By: Dr. Ankit Gaur
M.Sc, Pharm. D, R.Ph
DEFINITION:
๏‚ž Nomograms or equations, which describe the
relationships between patient characteristics
(eg. Age, weight, gender, disease states,
interacting drugs, environmental factors-smoking
& food) and pharmacokinetic parameters in a
population, are often used to estimate the initial
pharmacokinetic parameters for drug dosing in
individual patients for whom patient-specific
parameters are not known.
๏‚ž For instance, population data indicate that
there is a significant relationship between the
clearance (CL) of digoxin and the creatinine
clearance (a measure of how well the kidneys
function). As creatinine clearance (CLCR)
decreases, so does the clearance of digoxin.
๏‚ž The reported population-based relationship for
digoxin can be used to estimate a clearance
value in an individual patient based on his/her
creatinine clearance.
๏‚ž Population-based nomograms or equations
have been recommended for initial dosing of
most drugs currently subjected to
therapeutic drug monitoring, including
aminoglycosides, digoxin, and theophylline.
๏‚ž Nomograms are predictive tools.
๏‚ž They provide individualized predictions
based on the characteristics of one single
patient. Nonetheless, the predictions are
derived from hundreds or even thousands of
patients who presented with the same
condition.
๏‚ž The nomograms provide the risk estimation
on a 0-100% scale.
General Approach for Individualization of
Dosage Regimens:
The individualization of dosage regimen usually
involves 3 steps.
a) Design of initial dosage regimen- When a
patient is to be treated with a drug for the first
time, or whenever the pharmacokinetic
parameters of the drug in the individual patient
are not known, one may recommend a dosage
regimen (dose and dosage interval) based on
either of the following 2 methods:
๏‚ž (1) To recommend a general dosage regimen for
all the patients based on the recommendations
of the manufacturer. In most cases, this method
may take into account only the bodyweight or
surface area of the patient for individualization.
๏‚ž (2) To use the so-called adjusted population
pharmacokinetic parameters, which are based
on the population values adjusted for the
patient characteristics, to design a dosage
regimen based on pharmacokinetic principles.
b) Estimation of patient specific pharmacokinetic
parameters-
Blood samples should be taken at appropriate
times after the administration of the initial
dosage regimen to determine the patient
specific PK parameters which may differ from
those estimated based on the adjusted
population value.
c) Adjustment of dosage regimen-
If the measured blood concentrations are in
agreement with population values then there is
no need of any dosage adjustment but if they
are not in appropriate then PK parameters
should be used to design a new dosage regimen
for the patient. So, further blood samples are to
be collected till the desired concentrations are
achieved.
Estimation of Population Pharmacokinetic Data
It is done in 2 ways:
1) Traditional (two-stage)
๏‚ž In the first stage of this method, the drug is
administered to a group of patients and a
relatively large number of samples are obtained
from each patient in order to conduct a full
pharmacokinetic analysis to determine the
pharmacokinetic parameters of the drug in each
patient.
๏‚ž In the second stage, the average and standard
deviation for each pharmacokinetic parameter
are estimated using the individual values.
๏‚ž Additionally, the relationships between the
pharmacokinetic parameters and patient
characteristics (such as age, weight, gender,
and degree of renal function), presence or
absence of interacting drugs, or environmental
factors are determined by categorization and/or
regression analysis as explained below.
๏‚ž Categorization is done when the patient
population can be divided into subpopulations
(categories).
๏‚ž For example, smoker and nonsmoker patients
may be separated and the mean and standard
deviation of the kinetic parameters estimated
separately in each subpopulation
๏‚ž Statistical tests (such as t test) may then be
used to determine whether the difference
between the 2 subgroups in each
pharmacokinetic parameter is true or due to
random variability.
๏‚ž Other examples of categorization: females
vs.males and presence or absence of a disease
state (eg,cirrhosis or congestive heart failure) or
an interacting drug (such as cimetidine or
rifampin).
๏‚ž Regression is done when a relationship between
two continuous variables can be established, as
opposed to categorization when a condition
exists or doesnโ€™t exist.
๏‚ž A clinically important example of the use of
regression in population analysis is the
relationship between the patient creatinine
clearance and the clearance of drugs that are
partially or totally eliminated by renal
clearance.
๏‚ž The total clearance of a drug is a summation of
renal clearance (CLR) and nonrenal clearances
(CLNR):
CL = CL(R) + CL(NR)
๏‚ž In practice, these relationships are not perfect
in that there may be a significant degree of
scatter around the lines.
๏‚ž This is mainly due to interindividual variability in
the values of nonrenal clearance & renal
clearance among the patient population, in
addition to observation variability that is due to
measurement error.
๏‚ž Therefore, the relationships need to be carefully
examined in order to assure that the relationship
between the total clearance and creatinine
clearance is clinically and statistically significant
and not due to random error or variability.
๏‚ž This may be done through regression analysis,
which reveals the significance of regression of y
against x (p value) and the degree by which the
changes in y may be explained by changes in x
(r2 or coefficient of determination).
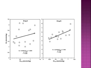
๏‚ž For example, consider the data in Figure 2 for 2
hypothetical drugs (A and B), where one cannot
say with certainty whether there is a significant
relationship between the 2 parameters by just
plotting the data and observing the trend.
๏‚ž However, a regression analysis of the
relationship for drug A indicates a p value of
>0.05, suggesting that the apparent relationship
between the 2 parameters is not statistically
significant.
๏‚ž Additionally, the very low r2 value of 0.054,
implying that only 5% of the variability in
clearance may be explained by changes in
creatinine clearance, shows that even if this
relationship were statistically significant, it
would be of no clinical relevance.
๏‚ž Therefore, one may conclude that the degree of
renal function would not significantly affect the
clearance of this drug.
๏‚ž On the other hand, a statistical analysis of the
data for drug B shows a p value of <0.05 for the
regression, indicating that the clearance of the
drug is significantly dependent on the creatinine
clearance of the patient.
๏‚ž Furthermore, the r2 value of 0.50 suggests that
~50% of the variability in the clearance value in
this population may be explained by differences
in the creatinine clearance of the patients.
๏‚ž In the case of drug B, the y-intercept (nonrenal
clearance) is 3.74 mL/min/kg and the slope (a)
is 2.47.
๏‚ž Therefore, the following population relationship
may be constructed for this drug:
CL (mL/min/kg) = 2.47* CLCR (mL/min/kg)+ 3.74
๏‚ž This means that the above equation equation
may be used to estimate the clearance of drug B
in a new patient with a known value of
creatinine clearance.
๏‚ž The advantages of the two-stage method are its
simplicity, the use of standard data analysis,
individual estimates of pharmacokinetic
parameters, and controlled experimental
conditions allowing unbiased definition of
relationships between pharmacokinetic
parameters.
๏‚ž It has limitations such as its high cost,
necessitating inclusion of only a small number of
patients, and ethical problems of extensively
studying patients who may not directly benefit
from the study.
๏‚ž Therefore, caution should be exercised when
using reported population pharmacokinetic
relationships based on this method because
most of these data have been obtained in a
small number of tightly controlled patients,
making extrapolations to other patient
populations extremely risky.
2) Nonlinear mixed effects model-
๏‚ž In this method, instead of obtaining a large
number of samples in each individual (two-stage
method), a limited number of samples (1-6) is
obtained from each patient during routine
clinical monitoring, rendering estimation of
pharmacokinetic parameters in individual
patients difficult.
๏‚ž Instead, the data from all the patients is put
together and the average and variability of the
pharmacokinetic parameters are estimated for
the whole population rather than in each
individual patient.
๏‚ž This method describes pharmacokinetic
variability of drugs by a number of factors
which includes:
fixed effects (eg. Age, weight, height, sex,
underlying pathology, other influences on
drug therapy),
random effects (which cannot be explained by
fixed effects- inter & intra subject
variability),
and observation or error terms (such as
measurement error)
๏‚ž One of the main advantages of this method is
that any concentration-time data obtained
during the development phase of the drug or
routine clinical monitoring of the patient can be
incorporated into a database and used for the
population kinetic analysis.
๏‚ž For example, the samples do not have to be
obtained at the same time in different patients.
Additionally, the dosage regimens may be
different for different patients.
๏‚ž This method, however, requires complex
computer programs, such as NONMEM to
handle the calculations and can produce
meaningful results only if the number of
patients studied is large.
๏‚ž Eg to determine the population clearance and
volume of distribution of digoxin in 141 patients
in relation to their creatinine clearance and the
severity of congestive heart failure (CHF),
resulting in the following relationships:
๏‚ž CL (Less Severe CHF) (L/h/kg) = 1.023* CLCR
(L/h/kg) + 0.0489
๏‚ž CL (Severe CHF) (L/h/kg) = 0.883* CLCR
(L/h/kg) + 0.020
๏‚ž V(L/kg) = 52 * CLCR (L/h/kg) + 3.84
๏‚ž The above relationships for digoxin indicate that
renal dysfunction would affect both the
clearance and volume of distribution of the
drug.
๏‚ž As expected, a reduction in creatinine
clearance results in a reduction in the clearance
of digoxin.
๏‚ž However, in the subpopulation with more severe
congestive heart failure, the non-renal
clearance of the drug (0.020 L/h/kg) is
substantially lower than that in the subgroup
with less severe congestive heart failure (0.0489
L/h/kg).
๏‚ž As for volume of distribution, renal
dysfunction (reduction in creatinine
clearance) would result in a reduction in the
volume of distribution of digoxin.
๏‚ž This is because in renal dysfunction, the
tissue binding of digoxin may be reduced,
resulting in shifting the drug to plasma.

Nomograms

  • 1.
    By: Dr. AnkitGaur M.Sc, Pharm. D, R.Ph
  • 2.
    DEFINITION: ๏‚ž Nomograms orequations, which describe the relationships between patient characteristics (eg. Age, weight, gender, disease states, interacting drugs, environmental factors-smoking & food) and pharmacokinetic parameters in a population, are often used to estimate the initial pharmacokinetic parameters for drug dosing in individual patients for whom patient-specific parameters are not known.
  • 3.
    ๏‚ž For instance,population data indicate that there is a significant relationship between the clearance (CL) of digoxin and the creatinine clearance (a measure of how well the kidneys function). As creatinine clearance (CLCR) decreases, so does the clearance of digoxin. ๏‚ž The reported population-based relationship for digoxin can be used to estimate a clearance value in an individual patient based on his/her creatinine clearance.
  • 4.
    ๏‚ž Population-based nomogramsor equations have been recommended for initial dosing of most drugs currently subjected to therapeutic drug monitoring, including aminoglycosides, digoxin, and theophylline.
  • 5.
    ๏‚ž Nomograms arepredictive tools. ๏‚ž They provide individualized predictions based on the characteristics of one single patient. Nonetheless, the predictions are derived from hundreds or even thousands of patients who presented with the same condition. ๏‚ž The nomograms provide the risk estimation on a 0-100% scale.
  • 6.
    General Approach forIndividualization of Dosage Regimens: The individualization of dosage regimen usually involves 3 steps. a) Design of initial dosage regimen- When a patient is to be treated with a drug for the first time, or whenever the pharmacokinetic parameters of the drug in the individual patient are not known, one may recommend a dosage regimen (dose and dosage interval) based on either of the following 2 methods:
  • 7.
    ๏‚ž (1) Torecommend a general dosage regimen for all the patients based on the recommendations of the manufacturer. In most cases, this method may take into account only the bodyweight or surface area of the patient for individualization. ๏‚ž (2) To use the so-called adjusted population pharmacokinetic parameters, which are based on the population values adjusted for the patient characteristics, to design a dosage regimen based on pharmacokinetic principles.
  • 8.
    b) Estimation ofpatient specific pharmacokinetic parameters- Blood samples should be taken at appropriate times after the administration of the initial dosage regimen to determine the patient specific PK parameters which may differ from those estimated based on the adjusted population value.
  • 9.
    c) Adjustment ofdosage regimen- If the measured blood concentrations are in agreement with population values then there is no need of any dosage adjustment but if they are not in appropriate then PK parameters should be used to design a new dosage regimen for the patient. So, further blood samples are to be collected till the desired concentrations are achieved.
  • 10.
    Estimation of PopulationPharmacokinetic Data It is done in 2 ways: 1) Traditional (two-stage) ๏‚ž In the first stage of this method, the drug is administered to a group of patients and a relatively large number of samples are obtained from each patient in order to conduct a full pharmacokinetic analysis to determine the pharmacokinetic parameters of the drug in each patient.
  • 11.
    ๏‚ž In thesecond stage, the average and standard deviation for each pharmacokinetic parameter are estimated using the individual values. ๏‚ž Additionally, the relationships between the pharmacokinetic parameters and patient characteristics (such as age, weight, gender, and degree of renal function), presence or absence of interacting drugs, or environmental factors are determined by categorization and/or regression analysis as explained below.
  • 12.
    ๏‚ž Categorization isdone when the patient population can be divided into subpopulations (categories). ๏‚ž For example, smoker and nonsmoker patients may be separated and the mean and standard deviation of the kinetic parameters estimated separately in each subpopulation
  • 13.
    ๏‚ž Statistical tests(such as t test) may then be used to determine whether the difference between the 2 subgroups in each pharmacokinetic parameter is true or due to random variability. ๏‚ž Other examples of categorization: females vs.males and presence or absence of a disease state (eg,cirrhosis or congestive heart failure) or an interacting drug (such as cimetidine or rifampin).
  • 14.
    ๏‚ž Regression isdone when a relationship between two continuous variables can be established, as opposed to categorization when a condition exists or doesnโ€™t exist.
  • 15.
    ๏‚ž A clinicallyimportant example of the use of regression in population analysis is the relationship between the patient creatinine clearance and the clearance of drugs that are partially or totally eliminated by renal clearance. ๏‚ž The total clearance of a drug is a summation of renal clearance (CLR) and nonrenal clearances (CLNR): CL = CL(R) + CL(NR)
  • 16.
    ๏‚ž In practice,these relationships are not perfect in that there may be a significant degree of scatter around the lines. ๏‚ž This is mainly due to interindividual variability in the values of nonrenal clearance & renal clearance among the patient population, in addition to observation variability that is due to measurement error.
  • 17.
    ๏‚ž Therefore, therelationships need to be carefully examined in order to assure that the relationship between the total clearance and creatinine clearance is clinically and statistically significant and not due to random error or variability. ๏‚ž This may be done through regression analysis, which reveals the significance of regression of y against x (p value) and the degree by which the changes in y may be explained by changes in x (r2 or coefficient of determination).
  • 19.
    ๏‚ž For example,consider the data in Figure 2 for 2 hypothetical drugs (A and B), where one cannot say with certainty whether there is a significant relationship between the 2 parameters by just plotting the data and observing the trend.
  • 20.
    ๏‚ž However, aregression analysis of the relationship for drug A indicates a p value of >0.05, suggesting that the apparent relationship between the 2 parameters is not statistically significant. ๏‚ž Additionally, the very low r2 value of 0.054, implying that only 5% of the variability in clearance may be explained by changes in creatinine clearance, shows that even if this relationship were statistically significant, it would be of no clinical relevance. ๏‚ž Therefore, one may conclude that the degree of renal function would not significantly affect the clearance of this drug.
  • 21.
    ๏‚ž On theother hand, a statistical analysis of the data for drug B shows a p value of <0.05 for the regression, indicating that the clearance of the drug is significantly dependent on the creatinine clearance of the patient. ๏‚ž Furthermore, the r2 value of 0.50 suggests that ~50% of the variability in the clearance value in this population may be explained by differences in the creatinine clearance of the patients.
  • 22.
    ๏‚ž In thecase of drug B, the y-intercept (nonrenal clearance) is 3.74 mL/min/kg and the slope (a) is 2.47. ๏‚ž Therefore, the following population relationship may be constructed for this drug: CL (mL/min/kg) = 2.47* CLCR (mL/min/kg)+ 3.74 ๏‚ž This means that the above equation equation may be used to estimate the clearance of drug B in a new patient with a known value of creatinine clearance.
  • 23.
    ๏‚ž The advantagesof the two-stage method are its simplicity, the use of standard data analysis, individual estimates of pharmacokinetic parameters, and controlled experimental conditions allowing unbiased definition of relationships between pharmacokinetic parameters. ๏‚ž It has limitations such as its high cost, necessitating inclusion of only a small number of patients, and ethical problems of extensively studying patients who may not directly benefit from the study.
  • 24.
    ๏‚ž Therefore, cautionshould be exercised when using reported population pharmacokinetic relationships based on this method because most of these data have been obtained in a small number of tightly controlled patients, making extrapolations to other patient populations extremely risky.
  • 25.
    2) Nonlinear mixedeffects model- ๏‚ž In this method, instead of obtaining a large number of samples in each individual (two-stage method), a limited number of samples (1-6) is obtained from each patient during routine clinical monitoring, rendering estimation of pharmacokinetic parameters in individual patients difficult. ๏‚ž Instead, the data from all the patients is put together and the average and variability of the pharmacokinetic parameters are estimated for the whole population rather than in each individual patient.
  • 26.
    ๏‚ž This methoddescribes pharmacokinetic variability of drugs by a number of factors which includes: fixed effects (eg. Age, weight, height, sex, underlying pathology, other influences on drug therapy), random effects (which cannot be explained by fixed effects- inter & intra subject variability), and observation or error terms (such as measurement error)
  • 27.
    ๏‚ž One ofthe main advantages of this method is that any concentration-time data obtained during the development phase of the drug or routine clinical monitoring of the patient can be incorporated into a database and used for the population kinetic analysis. ๏‚ž For example, the samples do not have to be obtained at the same time in different patients. Additionally, the dosage regimens may be different for different patients.
  • 28.
    ๏‚ž This method,however, requires complex computer programs, such as NONMEM to handle the calculations and can produce meaningful results only if the number of patients studied is large.
  • 29.
    ๏‚ž Eg todetermine the population clearance and volume of distribution of digoxin in 141 patients in relation to their creatinine clearance and the severity of congestive heart failure (CHF), resulting in the following relationships: ๏‚ž CL (Less Severe CHF) (L/h/kg) = 1.023* CLCR (L/h/kg) + 0.0489 ๏‚ž CL (Severe CHF) (L/h/kg) = 0.883* CLCR (L/h/kg) + 0.020 ๏‚ž V(L/kg) = 52 * CLCR (L/h/kg) + 3.84
  • 30.
    ๏‚ž The aboverelationships for digoxin indicate that renal dysfunction would affect both the clearance and volume of distribution of the drug. ๏‚ž As expected, a reduction in creatinine clearance results in a reduction in the clearance of digoxin. ๏‚ž However, in the subpopulation with more severe congestive heart failure, the non-renal clearance of the drug (0.020 L/h/kg) is substantially lower than that in the subgroup with less severe congestive heart failure (0.0489 L/h/kg).
  • 31.
    ๏‚ž As forvolume of distribution, renal dysfunction (reduction in creatinine clearance) would result in a reduction in the volume of distribution of digoxin. ๏‚ž This is because in renal dysfunction, the tissue binding of digoxin may be reduced, resulting in shifting the drug to plasma.