POLITEKNIK NEGERI BANDUNG
PROGRAM STUDI D3 TEKNIK ELEKTRONIKA
Jl. Gegerkalong Hilir, Desa Ciwaruga Bandung, 40012. Kotak Pos 1234.
Telepon (022)2013789, Fax (022) 2013889
Lembar Sampul Dokumen
Judul Dokumen
Dokumen B100 : “Monitor Suhu Ruangan Menggunakan LM35”
Jenis Dokumen B100
Nomor Dokumen B100.1
Nomor Revisi 01
Nama File B100_SKD_TugasMandiri.docx
Tanggal Penerbitan 23 Maret 2017
Unit Penerbit Prodi D3-Teknik Elektronika – POLBAN
Jumlah Halaman 4
Data Pengusul
Pengusul Nama
Faisal Albaehaqi
Jabatan
Ketua
Mahasiswa Elektro / DIII
151311007
Tanggal 23 - 03 - 2017 Tanda Tangan
Lembaga Politeknik Negeri Bandung
Alamat Jln. Gegerkalong Hilir, Ds. Ciwaruga Bandung 40012, Kotak Pos 1234, Telepon
(022) 2013789, Fax. (022) 2013889
Telepon : Faks : Email :
faisal.albaehaqi.tec15@polban.ac.id
1. PENGANTAR
1.1 Ringkasan Isi Dokumen
Dokumen B100 ini berisi tentang proposal pengembangan Sistem Kendali suhu
Menggunakan Sensor LM35 yang ditunjukkan sebagai tugas proyek mandiri kuliah
praktek program studi D3 Teknik Elektronika Politeknik Negeri Bandung. Dokumen
iniberisi tentangantaralain: latarbelakangdan konsep Sistem Kendali suhu menggunakan
sensor LM35 yang direncanakan akan dikembangkan.
1.2 Tujuan Penulisan
Tujuan penulisan dari dokumen ini adalah :
1. Sebagai acuan dan referensi dalam pengembangan topik serupa dan pengembangan
lebih lanjut
2. Membuat miniatur kendali suhu ruangan menggunakan sensor LM35
2. Proposal Pengembangan
2.1 Pendahuluan
Pada dunia industri yang modern ini, tujuan dari pengembangan teknologi
diarahkan pada penciptaan suatu alat pengendalian yang sempurna dengan
ditunjang oleh teknologi modern sehingga diharapkan adanya peningkatan kualitas
dan kuantitas yang signifikan.
Suatu alat pengendalian otomatis akhir akhir ini banyak digunakan untuk
skala industri, dengan perkembangan teknologi yang pesat, penggunaan kendali
otomati menjadi sangat penting. Hal ini dikarenakan kendali otomatis memiliki
keunggulan diantaranya : efiensi waktu, hemat tenaa kerja, hemat energi dan
menghasilkan kualits produk yang tinggi dibandingkan dengan menggunakan
tenaga manusia.
2.1.1 Latar Belakang
Pengendalian suhu pada sebuah penyimpanan untuk industri
makanan sangatlah penting, karena apabila suhu yang berubah disebabkan
cahaya dan udara berada diluar kendali, makanan akan terurai secara
kimiawi sehingga makanan akan mengalami masa pembusukan lebih
awal. Guna memperlambat penguraian maka makanan hasil produksi
harus disimpan ditempat yang suhunya dapat terjaga.
Salah satu aplikasi dalam sistem kendali adalah pengendalian suhu
. kendali suhu memiliki fungsi untuk mengendalikan suhu pada tingkat
tertentu sehingga nilai suhu pada suatu tempat dapat dikendalikan
meskipun ada perubahan dengan gangguan.
Dengan latar belakang tersebut penulis berusaha membuat miniatur
model alat pengendali suhu yang diharapkan dapat membantu pengaturan
suhu.
2.1.2 Desain Sistem Kendali Suhu
Gambar 1 Blok Diagram Sistem Kendali
Berdasarkan Blok diagram yang dibuat maka komponennya
adalah sebagai berikut :
 Setpoint = Potensiometer
 Controller = Arduino Uno R3
 Penguat atau Driver = IGBT MBH60-100
 Actuator = Lampu Halogen 12W dan LCD 16x2
 Feedback Sensor = LM35
2.1.3 Konsep
Sistem plant berupa lampu halogen 12W yang ditempatkan pada
sebuah ruang tertutup dan akan menghasilkan panas. Pada ruangan
tersebut terdapat sebuah sensor suhu LM35 untuk mendeteksi adanya
perubahan suhu apakah sesuai dengan set point atau tidak yang
ditampilkan di LCD 16x2.
Set point berupa potensiometer akan mengatur berapa suhu yang
diperbolehkan disebuah ruangan tersebut yang akan dibaca oleh LM35.
Sehingga simpangan dari nilai feedback dari sensor LM35 terhadap nilai
setpoint disebut error. Nilai error inilah yang diperlukan untuk
pengolahan data pada controller agar suhu pada ruangan tetap berada
pada setpoint tertentu untuk dipertahankan kondisinya.
POLITEKNIK NEGERI BANDUNG
PROGRAM STUDI D3 TEKNIK ELEKTRONIKA
Jl. Gegerkalong Hilir, Desa Ciwaruga Bandung, 40012. Kotak Pos 1234.
Telepon (022)2013789, Fax (022) 2013889
Lembar Sampul Dokumen
Judul Dokumen
Dokumen B200 : “Monitor Kendali Suhu Ruangan Berbasis
Arduino Menggunakan Metode PID”
Jenis Dokumen B200
Nomor Dokumen B200.1
Nomor Revisi 01
Nama File B200_SKD_TugasMandiri.docx
Tanggal Penerbitan 30 Maret 2017
Unit Penerbit Prodi D3-Teknik Elektronika – POLBAN
Jumlah Halaman 4
Data Pengusul
Pengusul Nama
Faisal Albaehaqi
Jabatan
Ketua
Mahasiswa Elektro / DIII
151311007
Tanggal 30 - 03 - 2017 Tanda Tangan
Lembaga Politeknik Negeri Bandung
Alamat Jln. Gegerkalong Hilir, Ds. Ciwaruga Bandung 40012, Kotak Pos 1234, Telepon
(022) 2013789, Fax. (022) 2013889
Telepon : Faks : Email :
faisal.albaehaqi.tec15@polban.ac.id
1.1 Pengantar
Dokumen B200 ini berisi tentang dokumen spesifikasi alat yang meliputi spesifikasi sistem
dalam mengembangkan alat ini, serta detail dari alat yang akan dibuat dengan nama
“Monitor Kendali Suhu Ruangan dengan PID berbasis Arduino, IGBT dan sensor LM35”.
Dokumen ini berisi mengenai mekanisme alat dan cara kerja alat.
1.2 Functional Requirement Specification
Temperature akan terus dijaga agar sama dengan nilai set point yang diberikan. Untuk
mencapai kondisi tersebut perlu diterapkan sistem kendali temperature dengan metode PID.
Pengujian sistem dilakukan dengan memberikan gangguan pada sensor dengan membuka
pintu dan ventilasi pada suatu ruangan.
2.1 Pendahuluan
2.1.1 Gambaran Umum
Dokumen ini berisi proposal pengembangan pembuatan Sistem Kendali
temperatur dengan menggunkan sensor LM35, IGBT dan arduino sebagai
kontroller. untuk ditujukan sebagai tugas proyek 3 mata kuliah yaitu Sistem
Kendali Digital, Intrumentasi elektronika dan Elektronika Industri 2 Program
Studi D3 Teknik Elektronika Politeknik Negeri Bandung. Penulisan dokumen
berdasar pada ide pengembangan yang berisi antara lain : konsep, desain dan fitur
dari miniatur sistem sederhana yang direncanakan akan dikembangkan, perangkat
/ tools yang akan digunakan dan rencana pengembangan dari awal perencanaan
hingga produk akhir dari proyek ini.
2.1.2 Tujuan
Tujuan utama dari dibuatnya alat ini adalah :
 Merancang dan merealisasikan perangkat keras dan perangkat lunak sistem
kendali temperatur dengan menggunakan sensor LM35, IGBT dan arduino
uno.
 Menguji dan mengevaluasi kinerja dari alat ini.
2.1.3 Ruang Lingkup
Alat ini memiliki batasan-batasan sebagai berikut :
 Mengatur kestabilan suhu pada ruangan dengan set Point berupa nilai dari
Potensiometer
 Metode Kendali yang digunakan hanya metode PID menggunakan Arduino Uno
R3
 Gangguan yang diberikan pada plant hanya dengan membuka ventilasi dan pintu
dari miniatur ruangan .
2.2 Deskripsi Sistem
Karakteristik sistem dari alat ini adalah :
 Mengatur temperatur agar sama dengan nilai Setpoint yang diberikan.
 Tahan gangguan seperti naik atau turunnya suhu pada ruangan dengan
mengendalikan lampu.
3. Overall Specification
3.1 Pendahuluan
Pada bab ini akan dibahas mengenai spesifikasi keseluruhan dari kendali
temperatur sebagai suatu sistem dan komponen-komponen penyusunnya. Hal-hal
yang akan dijelaskan antara lain :
 Deskripsi Sistem : menjelaskan mengenai cara kerja secara umum dari sistem alat
ini.
 Deskripsi Perangkat Keras : menjelaskan perangkat keras yang digunakan dalam
sistem ini.
 Deskripsi Perangkat Lunak: menjelaskan diagram blok perangkat lunak yang
akan disusun pada sistem ini.
3.2 Deskripsi Alat
Alat ini merupakan suatu sistem kendali temperatur yang akan
mempertahankan suhu sesuai dengan setpoint yang diberikan.
3.3. Deskripsi Perangkat Keras
Sistem kendali temperatur ini membutuhkan perangkat keras sebagai
pendukung dari sistem ini, diantaranya :
 Setpoint = Potensiometer Potensiometer yang digunakan ialah potensiometer tipe
Mono yang mempunyai 3 kaki.
 Controller = Arduino UNO R3 Controller yang digunakan ialah mikrokontroler
Arduino UNO R3 yang bekerja pada tegangan 5 volt.
 Penguat atau Driver = penguat yang digunakan ialah FGA25N120AN, tegangan
VCE ± 1200V dengan arus maksimum collector sebesar 40 Ampere.
 Actuator = aktuator yang digunakan adalah Lampu DC 12W
 Feedback Sensor = sensor yang digunakan adalah LM35, Memiliki sensitivitas
suhu, dengan faktor skala linier antara tegang weg an dan suhu 10 mVolt/ºC,
sehingga dapat dikalibrasi langsung dalam celcius dan Memiliki ketepatan atau
akurasi kalibrasi yaitu 0,5ºC pada suhu 25 ºC
. 3.4 Deskripsi Perangkat Lunak
Realisasi perangkat lunak adalah proses pembuatan perangkat lunak sesuai
dengan diagram alir yang telah dibuat. Berikut adalah tahapan dalam realisasi
perangkat lunak. :
 Menentukan algoritma pembacaan sensor
 Menentukan algoritma kendali
 Membuat dan menguji program berdasarkan diagram alir yang telah dibuat dan
mensimulasikannya pada Arduino UNO R3.
 Menguji program pada alat yang telah dibuat.
POLITEKNIK NEGERI BANDUNG
PROGRAM STUDI D3 TEKNIK ELEKTRONIKA
Jl. Gegerkalong Hilir, Desa Ciwaruga Bandung, 40012. Kotak Pos 1234.
Telepon (022)2013789, Fax (022) 2013889
Lembar Sampul Dokumen
Judul Dokumen
Dokumen B300 : “Monitor Kendali Suhu Ruangan Berbasis
Arduino Menggunakan Metode PID”
Jenis Dokumen B300
Nomor Dokumen B300.1
Nomor Revisi 01
Nama File B300_SKD_TugasMandiri.docx
Tanggal Penerbitan 28 April 2017
Unit Penerbit Prodi D3-Teknik Elektronika – POLBAN
Jumlah Halaman
Data Pengusul
Pengusul Nama
Faisal Albaehaqi
Jabatan
Ketua
Mahasiswa Elektro / DIII
151311007
Tanggal 28 - 04 - 2017 Tanda Tangan
Lembaga Politeknik Negeri Bandung
Alamat Jln. Gegerkalong Hilir, Ds. Ciwaruga Bandung 40012, Kotak Pos 1234, Telepon
(022) 2013789, Fax. (022) 2013889
Telepon : Faks : Email :
faisal.albaehaqi.tec15@polban.ac.id
I. Pengantar
Dokumen ini merupakan proposal proyek “Monitor Kendali Suhu Ruangan
Berbasis Arduino Menggunakan Metode PID” yang akan dikembangkan dengan
menggunakan Arduino sebagai langkah awal mencoba simulasinya.
1.1. Ringkasan Isi Dokumen
Dokumen ini terdii dari dua bab sebagai berikut :
1. Bab Pengantar
Menjelaskan mengenai ringkasan isi dokumen, tujuan penulisan, kegunaan
dokumen,referensi dan daftar singkatan. Bab ini bertujuan untuk
memudahkan penggunaan dokumen ini.
2. Bab Proyek Pengembangan Sistem Elektronik
Bab ini berisikan pendahuluan,konsep rancangan, dan perencanaan
teknologi.
1.2 Tujuan Penulisan
Tujuan penulisan dokumen ini secara umum adalah untuk melanjutkan
proyek 3 mata kuliah yaitu Sistem Kendali Digital, Elektronika Industri dan
Instrumentasi Elektronika dalam hal desain mekanik dan sistem elektronika
serta dalam hal pengembangan dari konsep dan ide dari dokumen sebelumnya,
sehingga proyek ini dapat direalisasikan.
Sedangkan Tujuan dari dokumen ini adalah :
1. Untuk memudahkan proses pengembangan proyek.
2. Sebagai landasan dalam proses pengerjaan proyek.
3. Sebagai dokumentasi tahapan dalam pengembangan sebuah proyek.
II. Proposal Pengembangan Produk Sistem Elektronik dan Mekanik
2.1 Pendahuluan
Pada pengembangan proyek ini, akan dibuat rancangan mekanik dan
elektronik yang akan menjadi acuan dalam mengembangkan proyek ini menjadi
terealisasi sehingga dalam pengerjaannya setiap tahapnya bisa menjadi lebih
mudah. Tidak menutup kemungkinan bila disaat proses pengerjaannya dapat
mengalami beberapa perubahan dan modifikasi dalam hal mekanik maupun sistem
elektroniknya.
2.2 Perancangan Sistem Elektronik
2.2.1 Analisis Rangkaian Secara Diagram Blok
Gambar 1. Blok Diagram Sistem
Berdasarkan gambar diatas, Secara keseluruhan sistem ini terdiri dari 2
Rangkaian yaitu Rangkaian Kontrol Otomatis menggunakan Arduino dan
Rangkaian Analog untuk kendali manual menggunakan potensiometer
2.2.2 Analisis Rangkaian Per Blok
A. Analisis Blok Kendali Manual
Input yang digunakan ialah berasal dari potensimeter dimana
nilai potensiometer diubah untuk mengontrol kecepatan output PWM
IC NE 555. Semakin cepat sinyal PWM yang dihasilkan maka semakin
terang intensitas lampu yang mengakibatkan suhu naik. Begitupun
sebaliknya, semakin lambat output PWM maka semakin redup intensitas
cahaya lampu yang dihasilkan yang mengakibatkan suhu turun.
B. Analisis Blok Kendali Otomatis
1. Analisis Masukan
Masukan yang digunakan merupakan potensiometer yang
digunakan untuk mengatur titik kontrol yang akan dikendalikan
oleh Arduino.
2. Analisis Sistem Kontrol
Sistem pengendali utama dipegang oleh Arduino UNO
R3. Arduino ini mengolah data dari potensiometer sebagai nilai
setpoint serta menghitung nilai keluaran PID. Hasil nilai
keluaran PID berupa sinyal PWM yang disalurkan ke
OptoCoupler sebagai penghubung antara rangkaian kontrol
dengan rangkaian Driver aktuator. Selain itu, Arduino ini juga
menampilkan data melalui LCD.
Gambar 2. Arduino Uno R3
3. Analisis Keluaran
Keluaran pada rangkaian ini yaitu sebuah Lampu DC 12W
untuk dikendalikan oleh arduino.
Gambar 3. IGBT FGA25N120AN
IGBT FGA25N120A adalah penguat daya dengan impedansi
input sangat besar sehingga tidak akan membebani rangkaian
kontrol. IGBT tipe ini dapat bekerja pada arus hingga 40A dan
tegangan 1200V dengan kecepatan pensaklaran 60nS sehingga
cocok digunakan untuk kendali sinyal yang kontinyu.
2.3 Perancangan Sistem Elektronik
Dalam perancangan sistem elektronik, dirancanglah dua buah PCB yaitu
PCB Rangkaian Kontrol dan PCB Aktuator. Sedangkan Arduino dan LCD akan
diletakkan di casing.
Gambar 4. Skematik Monitor Kendali Suhu ruangan Berbasis Arduino
menggunakan metode PID
2.4 Perancangan Perangkat Lunak
Berikut ini adalah diagram alir sistem Monitoring Kendali Suhu Berbasis
Arduino Menggunakn Metode PID
POLITEKNIK NEGERI BANDUNG
PROGRAM STUDI D3 TEKNIK ELEKTRONIKA
Jl. Gegerkalong Hilir, Desa Ciwaruga Bandung, 40012. Kotak Pos 1234.
Telepon (022)2013789, Fax (022) 2013889
Lembar Sampul Dokumen
Judul Dokumen
Dokumen B400 : “Monitor Kendali Suhu Ruangan Berbasis
Arduino Menggunakan Metode PID”
Jenis Dokumen B400
Nomor Dokumen B400.1
Nomor Revisi 0
Nama File B400_SKD_TugasMandiri.docx
Tanggal Penerbitan 19 Mei 2017
Unit Penerbit Prodi D3-Teknik Elektronika – POLBAN
Jumlah Halaman
Data Pengusul
Pengusul Nama
Faisal Albaehaqi
Jabatan
Ketua
Mahasiswa Elektro / DIII
151311007
Tanggal 19 - 05 - 2017 Tanda Tangan
Lembaga Politeknik Negeri Bandung
Alamat Jln. Gegerkalong Hilir, Ds. Ciwaruga Bandung 40012, Kotak Pos 1234, Telepon
(022) 2013789, Fax. (022) 2013889
Telepon : Faks : Email :
faisal.albaehaqi.tec15@polban.ac.id
DAFTAR ISI
DAFTAR ISI.......................................................ERROR! BOOKMARK NOT DEFINED.
1 PENGANTAR .............................................................................................................3
1.1 RINGKASAN ...........................................................................................................3
1.2 TUJUAN PENULISAN...............................................................................................3
2 LINGKUP PENULISAN............................................................................................3
3 PENGUJIAN ALAT...................................................................................................4
3.1 PENGUJIAN POTENSIOMETER............... ERROR! BOOKMARK NOT DEFINED.
3.2 PENGUJIAN SENSOR LM35..............................................................................5
3.3 PENGUJIAN LCD................................................................................................8
3.4 PENGUJIAN IGBT (DRIVER)............................................................................8
4 KESIMPULAN.............................................................................................................9
1. Pengantar
Dokumen ini berisi proposal Monitor Kendali Suhu Ruangan Berbasis
Arduino Menggunakan Metode PID untuk ditujukan sebagai tugas 3 mata
kuliah yaitu Sistem Kendali Digital, Elektronika Industri dan Instrumentasi
Elektronika Program studi D3 Teknik Elektronika Politeknik Negeri Bandung.
Penulisan dokumen berdasar pada ide pengembangan yang berisi antara lain :
Pengujian setiap blok sistem yang akan digunakan dan rencana pengembangan
dari awal perencanaan hingga produk akhir dari proyek ini.
1.1 Ringkasan
Secara spesifik, dokumen ini menjelaskan berbagai macam test
yang akan dilakukan untuk mengetahui performa suatu sistem. Ukuran
tersebut dapat berupa bekerja atau tidaknya suatu fitur. Sistem yang
dibahas pada dokumen ini adalah sistem kendali suhu. Sistem ini
berfungsi sebagai pengendali suhu pada suatu ruang dengan set point
tertentu
1.2 Tujuan Penulisan
Tujuan dari penulisan dokumen ini adalah :
1. Sebagai tolak ukur fungsional sistem.
2. Sebagai tolak ukur selesainya perancangan dan realisasi sistem.
3. Sebagai acuan dan referensi dalam perancangan dan realisasi sistem
4. Sebagai bagian dari dokumentasi proyek.
2. Lingkup Pengujian
Lingkup pengujian dari sistem yang akan diuji adalah melihat performa dari
suatu komponen atau blok yang akan digunakan, hasil pengujian akan
menyatakan komponen atau blok tersebut berada dalam keadaan baik atau
tidak. Adapun indikasi dari komponen yang dinyatakan baik adalah nilai dari
suatu komponen atau blok sesuai dengan yang diinginkan. Berikut komponen
atau blok yang akan diuji:
 Potensiometer sebagai SV
 LM35 sebagai sensor suhu
 IGBT sebagai driver
 LCD sebagai Indikator
3. Pengujian Alat
3.1. Pengujian Potensiometer
Gambar 3.1 konfigurasi potensiometer
Pengujian potensio sebagai SV (set value) dilakukan dengan
membuat rangkaian seperti diatas, dengan menghibungkan potensio ke Vcc
dan GND dikedua sisinya, dan pada kaki tengah dihubungkan dengan port
A0 pada Arduino. Dengan menggunakan pembacaan pada analogread di
arduino
Gambar 3.2 Respon Potensiometer di Serial Plotter
Dengan hasil pengujian seperti grafik diatas, dapat dikatakan bahwa
potensio ada dalam keadaan yang baik.
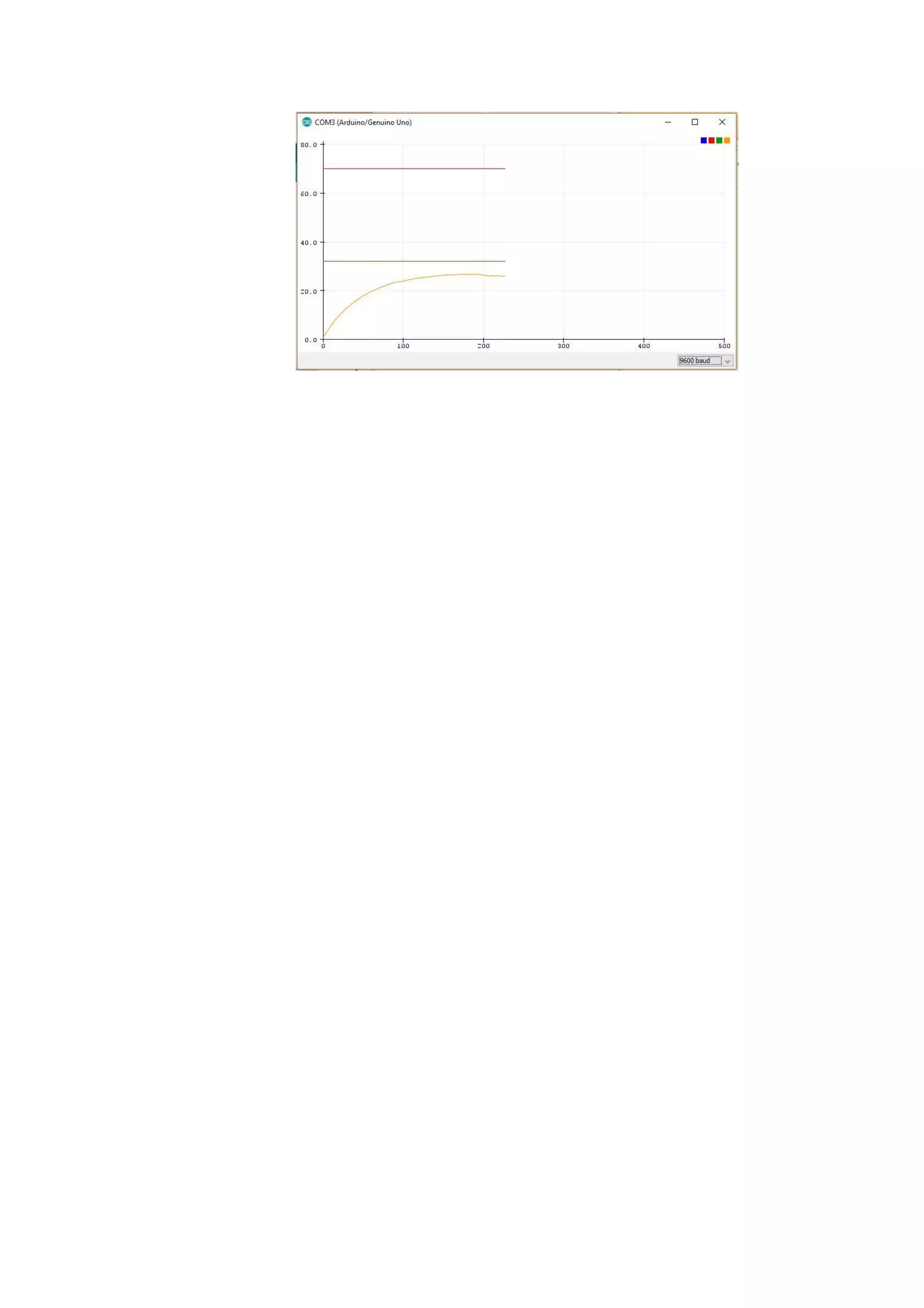
3.2 Pengujian Sensor LM35
Pengujian dilakukan dengan menggunakan program analogread pada
arduino dengan respon awal seperti gambar dibawah ini:
Gambar 3.3 Respon awal sensor LM35 pada suhu ruangan
Karena banyaknya noise maka saya menggunakan filter digital pada
sensor dengan desain sebagai berikut :
Gambar 3.4 Desain filter digital
Dengan menggunakan rumus :
Maka didapat perhitungan sebagai berikut :
T= 0.16139
f2= 1/t2 = 6.1961
w= 38.9115
fct= 0.389115
Sehingga responnya menjadi seperti dibawah ini
Gambar 3.5 respon sensor setelah diberi filter pada suhu ruangan
Gambar 3.6 respon sensor setelah diberi panas lampu yang menyala
selama 20 detik
Gambar 3.7 proses percobaan
Karena hasilnya berubah sesuai dengan suhu maka dapat dinyatakan
bahwa sensor dalam keadaan baik
3.3. Pengujian IGBT (Driver)
IGBT yang digunakan adalah tipe FQA 40N60 berikut data hasil
pengujian driver
Tabel 3.1 Pengujian IGBT
3.4. Pengujian LCD
Pengujian LCD sebagai display dimulai dengan membaca alamat
yang digunakan. LCD yang digunakan menggunakan LCD 16x2 dengan
susunan pin : DB7 = Pin 2
DB6 = Pin 3
DB5= Pin 4
DB4 = Pin 5
RS = 12
E = 11
Dengan menggunakan program seperti dibawah ini
PWM Vout Arduino = VG VCE ICE
0 0 0 0
50 1 2.2 0.125A
100 2 4.2 0.19A
200 3.91 9
255 4.99 11
Selanjutnya menampilkan karakter pada LCD. Hasilnya yaitu :
Gambar 3.8 Pengujian LCD
Hal ini menunjukkan LCD dapat menampilkan karakter dengan baik
4. Kesimpulan
Berdasarkan hasil pengujian maka dapat disimpulkan :
No Komponen Kondisi
1 Potensiometer Baik
2 Sensor Suhu LM35 Baik
3 LCD Baik
4 IGBT 40N60 Baik
POLITEKNIK NEGERI BANDUNG
PROGRAM STUDI D3 TEKNIK ELEKTRONIKA
Jl. Gegerkalong Hilir, Desa Ciwaruga Bandung, 40012. Kotak Pos 1234.
Telepon (022)2013789, Fax (022) 2013889
Lembar Sampul Dokumen
Judul Dokumen
Dokumen B500 : “Monitor Kendali Suhu Ruangan Berbasis
Arduino Menggunakan Metode PID”
Jenis Dokumen B500
Nomor Dokumen B500
Nomor Revisi 0
Nama File B500_SKD_TugasMandiri.docx
Tanggal Penerbitan 25 Mei 2017
Unit Penerbit Prodi D3-Teknik Elektronika – POLBAN
Jumlah Halaman
Data Pengusul
Pengusul Nama
Faisal Albaehaqi
Jabatan
Ketua
Mahasiswa Elektro / DIII
151311007
Tanggal 25 - 05 - 2017 Tanda Tangan
Lembaga Politeknik Negeri Bandung
Alamat Jln. Gegerkalong Hilir, Ds. Ciwaruga Bandung 40012, Kotak Pos 1234, Telepon
(022) 2013789, Fax. (022) 2013889
Telepon : Faks : Email :
faisal.albaehaqi.tec15@polban.ac.id
DAFTAR ISI
DAFTAR ISI..........................................................................................................................
1 PENGANTAR ...............................................................................................................
1.1 RINGKASAN .............................................................................................................
1.2 TUJUAN PENULISAN.................................................................................................
2 LINGKUP PENULISAN..............................................................................................
3 PENGUJIAN ALAT.....................................................................................................
3.1 PENGUJIAN POTENSIOMETER.........................................................................
3.2 PENGUJIAN SENSOR LM35................................................................................
3.3 PENGUJIAN LCD..................................................................................................
3.4 PENGUJIAN IGBT (DRIVER)..............................................................................
4 KESIMPULAN...............................................................................................................
1. Pengantar
Dokumen ini berisi Desain sistem kendali di digital yang berjudul
Monitor Kendali Suhu Ruangan Berbasis Arduino Menggunakan Metode PID
untuk ditujukan sebagai tugas 3 mata kuliah yaitu Sistem Kendali Digital,
Elektronika Industri dan Instrumentasi Elektronika Program studi D3 Teknik
Elektronika Politeknik Negeri Bandung. Penulisan dokumen berdasar pada ide
pengembangan yang berisi antara lain : desain sistem kendali, metode desain
yang digunakan dan cara linearitas pada sensor suhu LM35.
b. Ringkasan
Secara spesifik, dokumen ini menjelaskan berbagai macam test
yang akan dilakukan untuk mengetahui parameter kendali yang akan
digunakan dapat dilakukan pemilihan menggunakan metoda ZN1 atau
menggunakan ZN2 sesuai dengan kebutuhan. Sistem yang dibahas pada
pada dokumen ini adalah sistem kendali suhu, yang berfungsi untuk
mengendalikan suhu di suatu ruangan.
c. Tujuan Penulisan
Tujuan dari penulisan dokumen ini adalah :
1. Sebagai tolak ukur selesainya perancangan parameter kendali.
2. Sebagai acuan dan referensi dalam perancangan parameter kendali.
3. Sebagai bagian dari dokumentasi proyek.
3. Linearisasi Sensor
Karena pembacaan pada sensor seringkali berbeda dengan pembacaan pada
suhu ruangan, maka diperlukan proses linearisasi agar pembacaan pada sensor
sesuai dengan pembacaan asli pada ruangan.
Langkah langkahnya adalah :
1. Letakkan thermometer didekat sensor LM35.
2. Tutup ruangan pada plant
3. Masukkan program analogread pada arduino
4. Lihat pembacaan sensor LM35 pada serial monitor
5. Bandingkan perbedaan pembacaan pada thermometer dan sensor LM35 dan
ambil data 2 sample yaitu pada suhu ruangan dan pada saat lampu dinyalakan
6. Lakukan perhitungan dengan menggunakan rumus y=mx+b
7. Lalu hitung untuk mendapatkan persamaan linearisasinya.
Hasil perhitungan
Pembacaan
Thermometer
Pembacaan
Serial Monitor
28.5 26
61.5 54
y = mx+b
y = Pembacaan Thermometer
m= Variabel yang dicari
x = Pembacaan Serial
b = Variabel yang dicari
28.5 = 26m+b
61.5 = 54m+b -
-33 = -28m
m = 33/28
= 1,178
61.5 = 54m+b
61.5-54*(1,178) = b
61.5-63.612 = b
-2,112 = b
Jadi, persamaan linearisasi yang didapat adalah :
y =1.372x - 2,112
4. Design Kendali
4.1 Pemilihan Metode
Metode yang digunakan untuk design parameter kendali pada proyek
kali ini menggunakan metode Ziegler Nichols 1. Dengan cara plant diset
open loop lalu kita plot respon dari sensor yang di set sebagai set point
setelah itu design dengan menggunakan metoda Ziegler-Nichols 1.
4.2 Proses desain
Dengan menggunakan program PID digital untuk mendesain ZN1
seperti dibawah ini :
Lalu plot di serial plotter sehungga didapatkan hasil maka didapat
respon awal ketika dengan menggunakan program ZN1 PID digital
Lalu design hasil respon dengan menggunakan aplikasi CorelDraw X7
sehinggadidapatkan hasil sebagai berikut
Waktu maksimum yang ditangkap saat sinyal pada waktu di
maksimum adalah 8 menit 13 detik = 493 detik. Sehingga kita dapat
mencari parameter kendali dengan menggunakan nilai nilai hasil desain.
L = 0.11 cm
T = 3.82 cm
Maka cari nilai Lasli dan Tasli dengan menggunakan persamaan
Lasli = L di gambar * t asli max / Rangeasli max
= 0.11*493/17.41
= 3.11487
Tasli = T di gambar * tasli max / Rangeasli max
= 3.82 *493/17.41
= 108.17
Sehingga dapat dilakukan perhitungan kendali PID sebagai berikut :
Kp= 1.2 * T/L
= 1.2 * 3.114/108.17
= 41.737
Ti = 2*L
= 2*3.11
= 6.22
Td = 0.5*L
= 0.5*3.11
= 1.555
Maka didapat nilai parameter awal
Kp = 41.737
Ti = 6.22
Td =1.555
Lalu masukkan nilai parameter kedali kedalam program backward
difference standalone PID dan masukkan masing masing parameternya,
sehingga didapatkan respon awal seperti gambar dibawah ini
POLITEKNIK NEGERI BANDUNG
PROGRAM STUDI D3 TEKNIK ELEKTRONIKA
Jl. Gegerkalong Hilir, Desa Ciwaruga Bandung, 40012. Kotak Pos 1234.
Telepon (022)2013789, Fax (022) 2013889
Lembar Sampul Dokumen
Judul Dokumen
Dokumen B600 : “Monitor Kendali Suhu Ruangan Berbasis
Arduino Menggunakan Metode PID”
Jenis Dokumen B600
Nomor Dokumen B600
Nomor Revisi 0
Nama File B600_SKD_TugasMandiri.docx
Tanggal Penerbitan 11 Juni 2017
Unit Penerbit Prodi D3-Teknik Elektronika – POLBAN
Jumlah Halaman
Data Pengusul
Pengusul Nama
Faisal Albaehaqi
Jabatan
Ketua
Mahasiswa Elektro / DIII
151311007
Tanggal 11 - 06 - 2017 Tanda Tangan
Lembaga Politeknik Negeri Bandung
Alamat Jln. Gegerkalong Hilir, Ds. Ciwaruga Bandung 40012, Kotak Pos 1234, Telepon
(022) 2013789, Fax. (022) 2013889
Telepon : Faks : Email :
faisal.albaehaqi.tec15@polban.ac.id
1. Pengantar
Dokumen ini merupakan pengujian sistem pada proyek yang berjudul “Monitoring Suhu
ruangan berbasis Arduino dengan Metoda PID”.
1.1 Ringkasan
Secara spesifik, dokumen ini menjelaskan tentang pengujian kehandalan sistem
kendali PID yang diterapkan pada sistem plant yaitu Kendali Suhu. Pengujian
dilakukan dengan mengubah-ubah nilai setpoint dan melihat respon dari sistem. Selain
itu, pengujian juga dilakukan dengan memberikan gangguan pada sistem lalu melihat
bagaimana sistem mengatasi gangguan guna mempertahankan kondisi agar sama
dengan setpoint yang diberikan.
1.2 Tujuan Penulisan
Tujuan dari penulisan dokumen ini adalah :
1. Sebagai tolak ukur selesainya perancangan sistem
2. Sebagai acuan dan referensi dalam perancangan sistem kendali PID
3. Sebagai bagian dari dokumentasi proyek.
4. Design Kendali
2. Pengujian Sistem
Sistem kendali yang diterapkan menggunakan PID tipe Backward difference.
Pengujian dilakukan dengan memgubah nilai setpoint secara acak, dan respon dari sistem
diamati. Berikut ini adalah respon sistem pada tahap pengujian.
Gambar 1. Respon PID pada setpoint ke 1
Gambar 2. Respon PID saat diberi setpoint ke 2
3. Parameter PID
Pengujian kehandalan sistem selanjutnya yaitu dengan memberikan gangguan
sistem secara langsung dari luar sistem. Langkah yang dilakukan yaitu dengan cara
mengaganggu suhu pada ruangan . Harapannya yaitu jika sistem kendali bekerja dengan
baik maka sistem akan merespon dengan cepat. Berikut ini adalah respon sistem ketika
diberi gangguan
Gambar 3. Gangguan yang diberikan pada Plant
4. Kesimpulan
Berdasarkan hasil pengujian sistem, maka dapat disimpulkan bahwa sistem dapat
bekerja dengan baik. Parameter yang menentukan sistem bekerja dengan baik atau
tidaknya dilihat dari respon sistem yang terjadi, yang mana sistem dapat mengikuti
setpoint yang diberikan dengan cepat dan tepat. Selain itu, sistem dapat mengatasi
gangguan yang diberikan kepada sistem.

Monitoring Kendali Suhu Ruangan Berbasis Arduino Menggunakan Metoda PID dengan Driver IGBT

  • 1.
    POLITEKNIK NEGERI BANDUNG PROGRAMSTUDI D3 TEKNIK ELEKTRONIKA Jl. Gegerkalong Hilir, Desa Ciwaruga Bandung, 40012. Kotak Pos 1234. Telepon (022)2013789, Fax (022) 2013889 Lembar Sampul Dokumen Judul Dokumen Dokumen B100 : “Monitor Suhu Ruangan Menggunakan LM35” Jenis Dokumen B100 Nomor Dokumen B100.1 Nomor Revisi 01 Nama File B100_SKD_TugasMandiri.docx Tanggal Penerbitan 23 Maret 2017 Unit Penerbit Prodi D3-Teknik Elektronika – POLBAN Jumlah Halaman 4 Data Pengusul Pengusul Nama Faisal Albaehaqi Jabatan Ketua Mahasiswa Elektro / DIII 151311007 Tanggal 23 - 03 - 2017 Tanda Tangan Lembaga Politeknik Negeri Bandung Alamat Jln. Gegerkalong Hilir, Ds. Ciwaruga Bandung 40012, Kotak Pos 1234, Telepon (022) 2013789, Fax. (022) 2013889 Telepon : Faks : Email : faisal.albaehaqi.tec15@polban.ac.id
  • 2.
    1. PENGANTAR 1.1 RingkasanIsi Dokumen Dokumen B100 ini berisi tentang proposal pengembangan Sistem Kendali suhu Menggunakan Sensor LM35 yang ditunjukkan sebagai tugas proyek mandiri kuliah praktek program studi D3 Teknik Elektronika Politeknik Negeri Bandung. Dokumen iniberisi tentangantaralain: latarbelakangdan konsep Sistem Kendali suhu menggunakan sensor LM35 yang direncanakan akan dikembangkan. 1.2 Tujuan Penulisan Tujuan penulisan dari dokumen ini adalah : 1. Sebagai acuan dan referensi dalam pengembangan topik serupa dan pengembangan lebih lanjut 2. Membuat miniatur kendali suhu ruangan menggunakan sensor LM35 2. Proposal Pengembangan 2.1 Pendahuluan Pada dunia industri yang modern ini, tujuan dari pengembangan teknologi diarahkan pada penciptaan suatu alat pengendalian yang sempurna dengan ditunjang oleh teknologi modern sehingga diharapkan adanya peningkatan kualitas dan kuantitas yang signifikan. Suatu alat pengendalian otomatis akhir akhir ini banyak digunakan untuk skala industri, dengan perkembangan teknologi yang pesat, penggunaan kendali otomati menjadi sangat penting. Hal ini dikarenakan kendali otomatis memiliki keunggulan diantaranya : efiensi waktu, hemat tenaa kerja, hemat energi dan menghasilkan kualits produk yang tinggi dibandingkan dengan menggunakan tenaga manusia.
  • 3.
    2.1.1 Latar Belakang Pengendaliansuhu pada sebuah penyimpanan untuk industri makanan sangatlah penting, karena apabila suhu yang berubah disebabkan cahaya dan udara berada diluar kendali, makanan akan terurai secara kimiawi sehingga makanan akan mengalami masa pembusukan lebih awal. Guna memperlambat penguraian maka makanan hasil produksi harus disimpan ditempat yang suhunya dapat terjaga. Salah satu aplikasi dalam sistem kendali adalah pengendalian suhu . kendali suhu memiliki fungsi untuk mengendalikan suhu pada tingkat tertentu sehingga nilai suhu pada suatu tempat dapat dikendalikan meskipun ada perubahan dengan gangguan. Dengan latar belakang tersebut penulis berusaha membuat miniatur model alat pengendali suhu yang diharapkan dapat membantu pengaturan suhu. 2.1.2 Desain Sistem Kendali Suhu Gambar 1 Blok Diagram Sistem Kendali
  • 4.
    Berdasarkan Blok diagramyang dibuat maka komponennya adalah sebagai berikut :  Setpoint = Potensiometer  Controller = Arduino Uno R3  Penguat atau Driver = IGBT MBH60-100  Actuator = Lampu Halogen 12W dan LCD 16x2  Feedback Sensor = LM35 2.1.3 Konsep Sistem plant berupa lampu halogen 12W yang ditempatkan pada sebuah ruang tertutup dan akan menghasilkan panas. Pada ruangan tersebut terdapat sebuah sensor suhu LM35 untuk mendeteksi adanya perubahan suhu apakah sesuai dengan set point atau tidak yang ditampilkan di LCD 16x2. Set point berupa potensiometer akan mengatur berapa suhu yang diperbolehkan disebuah ruangan tersebut yang akan dibaca oleh LM35. Sehingga simpangan dari nilai feedback dari sensor LM35 terhadap nilai setpoint disebut error. Nilai error inilah yang diperlukan untuk pengolahan data pada controller agar suhu pada ruangan tetap berada pada setpoint tertentu untuk dipertahankan kondisinya.
  • 5.
    POLITEKNIK NEGERI BANDUNG PROGRAMSTUDI D3 TEKNIK ELEKTRONIKA Jl. Gegerkalong Hilir, Desa Ciwaruga Bandung, 40012. Kotak Pos 1234. Telepon (022)2013789, Fax (022) 2013889 Lembar Sampul Dokumen Judul Dokumen Dokumen B200 : “Monitor Kendali Suhu Ruangan Berbasis Arduino Menggunakan Metode PID” Jenis Dokumen B200 Nomor Dokumen B200.1 Nomor Revisi 01 Nama File B200_SKD_TugasMandiri.docx Tanggal Penerbitan 30 Maret 2017 Unit Penerbit Prodi D3-Teknik Elektronika – POLBAN Jumlah Halaman 4 Data Pengusul Pengusul Nama Faisal Albaehaqi Jabatan Ketua Mahasiswa Elektro / DIII 151311007 Tanggal 30 - 03 - 2017 Tanda Tangan Lembaga Politeknik Negeri Bandung Alamat Jln. Gegerkalong Hilir, Ds. Ciwaruga Bandung 40012, Kotak Pos 1234, Telepon (022) 2013789, Fax. (022) 2013889 Telepon : Faks : Email : faisal.albaehaqi.tec15@polban.ac.id
  • 6.
    1.1 Pengantar Dokumen B200ini berisi tentang dokumen spesifikasi alat yang meliputi spesifikasi sistem dalam mengembangkan alat ini, serta detail dari alat yang akan dibuat dengan nama “Monitor Kendali Suhu Ruangan dengan PID berbasis Arduino, IGBT dan sensor LM35”. Dokumen ini berisi mengenai mekanisme alat dan cara kerja alat. 1.2 Functional Requirement Specification Temperature akan terus dijaga agar sama dengan nilai set point yang diberikan. Untuk mencapai kondisi tersebut perlu diterapkan sistem kendali temperature dengan metode PID. Pengujian sistem dilakukan dengan memberikan gangguan pada sensor dengan membuka pintu dan ventilasi pada suatu ruangan. 2.1 Pendahuluan 2.1.1 Gambaran Umum Dokumen ini berisi proposal pengembangan pembuatan Sistem Kendali temperatur dengan menggunkan sensor LM35, IGBT dan arduino sebagai kontroller. untuk ditujukan sebagai tugas proyek 3 mata kuliah yaitu Sistem Kendali Digital, Intrumentasi elektronika dan Elektronika Industri 2 Program Studi D3 Teknik Elektronika Politeknik Negeri Bandung. Penulisan dokumen berdasar pada ide pengembangan yang berisi antara lain : konsep, desain dan fitur dari miniatur sistem sederhana yang direncanakan akan dikembangkan, perangkat / tools yang akan digunakan dan rencana pengembangan dari awal perencanaan hingga produk akhir dari proyek ini. 2.1.2 Tujuan Tujuan utama dari dibuatnya alat ini adalah :  Merancang dan merealisasikan perangkat keras dan perangkat lunak sistem kendali temperatur dengan menggunakan sensor LM35, IGBT dan arduino uno.  Menguji dan mengevaluasi kinerja dari alat ini.
  • 7.
    2.1.3 Ruang Lingkup Alatini memiliki batasan-batasan sebagai berikut :  Mengatur kestabilan suhu pada ruangan dengan set Point berupa nilai dari Potensiometer  Metode Kendali yang digunakan hanya metode PID menggunakan Arduino Uno R3  Gangguan yang diberikan pada plant hanya dengan membuka ventilasi dan pintu dari miniatur ruangan . 2.2 Deskripsi Sistem Karakteristik sistem dari alat ini adalah :  Mengatur temperatur agar sama dengan nilai Setpoint yang diberikan.  Tahan gangguan seperti naik atau turunnya suhu pada ruangan dengan mengendalikan lampu. 3. Overall Specification 3.1 Pendahuluan Pada bab ini akan dibahas mengenai spesifikasi keseluruhan dari kendali temperatur sebagai suatu sistem dan komponen-komponen penyusunnya. Hal-hal yang akan dijelaskan antara lain :  Deskripsi Sistem : menjelaskan mengenai cara kerja secara umum dari sistem alat ini.  Deskripsi Perangkat Keras : menjelaskan perangkat keras yang digunakan dalam sistem ini.  Deskripsi Perangkat Lunak: menjelaskan diagram blok perangkat lunak yang akan disusun pada sistem ini. 3.2 Deskripsi Alat Alat ini merupakan suatu sistem kendali temperatur yang akan mempertahankan suhu sesuai dengan setpoint yang diberikan.
  • 8.
    3.3. Deskripsi PerangkatKeras Sistem kendali temperatur ini membutuhkan perangkat keras sebagai pendukung dari sistem ini, diantaranya :  Setpoint = Potensiometer Potensiometer yang digunakan ialah potensiometer tipe Mono yang mempunyai 3 kaki.  Controller = Arduino UNO R3 Controller yang digunakan ialah mikrokontroler Arduino UNO R3 yang bekerja pada tegangan 5 volt.  Penguat atau Driver = penguat yang digunakan ialah FGA25N120AN, tegangan VCE ± 1200V dengan arus maksimum collector sebesar 40 Ampere.  Actuator = aktuator yang digunakan adalah Lampu DC 12W  Feedback Sensor = sensor yang digunakan adalah LM35, Memiliki sensitivitas suhu, dengan faktor skala linier antara tegang weg an dan suhu 10 mVolt/ºC, sehingga dapat dikalibrasi langsung dalam celcius dan Memiliki ketepatan atau akurasi kalibrasi yaitu 0,5ºC pada suhu 25 ºC . 3.4 Deskripsi Perangkat Lunak Realisasi perangkat lunak adalah proses pembuatan perangkat lunak sesuai dengan diagram alir yang telah dibuat. Berikut adalah tahapan dalam realisasi perangkat lunak. :  Menentukan algoritma pembacaan sensor  Menentukan algoritma kendali  Membuat dan menguji program berdasarkan diagram alir yang telah dibuat dan mensimulasikannya pada Arduino UNO R3.  Menguji program pada alat yang telah dibuat.
  • 9.
    POLITEKNIK NEGERI BANDUNG PROGRAMSTUDI D3 TEKNIK ELEKTRONIKA Jl. Gegerkalong Hilir, Desa Ciwaruga Bandung, 40012. Kotak Pos 1234. Telepon (022)2013789, Fax (022) 2013889 Lembar Sampul Dokumen Judul Dokumen Dokumen B300 : “Monitor Kendali Suhu Ruangan Berbasis Arduino Menggunakan Metode PID” Jenis Dokumen B300 Nomor Dokumen B300.1 Nomor Revisi 01 Nama File B300_SKD_TugasMandiri.docx Tanggal Penerbitan 28 April 2017 Unit Penerbit Prodi D3-Teknik Elektronika – POLBAN Jumlah Halaman Data Pengusul Pengusul Nama Faisal Albaehaqi Jabatan Ketua Mahasiswa Elektro / DIII 151311007 Tanggal 28 - 04 - 2017 Tanda Tangan Lembaga Politeknik Negeri Bandung Alamat Jln. Gegerkalong Hilir, Ds. Ciwaruga Bandung 40012, Kotak Pos 1234, Telepon (022) 2013789, Fax. (022) 2013889 Telepon : Faks : Email : faisal.albaehaqi.tec15@polban.ac.id
  • 10.
    I. Pengantar Dokumen inimerupakan proposal proyek “Monitor Kendali Suhu Ruangan Berbasis Arduino Menggunakan Metode PID” yang akan dikembangkan dengan menggunakan Arduino sebagai langkah awal mencoba simulasinya. 1.1. Ringkasan Isi Dokumen Dokumen ini terdii dari dua bab sebagai berikut : 1. Bab Pengantar Menjelaskan mengenai ringkasan isi dokumen, tujuan penulisan, kegunaan dokumen,referensi dan daftar singkatan. Bab ini bertujuan untuk memudahkan penggunaan dokumen ini. 2. Bab Proyek Pengembangan Sistem Elektronik Bab ini berisikan pendahuluan,konsep rancangan, dan perencanaan teknologi. 1.2 Tujuan Penulisan Tujuan penulisan dokumen ini secara umum adalah untuk melanjutkan proyek 3 mata kuliah yaitu Sistem Kendali Digital, Elektronika Industri dan Instrumentasi Elektronika dalam hal desain mekanik dan sistem elektronika serta dalam hal pengembangan dari konsep dan ide dari dokumen sebelumnya, sehingga proyek ini dapat direalisasikan. Sedangkan Tujuan dari dokumen ini adalah : 1. Untuk memudahkan proses pengembangan proyek. 2. Sebagai landasan dalam proses pengerjaan proyek. 3. Sebagai dokumentasi tahapan dalam pengembangan sebuah proyek. II. Proposal Pengembangan Produk Sistem Elektronik dan Mekanik 2.1 Pendahuluan Pada pengembangan proyek ini, akan dibuat rancangan mekanik dan elektronik yang akan menjadi acuan dalam mengembangkan proyek ini menjadi terealisasi sehingga dalam pengerjaannya setiap tahapnya bisa menjadi lebih mudah. Tidak menutup kemungkinan bila disaat proses pengerjaannya dapat mengalami beberapa perubahan dan modifikasi dalam hal mekanik maupun sistem elektroniknya.
  • 11.
    2.2 Perancangan SistemElektronik 2.2.1 Analisis Rangkaian Secara Diagram Blok Gambar 1. Blok Diagram Sistem Berdasarkan gambar diatas, Secara keseluruhan sistem ini terdiri dari 2 Rangkaian yaitu Rangkaian Kontrol Otomatis menggunakan Arduino dan Rangkaian Analog untuk kendali manual menggunakan potensiometer 2.2.2 Analisis Rangkaian Per Blok A. Analisis Blok Kendali Manual Input yang digunakan ialah berasal dari potensimeter dimana nilai potensiometer diubah untuk mengontrol kecepatan output PWM IC NE 555. Semakin cepat sinyal PWM yang dihasilkan maka semakin terang intensitas lampu yang mengakibatkan suhu naik. Begitupun sebaliknya, semakin lambat output PWM maka semakin redup intensitas cahaya lampu yang dihasilkan yang mengakibatkan suhu turun. B. Analisis Blok Kendali Otomatis
  • 12.
    1. Analisis Masukan Masukanyang digunakan merupakan potensiometer yang digunakan untuk mengatur titik kontrol yang akan dikendalikan oleh Arduino. 2. Analisis Sistem Kontrol Sistem pengendali utama dipegang oleh Arduino UNO R3. Arduino ini mengolah data dari potensiometer sebagai nilai setpoint serta menghitung nilai keluaran PID. Hasil nilai keluaran PID berupa sinyal PWM yang disalurkan ke OptoCoupler sebagai penghubung antara rangkaian kontrol dengan rangkaian Driver aktuator. Selain itu, Arduino ini juga menampilkan data melalui LCD. Gambar 2. Arduino Uno R3 3. Analisis Keluaran Keluaran pada rangkaian ini yaitu sebuah Lampu DC 12W untuk dikendalikan oleh arduino. Gambar 3. IGBT FGA25N120AN
  • 13.
    IGBT FGA25N120A adalahpenguat daya dengan impedansi input sangat besar sehingga tidak akan membebani rangkaian kontrol. IGBT tipe ini dapat bekerja pada arus hingga 40A dan tegangan 1200V dengan kecepatan pensaklaran 60nS sehingga cocok digunakan untuk kendali sinyal yang kontinyu. 2.3 Perancangan Sistem Elektronik Dalam perancangan sistem elektronik, dirancanglah dua buah PCB yaitu PCB Rangkaian Kontrol dan PCB Aktuator. Sedangkan Arduino dan LCD akan diletakkan di casing. Gambar 4. Skematik Monitor Kendali Suhu ruangan Berbasis Arduino menggunakan metode PID
  • 14.
    2.4 Perancangan PerangkatLunak Berikut ini adalah diagram alir sistem Monitoring Kendali Suhu Berbasis Arduino Menggunakn Metode PID
  • 15.
    POLITEKNIK NEGERI BANDUNG PROGRAMSTUDI D3 TEKNIK ELEKTRONIKA Jl. Gegerkalong Hilir, Desa Ciwaruga Bandung, 40012. Kotak Pos 1234. Telepon (022)2013789, Fax (022) 2013889 Lembar Sampul Dokumen Judul Dokumen Dokumen B400 : “Monitor Kendali Suhu Ruangan Berbasis Arduino Menggunakan Metode PID” Jenis Dokumen B400 Nomor Dokumen B400.1 Nomor Revisi 0 Nama File B400_SKD_TugasMandiri.docx Tanggal Penerbitan 19 Mei 2017 Unit Penerbit Prodi D3-Teknik Elektronika – POLBAN Jumlah Halaman Data Pengusul Pengusul Nama Faisal Albaehaqi Jabatan Ketua Mahasiswa Elektro / DIII 151311007 Tanggal 19 - 05 - 2017 Tanda Tangan Lembaga Politeknik Negeri Bandung Alamat Jln. Gegerkalong Hilir, Ds. Ciwaruga Bandung 40012, Kotak Pos 1234, Telepon (022) 2013789, Fax. (022) 2013889 Telepon : Faks : Email : faisal.albaehaqi.tec15@polban.ac.id DAFTAR ISI
  • 16.
    DAFTAR ISI.......................................................ERROR! BOOKMARKNOT DEFINED. 1 PENGANTAR .............................................................................................................3 1.1 RINGKASAN ...........................................................................................................3 1.2 TUJUAN PENULISAN...............................................................................................3 2 LINGKUP PENULISAN............................................................................................3 3 PENGUJIAN ALAT...................................................................................................4 3.1 PENGUJIAN POTENSIOMETER............... ERROR! BOOKMARK NOT DEFINED. 3.2 PENGUJIAN SENSOR LM35..............................................................................5 3.3 PENGUJIAN LCD................................................................................................8 3.4 PENGUJIAN IGBT (DRIVER)............................................................................8 4 KESIMPULAN.............................................................................................................9
  • 17.
    1. Pengantar Dokumen iniberisi proposal Monitor Kendali Suhu Ruangan Berbasis Arduino Menggunakan Metode PID untuk ditujukan sebagai tugas 3 mata kuliah yaitu Sistem Kendali Digital, Elektronika Industri dan Instrumentasi Elektronika Program studi D3 Teknik Elektronika Politeknik Negeri Bandung. Penulisan dokumen berdasar pada ide pengembangan yang berisi antara lain : Pengujian setiap blok sistem yang akan digunakan dan rencana pengembangan dari awal perencanaan hingga produk akhir dari proyek ini. 1.1 Ringkasan Secara spesifik, dokumen ini menjelaskan berbagai macam test yang akan dilakukan untuk mengetahui performa suatu sistem. Ukuran tersebut dapat berupa bekerja atau tidaknya suatu fitur. Sistem yang dibahas pada dokumen ini adalah sistem kendali suhu. Sistem ini berfungsi sebagai pengendali suhu pada suatu ruang dengan set point tertentu 1.2 Tujuan Penulisan Tujuan dari penulisan dokumen ini adalah : 1. Sebagai tolak ukur fungsional sistem. 2. Sebagai tolak ukur selesainya perancangan dan realisasi sistem. 3. Sebagai acuan dan referensi dalam perancangan dan realisasi sistem 4. Sebagai bagian dari dokumentasi proyek. 2. Lingkup Pengujian Lingkup pengujian dari sistem yang akan diuji adalah melihat performa dari suatu komponen atau blok yang akan digunakan, hasil pengujian akan menyatakan komponen atau blok tersebut berada dalam keadaan baik atau tidak. Adapun indikasi dari komponen yang dinyatakan baik adalah nilai dari suatu komponen atau blok sesuai dengan yang diinginkan. Berikut komponen atau blok yang akan diuji:  Potensiometer sebagai SV
  • 18.
     LM35 sebagaisensor suhu  IGBT sebagai driver  LCD sebagai Indikator 3. Pengujian Alat 3.1. Pengujian Potensiometer Gambar 3.1 konfigurasi potensiometer Pengujian potensio sebagai SV (set value) dilakukan dengan membuat rangkaian seperti diatas, dengan menghibungkan potensio ke Vcc dan GND dikedua sisinya, dan pada kaki tengah dihubungkan dengan port A0 pada Arduino. Dengan menggunakan pembacaan pada analogread di arduino Gambar 3.2 Respon Potensiometer di Serial Plotter Dengan hasil pengujian seperti grafik diatas, dapat dikatakan bahwa
  • 19.
    potensio ada dalamkeadaan yang baik. 3.2 Pengujian Sensor LM35 Pengujian dilakukan dengan menggunakan program analogread pada arduino dengan respon awal seperti gambar dibawah ini: Gambar 3.3 Respon awal sensor LM35 pada suhu ruangan Karena banyaknya noise maka saya menggunakan filter digital pada sensor dengan desain sebagai berikut : Gambar 3.4 Desain filter digital Dengan menggunakan rumus :
  • 20.
    Maka didapat perhitungansebagai berikut : T= 0.16139 f2= 1/t2 = 6.1961 w= 38.9115 fct= 0.389115 Sehingga responnya menjadi seperti dibawah ini Gambar 3.5 respon sensor setelah diberi filter pada suhu ruangan
  • 21.
    Gambar 3.6 responsensor setelah diberi panas lampu yang menyala selama 20 detik Gambar 3.7 proses percobaan Karena hasilnya berubah sesuai dengan suhu maka dapat dinyatakan bahwa sensor dalam keadaan baik 3.3. Pengujian IGBT (Driver) IGBT yang digunakan adalah tipe FQA 40N60 berikut data hasil pengujian driver
  • 22.
    Tabel 3.1 PengujianIGBT 3.4. Pengujian LCD Pengujian LCD sebagai display dimulai dengan membaca alamat yang digunakan. LCD yang digunakan menggunakan LCD 16x2 dengan susunan pin : DB7 = Pin 2 DB6 = Pin 3 DB5= Pin 4 DB4 = Pin 5 RS = 12 E = 11 Dengan menggunakan program seperti dibawah ini PWM Vout Arduino = VG VCE ICE 0 0 0 0 50 1 2.2 0.125A 100 2 4.2 0.19A 200 3.91 9 255 4.99 11
  • 23.
    Selanjutnya menampilkan karakterpada LCD. Hasilnya yaitu : Gambar 3.8 Pengujian LCD Hal ini menunjukkan LCD dapat menampilkan karakter dengan baik 4. Kesimpulan Berdasarkan hasil pengujian maka dapat disimpulkan : No Komponen Kondisi 1 Potensiometer Baik 2 Sensor Suhu LM35 Baik 3 LCD Baik 4 IGBT 40N60 Baik
  • 24.
    POLITEKNIK NEGERI BANDUNG PROGRAMSTUDI D3 TEKNIK ELEKTRONIKA Jl. Gegerkalong Hilir, Desa Ciwaruga Bandung, 40012. Kotak Pos 1234. Telepon (022)2013789, Fax (022) 2013889 Lembar Sampul Dokumen Judul Dokumen Dokumen B500 : “Monitor Kendali Suhu Ruangan Berbasis Arduino Menggunakan Metode PID” Jenis Dokumen B500 Nomor Dokumen B500 Nomor Revisi 0 Nama File B500_SKD_TugasMandiri.docx Tanggal Penerbitan 25 Mei 2017 Unit Penerbit Prodi D3-Teknik Elektronika – POLBAN Jumlah Halaman Data Pengusul Pengusul Nama Faisal Albaehaqi Jabatan Ketua Mahasiswa Elektro / DIII 151311007 Tanggal 25 - 05 - 2017 Tanda Tangan Lembaga Politeknik Negeri Bandung Alamat Jln. Gegerkalong Hilir, Ds. Ciwaruga Bandung 40012, Kotak Pos 1234, Telepon (022) 2013789, Fax. (022) 2013889 Telepon : Faks : Email : faisal.albaehaqi.tec15@polban.ac.id DAFTAR ISI
  • 25.
    DAFTAR ISI.......................................................................................................................... 1 PENGANTAR............................................................................................................... 1.1 RINGKASAN ............................................................................................................. 1.2 TUJUAN PENULISAN................................................................................................. 2 LINGKUP PENULISAN.............................................................................................. 3 PENGUJIAN ALAT..................................................................................................... 3.1 PENGUJIAN POTENSIOMETER......................................................................... 3.2 PENGUJIAN SENSOR LM35................................................................................ 3.3 PENGUJIAN LCD.................................................................................................. 3.4 PENGUJIAN IGBT (DRIVER).............................................................................. 4 KESIMPULAN...............................................................................................................
  • 26.
    1. Pengantar Dokumen iniberisi Desain sistem kendali di digital yang berjudul Monitor Kendali Suhu Ruangan Berbasis Arduino Menggunakan Metode PID untuk ditujukan sebagai tugas 3 mata kuliah yaitu Sistem Kendali Digital, Elektronika Industri dan Instrumentasi Elektronika Program studi D3 Teknik Elektronika Politeknik Negeri Bandung. Penulisan dokumen berdasar pada ide pengembangan yang berisi antara lain : desain sistem kendali, metode desain yang digunakan dan cara linearitas pada sensor suhu LM35. b. Ringkasan Secara spesifik, dokumen ini menjelaskan berbagai macam test yang akan dilakukan untuk mengetahui parameter kendali yang akan digunakan dapat dilakukan pemilihan menggunakan metoda ZN1 atau menggunakan ZN2 sesuai dengan kebutuhan. Sistem yang dibahas pada pada dokumen ini adalah sistem kendali suhu, yang berfungsi untuk mengendalikan suhu di suatu ruangan. c. Tujuan Penulisan Tujuan dari penulisan dokumen ini adalah : 1. Sebagai tolak ukur selesainya perancangan parameter kendali. 2. Sebagai acuan dan referensi dalam perancangan parameter kendali. 3. Sebagai bagian dari dokumentasi proyek. 3. Linearisasi Sensor Karena pembacaan pada sensor seringkali berbeda dengan pembacaan pada suhu ruangan, maka diperlukan proses linearisasi agar pembacaan pada sensor sesuai dengan pembacaan asli pada ruangan. Langkah langkahnya adalah : 1. Letakkan thermometer didekat sensor LM35. 2. Tutup ruangan pada plant 3. Masukkan program analogread pada arduino 4. Lihat pembacaan sensor LM35 pada serial monitor 5. Bandingkan perbedaan pembacaan pada thermometer dan sensor LM35 dan ambil data 2 sample yaitu pada suhu ruangan dan pada saat lampu dinyalakan 6. Lakukan perhitungan dengan menggunakan rumus y=mx+b
  • 27.
    7. Lalu hitunguntuk mendapatkan persamaan linearisasinya. Hasil perhitungan Pembacaan Thermometer Pembacaan Serial Monitor 28.5 26 61.5 54 y = mx+b y = Pembacaan Thermometer m= Variabel yang dicari x = Pembacaan Serial b = Variabel yang dicari 28.5 = 26m+b 61.5 = 54m+b - -33 = -28m m = 33/28 = 1,178 61.5 = 54m+b 61.5-54*(1,178) = b 61.5-63.612 = b -2,112 = b Jadi, persamaan linearisasi yang didapat adalah : y =1.372x - 2,112
  • 28.
    4. Design Kendali 4.1Pemilihan Metode Metode yang digunakan untuk design parameter kendali pada proyek kali ini menggunakan metode Ziegler Nichols 1. Dengan cara plant diset open loop lalu kita plot respon dari sensor yang di set sebagai set point setelah itu design dengan menggunakan metoda Ziegler-Nichols 1. 4.2 Proses desain Dengan menggunakan program PID digital untuk mendesain ZN1 seperti dibawah ini :
  • 30.
    Lalu plot diserial plotter sehungga didapatkan hasil maka didapat respon awal ketika dengan menggunakan program ZN1 PID digital Lalu design hasil respon dengan menggunakan aplikasi CorelDraw X7 sehinggadidapatkan hasil sebagai berikut Waktu maksimum yang ditangkap saat sinyal pada waktu di maksimum adalah 8 menit 13 detik = 493 detik. Sehingga kita dapat mencari parameter kendali dengan menggunakan nilai nilai hasil desain. L = 0.11 cm T = 3.82 cm
  • 31.
    Maka cari nilaiLasli dan Tasli dengan menggunakan persamaan Lasli = L di gambar * t asli max / Rangeasli max = 0.11*493/17.41 = 3.11487 Tasli = T di gambar * tasli max / Rangeasli max = 3.82 *493/17.41 = 108.17 Sehingga dapat dilakukan perhitungan kendali PID sebagai berikut : Kp= 1.2 * T/L = 1.2 * 3.114/108.17 = 41.737 Ti = 2*L = 2*3.11 = 6.22 Td = 0.5*L = 0.5*3.11 = 1.555 Maka didapat nilai parameter awal Kp = 41.737 Ti = 6.22 Td =1.555 Lalu masukkan nilai parameter kedali kedalam program backward difference standalone PID dan masukkan masing masing parameternya, sehingga didapatkan respon awal seperti gambar dibawah ini
  • 33.
    POLITEKNIK NEGERI BANDUNG PROGRAMSTUDI D3 TEKNIK ELEKTRONIKA Jl. Gegerkalong Hilir, Desa Ciwaruga Bandung, 40012. Kotak Pos 1234. Telepon (022)2013789, Fax (022) 2013889 Lembar Sampul Dokumen Judul Dokumen Dokumen B600 : “Monitor Kendali Suhu Ruangan Berbasis Arduino Menggunakan Metode PID” Jenis Dokumen B600 Nomor Dokumen B600 Nomor Revisi 0 Nama File B600_SKD_TugasMandiri.docx Tanggal Penerbitan 11 Juni 2017 Unit Penerbit Prodi D3-Teknik Elektronika – POLBAN Jumlah Halaman Data Pengusul Pengusul Nama Faisal Albaehaqi Jabatan Ketua Mahasiswa Elektro / DIII 151311007 Tanggal 11 - 06 - 2017 Tanda Tangan Lembaga Politeknik Negeri Bandung Alamat Jln. Gegerkalong Hilir, Ds. Ciwaruga Bandung 40012, Kotak Pos 1234, Telepon (022) 2013789, Fax. (022) 2013889 Telepon : Faks : Email : faisal.albaehaqi.tec15@polban.ac.id
  • 34.
    1. Pengantar Dokumen inimerupakan pengujian sistem pada proyek yang berjudul “Monitoring Suhu ruangan berbasis Arduino dengan Metoda PID”. 1.1 Ringkasan Secara spesifik, dokumen ini menjelaskan tentang pengujian kehandalan sistem kendali PID yang diterapkan pada sistem plant yaitu Kendali Suhu. Pengujian dilakukan dengan mengubah-ubah nilai setpoint dan melihat respon dari sistem. Selain itu, pengujian juga dilakukan dengan memberikan gangguan pada sistem lalu melihat bagaimana sistem mengatasi gangguan guna mempertahankan kondisi agar sama dengan setpoint yang diberikan. 1.2 Tujuan Penulisan Tujuan dari penulisan dokumen ini adalah : 1. Sebagai tolak ukur selesainya perancangan sistem 2. Sebagai acuan dan referensi dalam perancangan sistem kendali PID 3. Sebagai bagian dari dokumentasi proyek. 4. Design Kendali 2. Pengujian Sistem Sistem kendali yang diterapkan menggunakan PID tipe Backward difference. Pengujian dilakukan dengan memgubah nilai setpoint secara acak, dan respon dari sistem diamati. Berikut ini adalah respon sistem pada tahap pengujian.
  • 35.
    Gambar 1. ResponPID pada setpoint ke 1 Gambar 2. Respon PID saat diberi setpoint ke 2 3. Parameter PID Pengujian kehandalan sistem selanjutnya yaitu dengan memberikan gangguan sistem secara langsung dari luar sistem. Langkah yang dilakukan yaitu dengan cara mengaganggu suhu pada ruangan . Harapannya yaitu jika sistem kendali bekerja dengan baik maka sistem akan merespon dengan cepat. Berikut ini adalah respon sistem ketika diberi gangguan
  • 36.
    Gambar 3. Gangguanyang diberikan pada Plant 4. Kesimpulan Berdasarkan hasil pengujian sistem, maka dapat disimpulkan bahwa sistem dapat bekerja dengan baik. Parameter yang menentukan sistem bekerja dengan baik atau tidaknya dilihat dari respon sistem yang terjadi, yang mana sistem dapat mengikuti setpoint yang diberikan dengan cepat dan tepat. Selain itu, sistem dapat mengatasi gangguan yang diberikan kepada sistem.