OBESITY AWARENESS
Dr Sharanya Rajan
DEFINITION
 Latin word ―OBESUS‖meaning stout, fat, plump.
 It is defined as a state of excess adipose tissue.
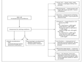
 BMI ≥ 30
OBESITY VS OVERWEIGHT
Overweight – Fat
Fluid
Muscle mass
Bone
Tumours
Obesity – Fat ( adipose tissue )
EPIDEMIOLOGY
 >1.6 billion overweight of which 400 million are
obese
 Women > men
 More common even in poor
States Males (%) Males rank Females (%) Females rank
India 12.1 14 16 15
States Males (%) Males rank Females (%) Females rank
Punjab 30.3 1 37.5 1
Kerala 24.3 2 34 2
Goa 20.8 3 27 3
Tamil Nadu 19.8 4 24.4 4
Andhra Pradesh 17.6 5 22.7 10
Sikkim 17.3 6 21 8
Mizoram 16.9 7 20.3 17
Himachal
Pradesh
16 8 19.5 12
Maharashtra 15.9 9 18.1 13
Gujarat 15.4 10 17.7 7
Haryana 14.4 11 17.6 6
Karnataka 14 12 17.3 9
Manipur 13.4 13 17.1 11
Uttarakhand 11.4 15 14.8 14
REGULATION OF APPETITE
 Appetite – lateral hypothalamus
 Satiety – ventromedial hypothalamus
Destruction of LHA leads to starvation and death.
Destruction of VMA leads to obesity.
OTHER CENTRES IN REGULATION OF APPETITE :
primary1. Arcuate Nuclei-
site for action of leptin and insulin.
2. Para Ventricular Nuclei-
AMP kinase mediated appetite regulation
3. Dorsomedial Hypothalamic Nuclei-
destruction leads to hyperphagia and obesity
NEURO HUMORAL FACTORS IN OBESITY
 Adipokines – Leptin, Resistin, Adiponectin, Retinol
binding Protein 4, Visfatin
 Pancreatic hormones – Insulin, Pancreatic
Polypeptide (PP/PYY/NPY)
 Gut Hormones - Incretins
LEPTIN
 Leptin acts on receptors in the hypothalamus of the
brain where it:
1. counteracts the effects of neuropeptide Y (a
potent feeding stimulant secreted by cells in the
gut and in the hypothalamus);
2. counteracts the effects of anandamide (another
potent feeding stimulant that binds to the same
receptors as THC, the active ingredient of
marijuana)
3. promotes the synthesis of α-MSH, an appetite
suppressant;
RESULT- inhibition of food intake.
LEPTIN
Increase leptin
Increased Melanocortin receptor signal
Increased
POMC
Increased alpha-MSH
DecreasedAppetite
PC 1
LEPTIN
 This inhibition is long-term, in contrast to


Cholecystokinin(CCK)- the rapid inhibition
PPY- the slower suppression of hunger
between meals
 Leptin also acts on hypothalamic neurons
responsible for :


the secretion of gonadotropin-releasing
hormone (GnRH).
stimulating the sympathetic nervous system
to modulate the balance between the
formation and breakdown of bone.
LEPTIN
In addition to its effect on the hypothalamus, leptin
acts directly on:
 the cells of the liver and skeletal muscle where it
stimulates the oxidation of fatty acids in the
mitochondria. This reduces the storage of fat in
those tissues (but not in adipose tissue).
 T cells where it enhances the production of Th1
cells promoting inflammation.
LEPTIN
RESISTIN
 In humans, Resistin is primarily a product of
macrophages, not fat cells.
 Resistin causes insulin resistance
 There is a strong association in humans between
elevated levels of Resistin, Obesity, and Type 2
diabetes
 over 80% of the people with NIDDM are obese
ADIPONECTIN
 Its circulating levels are 1000 fold higher than leptin
or insulin.
 It plays a role in increasing energy expenditure and
decreasing body weight also increases insulin
sensitivity
 Thiazolidinediones increase this hormone via
PPAR-gamma
 Its level are increased after starvation.
RETINOL BINDING PROTEIN 4
When it is secreted in elevated amounts by fat cells, it
:
1. Suppresses glucose uptake by skeletal muscle;
2. Enhances glucose release by the liver.
 These actions counteract those of insulin.
 Elevated levels of RBP4 occur in humans with Type
2 diabetes mellitus.
VISFATIN
 Produced by visceral fat
 Increase in response to fatty diet
 Role in adipose differentiation
PANCREATIC HORMONES
 Plasma PP are inversely co related with adipocity
 Patients with Prader Willi have decrease amount of
PP
GUT HORMONES
 PYY-
1. Secreted from L cells of GI tract
2. Reduces food intake
 Ghrelin-
1. mainly secreted from stomach
2. A potent Orexigenic
 Cholecystokinin
1. Mainly secreted in duodenum
2. Decreasing meal size and duration both.
ADIPOSE
TISSUE
Tnf alpha
IL 6 PAI 1
Decrease
GLUT 4
Impaired signal
transduction of
insulin
atherosclerosis
Impaired insulin
signalling
Decrease NO
mediated vaso
dilatation
INSULIN
RESISTANCE
ETIOLOGY OF OBESITY
 A heterogeneous group of disorders
 Complexity of neuroendocrine and metabolic
syndromes regulate energy intake, storage and
expenditure.
 Obesity is caused by imbalance between energy
intake and expenditure.
 Obesity runs in families
 Inheritance is not mendelian.
ETIOLOGY OF OBESITY- TWIN STUDIES
 Identical twins have similar BMIs
 High concordance between monozygotic twins
compared to dizygotic twins
 correlations did not differ significantly between
twins reared apart and twins reared together
ETIOLOGY OF OBESITY- ADOPTION STUDIES
 Strong relationship between the BMI of adoptees
and biological parents.
PLEIOTROPIC OBESITY SYNDROMES
 Autosomal dominant
Ulnar Mammary Syndrome: 12q24
Other features- Ulnar defects, delayed puberty,
hypoplastic nipples.
PLEIOTROPIC OBESITY SYNDROMES
 Autosomal Recessive
• Alstrom syndrome : 2p13
Other features-. Retinal dystrophy, neurosensory
deafness, diabetes
• Cohen syndrome : 8q22
Other features- Prominent central incisors,
opthalmopathy, microcephaly
PLEIOTROPIC OBESITY SYNDROMES
 Autosomal Recessive
• Carpenter syndrome :
(Acrocephalopolysyndactyly)
Other features- acrocephaly, polydactyly, genu
valgum, secondary hypogonadism.
• Laurence Moon Biedl syndrome:
Other features-short stature with primary
hypogonadism and onset at 1 – 2 years
PLEIOTROPIC OBESITY SYNDROMES
 X linked
•Borjeson-Forssman-Lehmann syndrome : Xq26
Other features- Mental retardation, hypogonadism,
large ears
• Mehmo syndrome : Xp22
Other features- Mental retardation, epilepsy,
hypogonadism, microcephaly
PLEIOTROPIC OBESITY SYNDROMES
 X linked
• Simpson-Golabi-Behmel - type 2 : Xp22
Other features- Craniofacial defects, skeletal and
visceral abnormalities
• Wilson-Turner syndrome : Xp21
Other features- Mental retardation, tapering fingers,
gynaecomastia
PRADER WILLI SYNDROME
 Most common syndromal cause of human obesity
 Prevalence of about 1 in 25,000
 uniparental maternal disomy(15q11.2-q12 )
 Caused by deletion or disruption of a paternally
imprinted gene on the proximal long arm of
chromosome 15.
 Characterized by diminished foetal activity, obesity,
hypotonia, mental retardation, short stature,
hypogonadotropic hypogonadism, and small hands
and feet
 Hyperphagia is a dominant feature in PWS
PRADER WILLI SYNDROME
 diminished growth
 reduced muscle mass (lean body mass)
 increased fat mass - body composition
 hypogonadotrophic hypogonadism
 Fasting plasma ghrelin levels are 4.5-fold higher in
PWS subjects
ALBRIGHT HEREDITARY OSTEODYSTROPHY
 AHO is an autosomal dominant disorder
 Germline mutations in GNAS1
 Decrease expression/function of G alpha s protein.
 short stature, obesity, skeletal defects, and
impaired olfaction.
FRAGILE X SYNDROME
 extreme obesity (no hypotonia = pws)
 a full, round face
 small, broad hands and feet
 regional skin hyperpigmentation
 severe mental retardation
 macro-orchidism
 large ears
 prominent jaw
 and high-pitched jocular speech
BARDET BIEDL SYNDROME
 AUTOSOMAL RECESSIVE DISEASE
 OBESITY
 MENTAL RETARDATION
 DYSPHORMIC EXTREMITIES
(SYNDACTYLY, BRA OR POLYDACTYLY)
 RETINAL DYSTROPHY OR PIGMENTARY
RETINOPATHY
 HYPOGONADISM OR HYPOGENITALISM (LIMITED
TO MALE PATIENTS)
 STRUCTURAL ABNORMALITIES OF THE KIDNEY
chydactyly
MONOGENIC HUMAN OBESITY
 In the past five years several human disorders of
energy balance that arise from genetic defects have
been described.
 Mutations all result in morbid obesity in childhood
without the developmental pleiotropic features
characteristic of the recognised syndromes of
childhood obesity.
INCREASE LEPTIN
Increased Melanocortin receptor signal
Increased
POMC
Increased alpha-MSH
DecreasedAppetite
PC 1
leptin receptor
Decreased
AgRP
CONGENITAL LEPTIN DEFICIENCY
 The first monogenic human obesity syndrome.
 Homozygous for a frameshift mutation in the ob
gene (ob/ob)
 Hyperphagic-constantly demanding food
 An intense drive to eat-never satisfied.
 They developed severe disabling obesity (an 8yr
old girl weighing 86kg and a 2yr old boy weighing
29kg)
 Advanced skeletal maturation
 Impaired T cell mediated immunity
 Hypogonadotropic hypogonadism
CONGENITAL LEPTIN DEFICIENCY
CONGENITAL LEPTIN DEFICIENCY
 The administration of leptin to leptin-deficient ob/ob
mice results in a decrease in food intake, weight
loss and restoration of fertility and T cell mediated
immune function.
 Leptin-deficient children have been treated with
daily subcutaneous injections of recombinant
human leptin for up to four years with sustained,
beneficial effects on appetite, fat mass,
hyperinsulinaemia and hyperlipidaemia.
LEPTIN RECEPTOR DEFICIENCY
 consanguineous family
 loss of the leptin receptor results in a more diverse
phenotype than loss of its ligand leptin.
 normal birthweight
 exhibited rapid weight gain in the first few months of
life
 aggressive behaviour when denied food
 decreased IGF-1 and IGF-BP3 levels
 hypothalamic hypothyroidism
INCREASE LEPTIN
Increased Melanocortin receptor signal
Increased
POMC
Increased alpha-MSH
DecreasedAppetite
PC 1
leptin receptor
Decreased
AgRP
POMC DEFICIENCY
 Pro-opiomelanocortin (POMC) is produced by
hypothalamic neurones of the arcuate nucleus
 presented in neonatal life with adrenal crisis due to
isolated ACTH deficiency
 hyperphagic, developing early-onset obesity
 pale skin and red hair due to the lack of MSH
function
INCREASE LEPTIN
Increased Melanocortin receptor signal
Increased
POMC
Increased alpha-MSH
DecreasedAppetite
PC 1
leptin receptor
Decreased
AgRP
PROHORMONE CONVERTASE 1 DEFICIENCY
 childhood obesity
 abnormal glucose homeostasis
 very low plasma insulin
 elevated levels of pro insulin
 hypogonadotropic hypogonadism
 hypocortisolaemia
 elevated levels of POMC
INCREASE LEPTIN
Increased Melanocortin receptor signal
Increased
POMC
Increased alpha-MSH
DecreasedAppetite
PC 1
leptin receptor
Decreased
AgRP
MELANOCORTIN 4 RECEPTOR DEFICIENCY
 Mutations in the MC4R appear to be the
commonest monogenic cause of obesity
 increase in lean body mass
 Increased bone mineral density
 increased linear growth throughout childhood
 hyperphagia
 severe hyperinsulinaemia
INCREASE LEPTIN
Increased Melanocortin receptor signal
Increased
POMC
Increased alpha-MSH
DecreasedAppetite
PC 1
leptin receptor
Decreased
AgRP
AGRP DEFICIENCY
 AgRP antagonizes alpha MSH action
 So deficiency leads to overexpression of MC4R
receptor.
OTHER MOLECULAR DEFECTS
 TUB gene – late onset Obesity
 FAT gene – obesity by disruption of neuropeptides.
ENDOCRINAL ABNORMALITIES-
CUSHING SYNDROME
 Increased cortisol production
 Hypertension
 Glucose intolerance
 Cushingoid facies
ENDOCRINAL ABNORMALITIES-
HYPOTHYROIDISM
 Uncommon cause of obesity
 Much of weight gain is due to Myxedema
 Ruled out by serum TSH.
ENDOCRINAL ABNORMALITIES-
INSULINOMA
 In order to avoid hypoglycemia patients often eat
more leading to weight gain.
 High insulin promote fat genesis.
ENDOCRINAL ABNORMALITIES-
SYNDROME X
 Central obesity
 Glucose intolerance
 Dyslipidemia
 hypertension
ENDOCRINAL ABNORMALITIES-
PCOD
 2 out 3 criteria for diagnosis
1) Menstruation irregularities due oligo/an
ovulation(progesterone level at 21st day of cylcle)
2) Clinical or biochemical evidence of
hyperandrogenism.
3) USG s/o ovarian cysts.
CRANIOPHARYNGIOMA-OTHER DISORDERS OF
HYPOTHALAMUS
 Tumours
 inflammation
 trauma
 GH decreases but Somatomedin is normal.
VIRAL ETIOLOGY ??
 Virus SMAM-1 – in chicken.
 Virus Ad-36 found almost exclusively in obese
human beings
 The mechanism by which Ad-36 causes obesity is
unclear.
 It can be hypothesized that hypothalamic damage
caused by viruses might be a cause.
MEASUREMENT OF OBESITY
 BMI
 Waist hip ratio
 Skin fold thickness
 Biometric impedance
 Ultrasound
 DEXA (Dual Energy XrayAbsorptiometry
 CT / MRI
 Air displacement Plethysmography
 Total body electrical conductivity
 Hydrometry (most accurate)
BODY MASS INDEX (BMI)
 Calculated as Weight(kg)/Height(m^2)
 Correlation between rise in BMI and Complications.
 BMI measures individual’s total weight relative to its
height.
 BMI may be high in a vey muscular person
 For similar BMIs women have greater fat mass than
their male counterparts
 So BMI may be misleading in certain cases
BMI PRIME
 BMI Prime - A simple modification of the BMI.
 The ratio of actual BMI to upper limit BMI (currently
defined at BMI 25).
 Individuals can tell, what percentage they deviate
from normal.
 BMI Prime
1. < 0.74 – underweight
2. between 0.74 and 0.99 - optimal weight
3. >/=1.00 overweight
Category BMI BMI Prime Weight of a
person with this
BMI(Kg)
Severely
underweight
Less than 16.5 Less than 0.66 Less than 53.5
Underweight 16.5 to 18.5 0.66 to 0.74 53.5 to 60
Normal 18.5 to 25 0.74 to 1 60 to 81
Overweight 25 to 30 1 to 1.2 81 to 97
Obese I 30 to 35 1.2 to 1.4 97 to 113
Obese II 35 to 40 1.4 to 1.6 113 to 130
Severely Obese 40 to 45 1.6 to 1.8 130 to 146
Morbid Obese 45 to 50 1.8 to 2.0 146 to 162
Super Obese 50 to 60 2.0 to 2.4 162 to 194
Hyper Obese Above 60 Above 2.4 Above 194
WAIST TO HIP RATIO
 Central or abdominal obesity is associated with
more co morbid conditions.
 So measuring central obesity is of greater
significance
 W/H ratio is taken by a simple measure tape
 in men > 102 cm/90
 in women > 88 cm/80
DISEASE RISK (RELATIVE TO NORMAL
WEIGHT AND WAIST CIRCUMFERENCE)
Class Men < 102 Women < 88
cm
Men 102 cm
Women 88 cm
Underweight -- -- --
Normal -- -- --
Overweight increases increases high
Obesity grade I high high Very high
Obesity grade II Very high Very high Very high
Extreme obesity Extremely high Extremely high Extremely high
SKIN FOLD THICKNESS
 Harpenders callipers / MRNL callipers
 It is measured at biceps/triceps/illiac and
interscapular.
 Total of all four sites is considered
15-45 mm – 8-22 % of total body fat
46-75 mm – 23-30 % of total body fat
76-150 mm – 31-40 % of total body fat
151-170 mm – 41-45 % of total body fat
Upto 22% it is normal (males)
Upto 30% it is normal (females)
BIOMETRIC IMPEDANCE
 Radio frequency current is introduced in body
through electrodes
 Fat has less number of electrolytes
 Water is less conductive
CT/MRI
 They can differentiate subcutaneous from visceral
fat and so are important in research purposes.
DEXA (DUAL ENERGY
XRAY ABSORPTIOMETRY)
AIR DISPLACEMENT PLETHYSMOGRAPHY
TOTAL BODY ELECTRICAL CONDUCTIVITY
HYDROMETRY (MOST ACCURATE)
CLASSIFICATION OF OBESITY (BMI)
 Underweight- BMI < 18.5
 Normal weight- BMI between 18.5 to 24.9
 Overweight- BMI between 25.0 to 29.9
 Obese grade I- BMI between 30.0 to 34.9
 Obese grade II- BMI between 35.0 to 39.0
 Obese grade III ( morbid obese)- BMI ≥ 40
CLASSIFICATION OF OBESITY (BMI)
 Starvation
 Underweight
 Normal
 Overweight
 Obese
 Morbidly Obese
Less than 14.9
From 15 to 18.4
From 18.5 to 22.9
From 23 to 27.5
From 27.6 to 40
Greater than 40
It is used in SINGAPORE.
It is to applied in INDIA.
CLASSIFICATION OF OBESITY (CLINICAL)
 Stage 0: no apparent obesity-related risk factors
 Stage 1: presence of obesity-related sub-clinical
risk factors, mild physical symptoms.
 Stage 2: presence of established obesity-related
chronic disorders
 Stage 3: established end-organ damage
 Stage 4: severe (end-stage?) disabilities
CLASSIFICATION OF OBESITY (FAT)
 82% lean
 18% body fat body mass
 Body fat 25% in men -obese
 Body fat 30% in women – obese
 This method is used in JAPAN.
CLASSIFICATION OF OBESITY (SHAPE)
 Apples- Android
It is characterized by central abdominal obesity
It is clinically more important as disease are more
correlated with this abdominal fat
 Pears – Gynecoid
It is characterized by accumulation of fat around hip
and buttocks.
CO MORBIDITIES OF OBESITY
 Insulin resistance
 Type II diabetes mellitus
 Reproductive disorders
 Cardiovascular disorders
 Pulmonary disorders
 Gastrointestinal diseases
 Renal diseases
 Cancers
 Bone, joint and cutaneous diseases
 Retinal diseases
 Psychological problems
OBESITY AND INSULIN RESISTANCE
 Mainly associated with Intra abdominal fat
 Mainly muscle and adipose are resistant.
 Factors that play a role are
1. Insulin
2. FFA  decreased mitochondria  decrease
action of insulin.
3. Intracellular lipid accumulation
4. Adipokines (resistin) decreases mRNA expression
5. TNF-alpha, IL-6  inflammatory process
6. Reduced activity of Leptin, Adiponectin
INSULIN RESISTANCE-COMPLICATIONS
 Muscle – hyperglycemia and DM II
 Kidneys – Salt retention and Hypertension
 Ovaries – Increase testosterone and PCOS
 Heart – Increase plasminogen activator inhibitor (
PAI 1) and ACS
 Cancers – Colon, Prostrate, Breast
 Sympathetic system – Increase Cytokines and
increase Blood Pressure.
OBESITY AND DIABETES
 Though patients develop IR not all develop
Diabetes.
 Though it’s a major risk factor for DM.( 85% of type
II DM are Obese)
 If BMI > 35 - 93 times more likely to develop DM.
 There is direct correlation between BMI and DM.
OBESITY AND DYSLIPIDAEMIA
 Increase LDL, TG
 Decrease HDL
 All this is because of decrease activity of
Lipoprotein Lipase.
 10% wt gain  12 mg/dl increase in cholesterol.
 With treatment there is improvement in
dyslipidemias
OBESITY AND HYPERTENSION
 Increased blood volume
 Increase cardiac output
 Increase sympathetic tone
 Increase Salt sensitivity
 Salt retention by insulin
 Increase angiotensinogen
HYPERTENSION
OBESITY AND METABOLIC SYNDROME
Insulin
resistance
obesity dyslipidemia hypertension
DEADLY
QUARTET
METABOLIC
SYNDROME
OBESITY AND GASTRO INTESTINAL DISEASES
 Esophagus – GERD
 Stomach – gastroparesis ( DM )
 Gall stones
 NASH
 NAFLD
OBESITY AND REPRODUCTIVE DISORDERS
Men
 Plasma Testosterone and SHBG are reduced
 Increase Estrogen
 Gynaecomastia seen
Secondary sexual characters preserved.
Women
 IncreasedAndrogen
 Decrease SHBG
 PCOS
 Uterine cancer (lower body obesity )
 Not only fertility but their chances of IVF success
reduces
OBESITY AND ATHEROSCLEROSIS
 Leptin causes ROS production from monocytes
 Low Adiponectin reduces protection from monocyte
adhesion
 TNF alpha, IL6, ICAM1 and VCAM1 affect
endothelium via Transcription Factor KB
 PAI1 increased by TF-KB
 Angiotensinogen increases
OBESITY AND CARDIOVASCULAR DISEASE
 Hypertension
 Dyslipidaemias
 Endothelial damage
 Diabetes
 OSA
 W/H ratio may be the best predictor
 BMI > 29…..3 fold rise in MI
 Obesity is responsible for 17% of all CVD
 Angina increases by 1.8 times
 MI increases by 3.2 and 1.5 fold in woman and men
respectively. .
Cardi vascular
complications
OBESITY AND LVH
 It is eccentric as well concentric hypertrophy
 Causes
Hypertension ( eccentric )
Increased blood volume  Starling principle
 There is fatty infiltration of myocytes
OBESITY AND CARDIOMYOPATHY
 Fat accumulates in cords of cells leadin to a variety
of conduction disturbances.
 All kinds of ARRYTHMIAS
 AF in presence of LVH poorly tolerated.
 QT prolongation in 10% cases.
Fatty infiltration of conducting system.
Hypercapnia
Hypoxia
CAD
Sleep Apnoea
OBESITY AND STROKE
 Abdominal Obesity is an independent risk factor
Others include
Hypertension
Dyslipidaemis
OBESITY AND PULMONARY DISEASE
 SDB – Sleep Disordered Breathing ( AHI )
 OSAS – Obstructive Sleep Apnoea Syndrome
 OHS – Obesity Hypoventilation Syndrome
 Asthma
OSAS – OBSTRUCTIVE SLEEP APNOEA
SYNDROME
 > 30 episodes
 Apnoea > 10 sec (SDB – Sleep Disordered
Breathing )
 Daytime drowsiness
 Snoring at night
 Memory loss
 Mood swings
Cause
REM atonia
Increase soft tissue infiltration around neck
Decreased chest wall compliance
Diaphragmatic displacement in supine
OSAS – OBSTRUCTIVE SLEEP APNOEA
SYNDROME
 Complications
1. Pulmonary hypertension
2. RVF
3. HT
4. Stroke
5. Arrythmias (flutter,bradycardia)
6. VT
7. Car accidents
OHS – OBESITY HYPOVENTILATION
SYNDROME
 Old name – PICKWICKIAN SYNDROME
 Chronic alveolar hypoventilation in Obese with BMI
> 30 (PaO2 <70 PaCO2 >45 )
 Cause
High work of breathing
Dysfunction of respiratory centre
Repeated nocturnal sleep apnoea
OBESITY AND ASTHMA
Cause
Reduced TLC
Reduced RV and FRC
Relation between obesity and asthma is because
1. Common etiologies
2. Co morbidities
3. Adipokines
4. Mechanical factors
OBESITY AND RENAL DISEASE
 Increase glomerular remodelling
 Increase kidney weight-increased cellular
proliferation.
 This changes in long term lead to glomerular
sclerosis and DM nephropathy.
OBESITY AND CANCERS
 Obesity is the biggest preventable cause of Cancer
after smoking.
 Accounts for 14% of cancer deaths in Men and
20% in women.
Males : Females :
Esophagus
Colon
Rectum
Pancreas
Liver
Prostrate
Gall bladder
Bile ducts
Breasts
Endometrium
Cervix
Ovaries
OBESITY AND SKIN DISEASES
 Acanthosis Nigricans:
Thickening of skin folds of neck, elbows,
Dorsal interphalyngeal spaces
Reflects severity of IR
 Friability of skin and varicosities.
 Aggravation of other conditions caused by DM
1. Necrobiosis lipoidica
2. Ulcers
3. Infections
OBESITY AND ORTHOPAEDIC DISEASE
 Osteoarthritis
 Hyperuricemia
 Gout
 Accidental injury- decrased mobility, daytime
somnolence
OBESITY AND RETINAL DISEASE
 Overweight diabetics are twice more likely to
develop retinopathy than non obese.
 Waist to hip ratio was only second to glycaemic
control in its importance in preventing retinopathy.
OBESITY AND PSYCHOLOGICAL PROBLEMS
Are obese people more jolly?
NO
Obesity  psychological problems
Psychological problems  obesity
OBESITY AND PSYCHOLOGICAL PROBLEMS
 50% overweight lack self confidence
 Depression
Obesity has more risk of depression in Women
 More physical and sexual abuse
 Lack of attention
 Low education
 Low self esteem
MANAGEMENT OF OBESITY
It is a chronic medical condition
Definition of successful treatment:
 Attainment of normal weight
 No treatment induced morbidity
This is rarely achieved in clinical practice.
MANAGEMENT OF OBESITY
LIFE STYLE MODIFICATION
DIET
 Low calorie diet
 Low in saturated fats
 Normal protein intake
 Increased fibers in diet
 Low density foods
 1000 K cal deficit produces 1 kg wt loss per week
SELF LIMITING
 No matter what the calorie intake is the constituents
remain in same proportion
 i.e
Carbohydrates 55%
Fat 30%
Protein 15%
 Results in wt loss 2-6 kg over1 year
FIXED ENERGY DIET
 Intake is limited by controlling portion sizes, menu
choice and composition
 Minimal self monitoring
 1200 to 1800 kcal
 Lack of compliance to this rigid pattern
LOW CALORIE DIET
 800-1000 Kcal
 Applicable to most of the patients
 Fewer restrictions than VLCD.
 Supplementation of vitamins and minerals is
required
 Over a year there is reduction of 6 to 7 kgs.
VERY LOW CALORIE DIET
 400 – 600 calorie diet.
 Even below one’s basal metabolic rate
 Used for period of 1 to 2 months under medical
supervision
 45 to 70 % protein
 30 to 50 % carbohydrates
 2g fat
 Supplemented with vitamins, minerals and trace
elements
 Greater wt loss compared to restrictive diets
VERY LOW CALORIE DIET
 Complications -fatigue, hair loss, dry skin, dizziness
difficulty concentrating, cholelithiasis, pancreatitis,
gall stones.
 Contraindications – pregnancy, cancer, MI, hepatic
disease, CV Stroke.
TOTAL FASTING
 Not recommended
 There is diuresis, natriuresis
 All deficiencies
 Re Feeding Syndrome-severe an potentially fatal
electrolyte, fluid and metabolic abnormalities when
feeding is resumed.
LIQUID PROTEIN DIET
 Banned
 Used in 1970’s
 Life threateningArrythmias.
HIGH PROTEIN DIETS
High protein
Increase
ketones
diuresis
Wight loss
Increase
purines and
urea
Gout
FAT INTAKE
 Decreased fat intake without decreased calories is
of no use
 Because if fat is replaced by carbohydrates there is
rise in triglycerides.
 Instead saturated fats should be replaced by MUFA
or PUFA
PHYSICAL ACTIVITY
 ScienceDaily (Dec. 12, 2008) — Severely obese
patients who have lost significant amounts of
weight by changing their diet and exercise habits
may be as successful in keeping the weight off
long-term as those individuals who lost weight after
bariatric surgery, according to a new study
published online by the International Journal of
Obesity
PHARMACOTHERAPY
 Indications -
1. BMI > 30
2. BMI > 27 with risk factors like HT, DM, CHD,
Sleep Apnoea, Dyslipidemia.
PHARMACOTHERAPY
 Phenteramine
 Phenylpropanolamine
 Fenfluramine
 Fen-phen
 Sibutramine
 Orlistat
 Ribonabant
 Metformin
 Olestra
 Leptin
PHARMACOTHERAPY
 Tesofensine
 Betahistine
 Amylin
 Melanocortin-4 receptor agonist
 Neuropeptide Y antagonists
 Beta(3) adrenergic agonists
 Glucagon-like peptide-1 agonists.
AMPHETAMINE
 Dextro amphetamine was used as anti obesity drug
 Tachycardia, HT, Abuse potential
PHENTERAMINE
 Amphetamine like drug
 Act centrally to reduce appetite
 Low addictive potential
 Modest efficacy
 CVS side effects
FENFLURAMINE
 Inhibit serotonin uptake
 Modest efficacy as single agent
FEN PHEN
 Combination fenfluramine and phentermine
 drugs exerted independent actions on brain satiety
mechanisms
 Primary Pulmonary hypertension increases 20 fold
in this patients.
 Drug was withdrawn in 1997.
SIBUTRAMINE
 Originally an anti depressant
 Mechanism of action –
Mono amine reuptake inhibitor ( primarily serotonin
and norepinephrine )
 Site of action - Central nervous system
 Absorption – 77 %
 Protein binding – 94 %
SIBUTRAMINE
 Time to peak concentration – 1-2 Hrs.
 Metabolism – Hepatic enzymes, Cytochrome 3A4
to active metabolites M1 and M2
 Excretion – Urine ( 77 % )
 Half Life – M1 – 14 hrs, M2 – 16 hrs
SIBUTRAMINE
 Dose – 10 to 15 once daily.
 FDA Approval – for adults and adolescents.
 Side Effects – hypertension ( DBP increases by 2 to
3 mm ) and tachycardia ( 3/ min), sweating,
dizziness and headache.
 Contraindications – coronary artery disease,
cardiac arrythmias, uncontrolled HT
 Effects – 20 % decrease in calorie intake.
SIBUTRAMINE
 Advantages
1. It causes sympathetic stimulation and thereby.
prevent decrease in BMR.
2. There is improvement in FBS.
3. Decrease in TG and cholesterol.
4. About 7 % wt loss.
ORLISTAT
 Mechanism of action – non systemic reversible
inhibitor of gastric and pancreatic lipases by
forming a covalent bond with serine residue
 Site of action - stomach and intestine
 Absorption – minimal
 Protein binding – > 99 %
ORLISTAT
 Time to peak concentration – 8 Hrs.
 Metabolism – In GI Tract to inactive metabolites.
 Excretion – Faeces ( 97 % ). 83 % is unchanged.
 Half Life – 14 – 19 hrs.
ORLISTAT
 Dose – 120 mg BD or TID with meals
 FDA Approval – for adults and adolescents as well
as children.
 Side Effects – flatulence, defecation increases, oily
evacuation, rectal leakage, steatorrhoea.
 Contraindications – cholestasis, hypersensitivity,
pregnancy, nursing mothers,
ORLISTAT
 Precautions –
1. Patient should take 3 main meals into which
dietary constituents are equally divided.
2. Multivitamins are to be added
3. High fat diet should be avoided as it will lead to
fatty large stools.
 Overdose – it is safe as significant overdoses are
seen without any harmful effects.
 Pellets – pelletized formulations increasing surface
area of the drugs are also available.
ORLISTAT
 Advantages –
1. Weight loss observed within 2 weeks of starting
therapy
2. 6 kg weight loss in a year
3. Decrease LDL cholesterol, and raises HDL
cholesterol.
4. Reduces Systolic and Diastolic blood pressure.
5. Reduces waist and hip circumferance
6. Weight regain is also less significant.
RIMONABANT
 Mechanism of action – Endocannabinoid (CB1)
receptor blocker.
 Site of action – CNS
 Absorption – not known
 Plasma protein binding – 99.9 %
 Time to peak concentration – 2 hrs
RIMONABANT
 Metabolism – hepatic enzymes
 Excretion – fecal via biliary route
 FDA approval – BANNED
 Side effects – depression, anxiety, suicidal
tendencies.
METFORMIN
 Decreases appetite and thereby reduces weight
 Since most DM II patients are Obese this is a good
choice in DM II.
OLESTRA
 Normal fats consist of a glycerol molecule with
three fatty acid tails attached.
 Olestra is synthesized using a sucrose molecule,
which can support from six to eight fatty acid chains
arranged radially like an octopus
 Too large to move through the intestinal wall and be
absorbed.
 Same taste and mouth feel as fat
 Approval as a food additive upto 35% replacement
of fats in home cooking and 75% in commercial
uses.
OLESTRA
 Decline in blood cholesterol levels
 Failed to demonstrate the 15% reduction required
by the FDA to be approved as a treatment
 Side effects-
1. abdominal cramping
2. loose stools.
3. Vitamins A, D, E, and K deficiency
4. anal leakage
5. increase in bowel movement frequency
AMYLIN
PRAMLINTIDE (BRAND NAME SYMLIN)
 Part of the endocrine pancreas and contributes to
glycemic control
 Functions as a synergistic partner to insulin
 It is cosecreted from pancreatic beta cells in
response to meals
 Reduction of food intake, slowing of gastric
emptying, inhibition of digestive secretion
 It was recently approved for adult use in patients
with both diabetes mellitus type 1 and diabetes
mellitus type 2
 Insulin and pramlintide, injected separately but both
before a meal,
TESOFENSINE
 Tesofensine (TE) is a norepinephrine, dopamine,
and serotonin reuptake inhibitor
 Originally researched for the treatment of
Alzheimer's disease and Parkinson's Disease
 Primarily as an Appetite suppressant
 Positive effects on fat oxidation and resting energy
expenditure
 Weight loss of approximately 4% for >14 weeks
without any diet and lifestyle therapy
 Final stage trials are scheduled to begin in early
2009 in which the 0.5mg dose will be tested.
TESOFENSINE
 Dry mouth
 Insomnia
 Tachycardia
 Constipation
 Nausea
 Diarrhoea
 high blood pressure
BETAHISTINE
 Blocking the brain's histamine-1 receptor causes
weight gain
 Stimulating the histamine-1 receptor appears to
reduce the craving not only for food in general but
for fatty foods in particular
 Participants lost up to 12 percent of their body
weight
 No side effects
 Not approved by FDA.
MELANOCORTIN-4 RECEPTOR AGONIST
 Suppresses food intake when administered to
db/db mice that lack functional leptin receptors
 Peptide 1 (BL3020–1), was selected according to
its selectivity in activating the MC4R, its favorable
transcellular penetration through enterocytes and
its enhanced intestinal metabolic stability
 once daily oral dosing (0.5 mg/kg/day) for 12 days
reduced weight gain.
NPY RECEPTOR ANTAGONIST (1229U91 )
 reduced spontaneous food intake
 suppressed water intake
 no abnormal change in general behavior
 suppressed spontaneous food intake in lean rats
also
 doses of 10 and 30 µg
BETA(3) ADRENERGICAGONISTS
1. Amibegron
2. Solabegron
 Enhancement of lipolysis in adipose tissue
GLUCAGON-LIKE PEPTIDE-1 AGONISTS (BOC5)
 (GLP)-1 is produced by the intestine
 stimulates insulin secretion
 Boc5 one of the first non-peptidic agonists at
glucagon-like peptide-1
 dose-dependently inhibited food intake
BARIATRIC SURGICAL TECHNIQUES
 Divided into two groups
1. Malabsorptive procedures - Induce decreased
absorption of nutrients by shortening the functional
length of the small intestine
2. Restrictive procedures - Reduce the storage
capacity of the stomach and as a result early
satiety arises, leading to a decreased caloric
intake
BARIATRIC SURGICAL TECHNIQUES
 Indications -
1. BMI greater than 40, or 100 pounds overweight
2. BMI 35-39.9 and a life-threatening condition, such
as heart disease or diabetes.
3. BMI 35-39.9 and severe physical limitations that
affect employment, mobility, and family life
MALABSORPTIVE PROCEDURES
 Jejunoileal bypass
 Biliopancreatic diversion
 Biliopancreatic diversion with duodenal switch
THE JEJUNOILEAL BYPASS
 One of the first bariatric operations
 It is associated with substantial long-term
complications -
1. liver failure
2. Malnutrition
3. electrolyte imbalances
4. vitamin deficiencies
5. renal (oxalate) stones
6. Death
 This procedure is therefore no longer performed
BILIOPANCREATIC DIVERSION
 A partial gastrectomy is performed, creating a 100–
150 ml gastric pouch
 gastro-jejunostomy or gastro-ileostomy
 long (food) limb is anastomosed to the
biliopancreatic (bile,pancreatic juice) limb
BILIOPANCREATIC DIVERSION WITH DUODENAL
SWITCH
 A pylorus-sparing sleeve gastrectomy with
duodeno-ileostomy is performed
 less cases of dumping and marginal ulcers than a
classical biliopancreatic diversion
RESTRICTIVE PROCEDURES
 Vertical banded gastroplasty
 Laparoscopic adjustable gastric band
RESTRICTIVE PROCEDURES
 simpler to perform
 less procedural complications
 Represent the current most frequently performed
restrictive procedures
 Two approaches –
1. Open
2. Laparoscopic
COMPLICATIONS
 Vomiting
 Leak into the abdomen
 Slipping or wearing away of the band
 Enlargement of the pouch
 Reflux esophagitis
 Vitamin deficiencies
 Wound infection
 Bleeding
 Abdominal hernia
 Gallstones
 Heart and lung problems
 Phlebitis, embolism
 Complications of general anesthesia
 Death, occurs in less than 1% of patients
COMBINED PROCEDURE
 Roux-en-Y gastric bypass
1. It is (at least in the United States) the most
frequently performed bariatric procedure
2. Both restrictive and malabsorptive aspects
3. A (restrictive) gastric pouch is created and
separated from the remainder of the stomach.
4. The continuity is then restored by a Roux-Y-limb,
which is connected to the jejunum
SUCCESS OF BARIATRIC PROCEDURES
 20–40 kg of weight loss
 10–15 kg/m2 reduction inBMI
THANK YOU

Obesity Awareness

  • 1.
  • 2.
    DEFINITION  Latin word―OBESUS‖meaning stout, fat, plump.  It is defined as a state of excess adipose tissue.  BMI ≥ 30
  • 3.
    OBESITY VS OVERWEIGHT Overweight– Fat Fluid Muscle mass Bone Tumours Obesity – Fat ( adipose tissue )
  • 4.
    EPIDEMIOLOGY  >1.6 billionoverweight of which 400 million are obese  Women > men  More common even in poor States Males (%) Males rank Females (%) Females rank India 12.1 14 16 15
  • 5.
    States Males (%)Males rank Females (%) Females rank Punjab 30.3 1 37.5 1 Kerala 24.3 2 34 2 Goa 20.8 3 27 3 Tamil Nadu 19.8 4 24.4 4 Andhra Pradesh 17.6 5 22.7 10 Sikkim 17.3 6 21 8 Mizoram 16.9 7 20.3 17 Himachal Pradesh 16 8 19.5 12 Maharashtra 15.9 9 18.1 13 Gujarat 15.4 10 17.7 7 Haryana 14.4 11 17.6 6 Karnataka 14 12 17.3 9 Manipur 13.4 13 17.1 11 Uttarakhand 11.4 15 14.8 14
  • 6.
    REGULATION OF APPETITE Appetite – lateral hypothalamus  Satiety – ventromedial hypothalamus Destruction of LHA leads to starvation and death. Destruction of VMA leads to obesity.
  • 7.
    OTHER CENTRES INREGULATION OF APPETITE : primary1. Arcuate Nuclei- site for action of leptin and insulin. 2. Para Ventricular Nuclei- AMP kinase mediated appetite regulation 3. Dorsomedial Hypothalamic Nuclei- destruction leads to hyperphagia and obesity
  • 8.
    NEURO HUMORAL FACTORSIN OBESITY  Adipokines – Leptin, Resistin, Adiponectin, Retinol binding Protein 4, Visfatin  Pancreatic hormones – Insulin, Pancreatic Polypeptide (PP/PYY/NPY)  Gut Hormones - Incretins
  • 9.
    LEPTIN  Leptin actson receptors in the hypothalamus of the brain where it: 1. counteracts the effects of neuropeptide Y (a potent feeding stimulant secreted by cells in the gut and in the hypothalamus); 2. counteracts the effects of anandamide (another potent feeding stimulant that binds to the same receptors as THC, the active ingredient of marijuana) 3. promotes the synthesis of α-MSH, an appetite suppressant; RESULT- inhibition of food intake.
  • 10.
    LEPTIN Increase leptin Increased Melanocortinreceptor signal Increased POMC Increased alpha-MSH DecreasedAppetite PC 1
  • 11.
    LEPTIN  This inhibitionis long-term, in contrast to   Cholecystokinin(CCK)- the rapid inhibition PPY- the slower suppression of hunger between meals  Leptin also acts on hypothalamic neurons responsible for :   the secretion of gonadotropin-releasing hormone (GnRH). stimulating the sympathetic nervous system to modulate the balance between the formation and breakdown of bone.
  • 12.
    LEPTIN In addition toits effect on the hypothalamus, leptin acts directly on:  the cells of the liver and skeletal muscle where it stimulates the oxidation of fatty acids in the mitochondria. This reduces the storage of fat in those tissues (but not in adipose tissue).  T cells where it enhances the production of Th1 cells promoting inflammation.
  • 13.
  • 14.
    RESISTIN  In humans,Resistin is primarily a product of macrophages, not fat cells.  Resistin causes insulin resistance  There is a strong association in humans between elevated levels of Resistin, Obesity, and Type 2 diabetes  over 80% of the people with NIDDM are obese
  • 15.
    ADIPONECTIN  Its circulatinglevels are 1000 fold higher than leptin or insulin.  It plays a role in increasing energy expenditure and decreasing body weight also increases insulin sensitivity  Thiazolidinediones increase this hormone via PPAR-gamma  Its level are increased after starvation.
  • 16.
    RETINOL BINDING PROTEIN4 When it is secreted in elevated amounts by fat cells, it : 1. Suppresses glucose uptake by skeletal muscle; 2. Enhances glucose release by the liver.  These actions counteract those of insulin.  Elevated levels of RBP4 occur in humans with Type 2 diabetes mellitus.
  • 17.
    VISFATIN  Produced byvisceral fat  Increase in response to fatty diet  Role in adipose differentiation
  • 18.
    PANCREATIC HORMONES  PlasmaPP are inversely co related with adipocity  Patients with Prader Willi have decrease amount of PP
  • 19.
    GUT HORMONES  PYY- 1.Secreted from L cells of GI tract 2. Reduces food intake  Ghrelin- 1. mainly secreted from stomach 2. A potent Orexigenic  Cholecystokinin 1. Mainly secreted in duodenum 2. Decreasing meal size and duration both.
  • 20.
    ADIPOSE TISSUE Tnf alpha IL 6PAI 1 Decrease GLUT 4 Impaired signal transduction of insulin atherosclerosis Impaired insulin signalling Decrease NO mediated vaso dilatation INSULIN RESISTANCE
  • 21.
    ETIOLOGY OF OBESITY A heterogeneous group of disorders  Complexity of neuroendocrine and metabolic syndromes regulate energy intake, storage and expenditure.  Obesity is caused by imbalance between energy intake and expenditure.  Obesity runs in families  Inheritance is not mendelian.
  • 22.
    ETIOLOGY OF OBESITY-TWIN STUDIES  Identical twins have similar BMIs  High concordance between monozygotic twins compared to dizygotic twins  correlations did not differ significantly between twins reared apart and twins reared together
  • 23.
    ETIOLOGY OF OBESITY-ADOPTION STUDIES  Strong relationship between the BMI of adoptees and biological parents.
  • 24.
    PLEIOTROPIC OBESITY SYNDROMES Autosomal dominant Ulnar Mammary Syndrome: 12q24 Other features- Ulnar defects, delayed puberty, hypoplastic nipples.
  • 26.
    PLEIOTROPIC OBESITY SYNDROMES Autosomal Recessive • Alstrom syndrome : 2p13 Other features-. Retinal dystrophy, neurosensory deafness, diabetes • Cohen syndrome : 8q22 Other features- Prominent central incisors, opthalmopathy, microcephaly
  • 27.
    PLEIOTROPIC OBESITY SYNDROMES Autosomal Recessive • Carpenter syndrome : (Acrocephalopolysyndactyly) Other features- acrocephaly, polydactyly, genu valgum, secondary hypogonadism. • Laurence Moon Biedl syndrome: Other features-short stature with primary hypogonadism and onset at 1 – 2 years
  • 29.
    PLEIOTROPIC OBESITY SYNDROMES X linked •Borjeson-Forssman-Lehmann syndrome : Xq26 Other features- Mental retardation, hypogonadism, large ears • Mehmo syndrome : Xp22 Other features- Mental retardation, epilepsy, hypogonadism, microcephaly
  • 30.
    PLEIOTROPIC OBESITY SYNDROMES X linked • Simpson-Golabi-Behmel - type 2 : Xp22 Other features- Craniofacial defects, skeletal and visceral abnormalities • Wilson-Turner syndrome : Xp21 Other features- Mental retardation, tapering fingers, gynaecomastia
  • 31.
    PRADER WILLI SYNDROME Most common syndromal cause of human obesity  Prevalence of about 1 in 25,000  uniparental maternal disomy(15q11.2-q12 )  Caused by deletion or disruption of a paternally imprinted gene on the proximal long arm of chromosome 15.  Characterized by diminished foetal activity, obesity, hypotonia, mental retardation, short stature, hypogonadotropic hypogonadism, and small hands and feet  Hyperphagia is a dominant feature in PWS
  • 33.
    PRADER WILLI SYNDROME diminished growth  reduced muscle mass (lean body mass)  increased fat mass - body composition  hypogonadotrophic hypogonadism  Fasting plasma ghrelin levels are 4.5-fold higher in PWS subjects
  • 35.
    ALBRIGHT HEREDITARY OSTEODYSTROPHY AHO is an autosomal dominant disorder  Germline mutations in GNAS1  Decrease expression/function of G alpha s protein.  short stature, obesity, skeletal defects, and impaired olfaction.
  • 37.
    FRAGILE X SYNDROME extreme obesity (no hypotonia = pws)  a full, round face  small, broad hands and feet  regional skin hyperpigmentation  severe mental retardation  macro-orchidism  large ears  prominent jaw  and high-pitched jocular speech
  • 38.
    BARDET BIEDL SYNDROME AUTOSOMAL RECESSIVE DISEASE  OBESITY  MENTAL RETARDATION  DYSPHORMIC EXTREMITIES (SYNDACTYLY, BRA OR POLYDACTYLY)  RETINAL DYSTROPHY OR PIGMENTARY RETINOPATHY  HYPOGONADISM OR HYPOGENITALISM (LIMITED TO MALE PATIENTS)  STRUCTURAL ABNORMALITIES OF THE KIDNEY chydactyly
  • 39.
    MONOGENIC HUMAN OBESITY In the past five years several human disorders of energy balance that arise from genetic defects have been described.  Mutations all result in morbid obesity in childhood without the developmental pleiotropic features characteristic of the recognised syndromes of childhood obesity.
  • 40.
    INCREASE LEPTIN Increased Melanocortinreceptor signal Increased POMC Increased alpha-MSH DecreasedAppetite PC 1 leptin receptor Decreased AgRP
  • 41.
    CONGENITAL LEPTIN DEFICIENCY The first monogenic human obesity syndrome.  Homozygous for a frameshift mutation in the ob gene (ob/ob)  Hyperphagic-constantly demanding food  An intense drive to eat-never satisfied.  They developed severe disabling obesity (an 8yr old girl weighing 86kg and a 2yr old boy weighing 29kg)  Advanced skeletal maturation  Impaired T cell mediated immunity  Hypogonadotropic hypogonadism
  • 42.
  • 44.
    CONGENITAL LEPTIN DEFICIENCY The administration of leptin to leptin-deficient ob/ob mice results in a decrease in food intake, weight loss and restoration of fertility and T cell mediated immune function.  Leptin-deficient children have been treated with daily subcutaneous injections of recombinant human leptin for up to four years with sustained, beneficial effects on appetite, fat mass, hyperinsulinaemia and hyperlipidaemia.
  • 46.
    LEPTIN RECEPTOR DEFICIENCY consanguineous family  loss of the leptin receptor results in a more diverse phenotype than loss of its ligand leptin.  normal birthweight  exhibited rapid weight gain in the first few months of life  aggressive behaviour when denied food  decreased IGF-1 and IGF-BP3 levels  hypothalamic hypothyroidism
  • 47.
    INCREASE LEPTIN Increased Melanocortinreceptor signal Increased POMC Increased alpha-MSH DecreasedAppetite PC 1 leptin receptor Decreased AgRP
  • 48.
    POMC DEFICIENCY  Pro-opiomelanocortin(POMC) is produced by hypothalamic neurones of the arcuate nucleus  presented in neonatal life with adrenal crisis due to isolated ACTH deficiency  hyperphagic, developing early-onset obesity  pale skin and red hair due to the lack of MSH function
  • 50.
    INCREASE LEPTIN Increased Melanocortinreceptor signal Increased POMC Increased alpha-MSH DecreasedAppetite PC 1 leptin receptor Decreased AgRP
  • 51.
    PROHORMONE CONVERTASE 1DEFICIENCY  childhood obesity  abnormal glucose homeostasis  very low plasma insulin  elevated levels of pro insulin  hypogonadotropic hypogonadism  hypocortisolaemia  elevated levels of POMC
  • 52.
    INCREASE LEPTIN Increased Melanocortinreceptor signal Increased POMC Increased alpha-MSH DecreasedAppetite PC 1 leptin receptor Decreased AgRP
  • 53.
    MELANOCORTIN 4 RECEPTORDEFICIENCY  Mutations in the MC4R appear to be the commonest monogenic cause of obesity  increase in lean body mass  Increased bone mineral density  increased linear growth throughout childhood  hyperphagia  severe hyperinsulinaemia
  • 55.
    INCREASE LEPTIN Increased Melanocortinreceptor signal Increased POMC Increased alpha-MSH DecreasedAppetite PC 1 leptin receptor Decreased AgRP
  • 56.
    AGRP DEFICIENCY  AgRPantagonizes alpha MSH action  So deficiency leads to overexpression of MC4R receptor.
  • 57.
    OTHER MOLECULAR DEFECTS TUB gene – late onset Obesity  FAT gene – obesity by disruption of neuropeptides.
  • 58.
    ENDOCRINAL ABNORMALITIES- CUSHING SYNDROME Increased cortisol production  Hypertension  Glucose intolerance  Cushingoid facies
  • 59.
    ENDOCRINAL ABNORMALITIES- HYPOTHYROIDISM  Uncommoncause of obesity  Much of weight gain is due to Myxedema  Ruled out by serum TSH.
  • 60.
    ENDOCRINAL ABNORMALITIES- INSULINOMA  Inorder to avoid hypoglycemia patients often eat more leading to weight gain.  High insulin promote fat genesis.
  • 61.
    ENDOCRINAL ABNORMALITIES- SYNDROME X Central obesity  Glucose intolerance  Dyslipidemia  hypertension
  • 62.
    ENDOCRINAL ABNORMALITIES- PCOD  2out 3 criteria for diagnosis 1) Menstruation irregularities due oligo/an ovulation(progesterone level at 21st day of cylcle) 2) Clinical or biochemical evidence of hyperandrogenism. 3) USG s/o ovarian cysts.
  • 63.
    CRANIOPHARYNGIOMA-OTHER DISORDERS OF HYPOTHALAMUS Tumours  inflammation  trauma  GH decreases but Somatomedin is normal.
  • 64.
    VIRAL ETIOLOGY ?? Virus SMAM-1 – in chicken.  Virus Ad-36 found almost exclusively in obese human beings  The mechanism by which Ad-36 causes obesity is unclear.  It can be hypothesized that hypothalamic damage caused by viruses might be a cause.
  • 65.
    MEASUREMENT OF OBESITY BMI  Waist hip ratio  Skin fold thickness  Biometric impedance  Ultrasound  DEXA (Dual Energy XrayAbsorptiometry  CT / MRI  Air displacement Plethysmography  Total body electrical conductivity  Hydrometry (most accurate)
  • 66.
    BODY MASS INDEX(BMI)  Calculated as Weight(kg)/Height(m^2)  Correlation between rise in BMI and Complications.  BMI measures individual’s total weight relative to its height.  BMI may be high in a vey muscular person  For similar BMIs women have greater fat mass than their male counterparts  So BMI may be misleading in certain cases
  • 67.
    BMI PRIME  BMIPrime - A simple modification of the BMI.  The ratio of actual BMI to upper limit BMI (currently defined at BMI 25).  Individuals can tell, what percentage they deviate from normal.  BMI Prime 1. < 0.74 – underweight 2. between 0.74 and 0.99 - optimal weight 3. >/=1.00 overweight
  • 68.
    Category BMI BMIPrime Weight of a person with this BMI(Kg) Severely underweight Less than 16.5 Less than 0.66 Less than 53.5 Underweight 16.5 to 18.5 0.66 to 0.74 53.5 to 60 Normal 18.5 to 25 0.74 to 1 60 to 81 Overweight 25 to 30 1 to 1.2 81 to 97 Obese I 30 to 35 1.2 to 1.4 97 to 113 Obese II 35 to 40 1.4 to 1.6 113 to 130 Severely Obese 40 to 45 1.6 to 1.8 130 to 146 Morbid Obese 45 to 50 1.8 to 2.0 146 to 162 Super Obese 50 to 60 2.0 to 2.4 162 to 194 Hyper Obese Above 60 Above 2.4 Above 194
  • 69.
    WAIST TO HIPRATIO  Central or abdominal obesity is associated with more co morbid conditions.  So measuring central obesity is of greater significance  W/H ratio is taken by a simple measure tape  in men > 102 cm/90  in women > 88 cm/80
  • 70.
    DISEASE RISK (RELATIVETO NORMAL WEIGHT AND WAIST CIRCUMFERENCE) Class Men < 102 Women < 88 cm Men 102 cm Women 88 cm Underweight -- -- -- Normal -- -- -- Overweight increases increases high Obesity grade I high high Very high Obesity grade II Very high Very high Very high Extreme obesity Extremely high Extremely high Extremely high
  • 71.
    SKIN FOLD THICKNESS Harpenders callipers / MRNL callipers  It is measured at biceps/triceps/illiac and interscapular.  Total of all four sites is considered 15-45 mm – 8-22 % of total body fat 46-75 mm – 23-30 % of total body fat 76-150 mm – 31-40 % of total body fat 151-170 mm – 41-45 % of total body fat Upto 22% it is normal (males) Upto 30% it is normal (females)
  • 73.
    BIOMETRIC IMPEDANCE  Radiofrequency current is introduced in body through electrodes  Fat has less number of electrolytes  Water is less conductive
  • 74.
    CT/MRI  They candifferentiate subcutaneous from visceral fat and so are important in research purposes.
  • 75.
    DEXA (DUAL ENERGY XRAYABSORPTIOMETRY)
  • 76.
  • 77.
  • 78.
  • 79.
    CLASSIFICATION OF OBESITY(BMI)  Underweight- BMI < 18.5  Normal weight- BMI between 18.5 to 24.9  Overweight- BMI between 25.0 to 29.9  Obese grade I- BMI between 30.0 to 34.9  Obese grade II- BMI between 35.0 to 39.0  Obese grade III ( morbid obese)- BMI ≥ 40
  • 80.
    CLASSIFICATION OF OBESITY(BMI)  Starvation  Underweight  Normal  Overweight  Obese  Morbidly Obese Less than 14.9 From 15 to 18.4 From 18.5 to 22.9 From 23 to 27.5 From 27.6 to 40 Greater than 40 It is used in SINGAPORE. It is to applied in INDIA.
  • 81.
    CLASSIFICATION OF OBESITY(CLINICAL)  Stage 0: no apparent obesity-related risk factors  Stage 1: presence of obesity-related sub-clinical risk factors, mild physical symptoms.  Stage 2: presence of established obesity-related chronic disorders  Stage 3: established end-organ damage  Stage 4: severe (end-stage?) disabilities
  • 82.
    CLASSIFICATION OF OBESITY(FAT)  82% lean  18% body fat body mass  Body fat 25% in men -obese  Body fat 30% in women – obese  This method is used in JAPAN.
  • 83.
    CLASSIFICATION OF OBESITY(SHAPE)  Apples- Android It is characterized by central abdominal obesity It is clinically more important as disease are more correlated with this abdominal fat  Pears – Gynecoid It is characterized by accumulation of fat around hip and buttocks.
  • 85.
    CO MORBIDITIES OFOBESITY  Insulin resistance  Type II diabetes mellitus  Reproductive disorders  Cardiovascular disorders  Pulmonary disorders  Gastrointestinal diseases  Renal diseases  Cancers  Bone, joint and cutaneous diseases  Retinal diseases  Psychological problems
  • 86.
    OBESITY AND INSULINRESISTANCE  Mainly associated with Intra abdominal fat  Mainly muscle and adipose are resistant.  Factors that play a role are 1. Insulin 2. FFA  decreased mitochondria  decrease action of insulin. 3. Intracellular lipid accumulation 4. Adipokines (resistin) decreases mRNA expression 5. TNF-alpha, IL-6  inflammatory process 6. Reduced activity of Leptin, Adiponectin
  • 87.
    INSULIN RESISTANCE-COMPLICATIONS  Muscle– hyperglycemia and DM II  Kidneys – Salt retention and Hypertension  Ovaries – Increase testosterone and PCOS  Heart – Increase plasminogen activator inhibitor ( PAI 1) and ACS  Cancers – Colon, Prostrate, Breast  Sympathetic system – Increase Cytokines and increase Blood Pressure.
  • 88.
    OBESITY AND DIABETES Though patients develop IR not all develop Diabetes.  Though it’s a major risk factor for DM.( 85% of type II DM are Obese)  If BMI > 35 - 93 times more likely to develop DM.  There is direct correlation between BMI and DM.
  • 89.
    OBESITY AND DYSLIPIDAEMIA Increase LDL, TG  Decrease HDL  All this is because of decrease activity of Lipoprotein Lipase.  10% wt gain  12 mg/dl increase in cholesterol.  With treatment there is improvement in dyslipidemias
  • 90.
    OBESITY AND HYPERTENSION Increased blood volume  Increase cardiac output  Increase sympathetic tone  Increase Salt sensitivity  Salt retention by insulin  Increase angiotensinogen HYPERTENSION
  • 91.
    OBESITY AND METABOLICSYNDROME Insulin resistance obesity dyslipidemia hypertension DEADLY QUARTET METABOLIC SYNDROME
  • 92.
    OBESITY AND GASTROINTESTINAL DISEASES  Esophagus – GERD  Stomach – gastroparesis ( DM )  Gall stones  NASH  NAFLD
  • 93.
    OBESITY AND REPRODUCTIVEDISORDERS Men  Plasma Testosterone and SHBG are reduced  Increase Estrogen  Gynaecomastia seen Secondary sexual characters preserved. Women  IncreasedAndrogen  Decrease SHBG  PCOS  Uterine cancer (lower body obesity )  Not only fertility but their chances of IVF success reduces
  • 94.
    OBESITY AND ATHEROSCLEROSIS Leptin causes ROS production from monocytes  Low Adiponectin reduces protection from monocyte adhesion  TNF alpha, IL6, ICAM1 and VCAM1 affect endothelium via Transcription Factor KB  PAI1 increased by TF-KB  Angiotensinogen increases
  • 95.
    OBESITY AND CARDIOVASCULARDISEASE  Hypertension  Dyslipidaemias  Endothelial damage  Diabetes  OSA  W/H ratio may be the best predictor  BMI > 29…..3 fold rise in MI  Obesity is responsible for 17% of all CVD  Angina increases by 1.8 times  MI increases by 3.2 and 1.5 fold in woman and men respectively. . Cardi vascular complications
  • 96.
    OBESITY AND LVH It is eccentric as well concentric hypertrophy  Causes Hypertension ( eccentric ) Increased blood volume  Starling principle  There is fatty infiltration of myocytes
  • 97.
    OBESITY AND CARDIOMYOPATHY Fat accumulates in cords of cells leadin to a variety of conduction disturbances.  All kinds of ARRYTHMIAS  AF in presence of LVH poorly tolerated.  QT prolongation in 10% cases. Fatty infiltration of conducting system. Hypercapnia Hypoxia CAD Sleep Apnoea
  • 98.
    OBESITY AND STROKE Abdominal Obesity is an independent risk factor Others include Hypertension Dyslipidaemis
  • 99.
    OBESITY AND PULMONARYDISEASE  SDB – Sleep Disordered Breathing ( AHI )  OSAS – Obstructive Sleep Apnoea Syndrome  OHS – Obesity Hypoventilation Syndrome  Asthma
  • 100.
    OSAS – OBSTRUCTIVESLEEP APNOEA SYNDROME  > 30 episodes  Apnoea > 10 sec (SDB – Sleep Disordered Breathing )  Daytime drowsiness  Snoring at night  Memory loss  Mood swings Cause REM atonia Increase soft tissue infiltration around neck Decreased chest wall compliance Diaphragmatic displacement in supine
  • 101.
    OSAS – OBSTRUCTIVESLEEP APNOEA SYNDROME  Complications 1. Pulmonary hypertension 2. RVF 3. HT 4. Stroke 5. Arrythmias (flutter,bradycardia) 6. VT 7. Car accidents
  • 102.
    OHS – OBESITYHYPOVENTILATION SYNDROME  Old name – PICKWICKIAN SYNDROME  Chronic alveolar hypoventilation in Obese with BMI > 30 (PaO2 <70 PaCO2 >45 )  Cause High work of breathing Dysfunction of respiratory centre Repeated nocturnal sleep apnoea
  • 103.
    OBESITY AND ASTHMA Cause ReducedTLC Reduced RV and FRC Relation between obesity and asthma is because 1. Common etiologies 2. Co morbidities 3. Adipokines 4. Mechanical factors
  • 104.
    OBESITY AND RENALDISEASE  Increase glomerular remodelling  Increase kidney weight-increased cellular proliferation.  This changes in long term lead to glomerular sclerosis and DM nephropathy.
  • 105.
    OBESITY AND CANCERS Obesity is the biggest preventable cause of Cancer after smoking.  Accounts for 14% of cancer deaths in Men and 20% in women. Males : Females : Esophagus Colon Rectum Pancreas Liver Prostrate Gall bladder Bile ducts Breasts Endometrium Cervix Ovaries
  • 106.
    OBESITY AND SKINDISEASES  Acanthosis Nigricans: Thickening of skin folds of neck, elbows, Dorsal interphalyngeal spaces Reflects severity of IR  Friability of skin and varicosities.  Aggravation of other conditions caused by DM 1. Necrobiosis lipoidica 2. Ulcers 3. Infections
  • 107.
    OBESITY AND ORTHOPAEDICDISEASE  Osteoarthritis  Hyperuricemia  Gout  Accidental injury- decrased mobility, daytime somnolence
  • 108.
    OBESITY AND RETINALDISEASE  Overweight diabetics are twice more likely to develop retinopathy than non obese.  Waist to hip ratio was only second to glycaemic control in its importance in preventing retinopathy.
  • 109.
    OBESITY AND PSYCHOLOGICALPROBLEMS Are obese people more jolly? NO Obesity  psychological problems Psychological problems  obesity
  • 110.
    OBESITY AND PSYCHOLOGICALPROBLEMS  50% overweight lack self confidence  Depression Obesity has more risk of depression in Women  More physical and sexual abuse  Lack of attention  Low education  Low self esteem
  • 111.
    MANAGEMENT OF OBESITY Itis a chronic medical condition Definition of successful treatment:  Attainment of normal weight  No treatment induced morbidity This is rarely achieved in clinical practice.
  • 112.
  • 113.
  • 114.
    DIET  Low caloriediet  Low in saturated fats  Normal protein intake  Increased fibers in diet  Low density foods  1000 K cal deficit produces 1 kg wt loss per week
  • 115.
    SELF LIMITING  Nomatter what the calorie intake is the constituents remain in same proportion  i.e Carbohydrates 55% Fat 30% Protein 15%  Results in wt loss 2-6 kg over1 year
  • 116.
    FIXED ENERGY DIET Intake is limited by controlling portion sizes, menu choice and composition  Minimal self monitoring  1200 to 1800 kcal  Lack of compliance to this rigid pattern
  • 117.
    LOW CALORIE DIET 800-1000 Kcal  Applicable to most of the patients  Fewer restrictions than VLCD.  Supplementation of vitamins and minerals is required  Over a year there is reduction of 6 to 7 kgs.
  • 118.
    VERY LOW CALORIEDIET  400 – 600 calorie diet.  Even below one’s basal metabolic rate  Used for period of 1 to 2 months under medical supervision  45 to 70 % protein  30 to 50 % carbohydrates  2g fat  Supplemented with vitamins, minerals and trace elements  Greater wt loss compared to restrictive diets
  • 119.
    VERY LOW CALORIEDIET  Complications -fatigue, hair loss, dry skin, dizziness difficulty concentrating, cholelithiasis, pancreatitis, gall stones.  Contraindications – pregnancy, cancer, MI, hepatic disease, CV Stroke.
  • 120.
    TOTAL FASTING  Notrecommended  There is diuresis, natriuresis  All deficiencies  Re Feeding Syndrome-severe an potentially fatal electrolyte, fluid and metabolic abnormalities when feeding is resumed.
  • 121.
    LIQUID PROTEIN DIET Banned  Used in 1970’s  Life threateningArrythmias.
  • 122.
    HIGH PROTEIN DIETS Highprotein Increase ketones diuresis Wight loss Increase purines and urea Gout
  • 123.
    FAT INTAKE  Decreasedfat intake without decreased calories is of no use  Because if fat is replaced by carbohydrates there is rise in triglycerides.  Instead saturated fats should be replaced by MUFA or PUFA
  • 124.
  • 125.
     ScienceDaily (Dec.12, 2008) — Severely obese patients who have lost significant amounts of weight by changing their diet and exercise habits may be as successful in keeping the weight off long-term as those individuals who lost weight after bariatric surgery, according to a new study published online by the International Journal of Obesity
  • 126.
    PHARMACOTHERAPY  Indications - 1.BMI > 30 2. BMI > 27 with risk factors like HT, DM, CHD, Sleep Apnoea, Dyslipidemia.
  • 127.
    PHARMACOTHERAPY  Phenteramine  Phenylpropanolamine Fenfluramine  Fen-phen  Sibutramine  Orlistat  Ribonabant  Metformin  Olestra  Leptin
  • 128.
    PHARMACOTHERAPY  Tesofensine  Betahistine Amylin  Melanocortin-4 receptor agonist  Neuropeptide Y antagonists  Beta(3) adrenergic agonists  Glucagon-like peptide-1 agonists.
  • 129.
    AMPHETAMINE  Dextro amphetaminewas used as anti obesity drug  Tachycardia, HT, Abuse potential
  • 130.
    PHENTERAMINE  Amphetamine likedrug  Act centrally to reduce appetite  Low addictive potential  Modest efficacy  CVS side effects
  • 131.
    FENFLURAMINE  Inhibit serotoninuptake  Modest efficacy as single agent
  • 132.
    FEN PHEN  Combinationfenfluramine and phentermine  drugs exerted independent actions on brain satiety mechanisms  Primary Pulmonary hypertension increases 20 fold in this patients.  Drug was withdrawn in 1997.
  • 133.
    SIBUTRAMINE  Originally ananti depressant  Mechanism of action – Mono amine reuptake inhibitor ( primarily serotonin and norepinephrine )  Site of action - Central nervous system  Absorption – 77 %  Protein binding – 94 %
  • 134.
    SIBUTRAMINE  Time topeak concentration – 1-2 Hrs.  Metabolism – Hepatic enzymes, Cytochrome 3A4 to active metabolites M1 and M2  Excretion – Urine ( 77 % )  Half Life – M1 – 14 hrs, M2 – 16 hrs
  • 135.
    SIBUTRAMINE  Dose –10 to 15 once daily.  FDA Approval – for adults and adolescents.  Side Effects – hypertension ( DBP increases by 2 to 3 mm ) and tachycardia ( 3/ min), sweating, dizziness and headache.  Contraindications – coronary artery disease, cardiac arrythmias, uncontrolled HT  Effects – 20 % decrease in calorie intake.
  • 136.
    SIBUTRAMINE  Advantages 1. Itcauses sympathetic stimulation and thereby. prevent decrease in BMR. 2. There is improvement in FBS. 3. Decrease in TG and cholesterol. 4. About 7 % wt loss.
  • 137.
    ORLISTAT  Mechanism ofaction – non systemic reversible inhibitor of gastric and pancreatic lipases by forming a covalent bond with serine residue  Site of action - stomach and intestine  Absorption – minimal  Protein binding – > 99 %
  • 138.
    ORLISTAT  Time topeak concentration – 8 Hrs.  Metabolism – In GI Tract to inactive metabolites.  Excretion – Faeces ( 97 % ). 83 % is unchanged.  Half Life – 14 – 19 hrs.
  • 139.
    ORLISTAT  Dose –120 mg BD or TID with meals  FDA Approval – for adults and adolescents as well as children.  Side Effects – flatulence, defecation increases, oily evacuation, rectal leakage, steatorrhoea.  Contraindications – cholestasis, hypersensitivity, pregnancy, nursing mothers,
  • 140.
    ORLISTAT  Precautions – 1.Patient should take 3 main meals into which dietary constituents are equally divided. 2. Multivitamins are to be added 3. High fat diet should be avoided as it will lead to fatty large stools.  Overdose – it is safe as significant overdoses are seen without any harmful effects.  Pellets – pelletized formulations increasing surface area of the drugs are also available.
  • 141.
    ORLISTAT  Advantages – 1.Weight loss observed within 2 weeks of starting therapy 2. 6 kg weight loss in a year 3. Decrease LDL cholesterol, and raises HDL cholesterol. 4. Reduces Systolic and Diastolic blood pressure. 5. Reduces waist and hip circumferance 6. Weight regain is also less significant.
  • 142.
    RIMONABANT  Mechanism ofaction – Endocannabinoid (CB1) receptor blocker.  Site of action – CNS  Absorption – not known  Plasma protein binding – 99.9 %  Time to peak concentration – 2 hrs
  • 143.
    RIMONABANT  Metabolism –hepatic enzymes  Excretion – fecal via biliary route  FDA approval – BANNED  Side effects – depression, anxiety, suicidal tendencies.
  • 144.
    METFORMIN  Decreases appetiteand thereby reduces weight  Since most DM II patients are Obese this is a good choice in DM II.
  • 145.
    OLESTRA  Normal fatsconsist of a glycerol molecule with three fatty acid tails attached.  Olestra is synthesized using a sucrose molecule, which can support from six to eight fatty acid chains arranged radially like an octopus  Too large to move through the intestinal wall and be absorbed.  Same taste and mouth feel as fat  Approval as a food additive upto 35% replacement of fats in home cooking and 75% in commercial uses.
  • 146.
    OLESTRA  Decline inblood cholesterol levels  Failed to demonstrate the 15% reduction required by the FDA to be approved as a treatment  Side effects- 1. abdominal cramping 2. loose stools. 3. Vitamins A, D, E, and K deficiency 4. anal leakage 5. increase in bowel movement frequency
  • 147.
    AMYLIN PRAMLINTIDE (BRAND NAMESYMLIN)  Part of the endocrine pancreas and contributes to glycemic control  Functions as a synergistic partner to insulin  It is cosecreted from pancreatic beta cells in response to meals  Reduction of food intake, slowing of gastric emptying, inhibition of digestive secretion  It was recently approved for adult use in patients with both diabetes mellitus type 1 and diabetes mellitus type 2  Insulin and pramlintide, injected separately but both before a meal,
  • 148.
    TESOFENSINE  Tesofensine (TE)is a norepinephrine, dopamine, and serotonin reuptake inhibitor  Originally researched for the treatment of Alzheimer's disease and Parkinson's Disease  Primarily as an Appetite suppressant  Positive effects on fat oxidation and resting energy expenditure  Weight loss of approximately 4% for >14 weeks without any diet and lifestyle therapy  Final stage trials are scheduled to begin in early 2009 in which the 0.5mg dose will be tested.
  • 149.
    TESOFENSINE  Dry mouth Insomnia  Tachycardia  Constipation  Nausea  Diarrhoea  high blood pressure
  • 150.
    BETAHISTINE  Blocking thebrain's histamine-1 receptor causes weight gain  Stimulating the histamine-1 receptor appears to reduce the craving not only for food in general but for fatty foods in particular  Participants lost up to 12 percent of their body weight  No side effects  Not approved by FDA.
  • 151.
    MELANOCORTIN-4 RECEPTOR AGONIST Suppresses food intake when administered to db/db mice that lack functional leptin receptors  Peptide 1 (BL3020–1), was selected according to its selectivity in activating the MC4R, its favorable transcellular penetration through enterocytes and its enhanced intestinal metabolic stability  once daily oral dosing (0.5 mg/kg/day) for 12 days reduced weight gain.
  • 152.
    NPY RECEPTOR ANTAGONIST(1229U91 )  reduced spontaneous food intake  suppressed water intake  no abnormal change in general behavior  suppressed spontaneous food intake in lean rats also  doses of 10 and 30 µg
  • 153.
    BETA(3) ADRENERGICAGONISTS 1. Amibegron 2.Solabegron  Enhancement of lipolysis in adipose tissue
  • 154.
    GLUCAGON-LIKE PEPTIDE-1 AGONISTS(BOC5)  (GLP)-1 is produced by the intestine  stimulates insulin secretion  Boc5 one of the first non-peptidic agonists at glucagon-like peptide-1  dose-dependently inhibited food intake
  • 155.
    BARIATRIC SURGICAL TECHNIQUES Divided into two groups 1. Malabsorptive procedures - Induce decreased absorption of nutrients by shortening the functional length of the small intestine 2. Restrictive procedures - Reduce the storage capacity of the stomach and as a result early satiety arises, leading to a decreased caloric intake
  • 156.
    BARIATRIC SURGICAL TECHNIQUES Indications - 1. BMI greater than 40, or 100 pounds overweight 2. BMI 35-39.9 and a life-threatening condition, such as heart disease or diabetes. 3. BMI 35-39.9 and severe physical limitations that affect employment, mobility, and family life
  • 157.
    MALABSORPTIVE PROCEDURES  Jejunoilealbypass  Biliopancreatic diversion  Biliopancreatic diversion with duodenal switch
  • 158.
    THE JEJUNOILEAL BYPASS One of the first bariatric operations  It is associated with substantial long-term complications - 1. liver failure 2. Malnutrition 3. electrolyte imbalances 4. vitamin deficiencies 5. renal (oxalate) stones 6. Death  This procedure is therefore no longer performed
  • 159.
    BILIOPANCREATIC DIVERSION  Apartial gastrectomy is performed, creating a 100– 150 ml gastric pouch  gastro-jejunostomy or gastro-ileostomy  long (food) limb is anastomosed to the biliopancreatic (bile,pancreatic juice) limb
  • 160.
    BILIOPANCREATIC DIVERSION WITHDUODENAL SWITCH  A pylorus-sparing sleeve gastrectomy with duodeno-ileostomy is performed  less cases of dumping and marginal ulcers than a classical biliopancreatic diversion
  • 161.
    RESTRICTIVE PROCEDURES  Verticalbanded gastroplasty  Laparoscopic adjustable gastric band
  • 162.
    RESTRICTIVE PROCEDURES  simplerto perform  less procedural complications  Represent the current most frequently performed restrictive procedures  Two approaches – 1. Open 2. Laparoscopic
  • 163.
    COMPLICATIONS  Vomiting  Leakinto the abdomen  Slipping or wearing away of the band  Enlargement of the pouch  Reflux esophagitis  Vitamin deficiencies  Wound infection  Bleeding  Abdominal hernia  Gallstones  Heart and lung problems  Phlebitis, embolism  Complications of general anesthesia  Death, occurs in less than 1% of patients
  • 164.
    COMBINED PROCEDURE  Roux-en-Ygastric bypass 1. It is (at least in the United States) the most frequently performed bariatric procedure 2. Both restrictive and malabsorptive aspects 3. A (restrictive) gastric pouch is created and separated from the remainder of the stomach. 4. The continuity is then restored by a Roux-Y-limb, which is connected to the jejunum
  • 165.
    SUCCESS OF BARIATRICPROCEDURES  20–40 kg of weight loss  10–15 kg/m2 reduction inBMI
  • 166.