage leading to cell death. Hydroxyl radical is generated via the Fenton reaction from hydrogen peroxide in the presence of ferrous ions or via the Heber- Weiss reaction from hydrogen peroxide and superoxide radical [2]. 3. Nitric oxide The free radical NO• is synthesized from amino acid L-arginine by vascular endothelial cells, phagocytes, certain cells in the brain and other cell’s types. Nitric oxide is a vasodilator agent and possibly an important neurotransmitter. The NO• contains an unpaired electron and is paramagnetic, it rapidly reacts with O2¯ to form peroxynitrite anion (ONOO¯) in high yield [3]. 4. Hydrogen peroxide Hydrogen peroxide (H2O2) is formed in two ways: indirectly through superoxide anion dismutation, and directly in some oxidative reactions associated with the transfer of two electrons to the oxygen. Hydrogen peroxide is a relatively stable in water and appears as a weak oxidizer and reductant. It is readily diffuses through cell membranes and in the presence of ions with variable valency it is formed the highly toxic for the cell –hydroxyl radicals [4]. Hydrogen peroxide is converted by the glutathione peroxidase enzyme to form water and oxygen, thus preventing the accumulation of precursor to free –radical biosynthesis. 1.4 Whatis oxidative stress? Oxidative stress is defined as a “state in which oxidation exceeds the antioxidant systems in the body secondary to a loss of the balance between them.” Disturbance in the balance between the production of reactive oxygen species (free radicals) and antioxidant defenses.Oxidative stress is the result of an imbalance in pro-oxidant/antioxidant homeostasis that leads to the generation of toxic reactive oxygen species [5].oxidative stress has been implicated in the ageing process & many diseases as shown in below fig.
  • 4.
    NIPER GUWAHATI 2016 OXIDATIVESTRESS & ESTIMATION OF BIOMARKERS FOR ALZHEIMER’S DISEASE Page 4 Fig 1.2 Role of oxidative stress in various diseases (© 2015 by CorinGreenBioITTeam.) 1.4.2. Sources of oxidative stress and defensive mechanisms
  • 5.
    NIPER GUWAHATI 2016 OXIDATIVESTRESS & ESTIMATION OF BIOMARKERS FOR ALZHEIMER’S DISEASE Page 5 2. CLASSIFICATION OF ANTIOXIDANTS - ANTIOXIDANTS Enzymatic antioxidants Non enzymatic antioxidants Primary enzymes  SOD,  Catalase,  Glutathione peroxidase  Glutathione reductase Secondary enzymes  Glutathione reductase  Glucose 6-phosphate dehydrogenase Vitamins VitaminA,VitaminC VitaminE,VitaminK Minerals Zinc,Selenium Organosulfur compound Allium, allyl sulfide, indoles Carotenoids β-carotene,lycopene, Lutein, Antioxidant cofactors Coenzyme Q10 Low molecular weightAntioxidants Glutathione,uricacid Polyphenols Flavonoids Phenolicacids Hydroxy cinnamic acids Ferulic, p-coumaric Hydroxy benzoicacids Gallic aid, ellagic acid Flavonols quercetin Isoflavonoids genistein Flavonols catechin Flavanones Hesperitin Anthocyanidins Cyanidin, pelagonidin
  • 6.
    NIPER GUWAHATI 2016 OXIDATIVESTRESS & ESTIMATION OF BIOMARKERS FOR ALZHEIMER’S DISEASE Page 6 2.1Antioxidant defense system(ADS). A biological antioxidant may be defined as a substance (present in low concentrations compared to an oxidizable substrate) that significantly delays or inhibits oxidation of a substrate. Substances that neutralize potential ill effect of free radicals are generally grouped in so called an Antioxidant defense system (ADS)[6, 7]. 2.2 Mode of Antioxidant defense system(ADS) Antioxidant defense systems (ADS) traditionally have been termed. 1. Primary defense system 2. Secondary defense system Primary defense system Includes antioxidant compounds like a Vitamin A, E, C and Glutathione and uric acid. AO scavenging enzymes such as peroxidases Secondary defense system Includes Lipolytic enzymes, Phospholipases, proteolytic enzymes and DNA repair enzymes 3. THE EFFECTOF OXIDATIVE STRESS:PHYSIOLOGICAL, ANDBIOCHEMICALMECHANISMS 3.1 Effects of Oxidative Stress on DNA  ROS can lead to DNA modifications in several ways, which involves degradation of bases, single- or double-stranded DNA breaks, purine, pyrimidine or sugar-bound modifications, mutations, deletions or translocations, and cross-linking with proteins.  Formation of 8-OH-G is the best-known DNA damage occurring via oxidative stress and is a potential biomarker for carcinogenesis.. Oxidative stress causes instability of microsatellite (short tandem repeats) regions. Redox active metal ions, hydroxyl radicals increase microsatellite instability. Even though single-stranded DNA breaks caused by oxidant injury can easily be tolerated by cells, double-stranded DNA breaks induced by ionizing radiation can be a significant threat for the cell survival[8]. 3.2 Effects of Oxidative Stress on Lipids  ROS can induce lipid peroxidation and disrupt the membrane lipid bilayer arrangement that may inactivate membrane-bound receptors and enzymes and increase tissue permeability.
  • 7.
    NIPER GUWAHATI 2016 OXIDATIVESTRESS & ESTIMATION OF BIOMARKERS FOR ALZHEIMER’S DISEASE Page 7  Products of lipid peroxidation, such as MDA and unsaturated aldehydes, are capable of inactivating many cellular proteins by forming protein cross-linkages. 4-Hydroxy-2-nonenal causes depletion of intracellular GSH and induces of peroxide production, activates epidermal growth factor receptor, and induces fibronectin production[9].  Lipid peroxidation products, such as isoprostanes and thiobarbituric acid reactive substances, have been used as indirect biomarkers of oxidative stress, and increased levels were shown in thebroncho alveolar lavage fluid or lung of chronic obstructive pulmonary disease patients or smokers. 3.3 Effects of Oxidative Stress on Proteins  ROS can cause fragmentation of the peptide chain, alteration of electrical charge of proteins, cross-linking of proteins and oxidation of specific amino acids and therefore lead to increased susceptibility to proteolysis by degradation by specific proteases.  Cysteine and methionine residues in proteins are particularly more susceptible to oxidation. Oxidation of sulfhydryl groups or methionine residues of proteins cause conformational changes, protein unfolding, and degradation.  In some cases, specific oxidation of proteins may take place. For example, methionine can be oxidized methionine sulfoxide and phenylalanine to o-tyrosine sulfhydryl groups can be oxidized to form disulfide bonds and carbonyl groups may be introduced into the side chains of proteins[10]. 4. ROLE OF OXIDATIVE STRESS IN ALZHEIMER’S DISEASE 4.1 Alzheimer’s disease  Alzheimer’s disease (AD) is a neurodegenerative disorder associated with a decline in cognitive impairments, progressive neurodegeneration and formation of amyloid-β (Aβ) containing plaques and neurofibrillary tangles.  Alzheimer's disease (AD) is a slowly progressive disease of the brain that is characterized by impairment of memory and eventually by disturbances in reasoning, planning, language, and perception [11].  Mutations of amyloid precursor protein or presenilin genes or apolipoprotein E gene polymorphism appear to affect amyloid formation, which in turn causes neuronal death via a
  • 8.
    NIPER GUWAHATI 2016 OXIDATIVESTRESS & ESTIMATION OF BIOMARKERS FOR ALZHEIMER’S DISEASE Page 8 number of possible mechanisms, including Ca2+ homeostasis disruption, oxidative stress, excitotoxicity, energy depletion, neuro- inflammation and apoptosis. 4.2 RELATION OF OXIDATIVE STRESS WITH ALZHEIMER’S DISEASE  Oxidative stress plays a central role in the pathogenesis of AD leading to neuronal dysfunction and cell death.  Oxidative stress can lead to alterations in cells with an accumulation of oxidized products such as aldehydes and isoprostanes from lipid peroxidation, protein carbonyls from protein oxidation, and base adducts from DNA oxidation, all of which serve as markers of oxidation.  The process of aging is also associated with increased oxidative stress. Through pathological redox reactions ROS can denature biomolecules such as proteins, lipids and nucleic acids. This can initiate tissue damage via apoptosis and necrosis[12].  The increased level of oxidative stress in the AD brain is reflected by  increased protein and DNA oxidation,  Decreased level of cytochrome c oxidase and advanced glycosylation end products.  enhanced lipid peroxidation,  Lipid peroxidation can weaken cell membranes causes ion imbalance and impair metabolism. Oxidative stress can influence DNA methylation which regulates gene expression. Internalized beta-amyloid may play a role in this process.  Mitochondria are essential for the formation and maintenance of synapses. There is evidence that oxidative damage precedes pathological changes. Oxidation of mitochondrial DNA renders it more susceptible to somatic mutation as oxidized bases are frequently misread during replication. These mutations may initiate erroneous beta-amyloid processing[13].  Beta-amyloid peptide has been shown to inhibit cytochrome oxidase leading to disruption of the electron transport chain and production of ROS. Thus a viscous cycle may be initiated that culminates in progressive disease.  Four-hydroxynonenal causes degeneration and death of cultured hippocampal neurons by impairing ion motive adenosine triphosphatase activity and disrupting calcium homeostasis. Exposure of cultured hippocampal neurons to amyloid (A) peptide causes a significant increase in levels of free and protein-bound HNE and increases ROS [14].  4-hydroxy-2,3-nonenal (HNE), acrolein, malondialdehyde (MDA) and F2-isoprostanes are important break down products of lipid peroxidation. Elevated HNE levels have been
  • 9.
    NIPER GUWAHATI 2016 OXIDATIVESTRESS & ESTIMATION OF BIOMARKERS FOR ALZHEIMER’S DISEASE Page 9 observed in Alzheimer’s disease (AD). Acrolein, thiobarbituric acid-reactive substances (TBARs, the most prevalent substrate of which is malondialdehyde) and F2-isoprostanes are all increasedin AD brains relative to age-matched controls.  Under stressful conditions and in aging, the electron transport system can increase ROS formation considerably. Thus, the mitochondria are both a source and a target of toxic ROS. Mitochondrial dysfunction and oxidative metabolism may play an important role in the pathogenesis of AD and other neurodegenerative diseases. FIG 1.3Role of oxidative stress and acetylcholinesterase in neurodegeneration .Abbreviations: Aβ, amyloid beta; ACh, acetylcholine; AChE, acetylcholinesterase; GSH, glutathione; GSSG, glutathione disulfide; SOD, superoxide dismutase. 5. ESTIMATION OF BIOMARKERS FOR ALZHEIMER’S DISEASE 5.1SCREENINGMETHODS OF ANTIOXIDANT ACTIVITY
  • 10.
    NIPER GUWAHATI 2016 OXIDATIVESTRESS & ESTIMATION OF BIOMARKERS FOR ALZHEIMER’S DISEASE Page 10  Various in-vitromethods are used to evaluate the ability of antioxidantto reduce theradical. Antioxidantactivity can be measured using both serum sample as well as tissue homogenate[16].  The different in vitro antioxidantscreening methods  Nitric oxide assay  Lipid peroxidation (LPO)  Superoxide Dismustase (SOD)  Reduce Glutathiol (GSH) assay  Glutathione peroxidase (GPx)  Glutathione-s-transferase (GST)  Catalase (CAT)  Glucose 6 phosphatase (G6P)  Creatinine phosphokinase (CPK) etc. 5.2NITRIC OXIDE RADICAL SCAVENGING (NO) ASSAY  Nitric oxide, because of its unpaired electron, is classified as a free radical and displays important reactivity’s with certain types of proteins and other free radicals.  In vitro inhibition of nitric oxide radical is also a measure of antioxidant activity.  This method is based on the inhibition of nitric oxide radical generated from sodium nitroprusside in buffer saline and measured by Griess reagent.  In presence of scavengers, the absorbance of the chromophore is evaluated at 546nm.  The activity is expressed as % reduction of nitric oxide. Procedure  3.0 ml of 10mM sodium nitroprusside in phosphate buffer (pH-7.5) is added to 2.0 ml of extract and reference compound in different concentrations (20 – 100 µg/ml).  The resulting solutions are then incubated at 25°C for 60 min  A similar procedure is repeated with methanol as blank, which serves as control.
  • 11.
    NIPER GUWAHATI 2016 OXIDATIVESTRESS & ESTIMATION OF BIOMARKERS FOR ALZHEIMER’S DISEASE Page 11  To 5.0 ml of the incubated sample, 5.0ml of Griess reagent (1% sulphanilamide, 0.1% naphthyethylenediaminedihydrochloride (NED) in 2% H3PO3) is added and pink chromophore generate during diazotization of nitrite ions with sulphanilamide and subsequent coupling with NED was measured spectrophotometrically at 540nm.  Percent inhibition of the nitrite oxide generated is measured by comparing the absorbance values of control and test preparations.  POSITIVE CONTROL: Curcumin, Caffeic acid, Sodium nitrite, BHA, Ascorbic acid, Rutin, BHT or α-tocopherol 5.3 LIPID PEROXIDATION (LPO) ASSAY  LPO is an autocatalytic process, which is a common cause of cell death.  This process may cause peroxidative tissue damage in inflammation, cancer and toxicity of xenobiotics and aging.  MDA is one of the end products in the lipid per-oxidation process .  Malondialdehyde (MDA) is formed during oxidative degeneration as a product of free oxygen radicalswhich is accepted as an indicator of lipid peroxidation. PROCEDURE:  The reaction mixture contained 0.1 ml of sample, 0.2 ml of 8.1% sodium dodecylsulfate (SDS), 1.5 ml of 20% acetic acid solution of various pHs, and 1.5 ml of 0.8% aqueous solution of thiobarbituric acid (TBA).  The pH of 20% acetic acid solution was adjusted with NaOH above pH 3.0, and in the pH range of 1.0-3.0, 20% acetic acid containing 0.27 M HClwas adjusted to the specified pH with NaOH.  The mixture was finally made up to 4.0 ml with distilled water, and heated at 95°C for 60 min.  After cooling with tap water, 1.0 ml of distilled water and 5.0 ml of the mixture of n-butanol and pyridine (15: 1, v/v) were added, and the mixture was shaken vigorously.  After centrifugation at 4000 rpm for 10 min, the absorbance of the organic layer (upper layer) was measured at 532 nm against blank without the sample.  The levels of lipid peroxidase were expressed as thiobarbituric acid reactive substance (TBARS)/mg protin.
  • 12.
    NIPER GUWAHATI 2016 OXIDATIVESTRESS & ESTIMATION OF BIOMARKERS FOR ALZHEIMER’S DISEASE Page 12 Reagents preparation: 1. 8.1% Sodium Dodecyl Sulphate in water bath if recrystalization occurs 2. 20% Glacial acetic acid 3. 0.8% Thiobarbituric acid 4. MDA standards + 100mM + 10mM + 1mM Use this solution C for preparation of standard as below 17µl of Tetramethoxypropane (TMP) 983µl of Distilled water SolutionA 100µl of above solution A 900µl of Distilled water Solution B 100µl of above solution A 900µl of Distilled water Solution C
  • 13.
    NIPER GUWAHATI 2016 OXIDATIVESTRESS & ESTIMATION OF BIOMARKERS FOR ALZHEIMER’S DISEASE Page 13 125μl of solution C + 875μl of distilled water = 125μM STOCK SOLUTION TUBE NUMBER VOLUME OF WATER VOLUME OF 125 μM STOCK SOLUTION MDA STANDARD CONC. A 1000 0 0 B 995 50 0.625 C 990 10 1.25 D 980 20 2.5 E 960 40 5 F 920 80 10 G 800 200 25 H 600 400 50 Preparation of homogenate: + MDA Estimation procedure: 0.2 g of tissue 1ml of phosphate buffer (Ph7.4) Add 4µl of 1 Mm EDTA Homogenate 100µl of above homogenate Centrifuge 16000g, 10minutes, 40C Supernatant Protein estimation MDA estimation procedure
  • 14.
    NIPER GUWAHATI 2016 OXIDATIVESTRESS & ESTIMATION OF BIOMARKERS FOR ALZHEIMER’S DISEASE Page 14 REAGENTS FOR 2ML FOR 1ML 8.1% SDS 100µl 50µl 0.8% TBA 750µl 375µl 20% Glacial acetic acid 750µl 375µl Supernatant sample/standard 100µ 50µl Mix and make up the volume with distilled water Make up to 2ml Make up to 1ml 5.4 SUPEROXIDE DISMUTASE (SOD) ASSAY  SOD is a metalloprotein and is the first enzyme involved in theantioxidant defence by lowering the steady-state level of O2.  Superoxide dismutasesare enzymes that catalyze the dismutation of superoxide into oxygen and hydrogen peroxide. Thus, they are an important antioxidant defense in nearly all cells exposed to oxygen[17]. One of the exceedingly rare exceptions is Lactobacillus plantarum and related lactobacilli, which use a different mechanism  Three forms of superoxide dismutase are present in humans, in all other mammals, and most chordates. SOD1 is located in the cytoplasm, SOD2 in the mitochondria, and SOD3 is extracellular. SOD1 and SOD3 contain copper and zinc, whereas SOD2, the mitochondrial enzyme, has manganese in its reactive centre. The genes are located on chromosomes 21, 6, and 4, respectively  Mutations in the first SOD enzyme (SOD1) can cause familial amyotrophic lateral sclerosis (ALS, a form of motor neuron disease) [18].The most common mutation in the U.S. is A4V, while the most intensely studied isG93A. The other two isoforms of SOD have not been linked to any human diseases, however, in mice inactivation ofSOD2 causes perinatal lethality [86] and inactivation of SOD1 causes hepatocellular carcinoma. Mutations inSOD1 can cause familial ALS (several pieces of evidence also show that wild-type SOD1, under conditions ofcellular stress, is implicated in a significant fraction of sporadic ALS cases, which represent 90% of ALSpatients [19] by a mechanism that is presently not understood, but not due to loss of enzymatic activity or a decrease in the conformational stability of the SOD1 protein. Over expression of SOD1 has been linked to the neural disorders seen in Down syndrome. Incubate for 45-60 minutes in 950C in water bath Cool the system Pink colour will develop Centrifuge at 10000 g for 10min Micro titer plate Absorbance at 530nm Calculation by standard curve method
  • 15.
    NIPER GUWAHATI 2016 OXIDATIVESTRESS & ESTIMATION OF BIOMARKERS FOR ALZHEIMER’S DISEASE Page 15 Procedure:  Assay mixture contained 0.1ml of sample, 1.2ml of sodium pyrophosphate buffer (pH 8.3, 0.052 M), 0.1 ml phenazinemethosulphate (186 μM), 0.3 ml of 300 μM nitrobluetetrazolium, 0.2 ml NADH (750 μM).  Reaction was started by addition of NADH.  After incubation at 30°C for 90 s, then addition of 0.1ml glacial acetic acid to stop reaction.  Reaction mixture was stirred vigorously with 4.0ml of n-butanol.  Mixture was allowed to stand for 10min, centrifuged and butanol layer was separated.  Colour intensity of the chromogen in the butanol layer was measured at 560 nm spectrophotometrically and concentration of SOD was expressed as units/mg. 5.5 REDUCE GLUTATHIOL (GSH) ASSAY  If deficiency of GSH within living organisms can lead to tissue disorder and injury.  GSH is an intra-cellular reductant and plays major role in catalysis, metabolism and transport.  It protects cells against free radicals, peroxides and other toxic compounds. .  Glutathione also plays an important role in the kidney and takes part in a transport system involved in the reabsorption of amino acids.  Thus GSH monoesters are also useful in the treatment of aminoaciduria. PROCEDURE  To measure the GSH level, the tissue homogenate (in 0.1 M phosphate buffer pH 7.4) was taken.  The homogenate was added with equal volume of 20% trichloroacetic acid (TCA) containing 1 mM EDTA to precipitate the tissue proteins.  The mixture was centrifugation for 10 min at 200 rpm allowed to stand for 5 min.  The supernatant (200 μl) was then transferred to a new set of test tubes and added 1.8ml of the 5, 5'-dithiobis-2-nitrobenzoic acid (0.1mM) was prepared in 0.3 M phosphate buffer with 1% of sodium citrate solution).  Then all the test tubes make up to the volume of 2ml with double distilled water.
  • 16.
    NIPER GUWAHATI 2016 OXIDATIVESTRESS & ESTIMATION OF BIOMARKERS FOR ALZHEIMER’S DISEASE Page 16  After completion of the total reaction, solutions were measured at 412 nm against blank.  Absorbance values were compared with a standard curve generated from standard curve from known GSH[20, 21]. Preparation of homogenate: Reagents preparation: 1. GSH Standard Preparation + 20mM + 400µM 6.14 mg GSH 1 ml of phosphate buffer (pH7.4) Solution A 40 µl of solution A 1960µl of phosphate buffer (pH7.4) Solution B Use for standard preparation for GSH
  • 17.
    NIPER GUWAHATI 2016 OXIDATIVESTRESS & ESTIMATION OF BIOMARKERS FOR ALZHEIMER’S DISEASE Page 17 STANDARD NAME SOLUTION B (μl) PHOSPHATE BUFFER (μl) FINAL CONC. (μM) BLANK 0 500 0 A 5 495 4 B 10 490 8 C 20 480 16 D 40 460 32 E 80 420 64 F 160 340 128 G 320 180 256 2. Ellman’s Reagent (0.1 mM) 2. 5% Sulfosalicylic acid Preparation of homogenate: + 350µl of homogenate from MDA Centrifuge at 700 g for 10min at 40C 250 µl of supernatant 250 µl of 5% chilled SSA Centrifuge at 1200 g for 10min at 40C Supernatant
  • 18.
    NIPER GUWAHATI 2016 OXIDATIVESTRESS & ESTIMATION OF BIOMARKERS FOR ALZHEIMER’S DISEASE Page 18 GSH estimation procedure: Protein estimation GSH estimation procedure Sample Blank Standard 25µl sample + 475µl of phosphate buffer 25µl of solution C + 475µl of phosphate buffer 25µl of solution (A-G) +475µl of phosphate buffer Vortex Add 1500µl of Ellman’s reagent Vortex Incubation at 370C for 10 minutes Absorbance at 412 nm
  • 19.
    NIPER GUWAHATI 2016 OXIDATIVESTRESS & ESTIMATION OF BIOMARKERS FOR ALZHEIMER’S DISEASE Page 19 5.6 GLUTATHIONE PEROXIDASE (GPx) ASSAY  Low levels of GPx have been correlated with free radical related disease Principle: indirect determination method, kinetic assay GPx is the sample (supernatant of homogenate) reduces H2O2 while oxidizing GSH (reduced) to GSSG (oxidized). The generated GSSG is reduced to GSH with consumption of NADPH by GR. The rate of decrease of NADPH (whose λmax is 340nm) is proportional to GPx activity. H2O2 & GSH react spontaneously at a slow rate. Sample: plasma, erythrocyte lysates, tissue homogenates, cell lysates. R-OOH + 2GSH GPx in sample R-OH + GSSG+H2O GSSG +NADPH + H+ GR in assay buffer 2GSH + NADP+ Where GPx = glutathione peroxidase GR = glutathione reductase GSH = glutathione reductase – a major intracellular antioxidant GSSG = glutathione oxidase – glutathione disulfide GSH = Glutamyl cysteinyl glycine R = tert-butyl/cumene/H ROOH = R-hydroperoxide 1. Homogenization buffer Phosphate buffer saline (pH7.2) 100mg tissue + 1ml homogenizing buffer 3 × 8 strokes (8strokes each time & 30-90sec gap between each time Centrifuge at 10,000 g for 15min at 40C Use the supernatant for the assay Assay reagents: 1) Assay buffer 50mM phosphate buffer, pH7.0 Prepare 0.2M solutions of NaH2PO4(A), NaH2PO4 (B)
  • 20.
    NIPER GUWAHATI 2016 OXIDATIVESTRESS & ESTIMATION OF BIOMARKERS FOR ALZHEIMER’S DISEASE Page 20 39ml of A + 61ml of B + 100ml H2O = 0.1M sodium phosphate buffer pH7.0 39ml of A + 61ml of B + 200ml H2O = 0.05M = 500mM sodium phosphate buffer pH7.0 Mixing of these solutions yields exactly pH7.0 as determined with pH meter 2) 10mM GSH 307.3232g 1000ml H2O 1M = 1000mM 3.0732g 1000mlH2O 10mM 0.0307g = 30.732mg 10ml H2O 10mM 3) 2mM β – NADPH 833.35g 1000ml H2O 1M 83.335mg 10ml H2O 10mM 16.667mg 10mlH2O 2mM 4) 5mM H2O2 5.1µl of 30% H2O2(W/W) 10ml 5mM 5) 1000U/ml Glutathione reductase 6) 1.125M sodium aride 31.362mg 10ml H2O 1.125M Assay procedure: For 1ml assay 50mM sodium phosphate buffer, pH7.0 0.63ml 10mM GSH 0.1ml 2mM NADPH 0.1ml 1.125 sodium aride 0.01ml 1000U/ml GR enzyme 0.01ml Sample/standard 0.1ml
  • 21.
    NIPER GUWAHATI 2016 OXIDATIVESTRESS & ESTIMATION OF BIOMARKERS FOR ALZHEIMER’S DISEASE Page 21 Mix well & allow equilibrating for 10-15min Add 50µl of 5mM H2O2 Mix quickly Read at 340nm for 5min with 30sec interval Calculation: λA340nm/min = (sampleA1 – sample A2) – (Reagent/blank A1 – Reagent/blank A2) T2 (min) – T1 (min) Where A1 is absorbance at time T1 A2 is absorbance at time T2 Reagent = blank is the one in which, instead of sample phosphate buffer is used % inhibition of NADPH oxidation = λA340nm/min× 100 5.7 CATALASE (CAT) ASSAY  CAT is a hemeprotein, localized in the peroxisomes or the microperoxisomes.  This enzyme catalyses the decomposition of H2O2 to water and oxygen and thus protecting the cell from oxidative damage by H2O2 and OH.  CAT is a key component of the antioxidant defence system.  Inhibition of these protective mechanisms results in enhanced sensitivity to free radical- induced cellular damage. PROCEDURE:  0.1 ml of supernatant was added to cuvette containing 1.9 ml of 50 mM phosphate buffer (pH 7.0)  Reaction was started by the addition of 1.0 ml of freshly prepared 30 mM H2O2
  • 22.
    NIPER GUWAHATI 2016 OXIDATIVESTRESS & ESTIMATION OF BIOMARKERS FOR ALZHEIMER’S DISEASE Page 22  The rate of decomposition of H2O2 was measured spectrophotometrically from changes in absorbance at 240 nm.  Absorbance is calculated was expressed as units/mg protein. 2H2O2 Catalase2H2O + O2 1) homogenization Phosphate buffer saline (pH7.2) 100mg tissue + 1ml homogenizing buffer 3 × 8 strokes (8strokes each time & 30-90sec gap between each time Centrifuge at 10,000 g for 15min at 40C Use the supernatant for the assay Assay reagents: 1) phosphate buffer: 0.1M sodium phosphate buffer, pH7.0 Prepare 0.2M solutions of NaH2PO4 (A), Na2HPO4 (B) 39ml of A + 61ml of B + 100ml H2O = 0.1M sodium phosphate buffer,pH7.0 2) 65µM H2O2 in PBS 1.3ml of 5mM H2O2 100ml PBS = 65µM H2O2 in PBS 3) 32.4mM Ammonium molybdate (M.W. 1235.86, SIGMA) 1235.86g 1000ml 1M 123.586g 10ml PBS 10mM 2g 50ml PBS 32.4m Assay procedure: Sample Blank 1 Blank 2 0.5ml of 65µM H2O2 + 100µl sample 0.5ml of 65µM H2O2 + 100µl PBS 0.5ml of PBS+ 100µl PBS
  • 23.
    NIPER GUWAHATI 2016 OXIDATIVESTRESS & ESTIMATION OF BIOMARKERS FOR ALZHEIMER’S DISEASE Page 23 Mix and allow to stand for 60sec Add 0.5ml of 32.4mM Ammonium molybdate Read at 405nm Reaction type: end point Catalase activity (KU/L) = A sample - A blank1 × 271 A blank1 – A blank2 Where, blank 1 = H2O2 + buffer (no enzyme control) Blank 2 = buffer + (no enzyme/no substrate) Sample containing Catalase when added to H2O2, decomposes H2O2 in the buffer exactly after 60sec (a fixed time). Undecomposed H2O2 is made to react with ammonium molybdate to form a yellow complex whose λmax is 405nm. 2H2O2 Catalase2H2O + O2
  • 24.
    NIPER GUWAHATI 2016 OXIDATIVESTRESS & ESTIMATION OF BIOMARKERS FOR ALZHEIMER’S DISEASE Page 24 6. REFERENCES 1. finkelstein e, rosengm, rauckmanngj. Spin trapping of superoxide and hydroxyl radical: practical aspects. Arch BiochemBiophys 1980; 200: 1-16. 2. FLORENCE TM. The role of free radicals in cancer and aging. In: I. E. Dreosti (Ed): Trace Elements, Micronutrients and Free Radicals Humana Press, Totowa, New Jersey, 1991; pp. 171-198. 3. HALLIWELL B, WHITEMAN M. Measuring reactive species and oxidative damage in vivo and in cell culture: how should you do it and what the results mean Br J Pharmacol 2004; 142: 231-255. 4. Filipcik P, Cente M, Ferencik M, Hulin, Novak: The role of oxidative stress in the pathogenesis of Alzheimer’s disease. 2006; 107 (9–10): 384–394 5.RavindraPratap Singh, ShashwatSharad, SumanKapur: Free Radicals and Oxidative Stress in Neurodegenerative Diseases: Relevance of Dietary Antioxidants. JIACM 2004; 5(3): 218-25 6.Halliwell B, Gutteridge JM, Cross CE. Free radicals, antioxidants, and human disease: where are we now? J Lab Clin Med. 1992;119(6):598-620. 7.Sharifian A, Farahani S, Pasalar P, Gharavi M, Aminian O. Shift work as an oxidative stressor. J Circadian Rhythms. 2005;3:15. 8.Cracowski, J.L.; Durand, T.; Bessard, G. Isoprostanes as a biomarker of lipid peroxidation in humans: physiology, pharmacology and clinical implications. Trends Pharmacol. Sci. 2002, 23, 360–366. 9.Bohnstedt, K.C.; Karlberg, B.; Wahlund, L.-O.; Jönhagen, M.E.; Basun, H.; Schmidt, S. Determination of isoprostanes in urine samples from Alzheimer patients using porous graphitic carbon liquid. J. Chromatogr. B 2003, 796, 11–19. 10.Asami S, Manabe H, Miyake J, Tsurudome Y, Hirano T, et al. Cigarette smoking induces an increase in oxidative DNA damage, 8-hydroxydeoxyguanosine, in a central site of the human lung. Carcinogenesis. 1997;18:1763–1766. 11.Valko M, Rhodes CJ, Moncol J, Izakovic M, Mazur M. Free radicals, metals and antioxidants in oxidative stress-induced cancer. ChemBiolInteract. 2006;160:1–40. 12.Halliwell B, Gutteridge JMC. Free Radicals in Biology and Medicine. 3rd ed. New York: Oxford University Press; 1999.
  • 25.
    NIPER GUWAHATI 2016 OXIDATIVESTRESS & ESTIMATION OF BIOMARKERS FOR ALZHEIMER’S DISEASE Page 25 13.Lyras L, Cairns NJ, Jenner A, Jenner P, Halliwell B.An assessment of oxidative damage to proteins, lipids, and DNA in brain from patients with Alzheimer’s disease.J Neurochem. 1997;68:2061–2069. 14. Sayre LM, Smith MA, Perry G. Chemistry and biochemistry of oxidative stress in neurodegenerative disease. Curr Med Chem. 2001;8:721–738. 15.Toshniwal PK, Zarling EJ.Evidence for increased lipid peroxidation in multiple sclerosis.Neurochem Res. 1992;17:205–207. 16. Haghdoost S , Czene S, Naalund I, Skog S, Harms-Ringdahl M. Extracellular 8-oxo-dG as a sensitive parameter for oxidative stress in vivo and in vitro, Free Radical Res,2005 Feb 39(2) 17.Deng HX, Hentati A, Tainer JA, Iqbal Z, Cayabyab A, Hung WY, Getzoff ED, Hu P et al. (August 1993). "Amyotrophic lateral sclerosisand structural defects in Cu,Zn superoxide dismutase". Science.261 (5124): 1047–51. doi:10.1126/science.8351519. PMID 8351519. 18.Conwit RA (December 2006). "Preventing familial ALS: a clinical trial may be feasible but is an efficacy trial warranted?". J. Neurol. Sci.251 (1–2): 1–2. doi:10.1016/j.jns.2006.07.009. PMID 17070848. 19. Al-Chalabi A, Leigh PN (August 2000). "Recent advances in amyotrophic lateral sclerosis" (http://meta.wkhealth.com/pt/pt-core/template-journal/lwwgateway/media/landingpage. htm?issn=1350-7540&volume=13&issue=4&spage=397). Curr.Opin. Neurol.13 (4):397– 405. doi:10.1097/00019052-200008000-00006. PMID 10970056. . 20.Gagliardi S, Cova E, Davin A, Guareschi S, Abel K, Alvisi E, Laforenza U, Ghidoni R, Cashman JR, Ceroni M, Cereda C (August 2010)."SOD1 mRNA expression in sporadic amyotrophic lateral sclerosis".Neurobiol. Dis.39 (2): 198–203. doi:10.1016/j.nbd.2010.04.008.PMID 20399857. 21.Elchuri S, Oberley TD, Qi W, Eisenstein RS, Jackson Roberts L, Van Remmen H, Epstein CJ, Huang TT (January 2005). "CuZnSODdeficiency leads to persistent and widespread oxidative damage and hepatocarcinogenesis later in life". Oncogene24 (3): 367– 80.doi:10.1038/sj.onc.1208207. PMID 15531919.