1H NMR SPECTROSCOPY
Tushar Prakash Naiknaware
M.Pharmacy
(Quality Assurance)
Roll No.14
Shri. D.D Vispute College Of Pharmacy & Research
Center
2020-2021
1. Quantum Numbers & their Role in NMR
2. Principle of NMR
3. Relaxation Process
4. Instrumentation of NMR
5. Solvent Requirement in NMR
6. Chemical Shift
7. Factors Influencing Chemical Shift
8. NMR Signals in Various Compounds
9. Spin-Spin Coupling
10. Coupling Constant
11. Applications of NMR Spectroscopy
Content
 We all know that all Nuclei(Protons Neutrons) carry a
charge.
 Generally, all Nuclei spins on the Nuclear Axis.
 This Spinning of Nuclear Charge generates a Magnetic
Dipole along the Axis.
Quantum Numbers & their Role
in NMR
 The Angular Momentum of the Spinning Charge i.e.
Spinning Nucleus can be describe in terms of Quantum
Spin Number “I”.
 Spin Number “I” can have values of 0, ½, 1, 3/2, and so
on.
 I=0 Denotes no Spin because-
 Within a Nucleus, Nucleons(Protons & Neutrons) have a
strong tendency to pair i.e. Neutron with Neutron OR Proton
with Proton so that their spins cancel (Spin Pair Anti-
Parallel).
 Hence, for all even-proton even-neutron Nuclei such as 12C,
16O, 32S, the ground state spin is always zero (I=0).
Number of
Protons
Number of
Neutrons
Spin Quantum
Number “I”
Examples
Even Even 0 12C, 16O, 32S
Odd Even ½ 1H, 19F, 31P
3/2 11B, 35Cl, 79Br
Even Odd ½ 13C
3/2 127I
5/2 17O
Odd Odd 1 2H, 14N
Role of Spin Quantum Number in NMR
 Spin Number “I” determines whether the Atomic Nuclei is
NMR active or inactive.
For e.g. 12C, 16O, 32S these Atomic Nuclei have Spin
Number zero. Therefore, these nuclei are NMR inactive.
 The Spin Number determines the number of orientation a
nucleus may assume in an external uniform magnetic
field in accordance with the formula 2I+1.
Principle of NMR
The above figure showing the nucleus in Absence and Presence
of External Magnet Field.
• As we can see from the above figure, Nucleus in
absence of External Magnetic Field can orient
themselves randomly in all possible directions.
• In Presence of External Magnetic Field Nucleus
aligned themselves with the field or against
the field.
 The number of orientation a nucleus may assume in an
external uniform magnetic field in accordance with the
formula 2I+1.
 Let us Assume a Nucleus has Spin Number I=1/2.
 2 Possible Orientation means Nucleus can either
aligned with the applied magnetic field OR aligned
against the field.
Nuclear Precession
 In presence of an external magnetic, the magnetic axis of
the proton will precess – moves in a circular path.
 Since, the proton precess it has particular frequency
which is known as Frequency of Precession OR Larmor
Frequency.
Nuclear Resonance
 When Nuclei Precess, Radiation of Energy comparable
to ∆E is then imposed with a Radio Frequency source.
 When the applied Radio Frequency becomes equal to
the Larmor Frequency, the Nuclei is said to be in
Resonance.
 This Resonance cause Nuclei to excite from the Low
Energy State to the High Energy State
 By the absorption of ∆E from the Applied
Radio Frequency.
 This Absorption is measured in NMR
Spectroscopy
 To prevent the excess of Saturation in Spin System, the
Relaxation Process must happen.
 There are two types of Relaxation Process in NMR
Spectroscopy :
1. Spin Lattice or Longitudinal Relaxation
 It involves the transfer of energy from the nucleus
in its higher energy state to the molecular lattice.
 The energy is transferred to the components of the
lattice as the additional Transitional, Vibrational and
Rotational energy.
Relaxation Process
2. Spin-Spin Relaxation
 It is due to mutual exchange of spins by two precessing
Nuclei which are in close proximity to each other.
 When two neighboring nuclei have identical precession
rates, the high spin state nucleus excites the low spin
state nucleus.
 In other words, a nucleus in the lower spin state is
excited and the excited nucleus relaxes to the lower
energy state.
 There is no decrease in saturation but lifetime of excited
nucleus is decreased.
Instrumentation of NMR
1. The Magnet
 Magnet may be either an electromagnetic or a permanent Magnet.
 It must have a very high degree of field homogeneity between the
pole pieces if high resolution work is needed.
 Currently most work with protons is done at a frequency of 60 * 106
CPS and a field of 14094 gauss.
 Frequencies of 100 * 106 CPS and fields of 23490 gauss are actually
used.
2. The Magnetic Field Sweep
 An alteration over a small range in the applied field may be
made by making use of pair of coils located parallel to the
magnet face.
 The additional field produced by these coils brings the total
resonance condition.
 By varying a direct current, the effective field can be changed
by a few hundred milligauss.
3. Radio Frequency Source
 The signal from a Radio Frequency transmitter is fed into a pair of
coils mounted at right angles to the path of the field.
 A fixed transmitter having a capacity of exactly 60 MHz is used.
4. The Signal Detector & Recording System
 The coil ( which surrounds the sample) has been used to direct the
radio frequency signal produced by the resonating nuclei.
 The electrical signal generated into the coil must be amplified before
it can be recorded.
5. The Sample Holder
 A usual NMR sample cell consists of a 5mm OD glass tube
which has a capacity of about 0.4ml of liquid.
 Microtubes for a small sample volumes are also marketed.
6. The Sample Probe
 It is a device that holds the sample tube in a fixed position in
the field.
 It is provided with an air driven turbine for rotating the sample
tube along its longitudinal axis at several hundred RPM.
 This rotation minimizes the effects of inhomogeneity in the
field – Better Resolution.
 The chosen Solvent must not interrupt with the general spectral
study of the component.
 The following characteristic are checked before choosing the
NMR solvent:
- Solubility
- Purity
- Solvent Viscosity
- Moisture Content
- Price
 Deuterated Solvents are mostly used. In these solvents the
majority of hydrogen nuclei are replaced with deuterium so as
to minimize the interference due to protons.
 Deuterated Chloroform, CDCl3 is most commonly used because
of its low price.
Solvent Requirement in NMR
 Apart from CDCl3 other deuterated solvents in
common use are:
- Deuterated Water (D2O)
- DMSO-d_6
- Methanol-d_4
- Methylene Chloride-d_2
- Pyridine-d_5
- THF-d_8
- Acetic acid-d_4
- Acetone-d_6
 Chemical Shift is the Resonant frequency of a nucleus relative to a
standard in a magnetic field.
 Shielded Protons
- A Proton is Shielded when it is surrounded by electrons whose Induced
Magnetic Field opposes the externally applied magnetic field and shields the
proton from its influence.
 Deshielded Protons
- A Proton is Deshielded when bonded to a group which withdraws part of the
shielding electron density from around the proton.
 These shifts in the position of NMR signals which arise from the shielding or
deshielding of electrons are generally called Chemical Shifts.
Chemical Shift
 Chemical Shift ( δ, in ppm) is the position of an peak relative to that of a
Reference Substance such as TMS ( Tetra methyl Silane).
A. Electronegativity and Inductive Effect
 Electronegative atom or group attracts electrons towards
itself.
 As a result, electron density around the nearby proton
decreases and it causes deshielding.
 The higher is the electronegativity of the atom, greater is
the deshielding provided to proton.
 For Example
Factors Influencing Chemical
Shift
CH3 – F
δ 4.26
CH3 – Cl
δ 3.0
CH3 – Br
δ 2.82
CH3 – I
δ 2.16
I < Br < Cl < F
 In general, the deshielding of proton attached to different halide
group is in the Order:
CH3 – F > CH3 – Cl > CH3 – Br > CH3 – I
 As the distance of the proton from the electronegative atom
increases, the deshielding effect of it decreases.
For Example,
 Attachment of, e.g. Chlorine directly to the carbon bearing the
proton leads to downfield shift.
CH3 – Cl
δ 3.0
CH3 – CH2 – Cl
δ 1.5
CH3 – Cl
δ 3.0
R - CH2 – Cl
δ 3.4
R2 – CH – Cl
δ 4.0
 When Chlorine is attached to the Carbon once removed from the
Carbon bearing the proton, there is a much weaker downfield shift.
CH3 – CH2 – Cl
δ 1.5
R - CH2 – CH2 – Cl
δ 1.7
R2 - CH – CH2 – Cl
δ 1.6
B. Effect of Magnetic Anisotropy – Space Effect
 Circulation of electrons, especially the π electrons
about nearby nuclei generates an induced field
which can either oppose (Shielding) or reinforce
(deshielding) – Anisotropic Effect
 In the case of alkynes, shielding occurs but in the
case of alkenes, benzene and aldehydes
deshielding takes place.
 The occurrence of shielding or deshielding can be
determined by the location of proton in the space
and this effect is known as space effect.
For Example,
CH3 – CH3
δ 0.9
CH2 = CH2
δ 5.8
HC CH
δ 5.8
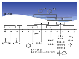
 Equivalence: Chemically and Magnetically equivalent nuclei resonate at
the same energy and give a single signal or pattern signal.
NMR Signal in Various
Compounds
 The interaction between the spin magnetic moment of the
different sets of ‘H’ atoms in the molecule under study is known
as Spin-Spin Coupling.
 The magnetic spins of these resonating nuclei interact with each
other and affect each others precession frequencies.
 The effective Magnetic Field experience by neighboring protons
as a result of Magnetic Spins, thereby affect the chemical shift
values.
 In addition to the Chemical Shifts, the nature of the peaks in the
NMR spectrum is also affected.
Spin-Spin Coupling
 Now let us Consider the following example of 1,1,2-
trichloroethane
 n+1 Rule
- This rule is to predict the splitting of proton signals.
- A set of Hydrogen (Protons) has n neighboring, non-equivalent hydrogen
(Protons), it will split into n+1 sub peaks.
- For example
- Zero H atom as neighbor n+1=0+1=1 (singlet)
- One H atom as neighbor n+1=1+1=2 (doublet)
- Two H atom as neighbor n+2=1+2=3 (triplet)
 Pascal’s Triangle
- It gives some idea about the relative peak intensities.
- For example - doublet peaks (n=1) are in the ratio 1:1
- triplet peaks (n=2) are in the ratio 1:2:1
- quartet peaks (n=3) are in the ratio 1:3:3:1
 The Coupling Constant is simply the difference between
two adjacent sub-peaks in a split signal.
 It is expressed in Hz.
Coupling Constant
 The value of the Coupling Constant ‘J’ depends on the :
- Distance between the Protons (number of bonds present
in between them).
- The orientation of the Coupled Protons (Cis/Trans)
- The 2-bond coupling between hydrogen bound to the
same alkene Carbon (Geminal Hydrogen) is very fine, 5Hz
or lower.
 Ortho Hydrogen on a benzene ring Couple at 6-10 Hz,
while 4-bond coupling of up to 4 Hz is sometimes seen
between Meta Hydrogen.
 1H NMR widely used for structure elucidation.
Inorganic solids- In organic compounds are investigated
by solid state 1H-NMR.eg CaSO4•H20.
Organic solids- Solid-state 111 NMR constitutes a
powerful approach to investigate the hydrogen-bonding
and ionization states of small organic compounds.
- Direct correlation with hydrogen-bonding lengths could be
demonstrated, e.g. for amino acid carboxyl groups.
Applications of NMR
Spectroscopy
 Polymers and Rubbers
 Peptides and Proteins
- Examine hydrogen bonding and acidity.
 Clinical and scientific research In vivo NMR studies –
Concerned with 'H NMR spectroscopy of human brain.
Many studies are concerned with altered levels of
metabolites in various brain diseases.
To determine the spatial distribution of any given
metabolite detected spectroscopical IS (Image Selected
in vivo spectroscopy).

1H NMR Spectroscopy

  • 1.
    1H NMR SPECTROSCOPY TusharPrakash Naiknaware M.Pharmacy (Quality Assurance) Roll No.14 Shri. D.D Vispute College Of Pharmacy & Research Center 2020-2021
  • 2.
    1. Quantum Numbers& their Role in NMR 2. Principle of NMR 3. Relaxation Process 4. Instrumentation of NMR 5. Solvent Requirement in NMR 6. Chemical Shift 7. Factors Influencing Chemical Shift 8. NMR Signals in Various Compounds 9. Spin-Spin Coupling 10. Coupling Constant 11. Applications of NMR Spectroscopy Content
  • 3.
     We allknow that all Nuclei(Protons Neutrons) carry a charge.  Generally, all Nuclei spins on the Nuclear Axis.  This Spinning of Nuclear Charge generates a Magnetic Dipole along the Axis. Quantum Numbers & their Role in NMR
  • 4.
     The AngularMomentum of the Spinning Charge i.e. Spinning Nucleus can be describe in terms of Quantum Spin Number “I”.  Spin Number “I” can have values of 0, ½, 1, 3/2, and so on.  I=0 Denotes no Spin because-  Within a Nucleus, Nucleons(Protons & Neutrons) have a strong tendency to pair i.e. Neutron with Neutron OR Proton with Proton so that their spins cancel (Spin Pair Anti- Parallel).  Hence, for all even-proton even-neutron Nuclei such as 12C, 16O, 32S, the ground state spin is always zero (I=0).
  • 5.
    Number of Protons Number of Neutrons SpinQuantum Number “I” Examples Even Even 0 12C, 16O, 32S Odd Even ½ 1H, 19F, 31P 3/2 11B, 35Cl, 79Br Even Odd ½ 13C 3/2 127I 5/2 17O Odd Odd 1 2H, 14N
  • 6.
    Role of SpinQuantum Number in NMR  Spin Number “I” determines whether the Atomic Nuclei is NMR active or inactive. For e.g. 12C, 16O, 32S these Atomic Nuclei have Spin Number zero. Therefore, these nuclei are NMR inactive.  The Spin Number determines the number of orientation a nucleus may assume in an external uniform magnetic field in accordance with the formula 2I+1.
  • 7.
    Principle of NMR Theabove figure showing the nucleus in Absence and Presence of External Magnet Field. • As we can see from the above figure, Nucleus in absence of External Magnetic Field can orient themselves randomly in all possible directions. • In Presence of External Magnetic Field Nucleus aligned themselves with the field or against the field.
  • 8.
     The numberof orientation a nucleus may assume in an external uniform magnetic field in accordance with the formula 2I+1.  Let us Assume a Nucleus has Spin Number I=1/2.  2 Possible Orientation means Nucleus can either aligned with the applied magnetic field OR aligned against the field.
  • 9.
    Nuclear Precession  Inpresence of an external magnetic, the magnetic axis of the proton will precess – moves in a circular path.  Since, the proton precess it has particular frequency which is known as Frequency of Precession OR Larmor Frequency.
  • 10.
    Nuclear Resonance  WhenNuclei Precess, Radiation of Energy comparable to ∆E is then imposed with a Radio Frequency source.  When the applied Radio Frequency becomes equal to the Larmor Frequency, the Nuclei is said to be in Resonance.  This Resonance cause Nuclei to excite from the Low Energy State to the High Energy State  By the absorption of ∆E from the Applied Radio Frequency.  This Absorption is measured in NMR Spectroscopy
  • 11.
     To preventthe excess of Saturation in Spin System, the Relaxation Process must happen.  There are two types of Relaxation Process in NMR Spectroscopy : 1. Spin Lattice or Longitudinal Relaxation  It involves the transfer of energy from the nucleus in its higher energy state to the molecular lattice.  The energy is transferred to the components of the lattice as the additional Transitional, Vibrational and Rotational energy. Relaxation Process
  • 12.
    2. Spin-Spin Relaxation It is due to mutual exchange of spins by two precessing Nuclei which are in close proximity to each other.  When two neighboring nuclei have identical precession rates, the high spin state nucleus excites the low spin state nucleus.  In other words, a nucleus in the lower spin state is excited and the excited nucleus relaxes to the lower energy state.  There is no decrease in saturation but lifetime of excited nucleus is decreased.
  • 13.
  • 14.
    1. The Magnet Magnet may be either an electromagnetic or a permanent Magnet.  It must have a very high degree of field homogeneity between the pole pieces if high resolution work is needed.  Currently most work with protons is done at a frequency of 60 * 106 CPS and a field of 14094 gauss.  Frequencies of 100 * 106 CPS and fields of 23490 gauss are actually used. 2. The Magnetic Field Sweep  An alteration over a small range in the applied field may be made by making use of pair of coils located parallel to the magnet face.  The additional field produced by these coils brings the total resonance condition.  By varying a direct current, the effective field can be changed by a few hundred milligauss.
  • 15.
    3. Radio FrequencySource  The signal from a Radio Frequency transmitter is fed into a pair of coils mounted at right angles to the path of the field.  A fixed transmitter having a capacity of exactly 60 MHz is used. 4. The Signal Detector & Recording System  The coil ( which surrounds the sample) has been used to direct the radio frequency signal produced by the resonating nuclei.  The electrical signal generated into the coil must be amplified before it can be recorded. 5. The Sample Holder  A usual NMR sample cell consists of a 5mm OD glass tube which has a capacity of about 0.4ml of liquid.  Microtubes for a small sample volumes are also marketed.
  • 16.
    6. The SampleProbe  It is a device that holds the sample tube in a fixed position in the field.  It is provided with an air driven turbine for rotating the sample tube along its longitudinal axis at several hundred RPM.  This rotation minimizes the effects of inhomogeneity in the field – Better Resolution.
  • 17.
     The chosenSolvent must not interrupt with the general spectral study of the component.  The following characteristic are checked before choosing the NMR solvent: - Solubility - Purity - Solvent Viscosity - Moisture Content - Price  Deuterated Solvents are mostly used. In these solvents the majority of hydrogen nuclei are replaced with deuterium so as to minimize the interference due to protons.  Deuterated Chloroform, CDCl3 is most commonly used because of its low price. Solvent Requirement in NMR
  • 18.
     Apart fromCDCl3 other deuterated solvents in common use are: - Deuterated Water (D2O) - DMSO-d_6 - Methanol-d_4 - Methylene Chloride-d_2 - Pyridine-d_5 - THF-d_8 - Acetic acid-d_4 - Acetone-d_6
  • 19.
     Chemical Shiftis the Resonant frequency of a nucleus relative to a standard in a magnetic field.  Shielded Protons - A Proton is Shielded when it is surrounded by electrons whose Induced Magnetic Field opposes the externally applied magnetic field and shields the proton from its influence.  Deshielded Protons - A Proton is Deshielded when bonded to a group which withdraws part of the shielding electron density from around the proton.  These shifts in the position of NMR signals which arise from the shielding or deshielding of electrons are generally called Chemical Shifts. Chemical Shift
  • 20.
     Chemical Shift( δ, in ppm) is the position of an peak relative to that of a Reference Substance such as TMS ( Tetra methyl Silane).
  • 22.
    A. Electronegativity andInductive Effect  Electronegative atom or group attracts electrons towards itself.  As a result, electron density around the nearby proton decreases and it causes deshielding.  The higher is the electronegativity of the atom, greater is the deshielding provided to proton.  For Example Factors Influencing Chemical Shift CH3 – F δ 4.26 CH3 – Cl δ 3.0 CH3 – Br δ 2.82 CH3 – I δ 2.16
  • 23.
    I < Br< Cl < F  In general, the deshielding of proton attached to different halide group is in the Order: CH3 – F > CH3 – Cl > CH3 – Br > CH3 – I  As the distance of the proton from the electronegative atom increases, the deshielding effect of it decreases. For Example,  Attachment of, e.g. Chlorine directly to the carbon bearing the proton leads to downfield shift. CH3 – Cl δ 3.0 CH3 – CH2 – Cl δ 1.5 CH3 – Cl δ 3.0 R - CH2 – Cl δ 3.4 R2 – CH – Cl δ 4.0
  • 24.
     When Chlorineis attached to the Carbon once removed from the Carbon bearing the proton, there is a much weaker downfield shift. CH3 – CH2 – Cl δ 1.5 R - CH2 – CH2 – Cl δ 1.7 R2 - CH – CH2 – Cl δ 1.6
  • 25.
    B. Effect ofMagnetic Anisotropy – Space Effect  Circulation of electrons, especially the π electrons about nearby nuclei generates an induced field which can either oppose (Shielding) or reinforce (deshielding) – Anisotropic Effect  In the case of alkynes, shielding occurs but in the case of alkenes, benzene and aldehydes deshielding takes place.  The occurrence of shielding or deshielding can be determined by the location of proton in the space and this effect is known as space effect. For Example, CH3 – CH3 δ 0.9 CH2 = CH2 δ 5.8 HC CH δ 5.8
  • 29.
     Equivalence: Chemicallyand Magnetically equivalent nuclei resonate at the same energy and give a single signal or pattern signal. NMR Signal in Various Compounds
  • 31.
     The interactionbetween the spin magnetic moment of the different sets of ‘H’ atoms in the molecule under study is known as Spin-Spin Coupling.  The magnetic spins of these resonating nuclei interact with each other and affect each others precession frequencies.  The effective Magnetic Field experience by neighboring protons as a result of Magnetic Spins, thereby affect the chemical shift values.  In addition to the Chemical Shifts, the nature of the peaks in the NMR spectrum is also affected. Spin-Spin Coupling
  • 32.
     Now letus Consider the following example of 1,1,2- trichloroethane
  • 35.
     n+1 Rule -This rule is to predict the splitting of proton signals. - A set of Hydrogen (Protons) has n neighboring, non-equivalent hydrogen (Protons), it will split into n+1 sub peaks. - For example - Zero H atom as neighbor n+1=0+1=1 (singlet) - One H atom as neighbor n+1=1+1=2 (doublet) - Two H atom as neighbor n+2=1+2=3 (triplet)
  • 36.
     Pascal’s Triangle -It gives some idea about the relative peak intensities. - For example - doublet peaks (n=1) are in the ratio 1:1 - triplet peaks (n=2) are in the ratio 1:2:1 - quartet peaks (n=3) are in the ratio 1:3:3:1
  • 37.
     The CouplingConstant is simply the difference between two adjacent sub-peaks in a split signal.  It is expressed in Hz. Coupling Constant
  • 38.
     The valueof the Coupling Constant ‘J’ depends on the : - Distance between the Protons (number of bonds present in between them). - The orientation of the Coupled Protons (Cis/Trans) - The 2-bond coupling between hydrogen bound to the same alkene Carbon (Geminal Hydrogen) is very fine, 5Hz or lower.
  • 39.
     Ortho Hydrogenon a benzene ring Couple at 6-10 Hz, while 4-bond coupling of up to 4 Hz is sometimes seen between Meta Hydrogen.
  • 40.
     1H NMRwidely used for structure elucidation. Inorganic solids- In organic compounds are investigated by solid state 1H-NMR.eg CaSO4•H20. Organic solids- Solid-state 111 NMR constitutes a powerful approach to investigate the hydrogen-bonding and ionization states of small organic compounds. - Direct correlation with hydrogen-bonding lengths could be demonstrated, e.g. for amino acid carboxyl groups. Applications of NMR Spectroscopy
  • 41.
     Polymers andRubbers  Peptides and Proteins - Examine hydrogen bonding and acidity.  Clinical and scientific research In vivo NMR studies – Concerned with 'H NMR spectroscopy of human brain. Many studies are concerned with altered levels of metabolites in various brain diseases. To determine the spatial distribution of any given metabolite detected spectroscopical IS (Image Selected in vivo spectroscopy).