Chapter 3
Material Balance Applied to Oil Reservoirs

 § 3.1 Introduction

 -The Schilthuis material balance equation
   - Basic tools of reservoir engineering

  => Interpreting and predicting reservoir performance.

 -Material balance

   1. zero dimension – this chapter
   2. multi-dimension (multi-phase) – reservoir simulation
§ 3.2 General form of the material balance equation for a
          hydrocarbon reservoir




Underground withdrawal (RB)
= Expansion of oil and original dissolved gas (RB)………(A)
 + Expansion of gascap gas (RB) ……………… ………(B)
 + Reduction in HCPV due to connate water expansion and decrease in
   the pore volume (RB)……………………… …….……(C)
                                                           1
    N = initial oil in place ( STB ) = Vφ (1 − S wc )          ( STB )
                                                           Boi

       initial H .C. Vol. of the gascap                SCF      ft 3    bbl
    m=                                  (= const.) [=]     or        or
         initial H .C. Vol. of the oil                 SCF      ft 3    bbl


    N p = cumulative oil production (STB )

                                        cum. gas production ( SCF )
    R p = cumulative gas − oil rato =
                                         cum. oil production ( STB )
Expansion of oil & originally dissolved gas



Liquid exp ansion (oil exp ansion) = liq. (at p ) − liq. (at pi )
                                                RB
= NBo − NBoi = N ( Bo − Boi )[=]STB                 [=]RB  (3.1)
                                                STB

 Liberated gas exp ansion = − [ solution gas (at p) − solution gas (at pi )]
                                                    SCF RB
 = NRsi B g − NRs B g = N ( Rsi − Rs ) B g [=]STB           [=]RB  (3.2)
                                                    STB SCF
Expansion of the gascap gas

Expansion of the gascap gas =gascap gas (at p) –gascap (at pi)


                                                       SCF      RB
The total volume of gascap gas = mNBoi [=]                 STB     [=]RB
                                                       SCF     SCF
              1            1
or    G = mNBoi   [=]RB        [=]SCF
             B gi       RB
                           SCF
                                1               RB
Amount of gas (at p ) = mNBoi       B g [=]SCF     [=]RB
                               B gi            SCF

                                             Bg
Expansion of the gascap gas = mNBoi                 − mNBoi [ =]RB
                                             B gi
                                             Bg
                                 = mNBoi (          − 1)   ( RB)  (3.3)
                                             B gi
Change in the HCPV due to the connate water expansion &
     pore volume reduction



d ( HCPV ) = − dVw + dV f                      V f = the total pore vol. = HCPV /(1 − S w )
          = −(c wVw + c f V f )∆p              Vw = the connate water vol. = V f ⋅ S wc
                                                                             HCPV
          = −(c wV f ⋅ S wc + c f V f ) ∆p = −V f (c w S wc + c f )∆p = −              (c w S wc + c f ) ∆p
                                                                            (1 − S w )
                              c w S wc + c f
          = −(1 + m) NBoi (                    ) ∆p
                                1 − S wc
Underground withdrawal


Pr oduction at surface         N p ( STB ) − oil      N p R p ( SCF ) − gas
Underground withdrawal           N p Bo ( RB) − oil      ( N p R p − N p Rs ) B g ( RB) − gas
⇒ Underground withdrawal = N p Bo + N p ( R p − Rs ) B g = N p [ Bo + ( R p − Rs ) B g ]
The general expression for the material balance as
                                                                                                 Bg
   N p [ Bo + ( R p − Rs ) B g ] = N ( Bo − Boi ) + N ( Rsi − Rs ) B g + mNBoi (                        − 1)
                                                                                                 B gi
                                          c w S wc + c f
                    + (1 + m) NBoi (                       )∆p + (We − W p ) Bw
                                            1 − S wc

                                        ( Bo − Boi ) + ( Rsi − Rs ) B g     Bg               c w S wc + c f    
⇒ N p [ Bo + ( R p − Rs ) B g ] = NBoi                                  + m    − 1 + (1 + m)
                                                                                                1− S              ∆ p
                                                                                                                  
                                                     Boi                   B      
                                                                            gi                        wc         
                                    + (We − W p ) Bw  (3.7)


 Note : Bo , Rs , B g = f ( p)
             We = f ( p, t )
 Simple form :             Pr oduction = Expansion of reservoir fluids
                                    dV = c ⋅ V ⋅ ∆p
 Main difficulty : measuring p
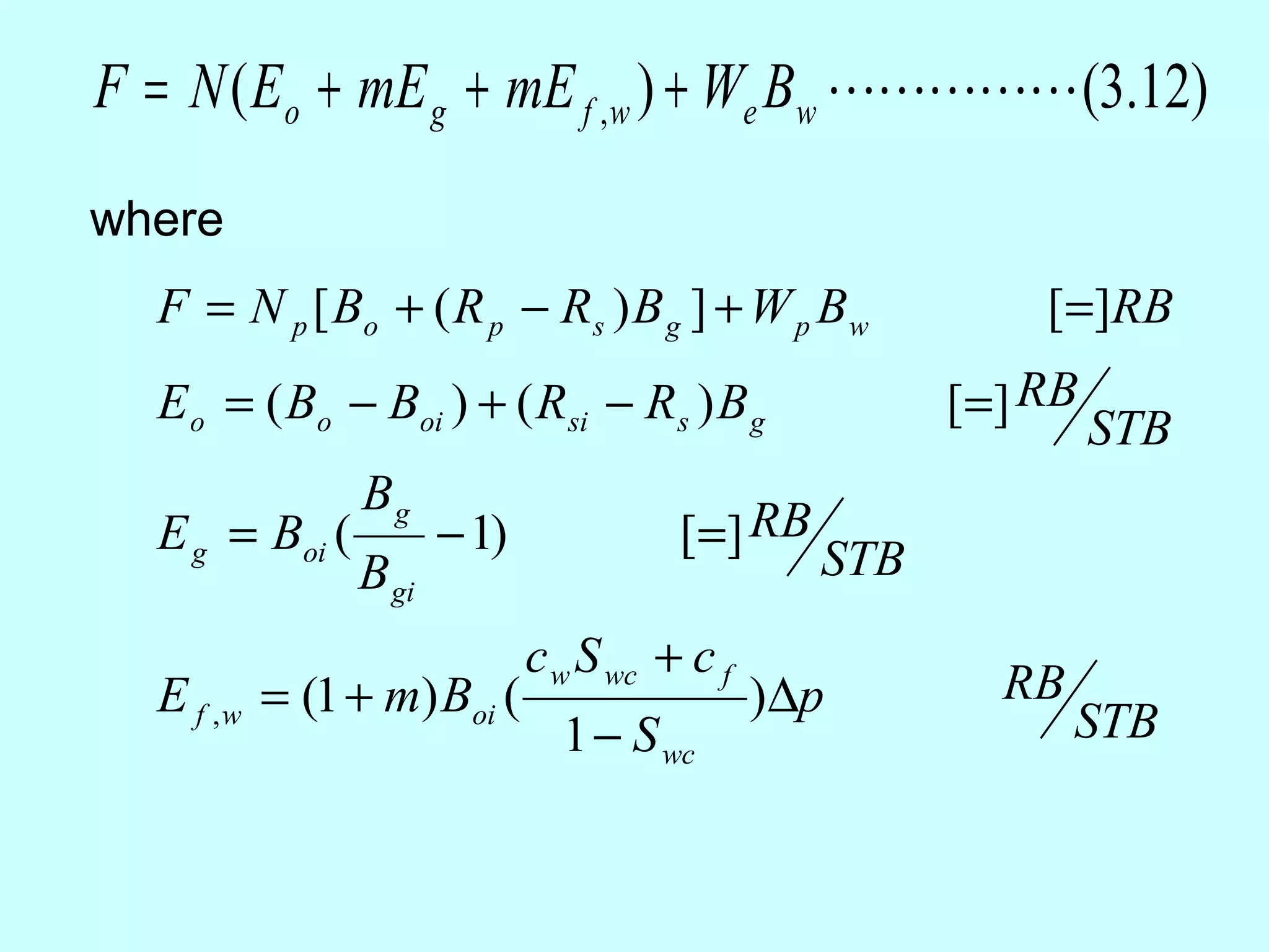
F = N ( Eo + mE g + mE f ,w ) + We Bw  (3.12)
where
  F = N p [ Bo + ( R p − R s ) B g ] + W p B w             [=]RB
  E o = ( Bo − Boi ) + ( Rsi − Rs ) B g                [=] RB
                                                                STB
                Bg
  E g = Boi (          − 1)             [=] RB
                B gi                             STB
                              c w S wc + c f
  E f , w = (1 + m) Boi (                      )∆p       RB
                                1 − S wc                      STB
F = N ( E o + mE g + mE f , w ) + We Bw  (3.12)


 No initial gascap, negligible water influx     c f & cw → 0
 Eq.(3.12)     ⇒ F = NE o  (3.13)
   With water influx eq(3.12) becomes

 F       We
    = N + (3.14)
 Eo      Eo
 Eq.(3.12) having a combination drive-all possible sources of energy.
§ 3.4 Reservoir Drive Mechanisms

Reservoir drive mechanism

                                     -reducing the M.B to a compact form to
                                       quantify reservoir performance
- Solution gas drive                 -determining the main producing
- Gascap drive                         characteristics,
-Natural water
   drive
                       In terms of       for example, GOR; water cut
- Compaction drive                   -determining the pressure decline in the
                                       reservoir
                                     - estimating the primary recovery factor
§ 3.5 Solution gas drive

(a) above the B.P. pressure (b) below the B.P. pressure
Above the B.P. pressure
- no initial gascap, m=0
- no water flux, We=0 ; no water production, Wp=0
- Rs=Rsi=Rp

from eq.(3.7)

                                        ( Bo − Boi ) + ( R si − R s ) B g     Bg               c w S wc + c f    
 N p [ Bo + ( R p − R s ) B g ] = NBoi                                    + m    − 1 + (1 + m)
                                                                                                  1− S
                                                                                                                    ∆p 
                                                                                                                    
                                                     Boi                     B      
                                                                              gi                        wc        
                                        + (We − W p ) B w  (3.7)

  Note : ( R p − Rs ) = 0 ; ( Rsi − Rs ) = 0 ; m = 0 ;We = 0 ;W p = 0
                   ( Bo − Boi ) (c w s wc + c f )
 ⇒ N p Bo = NBoi [             +                  ∆p ]
                       Boi         1 − S wc
                              cw S w + c f                                               1 dVo    1 dBo
 ⇒ N p Bo = NBoi [co + (                       )]∆p                            co = −          =−
                                1 − S wc                                                Vo dp     Bo dp
                       co S o + c w S w + c f                                           − ( Boi − Bo ) ( Bo − Boi )
 ⇒ N p Bo = NBoi (                              )∆p  (3.17)                    ≈                 =
                              1 − S wc                                                      Boi ∆p        Boi ∆p
 or        N p Bo = NBoi ce ∆p  (3.18)                                             S o + S wc = 1
                      co S o + c w S w + c f
 where         ce =                             = the effective, saturation − weighted compressibility
                            1 − S wc
Exercise3.1 Solution gas drive, undersaturated oil reservoir
                              if     p − pi → pb
     Determine R.F.                PVT − table 2.4 ( p.65)
                                   c w = 3 × 10 −6 psi −1 c f = 8.6 × 10 −6 psi −1 S w = 0.2

Solution:
                                                                1 dVo    1 dBo
  FromTable2.4(p.65)                                  co = −          =−
                                                               Vo dp     Bo dp
                                                              Bob − Boi
    pi = 4000 psi, Boi = 1.2417 RB                    co =
                                           STB                 Boi ∆p
                                                                 1.2511 − 1.2417
    pb = 3330 psi, Bob = 12511 RB                         =                       = 11.3 ×10 −6   psi −1
                                           STB                1.2417(4000 − 3330)

    Eq(3.18)


    N p Bo = NBoi c e ∆p
                Np            Boi
    R.F . =               =       ce ∆p
                N    Pb
                              Bob
              1.2417
            =        ×22.8 ×10 −6 ×( 4000 −3330)
              1.2511
            = 0.015 =1.5%
Table 2.4 Field PVT

P(psia)     Bo (Rb/STB)    Rs(SCF/STB)   Bg( Rb/SCF)

4000 (pi)    1.2417            510
3500         1.2480           510
3300 (pb)    1.2511           510         0.00087
3000         1.2222           450         0.00096
2700         1.2022          401          0.00107
2400         1.1822          352          0.00119
2100          1.1633         304         0.00137
1800         1.1450          257         0.00161
1500          1.1287         214         0.00196
1200         1.1115         167           0.00249
900          1.0940          122          0.00339
600           1.0763         78          0.00519
300           1.0583          35          0.01066
Bo as Function of Pressure
Rs as Function of Pressure
Bg and E as Function of Pressure
Producing Gas-oil Ratio (R) as Function of Pressure
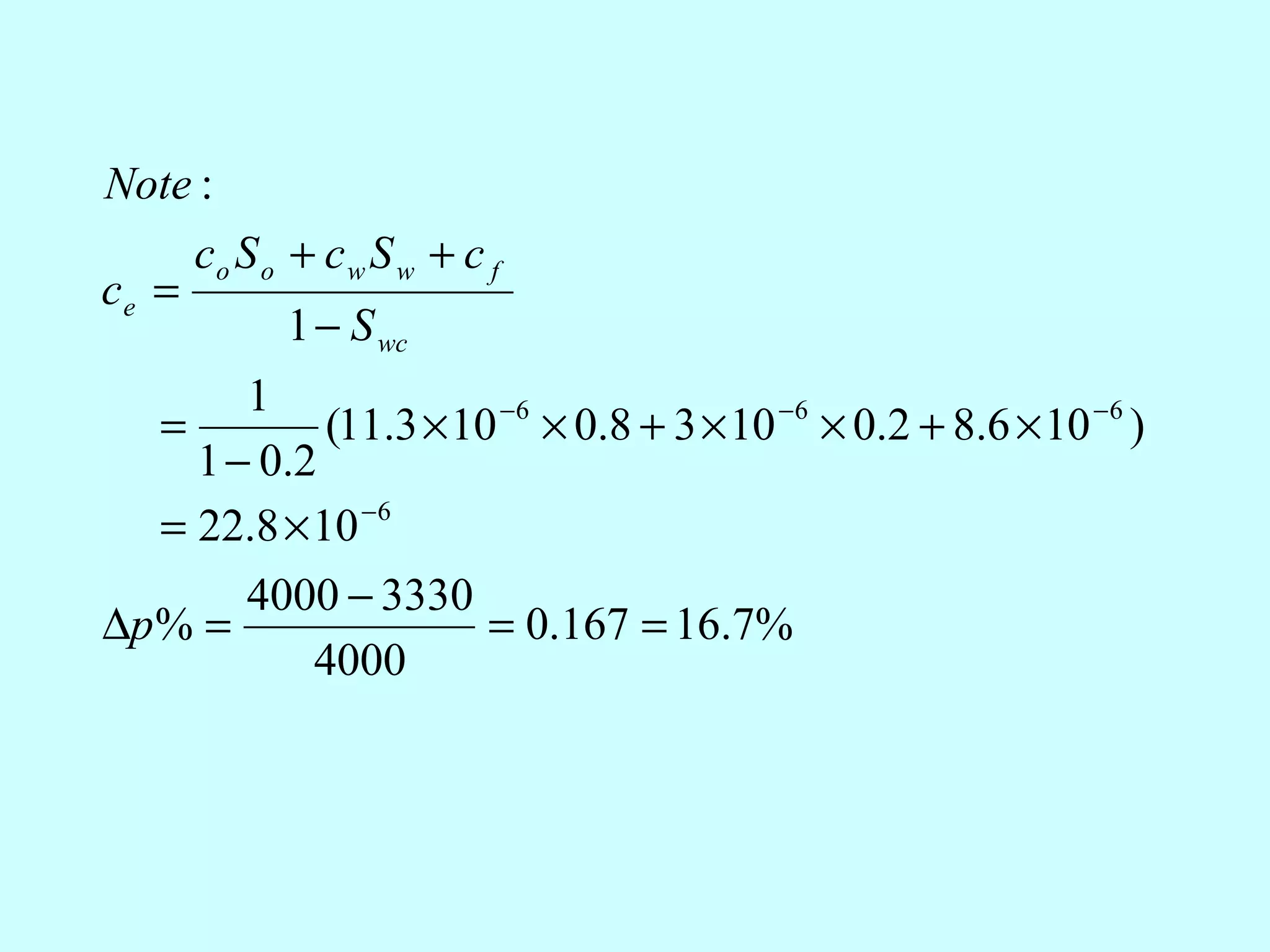
Note :
     co S o + c w S w + c f
ce =
            1 − S wc
        1
   =         (11.3 × 10 −6 × 0.8 + 3 × 10 −6 × 0.2 + 8.6 × 10 −6 )
     1 − 0.2
   = 22.8 × 10 −6
        4000 − 3330
∆p % =                 = 0.167 = 16.7%
            4000
Below B.P. pressure (Saturation oil)

P<Pb =>gas liberated from saturated oil

         1    1    1
  cg ≈          =     = 300 ×10−6 psi −1 = cg = 300 ×10−6 psi −1
         p    Pb 3300
                                             co = 11.3 ×10−6 psi −1
                                             cw = 3 ×10−6 psi −1
                                             c f = 8.6 ×10−6 psi −1
Exercise3.2 Solution gas drive; below bubble point pressure
  Reservoir-described in exercise 3.1
  Pabandon = 900psia
(1) R.F = f(Rp)? Conclusion?
(2) Sg(free gas) = F(Pabandon)?

Solution:

(1) From eq(3.7)

                                      ( Bo − Boi ) + ( R si − R s ) B g     Bg                c w S wc + c f    
N p [ Bo + ( R p − Rs ) B g ] = NBoi                                    + m     − 1 + (1 + m)
                                                                                                 1− S
                                                                                                                   ∆ p
                                                                                                                   
                                                   Boi                     B       
                                                                             gi                        wc        
                                      + (We − W p ) B w  (3.7)



for solution gas below B.P.
             −m =0                no initial gas cap
             − We = 0 ; W p = 0
                          c w S wc + c f
             − NBoi (                       )∆p            is negligible if               S g is developed
                             1 − S wc
Eq(3.7) becomes

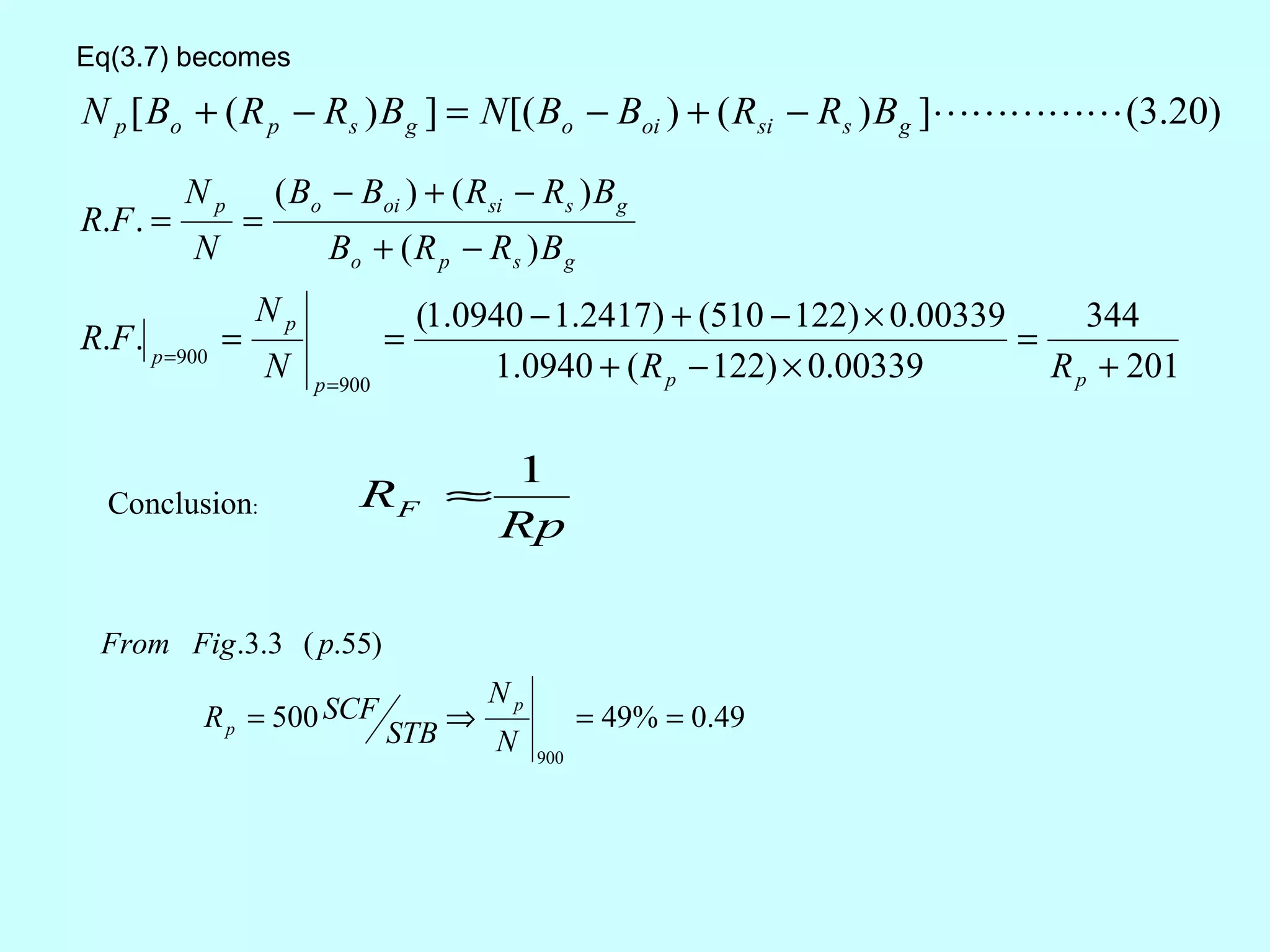
N p [ Bo + ( R p − Rs ) B g ] = N [( Bo − Boi ) + ( Rsi − Rs ) B g ] (3.20)

          Np         ( Bo − Boi ) + ( Rsi − Rs ) B g
R.F . =          =
          N               Bo + ( R p − R s ) B g
                 Np                   (1.0940 − 1.2417) + (510 − 122) × 0.00339      344
R.F . p =900 =                    =                                             =
                     N   p =900
                                           1.0940 + ( R p − 122) × 0.00339        R p + 201

                                            1
  Conclusion:                RF ≈
                                            Rp

 From Fig .3.3 ( p.55)
                                            Np
          R p = 500 SCF                 ⇒              = 49% = 0.49
                                  STB       N    900
(2) the overall gas balance

  liberated                  total               gas                     gas still
  gas in the     =        amount −
                          −                  produced                   dissolved
  reservoir                 of gas           at surface                 in the oil



 NBoi                     HCPV
         = pore volume =                                         for p > p b
1 − S wc                 (1 − S wc )
       NBoi S g
⇒                    = NR si B g − N p R p B g − ( N − N p ) Rs B g
       (1 − S wc )
               [ N ( Rsi − Rs ) − N p ( R p − Rs )]B g (1 − S wc )
⇒ Sg =                                                                   (3.21)
                                      NBoi

                                                                                Np
       [ N ( Rsi − Rs ) − Np( R p − Rs )]Bg (1 − S wc )       [( Rsi − Rs ) −        ( R p − Rs )]
Sg =                                                      =                     N                    Bg (1 − S wc )
                             NBoi                                           Boi
       [(510 − 122) − 0.49(500 − 122)]
   =                                   × 0.00339 × 0.8 = 0.4428
                   1.2417

Material balance Equation

  • 1.
    Chapter 3 Material BalanceApplied to Oil Reservoirs § 3.1 Introduction -The Schilthuis material balance equation - Basic tools of reservoir engineering => Interpreting and predicting reservoir performance. -Material balance 1. zero dimension – this chapter 2. multi-dimension (multi-phase) – reservoir simulation
  • 2.
    § 3.2 Generalform of the material balance equation for a hydrocarbon reservoir Underground withdrawal (RB) = Expansion of oil and original dissolved gas (RB)………(A) + Expansion of gascap gas (RB) ……………… ………(B) + Reduction in HCPV due to connate water expansion and decrease in the pore volume (RB)……………………… …….……(C)
  • 3.
    1 N = initial oil in place ( STB ) = Vφ (1 − S wc ) ( STB ) Boi initial H .C. Vol. of the gascap SCF ft 3 bbl m= (= const.) [=] or or initial H .C. Vol. of the oil SCF ft 3 bbl N p = cumulative oil production (STB ) cum. gas production ( SCF ) R p = cumulative gas − oil rato = cum. oil production ( STB )
  • 4.
    Expansion of oil& originally dissolved gas Liquid exp ansion (oil exp ansion) = liq. (at p ) − liq. (at pi ) RB = NBo − NBoi = N ( Bo − Boi )[=]STB [=]RB  (3.1) STB Liberated gas exp ansion = − [ solution gas (at p) − solution gas (at pi )] SCF RB = NRsi B g − NRs B g = N ( Rsi − Rs ) B g [=]STB [=]RB  (3.2) STB SCF
  • 5.
    Expansion of thegascap gas Expansion of the gascap gas =gascap gas (at p) –gascap (at pi) SCF RB The total volume of gascap gas = mNBoi [=] STB [=]RB SCF SCF 1 1 or G = mNBoi [=]RB [=]SCF B gi RB SCF 1 RB Amount of gas (at p ) = mNBoi B g [=]SCF [=]RB B gi SCF Bg Expansion of the gascap gas = mNBoi − mNBoi [ =]RB B gi Bg = mNBoi ( − 1) ( RB)  (3.3) B gi
  • 6.
    Change in theHCPV due to the connate water expansion & pore volume reduction d ( HCPV ) = − dVw + dV f V f = the total pore vol. = HCPV /(1 − S w ) = −(c wVw + c f V f )∆p Vw = the connate water vol. = V f ⋅ S wc HCPV = −(c wV f ⋅ S wc + c f V f ) ∆p = −V f (c w S wc + c f )∆p = − (c w S wc + c f ) ∆p (1 − S w ) c w S wc + c f = −(1 + m) NBoi ( ) ∆p 1 − S wc
  • 7.
    Underground withdrawal Pr oductionat surface N p ( STB ) − oil N p R p ( SCF ) − gas Underground withdrawal N p Bo ( RB) − oil ( N p R p − N p Rs ) B g ( RB) − gas ⇒ Underground withdrawal = N p Bo + N p ( R p − Rs ) B g = N p [ Bo + ( R p − Rs ) B g ]
  • 8.
    The general expressionfor the material balance as Bg N p [ Bo + ( R p − Rs ) B g ] = N ( Bo − Boi ) + N ( Rsi − Rs ) B g + mNBoi ( − 1) B gi c w S wc + c f + (1 + m) NBoi ( )∆p + (We − W p ) Bw 1 − S wc  ( Bo − Boi ) + ( Rsi − Rs ) B g  Bg   c w S wc + c f   ⇒ N p [ Bo + ( R p − Rs ) B g ] = NBoi  + m − 1 + (1 + m)  1− S  ∆ p   Boi B    gi   wc    + (We − W p ) Bw  (3.7) Note : Bo , Rs , B g = f ( p) We = f ( p, t ) Simple form : Pr oduction = Expansion of reservoir fluids dV = c ⋅ V ⋅ ∆p Main difficulty : measuring p
  • 9.
    F = N( Eo + mE g + mE f ,w ) + We Bw  (3.12) where F = N p [ Bo + ( R p − R s ) B g ] + W p B w [=]RB E o = ( Bo − Boi ) + ( Rsi − Rs ) B g [=] RB STB Bg E g = Boi ( − 1) [=] RB B gi STB c w S wc + c f E f , w = (1 + m) Boi ( )∆p RB 1 − S wc STB
  • 10.
    F = N( E o + mE g + mE f , w ) + We Bw  (3.12)  No initial gascap, negligible water influx c f & cw → 0 Eq.(3.12) ⇒ F = NE o  (3.13)  With water influx eq(3.12) becomes F We = N + (3.14) Eo Eo  Eq.(3.12) having a combination drive-all possible sources of energy.
  • 11.
    § 3.4 ReservoirDrive Mechanisms Reservoir drive mechanism -reducing the M.B to a compact form to quantify reservoir performance - Solution gas drive -determining the main producing - Gascap drive characteristics, -Natural water drive In terms of for example, GOR; water cut - Compaction drive -determining the pressure decline in the reservoir - estimating the primary recovery factor
  • 12.
    § 3.5 Solutiongas drive (a) above the B.P. pressure (b) below the B.P. pressure
  • 13.
    Above the B.P.pressure - no initial gascap, m=0 - no water flux, We=0 ; no water production, Wp=0 - Rs=Rsi=Rp from eq.(3.7)  ( Bo − Boi ) + ( R si − R s ) B g  Bg   c w S wc + c f   N p [ Bo + ( R p − R s ) B g ] = NBoi  + m − 1 + (1 + m)  1− S ∆p    Boi B    gi   wc    + (We − W p ) B w  (3.7) Note : ( R p − Rs ) = 0 ; ( Rsi − Rs ) = 0 ; m = 0 ;We = 0 ;W p = 0 ( Bo − Boi ) (c w s wc + c f ) ⇒ N p Bo = NBoi [ + ∆p ] Boi 1 − S wc cw S w + c f 1 dVo 1 dBo ⇒ N p Bo = NBoi [co + ( )]∆p co = − =− 1 − S wc Vo dp Bo dp co S o + c w S w + c f − ( Boi − Bo ) ( Bo − Boi ) ⇒ N p Bo = NBoi ( )∆p  (3.17) ≈ = 1 − S wc Boi ∆p Boi ∆p or N p Bo = NBoi ce ∆p  (3.18) S o + S wc = 1 co S o + c w S w + c f where ce = = the effective, saturation − weighted compressibility 1 − S wc
  • 14.
    Exercise3.1 Solution gasdrive, undersaturated oil reservoir if p − pi → pb Determine R.F. PVT − table 2.4 ( p.65) c w = 3 × 10 −6 psi −1 c f = 8.6 × 10 −6 psi −1 S w = 0.2 Solution: 1 dVo 1 dBo FromTable2.4(p.65) co = − =− Vo dp Bo dp Bob − Boi pi = 4000 psi, Boi = 1.2417 RB co = STB Boi ∆p 1.2511 − 1.2417 pb = 3330 psi, Bob = 12511 RB = = 11.3 ×10 −6 psi −1 STB 1.2417(4000 − 3330) Eq(3.18) N p Bo = NBoi c e ∆p Np Boi R.F . = = ce ∆p N Pb Bob 1.2417 = ×22.8 ×10 −6 ×( 4000 −3330) 1.2511 = 0.015 =1.5%
  • 15.
    Table 2.4 FieldPVT P(psia) Bo (Rb/STB) Rs(SCF/STB) Bg( Rb/SCF) 4000 (pi) 1.2417 510 3500 1.2480 510 3300 (pb) 1.2511 510 0.00087 3000 1.2222 450 0.00096 2700 1.2022 401 0.00107 2400 1.1822 352 0.00119 2100 1.1633 304 0.00137 1800 1.1450 257 0.00161 1500 1.1287 214 0.00196 1200 1.1115 167 0.00249 900 1.0940 122 0.00339 600 1.0763 78 0.00519 300 1.0583 35 0.01066
  • 16.
    Bo as Functionof Pressure
  • 17.
    Rs as Functionof Pressure
  • 18.
    Bg and Eas Function of Pressure
  • 19.
    Producing Gas-oil Ratio(R) as Function of Pressure
  • 20.
    Note : co S o + c w S w + c f ce = 1 − S wc 1 = (11.3 × 10 −6 × 0.8 + 3 × 10 −6 × 0.2 + 8.6 × 10 −6 ) 1 − 0.2 = 22.8 × 10 −6 4000 − 3330 ∆p % = = 0.167 = 16.7% 4000
  • 21.
    Below B.P. pressure(Saturation oil) P<Pb =>gas liberated from saturated oil 1 1 1 cg ≈ = = 300 ×10−6 psi −1 = cg = 300 ×10−6 psi −1 p Pb 3300 co = 11.3 ×10−6 psi −1 cw = 3 ×10−6 psi −1 c f = 8.6 ×10−6 psi −1
  • 22.
    Exercise3.2 Solution gasdrive; below bubble point pressure Reservoir-described in exercise 3.1 Pabandon = 900psia (1) R.F = f(Rp)? Conclusion? (2) Sg(free gas) = F(Pabandon)? Solution: (1) From eq(3.7)  ( Bo − Boi ) + ( R si − R s ) B g  Bg   c w S wc + c f   N p [ Bo + ( R p − Rs ) B g ] = NBoi  + m − 1 + (1 + m)  1− S ∆ p   Boi B    gi   wc    + (We − W p ) B w  (3.7) for solution gas below B.P. −m =0 no initial gas cap − We = 0 ; W p = 0 c w S wc + c f − NBoi ( )∆p is negligible if S g is developed 1 − S wc
  • 23.
    Eq(3.7) becomes N p[ Bo + ( R p − Rs ) B g ] = N [( Bo − Boi ) + ( Rsi − Rs ) B g ] (3.20) Np ( Bo − Boi ) + ( Rsi − Rs ) B g R.F . = = N Bo + ( R p − R s ) B g Np (1.0940 − 1.2417) + (510 − 122) × 0.00339 344 R.F . p =900 = = = N p =900 1.0940 + ( R p − 122) × 0.00339 R p + 201 1 Conclusion: RF ≈ Rp From Fig .3.3 ( p.55) Np R p = 500 SCF ⇒ = 49% = 0.49 STB N 900
  • 25.
    (2) the overallgas balance liberated total gas gas still gas in the = amount − − produced dissolved reservoir of gas at surface in the oil NBoi HCPV = pore volume = for p > p b 1 − S wc (1 − S wc ) NBoi S g ⇒ = NR si B g − N p R p B g − ( N − N p ) Rs B g (1 − S wc ) [ N ( Rsi − Rs ) − N p ( R p − Rs )]B g (1 − S wc ) ⇒ Sg =  (3.21) NBoi Np [ N ( Rsi − Rs ) − Np( R p − Rs )]Bg (1 − S wc ) [( Rsi − Rs ) − ( R p − Rs )] Sg = = N Bg (1 − S wc ) NBoi Boi [(510 − 122) − 0.49(500 − 122)] = × 0.00339 × 0.8 = 0.4428 1.2417