Module 4 – Queuing Theory
What is a Queuing system???
Waiting for service is part of our daily life….
Example:
we wait to eat in restaurants….
We queue up in grocery stores…
Jobs wait to be processed on machine…
Vehicles queue up at traffic signal….
Planes circle in a stack before given permission to land at an airport….
Unfortunately, we can not eliminate waiting time without incurring expenses…
But, we can hope to reduce the queue time to a tolerable levels… so that we can avoid adverse impact….
Why study???? What analytics can be drawn??? Analytics means ---- measures of performance such as
1. Average queue length
2. Average waiting time in the queue
3. Average facility utilization….
….
These measure will help to design the optimal facility,
Example 1
McBurger is a fast-food restaurant with three service counters. The manager has commissioned a study to investigate
complaints about slow service. The study reveals the following relationship between the number of service counters
and the waiting time for service :
No of cashiers 1 2 3 4 5 6 7
Average waiting time (min) 16.2 10.3 6.9 4.8 2.9 1.9 1.3
With 3 counter facility:
Avg waiting time = 6.9≈7
Now if the manager wants to reduce the waiting to 3 min --- he should create addition 2 more counter along with 3
Elements of a queuing model
A basic queueing system --- customer, queue, server
Source: it is the from which customers are generated. The customers may be generated from a finite source or infinite
source.
Finite source – limits the customers arriving for service ex: machines arriving for service to a repair persons
Infinite source – no limit ex: patients to a physician
Customer: The one who wants service. Ex: People, vehicles, machines, WIP, etc.
Server: The one who provides service. Ex: People, group, machines, vehicles, electronic devices, etc.
Examples: identify the customers and servers
1. Planes arriving at an airport ---- customer: planes server: runway
2. Taxi stand where cabs serve waiting customers Customer: passenger server: taxi
3. Legal court cases
4. Check out operation in a super market
5. Parking lot operations
6. Tools checked out from a crib in a machining shop
7. Letters processed in a post office
8. Registration for classes in a university
The customers on arrival at the facility, can start service immediately or wait in the queue is the facility is busy.
when the facility completes service it automatically pulls a waiting customer if any or
if queue is empty, the facility can be idle until a new customer arrives.
To analyse the queue:
Arrival: Represented by INTERARRIVAL TIME between successive customers.
Service: Represented by SERVICE TIME per customer.
These interarrival and service times can be:
a) Deterministic
b) Probabilistic
Queue Size: It may be finite size as in the case of jobs waiting between two successive machines or it may be infinite
as in case of online selling
Queue discipline: it represents the order in which the customers are selected from a queue. Most common discipline
are FCFS. The other disciplines may be Last come first serve (LCFS) , service in random order (SIRO). Or the customers
may also be selected based on priority…
Understanding the queueing behaviour is important …. To analyse the waiting lines
Human customers ---- may “Jockey” from one queue to another queue in the hope of reducing waiting.
They may also BALK - Balking occurs when potential customers arriving at a queueing system choose not to enter it
They may also RENEGE - Reneging occurs when customers in a queueing system choose to leave the system prior to
receiving service
The design of the service facility may include
Parallel servers ----- bank operations
The servers may be arranged in series ----- jobs processed on successive machines
The servers may be networked ----- routers in a computer network
PURE BIRTH MODELS AND PURE DEATH MODELS
These are the 2 queueing situations…
Pure birth model --- arrivals only are allowed… example: creation of birth certificates for newly born babies…
Pure death model ---- departures only permitted example: random withdrawal of a stocked item in a store
Pure Birth Model
The queueing model in which only arrivals occur and never leave the system.
Theorem: If the arrivals are completely random, then the probability distribution of number of arrivals in a fixed time
interval follows a “POISSON DISTRIBUTION”
Let’s define,
Pn(t) = Probability of ‘n’ arrivals at time ‘t’.
For small change in time ‘h’, we shall assume that only one arrival at time ‘h’, h>0
Probability of 1 arrival during this small interval ‘h’ = λh
Probability of no arrival during this small interval ‘h’ = 1 - λh
Pn(t+h) = Pn-1(t)*prob. of 1 arrival+ Pn(t)*prob. of no arrival
Pn(t+h) = Pn-1(t)* λh + Pn(t)*(1- λh)
Pn(t+h) = Pn-1(t)* λh + Pn(t) - Pn(t) λh
Pn(t+h) - Pn(t) = Pn-1(t)* λh - Pn(t) λh
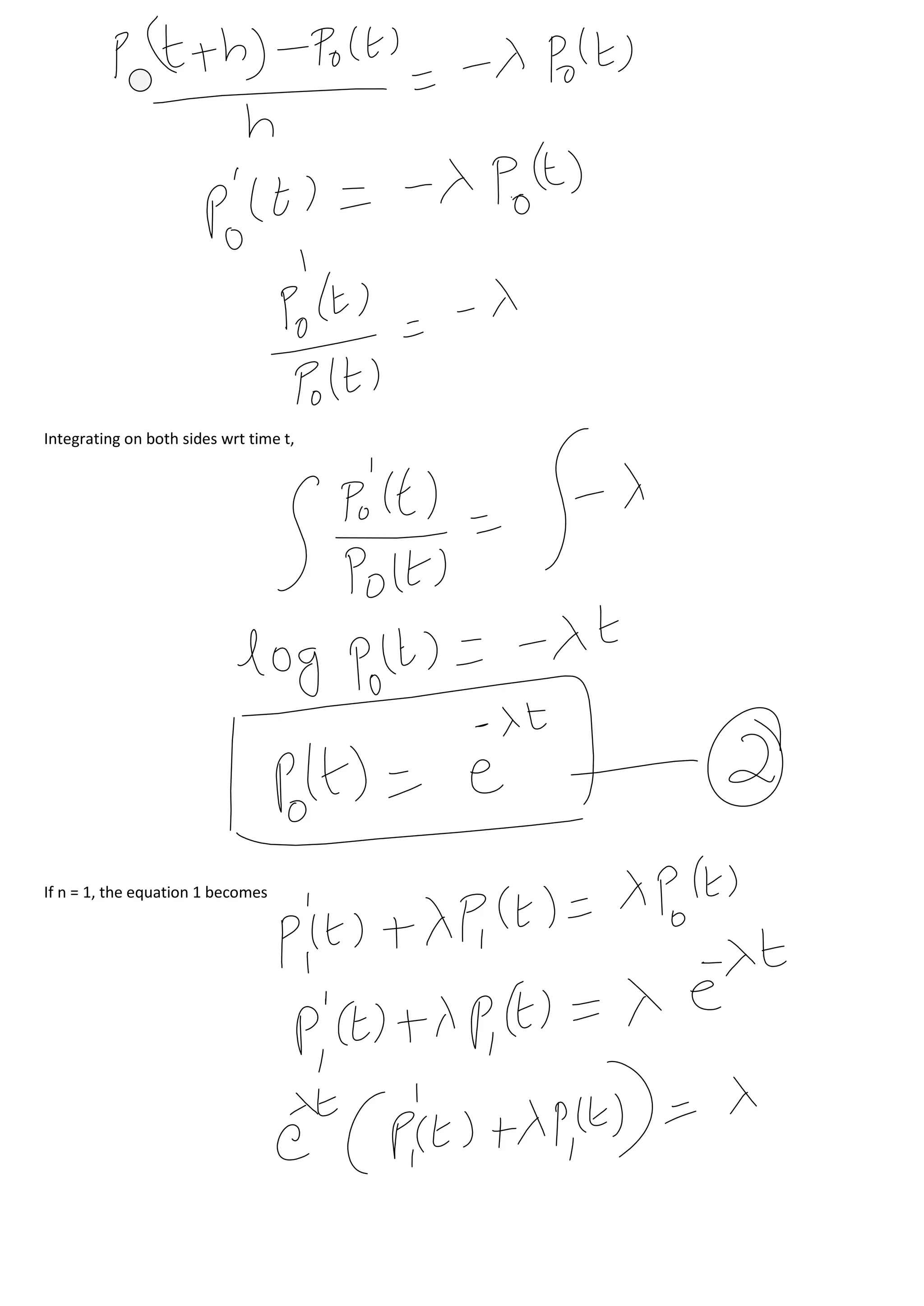
Pn(t+h) - Pn(t) Pn-1(t)* λ - Pn(t) λ
Integrating on both sides wrt time t,
If n = 1, the equation 1 becomes
The above derivation shows that the pure birth process can be modelled as POISSON Distribution, with mean arrival rate
of ‘λt’ during time interval t.
NOTE: If the time between arrivals is exponential with mean 1/λ, then the number of arrivals during a specified period
time t is poisson with mean of λt. The converse is also true.
Pure Death Model :
The queueing model in which only departures occur and no arrival takes place
This model represents distribution of departures i.e. it gives us the model to define the departure process by using
Probability distribution of departures.
Theorem: If the departures are completely random, then the probability distribution of number of departures in a fixed
time interval follows a poisons distribution.
In this model, the system starts with N customers at time 0 and no arrivals are allowed. Departures occurs at the rate µ
customers per unit time.
The poisons model is given by:
𝑝𝑛(𝑡) =
(𝜇𝑡)𝑁−𝑛
ⅇ−𝜇𝑡
(𝑁 − 𝑛)!
, 𝑛 = 1,2,3, … … . . , 𝑁
𝑝0(𝑡) = 1 − ∑ 𝑝𝑛(𝑡)
𝑁
𝑛=1
Queueing models are also called waiting line models
What happens when individual or people come and join queue
Common example:
Going to a doctor
When people/entities who arrive – arrivals
Who require service from another entity – service
There is a line or queue where a person is joining this system.
Typical example of doctor
These arrivals and service assumed to follows distribution, i.e. they are not
deterministic but they are probabilistic.
Normally, arrivals/service are assumed to follow poisson distribution
Queueing models can be of several types.
Single server queueing model example: only one server.
Multiple server queueing model example: railway reservation system
With in these above two models, there are two catergories,
Finite queue length: Here we try to restrict the queue length to a certain limit after which we say that, if this threshold is
reached, people who come into the system do not join the system.
Garage:
Single server (single mechanic)
Garage has a space to park, say 6 cars. For example some one entering into the garage to give for service, if some slots is
available in the garage to park his vehicle then he will be in the queue, else he will leave the system without joining the
line without service.
Infinite queue length: if there are already three people are waiting for a doctor, the fourth person will join line and so
on. There is no restriction on no. of people waiting or there is no restriction on the length of the queue. The queue
length can be theoretically ∞, so it can go on and on.
Finite population model
Example:
The maintenance department attends to provide service, when any one of these machines breakdown.
i.e. breakdown represents arrival, and service is the time provided by the maintenance team to attend to these
breakdowns.
Infinite population model
(population represents anybody who can come for service to the system)
The example above said i.e. doctor, mechanic, railway reservation system all come under infinite population model
The doctor example: Single server, infinite queue length, infinite population
The mechanic example: single server, finite queue length, infinite population
We study, normally a situation with infinite population compared to finite population
Queueing system is characterized by the distribution of these arrivals and distribution of service.
Most of the time it is also observed that the arrivals follow a Poisson distribution, with arrival rate λ per hour.
Most of the time service times follows the exponential distribution, with service rate of µ per hour.
Both these distributions are related. Poisson distribution has an important property called MEMORY Less Property.
KENDALL’S AND LEE’S NOTATION OF QUEUEING MODELS
The above figure is a queueing situation with ‘c’ servers. A waiting customer is selected from the queue to start service
with the available first server.
Arrival rate at the system is λ customer per unit time. All parallel server are identical, that means the service rate of any
server is µ customers per unit time.
No. of customers in the system = No. of customers in the waiting in the queue + No. of customers in the service.
A convenient notation for summarizing the characteristics of the above queueing situation is given by the following
format:
(a/b/c) : (d/e/f)
Where
a = Arrivals distribution, follows Poisson distribution or it could be deterministic
b = Departure (service time) distribution, follows exponential distribution or it could be deterministic
c = No. of parallel server (=1,2,…..∞)
d = Queue discipline (FCFS, LCFS, SIRO, general discipline)
e = Finite queue length or infinite queue length
f = Finite source or infinite source
example:
(M/D/10) : (GD/20/∞) this model uses Poisson arrivals (or exponential interarrival time), Constant service time, 10
parallel servers, queue discipline is general discipline, finite queue length of 20 customers on the entire system, and size
of source from which customers arrive is infinite.
Single server Infinite queue length Infinite Source
Multiple server Finite queue length Finite source
M/M/1 queueing Models:
The single server model that we shall use is M/M/1:-/∞/∞
We shall assume 1 event will take place in a very small interval of time ‘h’, where h>0
Event is either arrival or service
We want to study, what is the probability that this system has
0 people – p0
1 person – p1
2 persons ---p2
3 persons
And so on
We should know, landa, Mu and c
i.e. input values are landa, Mu and c
Output values are Ls, Lq,Ws and Wq
Pn(t+h) = pn-1(t)*one arrival*no service
+
Pn+1(t)*no arrival*1service
+
Pn(t)*no arrival*no service
Pn(t+h) = pn-1(t)*λh*(1-µh) + pn+1(t)*(1-λh)*µh + pn(t)* (1-λh)* (1-µh)
Pn(t+h) = pn-1(t)* λh + pn+1(t)* µh+ pn(t) - pn(t) *λh - pn(t)* µh
Pn(t+h) – pn(t) / h = pn-1(t)* λ + pn+1(t)* µ - pn(t) (λ+µ)
Under steady state, LHS = 0, therefore
pn-1(t)* λ + pn+1(t)* µ = pn(t) (λ + µ)
all probabilities are steady state probabilities at n-1,n+1 and n
From the customer point of view, we would like to
find:
Length of the system – Ls
Length of the queue – Lq
Waiting time in the system – Ws
Waiting time in the queue – Wq
Expected no. of busy servers =
P0(t+h) =
P1(t)*no arrival*1service
+
P0(t)*no arrival*no service
Po(t+h) = p1(t)*(1-λh)*µh + p0(t)* (1-λh)* 1
Po(t+h) = p1(t)* µh + p0(t) - p0(t)*λh
Po(t+h) - p0(t) / h = p1(t)* µ - p0(t)*λ
p1(t)* µ = p0(t)*λ
p1(t)/ p0(t) = λ / µ
Eq 1, put n = 1
pn-1(t)* λ + pn+1(t)* µ = pn(t) (λ + µ)
p0(t)* λ + p2(t)* µ = p1(t)*λ + p1(t)*µ
p0(t)* λ + p2(t)* µ = p1(t)*λ + po(t)* λ
p2(t)* µ = p1(t)*λ
p2(t) /p1(t) = λ / µ
WKT, sum of probabilities is equal to 1,
Po+p1+p2+p3+p4+…..+…∞ = 1
Po (1+𝜌 + 𝜌2 + 𝜌3 … … . . ) = 1
λ/µ <1
p0 (1/1- 𝜌) = 1
po = 1 – 𝜌
Ls =
Ls = Lq +expected served
Ls = Lq +lamda/mu
Ls = lamda*Ws
Lq = lamda*Wq
Ws = Wq +1/mu

Operations Research_18ME735_module 4 - queuing systems.pdf

  • 1.
    Module 4 –Queuing Theory What is a Queuing system??? Waiting for service is part of our daily life…. Example: we wait to eat in restaurants…. We queue up in grocery stores… Jobs wait to be processed on machine… Vehicles queue up at traffic signal…. Planes circle in a stack before given permission to land at an airport…. Unfortunately, we can not eliminate waiting time without incurring expenses… But, we can hope to reduce the queue time to a tolerable levels… so that we can avoid adverse impact…. Why study???? What analytics can be drawn??? Analytics means ---- measures of performance such as 1. Average queue length 2. Average waiting time in the queue 3. Average facility utilization…. …. These measure will help to design the optimal facility, Example 1 McBurger is a fast-food restaurant with three service counters. The manager has commissioned a study to investigate complaints about slow service. The study reveals the following relationship between the number of service counters and the waiting time for service : No of cashiers 1 2 3 4 5 6 7 Average waiting time (min) 16.2 10.3 6.9 4.8 2.9 1.9 1.3 With 3 counter facility: Avg waiting time = 6.9≈7 Now if the manager wants to reduce the waiting to 3 min --- he should create addition 2 more counter along with 3
  • 2.
    Elements of aqueuing model A basic queueing system --- customer, queue, server Source: it is the from which customers are generated. The customers may be generated from a finite source or infinite source. Finite source – limits the customers arriving for service ex: machines arriving for service to a repair persons Infinite source – no limit ex: patients to a physician Customer: The one who wants service. Ex: People, vehicles, machines, WIP, etc. Server: The one who provides service. Ex: People, group, machines, vehicles, electronic devices, etc. Examples: identify the customers and servers 1. Planes arriving at an airport ---- customer: planes server: runway 2. Taxi stand where cabs serve waiting customers Customer: passenger server: taxi 3. Legal court cases 4. Check out operation in a super market 5. Parking lot operations 6. Tools checked out from a crib in a machining shop 7. Letters processed in a post office 8. Registration for classes in a university The customers on arrival at the facility, can start service immediately or wait in the queue is the facility is busy. when the facility completes service it automatically pulls a waiting customer if any or if queue is empty, the facility can be idle until a new customer arrives. To analyse the queue: Arrival: Represented by INTERARRIVAL TIME between successive customers. Service: Represented by SERVICE TIME per customer. These interarrival and service times can be: a) Deterministic b) Probabilistic Queue Size: It may be finite size as in the case of jobs waiting between two successive machines or it may be infinite as in case of online selling
  • 3.
    Queue discipline: itrepresents the order in which the customers are selected from a queue. Most common discipline are FCFS. The other disciplines may be Last come first serve (LCFS) , service in random order (SIRO). Or the customers may also be selected based on priority… Understanding the queueing behaviour is important …. To analyse the waiting lines Human customers ---- may “Jockey” from one queue to another queue in the hope of reducing waiting. They may also BALK - Balking occurs when potential customers arriving at a queueing system choose not to enter it They may also RENEGE - Reneging occurs when customers in a queueing system choose to leave the system prior to receiving service The design of the service facility may include Parallel servers ----- bank operations The servers may be arranged in series ----- jobs processed on successive machines The servers may be networked ----- routers in a computer network PURE BIRTH MODELS AND PURE DEATH MODELS These are the 2 queueing situations… Pure birth model --- arrivals only are allowed… example: creation of birth certificates for newly born babies… Pure death model ---- departures only permitted example: random withdrawal of a stocked item in a store Pure Birth Model The queueing model in which only arrivals occur and never leave the system. Theorem: If the arrivals are completely random, then the probability distribution of number of arrivals in a fixed time interval follows a “POISSON DISTRIBUTION” Let’s define, Pn(t) = Probability of ‘n’ arrivals at time ‘t’. For small change in time ‘h’, we shall assume that only one arrival at time ‘h’, h>0 Probability of 1 arrival during this small interval ‘h’ = λh Probability of no arrival during this small interval ‘h’ = 1 - λh Pn(t+h) = Pn-1(t)*prob. of 1 arrival+ Pn(t)*prob. of no arrival Pn(t+h) = Pn-1(t)* λh + Pn(t)*(1- λh) Pn(t+h) = Pn-1(t)* λh + Pn(t) - Pn(t) λh Pn(t+h) - Pn(t) = Pn-1(t)* λh - Pn(t) λh Pn(t+h) - Pn(t) Pn-1(t)* λ - Pn(t) λ
  • 5.
    Integrating on bothsides wrt time t, If n = 1, the equation 1 becomes
  • 7.
    The above derivationshows that the pure birth process can be modelled as POISSON Distribution, with mean arrival rate of ‘λt’ during time interval t. NOTE: If the time between arrivals is exponential with mean 1/λ, then the number of arrivals during a specified period time t is poisson with mean of λt. The converse is also true. Pure Death Model : The queueing model in which only departures occur and no arrival takes place This model represents distribution of departures i.e. it gives us the model to define the departure process by using Probability distribution of departures. Theorem: If the departures are completely random, then the probability distribution of number of departures in a fixed time interval follows a poisons distribution. In this model, the system starts with N customers at time 0 and no arrivals are allowed. Departures occurs at the rate µ customers per unit time. The poisons model is given by: 𝑝𝑛(𝑡) = (𝜇𝑡)𝑁−𝑛 ⅇ−𝜇𝑡 (𝑁 − 𝑛)! , 𝑛 = 1,2,3, … … . . , 𝑁 𝑝0(𝑡) = 1 − ∑ 𝑝𝑛(𝑡) 𝑁 𝑛=1 Queueing models are also called waiting line models What happens when individual or people come and join queue Common example: Going to a doctor When people/entities who arrive – arrivals Who require service from another entity – service There is a line or queue where a person is joining this system. Typical example of doctor
  • 8.
    These arrivals andservice assumed to follows distribution, i.e. they are not deterministic but they are probabilistic. Normally, arrivals/service are assumed to follow poisson distribution Queueing models can be of several types. Single server queueing model example: only one server. Multiple server queueing model example: railway reservation system With in these above two models, there are two catergories, Finite queue length: Here we try to restrict the queue length to a certain limit after which we say that, if this threshold is reached, people who come into the system do not join the system. Garage: Single server (single mechanic) Garage has a space to park, say 6 cars. For example some one entering into the garage to give for service, if some slots is available in the garage to park his vehicle then he will be in the queue, else he will leave the system without joining the line without service. Infinite queue length: if there are already three people are waiting for a doctor, the fourth person will join line and so on. There is no restriction on no. of people waiting or there is no restriction on the length of the queue. The queue length can be theoretically ∞, so it can go on and on.
  • 9.
    Finite population model Example: Themaintenance department attends to provide service, when any one of these machines breakdown. i.e. breakdown represents arrival, and service is the time provided by the maintenance team to attend to these breakdowns. Infinite population model (population represents anybody who can come for service to the system) The example above said i.e. doctor, mechanic, railway reservation system all come under infinite population model The doctor example: Single server, infinite queue length, infinite population The mechanic example: single server, finite queue length, infinite population We study, normally a situation with infinite population compared to finite population Queueing system is characterized by the distribution of these arrivals and distribution of service. Most of the time it is also observed that the arrivals follow a Poisson distribution, with arrival rate λ per hour. Most of the time service times follows the exponential distribution, with service rate of µ per hour. Both these distributions are related. Poisson distribution has an important property called MEMORY Less Property.
  • 10.
    KENDALL’S AND LEE’SNOTATION OF QUEUEING MODELS The above figure is a queueing situation with ‘c’ servers. A waiting customer is selected from the queue to start service with the available first server. Arrival rate at the system is λ customer per unit time. All parallel server are identical, that means the service rate of any server is µ customers per unit time. No. of customers in the system = No. of customers in the waiting in the queue + No. of customers in the service. A convenient notation for summarizing the characteristics of the above queueing situation is given by the following format: (a/b/c) : (d/e/f) Where a = Arrivals distribution, follows Poisson distribution or it could be deterministic b = Departure (service time) distribution, follows exponential distribution or it could be deterministic c = No. of parallel server (=1,2,…..∞) d = Queue discipline (FCFS, LCFS, SIRO, general discipline) e = Finite queue length or infinite queue length f = Finite source or infinite source example: (M/D/10) : (GD/20/∞) this model uses Poisson arrivals (or exponential interarrival time), Constant service time, 10 parallel servers, queue discipline is general discipline, finite queue length of 20 customers on the entire system, and size of source from which customers arrive is infinite. Single server Infinite queue length Infinite Source Multiple server Finite queue length Finite source M/M/1 queueing Models: The single server model that we shall use is M/M/1:-/∞/∞ We shall assume 1 event will take place in a very small interval of time ‘h’, where h>0
  • 11.
    Event is eitherarrival or service We want to study, what is the probability that this system has 0 people – p0 1 person – p1 2 persons ---p2 3 persons And so on We should know, landa, Mu and c i.e. input values are landa, Mu and c Output values are Ls, Lq,Ws and Wq Pn(t+h) = pn-1(t)*one arrival*no service + Pn+1(t)*no arrival*1service + Pn(t)*no arrival*no service Pn(t+h) = pn-1(t)*λh*(1-µh) + pn+1(t)*(1-λh)*µh + pn(t)* (1-λh)* (1-µh) Pn(t+h) = pn-1(t)* λh + pn+1(t)* µh+ pn(t) - pn(t) *λh - pn(t)* µh Pn(t+h) – pn(t) / h = pn-1(t)* λ + pn+1(t)* µ - pn(t) (λ+µ) Under steady state, LHS = 0, therefore pn-1(t)* λ + pn+1(t)* µ = pn(t) (λ + µ) all probabilities are steady state probabilities at n-1,n+1 and n From the customer point of view, we would like to find: Length of the system – Ls Length of the queue – Lq Waiting time in the system – Ws Waiting time in the queue – Wq Expected no. of busy servers =
  • 12.
    P0(t+h) = P1(t)*no arrival*1service + P0(t)*noarrival*no service Po(t+h) = p1(t)*(1-λh)*µh + p0(t)* (1-λh)* 1 Po(t+h) = p1(t)* µh + p0(t) - p0(t)*λh Po(t+h) - p0(t) / h = p1(t)* µ - p0(t)*λ p1(t)* µ = p0(t)*λ p1(t)/ p0(t) = λ / µ Eq 1, put n = 1 pn-1(t)* λ + pn+1(t)* µ = pn(t) (λ + µ) p0(t)* λ + p2(t)* µ = p1(t)*λ + p1(t)*µ p0(t)* λ + p2(t)* µ = p1(t)*λ + po(t)* λ p2(t)* µ = p1(t)*λ p2(t) /p1(t) = λ / µ
  • 13.
    WKT, sum ofprobabilities is equal to 1, Po+p1+p2+p3+p4+…..+…∞ = 1 Po (1+𝜌 + 𝜌2 + 𝜌3 … … . . ) = 1 λ/µ <1 p0 (1/1- 𝜌) = 1 po = 1 – 𝜌 Ls =
  • 14.
    Ls = Lq+expected served Ls = Lq +lamda/mu Ls = lamda*Ws Lq = lamda*Wq Ws = Wq +1/mu