DIURETIC
S
Diuretics (“water pills”) are the drugs which
increase the urine out put (or) urine volume .
What is natreuretic agent ?
Any drug when introduce into the body
increases the out put of sodium
ie., loss of sodium in urine.
 1 cardiac output -5 lit/min.
 Out of that 20% goes to kidneys i.e.1 lit/min.
 Only 20% can enter into glomerelus that is 120 ml.
 This 120 ml/min makes glomerular filtrate.
 98 Percent water and electrolyte reabsorb
 1-2 percent urine formation
 Approximately 1200 ml of blood per minute flows through both
kidneys.
 Ions such as sodium, chloride,calcium are reabsorbed.
 Total amount of glucose, amino acids, vitamins, proteins are
reabsorbed.
 If the urine contains above it represents the disorders.
 For example proteins such as albumin in higher amounts causes
albuminaria.
Important functions of the kidney are:-
 Water Reabsorption
 To maintain a homeostatis balance of electrolytes and water.
 To excrete water soluble end products of metabolites.
 Filteration
 Urine formation
KIDNEY STRUCTURAL UNIT ---THE NEPHRON
Each kidney contains approximately one million
nephrons and is capable of forming urine
independently.
The nephrons are composed of glomerulus,
proximal tubule, loop of henle, distal tubule.
NORMAL PHYSIOLOGY OF KIDNEY
(URINE FORMATION)
Diuretics are very effective in the treatment of conditions like:-
 chronic heart failure
 nephrotic syndrome
 chronic hepatic diseases
 hypertension
 Pregnancy associated oedema
 Cirrhosis of the liver.
Therapeutic approaches
Types of
urine
PolyuriaNormal
CLASSIFICATION OF DIURETICS
 Non Mercurial Diuretics
 Mercurial Diuretics
CLASSIFICATION OF DIURETICS
A. Weak Diuretics :-
i. Osmotic Diuretics: Electrolytes: Sodium Chloride,
Potassium chloride,Mannitol
Nonelectrolytes: Isosorbide, Sucrose, Urea, Glycerol.
ii. Xanthine derivatives: Aminophylline, Theophylline
iii. Carbonic anhydrase inhibitors: Acetazolamide,
Dichlorphenamide, Ethozolamide, Methazolamide
Moderately potent Diuretics:-
i. Thiazide Diuretic
Chlorthiazide, Hydrochlorthiazide.
Very Potent Diuretics:-
i. Loop Diuretics: Furosemide, Ethacrynic acid,
Torsemide,Bumetamide,
Mercurial: Mersalyl, Mercaptomerin,
Meralluride, Chlormerodin, Mercurous chloride
(Mersalyl).
Potassium sparing Diuretics:-
Triamterene, Spironolactone, Amiloride.
MERCURAL DIURETICS
MERCURIAL DIURETICS
 Mercuric diuretics contains mercuric ion in
their structure and it combine with SH Group
containing enzyme and inactivate.
 These enzymes control reabsorption of water
and Na/Cl Ion exchange.
 Block reabsorption of sodium in proximal
tubules and Ascending loop of Henle.
 They enhance the excretion of potassium.
MERCURIAL DIURETICS
 Due to there pronoun and serious
complications not mostly used
Merculism
Hypersenstivity
Excessive diuresis
Administered through intramuscular route
and orally less common
SAR OF MERCURIAL DIURETICS
 Diuretic activity of mercurial diuretic require
hydrophilic group e.g RCONH attach not less
than 3 carbon from Hg.
 Compounds with shorter chain activity little or
short.
 Diuretic activity/toxicity determined by
fuctional group attached at X,Y,R Position
 Y more , R less activity influence and X not
imp activity
SAR OF MERCURIAL DIURETICS
 Theophylline instead of X improve activity
Enhanced diuretic activity
Reduce tissue irritation
Increase absorption from site of action
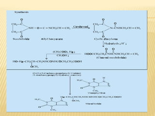
MERALLURIDE
SYNTHESIS OF MERALLURIDE
SYNTHESIS OF MERALLURIDE
USES OF MERALLURIDE
 EDEMA
 CHF
 NEPHROTIC SYNDROME
 HEPATIC CIRRHOSIS
MERCAPTOMERIN SODIUM
SYNTHESIS OF MERCAPTOMERIN SODIUM
USES OF MERCAPTOMERIN SODIUM
MERETHOXYLLINE PROCAINE
NON MERCURIAL DIURETICS
CLASSIFICATION OF NON MERCURIAL DIURETICS
THIAZIDE
 The position 2 can tolerate the presence of small alkyl
groups such as methyl.
 Substituents in 3 position determines the potency,duration
of action.
S
N
NR1
SO2NH
2
R
O
O
4
3
2
1
8
7
6
5
 Loss of c-c double bond between 3&4 positions of nucleus
increases diuretic potency approximately three to ten fold.
 Direct substitution of the 4,5 or 8 position with an alkyl group
usually results in diminished diuretic activity.
 Substitution of the 6-position with an activating group is
essential for diuretic activity . The best substituent's include
Cl,Br,CF3 and No2 groups.
 The sulphamoyl group in the7-position is a prerequisite for
diuretic activity.
S
N
NR1
SO2NH
2
R
O
O
4
3
2
1
8
7
6
5
 These drugs compete for the chloride binding site of the
sodium/chloride symporter and inhibit the re-absorption of
sodium &chloride.
SYNTHESIS OF CHLORTHIAZIDE
Uses
 HEART FAILURE
 HYPERTENSION
 NEPHROTIC SYNDROMES
 Alkalizing the urine.
These are given in combination with amiloride,allopurinol to
prevent the formation of calcium stones in hyper calciuric
ADVERSE EFFECTS
 GI effects -Anorexia
 CNS effects -Dizziness, vertigo.
 CVS effects-Ortho static hypotension.
 HYPOKALEMIA, HYPONATREMIA,
 ALLERGIC REACTIONS
chlorothiazide R1 =H
hydrochlorothiazide R1=H,R=Cl
trichlormethiazide R1=CHCl2,R=Cl
methyclothiazide R1=CH2Cl,R=Cl
hydroflumethiazide R1=H,R=CF3
DRUGS SUBSTITUEN
TS
HYDROCHLOROTHIAZIDE
CARBONIC ACID INHIBITORS
CH3
C NH
NN
S
S
O
O
N
H
H
O
Acetazolamide
SAR OF ACETAZOLAMIDE
 Presence of sulphonamide moiety necessary for
diuretic activity
 N group of sulphonamide remain unsubstituted
for its activity
 If methyl group on N position attachment to
retain its activity
CH3
C NH
NN
S
S
O
O
N
H
H
O
CARBONIC ANHYDRASE INHIBITORS
 Carbonic anhydrase is present in many sites
but predominent location of this enzyme is
the luminal membrane of the proximal
tubules cells.
 It catalyzes the dehydration of H2CO3 .
 By blocking Carbonic anhydrase, inhibitors
block sodium bicarbonate reabsorption and
cause diuresis.
 It is a sulfonamide derivative which is a non competitive
reversible inhibitor of “carbonic anhydrase enzyme”.
 This enzyme is responsible for catalytic reversible hydration of
carbon dioxide and dehydration of carbonic acid.
MECHANISM OF ACETAZOLAMIDE
SYNTHESIS OF ACETAZOLAMIDE
Reaction between hydrazine hydrate and ammonium
thiocyanate yields 1, 2-bis (thiocarbamoyl)
hydrazine which on treatment with phosgene
undergoes molecular rearrangement through loss of
ammonia to yield 5-amino-2-mercapto-1, 3, 4-
thiadiazole. This on acylation gives a corresponding
amide which on oxidation with aqueous chlorine
affords the 2-sulphonyl chloride. The final step
essentially consists of amidation by treatment with
ammonia.
USES OF ACETAZOLAMIDE
HTN, GLUCOMA ,URINARYALKALINIZATION, ADJUVANT
FOR TREATMENT OF EPILEPSY
ADVERSE EFFECTS:
 Hypo kalaemia.
 Renal calculi.
 Nausea,
 loss of hearing,
 loss of apetite,
 Drowsiness,
 paresthesia
LOOP DIURETICS
Loop diuretics selectively inhibit NaCl reabsorption in
the thick ascending limb of the loop of
Henle.
Due to the large NaCl absorptive capacity of this
segment and the fact that diuresis is not
limited by development of acidosis, as it is with the
carbonic anhydrase inhibitors, these drugs are
the most efficacious diuretic agents available.
The two prototypical drugs of this group are
furosemide and ethacrynic acid
SYNTHESIS OF FUROSEMIDE
MECHANISM OF ACTION OF LOOP DIURETICS
 These agents produce a peak diuresis much greater than observed
with other commonly used diuretics.
 They act by inhibiting the luminal Na/K/2Cl symporter.
Furosemide is preferred usually to ethacrynic acid for a
number of reasons:
 It is less ototoxic.
 It has broader dose response curve.
 It is more convenient for i.v. use.
 It causes fewer git side effects.
ETHACRYNIC ACID
SYNTHESIS OF ETHACRYNIC ACID
USES
ADVERSE EFFECT OF LOOP DIURETIC
ALDOSTERONE ANTAGONIST
 Aldosterone,by binding to its receptor in the cytoplasm increases
expression &function of Na channel and sodium pump.
 Spironolactone competitively inhibits the binding of aldosterone and
abolishes its biological effect.
O
O
H3C
CH3
O
S C CH3
O
Spironolactone-
17-hydroxy-7-α-mercapto-3-oxo-17αpreg-4-ene-21-carboxlic acid-ϒ-lactone
acetate
POTASSIUM SPARING DIURETIC
USES
 Acute renal failure
 HTN
 Hypokalemia
ADVERSE EFFECTS:
Ototoxicity
Hyperuricemia
Hypomagnesia
Allergic reactions
PURINE DIURETICS
OSMOTIC DIURETIC
MECHANISM OF ACTION OF OSMOTIC
DIURETICS.
 Osmotic agents such as Mannitol are low molecular weight
compounds that are freely filtered through bowmans capsule.
 They have limited reabsorption because of high water solubility.
 Osmotic diuretics increase the volume of water and almost all of
the electrolytes.
TRIAMTERENE
SYNTHESIS OF TRIAMETRENE
DRUG BRAND NAME DOSE
Acetazolamide Diamex 125/250mg orally
Amiloride Midamor 5mg orally
Bumetanide Bumex 0.5,1,2mg / I.V 0.5mg/2ml
Furosemide Lasix 20,40,80mg OR
I.V/I.M 10mg/ml
Ethacrynic acid Edecrin 25/50mg I.V 50mg
Chlorothiazide Diuril 250/500mg or
250mg/5ml oral suspens
Hydrochlorthiazide Diucardin 50mg orally
Mannitol Osmitrol 5,10,15,20,25% for inj
Spironolactone Aldactone 25,50,100 mg tablets
Torsemide Demadex 5,10,20,100mg tablets
Triamterene Dyrenium 50/100mg orally
 Medicinal chemistry by Austoshkar
www.slideshare.net
 Lipponcot’s chapter# 22 diuretic agents
 Katzung
73

Medicinal diuretics by Waris Nawaz

  • 2.
  • 3.
    Diuretics (“water pills”)are the drugs which increase the urine out put (or) urine volume . What is natreuretic agent ? Any drug when introduce into the body increases the out put of sodium ie., loss of sodium in urine.
  • 4.
     1 cardiacoutput -5 lit/min.  Out of that 20% goes to kidneys i.e.1 lit/min.  Only 20% can enter into glomerelus that is 120 ml.  This 120 ml/min makes glomerular filtrate.  98 Percent water and electrolyte reabsorb  1-2 percent urine formation
  • 5.
     Approximately 1200ml of blood per minute flows through both kidneys.  Ions such as sodium, chloride,calcium are reabsorbed.  Total amount of glucose, amino acids, vitamins, proteins are reabsorbed.  If the urine contains above it represents the disorders.  For example proteins such as albumin in higher amounts causes albuminaria.
  • 6.
    Important functions ofthe kidney are:-  Water Reabsorption  To maintain a homeostatis balance of electrolytes and water.  To excrete water soluble end products of metabolites.  Filteration  Urine formation
  • 7.
    KIDNEY STRUCTURAL UNIT---THE NEPHRON Each kidney contains approximately one million nephrons and is capable of forming urine independently. The nephrons are composed of glomerulus, proximal tubule, loop of henle, distal tubule.
  • 8.
    NORMAL PHYSIOLOGY OFKIDNEY (URINE FORMATION)
  • 9.
    Diuretics are veryeffective in the treatment of conditions like:-  chronic heart failure  nephrotic syndrome  chronic hepatic diseases  hypertension  Pregnancy associated oedema  Cirrhosis of the liver. Therapeutic approaches
  • 10.
  • 11.
    CLASSIFICATION OF DIURETICS Non Mercurial Diuretics  Mercurial Diuretics
  • 12.
    CLASSIFICATION OF DIURETICS A.Weak Diuretics :- i. Osmotic Diuretics: Electrolytes: Sodium Chloride, Potassium chloride,Mannitol Nonelectrolytes: Isosorbide, Sucrose, Urea, Glycerol. ii. Xanthine derivatives: Aminophylline, Theophylline iii. Carbonic anhydrase inhibitors: Acetazolamide, Dichlorphenamide, Ethozolamide, Methazolamide
  • 13.
    Moderately potent Diuretics:- i.Thiazide Diuretic Chlorthiazide, Hydrochlorthiazide. Very Potent Diuretics:- i. Loop Diuretics: Furosemide, Ethacrynic acid, Torsemide,Bumetamide, Mercurial: Mersalyl, Mercaptomerin, Meralluride, Chlormerodin, Mercurous chloride (Mersalyl). Potassium sparing Diuretics:- Triamterene, Spironolactone, Amiloride.
  • 14.
  • 15.
    MERCURIAL DIURETICS  Mercuricdiuretics contains mercuric ion in their structure and it combine with SH Group containing enzyme and inactivate.  These enzymes control reabsorption of water and Na/Cl Ion exchange.  Block reabsorption of sodium in proximal tubules and Ascending loop of Henle.  They enhance the excretion of potassium.
  • 16.
    MERCURIAL DIURETICS  Dueto there pronoun and serious complications not mostly used Merculism Hypersenstivity Excessive diuresis Administered through intramuscular route and orally less common
  • 17.
    SAR OF MERCURIALDIURETICS  Diuretic activity of mercurial diuretic require hydrophilic group e.g RCONH attach not less than 3 carbon from Hg.  Compounds with shorter chain activity little or short.  Diuretic activity/toxicity determined by fuctional group attached at X,Y,R Position  Y more , R less activity influence and X not imp activity
  • 18.
    SAR OF MERCURIALDIURETICS  Theophylline instead of X improve activity Enhanced diuretic activity Reduce tissue irritation Increase absorption from site of action
  • 19.
  • 20.
  • 21.
  • 22.
    USES OF MERALLURIDE EDEMA  CHF  NEPHROTIC SYNDROME  HEPATIC CIRRHOSIS
  • 23.
  • 24.
  • 25.
  • 26.
  • 28.
  • 29.
    CLASSIFICATION OF NONMERCURIAL DIURETICS
  • 30.
  • 32.
     The position2 can tolerate the presence of small alkyl groups such as methyl.  Substituents in 3 position determines the potency,duration of action. S N NR1 SO2NH 2 R O O 4 3 2 1 8 7 6 5
  • 33.
     Loss ofc-c double bond between 3&4 positions of nucleus increases diuretic potency approximately three to ten fold.  Direct substitution of the 4,5 or 8 position with an alkyl group usually results in diminished diuretic activity.  Substitution of the 6-position with an activating group is essential for diuretic activity . The best substituent's include Cl,Br,CF3 and No2 groups.  The sulphamoyl group in the7-position is a prerequisite for diuretic activity. S N NR1 SO2NH 2 R O O 4 3 2 1 8 7 6 5
  • 34.
     These drugscompete for the chloride binding site of the sodium/chloride symporter and inhibit the re-absorption of sodium &chloride.
  • 35.
  • 36.
    Uses  HEART FAILURE HYPERTENSION  NEPHROTIC SYNDROMES  Alkalizing the urine. These are given in combination with amiloride,allopurinol to prevent the formation of calcium stones in hyper calciuric
  • 37.
    ADVERSE EFFECTS  GIeffects -Anorexia  CNS effects -Dizziness, vertigo.  CVS effects-Ortho static hypotension.  HYPOKALEMIA, HYPONATREMIA,  ALLERGIC REACTIONS
  • 39.
    chlorothiazide R1 =H hydrochlorothiazideR1=H,R=Cl trichlormethiazide R1=CHCl2,R=Cl methyclothiazide R1=CH2Cl,R=Cl hydroflumethiazide R1=H,R=CF3 DRUGS SUBSTITUEN TS
  • 40.
  • 41.
    CARBONIC ACID INHIBITORS CH3 CNH NN S S O O N H H O Acetazolamide
  • 42.
    SAR OF ACETAZOLAMIDE Presence of sulphonamide moiety necessary for diuretic activity  N group of sulphonamide remain unsubstituted for its activity  If methyl group on N position attachment to retain its activity CH3 C NH NN S S O O N H H O
  • 43.
    CARBONIC ANHYDRASE INHIBITORS Carbonic anhydrase is present in many sites but predominent location of this enzyme is the luminal membrane of the proximal tubules cells.  It catalyzes the dehydration of H2CO3 .  By blocking Carbonic anhydrase, inhibitors block sodium bicarbonate reabsorption and cause diuresis.
  • 44.
     It isa sulfonamide derivative which is a non competitive reversible inhibitor of “carbonic anhydrase enzyme”.  This enzyme is responsible for catalytic reversible hydration of carbon dioxide and dehydration of carbonic acid.
  • 45.
  • 47.
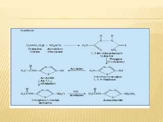
    SYNTHESIS OF ACETAZOLAMIDE Reactionbetween hydrazine hydrate and ammonium thiocyanate yields 1, 2-bis (thiocarbamoyl) hydrazine which on treatment with phosgene undergoes molecular rearrangement through loss of ammonia to yield 5-amino-2-mercapto-1, 3, 4- thiadiazole. This on acylation gives a corresponding amide which on oxidation with aqueous chlorine affords the 2-sulphonyl chloride. The final step essentially consists of amidation by treatment with ammonia.
  • 49.
    USES OF ACETAZOLAMIDE HTN,GLUCOMA ,URINARYALKALINIZATION, ADJUVANT FOR TREATMENT OF EPILEPSY ADVERSE EFFECTS:  Hypo kalaemia.  Renal calculi.  Nausea,  loss of hearing,  loss of apetite,  Drowsiness,  paresthesia
  • 50.
    LOOP DIURETICS Loop diureticsselectively inhibit NaCl reabsorption in the thick ascending limb of the loop of Henle. Due to the large NaCl absorptive capacity of this segment and the fact that diuresis is not limited by development of acidosis, as it is with the carbonic anhydrase inhibitors, these drugs are the most efficacious diuretic agents available. The two prototypical drugs of this group are furosemide and ethacrynic acid
  • 52.
  • 53.
    MECHANISM OF ACTIONOF LOOP DIURETICS  These agents produce a peak diuresis much greater than observed with other commonly used diuretics.  They act by inhibiting the luminal Na/K/2Cl symporter.
  • 54.
    Furosemide is preferredusually to ethacrynic acid for a number of reasons:  It is less ototoxic.  It has broader dose response curve.  It is more convenient for i.v. use.  It causes fewer git side effects.
  • 55.
  • 56.
  • 57.
  • 58.
    ADVERSE EFFECT OFLOOP DIURETIC
  • 59.
  • 60.
     Aldosterone,by bindingto its receptor in the cytoplasm increases expression &function of Na channel and sodium pump.  Spironolactone competitively inhibits the binding of aldosterone and abolishes its biological effect.
  • 61.
  • 62.
  • 63.
    USES  Acute renalfailure  HTN  Hypokalemia ADVERSE EFFECTS: Ototoxicity Hyperuricemia Hypomagnesia Allergic reactions
  • 64.
  • 65.
  • 66.
    MECHANISM OF ACTIONOF OSMOTIC DIURETICS.  Osmotic agents such as Mannitol are low molecular weight compounds that are freely filtered through bowmans capsule.  They have limited reabsorption because of high water solubility.  Osmotic diuretics increase the volume of water and almost all of the electrolytes.
  • 68.
  • 69.
  • 71.
    DRUG BRAND NAMEDOSE Acetazolamide Diamex 125/250mg orally Amiloride Midamor 5mg orally Bumetanide Bumex 0.5,1,2mg / I.V 0.5mg/2ml Furosemide Lasix 20,40,80mg OR I.V/I.M 10mg/ml Ethacrynic acid Edecrin 25/50mg I.V 50mg Chlorothiazide Diuril 250/500mg or 250mg/5ml oral suspens Hydrochlorthiazide Diucardin 50mg orally Mannitol Osmitrol 5,10,15,20,25% for inj Spironolactone Aldactone 25,50,100 mg tablets Torsemide Demadex 5,10,20,100mg tablets Triamterene Dyrenium 50/100mg orally
  • 72.
     Medicinal chemistryby Austoshkar www.slideshare.net  Lipponcot’s chapter# 22 diuretic agents  Katzung
  • 73.