Optimize guide catheter support
Fabrice Leroy
Hôpital Privé La Louvière, Lille,
France
NO SUPPORT=NO CTO PCI !
First step = Plan the procedure
• Good angiogram
• Complexity of the lesion
• Which vessel is the target? (RCA ostia...)
• Which strategy is planed ? ( Antegrade, Retrograde ,
Dissection Reentry..)
• Specific devices planed ? (IVUS,ADR...)
• Femoral or radial
• ......
Courtesy J. Spratt
Passive support
• GC with back up
• Larger GC
• Long sheath
• Anchoring Balloon
Active support
• Deep GC intubation
• GC extensions
• Support Catheter
(CenterCross*, MultiCross*)
Appropriate guide catheter selection
Shape
• Left or Right coronary
• Location of the ostium
(high, low, totally
anomalous )
• Ostial lesion associated
• Takeoff of the artery
• Aortic root size
• ...
Appropriate guide catheter selection
Shape
• Left coronary artery
– Extra back up catheter :
• EBU
• XB
• Voda
– AL (CX) : ostial injury risk
• Right coronary artery
– AL 0.75 or AL 1
– JR 4
– 3 D Right Curve
– MP,LIMA
Appropriate guide catheter selection
Size : Bigger is Better ?
Size of Arterial Sheaths Used for Chronic Total
Occlusion Percutaneous Coronary Intervention
Tajti P JACC: Cardiovascular Interventions
Volume 12, Issue 4, February 2019
Guide catheter size compatibility
2 corsairs
2 Finecross + monorail anchoring balloon
A) Combination of Finecross and monorail balloon;
B) combination of two Finecross microcatheters;
C) combination of Valet and monorail balloon;
D) combination of Valet and Finecross.
A) Combination of Stingray® (Boston Scientific, )
and 1.25 mm OTW balloon;
B) combination of two Corsairs and a monorail balloon;
C) combination of two Corsairs and IVUS probe;
D) combination of Venture and Corsair plus IVUS probe.
7F
8F
6F
Ghione M EuroIntervention 2013;9:290-291. DOI: 10.4244/EIJV9I2A46
IVUS easier
Appropriate guide
catheter selection
• Larger Guiding
– More passive support
– Better torque transmission
– More multidevice compatibility
– More coronary opacification
But
– Higher bleeding risk
– Higher ischemic risk
• Smaller Guiding
– Less passive support
– Poorer torque transmission
– Less multidevice compatibility
– Less coronary opacification
but
– Lower bleeding risk
– Lower ischemic risk
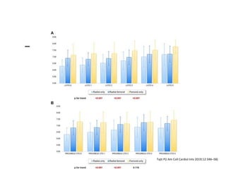
Temporal Trends of Procedural Outcomes of Chronic Total
Occlusion Interventions Using Transradial Approach (Radial-Only
or Radial-Femoral) Between 2012 and 2018
Tajti P JACC: Cardiovascular Interventions
Volume 12, Issue 4, February 2019
How increase GC size with TRA
• Use of slender sheaths
(terumo) : thin walled
sheaths allowing 7F GC
into sheath with outer
diameter of a 6F sheath
• Sheathless 7F or 8F
transradial technique
TERUMO Slender Introducers
• Have Long Arrows
available (45-80 cm)
• No kinking of the
sheath
• Usefulness in case of
iliac tortuosity
• Sometimes necessity of
parallel sheath
technique (N. Reifart)
Long sheaths sometimes useful
Anchoring balloon technique
• Described in 2003
(Fujita)
• Balloon inflated in a
non target side branch
vessel
• Advantages
– Guide catheter stabilization
(Anchor by guide wire)
– Penetration power of guide wire
– Cross of balloon cath or micro cath
– Sometimes preferable to extension
GC in some anatomy: very prox
CTO,right angle takeoff...
• Limitations
– If no anatomically accessible side
branch
– If branch used supplies collateral
flow (non distal visualisation,
ischemic risk)
– Risk of damage by the GC tip
Anchoring guide wire technique
Guide catheter stabilization
RCA ostium sub occlusion calcification +++
JR4 6F
Anchoring guide wire technique with BMW
in conus artery to stabilize guide catheter
Angioplasty with 3.5*15 mm
balloon Final result after stenting
Anchoring balloon technique
Microcatheter or balloon crossing
failure
Proximal LAD CTO
CTO crossing with Gaia 2 but impossible
to cross the CTO with microcatheter
Balloon anchoring in first diagonal
branch allows crossing with
microcatheter Final Result
Anchoring balloon technique
Increase penetration power of guide
wire
Mid Cx CTO
Fielder XT and Gaia second do not cross the lesion
Progress 200 T with Anchoring balloon in first MB
Allows increase of penetration power of guide wire
Crossing of the CTO
Contro lateral injection to check
guide wire position in true lumen Final Result
Guide catheter extensions
Guide Catheter extensions
Useful if microcatheter or balloon
crossing failure
CTO could be passed with Gaia second but
impossible to cross with microcatheter at the
level of distal RCA CTO
Mid RCA CTO
Second Attempt calcified vessel No stump
Probably 2 areas of CTO (mid and distal)
Antegrade approach
Proximal advanced of guide catheter
extension over a non inflated balloon
Distal advanced of guide catheter
extension over distal balloon inflated
Despite very good support
Turnpike spiral does not cross
Next step was to use small balloon but
balloon do not completely cross the lesion
So we performed « micro debulking » of
the proximal cap with a 1.2 mm balloon
inflated at 16 atm
Rotawire via microcatheter
Burr of 1.25 mm Final result after 3 stents
Guide Catheter extensions
Useful for crossing septal
Proximal RCA CTO
J CTO 3 (Second attempt,> 20mm,>45°)
Retrograde approach
Septal Surfing with Sion
Impossible to cross septal with
microcatheter
Use of guide catheter extension
advanced over the microcatheter to
increase the support
Septal crossing with microcatheter
allowed by extension guide catheter
support
Antegrade wire positionned to allow
Reverse Cart
• Final result
Support Catheter
• CenterCross*, MultiCross* : Nitinol cage
• NovaCross* : Nitinol Wire
CenterCross*
Antegrade approach was
decided with CC
Centercross* was advanced
over a standard guide wire
Removal of the
centercross* catheter
sheath allow
deployment of the
nitinol cage
Occlusion of mid-distal RCA with diffuse calcifications of the vessel
Lesion has been crossed with
Fielder XT
Microcatheter easily cross the
lesion with the support of
CenterCross*
Balloon does not cross the lesion so exchange
fielder XT for Rotawire via the microcatheter
Rotablator with a 1.25 mm burr Final Result
Conclusion
• Optimal support is very important for CTO PCI
• Multiple tools available to achieve optimal
support
– Bigger size GC
– Long sheaths
– Anchoring techniques
– GC extensions
– Support catheter
• Possibility of combining several technique
Conclusion
• Multiple tools available to achieve optimal
support
– Bigger size GC
– Long sheaths
– Anchoring techniques
– GC extensions
– Support catheter
• Possibility of combining several technique
• Need to anticipate the tools needed for the
procedure
CenterCross
Microcath
GC extension
Distal RCA CTO Calcifications +++ D1 balloon angioplasty before implantation
of CenterCross*
Crossing of guide wire then microcatheter Final result after 3 Stents
• Must be use with a balloon
risk of coronary dissection
APPROPRIATE GUIDE
CATHETER SELECTION
Shape
-Location of the
ostium (high, low,
totally anomalous
-Ostial lesion
-Takeoff of the artery
-Aortic root size
...
• Guideliner (Teleflex*)
• Guidezilla (Boston Scientific*)
• Trapliner (Teleflex*)
• Telescope (Medtronic*)
• Table 2.2. Overview of Guide Catheter Extensions
• Name Sizes (Fr) Internal Diameter Total Length (cm)Distal Cylinder Length
• GuideLiner V3 5
• 5.5
• 6
• 7
• 8 0.046″ (1.17 mm)
• 0.051″ (1.30 mm)
• 0.056″ (1.42 mm)
• 0.062″ (1.57 mm)
• 0.071″ (1.80 mm) 150 25 cm
• XL: 40 cm
• Trapliner 6
• 7
• 8 0.056″ (1.42 mm)
• 0.062″ (1.57 mm)
• 0.071″ (1.80 mm) 150 13 cm
• Guidezilla II 6
• 7
• 8 0.057″ (1.45 mm)
• 0.063″ (1.60 mm)
• 0.072″ (1.83 mm) 145 25 cm
• XL: 40 cm
• Guidion 5
• 6
• 7
• 8 0.041″ (1.04 mm)
• 0.056″ (1.42 mm)
• 0.062″ (1.57 mm)
• 0.071″ (1.80 mm) 150 25 cm
Plan the procedure
• Good angiogram (TRA preferred)
• Analysis of the radial or femoral route is crucial
• Specific devices planed? (IVUS-ADR…)
• Which vessel is the target? (RCA ostia)
Courtesy J. Spratt
• Access site
• Access site selection is important in CTO PCI for providing appropriate
support, and allowing enough space for simultaneous use of multiple
devices. Many operators recommend 8-F guiding catheters, mostly via
transfemoral access, even though they may carry higher risk for vascular
complications (59). Fluoroscopic guidance before puncture using surgical
forceps was associated with ideal access position in >93% of 528 patients
undergoing CTO PCI, and low (0.89%) incidence of adverse events (60).
• In one study transradial CTO PCI was effective in appropriately selected
cases (61), however the more complex lesions were performed using
bifemoral access. In another study that compared transradial (n = 280) and
transfemoral (n = 305) CTO PCIs, although technical success was similar in
the 2 access groups (74.6% vs. 72.5%; p = 0.51), complex (J-CTO score ≥3)
cases performed using transradial access had significantly lower technical
success rates than those done using transfemoral access (35.7% vs. 58.2%;
p = 0.004) (62). Many operators are currently performing biradial CTO PCI
using 7-F slender sheaths (Terumo, Somerset, New Jersey) or sheathless 8-
F transradial guide catheters. Transradial access can and is increasingly
being used for CTO PCI among expert transradial operators (63), but may
be associated with lower success and efficiency (63),
Guiding Catheter extensions !
Mid RCA CTO
Second Attempt
No stump
Probably 2 areas of CTO
Calcified Vessel
–
Tajti P(J Am Coll Cardiol Intv 2019;12:346–58)
Tajti P (J Am Coll Cardiol Intv 2019;12:346–58)
Percutaneous Coronary Intervention
Temporal Trends of Procedural Outcomes of Chronic Total Occlusion Interventions Using Transradial
Approach (Radial-Only or Radial-Femoral) Between 2012 and 2018
(A) Technical success (p = 0.045). (B) Procedural success (p = 0.019). (C) In-hospital major adverse
cardiac events (MACE) (p = 0.82). (D) Vascular access and bleeding complications (p = 0.641 and p =
0.009). CTO = chronic total occlusion; PCI = percutaneous coronary intervention.
• utilization of a
GuideLiner within a
GuideLiner or the
“mother-daughter-
granddaughter” double
GuideLiner technique
With the courtesy of D Karmpaliotis
Septal crossing with microcatheter
allowed by extension guide catheter Final Result after Reverse Cart
Proximal LAD CTO CTO crossing with Gaia 2 but crossing failure
by microcatheter
Balloon anchoring in first diagonal branch allows
Crossing with microcatheter
Final result
Mid Cx CTO Anchoring for penetration power
After crossing failure with guide wire
Controlateral injection
Result after stenting
• Power Knuckle: Difficult to get across prox cap.
Prox balloon inflated to pin micro in vessel,
now can push hard on knuckle.
• Power Knuckle: Difficult to get across prox cap.
Prox balloon inflated to pin micro in vessel,
now can push hard on knuckle.

Optimize guide catheter support

  • 1.
    Optimize guide cathetersupport Fabrice Leroy Hôpital Privé La Louvière, Lille, France
  • 2.
  • 3.
    First step =Plan the procedure • Good angiogram • Complexity of the lesion • Which vessel is the target? (RCA ostia...) • Which strategy is planed ? ( Antegrade, Retrograde , Dissection Reentry..) • Specific devices planed ? (IVUS,ADR...) • Femoral or radial • ...... Courtesy J. Spratt
  • 4.
    Passive support • GCwith back up • Larger GC • Long sheath • Anchoring Balloon Active support • Deep GC intubation • GC extensions • Support Catheter (CenterCross*, MultiCross*)
  • 5.
    Appropriate guide catheterselection Shape • Left or Right coronary • Location of the ostium (high, low, totally anomalous ) • Ostial lesion associated • Takeoff of the artery • Aortic root size • ...
  • 6.
    Appropriate guide catheterselection Shape • Left coronary artery – Extra back up catheter : • EBU • XB • Voda – AL (CX) : ostial injury risk • Right coronary artery – AL 0.75 or AL 1 – JR 4 – 3 D Right Curve – MP,LIMA
  • 7.
    Appropriate guide catheterselection Size : Bigger is Better ?
  • 8.
    Size of ArterialSheaths Used for Chronic Total Occlusion Percutaneous Coronary Intervention Tajti P JACC: Cardiovascular Interventions Volume 12, Issue 4, February 2019
  • 9.
    Guide catheter sizecompatibility 2 corsairs 2 Finecross + monorail anchoring balloon A) Combination of Finecross and monorail balloon; B) combination of two Finecross microcatheters; C) combination of Valet and monorail balloon; D) combination of Valet and Finecross. A) Combination of Stingray® (Boston Scientific, ) and 1.25 mm OTW balloon; B) combination of two Corsairs and a monorail balloon; C) combination of two Corsairs and IVUS probe; D) combination of Venture and Corsair plus IVUS probe. 7F 8F 6F Ghione M EuroIntervention 2013;9:290-291. DOI: 10.4244/EIJV9I2A46 IVUS easier
  • 10.
    Appropriate guide catheter selection •Larger Guiding – More passive support – Better torque transmission – More multidevice compatibility – More coronary opacification But – Higher bleeding risk – Higher ischemic risk • Smaller Guiding – Less passive support – Poorer torque transmission – Less multidevice compatibility – Less coronary opacification but – Lower bleeding risk – Lower ischemic risk
  • 11.
    Temporal Trends ofProcedural Outcomes of Chronic Total Occlusion Interventions Using Transradial Approach (Radial-Only or Radial-Femoral) Between 2012 and 2018 Tajti P JACC: Cardiovascular Interventions Volume 12, Issue 4, February 2019
  • 12.
    How increase GCsize with TRA • Use of slender sheaths (terumo) : thin walled sheaths allowing 7F GC into sheath with outer diameter of a 6F sheath • Sheathless 7F or 8F transradial technique TERUMO Slender Introducers
  • 13.
    • Have LongArrows available (45-80 cm) • No kinking of the sheath • Usefulness in case of iliac tortuosity • Sometimes necessity of parallel sheath technique (N. Reifart) Long sheaths sometimes useful
  • 14.
  • 15.
    • Described in2003 (Fujita) • Balloon inflated in a non target side branch vessel
  • 16.
    • Advantages – Guidecatheter stabilization (Anchor by guide wire) – Penetration power of guide wire – Cross of balloon cath or micro cath – Sometimes preferable to extension GC in some anatomy: very prox CTO,right angle takeoff... • Limitations – If no anatomically accessible side branch – If branch used supplies collateral flow (non distal visualisation, ischemic risk) – Risk of damage by the GC tip
  • 17.
    Anchoring guide wiretechnique Guide catheter stabilization
  • 18.
    RCA ostium subocclusion calcification +++ JR4 6F Anchoring guide wire technique with BMW in conus artery to stabilize guide catheter
  • 19.
    Angioplasty with 3.5*15mm balloon Final result after stenting
  • 20.
    Anchoring balloon technique Microcatheteror balloon crossing failure
  • 21.
    Proximal LAD CTO CTOcrossing with Gaia 2 but impossible to cross the CTO with microcatheter
  • 22.
    Balloon anchoring infirst diagonal branch allows crossing with microcatheter Final Result
  • 23.
    Anchoring balloon technique Increasepenetration power of guide wire
  • 24.
    Mid Cx CTO FielderXT and Gaia second do not cross the lesion Progress 200 T with Anchoring balloon in first MB Allows increase of penetration power of guide wire Crossing of the CTO
  • 25.
    Contro lateral injectionto check guide wire position in true lumen Final Result
  • 26.
  • 28.
    Guide Catheter extensions Usefulif microcatheter or balloon crossing failure
  • 29.
    CTO could bepassed with Gaia second but impossible to cross with microcatheter at the level of distal RCA CTO Mid RCA CTO Second Attempt calcified vessel No stump Probably 2 areas of CTO (mid and distal) Antegrade approach
  • 30.
    Proximal advanced ofguide catheter extension over a non inflated balloon Distal advanced of guide catheter extension over distal balloon inflated
  • 31.
    Despite very goodsupport Turnpike spiral does not cross Next step was to use small balloon but balloon do not completely cross the lesion So we performed « micro debulking » of the proximal cap with a 1.2 mm balloon inflated at 16 atm
  • 32.
    Rotawire via microcatheter Burrof 1.25 mm Final result after 3 stents
  • 33.
  • 34.
    Proximal RCA CTO JCTO 3 (Second attempt,> 20mm,>45°) Retrograde approach Septal Surfing with Sion
  • 35.
    Impossible to crossseptal with microcatheter Use of guide catheter extension advanced over the microcatheter to increase the support
  • 36.
    Septal crossing withmicrocatheter allowed by extension guide catheter support Antegrade wire positionned to allow Reverse Cart
  • 37.
  • 38.
    Support Catheter • CenterCross*,MultiCross* : Nitinol cage • NovaCross* : Nitinol Wire
  • 39.
  • 40.
    Antegrade approach was decidedwith CC Centercross* was advanced over a standard guide wire Removal of the centercross* catheter sheath allow deployment of the nitinol cage Occlusion of mid-distal RCA with diffuse calcifications of the vessel
  • 41.
    Lesion has beencrossed with Fielder XT Microcatheter easily cross the lesion with the support of CenterCross*
  • 42.
    Balloon does notcross the lesion so exchange fielder XT for Rotawire via the microcatheter Rotablator with a 1.25 mm burr Final Result
  • 43.
    Conclusion • Optimal supportis very important for CTO PCI • Multiple tools available to achieve optimal support – Bigger size GC – Long sheaths – Anchoring techniques – GC extensions – Support catheter • Possibility of combining several technique
  • 45.
    Conclusion • Multiple toolsavailable to achieve optimal support – Bigger size GC – Long sheaths – Anchoring techniques – GC extensions – Support catheter • Possibility of combining several technique • Need to anticipate the tools needed for the procedure
  • 47.
    CenterCross Microcath GC extension Distal RCACTO Calcifications +++ D1 balloon angioplasty before implantation of CenterCross*
  • 48.
    Crossing of guidewire then microcatheter Final result after 3 Stents
  • 50.
    • Must beuse with a balloon risk of coronary dissection
  • 52.
    APPROPRIATE GUIDE CATHETER SELECTION Shape -Locationof the ostium (high, low, totally anomalous -Ostial lesion -Takeoff of the artery -Aortic root size ...
  • 54.
    • Guideliner (Teleflex*) •Guidezilla (Boston Scientific*) • Trapliner (Teleflex*) • Telescope (Medtronic*)
  • 56.
    • Table 2.2.Overview of Guide Catheter Extensions • Name Sizes (Fr) Internal Diameter Total Length (cm)Distal Cylinder Length • GuideLiner V3 5 • 5.5 • 6 • 7 • 8 0.046″ (1.17 mm) • 0.051″ (1.30 mm) • 0.056″ (1.42 mm) • 0.062″ (1.57 mm) • 0.071″ (1.80 mm) 150 25 cm • XL: 40 cm • Trapliner 6 • 7 • 8 0.056″ (1.42 mm) • 0.062″ (1.57 mm) • 0.071″ (1.80 mm) 150 13 cm • Guidezilla II 6 • 7 • 8 0.057″ (1.45 mm) • 0.063″ (1.60 mm) • 0.072″ (1.83 mm) 145 25 cm • XL: 40 cm • Guidion 5 • 6 • 7 • 8 0.041″ (1.04 mm) • 0.056″ (1.42 mm) • 0.062″ (1.57 mm) • 0.071″ (1.80 mm) 150 25 cm
  • 57.
    Plan the procedure •Good angiogram (TRA preferred) • Analysis of the radial or femoral route is crucial • Specific devices planed? (IVUS-ADR…) • Which vessel is the target? (RCA ostia) Courtesy J. Spratt
  • 61.
    • Access site •Access site selection is important in CTO PCI for providing appropriate support, and allowing enough space for simultaneous use of multiple devices. Many operators recommend 8-F guiding catheters, mostly via transfemoral access, even though they may carry higher risk for vascular complications (59). Fluoroscopic guidance before puncture using surgical forceps was associated with ideal access position in >93% of 528 patients undergoing CTO PCI, and low (0.89%) incidence of adverse events (60). • In one study transradial CTO PCI was effective in appropriately selected cases (61), however the more complex lesions were performed using bifemoral access. In another study that compared transradial (n = 280) and transfemoral (n = 305) CTO PCIs, although technical success was similar in the 2 access groups (74.6% vs. 72.5%; p = 0.51), complex (J-CTO score ≥3) cases performed using transradial access had significantly lower technical success rates than those done using transfemoral access (35.7% vs. 58.2%; p = 0.004) (62). Many operators are currently performing biradial CTO PCI using 7-F slender sheaths (Terumo, Somerset, New Jersey) or sheathless 8- F transradial guide catheters. Transradial access can and is increasingly being used for CTO PCI among expert transradial operators (63), but may be associated with lower success and efficiency (63),
  • 63.
  • 68.
    Mid RCA CTO SecondAttempt No stump Probably 2 areas of CTO Calcified Vessel
  • 70.
    – Tajti P(J AmColl Cardiol Intv 2019;12:346–58)
  • 71.
    Tajti P (JAm Coll Cardiol Intv 2019;12:346–58)
  • 72.
  • 73.
    Temporal Trends ofProcedural Outcomes of Chronic Total Occlusion Interventions Using Transradial Approach (Radial-Only or Radial-Femoral) Between 2012 and 2018 (A) Technical success (p = 0.045). (B) Procedural success (p = 0.019). (C) In-hospital major adverse cardiac events (MACE) (p = 0.82). (D) Vascular access and bleeding complications (p = 0.641 and p = 0.009). CTO = chronic total occlusion; PCI = percutaneous coronary intervention.
  • 75.
    • utilization ofa GuideLiner within a GuideLiner or the “mother-daughter- granddaughter” double GuideLiner technique With the courtesy of D Karmpaliotis
  • 77.
    Septal crossing withmicrocatheter allowed by extension guide catheter Final Result after Reverse Cart
  • 78.
    Proximal LAD CTOCTO crossing with Gaia 2 but crossing failure by microcatheter Balloon anchoring in first diagonal branch allows Crossing with microcatheter Final result
  • 79.
    Mid Cx CTOAnchoring for penetration power After crossing failure with guide wire Controlateral injection Result after stenting
  • 80.
    • Power Knuckle:Difficult to get across prox cap. Prox balloon inflated to pin micro in vessel, now can push hard on knuckle.
  • 81.
    • Power Knuckle:Difficult to get across prox cap. Prox balloon inflated to pin micro in vessel, now can push hard on knuckle.