MR:Roshan Gomaji Bodhe
RCPIPER, Shirpur
Nuclear Magnetic Resonance (NMR) Spectroscopy
NUCLEAR
MAGNETIC
RESONANCE
SPECTROSCOPY
Principle
What are N, M, and R ?
N, M, and R
Properties of the Nucleus
Nuclear spin
Nuclear magnetic moments
The Nucleus in a Magnetic Field
Precession and the Larmor frequency
Nuclear Zeeman effect & Boltzmann distribution
When the Nucleus Meet the right Magnet and radio wave
Nuclear Magnetic Resonance
1nm 10 102 103 104 105 106 107
(the wave) X-ray UV/VIS Infrared Microwave Radio
Frequency
(the transition) electronic Vibration Rotation Nuclear
(spectrometer) X-ray UV/VIS IR NMR
NMR Spectroscopy
Where is it?
Nuclear spin
 Nuclear spin is the total nuclear angular momentum quantum number. This is
characterized by a spin quantum number I, which may be integral, half-integral or
0.
1. A nucleus with an even mass A and even charge Z  nuclear spin I is zero
Example: 12C, 16O, 32S  No NMR signal
2. A nucleus with an even mass A and odd charge Z  integer value I
Example: 2H, 10B, 14N  NMR detectable
3. A nucleus with odd mass A  I=n/2, where n is an odd integer
Example: 1H, 13C, 15N, 31P  NMR detectable
Properties of the Nucleus: nuclear spin and spin quantum numbers
Quantum Description of NMR
Spin states
The nucleus will then have 2I + 1 discrete states.
Eg.1H, 13C, 19F, and 31P, the spin quantum number for these nuclei
is ½ and therefore two orientations wrt external magnetic field
Thus, each nucleus has two spin states corresponding to I = + ½
and I = - ½.
7
Nuclear magnetic moments
A spinning charged nucleus creates a magnetic field.. Analogous to field produced when
electricity flows through a coil
The resulting magnetic moment  is oriented along the axis of spin and is proportional
to angular momentum ρ
 =  ρ : [gyromagnetic ratio (property of a nuclei)]
Magnetic properties (I=1/2; at a field strength of 4.69T)
The relationship between the nuclear spin and magnetic moment leads to a set of observable
magnetic quantum states mI with values of –I, -I+1, …..+I .
( e.g. for I=1/2, mI=-1/2 and +1/2)
When placed in an external field, spinning protons act like bar magnets.
When placed in an external magnetic field,
When placed in an external magnetic field,
Zeeman Effect When external field is applied (Bo) the spin states separate be energy
difference ΔE; The Zeeman splitting is proportional to the strength of the magnetic field
Transition between energy states can be brought about by absorption or
emission of electromagnetic radiation of a frequency
Thus, by substituting the Planck relationship into the above
equation, we obtain the frequency of the radiation required to bring
about the transition
The frequency of a magnetic transition is proportional to the applied field
strength B0 with the proportionality constant of
Eg. For a proton-
Precission of nucleus in a field- Larmor frequency
To understand the absorption process, a classical picture of
the behaviour of a charged particle in a magnetic field is
helpful.
Due to Gyroscopic effect, the force applied by the field of
the axis of rotation causes movement perpendicular to the
plane of the force.. The axis of rotating particle moves in a
circular path
i.e. the rotational axis precesses around the vector
representing the magnetic field
Angular velocity is given by
This can be converted to frequency of precession
(Larmor Frequency) by dividing by 2π. thus
It can be seen that Larmor frequency is identical to the frequency of
absorbed radiation derived from quantum mechanical consideration
Absorption of energy
•For a particle to absorb a photon of electromagnetic radiation,
the particle must first be in some sort of uniform periodic
motion
• If the particle has “uniformly periodic motion”
(i.e. precession)
at vprecession, and absorbs energy, the energy is E=hvprecession
•For I=1/2 nuclei in B0 field, the energy gap between two spin
states:
The radiation frequency must exactly match the precession
frequency
Ephoton=hvprecession=hvphoton=
This is the so called “ Nuclear Magnetic RESONANCE”!!!!!!!!!
Boltzmann distribution
 Quantum mechanics tells us that, for net absorption of radiation to occur, there must be more particles
in the lower-energy state than in the higher one. If no net absorption is possible, a condition called
saturation.
 When it’s saturated, Boltzmann distribution comes to rescue:
Nj and N0 are number of protons in higher and lower energy states
T is the absolute temperature,
k is Boltzmann constant 1.381*10-23 JK-1
==>
 Example: At 298K, what fraction of 1H nuclei in 2.35 T field are in the upper and lower states?
(m=-1/2 : 0.4999959 ; m=1/2 : 0.5000041 )
 The difference in populations of the two states is only on the order of few parts per million. However,
this difference is sufficient to generate NMR signal.
 Anything that increases the population difference will give rise to a more intense NMR signal.
Relaxation Processes
• In order to avoid saturation, the rate of relaxation of excited nucleus to their lower energy
state must be as great or greater than the rate at which they absorb the radio-frequency
energy.
• One path is emission of radiation of a frequency corresponding to the energy difference
between the states —fluorescence
• At radio-frequencies this process does not occur to significant extent.
• Thus non-radiative relaxation processes are of prime importance
• To reduce saturation and produce a readily detectable absorption signal, relaxation should
occur as rapidly as possible i.e the lifetime of excited state should be small.
• However, high relaxation rates (low lifetimes)—line broadening, prevents high-resolution
measurement.
• These two opposing factors cause the optimum half-life for an excited species to range
from about 0.1 to 10s
• Two imp relaxation processes- Spin-lattice/ longitudinal; Spin-Spin/ transverse
T1 (the spin lattice relaxation)
• How long after immersion in a external field does it take for a collection of nuclei to reach Boltzmann
distribution is controlled by T1, the spin lattice relaxation time.
(major Boltzmann distribution effect)
•Lost of energy in system to surrounding (lattice) as heat Vibrationally and rotationally
(release extra energy)
•It’s a time dependence decay process; first order exponential decay
T2(the spin –spin relaxation)
•Several other effects tend to diminish relaxation times and thereby broaden NMR lines
•Two neighboring nuclei of the same kind have identical precession rates, but are in different magnetic
quantum states, the magnetic fields of each can interact to cause an interchange of states. Nucleus in a
lower spin state is excited while the excited nucleus relaxes. No net change in the relative spin state
population, thus no decrease in saturation. Average lifetime of excited nucleus shortened– line
broadening is the result
•Presence of other magnetic nuclei whose spin create local fields that may act to enhance or diminish
the external field acting on the nucleus of interest.
•Variation in static field can also result from small inhomogeneities in the field source itself.. Can be
largely offset by rapidly spinning the sample.
•Nuclei begin to lose their phase coherence and return to a random arrangement around the z axis is
called spin-spin relaxation.
dephasing
Fourier Transform NMR
In pulsed NMR measurements, nuclei in a strong magnetic field are subjected to very brief pulses of
intense radio-frequency radiation
The length of the pulses is usually less than 10μs and frequency
of radiation on the order of 102 to 103 MHz; interval between
pulses is typically 1 to several secs.
During the interval time domain, RF signal called the Free
induction decay (FID) signal is emitted by excited nucleus as
they relax.
FID can be detected with a radio receiver coil that is Ʇ to the
static magnetic field.
As a matter of fact, single coil is used to both pulse the sample and detect the decay signal.
Signal digitized and stored in a computer for data processing
Signals from numerous successive pulses are added to improve signal-to-noise ratio
Resulting summed data converted to frequency-domain signal by Fourier transformation.
Finally, digital filtering may be applied to further increase Signal-to-noise ratio.
Resulting frequency-domain output is the spectrum similar to that produced by continuous wave expt
Behaviour of Magnetic moments of nuclei
In a rotating field of reference 90-deg pulse experiment
Pulse freq differs from Larmor frq by 50HzFID signal of 13C when Pulse freq = Larmor frq
E.g. FID signal of 13C in cyclohexene
Wide line spectra v/s High resolution spectra
CH3-CH2-OH
Low magnetic field strength Differentiating between very small
frequency differences of 0.01ppm or less
Environmental Effects
CH3-CH2-OH
Replace –OH by deuterium, peak disappears
Ratio 1:2:3
Differences in abs frq for different atoms
Depend on group to which H atom is bonded
 This effect is Chemical Shift
Two of three protons split into additional peaks
Secondary envt effect superimposed upon chem shift
Differences cause
 Termed as Spin-spin splitting
Both the chemical shift and spin-spin splitting are important in structural analysis.
Experimentally, these are easily distinguished, because the peak separations resulting from a chemical shift are
directly proportional to the field strength or to the oscillator frequency.
Origin & Theory of Chemical Shifts
• The chemical shift is caused by small magnetic fields that are generated by electrons as they circulate around nuclei.
• These result in secondary fields that may either decrease or enhance the field to which a given proton responds.
• Under the influence of external magnetic field, electrons bonding the protons tend to precess around the nucleus in a plane Ʇ
to magnetic field.
• 20 field opposes the primary field
• Nucleus experiences resultant field that is smaller/weaker
• Nucleus is said to be shielded from full effect of 10 field
• External field must be increased to cause resonance
• Shielding experienced is directly related to e density surrounding it
• Shielding decreases with increasing electron negativity of
adjacent groups
• Deshielded- nucleus feels stronger magnetic field due to the removal of
electron density, magnetic induction, etc in neighboring atoms or groups
• The chemical shift is used to identify functional groups and to aid in
determining structural arrangements of groups.
• Empirical correlations between structure and shift.
24
Low external applied field Higher external applied field
25
Protons in a molecule
Lower frequency
higher frequency
downfield
upfield
chemical
shift
= d =
shift in Hz
spectrometer frequency in MHz
= ppm
This division gives a number independent
of the instrument used.
parts per
million
The CHEMICAL SHIFT
The “chemical shift” is a field independent value.
Chemical shift is : the difference in frequency between the sample and
the standard over the operation frequency.
A particular proton in a given molecule will always come at the same chemical shift (constant value).
Same value for 60, 100, or 300 MHz machine.
Called the delta scale.
Of course, we don’t do any of this, it’s all done automatically by the NMR machine.
Chapter 13 27
Delta Scale
=>
Other Scales
TMS- Most commonly used standard
• It is chemically inter and miscible with a large range of solvents
• Its twelve protons are magnetically equivalent
• Silicon less electronegativity compared to carbon
• The majority of compounds studied by 1H NMR spectroscopy absorb
downfield of the TMS signal, thus there is usually no interference
between the standard and the sample.
• Highly volatile and can be easily removed
Other Standards used in NMR spectroscopy
Tetramethylsilane (TMS)
Dioxane
3-(Trimethylsilyl)-
propionic acid-d4,
sodium salt (TSP)
(for use in D2O)
2,2-dimethyl-2-
silapentane- 5-sulfonate
sodium salt (DSS)
(for use in D2O)
3.75 ppm
0.00 ppm
0.00 ppm
0.00 ppm
Compound CH3X
Element X
Electronegativity of X
Chemical shift d
CH3F CH3OH CH3Cl CH3Br CH3I CH4 (CH3)4Si
F O Cl Br I H Si
4.0 3.5 3.1 2.8 2.5 2.1 1.8
4.26 3.40 3.05 2.68 2.16 0.23 0
Dependence of the Chemical Shift of CH3X on the Element X
deshielding increases with the
electronegativity of atom X
TMSmost
deshielded
Effect of ELECTRONEGATIVITY on CHEMICAL SHIFT
Effect of MAGNETIC ANISOTROPY
DUE TO THE PRESENCE OF -BONDS
The presence of a nearby pi bond or pi system greatly affects the chemical shift.
Induced magnetic fields due to the  - electrons have greatest effect.
Aromatic protons
d = 7-8 ppm
Vinyl (Olefinic) protons,
d = 5-6 ppm
Electronegative
oxygen atom
Aldehyde proton
d= 9-10 ppm
Acetylene protons
d̃ ≈ 2.5 ppm
dppm
TMS
CH3CH3
RONR2
CH3OCH3
RO
HR
R R
HH
RO
Ph CH3
HR
Cl
CH3
Ph
OH
OH
R
NH
R
Upfieldregion
of the spectrum
Downfieldregion
of the spectrum
TMS = Me Si
Me
Me
Me
012345678910
CH3HO
(R)
• The splitting of chemical shift peaks occurs as the magnetic moment of a nucleus
interacts with the magnetic moments of immediately adjacent nuclei.
• The magnetic field created by a spinning nucleus produces changes in the magnetic field
of adjacent nuclei and causes splitting of energy levels and hence multiple transitions.
• Peaks are often split into multiple peaks due to magnetic interactions between non-
equivalent protons on adjacent carbons, The process is called spin-spin splitting.
• The splitting is into one more peak than the number of H’s on the adjacent carbon(s),
This is the “n+1 rule”
• The relative intensities are in proportion of a binomial distribution given by Pascal’s
Triangle
• The set of peaks is a multiplet (2 = doublet, 3 = triplet, 4 = quartet, 5=pentet, 6=sextet,
7=heptet…..)
Origin & Theory of Spin-spin splitting
Rules for Spin-Spin Splitting
 Equivalent protons do not split each other
 Protons that are farther than two carbon atoms apart
do not split each other
1H NMR—Spin-Spin Splitting
• Splitting is not generally observed between protons separated by more
than three  bonds.
• If Ha and Hb are not equivalent, splitting is observed when:
• Spin-spin splitting occurs only between nonequivalent protons on the
same carbon or adjacent carbons.
The Origin of 1H NMR—Spin-Spin Splitting
Let us consider how the doublet due to the CH2 group on BrCH2CHBr2 occurs:
• When placed in an applied field, (B0), the adjacent proton (CHBr2) can be aligned with () or
against () B0. The likelihood of either case is about 50% (i.e., 1,000,006 vs 1,000,000).
• Thus, the absorbing CH2 protons feel two slightly different magnetic fields—one slightly larger than
B0, and one slightly smaller than B0.
• Since the absorbing protons feel two different magnetic fields, they absorb at two different
frequencies in the NMR spectrum, thus splitting a single absorption into a doublet, where the two
peaks of the doublet have equal intensity.
Magnetic field of Hb adds
to the applied field; Ha
signal appears at a lower
applied field
Magnetic field of Hb
subtracts from the applied
field; Hb signal appears at
a higher applied field
Hb
Hb
Ha
B0
Origins of Signal Splitting
Ha and Hb are non-equivalent
1. Equivalent nuclei do not interact with one another to give multiple absorption
peaks.
2. Coupling constants decrease significantly with separation of groups, and coupling is
seldom observed at distances greater than four bond lengths.
3. The multiplicity of a band is determined by the number n of magnetically equivalent
protons on the neighboring atoms and is given by the quantity n + 1.
4. If the protons on atom B are affected by protons on atoms A an C that are
nonequivalent, the multiplicity of B is equal to (nA + 1)(nC + 1), where nA and nC are the
number of equivalent protons on A and C, respectively.
5. The approximate relative areas of a multiplet are symmetric around the midpoint of
the band.
6. The coupling constant is independent of the applied field
Rules Governing the Interpretation
Solvents used in NMR
Nuclear Magnetic Resonance Spectrometer-
Applications
• NMR is the most powerful tool available for organic structure
determination.
• It is used to study a wide variety of nuclei: 1H, 13C, 15N, 19F, 31P
• Sensitive method
• Qualitative and quantitative method
• Protein/ biomolecule structure solving
• MRI imaging
NMR spectroscopy by roshan bodhe
NMR spectroscopy by roshan bodhe
NMR spectroscopy by roshan bodhe

NMR spectroscopy by roshan bodhe

  • 1.
  • 2.
    Nuclear Magnetic Resonance(NMR) Spectroscopy NUCLEAR MAGNETIC RESONANCE SPECTROSCOPY Principle What are N, M, and R ?
  • 3.
    N, M, andR Properties of the Nucleus Nuclear spin Nuclear magnetic moments The Nucleus in a Magnetic Field Precession and the Larmor frequency Nuclear Zeeman effect & Boltzmann distribution When the Nucleus Meet the right Magnet and radio wave Nuclear Magnetic Resonance
  • 4.
    1nm 10 102103 104 105 106 107 (the wave) X-ray UV/VIS Infrared Microwave Radio Frequency (the transition) electronic Vibration Rotation Nuclear (spectrometer) X-ray UV/VIS IR NMR NMR Spectroscopy Where is it?
  • 5.
    Nuclear spin  Nuclearspin is the total nuclear angular momentum quantum number. This is characterized by a spin quantum number I, which may be integral, half-integral or 0. 1. A nucleus with an even mass A and even charge Z  nuclear spin I is zero Example: 12C, 16O, 32S  No NMR signal 2. A nucleus with an even mass A and odd charge Z  integer value I Example: 2H, 10B, 14N  NMR detectable 3. A nucleus with odd mass A  I=n/2, where n is an odd integer Example: 1H, 13C, 15N, 31P  NMR detectable Properties of the Nucleus: nuclear spin and spin quantum numbers
  • 6.
    Quantum Description ofNMR Spin states The nucleus will then have 2I + 1 discrete states. Eg.1H, 13C, 19F, and 31P, the spin quantum number for these nuclei is ½ and therefore two orientations wrt external magnetic field Thus, each nucleus has two spin states corresponding to I = + ½ and I = - ½.
  • 7.
    7 Nuclear magnetic moments Aspinning charged nucleus creates a magnetic field.. Analogous to field produced when electricity flows through a coil The resulting magnetic moment  is oriented along the axis of spin and is proportional to angular momentum ρ  =  ρ : [gyromagnetic ratio (property of a nuclei)] Magnetic properties (I=1/2; at a field strength of 4.69T) The relationship between the nuclear spin and magnetic moment leads to a set of observable magnetic quantum states mI with values of –I, -I+1, …..+I . ( e.g. for I=1/2, mI=-1/2 and +1/2)
  • 8.
    When placed inan external field, spinning protons act like bar magnets. When placed in an external magnetic field,
  • 9.
    When placed inan external magnetic field, Zeeman Effect When external field is applied (Bo) the spin states separate be energy difference ΔE; The Zeeman splitting is proportional to the strength of the magnetic field
  • 10.
    Transition between energystates can be brought about by absorption or emission of electromagnetic radiation of a frequency Thus, by substituting the Planck relationship into the above equation, we obtain the frequency of the radiation required to bring about the transition The frequency of a magnetic transition is proportional to the applied field strength B0 with the proportionality constant of Eg. For a proton-
  • 11.
    Precission of nucleusin a field- Larmor frequency To understand the absorption process, a classical picture of the behaviour of a charged particle in a magnetic field is helpful. Due to Gyroscopic effect, the force applied by the field of the axis of rotation causes movement perpendicular to the plane of the force.. The axis of rotating particle moves in a circular path i.e. the rotational axis precesses around the vector representing the magnetic field Angular velocity is given by This can be converted to frequency of precession (Larmor Frequency) by dividing by 2π. thus It can be seen that Larmor frequency is identical to the frequency of absorbed radiation derived from quantum mechanical consideration
  • 12.
    Absorption of energy •Fora particle to absorb a photon of electromagnetic radiation, the particle must first be in some sort of uniform periodic motion • If the particle has “uniformly periodic motion” (i.e. precession) at vprecession, and absorbs energy, the energy is E=hvprecession •For I=1/2 nuclei in B0 field, the energy gap between two spin states: The radiation frequency must exactly match the precession frequency Ephoton=hvprecession=hvphoton= This is the so called “ Nuclear Magnetic RESONANCE”!!!!!!!!!
  • 13.
    Boltzmann distribution  Quantummechanics tells us that, for net absorption of radiation to occur, there must be more particles in the lower-energy state than in the higher one. If no net absorption is possible, a condition called saturation.  When it’s saturated, Boltzmann distribution comes to rescue: Nj and N0 are number of protons in higher and lower energy states T is the absolute temperature, k is Boltzmann constant 1.381*10-23 JK-1 ==>  Example: At 298K, what fraction of 1H nuclei in 2.35 T field are in the upper and lower states? (m=-1/2 : 0.4999959 ; m=1/2 : 0.5000041 )  The difference in populations of the two states is only on the order of few parts per million. However, this difference is sufficient to generate NMR signal.  Anything that increases the population difference will give rise to a more intense NMR signal.
  • 14.
    Relaxation Processes • Inorder to avoid saturation, the rate of relaxation of excited nucleus to their lower energy state must be as great or greater than the rate at which they absorb the radio-frequency energy. • One path is emission of radiation of a frequency corresponding to the energy difference between the states —fluorescence • At radio-frequencies this process does not occur to significant extent. • Thus non-radiative relaxation processes are of prime importance • To reduce saturation and produce a readily detectable absorption signal, relaxation should occur as rapidly as possible i.e the lifetime of excited state should be small. • However, high relaxation rates (low lifetimes)—line broadening, prevents high-resolution measurement. • These two opposing factors cause the optimum half-life for an excited species to range from about 0.1 to 10s • Two imp relaxation processes- Spin-lattice/ longitudinal; Spin-Spin/ transverse
  • 15.
    T1 (the spinlattice relaxation) • How long after immersion in a external field does it take for a collection of nuclei to reach Boltzmann distribution is controlled by T1, the spin lattice relaxation time. (major Boltzmann distribution effect) •Lost of energy in system to surrounding (lattice) as heat Vibrationally and rotationally (release extra energy) •It’s a time dependence decay process; first order exponential decay
  • 16.
    T2(the spin –spinrelaxation) •Several other effects tend to diminish relaxation times and thereby broaden NMR lines •Two neighboring nuclei of the same kind have identical precession rates, but are in different magnetic quantum states, the magnetic fields of each can interact to cause an interchange of states. Nucleus in a lower spin state is excited while the excited nucleus relaxes. No net change in the relative spin state population, thus no decrease in saturation. Average lifetime of excited nucleus shortened– line broadening is the result •Presence of other magnetic nuclei whose spin create local fields that may act to enhance or diminish the external field acting on the nucleus of interest. •Variation in static field can also result from small inhomogeneities in the field source itself.. Can be largely offset by rapidly spinning the sample. •Nuclei begin to lose their phase coherence and return to a random arrangement around the z axis is called spin-spin relaxation. dephasing
  • 17.
    Fourier Transform NMR Inpulsed NMR measurements, nuclei in a strong magnetic field are subjected to very brief pulses of intense radio-frequency radiation The length of the pulses is usually less than 10μs and frequency of radiation on the order of 102 to 103 MHz; interval between pulses is typically 1 to several secs. During the interval time domain, RF signal called the Free induction decay (FID) signal is emitted by excited nucleus as they relax. FID can be detected with a radio receiver coil that is Ʇ to the static magnetic field. As a matter of fact, single coil is used to both pulse the sample and detect the decay signal. Signal digitized and stored in a computer for data processing Signals from numerous successive pulses are added to improve signal-to-noise ratio Resulting summed data converted to frequency-domain signal by Fourier transformation. Finally, digital filtering may be applied to further increase Signal-to-noise ratio. Resulting frequency-domain output is the spectrum similar to that produced by continuous wave expt
  • 18.
    Behaviour of Magneticmoments of nuclei In a rotating field of reference 90-deg pulse experiment
  • 19.
    Pulse freq differsfrom Larmor frq by 50HzFID signal of 13C when Pulse freq = Larmor frq
  • 20.
    E.g. FID signalof 13C in cyclohexene
  • 21.
    Wide line spectrav/s High resolution spectra CH3-CH2-OH Low magnetic field strength Differentiating between very small frequency differences of 0.01ppm or less
  • 22.
    Environmental Effects CH3-CH2-OH Replace –OHby deuterium, peak disappears Ratio 1:2:3 Differences in abs frq for different atoms Depend on group to which H atom is bonded  This effect is Chemical Shift Two of three protons split into additional peaks Secondary envt effect superimposed upon chem shift Differences cause  Termed as Spin-spin splitting Both the chemical shift and spin-spin splitting are important in structural analysis. Experimentally, these are easily distinguished, because the peak separations resulting from a chemical shift are directly proportional to the field strength or to the oscillator frequency.
  • 23.
    Origin & Theoryof Chemical Shifts • The chemical shift is caused by small magnetic fields that are generated by electrons as they circulate around nuclei. • These result in secondary fields that may either decrease or enhance the field to which a given proton responds. • Under the influence of external magnetic field, electrons bonding the protons tend to precess around the nucleus in a plane Ʇ to magnetic field. • 20 field opposes the primary field • Nucleus experiences resultant field that is smaller/weaker • Nucleus is said to be shielded from full effect of 10 field • External field must be increased to cause resonance • Shielding experienced is directly related to e density surrounding it • Shielding decreases with increasing electron negativity of adjacent groups • Deshielded- nucleus feels stronger magnetic field due to the removal of electron density, magnetic induction, etc in neighboring atoms or groups • The chemical shift is used to identify functional groups and to aid in determining structural arrangements of groups. • Empirical correlations between structure and shift.
  • 24.
    24 Low external appliedfield Higher external applied field
  • 25.
    25 Protons in amolecule Lower frequency higher frequency downfield upfield
  • 26.
    chemical shift = d = shiftin Hz spectrometer frequency in MHz = ppm This division gives a number independent of the instrument used. parts per million The CHEMICAL SHIFT The “chemical shift” is a field independent value. Chemical shift is : the difference in frequency between the sample and the standard over the operation frequency. A particular proton in a given molecule will always come at the same chemical shift (constant value). Same value for 60, 100, or 300 MHz machine. Called the delta scale. Of course, we don’t do any of this, it’s all done automatically by the NMR machine.
  • 27.
  • 28.
  • 29.
    TMS- Most commonlyused standard • It is chemically inter and miscible with a large range of solvents • Its twelve protons are magnetically equivalent • Silicon less electronegativity compared to carbon • The majority of compounds studied by 1H NMR spectroscopy absorb downfield of the TMS signal, thus there is usually no interference between the standard and the sample. • Highly volatile and can be easily removed
  • 30.
    Other Standards usedin NMR spectroscopy Tetramethylsilane (TMS) Dioxane 3-(Trimethylsilyl)- propionic acid-d4, sodium salt (TSP) (for use in D2O) 2,2-dimethyl-2- silapentane- 5-sulfonate sodium salt (DSS) (for use in D2O) 3.75 ppm 0.00 ppm 0.00 ppm 0.00 ppm
  • 31.
    Compound CH3X Element X Electronegativityof X Chemical shift d CH3F CH3OH CH3Cl CH3Br CH3I CH4 (CH3)4Si F O Cl Br I H Si 4.0 3.5 3.1 2.8 2.5 2.1 1.8 4.26 3.40 3.05 2.68 2.16 0.23 0 Dependence of the Chemical Shift of CH3X on the Element X deshielding increases with the electronegativity of atom X TMSmost deshielded Effect of ELECTRONEGATIVITY on CHEMICAL SHIFT
  • 32.
    Effect of MAGNETICANISOTROPY DUE TO THE PRESENCE OF -BONDS The presence of a nearby pi bond or pi system greatly affects the chemical shift. Induced magnetic fields due to the  - electrons have greatest effect. Aromatic protons d = 7-8 ppm
  • 33.
  • 34.
  • 35.
  • 36.
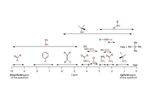
    dppm TMS CH3CH3 RONR2 CH3OCH3 RO HR R R HH RO Ph CH3 HR Cl CH3 Ph OH OH R NH R Upfieldregion ofthe spectrum Downfieldregion of the spectrum TMS = Me Si Me Me Me 012345678910 CH3HO (R)
  • 37.
    • The splittingof chemical shift peaks occurs as the magnetic moment of a nucleus interacts with the magnetic moments of immediately adjacent nuclei. • The magnetic field created by a spinning nucleus produces changes in the magnetic field of adjacent nuclei and causes splitting of energy levels and hence multiple transitions. • Peaks are often split into multiple peaks due to magnetic interactions between non- equivalent protons on adjacent carbons, The process is called spin-spin splitting. • The splitting is into one more peak than the number of H’s on the adjacent carbon(s), This is the “n+1 rule” • The relative intensities are in proportion of a binomial distribution given by Pascal’s Triangle • The set of peaks is a multiplet (2 = doublet, 3 = triplet, 4 = quartet, 5=pentet, 6=sextet, 7=heptet…..) Origin & Theory of Spin-spin splitting
  • 39.
    Rules for Spin-SpinSplitting  Equivalent protons do not split each other  Protons that are farther than two carbon atoms apart do not split each other
  • 40.
    1H NMR—Spin-Spin Splitting •Splitting is not generally observed between protons separated by more than three  bonds. • If Ha and Hb are not equivalent, splitting is observed when:
  • 41.
    • Spin-spin splittingoccurs only between nonequivalent protons on the same carbon or adjacent carbons. The Origin of 1H NMR—Spin-Spin Splitting Let us consider how the doublet due to the CH2 group on BrCH2CHBr2 occurs: • When placed in an applied field, (B0), the adjacent proton (CHBr2) can be aligned with () or against () B0. The likelihood of either case is about 50% (i.e., 1,000,006 vs 1,000,000). • Thus, the absorbing CH2 protons feel two slightly different magnetic fields—one slightly larger than B0, and one slightly smaller than B0. • Since the absorbing protons feel two different magnetic fields, they absorb at two different frequencies in the NMR spectrum, thus splitting a single absorption into a doublet, where the two peaks of the doublet have equal intensity.
  • 42.
    Magnetic field ofHb adds to the applied field; Ha signal appears at a lower applied field Magnetic field of Hb subtracts from the applied field; Hb signal appears at a higher applied field Hb Hb Ha B0
  • 43.
    Origins of SignalSplitting Ha and Hb are non-equivalent
  • 46.
    1. Equivalent nucleido not interact with one another to give multiple absorption peaks. 2. Coupling constants decrease significantly with separation of groups, and coupling is seldom observed at distances greater than four bond lengths. 3. The multiplicity of a band is determined by the number n of magnetically equivalent protons on the neighboring atoms and is given by the quantity n + 1. 4. If the protons on atom B are affected by protons on atoms A an C that are nonequivalent, the multiplicity of B is equal to (nA + 1)(nC + 1), where nA and nC are the number of equivalent protons on A and C, respectively. 5. The approximate relative areas of a multiplet are symmetric around the midpoint of the band. 6. The coupling constant is independent of the applied field Rules Governing the Interpretation
  • 47.
  • 48.
  • 50.
    Applications • NMR isthe most powerful tool available for organic structure determination. • It is used to study a wide variety of nuclei: 1H, 13C, 15N, 19F, 31P • Sensitive method • Qualitative and quantitative method • Protein/ biomolecule structure solving • MRI imaging