: i .. 
Singular Value Decomposition 
Principal component Analysis 
Factor Analysis 1, A & Cluster Analysis 
, , ,--~<-- Discriminant Analysis 
,/ 
:; , . 
/ ' 'l-~i~lo~tn al~sis i ; &..~- 
~,~.,, L.' CG~espondencAe nalysis 
'4.,.. , . 
: >, . . , . .~,' 
x~ Chi-square Automatic Interaction Detector ' 
I Cross over Design 
, -. .~ 1. Logit arid Probit Model 
J ,i 
i Additivd Main Effects and Multip. licative ~ Interaction
., :, 
.,: ' 
Tugas Metodo:cgi Penelitian dan Telaah Pustaka Senin, 28 April 2003 
PENGURAIAN 
(SINGULAR VALUE DECOMPOSITION) 
Oleh 
Markus Puthut Harmiko GO3400001 
D:vi Putri Kurniasari 503400012 
' Ferry Cahyadi Putra G034C0027 
Ahmad Khpnali GO340003 8 
Samsul Bachri GO3400052 
GO3400066 
PENDAH ULUAN diiana m adalah banyaknya objek 
pengamata? dan n adalah banyaknys 
Latar Belakang peubah bebasnya, maka penerapan 
Daiam andisis peubah Ganda konsep SVD terhadap matriks X adalah: 
. (multivariate) terdapat berbagai macam 
metode analisis yang digunakan. nxp = nu, h rAp 
Beberapa metode analisis didasarkan 
pada penguraian nilai singular (Singblar dimana, 
Value Decomposition) seperti biplot, U'U = A'A = I, I, adalah 
aidisis korespondensi, analisis matriks identitas berdiensi r 
kompoaen utama, AMMI - dan L adalah matriks diago& 
sebagainya: Oleh karena itu beikuran r x r dengan unsur-pemahaman 
mengenai SVD hams unsur diagonalnya adalah akar 
benar-benar diiasai. kuadrat dari akar ciri X'X atau 
XX' diiana, 
Tujuzn 
SVD bertujuan menguraikan suatu dx>fi;>...>fi 
matriks X beiukuran mxn yang Unsur-unsur diagonal matriks L 
merupakan matriks data peubah ganda ini disebut nilai singular dari 
yang terkoreksi terhadap rataannya matriks X 
dimana m addah banyaknya objek Kolom matriks A adalah vektor 
pengarnatan dan n adasah banyaknya ciri dari matriks X'X atau XX' 
. peubah bebasnya, menjadi 3 buah yzng berpadanan dengan X 
matrik yang salah satunya merupakan r adalah rank dari X 
natriks nilai singular matriks X. 
Algoritrnn 
TJ3JAUAN PUS'CAKA Misalkan kita mempunyai data yang 
kita buat dalarn matriks X 
Singular Value Decompo~itio~i peubah I pmb~hz psubahp 
SVD mempakan proses penguraian 
suatu matriks menjadi 3 buah matriks 
yang salah satunya adalah matriks nilai . . 
singular matriks asal. Misalkan ada 
suatu matriks asal X bemkuran ;x p I 
yang sudah tefkoreksi terhadap ralaanya 
,'. 
,. 
L. - - - - ~ 
~ ~ ~ ~.. . ~ i
Knsus 2 
X=[2 1 -21 
2 -41 
. Cari akar ciri dan vektor ciri 
Vektor ciri cuhp dicari vl saja, 
karena nilai -1 dan -1 tidak a . . 
ada 
Searle, Shayle R 1982. Matrix Algebra 
Useful for Statistic. John Wiley & 
Sons. 
Jolliffe, I.T. 1986. Principal 
Componetlt Analysis. Springer- 
Verlag. New York.
MAKALAH METODE PENELITIAN DAN TELAAH PUSTAKA 
"AVALISIS KOMPONEN UTAMA" 
Disusun oleh : 
Sri Widiastuti GO3400002 
Indah Mariana GO3400014 
Intan Ratna Juwita GO3400028 
Puspasari GO3400039 
Wisnu Hendro Prastiawan GO3400053 
Tresna Puspita Arum Sari GO3400067 
JURUSAN STATISTIKA 
FAKULTAS MATEMATIICA DAN ILMU PENGETAHUAN ALAM 
INSTITUT PERTANIAN BOGOR 
2003
PENDAHULUAN 
Latar'Belakang 
Analisis Peubah Ganda 
mempakan analisis Statistika yang 
menyertakan lebih dari satu peubah. 
Dalam analisis Peubah Ganda sering 
terjadi multikolinearitas, masalah 
n~ultikolinearitas muncul ketika ierdapat 
korelasi diantara peubah bebasnya, 
sehingga ha1 ini &an mempengaruhi 
ragam dari penduga kuadrat terkecil dan 
pendugaan model yang dibuat 
(Wetherill,l986). 
Salah satu cara untuk mengatasi 
multikolinearitas adalah dengan 
menggunakan Analisis Komponen 
Utama. Analisis ini merupakan Analisis 
Peubah Ganda yang tertua, 
diperkenalkan oleh Garson (1901), 
selanjutnya dikembangkan oleh 
Hotelling (1933), Rao (1964) et al. 
Konsep Analisis Komponen Utama yang 
diterapkan terhadap vektor acak 
dikembangkan oleh hotelling (1933), 
sedangkan Rao menghadirkan penerapan 
Analisis Komponen Utama diberbagai 
bidang terapan juga memberikan 
landasan matematika formal yang lebih 
kokoh, sebagai salah satu teknik Analisis 
Peubah Ganda peaggunaan Analisis 
Komponen Utama semakin meluas 
dengan semakin mudahnya mendapatkan 
fasilitas komputasi berkecepatan tinggi 
oleh para peneliti. 
Tujuan 
Tujuan penggunaan Analisis 
Komponen Utama adalah : 
1. Identifikasi peubah baru yang 
mendasari data peubah ganda. 
2. Mereduksi banyaknya dimensi 
himpunan peubah yang biasanya 
terdiri atas peubah yang banyak 
dan saling berkorelasi menjadi 
peubah-peubah baru yang tidak 
. berkorelasi dengan 
mempertahankan sebanyak 
mungkin keragaman dalam 
himpunan data tersebut. 
3. Menghilangkan peubah yang 
mempunyai sumbangan informasi 
yang relatif kecil. 
PEMBAHASAN 
Komponem utama 
Komponen utama adalah 
kombinasi liner dari peubah yang 
diamati. 
Analisis Komponen Utama 
Analisis Komponen Utama 
adalah metode Analisis Peubah Ganda 
yang bertujuan memperkecil dimensi 
peubah asal sehingga diperoleh peubah 
baru ( komponen utama) yang tidak 
saling berkorelasi tetapi menyimpan 
sebagian besar infoqnasi yang 
terkandung pada peubah asal 
(Morisson,l976). Misalkan XI,X~.,. .,Xp 
adalah peubah acak yang menyebar 
menurut sebaran tertentu dengan vektor 
nilai tengah p dan matriks peragam C. 
Komponen Utama merupakk kombinasi 
liner terboboti dari peubah-peubh asal 
yang mampu menerangkan data secara 
maksimum. 
Komponen Utama ke-j dari p 
peubah dapat dinyatakan sebagai : 
dan keragaman Komponen Utama ke-j 
adalah : 
Var (Yj) = 4; j=l,?., ...,p
A , . A adalah akar ciri yang 
diperoleh dari persaman : .. 
11-AjII=O 
dimana A, 2 42 ... 2 A, 20. vektor ciri 
-a sebagai pembobot dari transformasi 
linear peubah asal diperoleh dari 
persamaan : 
(I-Aj I) gj =O 
Total keragaman konlponen utama 
adalah 
A,+;12+...+Ap = tr(1) 
dan persentase total keragaman data yang 
mampu diterangkan oleh komponen 
utama ke-j adalah : 
(A jltr a)) x 100% 
- Persentase keragaman dianggap 
cukup mewakili total keragaman jika 
data 75% atau lebih (Morisson,l978). 
Korelasi antara peubah ke-I 
dengan komponen utama ke-j dinyatakan 
sebagai : 
rxiyj = (ai &)/si 
dengan A, adalah akar ciri matriks 
peragam S (penduga C ). 
Pembangkitan komponen utama 
tergantung dari jenis data asal yang 
digunakan. Apabila data yang digunakan 
memdjki satuan pengukuran yang sama 
maka digunakan matriks peragam. Jika 
syarat di atas tidak terpenuhi, maka 
digunakan matriks korelasi. Komponen 
Utama jrang dihasilkan dengan 
menggunakan matriks peragam 
merupakan kombinasi linear dari peubah 
asal X. Komponen Utamanya ditulis 
dalam bentuk K=f(X). Komponen Utama 
yang dibangkitkan dari matriks korelasi 
merupakan kombinasi linear nilai baku Z 
dari peubah asal yaitu K=f(Z), dan Z 
adalah fungsi dari X, dimana 
Regresi Komponen Utama 
Regresi Komponen Utama 
merupakan regresi metode kuadrat 
terkecil antara skor Komponen Utama 
sebagai peubah bebas dan peubah tak 
bebasnya. 
Analisis Komponen Utama yang 
dibangkitkan dari matriks ragam 
peragam 
Tahapan : 
1. Membuat matriks ragam peragam 
(C) dari ragam setiap peubah. 
2. Mencari akar ciri (A) dan vektor 
ciri (aj dari matriks ragam 
peragam C. 
3. Menentukan persmaan 
Komponen Utama dari vektor 
ciri. 
4. Menentukan Komponen Utama 
yang akan dipilih berdasarkan 
total keragaman yang dapat 
diterangkan oleh Komponen 
Utama tersebut. 
5. Mencari peubah yang paling 
berpengaruh dari setiap 
Komponen Utamanya. 
Komponen Utama yang dibangkitkan 
dari matriks korelasi 
Secara garis besar, tahap-tahap 
Komponen Utaina yang dibangkitkan 
dari matriks korelasi sama dengan 
Komponen Utama yang dibangkitkan 
dari matriks ragam peragam. Hanya saja 
data asal ditransformasi terlebih dahulu 
menjadi nilai baku 2, melaiui 
- 
transformasi : Z = 
xi -x 
S 
Sedangkan matriks pertama yang dibuat 
adalah matriks korelasi p .
Tahapan selanjutnya sama 2. Membuat matriks korelasi p 
dengan Komponen Utarna dari matriks 
ragam peragam.. 1,OO -0,310 -0,361 Dalam banyak literatur seringkali 0,1~0 1,00 - 0,7431 
dianjurkan untuk menggunakan matriks 
korelasi. -0,361 -G,743 1,00 
Contoh Penerapan 
Pendugaan Produksi Basah Kulit 
Batang Kina oleh Tatang Suryana 
(1997). 
Penerapan Analisis Komponen 
Utama yang dilakukan oleh Tatang 
Suryana yaitu dalam bidang perkebunan, 
yang bertujuan membuat model untuk 
menduga produksi basah Satang kina. 
Peubah-peubah yang digunakan 
untuk menduga produksi basah batang 
kina adalah lilit batang (XI) yang diukur 
dengan satuan cm , bobot polong (X2) 
diukur dengan satuan gram dan tebal 
plong (X3) diukur dengan satuan mm. 
Contoh yang diamati sebanyak n=40 
3. Mencari pasangan akar ciri-vektor 
i (A a) dari matriks korelasi 
tersebut + Akar ciri : 
~,=2,8623 a,=o,ioi7 &=0,036 
+1 0V.e5k8to0r7 c]i ri [. : 0.41 ],PI] 
-0.5809 , 0.396 
-0.5704 -0.821 0.008 
. . + Keragaman total : 
Keragaman total didapat melalui 
;1 rtinius -x loo%, dimara, 
*(P) 
tr(p) mempakan jumlah 
diagonal matriks korelasi. 
Karena satuan ukuran dan 
keragamm data asal tid& sama, maka Keragaman total untuk KUI= EX 100Y~95 ,4 % 
3 KOmponen Utama ' dibangkitkan dari Keragaman total untuk KU2= 0.1017 x 100Y3~,4 % 
matriks korelasi. 3 
Dari basil regresi data asal rnenggun&an Keragaman total untuk IC'J3- 0,036 x 100% 1.2 % 
3 
MKT terdapat gejala muitikolinearitas 
dengan persamaan : Secara ringkas dapat disajikan dengan 
tabel : 
Y=-0.4729+0.1341Xl-1.3940X~-0.0205X3 1 Variabel KU A I " 
I anapan-1 anapan nu ; -. 
. .. - . .. 
' : menjadi 22 I, -.0. 5809 I 
1. Mentranstorrr'asl aara asal x 
nilai baku 2, dengan cara: 
-, xu Total 
& .= - 
' s, I kemgarnan 1% ( 
i=l, 2, ..., 40 
j= l,2,3. 4. Persamaan KU : 
Keragaman 95.4 
98.8 100 
kurnulatif
5. Menentukan variabel Yang 
mendominasi dari setiap KU . 
Dari persamaan di atas dapat 
diketahui bahwa komponen utama 
pertama didominasi semua peubah 
bebas dalam penentuan pendugaan 
produksi kina. Komponen Utama ke 
dua didominasi oleh peubah tebal 
polong dibanding peubah yang lain. 
Kolnponen Utama ke tiga 
didominasi peuba5 lilit batang dan 
Sobot polong. 
6. Menentukan Komponen Utama yang 
akan dipilih berdasarkan keragaman 
total. 
Berdasarkan kergaman total 
yang diperoleh, Komponen-Utama 
yang dipilih untuk tujuan analisis 
lebih lanjut adalah hanya Komponen 
Utama pertama, karena memiliki 
keragaman total yang sangat tinggi, 
yaitu mencapai 95.4 %. 
Untuk tujuan analisis selanjutnya, 
yaitu untuk meregresikan Komponen 
Utama dengan peubah tak bebas, maka 
perlu dihitung skor komponen dari setiap 
pengamatan tersebvt. Nilai skor 
Komponen Utama diperoleh dengan 
memasukkar nilai dari skor baku melalui 
persamaaan 1,2, dan 3. 
Regresi Komponen Utama 
Model persamaati regresi Komponen 
Utamanya adalah : 
Y = 1.4694-0.2928KJJ!+O.233KUt+O.6396KU~ 
(4) 
Analisis signifikan koefisien regresi 
Berdasarkan tabel di at& hanya 
konstanta dan koefisien ' Komponen 
Utama pertama saja yang nyata secara 
statistik pada taraf a =0.05. Hal ini 
sesuai dengan poin 6 pada tahap-tahap 
proses Analisis Komponen Utama di 
atas. Sehingga untuk analisis selanjutnya 
persarnaan regresi KU yang digunakan 
adalah : 
Transformasi balik ke persamaan dengan 
menggunakan peubah asal dengan 
memanfaatkan hubungan yang ada antara 
KU,, dengan peubah baku 21, Z*, 23, 
kemudian mensubstitusikan persamaan 
(1) ke persamaan (5), maka diperoleh 
persamaan regresi dalam peubah baku 
sbb : 
Y = 1.4694+1.700Zt+0.171~+0.16702, (6) 
Analisis signifikan koefisien parsial baku 
regresi KU disajikan dalam tabel berikut. 
( Variabel ] Koef. 1 Galat ( t-hitung I 
ZI 
& 
z3 
0.1700 
0.1701 
0.i670 
baku 
0.0008 
0.0008 
0.0008 
6.0070 
6.0106 
5.9010 
Berdasarkan tabel di atas semua 
koefisi,en nyata secara statistik pada taraf 
nyata a =0.05. 
Untuk memperoleh persamaan penduga 
produksi basah batang kina dengan 
menggunakan peubah asli, maka 
persamaan regresi Komponen Utama 
baku (6) ditransformasi ke peubah 
asalnya menjadi : 
Y=0.6973+0.0323X~+1.2507X~+O.1805X~
Contoh output komputer: 
a Dependent Variable: Y 
Principal Component Analysis 
Eigenanalysis of the correlation matrix 
Eigenvalue 2.862 0.1017 0.0360 
Proportion 95.4 3.4 1.2 
Cumulative 95.4 98.8 100 
Variabel PC1 PC2 FC3 
2 1 -0.5807 0.4110 0.7030 
22 --0.5809 0.3960 -0.7110 
23 -0.5704 -0.8210 0.0080 
Interpretasi: 
o Proportion menerangkan 
besarnya keragaman yang dapat 
diterangkan oleh komponen ke-I. 
o Cumulative rnenerangkan. 
keragaman kumulatif yang dapat 
diterangkan oleh komponen 
utama ke-1 sampai ke-j. 
o Eigenvalue adalah nilai akar ciri 
dari matriks korelasi. 
I 
- I ! 
KESIMPULAN 
I 
1. AKU adalah salah satu cara untuk 
rnengatasi multikolinearitas. 
2. AKU adalah analisis pecbah 
ganda Yang bertujuan 
memperkecil dimensi peubah asal 
sehingga diperoleh peubah baru 
yang, tidak saling berkorelasi. 
3. AKU dapat dibangkitkan dari 
matriks ragam peragam dan 
matriks korelasi. 
DAFTAR PUSTAKA 
Alam, M Choiril. 2001. Analisis Data 
Rancangan Percobaan, Peubah 
Ganda dun Riset Operasi. Bogor 
Morrison, D.F. 1990. Multivariate 
Siatislical Mgthod .Ed. ke.3. 
McGrawHill Publishing Company. 
Singapura. 
Siswadi dan Suharjo, Budi. 1998. 
Analisis Eksplorasi Data Peubah 
Ganda. Jurusan Matematika, FMIPA, 
~ogor 
Suryana. Tatang. 1997. Skipsi 
Pendugaan ' Produksi Basah- Kulif 
Batang Kina. Jurusan Statistika, 
FMIPA IPB. Bogor 
Wetherill, G.B. 1986. Regression 
Analysis With Application. Chapmant 
And Hall. New York
1 ANALISIS FAKTOR 
I 
J1L 111 
rnenitikberatkan ~enielasans tluktur korelasinva 
I 
I 
PENDAHULUAN daripada menjeiask% keragaman (chatfieid, 
1980). PeMaan antara analisis faktor denm 
Latar Belakang 
Disusun oleh: 
I. Titin Agustin N (G03400003) 4. Firman Alamsynh (G03400040) 
2. Dale Habiby (G03400015) 5. Agus Kurniawan (G03400054) 
3. Michael Hawari (G034G0029) 6. Ruqayah Biuti H (G0340006S) 
Dosen: 
Dr. Ir. Budi Susetyo, M.Sc 
analisis statistik lainnya yang mempela&i 
hubungan antara peubah tak bebas adalal~ 
bahwa dalain analisis faktor tidak ~nengukur 
Dalam beberapa penelitian serin&ali variabel bebas secara langsung: melainkan 
kits menjunpai data yang memiliki bawak diukur melalui peubah-peubah tak bebasnya. 
peubah yang &pat diamati. Jika kita 
n~enganalisis data tersebut, maka kita akan ~,~j~~~ 
rnene~nui kesulitan baik pada proses 
perl~itungan maupun pengambil& kesimpulan 
karena data yang digunakanterlalu banyak. 
Pcubah-peubah yang terlibat dalam 
malisis dapat saja memiliki korelasi atau 
berhubungan Jii ada kernungkinan beberapa 
peubah niembdus ha1 yang sama pada keadaan 
sebenamya atau dengal kata .lain beberapa 
peubah mewakili peubah yang lebih mum. 
Charles Spearman sebagai orang yang 
nlenernukan permasalahan hi telah 
1 memperkenalkan pertama kali taliun 1904. 
Selanjutnya diembangkan ole11 Tllustona 
(1947), Thornson (195 l), Lawley (1940, 1941) 
dan laimya. 1 Dengan adanya perkembangan teknologi 
khususnya komputer mernbangkitkan ~ninat 
baru untuk mendalami analisis faktor baik 
! secara twritis atau komputerisasi, karena sebelumnya penggunaan metode-nietode 
statistika yang terganggv karena keterbatasan 
I dala~np erlutungan menghalangi perkembangan 
I analisis fsktor. 
Analisis faktor dapat disebut sebagai 
perluasan dari analisis ko~npnnen utama yakni 
111etode yang iilenyesuaikan strklur yang ada 
dengan data. Keduanya dapat ditrunpilkan 
sebagai usaha untuk pendekatan matriks 
peragrun . Analisis Ko~nponen Utanla 
- mengekstrasi selnua keragaman dazi peubah 
asal sedangkan Analisis faktor lebih 
Tujuan utama dari analisis faktor adalal~: 
1. Dnra sunrnrariza~ion, yaitu 
~nenemukan suatu bentuk hubungan 
internal dari szbuah himpunan peubah-peubah 
dengan melakukan uji korelasi. 
2. Dua reduction, yaitu proses ~nernbuat 
peubah - baru yaifu faktor untuk 
rnengganthn sejurnlah peubal~ 
tertentu setelah dilakukan uji korelasi. 
Analisis faktor 
Analisis faktor rnerupakan suatu inetode 
peuhah gdnda yang bertujuan menjelaskan 
hubungan antara banyak peubah berkorelasi 
yang sulit diamati ~nenjadi peubah yang leb~h 
sedikit dari jumlah peubah awal. Dengan kata 
lain dapat menggan~barkan peraganl dlantan 
banyak peubah-peubah yang sebenamya dapal 
dibagi kedalam beberapa sifat yang mendamr 
naniun tidak dapat terobservas~ kuantitasnya. 
Sifat yaRg mendasar nrunul tidak dapac 
terobsewasi kuantitasnya iru disebut raktor 
Faktor adalah ku~npulanp eubah-peubal~d lmana 
faktor tersebut !etap mencern~~nkanpe uball-peubah 
aslinya.
Vektor acak x dengan p komponen 
n~emili ram p dan peragam (wvarian) 
matriks X' Model faktor dibentuk agar x 
n~enjadili nier dan bergantung dengan beberapa 
pe11Ea11 acak yang tidak &pat ter~bse~asi, 
?aim Fl, Fa ..., F, yacg disebut faktor mum 
dan p sumber kcragaman dari EI. EL .... E, yang 
disebut error atau spesifik faklor (faktor 
khustis). Pada umumnya model analisis faklor 
adalah: 
XI-fi=LllF1+Ll~F2++..L. lmF,,,+&l 
XZ-/II=LZIFI+LIIF...Z ++L zmFm+~z 
Xp-~p=LptFl+Lp~F2++L...~ .+E, 
Atau dalam bentuk matriks menjadi 
keterangan: 
A', = vektor acak yang menulihi p komponen 
- pada amatan ke-i 
1, = rataan dari pcubd~k e-i 
Lv = bobot faktor Vakror loading) dari yeubal~ 
ke-i dan faktor ke-j 
4 = faktor bersama (conmlon factor) yang kc-j 
E , = sisaan atau error dari penbah ke-i 
(specgc factor) 
dcilgan asumsi: 
1. F dan E dingb ebas. Cov (F.E)= 0 
2. E (E) = 0, COV (E) = yf, dim yf 
ahlali nlatriks diagonal 
3. E(F)=O,Cov@)=I 
blodel di atas ~nembawa implikasi pada strukSu 
matriks peragam x menjadi: 
atau 
var (s;)= Pi, + .. +I?;- + (rl; 
Dari pcrsaliaan di alas terlihat bah~a 
vektor a& s; ditemgkan ole11 dua 
kolnponen yaitu hj dan q~;. Ko~nponen h" 
disebut komunalitas (w~nmunalitp) yang 
rnenunjukkan proporsi keraganlan dari 
vektor acak s; yang diterangkan oleh m 
faktor bersama,, dun- hj ~nerupakan 
jumlah kuadtat dari bobot faktor vektor 
acak y pa& 1n faklor kana. Sedangkan 
yl, disebut sebagai ragarn spesifik yang 
merupakan proporsi ragam dari vehlor acak 
%pang disebabkan oleh faklor spesifiknpa. 
Pendugaan Parameter 
Peily=lesaim nasdah analisis fakTor 
secara tepat adalah pikejaan yang sulit Karena 
itu digunakan pendekatan dan sudut pandang 
yang beM-beda dalam menglladapi masalah 
ini. Ada tiga metode yang paling banpak 
digunakan &lam menduga parameter yaitu 
metode komponen utama, metode factor utama, 
dan metode kemungkinan maksimum. 
1. Metode Komponen Utama 
Komponen utarna analisis faktor dari 
ma& korelasi wntoh berukuran psp yang 
memiliki pasangan akar ciri dan vekor ciri 
(-4 ,;1),(i2,;2)....,(iP,ip) di~nana A .. 
f?2 fb22 ... 2 /2, 2 0 dan iil < p dengan 111 
adalal~ jurnlal~ faktor yang digunakan dan p 
adalal~ banyaknya peubah yang diamati. 
Sedangkan matriks penduga bobot faktor 
dituliskan sebagai berwt: 
Penduga .. .ragam spesifik didapat d?i 
matriks R - LL' , selungga 
,=I 
dal diperoleh pendekam bagi R adalah 
R= it+@ 
Untuk melakukan.i&idasi model, kebelum 
a 
menerima L dan @ sebagai penduga alrlur, 
perlu dihitung matriks sisaan: 
~e=s R- (ii'++) 
dan besamn dari unsur-unsumya diperllatih 
menggunakan ukuran statistik tertentu. Jika Res
kumpulan peubal~ men~punyai bobot sang 
tinggi sedangkan pada faktor lain Lxmpulan 
peuball tersebut memiliki bobot faktor yang 
rendah. Dengan kata laii rotasi faktor pa& 
umwa dilakvkan untuk mendapat sedikit 
peubah dengan nilai mu&k loading yang 
tetbesar seda'gkan yang lain kecil atan wl. 
Pada analisis faktor terdapat dua tipe rotasi 
I 
faktor yaitu mtasi ortogopal dan rotasi ncn- 
I ortogonal (oblique). 
Rotasi Ortogonal 
Perotasian scan ortogom1 dil&c 
dengan tetap mempertahankan 
keortogonalan faklor-faktor yang 
berimplikasi pa& tidak adanya perklaan 
antara bobot patern dengan bobot siruktur. 
Jika i adalal~ ma& berukuran pm 
yang ~nerupakan pendugaan bobot faktor, 
mah 
i' = LT dimarta TT' = TIT = I - 
Dimana i' adalall matriks bobot faktor 
setelah dirotasi. Agar tercapai suatu 
stdqur yang sededlana &!am kolom-kolom 
matriks bobot iaklor, pada rotasi 
ortogonal dilakukan pemaksimumin 
kcragaman dari hadrat bobot faktor 
masing-lasing peubah Hasil ,-erotasian 
ini tidak akan menyebabkan perubahan 
proporsi keragaman peubal~ yang 
dijelaskan oleh m faklor bersama (Slanna, 
1996). Beberapa rotasi yang temsuk 
rotasi ortogonal adaldl rotasi varinrax, 
quar~in~meq,u anrax danparsin~ar. 
2. Roiasi Non-Ortogonal (Oblique) 
Rotasi ini digunakan jika setelah kita 
melakukan rotasi 017ogoml lerludap 
matriks loading faktor. faktor masill sulit 
diiterprestasikan. Pada rotasi nondrtogonal 
(oblique) diasumsikan ballwva faktor-fakor 
yang dillasilkan saling berkort:asi. Pada 
ntcdel Mlor oblique terdapat dua bidang 
koordimt yang berbeda. yaitu bidang 
koordirzt oblique asal yang disebut 
kcordinat p~ner dan bidang koordinat 
oblique yang setelah diiotasi disebut 
rejerence. Untuk masing-masing bidang 
kcordim! terdapat bobot palern dan bobot 
smk~ur. Pada aichii proses, yang 
diinterp;etasikan adalal~ matliks bobat 
rekrence. Beberzpa rotasi yang temusuk 
rotasi obliqce adalall rotasi pronlax, 
procusles dan l~arris-kaiser. 
Studi Kasus 
1. Analisis Kepuasan Pelanggan 
Indosatnet, oleh Yunita dkk, ZOO1 
Penizlasan: 
Penelitian ini dilakukul di Boeor denean 
data primer. Pengwnpulan data -dil& 
dengan cara menyebar kuisonti terlladap 
responden yang telah terpilih. Pemiliiun 
responden dilakdcan dengan metode purpasi~e 
yaitu membagi responden menjadi liga criteria 
vaitu wmet wd~aanlinstamid an rumall 
-mgga. ~ainii - dilakukan a& dipemleh 
infonnasi yang mewakili selucuh pelanggan 
IhDOSATnet Bogor. Dalam . l~al ini kuisoner 
rnerupakan alat bantu dalan~ survey. Populasi 
yng diallati adalal~ pelangan .lndosal?et 
bogor. 
Adapun tujuan peneliiian ini addah: 
menge~~fuaik tor-faktor utama apa saja yang 
menentukan kepuasan pel^^^ 
INDOSATneL 
Dari sekian pertanyaan yang dizjukan 
kepada responden untuk mengetallui kepuasru~ 
pclangp INDOSATnet tedladap layanan 
INDOSATnet baik layanan reknis maupun 
nonteknis, akan ditentukan faktor-faktor u@ma 
spa saja yang mewqkili kberapa pertanyam 
tersebut. Untuk tujuan tersebur akan dilakuk?~ 
Analisis Faker. 
Peubzh-peubah yang diamati untuk 
adisis faktor adalal~: 
XI = kualitas Prcduk 
X2 = tarif prcduk 
X3 = kecepatan akses 
X4 = Kesesuaian nilai produk dengan tarif 
X5 = ketersediaan infonnasi produk 
XG = proses pendarkan 
X7 = i~fonnasi tagihan 
X8 = nletode pembayaran 
X9 = penangacan kelb 
X10= profesionalisme petilgas 
Setiap peubah diberi nilai 1-5, yaitu: 
1= sangat kurang ( vety poor) 
2= kurang @€or) 
3= biasa(mcderate) 
4= bagus(gocd) 
5= sangat bagus(very good)
Analisis fakTor diawali dengan 
mengeksplorasi korelasi &tar peubali. Jika 
korelasi antar dua peubah lebih besar 0.5 maka 
dapat disim?ub. bahtva antar dua paubah 
tersebut - berhubungan Pada matrik korelasi 
(tabel 1) dapa! dilihat adanya kore1asiyw.g 
cukup besar antara peubah X9 @en-kelulan 
pelangan) dan X10 (profesionaEsme 
petugas; yaitu sebesar 0.741. Adanya korelasi 
yang tinggi antara peubal~ X9 dan X10 
men,&dikasikart bahwa tingginya 
profesionalisme dai petngas akan ditunjukkm 
dari penanganan kelul~anp elarygan yang cepat 
dan baik dari petugas, sellhgga dua peubah ini 
dapat dipandang sebagai sat11 kelompok 
(fakior). Korelasi antar puball yang lain 
relative rendah, bWan terdapat peubali yang 
tidak berkorelasi dengan peubah yang lain 
Pendugaan bobot faktor (loading) 
dilakvkan dengan metode komponen ufama 
karena asulnsi data sebaran normal terpenulli 
atau mtriks kodasi semua peubal~ beniiat 
singular selungga tidak memungkinkan untuk 
ntenggunakan metode kemungkinan 
maksirnun~. 
Dengan ~iietode ko~nponen utama, 
peneiltuan jumlal~ faktor yang akan digunakan 
ditentukan ole11 : 
= faktor yang akar cirinya lebih besar dari 
satu. Dari 1.zbel 2 dapat ditentukan bal~rva 
Inn)% 5 fkklor yang akan digunakan 
Secara Eksplorasi, gambar diba*wl~in i 
niemperlillalkan tanipilan plot scree 
diagram kesepuluh akar ciri yang 
diiiasilkan ole11 metode faktor utama. 
Dari gambar Iersebuf &pat ditentukan 
adanya 5 akar ciri yang dipakai unw 
-. analisis (akar ciri yang lebili besar dari 1). 
I Jika dilillat dari tabel 2, ahci ri tersebat 
1. telal~ ri~enjelaskan keragaiian dala asal 
sebesar 80.098% pada proporsi hun~ulatif 
untuk nilai koniponen 5 yang berarti 5 
faktor yang di,& Keragaman yang 
dillasilkan oleli masing-masing faktor 
belum menyebar. dengan meraa Niai 
keragaman f&<or.perrama &up tin&@ 
(sebesar 2.525) jii dibandingkan 
dengan kwmpat faktor lainnya yang 
mempmyai proporsi keragaman yang 
cukup kecil. Hal ini menandakan ball~va 
sebagian beszr peubah asal mengumpul 
pada faktor tersebut. 
Untdc rnempermudali interprestasi 
terlladap faktor akan dilakukan rotasi faktor 
vatinax. Hal ini dilakukan !-arena pada label 5 
terlihat baliwa loadin2 fakror memililii nilai 
loading yang han~pir sama. Dai tabel 4 
ditunjukkan dengan melakukan mtasi varimax, 
hasil -yang. diperolelr me~nperiillat!an nilai 
keragan~an menyebar merata anlar faktor 
dengan proporsi keraganlan yang tidak jauli 
berbeda. 
Dari tabel 6 hasil yang diperoleh 
n~emperliilackan bahtva bobot faktor pada 
fahor pertama menjadi l~anya dibentuk oleh 2 
pcubah, yaitu X9 @enanganan kelulan) dan 
X10 (profesionalisme petugas). Kedua peubal~ 
uii lebih mengarah pada kualitas pclayanan 
pctugas dengan kcragaman sebesar 1.998. 
Faktor kedua meajelaskan keragaman data 
sebesar 1.737, dengan bobot tertinggi dibentuk 
oleh peubah X6 (proses pendaftam), X7 
(infonnasi lagillan) dm X8 (r~~etde 
pembayaran). Ketiga peubah ini mengarail pada 
proses administrasi. Faktor ketiga 
menjelaskan keragaman data asal sebcxar 
1.666, dengan bobot tertinggi dibentuk oleb 
pcubah X1 (kualitas produk), X3 (kecepatan 
akses) dan X4 Resesuaian nilai produk dengan 
tarif). Ketiga peubah ini lebill mengarall pada 
kesesuaian kualitas produk dengan tarif 
produk. Faktor keempat dengan keragalnan 
sebesar 1.337 diberi nama faktor ketersediaan 
informasi produk karena bobot reninggi 
dibentuk hanya oleli peubali X5 (ketersediaan 
inI?ormasi produk). F&or kelima dengan 
keragaman sebr 1.271 diberi nallla rikTor. 
tarif produk karens bobot tertingi dibenluk 
hanya oleh peubah X2 (faifproduk). 
Hal ini dapat disimpulkan bailtvz iak<or-fiktor 
utruna yang menenhlkan kepuasan 
pelanpgan INDOSATnet ?aim kualitas 
pdayanan petugas, proses ad~ninistrasi, 
kesesueian produk dengan tarif prod&
ketersediaan Xomnsi produk, dm tarif 
prod&. 
2. Sc,pentasi perokok berdasarkan 
motivasinya, oleh Widhiyanti nugraheni, 
2001 
Penjelasan: 
Penelitian ini mengpunakan data llasil 
survey yaag dilakukar~p ada penen* tahun 
1999 oleh sebual~p erusaham riset pemasaran di 
Jakarla Kriteria responden adalah pria perokok 
berusia 17-45 taliun dan masill merokok dalam 
dua minggu terakhir (terlulung saat responden 
diwawncara). Begitu juga responden adam1 
mereka yang tidak bekerja atau yang tidak 
tinggal serumah dengan orang yang kke ja di 
ymsa!uan nkok kretek, rokok putih, 
jurnalistik, bim iklan, biro riset, dan distributor 
segala jenis rokok. 
Penarikan wnloh yang digunakan adalal~ 
nietode berpeluang (penarikan contoh acak). 
Jumlal~re sponden yang didapat sebznyak 1504 
orang, untuk kota Jakarta. 
. Pada tabel dibaaah ini terdapal 37 
peubah yang merupakm rnotivasi orang 
nlerokok.
Dari hasil pengolal~an mafriks data skor 
atribut, didapat 19 fakTor dcnga! persen 
krmulatif keraganannya 76.2%. Rotasi 
vorinrax dilakukan untuk ' 11iem~ein1uda11 
interpretasi. 
Selanjulnya dilakukan pernilillan afribut-atribut 
untuk tiap falrtor. Loading faktor yang 
telah diurutkan aLan mempermudal~ penulihan 
atribut untuk tiap faktor. 
Unttk iaktor-I, loading yang bed untuk 
atribut ke-9, 14, dm 5. FakTor-1 dapat dianggap 
~i~ervakilifa kqor ~iierokok untuk menibuat 
dirinya menjadi lebil~ak tif. 
Faktor-2 dengan atribut 29. 27, dan 31 
meuakili fakqor merokok membut pikiran 
henjadi segar dan nyaman. Demilcian 
seterusnya sanipai faktor ke-19. 
Secara singkat dapat disimpulkan faktor 
serta atribut sebagai berihwt: 
: Merokok un!uk ~iiembuat 
dirinya lebih aklif 
: Merokok membuat pikiran 
segar dan nyaman sel~ingga 
dapat nielakuh sesuztu yang 
lebill baik 
: Merokok karena ingin diakwi 
sebagai nlasyamht niodern 
: Merokok membuat 
?en~.mpilan lebih rnenarik 
(lebih lrendi, lebil~ jartan , 
lebih eksklusif) untuk 
~nenunjukkanid entitas dirinya 
: Merokok karcna suatu 
kebanggaan jib selnua omng 
tahu bal~rva dia addall 
pcrokok hcbat 
: Mcrokok adalah ekspresi 
kcbebasan 
: Merokok untuk bersosialisai 
: Merokok rnemberikan 
kcl~ila~utatenn endiii 
: Merokok dapat rnelupakan 
scgala nlasalal~ 
: hlerokok dapa: ~nendukung 
pc~~ampilan 
: ~Merokok merupakan 
kcbiasam banyak orang 
: Merokok mer.imbu!kan nsa 
damai 
: Merckok untuk bersusialis& 
: Saya sang2t ruenik~lati 
merokok saat saya sed-ng 
sendirian 
Faktor-I5 : Jika sudal~~ ncnentukans alah 
satu merk rokok yang cocok. 
saya tidak akan mencan' 
n~erekro kok yang lain 
Faktor-16 : Saya menglusap nierk tertentu 
karena ten~an-tem sap 
mengllisapnya 
Faktor-17 : Saya selalu hentsalla untuk 
nieneniuLan nlerek rokok 
yang dapat memacu energi 
dan kreatilitas saya 
Faktor-1s : Saya merasa sangat stress 
ketika putus rokok 
Falnor-19 : Bagi saya pilil~an merek 
merupakan sesuatu yang 
bersifat sangat pribadi 
~enjabar& dari masing -masing fakqor 
dengan atribut-alributnya dzpat dilillat pa& 
lampiran-2. 
Dari 19 fakto: tersebut dapat kin 
kelompokkan lagi seperii yang terliliat pada 
tabel dibawal~in i: 
Tabel Pengelompokan llasil analisis faktor 
dirinya lebil~a ktif 
Merokok untukbersosialisii 7,13,16 
pcnampilan lebil~m en& 
Merokok memberikan S,12. 
kcnilanatan 14 
hlerokok membual pikiran 1 2 
lcbil~s egai dan nyarnan 
Merokok karena ingin 
3 
diakui sebagai masyarakat 
modern 
Merokok adalali ekspesi 
6 
kcbebasan 
Merokok dapat nielupakan 
9 
segala nusalal~ 
Merokok karcna suatu 
5 
kcbanggaan 
Merokok ~nerupakan 
kcbiasaan banyak orang y. 
Jika sudal~ ~ncncmukan 
salal~s atu nierk rokok yang 
cocok. saya tidak &an 
rliencari ruerek rokok yang 
11 
I5 
lnin 
Saya 1~8mang: it swess 1 18 
ketika utus rokok
Bag1 saya pilh merek 
I meru~akan sesuatu vang 
. . ( bersifat sangat pribadi 
19 DAFTAR PUSTAIU 
Kelonlwk ke-I1 merupakan kelornpok 
perokok yang setia terludap merek-merrk 
tecentu. Sedan* kelompk ke-12 
meagidentifkasikan tip orang yang sudah 
kecanduaan rokok selcn~ad ia merasa stress 
ketika putus rokok. 
Merokok n~erupakan suatu kcbutulun yang 
dirasakan felt need) . Kebutulm yang ingin 
dipenulli oleli perokok mungkin betbeda satu 
sama lain I-Ial inild~ yang menyebabkan 
rnunculnya motivasi yang berbeda-beda. 
Mengacu pada hied kebutulm Maslow, 
Secara umum dap.1 ditelusuri bal~wa peril&. 
nlerokok muncul akibat adanya keinginan 
untuk mndapatkan penglmgzan dan vntuk 
menienul~i kebutuhan fisiologis. Menurut 
Msslow , kebutulm penglargaan dibedaka~ 
rnenjadi dua llal yaitu keinginan akan prestasi 
dan keinginan akan status dan pengakuan. 
Kebutul~an akan penglmgaan terlil~at jelas 
factor-3, 4, dan 5. Sedaxgh factor-I, 2, dan 
18 menunjukkan ballna nlerokok inerupkan 
kebxtulm fisiologis. Untuk faktor-faktor 
laimya merupakan n~otivasi-moti,asi yang 
sifatnya sangat spesifik untuk ~uemenulu suatu 
kebutul~an tertentu rnisalnya kebutuhan untuk 
bersosialisai dan kebutulm untuk mendapatkul 
ketenangan pikiran ( falrtor-9. 12, dan 14 ). 
Jadi dapat disimpukan bal~na secara 
umwn motivasi incrokok bisa mu~lcul dari 
dalain individu (motivasi internal) m2upun 
karena dorongan dari luar individu terscbut 
(motivasi eksternal). 
Alam, M. C. 2031. Analisis Data Rancangan 
Percobam, Peubal~ Ganda dan Riset 
Operasi. Ed Ke-I. 
Johnson, RA dan D.? Wicl~ern. !99S. 
Applied Multi~~ariate S!atis~ical 
Analysis. Ed. Ke-2. Prenticc Hall.Inz. 
New Jersey 
hfattjik, dl&. 2002. Aplikasi Analisiq Pcubal~ 
Ganda. Jurusan Statistika FMIPA IPG. 
Bogor. 
Mul~ana. 2002. Penentuan Indikator 
Pemhangunan 'Berkelmjnm Indonesia 
dan Posisi Relatif Negarz-Negan 
ASEAN Sebelum dan Slanu Krisis 
Ekonomi. Skripsi Jurusan Statistika 
FMIPA IPB. Bogo;. 
h'ugrnheni, W. 2001. Segmenlasi Perokok 
Berdasarkan Motivasinya. Skripsi. 
Jurusan Statistika FMlPA IPR. Bogor. . 
Santoso, S. 2002. Buku Latillan SPSS StatEtik 
Multivariat. Eles Media Kolnputindo 
Kelompok Gran~ediaJ. akarta. 
Yunita, dkli. 2001. Analisis Kepuasan 
Pelanggan INDOSATnet. Laporan 
Prakthm lapang Analisis Periu~cdnga~~ 
Suney Malnsis,a ' Statistika 1PB. 
Bogor.
Faktor- 1 1 
rasanya 
: Merokok rnerupakan kcbiasam banyak orang 
Atribut: 
2Z'Merokok sudall merupakan kebiasaan banyak orang 
21. Ketegangan saya hilang km!s decgm llernbusan asap rokok 
: Merokok me~mbu!kan rasa damai 
Atribut: 
3. Merokok menimbulkan rasa damai 
: Merokok untuk bersosialisai 
Atribut : 
2. Bagi saya nierokok merup2kan salah satu cara yang erektif uniuk 
mencairkan 
suasana dalam pergaulan 
I. Merokok membuat saya ak-tifsepanjang hari 
: Saya sangat meniknuti merokok saat saya sedang sendiian 
Atribut : - .. 19. Saya sangat menikmati merokok saat saya sedang sencliriar. 
: Jika sudal~m ene~nukans alah satu merk rokok yang cocok, saya tidak akan mencari 
merek rokok yang ISn 
ALribut : 
33. Zika sudall n~enemukans alal~s atu merk rokok yang cocok, saya lid* 
akan 
mencari 111erek rokok yang lain 
: Saya meng!usap merk tertenlu karena lerlm -tcnm saya inengllisapnya 
Arribui : 
10. Saya menghisap merek terlentu karena teman -ternan saya mcng!lisapny:. 
Faktor-17 : Saya selalu berusalu untuk menernllkan merek rokok yang dapl menucu energi 
dan heatifitas Sya 
Atrib~.t 
2 1. Saya selalu beru.d!a iaenemukan merk rokok yang dapt melnacu energi 
dm 
kreatifitas saya 
Faktor-IS : Saya merasa sangat mess ketika ?utus rokok 
Atribut: 
34. Saya merasa sangat stress ketika putus rokok 
Fktor-19 : Eagi saya pilihan ~nerekm e~upakans esualu yang bersifat sangat pribadi 
Atribut: 
!2. Eagi saya pililtan merk rokok addall sesuatu yang bersifut sangar pribadi
ANALISIS. GEROMBOL 
Oleh: 
Farid ~bdurraiunan GO3400030 
Syahrizal RaWlman GO3400041 
Heni Inlidianty GO3400055 
Puph A-mg N. GO3400069 
JURUSAN STATISTIKA 
SAKULTAS MATEMATIKA DAN ILRfU PENGETAHUAh' ALAM 
INSTrrUT PERTANIAN BOGOR 
2003
PENDAHULUAN 
Latar Uelakaiig 
Jika ada himpunan S yang berisi n poin di 
dalam suatu ruang exlid berdimensi -m atau rn', 
sekarang bagaimana caranya agar S dapat dibagi 
menjadi k-gerombol, misalkan PI, adalah 
himpunan dari S yang telah dibagi n~enjadi k-geromboi, 
sedangkan kriteria penggerombolan 
atau W(P,k) ditandai untuk setiap P yang 
mengukur kebenaran dari setiap pembagian 
menjadi k gerombol. Peimasalahannya adalah 
bagaiinana menemukan ' pembagian P' yang 
memaksimalkan atau meminirnalkan kriteria 
pembagian secara keselur~han menjadi k-gerombol. 
Tujuan 
Tujuan dari analisis penggerombolan 
adalah untuk mengelompokkan unit-unit 
individu ke dalam beberapa gerombol 
berdasarkan sifat-sifat tertentu, sehingga 
individu-individu di dalam suatu gerombol 
memiiiki sifat yang lebih mirip dibandingkan 
dengan individu pada gerombol lain. 
TINJAUAK PUSTAKA 
Analisis Gerombol 
Analisis gerornbol digunakail untuk 
mengelompokkan n individu kedalam k 
gerombol dengan k<n sehingga anggota yang 
terletak dalarn satu geromb.01 memiliki kemiripan 
sifat yang lebih besar dibandingkan dengan 
individu yang terletak dalam gerombol lain 
(Dilloil dan Goldstein, 1984). Keragaman unit-unit 
pengarnatan dalam siatu gerombol lebih 
homogen daripada keragaman antar gerombol. 
Langkah awal dalam melak~kan 
analisis gerombol adalah menentukan ukuran 
kemiripan antar satuan pengamatan yang akan 
digerombolkan. Ukuran kemiripar. antar satuan 
pexgamatan secara umum biasa diynakan jarak 
Euclid dan Mahalanobis Jarak Euclid digunakan 
jika informasi meligenai sebaran data tidak 
diketahui dan pautan-pautan yang diamati tidak 
berkorelasi atau saling ortogonal, memiliki 
satuan dan skala pcngukuran yang sarna. 
Persamaan jarak Euclidian dari dua 
pengamatan xi dan yi yang berdimensi p adalah 
sebagai berik~t: 
Dimana d, adalah jarak antara objek ke-i 
dan ke-j, xik adalali besaran nilai sifat ire-k dari 
objek atau kornponen utaina ke-i, xjk adalah 
besaran nilai sifat ke-k dari oljjek atau komponen 
utama ke-j dan p adalah banyaknya sifat yang 
diamati. Semakin besar jarak Euclidian maka . 
semakin besar pula perbedaan antara objek-objek 
tersybut. 
Jika diantara peubah yang dismati 
sali ig berkorelasi maka perlu dilakukan 
trai.sformasi terhadap data asal n~enjadi 
komponen-komponen utamanya untuk 
~neuyederhanakan peubah-peubahnya. 
Penjelasan singkat mengenai Analisis Kompocen 
Utama dapat dilihat pada Lampiran 8. Jika tidak 
dilahkan transformasi maka biasanya digunakan 
jatak Mahalanobis yang didefinisikan sebagai 
berikut : 
d, 2 =(xi -x.)S".(x, J -xj) 
Ada dua metode yang sering digunakan 
- untuk menetapkan banyaknya gerombol yaitu 
Metode Hirarki dan Metode Non Hirarki. 
1. Metode Hirarki 
Digunakan ketika banyaknya gerombol 
yang diinginkan tidak dikstahui. Metode hirarki 
dipilah menjadi teknik pengabungan 
(agglomerative) dan tehik pembagian (divisive). 
Algoritma Agglomeratif 
Secara umum tahapan pembentukan 
dendogram dengan algoritma yang' bersifat 
mengelompokkan (agglomerative algorithm) 
a.da !ah sebagai berikut : Bentuk n gerombol yang masing-masing 
hanya beranggotakan satu individu. 
Gabung dua individu yang memiliki jarak 
tedekat sehingga terbentuk (n-1) gerombol. 
IIitung kembali jarak antar gerombol yang 
baru. 
Gabung kembali gerombol yang memiliki 
gerombol terdekat seperti pada tahap 2. 
Hitung kembali jarak antar gerombol yang 
barn. 
Ulang langkah 1 sampai dengan 5 sehingga 
pada akhirnya terbentuk satu gerombol. 
Setiap langkah penggabungan gerombol 
diikuti dengan pembaruan matriks kemiripan. 
Metode penggerombolan berhirarki memiliki 
beberap rnetode pembaruan matriks jarak 
kemiripan, yaitu
I . Metode Pautan Tungsal (Single Linkage) 
2. Metode Pautali Lengkap (Con~plete 
Linkage) 
3. Metode Pautan Rata-rata (Average Linkage) 
4. Metode Ward, 
Metode pautan tunggal merupakan 
metode pembaruan matriks kemiripan yang 
menggunakan jarak minimum. Metode ini 
diawali dengan menemwan 2 objek yang 
memiliki jar& terdekat, ken~udian digabutig 
menjadi satu gerombol, tahapan ini dilakukan 
terus menerus sampai terbentuk satu gerombol. 
Pada metode ini, jarak antar gerombol 
didefinisikan sebagai jarak minimal antar semua 
pengamatan. Matriks jarak D antara gerombol 
(U,V) dengan gerombol W sebagai berikut 
Metode pautan lengkap merupakan 
metode pembahaman matriks kemiripan yang 
mempunyai kemiripan caia dengan metode 
pautan tunggal, dengan satu pengecualian yaitu 
pada tiap tahap jarak kemiripan antar gerombol 
ditentukan oleh jarak kemiripan antara 2 
gerombol yang ditentukan oleh jarak antara 2 
objek yang salah satu jaraknya yang paling jauh 
(jarak maksimum). Matriks jarak D antara 
gerombol (U,V) dengan gerombol W dapat 
didefinisikan sebagai berikut : 
Metode pautan rata-rata melupakan 
metode pabahawan matriks kemiripan yang 
bertujuan meminimumkan rataan jarak semua 
pasangan pengamatan dan 2 gerombol yang 
digabung. Pada metode ini, jarak antara 
gerombol didefinisikan sebagai jarak rata-rata 
antar semua psangan pengamatan (Johnson & 
Wiehena, 1982). Mendefinisikan matriks jarak D 
antara gerombol (U,V) dengan gerombol W 
sebagai berikut : 
C 1 dik 
. . 
Hasil dari metode pautan tunggal, 
pautan lengkap dan pautan rata-rata dapat 
ditampilkan dalam bentuk dendogram atau 
diagram pohon. 
Algoz.i(~tla UivisiC 
Tekliik berliirarki dcltga!~ ~>et~il>~tsia~~ 
(divisive) bermula dari satu gerombol yang 
berunsurkan semua objek yang ada. Geronibol 
ini kemudian dibagi menjadi 2 gerombol, dati 
kemudian masing-masing gzrombol dibagi lagi 
menjadi 2 gerombol dan seterusnya. 
Bila ada n objek, Inaka penibagian 
menjadi 2 gerombol niempunyai ketiiungkinan 
sebanyak 2""-1. 
2. M2tode Non-Hirarki 
Metode non hirarki didesain untuk 
mtngelompokkan objek daripada variabel ke 
dalam k gerombol. Banyaknya k geron~bol bisa 
ditentukan terlebih dahulu atau ditentukan 
sebagai bagian dari prosedur penggerombolan. 
Beberapa metode non hirarki yaitu K-nteairs, 
Ftizry K-rttearrs dan Seq~rerrliaKl -nteaits. 
Namun yang akan dibahas pada makalah ini, 
adalah metode yang paling sering digunakan 
yeitu metode K-means. 
~etodKe- Means 
Pertama kali dikenalkan oleh 
MacQueen. Metode ini dapat diterapkan pada 
gugus data yang besar untuk jumlah kclompok k. 
MacQueen juga nenyarankan tahap k-means 
untuk rnendeskripsikan algoritma dari k-means 
yang 'menempatkan setiap objek kedalam 
gerombol yang mernpunyai rataan terdekat 
(nearest centroid). Algoritma K-Means dilakukan 
dengan langkah-langkah sebagai berikut : 
1. Menentukan k titik pusat awal kelompok 
untuk masing-masing kelompok 
2. Menghitung jarak terdekat. Jawk yans 
digunakan adalah jarak Exlid. Setelah unit 
pengamatan masuk ke dalain kelompok dan 
pcrpindahan unit pengamatan lain, pusat 
kelompok dihitung kembali dengan metode 
centroid. Lakukan langkah ini untuk semua 
pengamatan. 
3. Ulangi langkah kedua sampai tidak ada lagi 
unit pengamatan yang berpindah kelompok. 
Ada beberapa cara yang dapat 
digunakan untuk memilih pusat-pusat awal 
kelompok, yaitu : 
1. -Memilih K unit data pertama sebagai. pusat-pusat 
awal kelompok. 
2. Unit-unit data diberi nomor 1 sampai dengan 
N, kemudian data bernomor NK, 2N/K, ..., 
(K-I) NK, dan N dijadikan sebagai pusat-pusat 
awe1 kclcmpok. 
3. Memilih K unit data secara subyektif den 
dijadikan sebagai pusat-pusat pwal 
kelompok.
IiASLL DAN I'EMBAI-LASAIU' 
Studi Kasus I : Metode Hirarki 
Sebuah pemsahaan susu bubuk 
melakukan identifikasi terhadap 18 merek susu 
bubuk atau minuman energi yang selama ini 
dijual dengan spesifikasi yang terdapat pada 
lampiran 1 (Buku latihan SPSS Stztis~ik 
Multi.~ariate, Singgih Santoso). Dengaq 
kcterangan tiap variabel : 
SUSU, yaitu nama merek susu bubuk; 
LEMAK, yaitu kandungan lemak (gram) per 
100 gram susu; 
KARBOHDRAT, yaitu kandungan 
karbohidrat (gam),per 100 gram susu; 
MINERAL, yaitu kandungan mineral (gram) 
per 100 gram susu; 
ENERGI, yaitu energi (kilokalori) per 100 
gram susu. 
Algoritme Penggerombolan: 
I. Me~ie~llukam~ert ode pe~rggeronlbola~yra ifg 
dr@maka~~. 
Data pada kasus ini, banyaknya gerombol 
belum diketahui sebelumnya dan datanya 
sedikit (n kecil) sehiagga metode yang tepat 
digunakan adalah metode hirarki. 
2. Menenlukan jarak kemiripan. 
Dilibat dari korelasi antar peubah yang 
diamati yang dapat dilihat pada lampiran 2, 
temyata menunjukkan adanya korelasi. 
Oleh karena itu jarak kemiripan yang 
digunakan yaitu jarak mahalanobis atau 
jarak euclid dengan terlebih dahulu 
mentransformasi data asal ke dalam 
komponen-komponen utamanya. Pada kasus 
ini dipilih jarak euclid sebagai jarak 
kemiripannya. Dengai menggunakan AKU 
dihasilkan akar ciri dan persentase 
keragaman yang disajikan pada lampiran 3. 
Komponen utama pertama mampu 
menerangkan 40,2 % kerzgaman data asal. 
Sedangkan komponen utama kedua mampu 
menerangkan 33,1 % keragaman data asal. 
Dan komgonen utama ketiga mampu 
menerangkan 19,1 % keragaman data asal. 
Secara kumulatif, persentase tiga komponen 
utama pertama mampu menerangkan 
keragaman data asal sebesar 92,4 %. 
Sehingga tiga komponen utama pertama-lah 
yaug digunakan untuk analisis selanjutnya. 
Tiga skor komponen utama yang telyilih 
sebagai dasar penggeronboian, disajikan 
pada larnpiran 4. 
3. Algoritn~ap e~?rbetilukag~err ombol hirarki 
I'ada kasus hi, digunakan algoritma 
agylo~iieiatif dalarii penibentukan gero~nbol 
hirarki. Pemilihan ini didasarkan pada 
subyektivitas peneliti. 
4 Mefode pembarrran malriks jarak kenriri/)a~~. 
Metode pautan tunggal (single linkage) 
adalah metode pembaruan matriks jarak 
kemiripan yang digunakan pada kasus ini. 
Proses pembaruan matriks jarak kemiripan. 
dapat dilihar pada lampiran 5. 
5. Dendogratll 
Setiap tahap proses pernbaruan matriks jarak 
kemiripan, dapat divisualisasikan dalam 
bentuk dendogram yang diilustrasikan pada 
lampiran 6. Pemotongan dendogram 
dilakukan pada jarak penggabungan terbesar 
yaitu pada jarak 2,240. 
6. Deskrips; GeromEol 
Diagiam batang pada Lampiran 7 
menyajikan perbandingan ~iilai rata-rata 
masing-masing gerombol untuk tiap peubah. 
Secara eksploratif bisa dilihat bahsa 
gerombol pertama yang heranggotakan satu 
objek yaitu Nestle Carnation memiliki sifat 
rendah kandungan lemak, protein, niineral 
dan energi. Sedanzkan gerombol ke dua 
yang beranggotakan OAT Quaker, LIGO 
Havermout, Ovaltine, Milo, Dancow Balita, 
Frissian Flag Instan, Frissian Flag Full Cr., 
Frissian Flag Cokelat, Frissian Flag Madu, 
Dancow Full Cr., Indomilk Full Cr., 
Indomilk Cokelat, Prosteo Rendah Lemak, 
Alene Kalsium Tinggi, Tropicana Slim dan 
Protifar, memiliki sifat kandungan lemak 
dan protein yang tidak terlalu banyak, 
rendah kandungan mineral dan memiliki 
kandungan energi yang tinggi. Dan pada 
gerombol ketiga yang beransgotakan 
Dancow Cokelat niemiliki sifat kandungan 
lemak, protein dan energi yang tinggi 
dengan kandungan mineral yang rendah. 
Studi Kasus T[: Metode Non Hirarki 
Manajer pemasaran PT. Kacang 
'Uhuy', ingin menge!~mpokkan koiisumen 
kacang 'Uhoy' berdasarkan profil konsumen, 
yaitu (lampiran 9): 
Tempat tinggal konsumen 
Status perkawinan konsumen 
Usia konsumen 
Banyaknya anak konsumen 
Pengcluaran konsumen tiap bulan, dengan 
klasifikasi pengeluaian: 
1. > RD 5.000.00000
. 4. -.R p 1.000.000.00 Lama menontoti televisi konsumen 
Cjanilltari) 
Kendaraan bermotor yang dimiliki 
konsumen 
Lama bekerja konsumen (jamlhari). 
Algorittna Pene mpatan Objek ' padz 
Gelanlbolan yang Sadah Ditentukan: 
I. Merrerttrrkart rrr-fode per~ggeronrbolo~yta ~rg 
digrrrtakrr~r 
Data pada studi kasus ke dua, banyaknya 
data besar dan gerombol sudali ditentukan 
dari arval yaitu sebanyak tiga geron:bol 
(K=3). Penentilan banyaknya gerombol 
bergantung kellada peneliti. 
2. Me~~e~tltrkjaurria k kentiripa~t 
Lampiran 10 merupakan niatriks korelasi 
antar peubah yang diamati yang 
menunjukkan adanya korelasi. Oleh karena. .: 
itu jarak kemiripan yang mungkin 
digunakan adalah jarak Mahalanobis atau 
jarak Euclid dengan terlebih dahulu 
mentransformasi data asal ke dalam 
komponen-kon~ponenu tamanya. Pada kasus 
ini dipilib jarak Euclid sebagai jarak 
kemiripannya. Dengan menggunkan AKU 
dihasilkan akar ciri, proporsi dan proporsi 
kumulatif dari Komponen-Komponen 
Utama, dapat dilihat pada lampiran I I. Tiga 
Komponen Utama pertama sudah mampu 
~nenerangkan keragaman data asal sebesar 
92,5% (lebib dari 75% (Morison, 1976)). 
Tiga skor Komponen Utama yang terpilih 
sebagai dasar penggerombolan disajikan 
pzda lampiran 12. 
5. Algorihna pembentukan gerombol hirarki 
Pada kasus ini, digunakan algoritma K-Means 
dalam pembentukan gerombol Non 
Hirarki. 
6. Metode pentharucnr ntarriks koorditrat 
ce~itroid. 
Pertama kali, dibuat matriks antara objek 
dengan skor KUI. KU2 dan KU3. Karena K 
(banyaknya gerombol) sudab ditentukan di 
zwal yaitu K=3, maka 
1. Objek-objek ditempatkan ke dalam tiga 
gerombol tadi dengan sekehendak 
peneliti. Dan dibuat rnatriks koordinat 
centroid. 
2. Lalu dicek apakah jarak euclid anggota 
dari masing-masing gerombol lebih 
. dekat ke gerombolnya daripada jarak ke 
gerombol lainnya? 
3. Jika tidak maka ulangi langkah 2 dan 3 
sampai jarak Euclid antara anggota 
yerolnbol lebili dekar daripada jar& ke 
gerolnbol lain. Lampiran I3 rnerupakan 
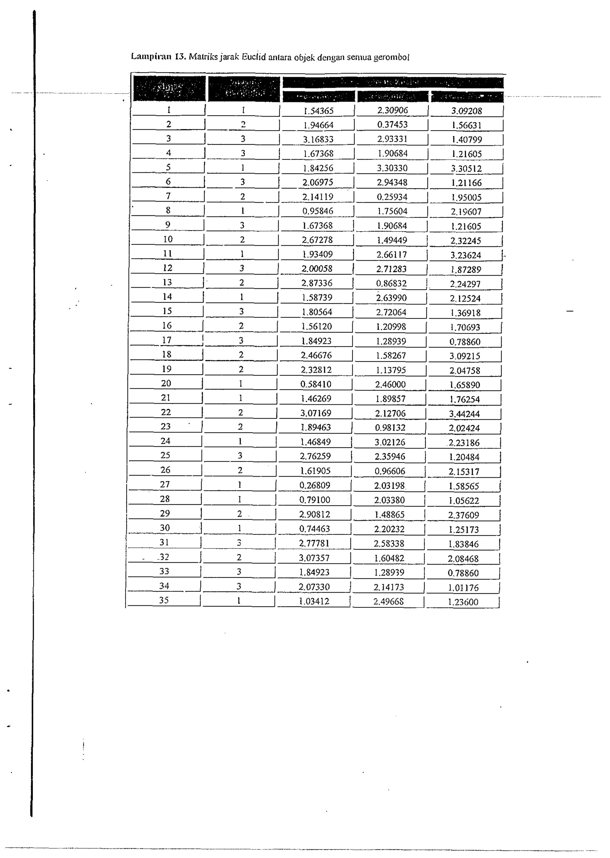
jarak Euclid antara objek detigan selnua 
gerombol, dan terliliat bahwa objek 
yang merupakan anggota gerombol 
tertentu memang mempunya jarak 
terdekat pada gerombolnya daripada ke 
gerombol lain. 
KESIRIPULAN 
Analisis Gerombol berfungsi untuk 
men~elompokkan objek atau variabel yang 
diamati, di mana jarak antar objek aiau variabel 
di dalam suatu gerombol lebih dekat daripada 
gerombol lain. 
DAFTAR PUSTAKA 
Alant, M. Choiril. 2001. A~rrrlisis llarn 
l'erartca~tga~r Percobaarr. Perrhalt Gar~do 
darr Riser Operasi. Jurusan Statistika 
FMIPA IPB. Bogor. 
Dillon, W. R Q M. Goldstein. 1984. 
Multivariate Analyss Merhod and 
Applicatiort. John Wiley and Sons Inc., New 
York. 
Johnson, R. A. & D. W. Wichern. 1988. 
Applied Multivariate Stalistical Analysis. 
PrenticbHall International, Inc. Engelwood 
Cliffs, New Jersey. 
Morison, D. P. 1976. M~ltivariale Statistical 
Mefh0d.M~. Graw Hill, 1r.c. New York.
Lantpirart 
Lampiran 1. Tabel data awaI susu bubuk 
! 1 .i_ O~T- ~; ~.11.0.0 1 ...5 7.00 ..:i ~~. .... . 0.9.6 .. . ' .3. .7 0..0 . 0. .. j 1 ~;I N estle Camation 6.K j 9.70 ; I- , 1.60 . 119.00 -- 
1. 2 !_ LIG-E~ !!o'?.- i 9.16 1 67.33 : . . . . 0.00. 386.67 ' . ... ~~ / 4 j Ovaltine ,- 8.401 -.,75. 00 ; 1.28 416.00 i 
j i 4.50 400.00 ! 5 j ! -. , . 10.4 - ..6G:P! .i . . ... . . . . 
6 i Dancow Balita , 23.67 i 44.67. 4.67 . 476.67 : i_ j -. __, -; 
i 7 .i Frissian Fl&Instan 26.00 1 40.0_0> 1 .5_ .8.0 ' . -.4. 96.00 1 
!. P* 
5.60 / --_ 53:OO. ' 1 ',' i Frissian Fla:F"II Cr. 1 -.~_S_.OP_, 3_8140.i. . 
9 Frissian Flag Cokebat j 13.00 j 69.70 i 3.0~: 4444.00 i , .. , 
! 10 ~rissian~lag~sdu. 18.00 I_.. 52.80 1. .~ 5.00 i 459.00 j :.~ 
I 11 I Danco,v C~kelat ;.A- ' i_ llO 65.25 ; 4.50 : 425.00 
: i 12 1 Dancow Full Cr. .-2 25.903 1 -. 40.33 ! - . . .5. -.9 .. 2. .; ,,--495..- 0 .0 .i 
i I3 i IndomilkFull Cr. 28.00i 36.90j 5.60 : 505.60 1 
! ---s i I4 , Indomilk Cokelat 4.00 62.50 j j:cO 446.50 ! . / 
j 15 j- 1.00 I 50.00 ! 8.00 1 357.00 i 
I 
1. !G .jA_len e filsium ~iwil_.-- OW48.801 ~.5,7_qj 340.00 i 
17 Tropicana Slim j 0.00 50.50 / 1.92 / 347.00 / 
18 J Protifar I- / 1.00 1 27.80 1 - '- 366.00 / 
Lampiran 2. Matiiks korelasi antar peubah 
Lampiran 3. Tabel akar ciri, proporsi keragaman dan keragaman kumulatif dari komponen utama 
/ Komo Utama I 1 1.6079 1 0.402 1 0.402 
I 
, .~. ! --~~ - ~ ~~~ 
j ! 
KO~P~. tama2i ~-0i.331 i 0.733 
I 
1 Komp. Utama3 1 0.7659 j 0.191 1 0.924 ! 
i Komu. Utarna4 i 0.3025 i 0.076 i 1.000
j I1IIj 1; t.10'0 t.ZZt i L1I 
I!Zj1/ OtZ'i I OlZE i Z1911 
I I ST I 1 I SOE'O 1 OLil 1 E / .SI I 
Sl 1 81 1 Sl 1 LSO'O 1 2960 PP1j 
Sl 1 91 1 SI 1 ZIOO 1 8060 1 S / El I 
1 I S 1 I 911'0 
I I E / 1 / &ZOO 
I I LI I I I ESO'O 
E 1 PI E I EEO'O 
S 1 6 1 5 / ZSO'O ( 1L90 1 01 1 8 / 
51~1581~0'0 
s 1 9 1 s j 090'0 
9 j ;- PI 1 9 1 101.0 
9 1 01 1 9 1 L8Z.O , 
L 1 8 1 L 1 910'0 
8 1 E l 1 8 1 MO 
9LS6Z.0- 1 06298.1- 
OILSI'O- 1 OL06L.O 
PL9EP'O- I E9IOS'O-ZOGL. 
O- 1 PLI 1z.1- 
tOP190- A 63PZZO 
8SlE0'0 1 8EOtOI-EE060' 
0- / lP666'0- 
9650 1 9 1 Z1 
08L.01 L 1 11 1 
LSLO / S 1 01 1 
POL'@ / 6 1 6 1 
ZSCO80- !L 
lS8911- id 
0ZSZL.O- fi 
LEKZO- jd 
ZL9LS'O 
PE5l8.0 :a 
P6Z 180 la 
S88EL'Z / 69019.01 199SP'Z Id 
OLOSEO- I6ZSL1.0- 09EES.O 101 I 
OE9LcO- / 86891'1 1/.16 ZP'O j 61 
EZZ00'0 / OE6L6.0- I ZSZSS'O 3 
ECEL0.O- I PPPL6.O- I 8986LO ,! !- I 
688P0.0- j ~850P.O- I LZ9SS.O ju 
IPELS'O- I PLLSS'O 
9PLPSO- ) L9SS6'1 
LOPE1 '0- I 06ZSO-Z 
619.0 j 11 I L 1 
IPSO j ZI 1. 9 1 
18P.0 I El 1 S 1 
08E'O / 'il I P 1 
E60'0 / SI I E I 
LL0.01 91 1 Z I 
OSZClO 
E8900'0 1: A I 
916PcO- iu 
ZWLL'I / SZ909.0- ! OEEPL'E-
lam pi rat^ 6. Deodogram hasil analisis geron~bolm e11ggunakan maode paulal lu~lggald engan 
jarak Euclid 
I t 
I 
2 1 li 2 : 5 5 10 14 7 ii B 11 3 15 16 IS I! 
Observations 
Lnnlpi~an7 . Diagam barang nilai rala-rata masi~g-masingg erombol ~inlult;i ap peubah 
Peubah I 
Lampinn 8. Analisis Komponen Utama 
&disisKomponen Ulma (AKU) biasanya digunakan unlult mengidentifikasi peubah 
baru yang mendasai data dai peubah gandq mengurangi banyhya dimensi himpunan peubah 
yang biasanya terdiri afas peubah prig banyak dan sding berkorelasi menjadi peubah-peubah 
baru yang tidak berkorelasi dengan mempertahdan sebanyak mungkin ksragarnan dalam 
himpunan drta tersebut, dan mengbilangkan peubah-peubah asal yang mempunyai sumbangan 
informasi yang relatif kecil. Kemudian Analisis Komponen Utama dilanjutkan dengan analisis 
gerombol (ClusrerAna!vsis, Johnson 1981). Analisis Komponen Utma dilakukan pada inatriks 
korelasi R apabila satuan peubah tidak sarna dan pada matriks peragam apabila satuan peubah 
salna. AKU biasmya digunakm untuk memudahkan kita melihat penyetaran objek amatan dalanl 
dimensi yang lebih kecil yakni dengan membuat plot sm;e komnonen utama 1 dan komponen 
ulama 2, jika ingin melihat ddxn dua dimensi (Nr~rmalias;2 002).
Lalupiralt 9. Dala awal konsumen kacang 'Uhuy' 
Lampiran 10. Matriks korelasi antar peubah
L~m~,i1l1a. T~a~be l Akar ciri; proporsi dan proporsi ku~iiulatifd ari Komponen Utarna 
L irnnit.an 12. Tabel skor Komuonen Utarna yaw memp" rnenerangkan kerqaman lebih dari
La11ipira11 13. Malriks jarak Eucl~d anlara objek dengal seluua gerombol
( Kola Menengah 0.3 1, 
I KotaKecil 
Status I BelumMenikah 
0.7 1 0.6 
0.5 1 0.5 
0.45 1 
0.45 ( 
0.5 1 0.5 0.55 1 , Pengeluaran 1 0.75 1 0 01.~
TUGAS METODE 1'ENEL.ITIAN DAN TELAAH PIJSTAKA 
ANALISIS DISKFUMINAN 
DERITAOKTAVIANTO GO3400005 
NENDEN RAHAW P. GO34000 17 
LMANURMAIDAH - . GO3400031 
MARDIANA TJ. 'A'. GO3400043 
UMAR ABDUL AZIS GO3400056 
WLITASARI GO3400070 
JURUSAN ST.ITTSTIKA 
FAKULTAS MATEMATIKA DAN ILMU PZNGETAHUAN ASAhl 
INSTITUT PERT.4NWN BOGOR
Analisis diskriminan adalah suatu teknl~ 
statistika untuk mengklasifikasikan 
pengamatan atau observasi berdabarkan 
karakteristik observas~ ke dalam satu 
kelompok dari beberapa kelompok yang telah 
dilakukan sebelumnya. 
Analisis diskriminan yang pe;tama kali 
diperkenalkan oleh Sir Ronald Fisher, 
merupakan teknik statistika yang sering 
digunakan untuk mencliti kumpulan-kumpulan 
dari suatu masalah. Masalah yang dihadapi 
dalam analisis peuSah ganda adalah 
bagaimana mendapatkan faktor penentu yang 
niembedakan populasi atau mendapatkan 
kornbinasi linear dari peubah-peubah yang 
menunjukan ukuran pembeda dalam nilai 
tenkah populasi tersebut. Analisi diskriminan 
merupakan suatu metode untuk menghasilkan 
pemisah yang terbaik antara berbagai macam 
populasi (kelompok). 
Dua asumsi yang harus diperhatikan: 
1.p peubah bebas menyebar normal ganda 
2.Matriks peragam dari peubah-peubah bebas 
dalatn setiap kelompok sama (homogen), 
apabila tidak homogen maka yang dibentuk 
ad2lah fungsi diskriminan kuadratik. 
UJI ASUMSI 
a. Uji kenorrnalalz&ganda 
Johnson (1988) mengusulkan plot khi-kuadrat 
untuk mengevaluasi kenormalan 
ganda. Setiap vector pengamatan dihitung 
jarak mahalanobisnya d; mengikuti sebaran 
-klii-kuadrat, yaitu dengan memplot statistik 
dl2< dlz< d,'< ..... 5 d.2 terhadap kuantil ' 100(j-O.S)/n) sebaran khi-kuadrat dengan 
i db=p. 1 
dJ-'=(x.J- ?) ' s&(xj- F), j=1,2,3 ...,n 
dimana: 
d,' = jarak mahalonobis ke-j 
x; = vector kolom berisi nilai-nilai 
pengamatan ke j - 
! x =vector kolom berisi rataan 
S-' = ~natrikp eragam gabungan 
gob 
Tebaran titik yang membentuk garis 
lurus menunjukkan kesesuaian pola sebaran 
d? terhadap sebaran khi-kuadrat, yahg 
berarti pula data berasal dari sebaran 
normal. 
b. Uji beda vector nilai tengah 
Uji ini penting untuk mengetahui 
apakah kelompok yang akan dianalisis 
sudah mantap pengelompokkannya atau 
belum. 
Jika Xtt, XI', ..., Xlnt adalah contoli 
acak berukurau nt dari Np(pI,Z), dan X21, 
XI',.., XI,,' adalah contoh acak bemkuran n2 
dari N,(pl,Z),maka: 
dimana: 
p = banyak peubah 
ni = banyak contoh dari kelompok I 
xi =vector rataan kelompok i 
db =(a, p , nl +n2-p-I) 
Hipotesis ujinya adalah HO:pI=p2 
Terima Ho jika : 
(n~'"2 -2)~ 
T- F(sp.n1+n2-p-1) 
nl +n2 -p-I 
Pe~tgujian statistik di atas yang erat 
dengan fungsi diskrimianan linear adalah uji 
T' Hotelling untuk beda rataan dua contoh 
yang merupakan generalisasi dari statistik t. 
Uji lain yang dapat digunakan adalah uji 
lambda wilk dan uji teras pillai. 
c. Uji kehomogenan ragam 
Hipotesis Uji : 
Ho:Z1=Z2= ...= zg 
Uji Hipotesis
i=l 
c.'= 1-w 
g = banyaknya kelompok 
Terima Ha jika 
MC.' 5 2(a.s(,-l)f(,+1 1, 
Jika kehoniogenan tidak dipenuhi maka 
dapat menggunakan fungsi diskriminan 
kuadratik. 
FUNGSI DISKRIMINAN LINEAR 
Untuk 2 grup bisa menggunakan fungsi 
linear Fisher: 
Y=(X, -X2)' SgoI b X =I'.z 
Dimana: 
Y = fungsi diskriminan linier fisher untuk 
contoh. 
F, = vektor rataan contoh kelompok i. 
x = vektor peubah 
1 Jika Yo- mS 0 maka masukkan X ke dalam kelompok 1 rlainnya ma,Llian k-kelompok 
2. 
j Untuk banyaknya kelompok lebih dari 2, 
maka dibuat fungsi diskriminan linier Yk, 
dengan langkah: 
1. YI = 1'1 g dengan dugaan 1'1 merupakan 
vector ciri dari W-' /?,, 
2 Smb =Un,-1lS1 + (nl-l)Sl+ .... + (nL- lYSL) 
(nl+n2+.. .+ n, -g) 
5. W = (nl+n2+ ...+ n,-g)Sgab 
Sehingga diperoleh diskriminan 
1 YI,Y, ,...,YE Hasil ini disusun dalaln vector 1'. 
Masukkan X ke kelompok k jika: 
i 
I 
untuk i t k 
FUNGSI DISKIZiRIINAN KUADRATLK 
Jika kehomogenan ragam tidak terpenuhi 
tnaka gunakan fungsi diskriminan kuadratik. 
Untuk tiap pengamatan hitung nilai D; 
dari tiap kelompok. Masukkan pengamatm ke-i 
ke kelompok dengan nilai Di terYceil. 
Dim,ana : 
j i = sk pengamatan ke-j ke 
kelompok ke-i. 
x, = vector pengamatan ke-j. - 
x, = vector rataan kelompok ke-i 
Contoh kasus (skripsi) 
I.Judul : Sistem Informasi Eksekutif untuk 
Akrzditasi Seko!ah Menengah Umurn 
Swasta, disusun oleh Nizwar Hidayat 
Nasution. 
Suatu sistem informasi eksekutif telah 
dirancang untuk pembuatan. dan penilaian 
keputusan akreditasi sekolah menengah 
umum swata menggunakan kaidah yang 
selama ini digunakan oleh Direktorat 
Pendidiksn Menengah Umum (dikmenum), 
Direktorat lendrzl Pendidikan dasar dan 
menengah. Kriteria yang dipakai adalah 
tujuh peubah pembeda yaitu administrasi 
x, kelembagaan (x2), ketenagaan (xj), 
kurikulum (x4), siswa '(xs), sarana prasarana 
(x,), dan situasi umum (x,) yang masing-masing 
diucapkan dalam persentase 
pencapaian dari suatu skor maksimum. 
Sistern ini sebenarnya adalah suatu 
fungsi diskriminan yang menggunakan tujuh 
peubah yang dianggap tidak berkcrelasi dan 
masing-masing mempunyai keragaman yang 
sama besar. Ternyata terdapat korelasi 
antara ketujuh peubah itu, sehingga kriteria 
yang digunakar, harus didasarkan atas fungsi 
diskriminan yang bentuknya sebagai 
berikut:
Berdasarkan penelnl~an ini, diusulkan 
agar suatu sekolah yang sudah diakreditasi 
berdasaikan kriteria Dikmenum, diadakan 
kembali pmgujian berdasarkan kriteria 
fungsi diskriminan bertatar. Jika 
keputusannya sama, maka . akreditasi itu 
dikukuhkan. Sedangkan jika keputusannya 
tidak sama, maka perlu mengadakan 
pe~neriksaan kembali butir-butir akreditasi 
apakah ada yang perlu dileugkapi. 
2.Judul . . Analisis Diskriminan untuk 
Mengklasifikasi Beberapa Strain-lkan M:; 
(Cyprinus carpio I.) berdasarkan Ciri 
Morfometrik, oleh Sandy Handayani, 2001. 
lkan mas (Cyprinus carpio L.) 
merupakan ikan peliharaan utama dalam 
budidaya ikan air tawar di Indonesia. 
Banyaknya strain ikan mas di Indonesia 
akan menyulitkan pengelompokan antar 
strain ikan secam visual. Untuk it^ 
diperlukan suatu metode pengelompokan 
yang kuantitatif berdasarkan karakteristik 
ikan yang mudah diperoleh, misalnya ciri 
morfometrik. Salah .satu metode 
pengelompokan adalah metode analisis 
diskriminan. 
Pada penelitian ini, pengelompokafi 
dilakukan dengall analisis diskriminan 
kuadratik, karena matriks peragam antar 
strain ikan tidak homogen. Selanjutnya 
dipilih peubah diskriminator yang dapet 
mewakili karakteristik strain ikan dengan 
mengzunekan analisis diskriminan bertatar. 
3.Jgdul : Analisis Diskriminan Bertatar untuk 
Mengklasifikasi Kelapa Hibrida Genjah 
Salak dan Induknya dari Karakter 
Morfometriknya, oleh Bambang Setyantoro, 
2001. 
Kedekatan karakter antara hibrida 
daninduk kelapa Genjah Salak 
~nenyebabkan kesulitan di dalam proses 
identifikasi dan seleksi hibrida sebagai 
turunan peltama dari induknya. Kesalahan 
identifikasi kelapa genjah salak sebagai 
hibrida sehingga 1010s seleksi dan 
dipasarkan serta diberi perlakcan sebagai 
hibrida sering terjadi. Sehingga setelah 
ditnnam dan memasuki masa produksi hasil 
yang dii~ginkan tidak sesuai dengan yang 
diharapkan karena memang kelapa tersebut 
adalah kelapa induk. Hal yang sama juga 
terjadi pada kelapa Genjah Salak. Banyak 
hibrida yang diidentifikasi sebagai induk, 
sehingga dipersunakan kembali dalam 
pembibitan. Hal ini dapat ~nenyebabkan 
kekacauan genetik karena hibrida adalah 
turunan pertama. 
Untuk prose identifikasi perlu dicarikan 
peubeh-peuhah dari karakter vegetatif, 
generatif, dan komponen buah ysng benar-benar 
berpengaruh dalam proses klasifikasi 
dengan m~nggunakan diskriminan bertatar. 
Kemudian peubah yang dipercleh digunakan 
untuk membanzu~i fungsi diskriminasi linier 
untuk mengklasifikasikan hibrida dan inauk 
kelapa Genjah Salak. 
PENERAPAN 
Kita sudah mempunyai data dengan tiga 
variabel sebagai dasar pengelompokan yaitu 
Disc-A, Disc-B, dan Disc-C dengan 4 
22 22 
18 19 21 
16 18 20 
Pengolahan menggunakan Minitab didapatkan 
hasil sebagai berikut :
Discriminant Analysis 
Linear Method for Response: Class 
Predictors: Disc-A Disc-B Disc-C 
Group 1 : 2 3 4 
Count 8 5 4 4 
Su~iinaryof Classification 
Put into .... True Group .... 
Group 1 2 
1 8 0 
2 0 3 
3 0 2 
4 0 0 
Total N - . 8 5 
N Correct 8 3 
Proportion 1.000 0.600 
N= 21 N Correct = 19 Proportion Correct = 0.905 
Squared Distance Between Groups 
1 2 3 4. 
1 0.0000 23.7963 27.6785 91.6223 
2 23.7963 0.0000 1.5340 23.9980 
3 27.6785 1.5340 0.0000 18.9984 
4 91.6223 23.9980 18.9984 0.0000 
Linear Discriminant Function for Group 
1 2 ' 3 4 
1 - 
i Constant -180.02 -100.01 -91.77 -45.81 Disc-A 1.66 1.52 1.09 1.27 
i Disc-B 9.57 7.24 6.65 4.03 
Disc-C 7.03 1.86 5.48 3.88 
1 Summary of Misclassified Observations 
Obse~vztion True Pred 
Group Group 
10 2 3 
Group Squared 
Distance 
15.8730 
3.6080 
2.4540 
32.4270 
31.3381 
0.8591 
0.5569 
16.3589 
Probability
Prediction for Test Observations 
Observation Pred Group From Group Sqrd Distnc
IVIATA KULIAH METODE PENELITIAN DAN TELAAH PUSTAKA 
ANALISIS KORESPONDENSI 
Oieh: 
Hesti Heningtiyas (G03400007) 
Paras Sujiwo (G03400020) 
Salma (G03400033) 
Erly Crisma A (G03400045) 
Tri Maryugo H (G03400060) 
JURUSAN STATISTIKA 
FAKULTAS MATEMATIKA DAN ILMU PENGETAHUAN ALAM 
INSTITUT PERTANIAN BOGOR 
I 2003
Latar Belakang 
Greenacre(l984) menyatakzn bahwa 
penyajian data secara grafis mempunyai beberapa 
kelebihan diantaranya dapat meringkas 
datapudah diinterpretasikan, karena dapat 
menyederinanakan aspek data dengan meoyajikan 
secara visual. 
Salah satu teknik statistika deskriptif yang dapat 
digunakan untuk menyajikan data secara visual 
adalah analisis korespondensi,dengan cara 
mereduksi data berdimensi banyak kedalam ruang 
berdimensi yang lebih rendah (biasanya dua) 
berdasarkan akar ciri terbesar untuk 
mempeiiahanhel inhr~asyia ng optimum. 
Tujuan 
Analisis korespondensi tujuannya edalah 
untuk menganalisis peubah kategorik yang 
disajikan dalam bentuk tabel kontingensi dua arah 
sebagai konfigurasi titik pada mang vektor 
berdimensi dua ,..:~k melihat keterkaitan 
antar peubah yaitu secara profile baris dan kolom. 
1 Tinjauan Pustaka 
I Analisis korespondensi merupakan teknik untuk 
menganalisis peuph kategorik yang disajikan 
dalam tabel kdiangensi (tabillasi silang) dan 
berskala nominal.Analisis ini dzpat digunakan I sebagai teknik penyajian sinultan terbaik dua 
gugus data yang berisi baris dan kolm 
dalammatiiks data. - 
? . Analisis korespondensi dibagi menjadi dua,yaitu 
i analisis korespondensi sederhana dan analisis 
korespondensi ganda.Disebut analsis 
! korespondensi ganda karena inempunyai dua 
1 gugus peubah. 
Analisis korespondensi menggambarkan 
kedekatan profil antar kategorik pada tiap gugus 
2 datadalam bentuk grefik. Apabila dua titik yang 
mewakili profil titik selang berdekatan, dapat 
: dikatakan bahwa dua profil tersebut mempunyai 
sebaran yang sama. 
1 Konsep yang digunakan dalam analisis 
i ini adalah penguraian nilai secara 1 GSVD(memiliki nilai pembobot) yaitu mereduksi 
i dimensi dat~b erdasarkan keragaman data (nilai 
i akar cidinersia) terbesar untuk mempertahankan 
informasi optimum.Anallsis korespondensi t 
menggambarkan kedekatan profil antar kategori 
pada tiap gugus data dalam bentuk grafik. Konsep 
dasar, yang digunakan dalam analisis 
korespondensi adalah : 
1. Matriks korespondensi 
2. kaidah equivalensi dalain sebaran 
3. Sembarang profil 
4. Kriteria terbaik 
5. Korelasi kuadrat dan kontribusi mutlak 
6. Unscr-unsurpenjelas 
Aaalisis korespondensi dapat didekati 
dengan cam : 
1. Resiprocal Averaging (persaman transisi) 
2. Dual Scallmg (perskalaan ganda) 
3. Canonical Correlation Analisis of Contngensi 
tables Worelasi kanonik pada tabel kontingensi 
4. Simultaneous Linier Regression (regresi 
simultan) 
PEMBAHASAN DAN APLIKASI 
Dalam Analisis Korespondensi 
digunakan penguraian nilai singular terampat 
(generalized singular value decomposition@VD). 
Analisis Korespondensi menggambarkan 
kedekatan profil antar kategori pada tiap gugus 
data dalam bentuk grafik. Sehingga untuk 
mengintepretasikan plot dua dimensi dilihar dari 
kedekatan antar profil. (Johnsons & Wichern, 
1998). 
Suatu matriks data N berukuran IxJ 
dimana N adalah tabel kontingensi dua arah tidak 
negatif: 
N (IXJ=) [n ij} ,d imana n ij 2 0 
Matriks Korespondensi P dapat dipercleh 
dengan cara membagi setiap unsur matriks N 
dengan total semua unsur N (n..), dinotasikan 
sebagai berikut: 
P (1x0 = (Iln..) N 
Dalam matriks korespondensi P, 
diperoleh vektor baris daa kolom: 
r (1x1) = P I dan C (1x1) = P' 1 
dimana r adalah vektor yang unsur-unsurnya 
merupakan jumlah unsur dari vektor-vektor baris 
matriks P, r i > 0 (I=1,2 ,..., I), dan c adalah vektor 
yang unsur-unsurnya merupakan jumlah unsur 
dari vcktor-vektor kolom matriks P, cj > 0 
(j-1.2 ,..., J). 
Matriks vektor baris dan kc.'"."' ". .. 
dinyatakan sebagai berikut:
R (IrJ) = D-'P dan C (Id) = D -' P' 
r c 
Dimana, 
Dr : Matriks diagonal dengan dii adalah 
total baris ke-I dalam matriks P, 
Dc : Matriks diagonal de~gan djj adalah total 
kolom ke-j pada matriks P. 
Koordinat profil baris dan kolom dapat 
diperoleh melalui penguraian nilai singular 
terarnpat (GSVD) terhadap matriks maka 
diperoleh: 
(P-rc')(ld)=A(lxK)Dp(KxK)B'(Kxl), dengan syarat 
keortonormalannya A'DF~=B'D~B=IS. ehingga 
koordinat profil baris dan kolom dinyatakan 
sebagai btrikut: 
F=LDp=n-!ADp dan 
r 
- 
Untuk menafsirkan profil-profil pada 
peta konfigurasi dapat dilakukan dengan melihat 
kontribusi mutlak (the absolute contributions) 
yang menunjukan proporsi keragaman yang dapat 
diterangkan oleh mas ng-masing profil terhadap 
pembentukan sumbu Ltama dan kontribusi relatif 
yang menunjukan proporsi keragaman yang dapat 
diterangkan oleh sumbu utama terhadap profil-profil 
tersebut. 
I STUD1 KASUS 
! 1. Persaingan antar toko dalam pemenuhan 
kepuasan terhadap konsumen (Singgih 
Santoso, 2001). 
2 Kasus: - Penulis ingin mengetahui bagaimana 
posisi toko LARIS dibandingkan dengan beberapa 
! pesaingnya saat ini, yaihl toko BARU, JAYA, 
: LESTARI dan MURAH. 
. Metode: - Metode yang dipakai adalah dengan 
, penyebaran kuisoner kepada sembilan orang yang 
diketahui sering berbelanja di kelima toko yang 
. akan dibandingkan, dengan asumsi kesembilan 
konsumen tersebut mencerminkan sikap 
konsumen selama ini. Kepada sembilan 
responden, diberikan sepuluh pertanyaan 
- berkenaan dengan sepuluh obyek pengamatan 
(Lokasi toko, kebersihan~ toko dan sebagainya) 
dan kepada untuk setiap obyek beserta toko yang 
ada pada kuiscner, mereka diberi pilihan sebagai 
berikut : 
8 Memheri nilai 0 untuk obyek 
pengamatan pada toko tertelitu jika 
ohyek yang dimaksud dianggap - tidak memuaskan. 
8 Memberi nilai 1 untuk obyek 
. . pengamatan pada toko tertentu 
jika obyek yang dimaksud 
dianggap memuaskan. 
Ptmbahasan : - Dari sembilen konsumen yang 
dijadikan responden diperoleh data dalam tabel 
kontingensi senagai berikut : 
1 
2 
3 
4 
Baru 
4 
4 
5 
6 
Jaya 
3 
4 
7 
8 
Laris 
Dengan tiap baris mewakili : 
I Baris I Atribut 
7 
4 
9 
5 
1 I Lokasi Toko 
2 1 Pelayanan Karyawan 
3. 1 Pelayanan kasir 
4 I Lampu (Penerangan) 
Lestari 
5 
9 
4 
7 
Murah 
9 
7 
4 
9
Symmetric Plot 
, 
-0.3 
8 
I I I I I I I 
1 
1 
a.3 -0.2 -0.3 0.0 0.1 0.2 0.3 
i Component 1 
! Interpretasi Output 
Dari Analisi Kontingensi Tabel diperoleh nilai 
j 0.8012 untuk nilai axist = 2, sehingga untuk 
pemakaian grafik Atla. dimensi, total dari 
keragaman yang dijelaskan sebesar 80,12%.' 
Dari gambzr untuk symmetric plot di peroleh i Feterangan bahwa toko LAMS memiliki ciri 
4 
keunggulan yang relatif : sama apabila 
dibandingkan dengan toko JAYA, yaitu sama - 
sama memiliki keunggulan di atribut pelayanan 
kasir, harga-harga barang dan hadiah langsung. 
Sehingga apabila pihak manajemen toko LANS 
ingin menarik perhatian pelanggan dari toko 
.JAYA, maka pihak manajemen harus 
meningkatkan mutu pelayanan kasir, harga-harga 
barang dan hadiah langsung. Begitu pula apabila 
toko laris ingin bersaing dengan ke-3 toko yang 
lain, maka peningkatan dalam bidang atribut yang 
telah tersebut di atas dan atribut yang lair. perlu 
dulakukan. Misal toko LAMS ingin bersaing 
dengan toko EARU, maka selain atribut 
pelayanan kasir, harga-harga barang dan nadiah 
langsung, toko LAMS perlu meningkatkan atribut 
kebersihan toko dan keleluasaan bergerak. Jika 
ingin bersaing dengan toko MURAH, maka mutu 
dari AC perlu ditingkatkan. Untuk lokasi toko, 
karena tidak mungkin dipindah, maka ha1 itu tidak 
pzrlu dilakukan. Dengan penelusurab, yang sama, 
ha1 itu berlaku juga untuk persaingan dengan toko 
LESTARI. 
2. Analisis Kepuasan Pelanggan Terhadap 
Kualitas Pelayanan. Studi Kasus : PT 
Askes Cabang Bogor (Aliah Rarasantl, 
2003). 
Komentar : 
Penulis berupaya untuk mengetahui tingkat 
kepuasan responden pengguna askes terhadap 
Informasi prosedur, kelengkapan fasilitas, 
ketersediaan obat dan keringanan biaya 
pengobatan yang diberikan oleh PT Askes Cabang 
Bogor. Responden diberikan pilihan untuk 
menjawab berdasar skala ordinal, yaitu 1= tidak 
puas, 2=kurang puas, 3=puas dan 5=sangant puas. 
Analisa yang dilakukan dengan simple 
korespodensi dengan tingkat kepuasan sebagai 
variable ( kolom) dan pengamatan sebagai obyek 
(baris). 
KESIMPULAN 
Analisis korespondensi merupakan 
bentuk penyajian data secara visual kedalam 
dimensi yang lebih rendah, sehingga diperoleh 
data yang lebih ringkas dalam bentuk grafik dan 
lebih mudah untuk diiinterpretasikan. Namun 
analisis korespondensi ini hanya terbatas pada 
teknik statistika deskrtifnya saje, sedangkan 
analisa eksploratifnya tidak dijeiaskan. 
lnterpretasi dari analisis korespondensi yang 
berasal dari gugus yang berbeda perlu 
diperhatikan, karena tidak ada ukuran jarak secara 
matematis (hanya dapat dilihat secara kasat mata). 
DAFTAR PUSTAKA 
AIarn,M.C.2001. Analisis Data, Rancangan 
Percobaan, Peubah Ganda dan 
Riset Operasi. 
Du*iastuti,T.H.1990. Analisis Korespondensi pada 
Data Biner 
Greenacre,M.J.1984. Theory and Application 
Correspondence Analysis. 
Academic 
Press,Inc.,London 
Santoso,Singgih dan Fandy Tjiptono. 2001. Riset . - 
Pemasaran. PT.Elex Media 
Komputindo Gramedia. 
Jakarta 
SoIikan.1998. Pols Penyebaran Zooplankton 
Akibat Pengamh Limbah 
Air Panas.
LAMPIRAN 
Hasil Pengolahan melalui MMITAB didapat output sebagi berikut : 
S y m m e t r i c P l o t 
i j C o m p o n e n t 1 
Analysis of Contingency Table 
Axis Inertia Proportion Cumulative Histogram 
1 0.0248 0.4632 0.4632 *~"****""**********ii****i* 
2 0.0181 . 0.3379 0.8012 *'**""****+*"***** 
3 0.0082 0.1526 0.9538 ******'** 
4 O.OC25 0.0462 1,0000 ** 
Total 0.0536 
Row Contributions 
---- Component I---- ----Component 2---- 
ID Name Qua1 Mass Inert Coord Corr Contr Coord Corr Concr 
1 Row1 0.400 0.085 0.143 0.054 0.032 0.010 0.182 0.368 0.156 
2 Row2 0.991 0.085 0.188 0.334 0.935 0.380-0.082 0.056 0.031 
3 Row3 0.966 0.088 0.202 -0.309 0.771 0.336 -0.155 0.195 0.117 
4 Row4 0.158 0.106 0.063 0.065 0.131 0.018 0.029 0.026 0.005 
5 Row5 0.66e 0.097 0.113 0.022 0.008 0.002 0.204 0.660 0.221 
6 Row6 0.988 0.103 0.143 -0.210 0.594 0.183 0.171 0.395 0.167 
7 Row7 0.748 0.097 0.001 0.016 0.065 0.001 0.052 0.683 0.015 
8 Row8 0.893 0.112 0.057 -0.047 0.081 0.010 -0.149 0.811 0.136 
9 Row9 0.968 0.121 0.045 -0.017 0.015 0.001 -0.138 0.954 0.128 
1C Row10 0.928 3.109 3.038 0.i16 0.710 0.059 -0.064 0.218 0.025
umn Contributions 
. . 
ID Name Qua1 
I baru 0.321 
2 jaia 0.602 
3 laris 0.648 
4 lestari 0.995 1 5 murah 0.962 
Mass 
0.181 
0.181 
0.205 
0.196 
0.230 
Inert 
0.085 
0.143 
0.210 
0.330 
0.233 
-- .- Component 
Coord ~drr 
-0.059 0.137 
-0.126 0.386 
-0.181 0.597 
0.252 0.701 
0.095 0.165 
I---- 
Contr 
0.025 
0.119 
0.270 
0.503 
0.083 
---- Component 
Coord Corr 
0.068 0.184 
-0.094 0.216 
-0.053 0.051 
-0.161 0.288 
0.208 0.798 
2---- 
Contr 
0.046 
0.092 
0.032 
0.281 
0.549
SCII~5 ~hIlc, i ?1111.; 
ANALISIS BIPLOT 
Disusun oleh: 
1. Nurnalinah iG03400006) 4. Komar Diatna 
1 2. Marta Sundari (G03400019) 5. Anggia Kumala M. ((G03400044) G03400057) 
3. Katih Dwi S. (G03400032) 
dose^;: 
Dr. Ir. Budi Susetyo, M.Sc. I 
C I1 
PENDAHIJLUAN sebagai ke~niripan sifat dua objek. 
Semakin dekat letak dua buah objek 
Analisis biplot diperkenalkan oleh maka sifat yang ditunjukkan oleh n~lai- 
(Gabriel pada tahun 1971. Pada dasamya, nilai yeubahnya selnakin mirip. 
1a"alisis ir.i merupakan suatu alat statistika 2. Pan.jang vektor peubah sebanding 
I.;v . ang menyajikan posisi relatif n objek dengan keragaman pzubah tersebut. 
; pengrmaten dengan p peubah secara Semakin panjang vektoi peubah maka 
,',s -ir nuIran dalam dua dimensi. Dan anaiisis ini keragalnzn peubah tersebut semakin 
:dapat dikaji hubungan antara pengamatan tinggi. 
. . 
~dan peubak. Selain itu juga menunjukkan 3. Nilai sudut antara dua vektor peubah 
1: hubunsan antar peubah dan kesamaan antar menggambarkan korelasi lcedua peubah. 
. fpngamatan. Serta dapat dilihat juga penciri Semakin sempit sudut yang dibuat antara 
I masing-masing objek. dua peubah maka semak~n tinggi 
' Dengan menggmakan biplot akan korelasinya. Jika sudut yang dibuat tegak 
:idiperoleh visualisasi dari segugus objek dan 2 lurus maka korelasi keduanya reudah. 
-pubah dalam bentuk grafik bidang datar. Sedangkan jika sudutnya tumpul 
;Data yang digunakan dalam metode biplot (berlawanan arah) maka korelasinya 
dapat berupa data rataan a.tau data asli. negatif. 
4. Nilai peubsh pada suatu objek dapat 
-. 
PEMBAHASAN menginformasikan keunggulan dari 
setiap objek. O'fijek yang terletak searah 
D~finisi dengan arah dari suatu peuSah maka~ 
Biplot inerupakan teknik statistika ililai peubah objek tersebut diatas nilai 
deskriptif dimen~i ganda yang dapat rata-rata, dan sebaliknya. 
disajikan secara visual dengan menyajikan 
s:ccra simultar, segugtisan cbjek Konsep .%nalisis 
pengzrnatar? dan peubah dalam sustu gtigus 
Analisis biplot didasafian pada PNS 
pada suatu bidang darzr sehingga ciri-ciri 
(Pengiraian Nilai Singular) atau S'D -wubah dan objek pengamatan serta. posisi 
relatif antar objek pengsmatan dengan (Singular Value Decomposition). Misal data 
peubah dapat dianalisis (Jollife, 1986 & yanz digunakan untuk dianalisis berupa 
niatriks X berpangkat r., berukuran i7xp (~7 Rewlings, !98P.). Dari tampilan biplot 
tersebut ada beberapa inf~rinasip ang dapat bacyahya objek dan p banysknya peubah) 
yang terkoreksi terhadap rataaltnya, maka 
iiperoieh, yaitu: 
. peneripan kcrnsep S?D terhadap instriks X 1. Kedekatan antar obiek I kcdeitatan Ietak 
sebagai berikut; 
(posisi) &a. buah objek diinterpretasikail
U dan A masing-mazing berukuran rlxr 
dan px~se rta U'U - A'A = I (Ir = 
matriks identitas berdirnensi r) 
L adalah matriks diagonal berukuran rxr 
dengan unsur-unsir diagonalnya adalah 
akar kuadrat dari akar ciri X'X atau XX' 
sehingga > & t .... > A. Uns~lr-unsur 
diagonal rnatriks !, ini disebut cilai 
singular dari rnatriks X. 
Kolam matriks A adalah vektnr ciri dari 5 matriks X'X atau XX' yang berpadanan 
' aengan 1, 
ikdangkan lajur-lajur matriks U dapat 
;iihitung melalui persamaan: 
3engan /1 adalah akar ciri ke-i dari matriks 
:i'X dan ai adalah lajur ke-i matriks A. 
iecara matematis SVD dapat ditulisf 
.X, = .Ur ,L, 'AP 
Seteiah diperoleh penguraian nilai 
rngular dcngan mengunakan persamaan X= 
L A' matrik X dapat difakorkan dalam . i:ntuk : 
S = <;N' 
G dan I-! adalah suatu rnatriks yang masins-masing 
berukaran nxr dan pxr. Faktoriszsi 
ini dapat ditulis dalam bentuk Xij = g<hj i = 
1,2 ,....., :7 
i = i,2 ,..... P 
Xi! adalah unsur baris ke i dan lajur ke j 
~natriksX , gi'adalah unsur baris ke i lriatriks 
G, dan llj adalah unsur baris ke j rnatriks 
P..Vektor g; menerangkan unsur baris 
(objek) ke i matriis X, dan vektor h; 
menerangkan unsur lajur (peubah) ke j 
lnatriks X.Vektor-vektor g: disebut juga 
vcktor pengaruh baris(objek), sedangkan 
vektor-vektor i? disebui vektor pengar~~h 
lajur (peubah). 
Faktorisesi matriks ' ini tidak khas, 
pelnilihan bentuk faktorisasi tergsntung pada 
pengaiai nilai smaular. 
Pemilihan Bentuk Faktorisasi 
Berdassrkan penguraian nilai singular, 
didefinisikan matriks L adalah mat& 
diagonal, yang diagonal utamanya adalah 
akar kuadrat dari akar ciri. Sekarang 
definisikan Lc,adalah matriks diagonal pang 
unsur diagonal ke r adalah ha,, dan 
definisikan juga L'~seb agai matriks 
diagonal, tmsur diagonal ke r adalah 
hi Tetapkan - G=ULc dan 
H=L'*X, sehingga : 
X = GK= ULa Lia A. = ULA' 
Der~gan demikian pemilihan bentuk 
faktorisasi dilakukan dengan rne~nilih a 
da!am seizng tertutup C dan!(O 5aSl). 
(Jolliffe,1986) 
o Jika u =0, maka : 
G = U dan H = LA' sehingga diperoleh 
hubungan : GG= I, 
XX=hX 
Dzn untuk suatu vektor x; dan x;. tinsur ia;ur 
ke j dan ke j' matriks X diperoleh hubungan
ntar pecbah matrik X 
bungzn antar vektor 
ubah). Berdasarkan 
antar peubah yang 
antar peubah didefinisikan 
C. .. 
' I-J /f7hi 
q7 = 
- - 
&ingga panjang dan jarak antar vekotr 
~ngaruh lajur (peubah) sebanding denan 
again peragaln peubah - matriks X, dan 
rsinus sudut yang dibentuk antar vekor 
pngaruh lajur (peubah) sama dengan 
iorelasi antar peuhah lnatriks X.Selain itu 
kngan a = 0 jarak antar vektor pangaruh 
nris (objek) ke i dan ke i' dapat dihitung 
iengan jarak Mahalanobis yang sebanding 
kngan jarak Eucliden Bukti : 
Brak Mahalanobis antar 2 pengamatan si: xi. 
kngan mengasulnsikan S-I ada dideiinisikan 
tbagai: 
6hi2 - (xi-x;.)s-'(xi-s;.) 
tdangkan jarak eucliden adalah: 
Fhi2 = (gh-sF(~,~- i) 
irak Eucliden mempunyai keterbatasan, 
aitu adanya asunisi bahwa semlla peubah 
rrus mempunyai ragaln sama dan tidak 
trkorelasi. Jarak Mahalanobis rnemberi 
tmbobot lebih seai~it terhadap peubah 
ar?g rzgainnya besar. 
ika x,- = gi'hi ~naka xi' = g;H, i=1,2 ,...., n. 
ika disubs:itusikan pada persamaan. jarak 
,iahalanobls: 
6h; = (gh-si)~sK- 'H (g,,-zi) 
= (n- l )(gl,-g,j'~~'(~'~)-'~~(S:,-g;) 
arena H' = LA' dan S" = (~-I)(X'X).!, 
:rta X'X = (ULA')'ilJL.A') 
= AL(U'U)LA 
= AL?A' 
scl~i~~gca: 
(X.X)-=' A L-'~' 
maka persamaan di atas nieniadi: 
bh;=(n- l )(gh-g;)' L(A'$)L-'(A'A)L(~~,-~~) 
= (n- I )(gl,-g;)L~ L=(gh-z<) 
karer~a tiap kololn pada A orthogonal 
s-hinu::a A'A=I 
I = (.-(g-(g-) ...... Terbukti. 
Pada kezdaan ini jarak Euclid antara gl, 
dan gi akan sania dengan jarak Euclid antar x 
i dan xi-, karena: 
(x;-~yy(x i-xi.) = (gl,-~iyH ' H((gh-gi) 
= (gh-gi!' A -4(gi,-gi) 
= (gh-~i)'(gh-~i) 
o Jika a =I, mzka ; 
G = UL dan H' = A', sehingga diperoleh 
hubungan : H'H = !, 
X X=GG' 
Dan untuk suatu vehtor xi dan xi. , dari 
matriks X diperoleh hubungan: 
xi xi. = g; gi. 
iis$=/ llgill 
cos (xis;.) =cos (g; g; j 
11 xi - xi. I/= /lgi - gi.11 
sehingga hubungan antar objek dalam 
matriks X diterangkan oleh hubungan antar 
~eh~operr ~garuh baris (objek). Persalnaan 
terakhir menyatakan bahwa jarak E~lcliden 
anrar objek ke i dan ke i' matriks X sama 
defigan jarak antar vehTor pengaruh baris 
(objek) ke-i dan ke-i'. 
Hubungan lei:^ yzng dapet dijelaskan 
dengan a=l yai:u vekor pengaruh. baris 
(objek) kc-i (g;) salna dengan skor 
I:ompcnen utaina untuk objel; ke-i. 
Berdasarkr?n analisis komponerl uta!na 
tcrdapat hubongan : 
X- = z;, ajI+ zil a;?+ ...... + z;, air I! 
zi.s = uik hi; adalah skor komponcil irtama 
untuk objek ke-i pada komponen utama ke - 
k; dan a;k adaiat penbobot pada peubah ke - 
j pada kmponen utama ke-k.Tetapi dengan 
a=l, G=UL rian H=A sehinga unsur ke -!i 
tektor pengaruh baris (objek) gi sama 
dz~igan zik pada anaiisis komponen utama, 
dan h; sai-na dengan ai pada analisis 
.- ' <
poien utama yany ~nenyatakan 
bobot peubah kej pada komponen 
a. 
Jika a= 0.5, ~naka - UL" dan tf' = L" A' sehingga 
roleh hubungan : X= GH' 
X = UL" L" A'= "LA' 
g menyatakan bahwa hasil kali vektor 
aruh baris (objek) dan vektor pengaruh 
r (peubah) salna dengan unsur-unsur 
tiks X. Biplot dengan a=O.j dapat 
nakan sebagai pilihan untuk 
ggambarkan tebaran sabungan vektor-or 
objek dan peuhah. 
indekatan Bipiot Suatu Matriks Data 
Biplot yang dihzsilkan dari suatu 
driks berpangkat dua maka dapat 
gambarkan secara tepat. Apabila ternyata 
gtriks data tersebut berpangkat lebih dari 
maka perlu dilakukan pendekatan biplot 
$a matriks tersebut 'nlelalui perryusutan 
sng dimensi, dari dimensi asal ke dimensi 
k dengan persamaan : 
spat didekati dengan: 
- 111 
Xu = x U, & , dengan m<r 
k=l 
qu ditulis sebagai: 
k=I l-- (uli, u?~,)i, = 1,2,3 ,......., n 
i=(klal;, 12a2j) , J = 1,2,3 ,...., P 
ing masiny-masing gi'dan k!, men~arrdung 
'unsur pertalna vektor gi dan hi. 
3roksimasi dengan ~ncnggunaksn m=2 
aanya sudah cukup baik. Jika m13 ~naka 
-k. ~gm~~.nbimn_de!~(G~b1r9l8P1)!.; 
Aproksilnasi lnatriks X dapat diukur 
lgan kocfisicn kebaikan stai: 
ngan hl = akar ciri terbesar pertarna 
iq = akar ciri terbesar kedua 
7, = akar ciri terbesar ke-i 
Jika p%endekati nilai sztu berarti 
biplot yank diperoleh dari matriks 
pendekatan berpangkat dua akail 
memberikan penyajian yang semakin baik 
mengenai infonnasi-informasi yang terdapat 
pada data yangsebanamya. 
Tahapar. Metode Biplot 
1. Data X" 
wu11dhI p?dImhZ ...... ~ubhp 
ohin ix ,,, x,,? . . . .x 1 lv 
2. Kore-k si tiap pcubah terhadap rataannya - -. - 7 
3. Cari X'X 
4. Cari akar ciri dan vekor cirinya 
kemudian urutkan dari yang terbesar 
5. Cari L. A. dan U den,O an rumus: 
6. Menghitung koefisien kebaikail suai dari 
dua aker ciri terbesar.Bila nilairrya cukup 
besai (1 7!%jrnaka pcndskatan biplot dapat 
ciigunakan untuk memberikan penyajian 
visual bagi inatriks data X. 
7 bfenentulcan vektor pcngar5h Saris 
(ob.jek) Ci dark vektor pengaruh 
I3j~::(peubahjI< dengan nilai faktorisasi
11M, enibuat tebaran dari vektor-vektor 
banyak bank di !ndonesia. 
emakin banyak bank yang beroperasi, akan 
rneningkatkan . suhu persaingan diantara 
ereka. Persaingan untuk menarik pasar 
dilakukan dengan berbagai cara baik dalam 
bentuk fasilitas yang diberikan, hadiah , 
si, dan pengsnam ATM. 
sipasi persaingan ini pihak 
nk terkait perlu mengetahui posisi pesaing 
mereka. Berikut ini adalah rata-rata nilai 
. 
I 
Untuk mempennudah memahami 
- pennasalahan diatas rr~akad igunakan 
analisis biplot. 
'Analisis: 
Matriks Xx(data): 
.* I9, .88 9.16 7.13 9.69 9.2C 
:6:~2 7.50 5.71 7.49 7.811 
I 
14.20 5.94 5.18 6.72 4.25 
17.79 8.22 7.24 7.69 7.09 
7.79 '1.27 6.95 5.34 6.59 
5.42 '5.06 9.1 1 .F6! 4.85 
6.18 5.69 5.25 6.01 435 
,7.36 6.98 5.08 7.11 6.99 
Matriks )i terkoreksi: 
13.0125 2.la25 0.17375 
-0.5475 -O.5225 r1.75375 
-2,6675.. - 1.11275 - 1.77625 
0.9225 1.2425 0.28375 
0.9225 0.2925 -0:OG625 
-1.4475 -1.9175 2.15375 
-0:GX75 - l 2R75 -0.7(1625 
, 0.J925 0.0025 -0.37625 
Himpunar. akar ciri dari Lnatriks X'X 
diurutkan mulai dari yang rerbesar: , 
(58.7722 11.0584 5.4264 1.9369 0.8065) 
Vektor ciri diurutkan berdasarkan akar 
cirinya: 
Matriks L: 
'7.66630 0.00000 0.00000 0.00000 3.0000C 
0.00000 3.32542 0.00000 0.00000 0.00000 
0,00000 0.00000 2.32917 0.00000 0.00000 
0.90000 0.00300 0.00COO 1.39173 0.0003C I 0.0000 0.00000 000000 0.30000 0.S9805 
Matriks A : 
'4.522922 0.175732 0.636143 4.53J735 0.06ljlO' 
-0.452~77 -0.162865 U.0390~6 0.400038 -0.783078 I 
-0.044818 0.892947 -0.367141 -0.129531 -0.22;475 
-0402CS7 -0.366345 -0.659729 -0.5185bX 0.001~118 
(-857U19a 013087 --0.153728 0.547227 0.577907j
atrib U: 
I 4J.(I77(lib 41.1 l IS60 11.4(1976'1 OIJ24iP4 1 
,~.12791X 0.15260i~ -D.1Y3%Y7 0.654')45 0.239710 
~,.14.:275 -0.63iP2l -11.242022 0.1S669Y -0.264392 1 
.~.2?4619 0.0196iX -11.0101 13 -U.Ol6591 -0.686333 
.0,UO(r373 U.22181 I 0.718226 (1.416368 -0.1 11W3 
0,397782 0.672262 -026816X -0.345146 0.0013S6 
0.~01521 -0.ii5669 0.287433 -0,322468 0.209882 
.gD91484 -0.231371 Ol2i14Ul -0.044038 11586Y47 
oefisien kebaikan suai : 
. . . 
. ............................................... ? 
Akar Ciri Kozfisien Persentase 
Kumulatif Kumulatif 
p ...:.: .................... ............... : 5 
rr 58.7722 0.75348588 75.35% ,-- ; 
11.0584 0.89525951 1 . . 89.53% 5. .- - -. -. - -- .- - .. ..... .. ..- -.. .-. - -- -. 
5.4264 0.964828385 .... ... 96.48% ! 
: ....................................... -- .................................... 9 
1.9369 0.389660309 98.10% 
................................................................... 
0.8065 1 looo/, 5$ 
cs>*-z-mv<= .-= =.*:#ac...s%az=.~-==#-<m=<5 
>ULa dan II'=L'~A' 
lntuk a =0: 
>U dan H'=L4' 
latriks G =U 
0.692191 -0 077076 
-8.!279!8 0.152609 
0.443275 -0.630221 
.0.224619 0.01955S 
.0.006373 0.221Rl l 
0.397782 0.673262 
02015;l -0.l25669 
.0.091JSS -0.25.!37< 
.latriks EI' = LA' 
-4.23887 -2.46959 -0.34382 -3.08214 -4.37568 
0.58455 -0.47569 2.96342 ..1.2;825 0.43551 
148212 0.09086 -0.85525 -i.53682 -0.35811 
-0.70253 0.55675 -0.18934 -0.72171 0.76153 
0.U5506 -0.70371 -0.19SS9 0.00127 3.51899 
Biplot Penganlh Lapar (Peubah) 
Untuk a =1: 
G-ITL dan IQ'=.4' 
Matriks G=UL 
I -5.30655 -0.2563 1 
- 0.98065 0.50749 
3.39S28 - 2.09575 
- 1.72200 0.06537 
- 0.04886 0.73761 
3.04952 2.23888 
2.31163 -0.41790 
,-0.70137 -0.77939 
Matriks H' =A' 
i -0.552922-0.452577-0.044848-0.402037-0.570794) 
0,175782-0.142865 3.892947-0.366345 0.130874 
0.636248 0.039006-0.367141-0.659729-0.153728 
-0.504785 0.4000i8-G.l295$1-0.518568 0.547227 
0.061310-0.783075-0.221475 0.001418 0.577907 
-. 
6iplot Penyaruo Rans (Objek)
Eiplot Analisis Sank 
Interpretasi biplot : 
* Kedekatan anrai objek 
Dari tampilan grafik di atas dapat dilihat 
bahwa posisi bank BM, BII, Mandiri 
saling berdekatan. Eal ini lnenunjlikan 
ketiga bank tersebut memiliki ciri yeng 
hempir sama dalam peubah menurut para 
responden. 
* Panjacs vektor 
Dari parijang vektor - ve'ktor peubah, 
terlihzit bahwa peubah PITM memiiiki 
panjsng vektor yang terpsnjang. Dapet 
diinlerpretasikan bahwa keiagati~an 
peubah .4TM disetiap bank tinggi. 
Nilai sudut antar dua peubah 
Nilai sudut terkecil terbentuk antara 
vektor fasilitas dan ATM, herarti kedua 
peubah tersebut berkorelasi positif. Ini 
tilenunjukan peningkatan pemberian 
fasilitas diikuti peningkatan ATh4 
disetiap bank. 
Gambar biplot di atas lnampu memberikan 
informasi sebanyak 89.5 % dari keseluruhan 
informasi pada tabel. Interpretasi lain yang 
dapat diperoleh dari gambar adalah sebagai 
berikut : 
BCA diposisikan sebagai bank yang 
terbaik dalarn ha1 fisilitas yang dimiliki, 
hadiah yang dijanjikan, ATM dan lokasi - 
lokasi transaksi. Pesaing yang muncul untuk 
BCA adalah bank Mandiri,BNI: Bali. 
Sementara it2 BRI dan Universal dicitrakan 
sebagai bank terlemah cntuk berbagai atribut 
tersebut karena tidak ada satupun vektor 
peubah yang mengarah ke kedua bank 
tersebut. Bank Niaga diimagekan sebagai 
bank dengan pelayanan yang terbaik. 
Daftar Pustaka 
Jollife, LT. 1986. Principal Component 
Analysis. Springer-Verlag. New 
York. 
Rahajo, hT;lr. 2031. Citra Pheiek Behe~aya 
Produk Sabu~ Mandi Berdasarkan 
Iklan Vang Dikenal Konsumen. 
Skripsi. Jurusan Statistika FIvfJPA 
IPB. Bogor. 
Siswadi dan B. Suharjo. i998. Analisis 
Eksplorasi Data Penbsh Ganda. 
J~trusan Matematika FMJPA IPB. 
Bogor. 
Suryanata, Yaya. 1991. Analisis Eiplot 
Ijntuk Data Kornunitzs Plankton 
Stasicn Selacau, Waduk Saguling. 
Skripsi. Jurusar, Statistika FMIPA 
IPE. Bogor.
TUGAS METODOLOG1 I'IINELITIAN DAN TELAAH PUSTAICA 
" METODE CHAID" 
" Chi-square Automatic Interaction Detector" 
Ole11 : 
Ester Kris~yanningsih Ci03400010 
Dian Andriany GO3400024 
No-~ia11 :dria I'raliwi GO3400036 
Yuniwati GO3403049 
- Ivan Noveri GO3400063 - 
PENDAHULUAN TIKJAUAN PUSTAKA 
Lntar Delak;tng 
Pada penerapan sel~ar-i hari, sering kita 
tuenemui data kategorik. Data kategorik 
dianalisis dengan menggunakan lnctode yang 
berbeda dengan metode yang digunaknli 
untuk menganalisis data numerik. Salah satu 
metode menganalisis data tipe ini adalah 
dengar1 nietode CHAID. 
CEAID adalah salah satu tipe dari AID. 
AID (Auton~wic 111terncriot1 Delecror) 
merupakan metode yang dikembangkan 
untuk menganalisis keterkaitan struktural 
pada data hasil survey. Dua jenis metode 
yang umum dipakai dalam AID adalah 
CHAID (Chi-square Auton~utic lnterncrion 
Detector) dan THAID (AID Tkera). 
Tuji~an 
CHAID nerupakan lnetode eksplorasi 
untuk lnengklasifikasikan data kategorik. 
Tujuan dari prosedur ini adalah membagi 
pengalnatan ke dalam grup yang dibedakan 
secara signifikan berdasarkan krireria 
tertentu. Output dari metode ini berupa 
dendogram (pohon klasifikasi). Segmentasi 
yang dihasilkan bersifat ~lirtrioly exclrcrive 
(saling bebas) atau setiap objek akan 
terkandung pada tepat satu segtnen (lidak 
overlap) (Magidson, 1993). Metode ini pun 
dapat digunakar~ sebagai analisis awal untuK 
analisis lanjutar~, misai regresi probit dan 
Iogit. 
CI-1AID juga dapat dipakai unt;~k 
memprcdiksi peubali respon dari kategori 
teltentu yang bsrkorzinsi dengan peubah 
penjelas. CHAID populer dalaln rise1 
pemasaran, khususnya d;llam s?gmentasi 
pasar. 
Merode CHAID . . 
CHAID (Chi-Square Arrtomatic Inleracrion 
Detector) adalah suatu metode yang 
dikembangkan untuk menganalisis keterkaitan 
struktural pads data hasil survey. Datc tersebut 
biasanya meliputi satu atau lebih peubah respon 
dan peubah-peubah penjelas yang bers'fat. 
kategorik. Ada dua tipe peubah penjelas yang 
dikenal yaitu peubah monotonik yang nilai-nilainya 
bersifat ordinal dan peubah bebas yang 
nilai-nilainya bersifat nominal (Alamudi, 1998). 
Dalam menganausis gugus #a rnetode ini 
bekerja dengan cara memisahkan gugus data 
tersebut menjadi beberapa kelompok secara 
bertahap. Tahap awal dalam pemisahan data 
adalah dengan rnernbagi data menjadi anak gugus 
berdasarkan salah saru peubah penjelas yang 
paling signifikan terhadap peubah respon. 
Kelnudian masing-masing anak gugus yang 
terbagi diperiksa ke~baii secara terpisd~ dan 
dibagi lagi berdasarkan peubah laitlnya. Hal ini 
dilakukan terus menerus hingga diperoleh 
kelompok-kelompok pengainatan Y% 
nlempunyai ciri respon da;~ peubah penjelas 
tertentu yang salirlg berkaitan. Se~mentasi yang 
dihasilkan bersifat ii?zrlua!y erclusive (saling 
bebas) atau setiap objek akan terkandung pada 
tepat satu segnlen (tidak overlap) 
(Magidson, 1993). 
Hasil dwi CIIAID adalah suatu dendogran 
penisahan pcubah. Pembagian kategori berkisar 
antara dua sampai c (banyaknya kategori X). 
Dari dendogram-tersebut kita dapat memperoleh 
tiga tipe inforrnasi yaitu : 
I. Pengelompokan Pengamatan. 
Dengarnatal. digoloqgkan ke dalam 
kelompok-kelonpok yang relatif hotnogen
dala~il kaita~inya dengan peubah panjclas 
dcngan peubah respon. 
2. Asosiasi antar Peubah 
Kecenderuligan nilai pet:bah penjelas 
teflentu berpadanan dengan nilai peubah 
penjelis yang lain. 
. Interaksi antar Peubah I'enjeko 
Yaitu perwan silang dud peubali 
penjelas ,lalam pernisahan pengamatan 
menurut pe11l-ah respon. 
Addpun peubah pelijelas yang tidak 
signifikati terhadap respon tidal; dimasukkari 
ke dalanl dendogram. Aninya peubali ini 
tidak niernpengaruhi perilaku p5ubali respon 
ii Kata 'a~to~~~udrailacm' AID merujuk pida 
penggullaan komputer untuk melnbuat semua 
keputusan tentang penjelas mana yaag akan 
digu~ii~kiln ki~pit~l dill1 bilgi~i~i~il~iii 
penggunaalmya. Penggunaan kooiputer ?ads 
metode ini sangat penting artinya terutalna 
pada analisis yang melibatkan peubah yang 
banyak dan kategori yang banyak pula. Pada 
CHAID kriteria statistik yang diguiiakan 
pada sctiap pemisahannya adalah uji khi-kuadrat. 
Algoritma CHAID adalah sebagai 
bsrikut: 
1. Pada setiap peubah penjelas, buatlall 
tabulasi silan!: antara katcgori - kategori 
peubah penjelas dellgan kategori-kategori 
peubali respon 
2. Cari pasangan kategori yang mana sub-tabel 
2xd (d adalah banyaknya kategori 
peubah respoli )dari tabel tersr-but yang 
~nemiliki angka uji (hi kuadrat) paling 
-. kecil. Jika angke ini ridak mencapai nilai 
bitis (hasil ilji tidek berbeda nyata), 
gabungkan kategori ini menjadi satu 
kategori campuran, dan ulangi langkah 
ini sehingga angka uji terkecil sub-tabel 
2xd pasangan kategori catnpuran peubali 
penjelas melampaui iiilai kritis (berbeda 
nyata) 
3. Untuk setiap katcgori campuran yang 
herisi tiga atau lebih kategori asal,cari 
pemiseh--1 h'ner yang memiliki angka 
uji paling besar (khi-kuadrat). Jika X' 
hirzrng > X' 1a6d maka pelnbagian 
biner tersebut berlaku dan kembali ke 
langkah 2 
4. Dari setiap peuhah peiljelas yang telah 
digabungkan secara optimal pilih yang 
paling si~nifikand engan F-value terkecil 
atau X hifrrt~g terbesar. Pcub;~ll 
penjelas . tersebut adalah peubah yang 
berhubungan langsung dengan respoli pada 
dendogram CHAID yang terbagi menurut 
kategori yang telah digabungkan. 
5. Kembali ke langkah 1 untuk melakukan 
pembagian peubah yang belunl terpilih. 
Pengurangan ~adata bel kontingensi pada 
algoritma CHAID, dibutuhkan suatu uji 
signifikaiisi. Jika tidak ada pengurangan pada 
tabel kontingensi asal, maka statistik uji X' dapzt 
digunakan. Apabila terjadi pengurangan yaitll C 
kategori dari peub~h asal menjadi r kategori 
(r<c), maka tingkat kesalahan tunggal untuk uji 
signifikansi antar .peubah respon dan peubah 
penjelas yang tereduksi tersebut (Q) di'xalikan 
dengan pengganda Bonferroni sesuai deligan tipe 
peubahoya. jeais-jenis pengganda Bonferroni 
berdasarkan tipe peubahnya : 
Peubah bebas 
Adalah pelibah yang tidak monoton secara 
a!ami atau dapat berflukuasi secara bebas. 
Contohnya hubungan antara usia (rispon) 
dan pendapatan (pecjclas). Peubah bebas 
biasanya menunjukan :uatu trend menaik 
pada awal dan selanjutnya menurun. 
Penduga-penduga seperti daerah pemukiman, 
bahasa, kelompok populasi dan status 
pernikahan merupakan peubah bebas. 
. Peubah lnonotonik 
Peubah monotonik adalah suatu peubah jika 
hubungan antara respon dan peubah 
penjelasnya monoton secara alami, yaitu jka 
peubah pe~ijelasnya . naik, maka peubah 
responnya juga naik, dan begitu pula 
sebaliknya. - - 
. Peubah Float 
Peubah float adalah peubah monotonik yaiig 
mengandung nilai kategorik yang posisi 
urutannva tidak ieias. 
Dimaoa c: jurnldi karegori asal 
I: jurnlah kategori setelah penggabungan
,lgorit~l:it yang diajukat~ Kass (1980) 
hauya dapat diterapkan pada data dengan 
peubah respon nominal. Nanlun dengan 
berbagai penyempurnaau dari sejunllah 
ilmuwan lai~se perti Magidson (SPSS Inc., 
1998), CHAlrJ dapat mengakomodazi peubah 
respon ordinal maupun kontinu. Penduga 
kontinu akan dikategorikan secara oto~natis 
oleh perangkat lunak pengolah data. Dimana 
terdapat penganltall yang kira-kira satrta 
banyaknya pada masing-masing kategori 
(SPSS Inc., 1998; StatSoft Inc., 
2002).AIgnr;tmx CHAlD terutama sesuai 
untuk mengeksplorasi data berukul-an bcs::.. 
Toit et.al. (1986) mengungkapkan bahwa 
CHAID tidak dapat diandalkan jika data 
berukuran kecil. CHAID menangani alnatan 
llilang dengan n~emperlakukannya sebagai 
kategori tersendiri (SPSS lnc., 1998). 
STUD1 KASUS 
Kasus 1 
Sisrem imun (siste~n kekebalan tubuli) 
adalah pertahanan tubuh melawan infeksi 
oleh rnikroorganisme yang bisa 
lnenyebabkan penyakit. Ketika sistern imun 
tidak berfungsi sebagaimana mestinya nwka 
seseorang dikatakan mengalami defisiensi 
imun. HIV (AIDS) adalah penyakit yang 
menyerang sistem itnun ydng sampdi saat ini 
Selum ditemukan obe: atau vaksi~mya. 
Data Departemen Kesehatan yang 
dikutip deri . dari www.~elita-ilmu.or.id 
menunjukkan bahwa di lndoseia tercatat 
2150 kasus AIDS sanlpai Juni 2001. Kasus-kasus 
AIDS ini dapat dikelo~npokkan 
menjadi beberapa kelornpok menurut krireria 
terte.ttu (peubah). Metode CHAID dapat : 
I . tvlengelon~pokkap~it~s ien petiderita tI1V 
Ice dalani tingkatan defisiensi itnun 
rinzan, sedang, dan herat berdasarkan 
karnk~eristikt erlentu. 
2. Meilelusuri karaktcristik yang paling 
signifikan dalam metnbed;~ltan tirtgkst 
delisicnsi inlun pasicn pe~lderita HI/. 
Perincian peubah yang dizunnkan dalam 
penelitian ini adalall : 
Y (rejpon) : Titlgkat Iletisicnsi IIIIUI: 
(1) berat 
(2) sednng 
(3) ringan 
XI : Terapi 
(0) Tidak Terapi 
(1) Terapi 
X2 : Usia 
(0) QO 
(1) 20-29 
(2) >=29 
X3 : Cara Penularan 
(0) Hubungan Scks 
(1) Narkoba Suntikan 
X4 : Status 
(0) Tidak Menikah 
(I) Meaikah 
X5 : Pendidikan 
(0) <=SMP 
(I) SMU 
(2) Perguruan Tinggi 
X6 : Pekerjaan 
(0) Non-pelnjar 
(1) Pelajcr 
Dendogram hasil pemisahan C:-IAID &pat 
dilihat pada Izmpiran 1. Nilai kritis ).ang 
ditetapkan untuk menlperoleh dendogram tersebut 
adalah 5%. Dari enam peubah X hanya tiga 
peubah yang pengaruhnya signifikan dalam 
mernbedakan tingkat defisiensi imun pasien yang 
terinfeksi HIV, yaitu X6 (pekerjaan), X3 (cara. 
penularan), dan XI (terapi). 
Pada tahap pertama pemisahan CHAID 
peubah yang paling sig9ifika11 dalan~ 
membedakan tingkat defisiensi itnun pasien 
adalah peubah pekerjaan. Berdasarkan 
pekerjaannya pasien terbagi menjadi kelompok 
terapi dan kelompok tidak terapi. Kategori terapi 
terbagi rnenjadi ke!ompok hubungan seks dan 
suntikan narkoba. Ada (iga pasicn non-pelajar 
yang medapat terapi terinfeksi berat kareid 
hubungan seks, dan seorang pasien non-pelajar 
yang mendapdt terapi terinfeltsi ringan rnelalui 
narkoba suntikan. 
I<asus 2 
CHAID populer dalam riset pemasaran 
kllususnya dalam segmentasi pasar. Studi kasus 
pada sektor automobil berikut ini adalah contoh 
analisis CI4AID. Tujudn penggunaan CHAID ini 
adalal~ untuk melihat peubah apa saja yang 
mempengaruhi perilakc respon. 
Perincian peubah yang digunakan adalah 
sebagai berikut:
ret~dah,.. ..sang 
I, ..., 7 (di :~tas 
35 ...... GI 
rendah,. ..,sang 
Produk 
X3 
rcndal~.,. .,s ax12 
X? Aktivitas O....,S (Sangat 
rendah,. . . .sang 
X5 Tipe 
geografis (c'esa, ..., 
metro olitan) 
tcreduksi rlrenjadi ernpat kategori akl~irh asil dari 
penggabungan kategori yang tidak signifikan 
(sama). Hasil akhir ditampilkan dala111 dendogram 
psda lampiran 2. Perhitungan sepenuhnya 
dilakukail dengan menggunakan soJhteare kllusus. 
XG 
X7 
X8 
DAFTAR PUSTAIU 
Du Toit, S.H.C, Steylr A.G.W and Stumpf 
R.H.1986. Graplricol fiplor~~iorDy aia 
,111alysis. Springer-Verlag. New York 
Erika; Yasmin. 2003. Metode Klasifikasi 
Berstruktur Pohon dengan Algoritrna 
CRUISE, QUEST, dan CHAID. Tesis. 
Jurusan Statistika, IPB. IPB. 
l.chniano, Thomas. Responder Profiling with 
. CHAID and De~endcncy Analysis, 
Struktur 
Keluarga 
ysia muda 
di keluarga 
Ukuran 
Mobil 
l~n~~://www.cmu.ed1u9. 99. 
hluninggar, N.S. 2001. Analisis l'ingkat 
Defisiensi -1rnun Pendcrita HIV 
I.....9 
(Single, ..., Ice! 
uarga inti) 
I, .... 9 (sangat 
rendah, ..., 
sangat tinggi) 
Kecil, sedang, 
besar 
- rnenggunakan Ordinal Logit dan Metode 
CHAID.Skripsi. Jurusan Statistika, IPB. 
IPB 
SPSS IIIC. 2002. Answer TreeTM 2.0 User's 
Guide. SPSS Inc., Chicago, IL. 
Statsoft, Inc.2002. Electronic Statistics 
Textbooks. Statsoft, Tulsa, OK. 
htt~:llwww.statsofli~~c.cornltextbooWstatl~o 
mc.html. [Mei 20021 
Dari sepuluh pebual~ penjelas, enam 
peubal~ berpengaruh signifikan pada 
penjualan produk automobil, yaitu XI, X2, 
X3, X4, X5, dan XG. Dari enam peubah 
tersebut, XI adalah peubah yang paling 
signifikan terhadap perilaku respon. Sehingga 
ditempatkan tepat dibawah node akar 
(respon). Dari sembilan kategori awal XI,
Respon CD-4 
Tingkat Defisiensi 
Imun 
27 Pasien 
(1) Berat 6 
(2) Sedang 13 
(3) Ilingan 8 
X6 : Pekerjaan 
Non-Pelajar1 
Mahasiswa 
8 Pasicn 
(2) Sedang 
(3) Ringerr 
.- 
X3: Penulara~i >:3: Penularan 
Suntikan 
I-Iub. Sex Narkoba 
3 Pasien 5 Pasien 
(I) 13erat 3 (1) Berat 0 
(2) Sedalig 0 (2) Sedang 0 
(3) Ringan !I (3) Ilingan 5 
X6 : Pekerjaan 
:Pelajar1 
Mahasiswa 
19 Pasien 
I 
X1 : Terapi 
Non-Terapi Terapi 
16 Pasien 3 Pasien 
(1) Berat 3 (1) Berat 0 
(2) Sedang 13 (2) Sedang 0 
(3) Ringan 0 (3) Ringan 3
Lampirn~7,.~ D ata Studi I<asus I 
. . 
ilCiY___i_LY____ -,.->a- p-s"s.-P-...-2.w.--,e*~. 
m[iTl.,_r..-m-m ;I_-F_liLXG_Ir-Y-. ----! .. .;L 0 ........ 
11. .1 ... !F,rn,rnrn 
1 - !rI. I ..... oII_a1___2 i 
L~l~II.ILY~m.m....... !~..-. .. i l. 
.......... mo.::m L!L._L..-rl___l__r 
1___5__iL_o_IELo____I(_~~K~mmi 
. . . . 
...... 7 il1X..? :mmEjF- L_..~. .. . ! 
l_F__?l___o_m.il_JIm 
C2o ,. _jl~II__lm!miE.. .i 
... .... : 
.............. . ..? 
........ 
.... 
. ....... 
- ..:mi-=__ 3i_1rnF ........ lIEZ7CT.r.. ilop-, __ jmIL . ,[ li , ,L 
. ........3........... 
lz2?-Elmar- 7L...I imr ........ .............. .... 2 ....... :
ISet~itl. 12 Mei 2003 
"Crossover Design dan Peoerapannya" 
Oleh: 
Dedi Alfin P GO3400008 
Yudistira Candra Kala GO3400022 
Risti Perrnxni GO3400034 
Didik Prianto GO3400046 
' Pranowo Gunito GO3400061 . 1 
PENDAHULUAN 
Latar Belakang 
Dalam menentukan 
perancangan percobaan, seringkali 
peneliti menghadapi kendala - kendala 
..r:,, ,. yatw. 
1) Terbatasnya ketersediaan unit 
pel.cobaan (subjekj dari segi jumiai-I 
maypun bizya yang dibutvhkan. 
2) Ragam yang terlalu besar antar 
subjek sehingga pendugaan 
tentang pengaruh perlakuan sulit 
dilakukan. 
Untuk mengatasi kendala - kendala 
tersebut dirancanglah suatu desain 
yaitu ~rossove~r esigns. 
Crossover Designs 
dikembangkan pertarna kali oleh Koch 
(1972). Analisis non-parametrik 
digunakan Koch untuk rancangan 
dengan 2 perlakuan dan 2 periode 
percobaan. Pada perkembangan 
re!??j'~'tyaz~, 5sisd ilak~kand engan 
aialisis ragam yang dikembangkan 
oleh Williams. 
Tujuan 
1) Mengetahui dasar penggunaan 
Crossover Designs. 
2) Mengetahui kelebihan dan 
kekurangan Crossover designs. 
jj ivieiai(*karr analissisis fis$ka pa-.z 
studi kasus yang menggunakan 
Crossover Designs sebagai 
rancangannya. 
TINJAUAN PUSTAKA - 
Crossover Design 
Crossover Designs adalah suatu 
rancangan perlakuan dimana setiap unit - 
peicsbaan isdbjekj digunakan secsa 
berulang - ulang dan menerirna seluruh 
perlakuan yang dicobakan. Sehingga 
pengujian pengamh perlakuan dilakukan 
berdasarkan keragarnan dalam subjek (Wifhin 
Subject Variability). Nama lain dari Crossover 
Designs antara lain Changeover Designs, 
(Multiple) time series Designs, Designs 
Involving Repeafed Measurements dan 
sebagainya. 
Rancangan ini banyak digunakan pada 
bidang biomedis, rnisalnya penelitian tentang 
penyembuhan penyakit. Crossover Designs 
dipilih untuk penelitian penyakit yang kronis 
(treatable but not curable; tidak pulih setelah 
perlakuan pertama), penyakit yang cukup 
langka (subjek yang tersedia sedikit) dan 
jumlah perlakuan yang sedikit. 
Crossover design juga banyak digunakan 
pada bidang pertanian, psikologi, dan 
peternakan. 
Carryover Effect 
Masalah utama dari Crossover Designs 
adalah C2$~y9'ieEr ffect atau disebut juga 
Residual Effect Canyover Effect rnuncul 
ketika perlakuan ~ada periode ke-p
dipengaruhi oleh perlakuan pada 
periode sebelumnya yaitu periode ke- 
(p-I). Kita bisa ambil contoh misalnya 
subjek diberikan perlakuan 'A" pada 
periode 1, dan perlakuan 'B" pada 
periode 2, maka total perlakuan pzda 
periode 2 yang diperoleh adalah: 
. Keterangan : Te : Total perlakuan pada periode 2 
te : Pengaruh langsung perlakuan B 
rA : Canyover Effect perlakuan A 
Spesifikasi Model ' ' 
Model yang digunakan adalah 
Grizzle's Model yaitu sebagai berikut: 
Dimana : 
k= 1,2,3 ,..., p i= 1,2, ..., S 
m-= 1,2,3 ,..., t j= 1,2, ..., n 
Keterangan : 
p = rataan umum 
= pengaruh sekuens ke-i 
bii = pengaruh subjek ke-j dlm sekilens 
ke-i 
7~=k pengaruh periode ke-k 
+,=pengaruh langsung perlakuan ke-m 
Lzpengaruh residual (Carryover 
.-=-4.. --I-!, 
CIlGbl) pc,tahba,, ~c-u~o 
Ada beberapa asumsi yang harus 
dipenuhi jraip~: 
1) b, menyebar Normal (0,02b) 
2) qkmenyebar Nonnal (0,02c) 
3) Var (YijM) = c2bc 02s 
d) Coy {y&;) = ~2b 
Design Balanced for Residual Effect 
Design Balanced for residual Effect 
dikembangkan oleh William untuk 
memisahkan total pengaruh perlakuan dari 
residual effecf. Sehingga direct effect dapat 
diketahui. 
Untuk rancangan dengan 3 perlakuan, 
setiap perlakuan didahului oleh tiap perlakuan 
lainnya sebanyak 2 kali. Desainnya adalah 
sebagai berikut: 
Garnbai 1. Design Salanced fzr Residual 
Effect 
Untuk jumlah perlakuan yang genap, 
dapat diperoleh dengan satu bujur sangkar 
latin. Untuk jumlah perlakuan yang ganjil, 
dibutuhkan 2 bujur sangkar latin untuk 
menyeimbangkan . 
Pengujian Parameter Model 
Hipotesis yang dapat diuji dari 
rancangan diatas yaitu pengaruh langsung 
perlakuan, periode, sekuens dan residual. 
Dengan menggunakan analisis ragam, kntuk 
hipotesisnya adalah sebagai berikui: 
1. Pengaruh langsung perlakuan. 
Ha:4,;42=1$3= ...=4 I=O 
(?erlahan ~d&5.2 ~?!@<!!!? 
terhadap respon yang diamati). 
HI : paling sedikit ada satu, dimana 
4mso 
2. Pengaruh Periode. 
Ho:~r=x2=...=~p=0 
(Periode tidak berpengaruh terhadap 
respon yang diamati) 
H, : paling sedikit ada satu dimana 
nksO
3. Pengaruh Sekuens. 
Ho:al=a;!= ...= as=O 
.(Sekuens tidak -berpengaruh 
terhadap 
respon yang diarnatj) 
HI : paling sedikit ada satu dirnana 
z also 
> 4. Carryover Effect 
i. H::hl:h;!= ...= ht-0 
(Carryover effect tidak 
berpengaruh terhadap respon 
yang diarnati) 
Hi : paling sedikit ada satu hm # 0 
Langkah - langkah analisis 
Williams dirnana jumlah perlakuan n=3 
dan jumlah bujur sangkar latin m=2 
adalah sebagai berikut. 
1. Menghitung nilai Tt. Rt, Ftdimana : 
TI =Total perlakuan t 
R, =Total hasil dari perlakuan 
pada periode setelah perlakuan 
t diberikan. 
F, =Total dari sekuens dimana 
perlakuan t adalah perlakuaii 
terakhir. 
2. Menghitung penduga pengaruh 
langsung perlakuan (i): 
f = rn11(n2 - II - 2); 
= (11' - II - l)T + IIR + F + (P, - ITG) 
dirnana : 
= !d3! k2y$:r:han, 
p, = total hasil pada periodel. 
Jumlah dari T untuk seluruh perlakuan 
harus tepat sama dengan no. 
3. Menghitung penduga pegaruh 
residual 
(P): 
i = nlll(l12 - I1 - 2); 
k=~+~-rlT-. 
Jurnlah dari R untuk seluruh perlakuan harus 
tipat sarna dengan no1 
4. Menghitung rata - rata pengaruh 
langsung, misalnya untuk perlakuan A: 
5. Analisis Ragam 
Faktor Koreksi : 
JK Sekuens : 
r.. I , 'pt [( +(r..,):?--][( r...),= +(r ...)::] k-1 .k E s.l' 
JK Periode : 
JK Direct (unadj) : 
z;-. 
JK Residual (adj) : 
Xi?' 
n11l3 (11' - 11 - 2) 
JK Direct jadj) : 
C f' - 2 
rn,15 ()I2 - I1 - l)(ll - 11 - 2) 
JK Residual (unadj) :
JK Total : 
i= 1,2, ..., s (periode) 
j= 1,2, ..., t (perlakuan) 
k= 1.2, ..., p (sekuens) 
Total jumlah kuadrat pengaruh 
perlakuan (JKP) dapat dihitung dengan 
2 alternatif: 
JKP = JKD(11r1flj+) JKR(fl4)a tau 
.JU = JKD(a4j) + JKA(tnia4) 
Kriteria pengujian: Untuk nilai a tertentu 
daerah penoia~anG Oa daiah 
DF,,i, > Fa. 
Uji Perbandingan Berganda Duncan 
Jika setelah d!akukan analisis 
ragam diperoleh keputusan banwa 
bahwa perlakuan berpengarlih nyata 
terhadap respon, akan dilanjutkan o!eh uji 
Duncan untuk mengetahui pasangan 
perlakuan mana yang memberikan pengaruh 
berbeda terhadap respon . Hipotesis yang 
diujikan adalah sebagai berikut 
Nilai kritis Duncan: 
Di mana: 
r, , G = nilai tabel Duncan pada taraf 
nyata a jumlah perlakuan p 
dengan derajat bebas galat db G. 
KTG = kuadrat tengah galat 
r = jumlah sekuens 
Kriteria pengujian: 
1 > Rp, tolak Ho 
BAHAN DAN METODE 
Bahan 
D- a..t.a~ v,a na. akan dianalisis adalah 
hasil penelitian tentang pengaruh pakan 
terhadap produksi susu dari sapi ternak. 
Disiiii diberikan 3 jenis p&an sebagai 
perlakuan: 
A=Roughage 
B=Limited grain 
C=Full grain 
Gata produksi susu dihitung per 
periode (6 minggu) dalam satuan pounds 
selama 3 periode. Unit percobaan yang 
digunakan adalah 6 sapi.
Metode 
Metode yang digunakan adalah 
crossover desfgn dengan 3 perlakuan 
dan 3 periode, dengan tahapan terlihat 
pada gambar di lampiran 1. 
sisaan ). Sehingga asumsi kebebasan galat 
dan kehomogenan galat dapat dipenuhi. 
HASlL DAN PEMBAHASAN 
Tabel 2. Produksi susu per periode 
Pengujian Asumsi 
Sebelum dilakukan analisis ragam ( 
ANQVP. ) terhadap prcdiik susu sapi 
perah, terlebih dahulu dilakukan uji 
asumsi kenormalan galat, kebebasan 
galat, dan kehomogenan ragam. 
Pengujian diatas dilakukan dengan 
menggunakan Minitab 13.20 For 
Wndows. 
Gambar 1. Plot Peluang Normal 
Residual 
Dari pengujian pada taraf nyata (a) 
5 %, diperoleh hasil nilai P-value>0.15. 
Ini berarti data menyebar normal. 
Oari pengujian juga diperoleh galat 
yng menyebar ad( dilihat dari plot 
Gambar 2. Plot Residual dan Nilai 
Dugaan 
Pada penelitian kali ini setiap subjek 
(sapi) menerima seluruh perlakuan dalam 3 
periode aimana 1 peiiode kilangsung 
selama 6 minggu. Antara 1 periode dengan 
periode yang lain tidak terdapat jeda waktu 
untuk menetralisir pengaruh perlakuan yang 
diberikan pada periode sebelumnya (washout 
penoiod). Subjek, selain dipengaruhi oeh 
periakuan yang dicobakan pada periode 
tersebut, dikhawatirkan juga dipengaruhi oleh 
pertakuan pada periode sebelumnya. 
Sehingga penga~h perlakuan harus dibagi 
mefijadi 2 ysitu pengaruh langsung periakuan 
tersebut (direct effecf) dan pengaruh residual 
dari perlakuan pada periode sebelumnya 
(residual effect). 
Analisis Ragam
~eterangan":= nyata pada taraf a.0.05 
Dan hasil ANOVA diatas diperoleh 
hasil bahwa sekuens berpengaruh 
nyata terhadap respon. Ini berarti 
kondisi sapi berpengaruh terhadap 
produk susunya, karena memang 
dalam 1 sekuens terdapat 1 stibjek. 
Kemudian untuk nilai JKP (Jumlah 
Kiiadiat Periode) dihikng sebiz:ai 
jumlah kuadrat antar periode dalam 1 
bujur sangkar yang sama, karena 
perlakuan dirancang dengan membagi 
data dalam 2 bujur sangkar latin 
sehingya pengaruh periode dihitung 
secara terpisah pada masing - masing 
bujur sangkar. 
Dengan adanya indikasi respon 
dipengaruhi residual effeii, pengaruh 
perlakuan dapat dihitung sebagai 
penjumlahan antara direct effect (unadj) 
dengan residual effect (adj) atau direct 
effect (ad! dengan residual effect 
(unadj), karena keadaan penjumlahan 
tersebut hasilnya sama. 
Untuk uji-F direct effect dan 
residual effect Kuadrat Tengah (KT) 
yang digunakan adalah Kuadrat 
Tengah adjusted. Pada kasus ini 
residual effect (adj) tidak krpengaruh 
nyata pada tarai nyata (a) 5%. Ini 
berarti pengaruh pemberian pakan 
pada periode sebelumnya tidak 
mempengarghi produk suswada 
periode selanjuinya. Ini cukup 
beralasan karena metabolisme pencernaan 
tidak membutuhkan waktu yang lama. 
Sedangkan untuk pengaruh langsung dari 
perlakuan (direct effect) berpengaruh nyata 
pada taraf (a) 5% ahnya jenis pakan yang 
diberikan pada sapi di periode tersebut akan 
mempengaruhi produk susu. 
Uji perbandingan Duncan 
Tabel 5. Hasil Uji Duncan 
(Nilai absolut selisih rataan pengaruh dua 
perlakuan) 
.Ke terangan: =nyaia paaa iarai u=O.O5 
*It =nyata pada taraf a=0.01 
Hasil uji perbandingan Duncan dapat 
memberikan keputusan mengenai perbedaan 
pengaruh perlakuan satu ' dengan yang 
lainnya. Pada taraf nyata a.0.01, perlakuan 
A dan B memberikan pengaruh yang tidak 
berbeda nyata terhadap respon. Ini berarii 
pwiga~hp emberian pakan jenis nughage 
dan limited grain pada sapi tidak berbeda 
nyata pada hasil prodcksi sum. Pada taraf 
nyata a=0.01, perlakuan B (limifed grain) dan 
perlakuan C (fvll grain) pengaruhnya juga 
tidak berbeda nyata terhadap hasil produksi 
susu. Tetapi pada taraf nyata yang sama 
i - ----x:L, ,L.,Vil"r.li.. a .A . h - - =. .- - . , C(an 
perlakuan C (full grain) berbeda nyata 
terhadap produksi susu. 
Pada taraf nyata u=0.05 seluruh 
perlakuan memberikan pengaruh yang 
berbeda nyata terhadap hasil produksi susu. 
Secara umurn hasil uji Duncan mendukung 
keputusan pada analisis ragam.
KESIMPULAN 
Crossover design dapat digunakan 
sebagai rancangan percobaan untuk 
percobaan dengan subjek yang 
terbatas dan jumlah perlakuan yang 
sedikit. 
Kekurangan rancangan ini adalah 
membutuhkan waktu penelitian yang 
panjang dan adanya residual effecf. 
Salah satu cara t!ntl~k rnenetralisir 
pengaruh residual effect adalah 
dengan washout period. Namun 
lamanya periode tersebut sulit untuk 
ditentukan. 
Cara lain untuk rnenetralisir 
residual effect adalah dengan 
penggunaan design balanced for 
res!dua! effed ~anira ncangannya 
mirip dengan rancangan bujur sangkar 
iztiii. 
Dari studi kasus penelitian 
pengaruh pakan ternak terhadap 
produksi susu sapi diperoleh 
kesimpulan bahwa residual effect tidak 
berpengaruh nyata pada taraf a=0.05. 
Hal tersebut mungkin disebabkan 
karena pengaruh perlakuan yang cepat 
berakhir (pencemaan rnakanan 
berlangsung cepat) atau pengaruh dari 
design balanced yang dapat 
menekalialisir residual effect. 
DAFTAR PUSTAKA 
?!arnhnn?ki; NKrishan, Lewis F.Carter. 
Hubert ~.~lalock,~1r9.7 5 .Applied 
Multivi?riafe Analysis and Experimental 
Designs. McGraw-Hill,lnc.New York. 
G. Cochran, William and Gertrude M. 
Cox. 1957 . Experirnenfal Designs. 
Second Edition. John Wiley & Sons,lnc. 
New York.
residual 
effect 
t 
I Penqum~ulanD ata 
- I  
$- I I 
* -, Tidak adai i 
... . 
- Ada 
fl  
I IV 
Uji Non-Parametrik 
Residual effect ANOVA 
pertima yang bisa 
dianaliiis. 
VII 
Design Balanced 
for Residualeffect 
cS?eleJsa i 
Garnbar 1. Bagan Alir Tahapan Cross Over Design
$ Mablah Merode Penelilian dan Telaah Pustaka 
PENDAHSJLUAN 
Latar Belakang 
Analisis regresi digunakan untuk 
melihat hubungan antara satu atau lebih 
peubah penjelas dengan peubah respon. 
Mode! regresi yang digunakan tergantung 
dari peubah respon yang digunakan. 
Peubah respon dapat bempa peubah 
kuantitatif maupun peubah kualitatif. Pada 
penelitian sosial peubah yang diamati 
sebagian besar mempakan data kategorik 
termasuk data bier. Model yang sering 
digunakan untuk menganalisis peubah 
respon berskala biner (dicotornous/binary) 
adalah model logit dan model probit 
(Greene, 1990). 
Model logit dan model probit 
~~empakaduna model regresi yang saying 
dapat menggantikan yang satu dengan 
yang lain untuk menganalisis peubah 
respon biner (Jeff Wu, 1985). Oleh karena 
itu sering hanya dibuat salah satu model 
tanpa mempertimbangkan model lain yang 
mungkin &an menghasilkan model yang 
lebii sesuai. 
Perbedaan antara model regresi 
linear dengan regresi probit logit 
diceminkan pada model parameter dan 
penggunaan asumsi. 
Tujuan 
Menemukan pendugaan paralnzter 
model terbaik yang bisa meneraugkan 
hubungan antara peubah respon kategorik 
dengan peubah penjelas. .. 
TINJAUAN PUSTAKA 
Menurut Hosiller dan Lemeshow 
(1989), peubah respon Y yang berkala 
biner dapat ditulis dengan dug riilai yaitu, 
Y=l jika kejadian sukses dan Y=O jika 
kejadian gagal, sehingga mengikuti 
sebaran Bernoulli dengan fungsi sebaran 
peluang : 
f(y = y, ) = niyl (I - 
diiana yi = {0,1) dan xi adalah peluang 
kejadian ke-i bernilai Y=l. Secara mum 
model pada regresi adalah 
y, = E(Y (x,)+&~,-oJIE(Y( xi) <+a 
dengan &i mempakan komponen acak. 
Dalam model regesi biner 
E(Y I xi) = xi dengan Var(Y1xi) = q(l-xi), 
sehingga model responnya menjadi yi= 
xi + si. Asumsi yang mendasari model - 
model regresi biner adalah bahwa peubah 
respon biner yi 
mempakan peubah yang saling bebas 
antara satu dengan lainnya (liang dan 
McCullagh, 1993). 
Galat ~i hanya menghasilkan dua 
nilai yaitu, si = 1 - jika yi=ldengan 
peluang isi dan E~ = -xi jika yi=O dengan 
peluang 1 - xi Sehingga ci menyebar 
binom dengan nilai tengah dan ragam
sebagai berikut (Hosmer dan Lemeshow, 
1989): . . 
E(ci) = (1 -ni)ni + (-ni)(l - xi) 
= 0 
Var(zi) = (1 -xi)2xi + (-n,)'(l - xi) 
= (Tri)(l - n,) 
Regresi Lozit 
Regresi logit mempakan teknis 
analisis data yang dapat menjelaskan 
Iiubungan antara peubah respon yang 
memili dua kategori dengan satu atau 
lebii peubah penjelas berskala kontinu 
atau kategori (Hosmer dan Lamesow, 
1989). 
Model Logit 
Model peluang regresi logistik 
dengan p faktor (peubah penjelas) adalah : 
Transformasi logit dari z(x) adalah 
diiana komponen g(x) yang me~pakan 
bagian komponen sistematik tersebut, 
dapat dituliskan dalam fungsi Smear dari 
peubah penjelas : 
Jika terhadap p peubah bebas 
dengan peubah ke-j merupakan peubah 
kategori dengan k nilai, maka diperlukan 
peubah boneka sebanyi~k k-1. Maka 
model transformasi logitnya menjadi : 
dimana : 
xj = peubah bebas ke-j dengan tingkatan kj 
kj., = peubah boneka 
Bj, = koefisien peubah boneka 
u = 1,2 ,..., k,.! 
Pendugaar; Parameter 
Dalain pendugaail parameter 
digunakan metode keiilungkinan 
maksimum (maximum likelihood) 
(Agresti, 1990). 
Dimana fungsi kemungkinan maksimum: 
untuk menduga Pi naka maksimumkan 
1(P) Untuk memudahkan perhitungan, 
dilakukan pendekatan logaritma, sehingga 
fungsi log kemungkinarhya sebagai 
berikut : 
Niiai dugaan Pi dapat diperoleh 
dengzn membuat turunan pertama L(P) 
terhadap Pi = 0, dengan i = 0,1:2,. . .,p. 
Untuk memperoleh penduga 
kemungkinan maksimum ba$ parameter-parameter 
dari model, secara teknis 
digunakan metode kuadrat terkecil 
terboboti secara iterative (iteratively 
reweighted least squares) (McCullagh dan 
Nelder, 1989). Progam SAS/STAT 
menyediakan prosedur 'Proc Logistic' 
untuk menghitung nilai-nilai dugaan P. 
Pengujian Parameter 
Pengujian terhadap parameter-parameter 
model dilakukan sebagai upaya 
untuk memeriksa kebaikan model. Uji 
kebaikan model merupakan suatu 
peineriksaan apakah nilai yang diduga 
dengan peubah di dslam model lebih baik 
atau akurat dibandingkan dengan model 
tanpa peubah tersebut (Hosmer dan
,.8 Lemeshow, 1989). Dengan kata lain 
f 
diadakan pengujian hipotesis statistik 
' - dalam menentukan apakah peubah-peubah 
. bebas dalam model mempunyai hubungan yang nyata dengan peubah resporaya. 
Menurut Hosmer dan Lemeshow 
(1989), uutuk mengetahui seluruh 
peubah penjeias di dalam model secara 
bersama-sama dapat digunakan uji nisbah 
kemungkinan yaitu uji G. 
Statistik ujinya berdasarkan hipotesis : 
H',:p1=p2= ...=pp= 0 
HI : paling sediiit ada satu pj 0 (j = 
1,2,...,p) 
Sedangkan rnmus umum untnk uji-G : 
Dengan kriteria uji : 
dengan = fungsi kemungkinan tanpa 
peubah penjelas dan Lk = hgsi 
kemungkinan dengan peubah penjelas. 
Statistik G mengikuti sebaran khi kuadrat 
dengan derajat bebas p. 
Sedangkan untuk uji nyata 
parameter secara parsial dapat digunakan 
uji-Wald. Statistikuji-Wald adalah : 
Hipotesis : 
H',:pj=o 
HI: p,no 
dengan kriteria uji : 
dengan Pj mempakan penduga dan 
s(jj) xdalah dugaan galat baku dari jj. 
Statistik uji Wald mengikuti sebaran 
normal baicu. 
Interpretasi Koefisien 
Menurut Hosmer dan Leineshow 
(1989), koefisien model logit ditulis 
sebagai pj = g(x+l) - g(x). Parameter pj 
mencerminkan pembahan dalam fungsi 
logit g(x) untuk pembahan satu nnjt 
peubah bebas x yang disebut log odds. 
Log odds nerupakan beda antara dua 
penduga logit yang dihitung pada dua nilai 
(misal x=a dan -x=b) yang dinotasikan 
sebagai : 
sedan&an penduga rasio-odh adalah: 
sehingga jib a-b=l maka yexp(P). 
Rasio-odds ini dapat diinterpretasikan 
sebagai kecenderungan Y=l pada x=l 
sebesar y kali dibmdingkan pada x-0. 
Model Probit 
Apabila diketahui peubah respon 
yang digunakan bempa data proporsi atau 
peubah biner, hgsi hubung yang dapat 
digunakan adalah fungsi hubung probit. 
Model probit adalah sebagai berikut : 
Dimana 0. adalah sebaran normal 
kumulatif, a dan P parameter yang hams 
diduga. & adalah sebuah peluang yang 
nilainya terletak antara 0 dan 1 untuk 
semua nilai x dan untuk semua ~lai 
parameter. 
Sebaran peluang yang digunakan 
dalam fungsi probit ini adalah sebaran
normal baku (McCullagh dan Nelder, 
1989). - 
diiana s adalah peubah acak yang 
menyebar normal baku dan i=1,2 ,..., n. 
sehingga 
g(x) = F"(7q) 
F adalah sebaran normal kumulatif dengan 
Interpretasi Koefisien 
Koefisien probit adalah pengad 
dari pe~bahans atu unit X pada pelluang 
normal lomulatif dari Y. Koefisien ini 
adalah pengamh pada Z scores. Tetapi 
peluang dari Y bnkan fungsi linear dari Z, 
tapi fungsi normal kumulatif dari Z. 
Pengaruh dari peNbahn satu unit X pada 
peluang Y tergantung pada level X, 
sehingga perlu dipili beberapa level' X 
sebagai tit& acuan. Interpretasi koefisien 
model probit dilakukan dengan meliiat 
tanda koefisien ifx sendiri. Iika koefisien 
yang diperoleh positif, maka 
kecenderungan Y=l lebi besar pada 
peubah bebas X=l dibandingkan dengan 
x=o. 
Kriteria Pemilihan Model Terbaik 
Beberapa ha1 yang menjadi 
kriteria dalam memilii model terbaik dari 
dua model yang diperbandingkan adalah 
dengan membandingkan antara dugaan 
dan amatan melalui Kuadrat Tengah Galat 
(KTG), sk 95% pendugaan parameter, 
nilai R' menggambarkan plot antara 
dugaan galat dengan dugaan X dan nilai 
kebaikan suainya ?. Selain itu, masing-masing 
model diuji dengan menggunakan 
uji Wald. 
KTG yang digunakan dalam ha1 ini adalah 
semakin kecil kuadrat tengah galat yang 
diperoleh maka model semakin baik. Jika 
z" (yi - ji)2 dapat digunakan sebagai 
i=l 
jumlah kuadrat galat, maka R~ dapat 
digunakan sebagai ukuran kebaikan suai 
model yaitu : 
Perbedaan Logit dan Probit 
Logistik berdasarkan pada peubah 
kditatif menggunakan sebaran binomial. 
Sedangkan probit berdasarkan peubah 
kualitatif menggunakan sebaran normal 
hulatif. Fungsi hubung pada regresi 
logit adalah fungsi hubung Iogit 
sedangkan pada probit adalah fimgsi 
hubung probit. Data yang palaing cocok 
untuk regresi logistik adalah yang bersifat 
observasional sedangkan pada probit 
bersifat experimental design. Dalam 
prakteknya hampir selalu menghasilkan 
has2 yang sama. Logit mungkin lebih 
mudah untuk diimterpretasikan. 
Perbedaan Regresi Linier dan Logistik 
Perbedaan antara regresi liier dan 
logistik terletak pada dua ha1 yaitu, 
1. Selang nilai E(Y1X). 
2. Model Regresinya. 
1. Regresi Liier : - co I EvI X)I + rn 
RegresiLogistik : 0 I E(Y I X) 5 1 
2. Regresi Linier : Y = E(Y I X) + E 
dimana : 
E(YIX) =Po+PlXl+ ...+Pd(,,, dan 
E-N(O, 2)
Regresi Logistik : Y = E(Y I X) + E 
dimaxla : E(Y I X) = rr (x) = e8(") 
1 + edx' 
dan g(X)=po+p,x~+...+P~X~ 
Kesimpulan 
Regresi Logit dan probit 
digunakan untuk mengetahui k~bungan 
antara peubah respon berskala bier 
(dicotomowhinary) dengan beberapa 
peubah penjelas yang bersifat kategorik 
atau kontinu. Model logit dan model 
probit me~pakand ua model regresi yang 
saling dzpat menggantikan yang satu 
dengan yang lain, Oleh karena itu sering 
hanya dibuat salah satu model tanpa 
niempertimbangkan model lain yang 
mungkin akan menghasilkan model yang 
lebii sesuai. 
Studi Kasus 
Judul :Kecenderungan Siswa SMTA 
Melanjutkan Pendidikan 
Oleh : ZulkamainPu:ungan (1995). 
Tujuan : 
Hasil KTG, R~ dan nilai % 
kesesuaian yang dihasilkan untuk 
mengecek kriteria model terbaik tidak 
terlalu berbeda jauh antara kedua model, 
tetapi nilai pendugaan parameter logistik 
lebii besar dari nilai pendugaan parameter 
model probit. 
Kita bisa menggunakan salah satu 
model saja tanpa aemperhatikan model 
yang lain. Hasil perhitungan yang lengkap 
dapat dilihat pada skripsi Zulkarnain 
Pulungan(l995). 
Daftar Pustaka 
Agresti, Alan. 1990. Categorical Data 
.Analysis. John Wiley and 
Sons,New York. 
Hosmer, D.W. dan S.Lemeshow. 1989. 
Applied Logistic Regression. John 
Wiley and Sons, New York. 
McCullagh, P. dan J.A. Nelder. 
1989.Generalized L i a r Models. 
Chapman, London. 
Pulungan, Zulkarnain. 1995. Keceude-rungan 
Siswa SMTA Melanjutkan 
Pendidikan. Skripsi. Jurusan 
Statistika FMPA IPB, Bogor. 
Membentuk model kecende-rungan 
siswa SbITA melanjutkan 
pendidikan ke tingkat yang lebih 
tinggi serta menentukan faktor - 
fakt~yra ng mempengaruhinya. 
Membandingkan model Logit dan 
Probit sehingga didapatkan model 
yang lebih sesuai. 
Kesimpulan 
Dari 15 peubah bebas 
(Independent Variables) yang terdiri dari 
peubah kontinu dan kategoi-k ternyata 
hanya 11 peubah ym-g dapat meajelaskan 
kecenderungan siswa SMTA melanjutkan 
ke tingkat yang lebii tinggi.
Tugas Metodoiogi Pcneiitian dan Telaah Pustaka Senin. 19 Mei 2003 
METODE AMMl 
"Additive Main Effects.and Multiplicative Interaction" 
Oleh: 
Helga Kurnia GO3400009 
Eneng Siti Saadah G73400023 
M Taufik Faizin G 33400035 
Edo Aprianto C 33400048 
Dian Kusumaningrum 653400062 
Dosen: 
Dr. Ir. Budi Susetyo, MSc. 
PENDAHULUAN 
Latar Belakang 
Percobaan lokasi ganda (multilocation) 
memegang perananpenting dalam pemuliaan 
tanaman (plant breeding) dan penelitian-penelitian 
lainnya di agronomi. Data yang 
diperoleh dari percobaan !okasi .ganda ini 
sedikitnya mempunyai tiga tujuan utama 
dalam bidang pertanian, yaitu: (a) Keakuratan 
pendugaan dan pemmalan hasil berdasarkan 
data percobaan yang terbatas. (b) 
-EAenentukan stabilitas hasil dan pola respon 
genotip atau perlakuan terhadap lingkungan. 
dan (c) Seleksi genotip atau perlakuan 
agronorni terbaik untuk dikembangbiakkan 
pada masa yang akan datang atau 
lingkungan yang baru. 
Faktor-faktor yang sering dilibatkan 
dalam percobaan lokasi ganda secara garis 
besamya dapat dibedakan menjadi dua yaitu 
genotip dan lokasi. iaktor lokasi sudah 
mencakup tempat (site), tahun, perlakuan 
agronomi (pemupukan, penyemprotan dan 
lainnya) atau kombinasinya. Secara umum. 
tiga sumber keragaman yaitu lokasi, genotip 
dan interaksi, merupakan ha1 yang penting 
dalam bidang pertanian. 
Analisis statistika yang biasa diterapkan 
pada percobaan uji daya hasil adalah analisis 
ragam (ANOVA), dan analisis komponen 
utama (AKU), penilaian terhadap kedua 
analisis ini dianggap kurang memadai dalarn 
menganalisis keefektifan struktur data yang 
kompleks. 
Analisis ragam merupakan suatu model 
aditif yang hanya menerangkan keefektifan 
pengaruh utama. Analisis ragam rnampu 
menguji interaksi tetapi tidak mampu 
menentukan pola genotip atau lingkungan 
untuk meningkatkan interaksi. Sedangkan 
pada analisis komponen utnma hanya efektif 
menjelaskan pengaruh interaks~ tanpa 
rnenerangkan pengaruh utamanya. 
Analisis ragam gabungan (combined 
analysis) merupakan salah satu alternative 
dalam percobaan lokasi ganda. Tetapi 
analisis ini hanya menjelaskan oengaruh 
nya'a atau tidaknya dari genotip dan 
lingl.ungan tanpa dapat menguraikan interaksi 
tersebut. 
Dengan demikian untuk memperoleh 
ga:nbaran secara lebih luas dari struktur data 
faktorial diperlukan pendekatan lain. 
Pendekatan ini dikenal dengan nama 
Pengaruh Utama lnteraksi Ganda (UIAG) 
atau AMMI (Additive Main Effects - and 
Multiplicative Interaction), yang merupakan 
gabungan dari pengaruh aditif pada analisi~: 
ragam dan pengaruh multiplikasi pada 
analisis komponen utama. 
Tujuan 
Tujuan penggunaan analisis AMMi 
adalah sebagai berikut: ..%. 
1.Sebagai analisis pendahuluan untuk 
mencari model yang tepat. Jika tidak ada 
satupun komponen interaksi yang nyata, 
maka pernodelan hanya dengan pengaruh 
aditif dengan analisis mgam. Sebaliknya 
jika pengaruh interaksi saja yang nyata, 
maka pemodelan sepenuhnya ganda yaitu 
dengan analisis komponen utanla. Jika 
semua komponen interaksi nyata berarti 
pengawh interaksi sangat kompleks, maka 
tidak dapat dilakukan pereduksian tanpa 
kehilangan informasi penting. 
2. Menjelaskan interaksi perlakuan dengan 
lingkungan. Metode biplot digunakan untuk 
membantu analisis AMMl dalam meringkas 
pola hubungan antar genotip, antar 
lingkungan, dan tiap genotip di lingkungan 
yang berbeda. 
3.Meningkatkan keakuratan dugaan respon 
interaksi genotip dengan lingkungan. 
Tujuan ketiga ini terlaksana jika hanya 
sedikit kornponen AMMI yang nyata pada uji- 
F analisis ragam dan tidak mencakup seluruh 
jumlah kuadrat interaksi. 
Dengan sedikitnya komponen yang nyata 
sama artinya dengan menyatakan bahwa 
jumlah kuadrat sisaannya hanya sebagai 
galat (noise) saja. Dengan menghilzngkan 
galat berarti lebih memperakurat dugaan 
respon per-genotip dengan lingkunaan 
(k?tepatan dugaannya rnakin besarl.
. ~ 3 
Tipe 2: Suatu genotip (galur) dikatakan 
stabil jika responnya terhadap bermacam 
lingkungan sejajar dengan rataan umum 
respon dari semua genotip (galur) uji di 
. setiap lingkungan. ~ipe3: Suatu genotip (galur) dikatakan 
stabil jika kuadrat tengah simpangan dsri 
model regresi respon genotip (galur) 
terhadap indeks lingkungan kecil 
Analisis Ragam AMMl 
Perbedaan analisis ragam model AMMl 
dengan analisis ragam model gabungan 
terletak pada kornponen genotip lingkungan 
(interaksi). Pada anslisis ragam model AMMI 
komponen genotip lingkungan (interaksi) 
diuraikan rnenjadi m buah KUI dan komponen 
sisaan. 
TZ~CI? ~ilai~KuadrTael naah Sumber Keragaman pada 
.__._..._. 
'KUI-m 
'Sisaan 
Galat gab. 
Total 
Analisis AMMl 
Analisis AMMl adalah suatu teknik 
analisis data percobaan dua faktor perlakuan 
dengan pengaruh utama bersifat aditif 
sedangkan pengaruh interaksi dimodelkan 
dengan model bilinier ganda (rnultiplikatif). 
Metode AMMl menguraikan pengaruh 
interaksi menjadi komponen-komponen 
utama interaksi (KUI). Gauch (1992) 
rnenyatakan kelebihan analisis AMMl 
dibandingkan dengan analisis kestabilan 
lainnya Linear Regression dan Principal 
Component Analysis meliputi kemampuannya 
- memahami gugus data yang kompleks 
terutama interaksi dan menduga lebih akurat 
walau dengan data sedikit. Untuk 
menginterpretasikan model AMMl digunakan 
biplot dan selang kepercayaan normal ganda. 
Pemodelan Analisis AMMl 
Langkah awal untuk rnemulai analisis 
AMMl adalah melihat pengarun aditii genotip 
dan lingkungan masing-rnasihg menggunakan 
analisis ragam dan kemudian dibuat bentul; 
multiplikatif interaksi genotip dan lingkungan 
dengan menggunakan analisis komponen 
utama. 
aentuk multiplikatii didapal dengan 
menggunakan intersKs! penolio dengan 
(~ngkungan menjadi komponen utama 
interaksi (KUI) yang rnernberikan 
kemungkinan penyedaan secara sekuens~al 
dimulai dari tidak adanya KUI sampai seluruh 
KUI masuk ke dalam model. . 
Penguraian pengaruh interaksi genotip 
dengan lingkungan mengikuti persamaan 
sebagai berikut: 
..._,._._. 
g+l-1-2(m) 
pengurangan 
l(g-l)(f-l) 
Igr-1 
dengan m adalah banyaknya KUI yang nyata 
pada taraf 5%. 
Sehingga model linear percobaan lokasi 
ganda dengan menggunakan AMMl rnenjadi: 
........ 
JKKUI-rn 
JKSisaan 
JKG 
, = respon dari amatan genotip ke-j,. . .. 
pada lingkunsan ke-j pada keiompok 
ke-k 
p = rataan umum 
Qklj = pengaruh dari kelompok ke-k 
tersarang pada lingkungan ke-j. 
k=1.2.3 .... r 
a; = pengaruh dari genotip ke-i, i=1.2. ... g 
p, = pengaruh dari lingkungan ke-j. 
j=1.2 .... 1 & = nilai singular ke-n (akar dri dari 
z'z)a,> a2 >... 2 am 
, = pengaruh ganda genotip ke-i rnelalui 
komponen bilinier ke-n 
S . = pengaruh ganda lingkungan ke-j I" 
melalui komponen bilinier ke-n 
6.. = simpangan dari pemodelan bilinier 
!I 
E,, = pengaruh gaiat dari genotip ke-i di 
lingkungan ke-j dalam kelornpok ke-k 
m = banyaknya KUI yang nyata. 
Pendugaan Parameter 
Dalarn pernodelan AMMl pengaruh 
utarna kedua faktor diduga dengan analisis 
ragarn (dengan kendala k=O dan [i=O). 
Sernentara parameter pernodeiarl bilinier 
diduga darl penguraian nilai singular ternadap 
matriks dugaan pengaruh ~nreraks~ iZi 
dengan Z dideilnisikan sebagai berlkG1.
Y, = rata-rata respon genotip ke-i di 
lingkungan ke-j 
= penduga nilai tengah bagi 11 
&, = penduga bagi ai 
p, = penduga bagi 
Perhitungan Jumlah Kuadrat 
Jumlah kuadrat interaksi dapat 
diturunkan sebagai berikut : 
JK(ij) = rC~.l .I 
JK(ij) = rz[x+, ,i-b, -p,) 
JK(ij)=rCbv+.y-.v,-y,)? . 
JK(ij) = r teras (Z'Zj 
Bardasarkan teorema pada aljabar 
matriks bahwa terzs suatu matriks sama 
dengan jumlah seluruh akar ciri matriks 
tersebut (Znl n ) 
Sehingga jumlah kuadrat untuk 
pengaruh interaksi komponen ke-n adalah 
akar ciri ke-n pada pemodelan bilinier 
tersebut (1 ) jika analisis ragam dilakukan 
terhadap data rataan -per-genotip X 
lingkungan. 
Jika analisis ragam dilakukan terhadap 
data sebenarnya maka jumlah kuadrat adalah 
banyaknya ulangan kali akar ciri ke-n (ran). 
Pengujian masing-masing komponen ini 
dilakukan dengan membandingkan terhadap 
kuadrat tengsh gabungan (Bradu & Gabriel, 
1974: Gauch. 1988). 
Penguraian Derajat Kebebasan 
Derajat bebas untuk setiap komponen 
adalah g+l-!-2n (Gauch. 1988), 
(g=banyaknya genotip. I=banyaknya 
lingkungan). Besaran derajat bebas 
diturunkan berdasarkan jumlah parameter 
yang diduga dikurangi dengan jurnlah 
kendala. Untuk banyaknya parameter yang 
diduga adalah g+I-1 sedangkan banyaknya 
kendala untuk komponen ke-2n. Untuk 
kendala yang dipertimbangkan yaik 
kenormalan dan keortogonalan. 
Penguraian Nilai Singular (SVD = Singular 
Valce Decomposition) 
Penguraian nilai singular matriks 
digunakan untuk menduga pengaruh interaksi 
genotip dan lingkungan. Penguraian nilai 
si~gular untuk matriks pengaruh interaksi Z 
sebagaimana dikemukakan oleh Greenacre 
(1984) adalah dengan memodelkan matriks Z 
seoagai berikut: 
dengan: 
Z = ~atriksia!a terpusat berukuran nxp 
.L = Matriks diagonal berukuran mxm , 
dengan diagonal utamanya berupa akar 
dari akar ciri positif dari Z'Z. 
U = Matriks ortonormal (k'A = U'U = I,). 
Kolom-kolom matriks A = {a,.al.a, ,.... anj 
adalah vektor-vektor ciri Z'Z sedangkan U 
diperoieh dengan: 
Nilai Komponen AMMl 
Pengaruh rnultiplikatif (ganda) genotip 
ke-i diduga dengan menggunakan unsur-unsur 
dari matriks A pada baris ke-i kolom ke-n, 
sedangkan untuk penduga bagi pengaruh 
multiplikatif lingkungan ke-j merupakan unsur 
matriks U pada baris ke-j kolom ke-n, dengan 
kendala : 
2 
1. ZV,=,ZS', ,, = 1 , untuk n = 
. . . 
2. ~v,,v,=,E S,,;=S 0,,,u ,n.t uk nfn 
Unsur diagonal matriks L merupakan 
penduga untuk A,,. Skor komponen ke-n 
genotip ke-i adalah v, dan untuk 
P 
lingkungan ke-j adalah An sj,, . Penduga 
untuk pengaruh interaksinya yaitu antara 
genotip dan lingkungan merupakan perkalian 
nilai komponen genotip dengan nilai 
komponen lingkungan. 
Jika didefinisikan 1,' (OSkSl) adalah 
matriks diagonal yang unsur-unsur 
diagonalnya merilpakan elemen matriks L'. 
demikian juga untuk matriks L'.~ sehingga 
G=UL~se rta H= A L'.~, maka hasil penguraian 
nilai singular dituliskan dalam bentuk Z= G H' 
dengan demikian nilai komponen untuk 
genotip adalah kolom-kolom untuk matriks G 
sedangkan nilai komponen untuk lingkungan 
adalah kolom-kolom matriks H. Nilai k yang 
digunakan dalam analisis AMMl adalah %. 
Fenentuan Banyaknya Komponen AMMI 
Jika beberapa kolom , pertama dari 
matriks G dan H sudah dapat msnduga Z 
dengan baik maka banyak kolom matriks G 
dan H dapat dikurangi. 
Metod- vang digunakan untuk 
menentukan banyaknya sumbu Komponen 
urama sebagat Denauga (menentukan banyak
KUI yang dipertahankan dalam model AMMI) 
dikenal ada 2 metode yaitu: Metode 
Keberhasilan Total (posfdictive success) dan 
Metode Keberhasilan Ramalan (predictive 
success) (Gauch. 1998; Crossa. 1990: Naqhit 
et.al1.. 1992). Adapun karakteristik dari kedua 
metode tersebut adalah sebagai berikut: 
1. Posldicfive success (keberhasilan total) 
Metode ini berhubungan dengan 
kernampuan suatu model tereduksi untuk 
menduga data yang digunakan dalam 
membangun model tersebut. 
Sedangkan banyaknya komponen AMMl 
sesuai dengan banyaknya sumbu KUI yang 
nyata pada uji-F analisis ragarn. Untuk sumbu 
KUI yang tidak berbeda nyata pada taraf 
nyata 0.05 digabungkan dengan sisaan. 
Metode ini diusulkan oleh Gollob (1986) yang 
selanjutnya direkornendasikan oleh Gauch 
(1988). Tabel analisis AMMl merupakan 
perluasan dari label penguraian jumlah 
kuadrat interaksi menjadi beberapa jumlah 
kuadrat KUI. Jumlah kuadrat Kill ke-n 
merupakan perkalian dari banyaknya ulangan 
dengan akar ciri ke-n (r&). Dengan derajat 
bebas masing-masing KUI yaitu g+l-2n-1 
(g=banyaknya genotip. I=banyaknya 
lingkungan). Komponen . yang tidak nyata 
pada taraf nyata yang dikehendaki 
digabungkan ke dalam komponen sisaan. 
2. Prediclive success (keberhasilan ramalan) 
Metode ini berhubungan dengan 
kemampuan suatu model dugaan untuk 
memprediksi data lain yang sejenis tetapi 
tidak digunakan dalarn membangun model 
tersebut (data validasi). 
Penentuan banyaknya sumbu komponen 
utama dilakukan dengan validasi silang yaitu 
rnernbagi data menjadi 2 kelompok, satu 
kelompok untuk membangun model dan 
kelompok lain dipakai untuk validasi 
(menentukkan kuadrat selisih). Teknik ini 
dilakukan berulang-ulang, pada tiap ulangan 
dibangun model dengan sumbu komponen 
utama. 
Banyaknya KUI yang terbaik adalah 
rataan akar kuadrat tengah sisaan (RMSPD= 
Root Mean Square Predictive Different) dari 
data validasi paling kecil. 
dimana: 
n X. = nilai dugaan berdasarkdn model 
!I 
= nilai pengamatan un'uk validasi 
model 
I 
g = banyaknya genotip 
I = banyaknya lingkungan 
Kesesuaian MO&I 
Kesesuaian suatu model dilihat dari 
RMSE (Root Mean Square Error) yang 
mencerrninkan rata-rata simpangan yang 
tidak dapat ditrrangkan dalam model. RMSE 
dapat dirumuskan sebagai akar kuadrat dari 
proporsi JK sisaan terhadap banyaknya 
pengamatan. 
Model dikatakan sesuai jika nilai 
RMSEC5%. 
lnterpretasi Metode AMMl 
41at yang digunakan untuk 
menginterpretasikan hasil dari rnetode AMMl 
adalah metode biplot. Biplo! adalah plot 
antara satu kolom G dengan-kolom G yang 
lain ditampilkan bersama-sama dengan plot 
kolom H dengan kolom H yang lain yang" 
bersesuaian dengan kolom G yang diplot 
(Jollif. 1986). 
Metode ini pada dasarnya merupakan 
upaya untuk memberikan peragaan grafik dari 
suatu matriks dalam suatu plot dengan 
menumpangtindihkan vektor-vektor dalarn 
ruang dimensi 2 yang mewakili vektor 
lingkungan matriks tersebut. 
Biplot hasil dari rnetode AMMI adalah 
dengan membuat biplot AMMll yaitu plot 
antara penga~h utama (ra!aan respon) 
dengan skor (nilai) komponen utarna pertarna 
(KUII) dan mernbuat biplot AMMI2 yaitu plot 
an:ara skor (nilai) KUII dengan sko~KUI2. 
jika KU12 nyata. 
Bi~lot AMMll menunjukkan adaptasi 
genotib. Genotip yang beradaptasi paling baik 
pada suatu lingkungan adalah genotip yang 
memiliki rata-rata hasil tinggi dan skor 
interaksi memiliki tanda yang sama. 
lnterpretasi biplot AMMll ini adalah bagi titik 
yang sejenis jarak iitik amatan berdasarkan 
sumbu datar menunjukkan perbedaan 
pengaruh utarna amatan-amatan tersebut, 
sedangkan jarak titik-titik amatan berdasarkan 
surnbu tegak menunjukkan perbedaan 
pengardh interaksinya atau perbedaan 
kesensitifannya terhadap lokasi (Zobel et 
a1..1988). 
Biplot AMMI2 hanya menggambarkan 
pengaruh inteiaksi antara cen0tip dan 
lingkungan, biplot ini bisa diaunakai! unVJk 
menganalisis kestabilan genotic. lr8terPretaSi 
biplot AMMI2 ini bagi titik-titik arnaian se)enis 
vaitu bahv~a iaraK titik-titin amatan 
menuniukkan ~eroedaan~ nteraks! 
"
Pengaruh interaksi genotip dan 
lingkungan ditunjukkan dengan besarnya 
jarak antara tifik amatan terhadap pusat 
koordinat. Genotip dan lingkungan dikatakan 
saling berinteraksi khas jika interaksi antara 
keduanya paling besar dibandingkan 
terhadap yang lain. Ini bisa dilihat dengan 
semakin dekat jarak antara kedua titik, juga 
dengan semakin kecilnya sudut yang 
terbentuk. 
Bagi titik-titik amatan yang berlainan 
jellis, biplot AMMI2 menunjukkan bagaimana 
titik-tiGk amatan tersebut saling berinteraksi. 
Titik-titik amatan yang arahnya sama berarti 
titk-titik amatan tersebut berinteraksi positif 
(saling rnenunjang), sedangkan titik-titik yang 
arahnya berbeda menunjukkan titik-titik yang 
berinteraksi negatif. 
Untuk mengetahui genotip yang stabil 
digunakan pendekatan sebaran normal ganda 
pada nilai KUll genotip yang digambarkan 
dengan menggunakan ellips. Genotip yang 
terle!ak didalam ellips dikategorikan stabil 
(McLaren dan Chardhary. 1995). Jika 
koordinat suatu genotip semakin dekat 
dengan pusat koordinatnya berarti genotip 
tersebut semakin stabil terhadap perubahan 
lingkungan. Persamaan ellips dapat diuraikan 
sebagai berikut 
dengan : 
R, = sumbu mayor (jari-jari pailjang) 
R2 = surnbu minor (.ia ri-.ja ri pendek) 
P = banyaknya peubah yang 
digunakan 
N = banyaknya pengamatan 
1 = akar ciri pertama 
/2 = akar ciri kedua dari matriks ragam 
peragam S 
F,,..,, = nilai sebaran F (dari sebaran F) 
dengan dbl=p dan db2=n-p pada 
taraf a tertentu. 
STUD1 KASUS 
Bahan dan Metode 
Data yang digunakan dalam penelitian ini 
adalah data sekunder yang diperoleh dari 
Balai Penslitian Tanaman Padi Sukamandi. 
Pada penelitian ini enam belas galur padi 
dipilih dan ditanam pada sepuluh lingkungan. 
Penelitian dilakukan pada musim kemarau 
1993 dan musim hujan 1994. rancangan yang 
digunakan pada masing-masing lingkungan 
adalah rancangan acak kelompok dengan tiga 
ulangan dengan peubah respon yang diamati 
.. adalah daya hasil (tonlha). 
Pada metode AMMI, dengan 
menggunakan keberhasilan ramalan, 
pengolahan data dimulai dengan menerapkan 
metode kuadrat terkecil dengan analisis 
ragam, kemudian pengaruh interaksinya 
dianalisis dengan analisis komponen utama 
(penguraian nilai singular). 
Dengan menggunakan keberhasilan 
ramalan, langkah-langkah yang dilakukan 
adalah: 
1. Data yang terdiri dari tiga ulangan dibagll' 
menjadi dua bagian. Bagian pertama 
(terdiri dari dua ulangan) untuk pemodelan 
dengan 320 pengamatan dan bagian kedua 
untuk validasi dengan 160 pengamatan. 
2.Mencari nilai RMSPD dad masing-masing 
model AMMl yaitu AMMlO jika pengaruh 
inleraksi tidak dimasukkan. AMMll jika 
KUll dimasukkan. AMMI2 jika KUll dan 
KU12 dimasukkan dan seterusnya. Model 
terbaik diperoleh jika nilai RMSPD model 
tersebut paling kecil. 
3.Metode AMMl menggunakan data yang 
terdiri dari tiga ulangan. Pendugaan model 
teriiaik dipilih berdasarkan model AMMl 
dari hasil validasi silang. 
Untuk melihat pengaruh utama dan 
penga~hin teraksi dari hasil metode AMMl 
digambarkan dalam biplot antara rata-rata 
hasil dengan skor KUII. Untuk melihat galur-galur 
yang dikategorikan relatif stabil dibuat 
biplot antara skor KUli dengan KU17. - - 
Anaiisis Data 
Hasil analisis data disajikan pada Tabel 
4. Dari Tabel 4 terlihat bahwa lingkungan 2 
(Kuningan musim kemarau) memberikan rata-rata 
daya hasil paling tinggi dibandingkan 
dengan lingkungan yang lain. Sedangkan 
lingkungan 10 (Jakenan musim hujan) 
memberikan rata-rata daya hasil paling 
rendah. Jika diamati dari keragaman datanya 
baik dari simoangan baku maupufi hamparan. 
lingkungan 3 (Batang musim kemarau) 
mempunyai keragaman paling besar 
dibandingkar dengan lingkungan yang lain
Tabel 4. Oerkripsi Oala Oaya Haril Padi- 
Lioghunga, 
Ralam Median Simpanpan 
Analisis Ragam 
bak" 
Sebelum dilakukan analisis ragarn, 
dilakukan pengujian asumsi pada data yang 
digu iakan. Dari hasii perigujian, semua 
asurnsi yang rnendasari analisis ragam 
terpenuhi. 
Kelompok 
Galut (G) 11.51 
Lingk (L) 
G'L 
Gal31 
Hasil analisis ragarn disajikan pada 
Tabel 5. berdasarkan nilai peluang, terlihat 
bahwa galur mernpunyai pengaruh yang 
sangat nyata pada taraf a=5%. Hal ini 
menunjukkan bahwa paling sedikit ada satu 
galur yang memberikan respon yang berbeda 
dengan galur lain. 
Pengaruh lingkungan berbeda nyata 
pada taraf a=5%. Ini berarti bahwa secara 
umurn lingkungan mempengaruhi daya hasil 
padi. lnteraksi galur dan lingkungan 
memberikan hasil nyata pada a=5%. Hal ini 
rnenunjukkan baha paling sedikit ada satu 
galur yang rnernberikan respon berbeda pada 
lingkungan yang berbeda. 
Metode AMMl 
Penguraian pengaruh interaksi dengan 
menggunakan penguraian nilai singular dari 
data dugaan pengaruh interaksi 
menghasilkan 9 akar ciri hukan nol, yaitu 
14.40. 6.35, 2.91. 1.46, 1.09. 0.85, 0.71, 0.15. 
dan 0.08. Sehingga dalarn modei AMMl 
jumlah kuadrat interaksi diuraikan menjadi 9 
KUI, yang diperoleh dari hasil kali akar ciri 
dengan banyaknya ulangan. 
Tabel 6. Analiris RagamAMM14 Berdasarkan 
Keberharilan Tala1 
JK 
.0.57 
11.51 
1309.75 
43.21 
19.OE 
8.73 
4.58 
8.63 
47.37 
1453.14 
Sumbel 
Kelompok 
Galur(GJ 
Lingk (L) 
KUll 
KUl2 
KU13 
KU14 
Silaan 
Galal 
Total 
P 
0.00 
0.00 
0.00 
0.00 
0.00 
0.00 
0.04 
KT 
0.29 
0.77 
145.53 
1.88 
0.91 
0.46 
0.26 
0.16 
0.15 
db 
2 
15 
9 
23 
21 
19 
17 
55 
320 
479 
F hit 
1.91 
5.15 
977.05 
12.81 
6.09 
3.08 
1.73 
Berdasarkan kriteria keberhasilan total, 
yaitu dengan menggunakan uji F. 
dipertahankan 4 sumbu KUI pada model. 
Karena dari 9 KUI hanya 4 KUI yang nyata 
pada taraf 0.05. sehingga model dugaannya 
adalah AMM14 (pengaruh galur dan 
lingkungan ditarnbah KUI1, KU12. KU13, dan 
KU14). Kontribusi dari keempat KUi Jerhadap 
total JK interaksi adalah 89.73%. sedangkan 
sisaan mempunyai kontribusi sebesar 10.27% 
dari JK interaksi (Tabel 6). -:. 
Tabel 7. Rata-rata Nilai RMSPD 
Model 
RMSPD 
AMMIO 0.55 
Berdasarkan kriteria keberinasilan 
rarnalan (validasi silang), model AMMI2 
(pengaruh galur dan lingkungan ditamhah 
KUH dan KU12) rnenunjukkan deviasi terkecil 
dari validasi data (RMSPD = 0.45). Sehingga 
model ini rnenghasilkan nilai dugaan daya 
yang terbaik (Tabel 7). 
Dari dua kriteria pemilihan model, model 
yang dipilih berdasarkan kriteria keberhasilan 
rarnalan yang mengandung lebih sedikit 
derajat bebas daripada model yang dipilih 
berdasarkan kriteria keberhasilan total. 
Pada Tabel 6 terlihat bahwa KUII. KU12. 
KU13, dan KU14 berbeda nyata pada taraf 
a=5%. Tetapi nilai rata-rata RMSPD untuk 
model AMM13. AMM14 dan seterusnya 
rnenaik. Sehingga jika KU13 dan KU14 
dimasukkan ke model, ini tidak akan 
dnenarnbah keakuraian model, tetapi akarl 
rnenarnbah cemaran Dada model.
~abe8l. Analiris Ragam AMM12 berdasarkan Keberhasilan 
Lingk (L) 
KUll 0.00 
KU12 
Siraan 
Pada analisis ragam AMMi2, JK 
perlakuan dibagi menjadi dua komponen. 
Untuk model (pengaruh utama galur dan 
lingkungan. KUll dan KU12) sebejar 98.46% 
dengan derajat bebas 68 dan untuk sisaan 
sebesar 1.54% dengan derajat bebas 91 
(Tabel 8). Hasil ini menunjukkan bahwa 
prosedur validasi model mel~galokasikan 
1.54% JK perlakuan sisaan (cemaran yang 
tidak terkendali) yang nilainya sulit diduga. . 
Akar kuadrat tengah sisaan (RMSE = 
Root Mean Square Error) berhubungan 
dengan kesesuaian model. Nilai ini 
merupakan akar kuadrat JK sisaan dioagi 
banyaknya amatan (480). Pada model AMM12 
nilai RMSE = O.Zlton/ha atau 3.7% dari 
rataan umum (5.69 tonha). Hasil ini 
merupakan rata-rata bimpangan interaksi 
yang tidak dapat diterangkan oleh model 
AMMi2. ha1 ini menunjukkan bahwa model 
AMM12 cukup baik karena nilai RMSE kurang 
dari 5=/o (Gauch 1992). 
lnterpretasi AMMI 
Berdasarkan hasil metode AMMll 
keragaman total data asal yang dapat 
diterangkan oleh bidang biplot antara ralaan 
dengan KUll sebesar 97.1% dari JK 
perlakuan (Gambar 1). Sumbu rataan dari 
Garnbar i menjelaskan pengaruh utama dari 
galur dan lingkungan. Ditinjau dari galur. 
terlihat bahwa galur A. B, E, F, G, J, dan L 
memberikan daya hasil yang lebih tinggi dari 
rataan umum (5.69 tonlha) sedangkan galur 
lainnya memberikan hasil yang lebih rendah 
dari rataan umum. Untuk pemilihan galur 
yang berdaya hasil lebih tinggi juga dapat 
dilihat nilai rataan hasil (Tabel 9). Dari Tabel 
9, galur yang berdaya hasil paling tinggi 
adalah J (S2823-7d-8-lb) yaitu 6.01 tonlha. 
KUll tandanya sama dan berinteraksi negatif 
jika tandanya berbeda. Pada Gambar 1, galur 
D. E. F. G. H. I. K. M, dan 0 berinteraksi 
positif dengan lingkungan 1. 2, 5. 8, 9. dan 
10. Sedangkan galur A. B. C. J. L. N, dan P 
berinteraksi positif dengan lingkungan 6 dan 
7. 
Uari hasil metode AMMl2 keragaman 
total pengaruh interaksi data asal yang dapat 
diterangkan oleh bidang bipiol antara KUil 
dengan KU12 sebesar 74.2% dari JK interaksi 
atau sebesar 98.46% dari perlakuan. Galur 
yang dapat dikategorikan tidak stabil adalah 
A, I, K, L. M. N, dan P. Galur ini selain tidak 
stabil, potensi hasilnya juga rendah, kecuali 
untuk galur A dan L yang potensi hasilnya di 
atas rata-rata (5.89 dan 5.84 tonlha). 
Sedangkan galur yang lain relatif stabil (Tabel 
9 dan Gambar 2). 
Tabel 9. Pa 
-Kode A 
B 
C 
D 
E 
F 
G 
H 
I 
J 
K 
L 
hl 
N 
0 
P 
neter Duqaan Model AMMI2 
~~~ia~i 1 RrzF I KUl1 I KU12 
o 7" 1 5 89 1 -0.61 1 -0.29 
Keragaman 
Ditinjau dari lingkungan, lingkungan 2 
Pada galur yang relatif stabil, galur G 
memiliki nilai kestabilan paling baik (jarak titik 
dan 9 memberikan hasii yaw paling tinggi amatan dengan titik (0,0) paling kecil), Galur 
dibandingkan dengan lingkungan lain. 
ini lugs memberikan basil yang cllkup tinggi 
Sedangkan lingkungan 10 memberikan hasii yaitu 5.8 tonlha. Galrlr lain yang relatif stabil 
yang paling rendah. dan berdaya hasil cukup tinggi adalah J dan B 
dengan rata-rata daya hasil masing-masing 
Galur dengan nilai KUll mendekati no1 adalah 6,01 dan 5,92 
m. e- rnounvai interaksi yanq kecil terhadap 
lingkLngan. Kombinasi bai"r dan lingkungan 
mempunyai pengaruh interaksi .lositiijika nilai 
6'
Makalah ipb

Makalah ipb

  • 1.
    : i .. Singular Value Decomposition Principal component Analysis Factor Analysis 1, A & Cluster Analysis , , ,--~<-- Discriminant Analysis ,/ :; , . / ' 'l-~i~lo~tn al~sis i ; &..~- ~,~.,, L.' CG~espondencAe nalysis '4.,.. , . : >, . . , . .~,' x~ Chi-square Automatic Interaction Detector ' I Cross over Design , -. .~ 1. Logit arid Probit Model J ,i i Additivd Main Effects and Multip. licative ~ Interaction
  • 2.
    ., :, .,:' Tugas Metodo:cgi Penelitian dan Telaah Pustaka Senin, 28 April 2003 PENGURAIAN (SINGULAR VALUE DECOMPOSITION) Oleh Markus Puthut Harmiko GO3400001 D:vi Putri Kurniasari 503400012 ' Ferry Cahyadi Putra G034C0027 Ahmad Khpnali GO340003 8 Samsul Bachri GO3400052 GO3400066 PENDAH ULUAN diiana m adalah banyaknya objek pengamata? dan n adalah banyaknys Latar Belakang peubah bebasnya, maka penerapan Daiam andisis peubah Ganda konsep SVD terhadap matriks X adalah: . (multivariate) terdapat berbagai macam metode analisis yang digunakan. nxp = nu, h rAp Beberapa metode analisis didasarkan pada penguraian nilai singular (Singblar dimana, Value Decomposition) seperti biplot, U'U = A'A = I, I, adalah aidisis korespondensi, analisis matriks identitas berdiensi r kompoaen utama, AMMI - dan L adalah matriks diago& sebagainya: Oleh karena itu beikuran r x r dengan unsur-pemahaman mengenai SVD hams unsur diagonalnya adalah akar benar-benar diiasai. kuadrat dari akar ciri X'X atau XX' diiana, Tujuzn SVD bertujuan menguraikan suatu dx>fi;>...>fi matriks X beiukuran mxn yang Unsur-unsur diagonal matriks L merupakan matriks data peubah ganda ini disebut nilai singular dari yang terkoreksi terhadap rataannya matriks X dimana m addah banyaknya objek Kolom matriks A adalah vektor pengarnatan dan n adasah banyaknya ciri dari matriks X'X atau XX' . peubah bebasnya, menjadi 3 buah yzng berpadanan dengan X matrik yang salah satunya merupakan r adalah rank dari X natriks nilai singular matriks X. Algoritrnn TJ3JAUAN PUS'CAKA Misalkan kita mempunyai data yang kita buat dalarn matriks X Singular Value Decompo~itio~i peubah I pmb~hz psubahp SVD mempakan proses penguraian suatu matriks menjadi 3 buah matriks yang salah satunya adalah matriks nilai . . singular matriks asal. Misalkan ada suatu matriks asal X bemkuran ;x p I yang sudah tefkoreksi terhadap ralaanya ,'. ,. L. - - - - ~ ~ ~ ~ ~.. . ~ i
  • 3.
    Knsus 2 X=[21 -21 2 -41 . Cari akar ciri dan vektor ciri Vektor ciri cuhp dicari vl saja, karena nilai -1 dan -1 tidak a . . ada Searle, Shayle R 1982. Matrix Algebra Useful for Statistic. John Wiley & Sons. Jolliffe, I.T. 1986. Principal Componetlt Analysis. Springer- Verlag. New York.
  • 4.
    MAKALAH METODE PENELITIANDAN TELAAH PUSTAKA "AVALISIS KOMPONEN UTAMA" Disusun oleh : Sri Widiastuti GO3400002 Indah Mariana GO3400014 Intan Ratna Juwita GO3400028 Puspasari GO3400039 Wisnu Hendro Prastiawan GO3400053 Tresna Puspita Arum Sari GO3400067 JURUSAN STATISTIKA FAKULTAS MATEMATIICA DAN ILMU PENGETAHUAN ALAM INSTITUT PERTANIAN BOGOR 2003
  • 5.
    PENDAHULUAN Latar'Belakang AnalisisPeubah Ganda mempakan analisis Statistika yang menyertakan lebih dari satu peubah. Dalam analisis Peubah Ganda sering terjadi multikolinearitas, masalah n~ultikolinearitas muncul ketika ierdapat korelasi diantara peubah bebasnya, sehingga ha1 ini &an mempengaruhi ragam dari penduga kuadrat terkecil dan pendugaan model yang dibuat (Wetherill,l986). Salah satu cara untuk mengatasi multikolinearitas adalah dengan menggunakan Analisis Komponen Utama. Analisis ini merupakan Analisis Peubah Ganda yang tertua, diperkenalkan oleh Garson (1901), selanjutnya dikembangkan oleh Hotelling (1933), Rao (1964) et al. Konsep Analisis Komponen Utama yang diterapkan terhadap vektor acak dikembangkan oleh hotelling (1933), sedangkan Rao menghadirkan penerapan Analisis Komponen Utama diberbagai bidang terapan juga memberikan landasan matematika formal yang lebih kokoh, sebagai salah satu teknik Analisis Peubah Ganda peaggunaan Analisis Komponen Utama semakin meluas dengan semakin mudahnya mendapatkan fasilitas komputasi berkecepatan tinggi oleh para peneliti. Tujuan Tujuan penggunaan Analisis Komponen Utama adalah : 1. Identifikasi peubah baru yang mendasari data peubah ganda. 2. Mereduksi banyaknya dimensi himpunan peubah yang biasanya terdiri atas peubah yang banyak dan saling berkorelasi menjadi peubah-peubah baru yang tidak . berkorelasi dengan mempertahankan sebanyak mungkin keragaman dalam himpunan data tersebut. 3. Menghilangkan peubah yang mempunyai sumbangan informasi yang relatif kecil. PEMBAHASAN Komponem utama Komponen utama adalah kombinasi liner dari peubah yang diamati. Analisis Komponen Utama Analisis Komponen Utama adalah metode Analisis Peubah Ganda yang bertujuan memperkecil dimensi peubah asal sehingga diperoleh peubah baru ( komponen utama) yang tidak saling berkorelasi tetapi menyimpan sebagian besar infoqnasi yang terkandung pada peubah asal (Morisson,l976). Misalkan XI,X~.,. .,Xp adalah peubah acak yang menyebar menurut sebaran tertentu dengan vektor nilai tengah p dan matriks peragam C. Komponen Utama merupakk kombinasi liner terboboti dari peubah-peubh asal yang mampu menerangkan data secara maksimum. Komponen Utama ke-j dari p peubah dapat dinyatakan sebagai : dan keragaman Komponen Utama ke-j adalah : Var (Yj) = 4; j=l,?., ...,p
  • 6.
    A , .A adalah akar ciri yang diperoleh dari persaman : .. 11-AjII=O dimana A, 2 42 ... 2 A, 20. vektor ciri -a sebagai pembobot dari transformasi linear peubah asal diperoleh dari persamaan : (I-Aj I) gj =O Total keragaman konlponen utama adalah A,+;12+...+Ap = tr(1) dan persentase total keragaman data yang mampu diterangkan oleh komponen utama ke-j adalah : (A jltr a)) x 100% - Persentase keragaman dianggap cukup mewakili total keragaman jika data 75% atau lebih (Morisson,l978). Korelasi antara peubah ke-I dengan komponen utama ke-j dinyatakan sebagai : rxiyj = (ai &)/si dengan A, adalah akar ciri matriks peragam S (penduga C ). Pembangkitan komponen utama tergantung dari jenis data asal yang digunakan. Apabila data yang digunakan memdjki satuan pengukuran yang sama maka digunakan matriks peragam. Jika syarat di atas tidak terpenuhi, maka digunakan matriks korelasi. Komponen Utama jrang dihasilkan dengan menggunakan matriks peragam merupakan kombinasi linear dari peubah asal X. Komponen Utamanya ditulis dalam bentuk K=f(X). Komponen Utama yang dibangkitkan dari matriks korelasi merupakan kombinasi linear nilai baku Z dari peubah asal yaitu K=f(Z), dan Z adalah fungsi dari X, dimana Regresi Komponen Utama Regresi Komponen Utama merupakan regresi metode kuadrat terkecil antara skor Komponen Utama sebagai peubah bebas dan peubah tak bebasnya. Analisis Komponen Utama yang dibangkitkan dari matriks ragam peragam Tahapan : 1. Membuat matriks ragam peragam (C) dari ragam setiap peubah. 2. Mencari akar ciri (A) dan vektor ciri (aj dari matriks ragam peragam C. 3. Menentukan persmaan Komponen Utama dari vektor ciri. 4. Menentukan Komponen Utama yang akan dipilih berdasarkan total keragaman yang dapat diterangkan oleh Komponen Utama tersebut. 5. Mencari peubah yang paling berpengaruh dari setiap Komponen Utamanya. Komponen Utama yang dibangkitkan dari matriks korelasi Secara garis besar, tahap-tahap Komponen Utaina yang dibangkitkan dari matriks korelasi sama dengan Komponen Utama yang dibangkitkan dari matriks ragam peragam. Hanya saja data asal ditransformasi terlebih dahulu menjadi nilai baku 2, melaiui - transformasi : Z = xi -x S Sedangkan matriks pertama yang dibuat adalah matriks korelasi p .
  • 7.
    Tahapan selanjutnya sama2. Membuat matriks korelasi p dengan Komponen Utarna dari matriks ragam peragam.. 1,OO -0,310 -0,361 Dalam banyak literatur seringkali 0,1~0 1,00 - 0,7431 dianjurkan untuk menggunakan matriks korelasi. -0,361 -G,743 1,00 Contoh Penerapan Pendugaan Produksi Basah Kulit Batang Kina oleh Tatang Suryana (1997). Penerapan Analisis Komponen Utama yang dilakukan oleh Tatang Suryana yaitu dalam bidang perkebunan, yang bertujuan membuat model untuk menduga produksi basah Satang kina. Peubah-peubah yang digunakan untuk menduga produksi basah batang kina adalah lilit batang (XI) yang diukur dengan satuan cm , bobot polong (X2) diukur dengan satuan gram dan tebal plong (X3) diukur dengan satuan mm. Contoh yang diamati sebanyak n=40 3. Mencari pasangan akar ciri-vektor i (A a) dari matriks korelasi tersebut + Akar ciri : ~,=2,8623 a,=o,ioi7 &=0,036 +1 0V.e5k8to0r7 c]i ri [. : 0.41 ],PI] -0.5809 , 0.396 -0.5704 -0.821 0.008 . . + Keragaman total : Keragaman total didapat melalui ;1 rtinius -x loo%, dimara, *(P) tr(p) mempakan jumlah diagonal matriks korelasi. Karena satuan ukuran dan keragamm data asal tid& sama, maka Keragaman total untuk KUI= EX 100Y~95 ,4 % 3 KOmponen Utama ' dibangkitkan dari Keragaman total untuk KU2= 0.1017 x 100Y3~,4 % matriks korelasi. 3 Dari basil regresi data asal rnenggun&an Keragaman total untuk IC'J3- 0,036 x 100% 1.2 % 3 MKT terdapat gejala muitikolinearitas dengan persamaan : Secara ringkas dapat disajikan dengan tabel : Y=-0.4729+0.1341Xl-1.3940X~-0.0205X3 1 Variabel KU A I " I anapan-1 anapan nu ; -. . .. - . .. ' : menjadi 22 I, -.0. 5809 I 1. Mentranstorrr'asl aara asal x nilai baku 2, dengan cara: -, xu Total & .= - ' s, I kemgarnan 1% ( i=l, 2, ..., 40 j= l,2,3. 4. Persamaan KU : Keragaman 95.4 98.8 100 kurnulatif
  • 8.
    5. Menentukan variabelYang mendominasi dari setiap KU . Dari persamaan di atas dapat diketahui bahwa komponen utama pertama didominasi semua peubah bebas dalam penentuan pendugaan produksi kina. Komponen Utama ke dua didominasi oleh peubah tebal polong dibanding peubah yang lain. Kolnponen Utama ke tiga didominasi peuba5 lilit batang dan Sobot polong. 6. Menentukan Komponen Utama yang akan dipilih berdasarkan keragaman total. Berdasarkan kergaman total yang diperoleh, Komponen-Utama yang dipilih untuk tujuan analisis lebih lanjut adalah hanya Komponen Utama pertama, karena memiliki keragaman total yang sangat tinggi, yaitu mencapai 95.4 %. Untuk tujuan analisis selanjutnya, yaitu untuk meregresikan Komponen Utama dengan peubah tak bebas, maka perlu dihitung skor komponen dari setiap pengamatan tersebvt. Nilai skor Komponen Utama diperoleh dengan memasukkar nilai dari skor baku melalui persamaaan 1,2, dan 3. Regresi Komponen Utama Model persamaati regresi Komponen Utamanya adalah : Y = 1.4694-0.2928KJJ!+O.233KUt+O.6396KU~ (4) Analisis signifikan koefisien regresi Berdasarkan tabel di at& hanya konstanta dan koefisien ' Komponen Utama pertama saja yang nyata secara statistik pada taraf a =0.05. Hal ini sesuai dengan poin 6 pada tahap-tahap proses Analisis Komponen Utama di atas. Sehingga untuk analisis selanjutnya persarnaan regresi KU yang digunakan adalah : Transformasi balik ke persamaan dengan menggunakan peubah asal dengan memanfaatkan hubungan yang ada antara KU,, dengan peubah baku 21, Z*, 23, kemudian mensubstitusikan persamaan (1) ke persamaan (5), maka diperoleh persamaan regresi dalam peubah baku sbb : Y = 1.4694+1.700Zt+0.171~+0.16702, (6) Analisis signifikan koefisien parsial baku regresi KU disajikan dalam tabel berikut. ( Variabel ] Koef. 1 Galat ( t-hitung I ZI & z3 0.1700 0.1701 0.i670 baku 0.0008 0.0008 0.0008 6.0070 6.0106 5.9010 Berdasarkan tabel di atas semua koefisi,en nyata secara statistik pada taraf nyata a =0.05. Untuk memperoleh persamaan penduga produksi basah batang kina dengan menggunakan peubah asli, maka persamaan regresi Komponen Utama baku (6) ditransformasi ke peubah asalnya menjadi : Y=0.6973+0.0323X~+1.2507X~+O.1805X~
  • 9.
    Contoh output komputer: a Dependent Variable: Y Principal Component Analysis Eigenanalysis of the correlation matrix Eigenvalue 2.862 0.1017 0.0360 Proportion 95.4 3.4 1.2 Cumulative 95.4 98.8 100 Variabel PC1 PC2 FC3 2 1 -0.5807 0.4110 0.7030 22 --0.5809 0.3960 -0.7110 23 -0.5704 -0.8210 0.0080 Interpretasi: o Proportion menerangkan besarnya keragaman yang dapat diterangkan oleh komponen ke-I. o Cumulative rnenerangkan. keragaman kumulatif yang dapat diterangkan oleh komponen utama ke-1 sampai ke-j. o Eigenvalue adalah nilai akar ciri dari matriks korelasi. I - I ! KESIMPULAN I 1. AKU adalah salah satu cara untuk rnengatasi multikolinearitas. 2. AKU adalah analisis pecbah ganda Yang bertujuan memperkecil dimensi peubah asal sehingga diperoleh peubah baru yang, tidak saling berkorelasi. 3. AKU dapat dibangkitkan dari matriks ragam peragam dan matriks korelasi. DAFTAR PUSTAKA Alam, M Choiril. 2001. Analisis Data Rancangan Percobaan, Peubah Ganda dun Riset Operasi. Bogor Morrison, D.F. 1990. Multivariate Siatislical Mgthod .Ed. ke.3. McGrawHill Publishing Company. Singapura. Siswadi dan Suharjo, Budi. 1998. Analisis Eksplorasi Data Peubah Ganda. Jurusan Matematika, FMIPA, ~ogor Suryana. Tatang. 1997. Skipsi Pendugaan ' Produksi Basah- Kulif Batang Kina. Jurusan Statistika, FMIPA IPB. Bogor Wetherill, G.B. 1986. Regression Analysis With Application. Chapmant And Hall. New York
  • 10.
    1 ANALISIS FAKTOR I J1L 111 rnenitikberatkan ~enielasans tluktur korelasinva I I PENDAHULUAN daripada menjeiask% keragaman (chatfieid, 1980). PeMaan antara analisis faktor denm Latar Belakang Disusun oleh: I. Titin Agustin N (G03400003) 4. Firman Alamsynh (G03400040) 2. Dale Habiby (G03400015) 5. Agus Kurniawan (G03400054) 3. Michael Hawari (G034G0029) 6. Ruqayah Biuti H (G0340006S) Dosen: Dr. Ir. Budi Susetyo, M.Sc analisis statistik lainnya yang mempela&i hubungan antara peubah tak bebas adalal~ bahwa dalain analisis faktor tidak ~nengukur Dalam beberapa penelitian serin&ali variabel bebas secara langsung: melainkan kits menjunpai data yang memiliki bawak diukur melalui peubah-peubah tak bebasnya. peubah yang &pat diamati. Jika kita n~enganalisis data tersebut, maka kita akan ~,~j~~~ rnene~nui kesulitan baik pada proses perl~itungan maupun pengambil& kesimpulan karena data yang digunakanterlalu banyak. Pcubah-peubah yang terlibat dalam malisis dapat saja memiliki korelasi atau berhubungan Jii ada kernungkinan beberapa peubah niembdus ha1 yang sama pada keadaan sebenamya atau dengal kata .lain beberapa peubah mewakili peubah yang lebih mum. Charles Spearman sebagai orang yang nlenernukan permasalahan hi telah 1 memperkenalkan pertama kali taliun 1904. Selanjutnya diembangkan ole11 Tllustona (1947), Thornson (195 l), Lawley (1940, 1941) dan laimya. 1 Dengan adanya perkembangan teknologi khususnya komputer mernbangkitkan ~ninat baru untuk mendalami analisis faktor baik ! secara twritis atau komputerisasi, karena sebelumnya penggunaan metode-nietode statistika yang terganggv karena keterbatasan I dala~np erlutungan menghalangi perkembangan I analisis fsktor. Analisis faktor dapat disebut sebagai perluasan dari analisis ko~npnnen utama yakni 111etode yang iilenyesuaikan strklur yang ada dengan data. Keduanya dapat ditrunpilkan sebagai usaha untuk pendekatan matriks peragrun . Analisis Ko~nponen Utanla - mengekstrasi selnua keragaman dazi peubah asal sedangkan Analisis faktor lebih Tujuan utama dari analisis faktor adalal~: 1. Dnra sunrnrariza~ion, yaitu ~nenemukan suatu bentuk hubungan internal dari szbuah himpunan peubah-peubah dengan melakukan uji korelasi. 2. Dua reduction, yaitu proses ~nernbuat peubah - baru yaifu faktor untuk rnengganthn sejurnlah peubal~ tertentu setelah dilakukan uji korelasi. Analisis faktor Analisis faktor rnerupakan suatu inetode peuhah gdnda yang bertujuan menjelaskan hubungan antara banyak peubah berkorelasi yang sulit diamati ~nenjadi peubah yang leb~h sedikit dari jumlah peubah awal. Dengan kata lain dapat menggan~barkan peraganl dlantan banyak peubah-peubah yang sebenamya dapal dibagi kedalam beberapa sifat yang mendamr naniun tidak dapat terobservas~ kuantitasnya. Sifat yaRg mendasar nrunul tidak dapac terobsewasi kuantitasnya iru disebut raktor Faktor adalah ku~npulanp eubah-peubal~d lmana faktor tersebut !etap mencern~~nkanpe uball-peubah aslinya.
  • 11.
    Vektor acak xdengan p komponen n~emili ram p dan peragam (wvarian) matriks X' Model faktor dibentuk agar x n~enjadili nier dan bergantung dengan beberapa pe11Ea11 acak yang tidak &pat ter~bse~asi, ?aim Fl, Fa ..., F, yacg disebut faktor mum dan p sumber kcragaman dari EI. EL .... E, yang disebut error atau spesifik faklor (faktor khustis). Pada umumnya model analisis faklor adalah: XI-fi=LllF1+Ll~F2++..L. lmF,,,+&l XZ-/II=LZIFI+LIIF...Z ++L zmFm+~z Xp-~p=LptFl+Lp~F2++L...~ .+E, Atau dalam bentuk matriks menjadi keterangan: A', = vektor acak yang menulihi p komponen - pada amatan ke-i 1, = rataan dari pcubd~k e-i Lv = bobot faktor Vakror loading) dari yeubal~ ke-i dan faktor ke-j 4 = faktor bersama (conmlon factor) yang kc-j E , = sisaan atau error dari penbah ke-i (specgc factor) dcilgan asumsi: 1. F dan E dingb ebas. Cov (F.E)= 0 2. E (E) = 0, COV (E) = yf, dim yf ahlali nlatriks diagonal 3. E(F)=O,Cov@)=I blodel di atas ~nembawa implikasi pada strukSu matriks peragam x menjadi: atau var (s;)= Pi, + .. +I?;- + (rl; Dari pcrsaliaan di alas terlihat bah~a vektor a& s; ditemgkan ole11 dua kolnponen yaitu hj dan q~;. Ko~nponen h" disebut komunalitas (w~nmunalitp) yang rnenunjukkan proporsi keraganlan dari vektor acak s; yang diterangkan oleh m faktor bersama,, dun- hj ~nerupakan jumlah kuadtat dari bobot faktor vektor acak y pa& 1n faklor kana. Sedangkan yl, disebut sebagai ragarn spesifik yang merupakan proporsi ragam dari vehlor acak %pang disebabkan oleh faklor spesifiknpa. Pendugaan Parameter Peily=lesaim nasdah analisis fakTor secara tepat adalah pikejaan yang sulit Karena itu digunakan pendekatan dan sudut pandang yang beM-beda dalam menglladapi masalah ini. Ada tiga metode yang paling banpak digunakan &lam menduga parameter yaitu metode komponen utama, metode factor utama, dan metode kemungkinan maksimum. 1. Metode Komponen Utama Komponen utarna analisis faktor dari ma& korelasi wntoh berukuran psp yang memiliki pasangan akar ciri dan vekor ciri (-4 ,;1),(i2,;2)....,(iP,ip) di~nana A .. f?2 fb22 ... 2 /2, 2 0 dan iil < p dengan 111 adalal~ jurnlal~ faktor yang digunakan dan p adalal~ banyaknya peubah yang diamati. Sedangkan matriks penduga bobot faktor dituliskan sebagai berwt: Penduga .. .ragam spesifik didapat d?i matriks R - LL' , selungga ,=I dal diperoleh pendekam bagi R adalah R= it+@ Untuk melakukan.i&idasi model, kebelum a menerima L dan @ sebagai penduga alrlur, perlu dihitung matriks sisaan: ~e=s R- (ii'++) dan besamn dari unsur-unsumya diperllatih menggunakan ukuran statistik tertentu. Jika Res
  • 13.
    kumpulan peubal~ men~punyaibobot sang tinggi sedangkan pada faktor lain Lxmpulan peuball tersebut memiliki bobot faktor yang rendah. Dengan kata laii rotasi faktor pa& umwa dilakvkan untuk mendapat sedikit peubah dengan nilai mu&k loading yang tetbesar seda'gkan yang lain kecil atan wl. Pada analisis faktor terdapat dua tipe rotasi I faktor yaitu mtasi ortogopal dan rotasi ncn- I ortogonal (oblique). Rotasi Ortogonal Perotasian scan ortogom1 dil&c dengan tetap mempertahankan keortogonalan faklor-faktor yang berimplikasi pa& tidak adanya perklaan antara bobot patern dengan bobot siruktur. Jika i adalal~ ma& berukuran pm yang ~nerupakan pendugaan bobot faktor, mah i' = LT dimarta TT' = TIT = I - Dimana i' adalall matriks bobot faktor setelah dirotasi. Agar tercapai suatu stdqur yang sededlana &!am kolom-kolom matriks bobot iaklor, pada rotasi ortogonal dilakukan pemaksimumin kcragaman dari hadrat bobot faktor masing-lasing peubah Hasil ,-erotasian ini tidak akan menyebabkan perubahan proporsi keragaman peubal~ yang dijelaskan oleh m faklor bersama (Slanna, 1996). Beberapa rotasi yang temsuk rotasi ortogonal adaldl rotasi varinrax, quar~in~meq,u anrax danparsin~ar. 2. Roiasi Non-Ortogonal (Oblique) Rotasi ini digunakan jika setelah kita melakukan rotasi 017ogoml lerludap matriks loading faktor. faktor masill sulit diiterprestasikan. Pada rotasi nondrtogonal (oblique) diasumsikan ballwva faktor-fakor yang dillasilkan saling berkort:asi. Pada ntcdel Mlor oblique terdapat dua bidang koordimt yang berbeda. yaitu bidang koordirzt oblique asal yang disebut kcordinat p~ner dan bidang koordinat oblique yang setelah diiotasi disebut rejerence. Untuk masing-masing bidang kcordim! terdapat bobot palern dan bobot smk~ur. Pada aichii proses, yang diinterp;etasikan adalal~ matliks bobat rekrence. Beberzpa rotasi yang temusuk rotasi obliqce adalall rotasi pronlax, procusles dan l~arris-kaiser. Studi Kasus 1. Analisis Kepuasan Pelanggan Indosatnet, oleh Yunita dkk, ZOO1 Penizlasan: Penelitian ini dilakukul di Boeor denean data primer. Pengwnpulan data -dil& dengan cara menyebar kuisonti terlladap responden yang telah terpilih. Pemiliiun responden dilakdcan dengan metode purpasi~e yaitu membagi responden menjadi liga criteria vaitu wmet wd~aanlinstamid an rumall -mgga. ~ainii - dilakukan a& dipemleh infonnasi yang mewakili selucuh pelanggan IhDOSATnet Bogor. Dalam . l~al ini kuisoner rnerupakan alat bantu dalan~ survey. Populasi yng diallati adalal~ pelangan .lndosal?et bogor. Adapun tujuan peneliiian ini addah: menge~~fuaik tor-faktor utama apa saja yang menentukan kepuasan pel^^^ INDOSATneL Dari sekian pertanyaan yang dizjukan kepada responden untuk mengetallui kepuasru~ pclangp INDOSATnet tedladap layanan INDOSATnet baik layanan reknis maupun nonteknis, akan ditentukan faktor-faktor u@ma spa saja yang mewqkili kberapa pertanyam tersebut. Untuk tujuan tersebur akan dilakuk?~ Analisis Faker. Peubzh-peubah yang diamati untuk adisis faktor adalal~: XI = kualitas Prcduk X2 = tarif prcduk X3 = kecepatan akses X4 = Kesesuaian nilai produk dengan tarif X5 = ketersediaan infonnasi produk XG = proses pendarkan X7 = i~fonnasi tagihan X8 = nletode pembayaran X9 = penangacan kelb X10= profesionalisme petilgas Setiap peubah diberi nilai 1-5, yaitu: 1= sangat kurang ( vety poor) 2= kurang @€or) 3= biasa(mcderate) 4= bagus(gocd) 5= sangat bagus(very good)
  • 14.
    Analisis fakTor diawalidengan mengeksplorasi korelasi &tar peubali. Jika korelasi antar dua peubah lebih besar 0.5 maka dapat disim?ub. bahtva antar dua paubah tersebut - berhubungan Pada matrik korelasi (tabel 1) dapa! dilihat adanya kore1asiyw.g cukup besar antara peubah X9 @en-kelulan pelangan) dan X10 (profesionaEsme petugas; yaitu sebesar 0.741. Adanya korelasi yang tinggi antara peubal~ X9 dan X10 men,&dikasikart bahwa tingginya profesionalisme dai petngas akan ditunjukkm dari penanganan kelul~anp elarygan yang cepat dan baik dari petugas, sellhgga dua peubah ini dapat dipandang sebagai sat11 kelompok (fakior). Korelasi antar puball yang lain relative rendah, bWan terdapat peubali yang tidak berkorelasi dengan peubah yang lain Pendugaan bobot faktor (loading) dilakvkan dengan metode komponen ufama karena asulnsi data sebaran normal terpenulli atau mtriks kodasi semua peubal~ beniiat singular selungga tidak memungkinkan untuk ntenggunakan metode kemungkinan maksirnun~. Dengan ~iietode ko~nponen utama, peneiltuan jumlal~ faktor yang akan digunakan ditentukan ole11 : = faktor yang akar cirinya lebih besar dari satu. Dari 1.zbel 2 dapat ditentukan bal~rva Inn)% 5 fkklor yang akan digunakan Secara Eksplorasi, gambar diba*wl~in i niemperlillalkan tanipilan plot scree diagram kesepuluh akar ciri yang diiiasilkan ole11 metode faktor utama. Dari gambar Iersebuf &pat ditentukan adanya 5 akar ciri yang dipakai unw -. analisis (akar ciri yang lebili besar dari 1). I Jika dilillat dari tabel 2, ahci ri tersebat 1. telal~ ri~enjelaskan keragaiian dala asal sebesar 80.098% pada proporsi hun~ulatif untuk nilai koniponen 5 yang berarti 5 faktor yang di,& Keragaman yang dillasilkan oleli masing-masing faktor belum menyebar. dengan meraa Niai keragaman f&<or.perrama &up tin&@ (sebesar 2.525) jii dibandingkan dengan kwmpat faktor lainnya yang mempmyai proporsi keragaman yang cukup kecil. Hal ini menandakan ball~va sebagian beszr peubah asal mengumpul pada faktor tersebut. Untdc rnempermudali interprestasi terlladap faktor akan dilakukan rotasi faktor vatinax. Hal ini dilakukan !-arena pada label 5 terlihat baliwa loadin2 fakror memililii nilai loading yang han~pir sama. Dai tabel 4 ditunjukkan dengan melakukan mtasi varimax, hasil -yang. diperolelr me~nperiillat!an nilai keragan~an menyebar merata anlar faktor dengan proporsi keraganlan yang tidak jauli berbeda. Dari tabel 6 hasil yang diperoleh n~emperliilackan bahtva bobot faktor pada fahor pertama menjadi l~anya dibentuk oleh 2 pcubah, yaitu X9 @enanganan kelulan) dan X10 (profesionalisme petugas). Kedua peubal~ uii lebih mengarah pada kualitas pclayanan pctugas dengan kcragaman sebesar 1.998. Faktor kedua meajelaskan keragaman data sebesar 1.737, dengan bobot tertinggi dibentuk oleh peubah X6 (proses pendaftam), X7 (infonnasi lagillan) dm X8 (r~~etde pembayaran). Ketiga peubah ini mengarail pada proses administrasi. Faktor ketiga menjelaskan keragaman data asal sebcxar 1.666, dengan bobot tertinggi dibentuk oleb pcubah X1 (kualitas produk), X3 (kecepatan akses) dan X4 Resesuaian nilai produk dengan tarif). Ketiga peubah ini lebill mengarall pada kesesuaian kualitas produk dengan tarif produk. Faktor keempat dengan keragalnan sebesar 1.337 diberi nama faktor ketersediaan informasi produk karena bobot reninggi dibentuk hanya oleli peubali X5 (ketersediaan inI?ormasi produk). F&or kelima dengan keragaman sebr 1.271 diberi nallla rikTor. tarif produk karens bobot tertingi dibenluk hanya oleh peubah X2 (faifproduk). Hal ini dapat disimpulkan bailtvz iak<or-fiktor utruna yang menenhlkan kepuasan pelanpgan INDOSATnet ?aim kualitas pdayanan petugas, proses ad~ninistrasi, kesesueian produk dengan tarif prod&
  • 15.
    ketersediaan Xomnsi produk,dm tarif prod&. 2. Sc,pentasi perokok berdasarkan motivasinya, oleh Widhiyanti nugraheni, 2001 Penjelasan: Penelitian ini mengpunakan data llasil survey yaag dilakukar~p ada penen* tahun 1999 oleh sebual~p erusaham riset pemasaran di Jakarla Kriteria responden adalah pria perokok berusia 17-45 taliun dan masill merokok dalam dua minggu terakhir (terlulung saat responden diwawncara). Begitu juga responden adam1 mereka yang tidak bekerja atau yang tidak tinggal serumah dengan orang yang kke ja di ymsa!uan nkok kretek, rokok putih, jurnalistik, bim iklan, biro riset, dan distributor segala jenis rokok. Penarikan wnloh yang digunakan adalal~ nietode berpeluang (penarikan contoh acak). Jumlal~re sponden yang didapat sebznyak 1504 orang, untuk kota Jakarta. . Pada tabel dibaaah ini terdapal 37 peubah yang merupakm rnotivasi orang nlerokok.
  • 16.
    Dari hasil pengolal~anmafriks data skor atribut, didapat 19 fakTor dcnga! persen krmulatif keraganannya 76.2%. Rotasi vorinrax dilakukan untuk ' 11iem~ein1uda11 interpretasi. Selanjulnya dilakukan pernilillan afribut-atribut untuk tiap falrtor. Loading faktor yang telah diurutkan aLan mempermudal~ penulihan atribut untuk tiap faktor. Unttk iaktor-I, loading yang bed untuk atribut ke-9, 14, dm 5. FakTor-1 dapat dianggap ~i~ervakilifa kqor ~iierokok untuk menibuat dirinya menjadi lebil~ak tif. Faktor-2 dengan atribut 29. 27, dan 31 meuakili fakqor merokok membut pikiran henjadi segar dan nyaman. Demilcian seterusnya sanipai faktor ke-19. Secara singkat dapat disimpulkan faktor serta atribut sebagai berihwt: : Merokok un!uk ~iiembuat dirinya lebih aklif : Merokok membuat pikiran segar dan nyaman sel~ingga dapat nielakuh sesuztu yang lebill baik : Merokok karena ingin diakwi sebagai nlasyamht niodern : Merokok membuat ?en~.mpilan lebih rnenarik (lebih lrendi, lebil~ jartan , lebih eksklusif) untuk ~nenunjukkanid entitas dirinya : Merokok karcna suatu kebanggaan jib selnua omng tahu bal~rva dia addall pcrokok hcbat : Mcrokok adalah ekspresi kcbebasan : Merokok untuk bersosialisai : Merokok rnemberikan kcl~ila~utatenn endiii : Merokok dapat rnelupakan scgala nlasalal~ : hlerokok dapa: ~nendukung pc~~ampilan : ~Merokok merupakan kcbiasam banyak orang : Merokok mer.imbu!kan nsa damai : Merckok untuk bersusialis& : Saya sang2t ruenik~lati merokok saat saya sed-ng sendirian Faktor-I5 : Jika sudal~~ ncnentukans alah satu merk rokok yang cocok. saya tidak akan mencan' n~erekro kok yang lain Faktor-16 : Saya menglusap nierk tertentu karena ten~an-tem sap mengllisapnya Faktor-17 : Saya selalu hentsalla untuk nieneniuLan nlerek rokok yang dapat memacu energi dan kreatilitas saya Faktor-1s : Saya merasa sangat stress ketika putus rokok Falnor-19 : Bagi saya pilil~an merek merupakan sesuatu yang bersifat sangat pribadi ~enjabar& dari masing -masing fakqor dengan atribut-alributnya dzpat dilillat pa& lampiran-2. Dari 19 fakto: tersebut dapat kin kelompokkan lagi seperii yang terliliat pada tabel dibawal~in i: Tabel Pengelompokan llasil analisis faktor dirinya lebil~a ktif Merokok untukbersosialisii 7,13,16 pcnampilan lebil~m en& Merokok memberikan S,12. kcnilanatan 14 hlerokok membual pikiran 1 2 lcbil~s egai dan nyarnan Merokok karena ingin 3 diakui sebagai masyarakat modern Merokok adalali ekspesi 6 kcbebasan Merokok dapat nielupakan 9 segala nusalal~ Merokok karcna suatu 5 kcbanggaan Merokok ~nerupakan kcbiasaan banyak orang y. Jika sudal~ ~ncncmukan salal~s atu nierk rokok yang cocok. saya tidak &an rliencari ruerek rokok yang 11 I5 lnin Saya 1~8mang: it swess 1 18 ketika utus rokok
  • 17.
    Bag1 saya pilhmerek I meru~akan sesuatu vang . . ( bersifat sangat pribadi 19 DAFTAR PUSTAIU Kelonlwk ke-I1 merupakan kelornpok perokok yang setia terludap merek-merrk tecentu. Sedan* kelompk ke-12 meagidentifkasikan tip orang yang sudah kecanduaan rokok selcn~ad ia merasa stress ketika putus rokok. Merokok n~erupakan suatu kcbutulun yang dirasakan felt need) . Kebutulm yang ingin dipenulli oleli perokok mungkin betbeda satu sama lain I-Ial inild~ yang menyebabkan rnunculnya motivasi yang berbeda-beda. Mengacu pada hied kebutulm Maslow, Secara umum dap.1 ditelusuri bal~wa peril&. nlerokok muncul akibat adanya keinginan untuk mndapatkan penglmgzan dan vntuk menienul~i kebutuhan fisiologis. Menurut Msslow , kebutulm penglargaan dibedaka~ rnenjadi dua llal yaitu keinginan akan prestasi dan keinginan akan status dan pengakuan. Kebutul~an akan penglmgaan terlil~at jelas factor-3, 4, dan 5. Sedaxgh factor-I, 2, dan 18 menunjukkan ballna nlerokok inerupkan kebxtulm fisiologis. Untuk faktor-faktor laimya merupakan n~otivasi-moti,asi yang sifatnya sangat spesifik untuk ~uemenulu suatu kebutul~an tertentu rnisalnya kebutuhan untuk bersosialisai dan kebutulm untuk mendapatkul ketenangan pikiran ( falrtor-9. 12, dan 14 ). Jadi dapat disimpukan bal~na secara umwn motivasi incrokok bisa mu~lcul dari dalain individu (motivasi internal) m2upun karena dorongan dari luar individu terscbut (motivasi eksternal). Alam, M. C. 2031. Analisis Data Rancangan Percobam, Peubal~ Ganda dan Riset Operasi. Ed Ke-I. Johnson, RA dan D.? Wicl~ern. !99S. Applied Multi~~ariate S!atis~ical Analysis. Ed. Ke-2. Prenticc Hall.Inz. New Jersey hfattjik, dl&. 2002. Aplikasi Analisiq Pcubal~ Ganda. Jurusan Statistika FMIPA IPG. Bogor. Mul~ana. 2002. Penentuan Indikator Pemhangunan 'Berkelmjnm Indonesia dan Posisi Relatif Negarz-Negan ASEAN Sebelum dan Slanu Krisis Ekonomi. Skripsi Jurusan Statistika FMIPA IPB. Bogo;. h'ugrnheni, W. 2001. Segmenlasi Perokok Berdasarkan Motivasinya. Skripsi. Jurusan Statistika FMlPA IPR. Bogor. . Santoso, S. 2002. Buku Latillan SPSS StatEtik Multivariat. Eles Media Kolnputindo Kelompok Gran~ediaJ. akarta. Yunita, dkli. 2001. Analisis Kepuasan Pelanggan INDOSATnet. Laporan Prakthm lapang Analisis Periu~cdnga~~ Suney Malnsis,a ' Statistika 1PB. Bogor.
  • 20.
    Faktor- 1 1 rasanya : Merokok rnerupakan kcbiasam banyak orang Atribut: 2Z'Merokok sudall merupakan kebiasaan banyak orang 21. Ketegangan saya hilang km!s decgm llernbusan asap rokok : Merokok me~mbu!kan rasa damai Atribut: 3. Merokok menimbulkan rasa damai : Merokok untuk bersosialisai Atribut : 2. Bagi saya nierokok merup2kan salah satu cara yang erektif uniuk mencairkan suasana dalam pergaulan I. Merokok membuat saya ak-tifsepanjang hari : Saya sangat meniknuti merokok saat saya sedang sendiian Atribut : - .. 19. Saya sangat menikmati merokok saat saya sedang sencliriar. : Jika sudal~m ene~nukans alah satu merk rokok yang cocok, saya tidak akan mencari merek rokok yang ISn ALribut : 33. Zika sudall n~enemukans alal~s atu merk rokok yang cocok, saya lid* akan mencari 111erek rokok yang lain : Saya meng!usap merk tertenlu karena lerlm -tcnm saya inengllisapnya Arribui : 10. Saya menghisap merek terlentu karena teman -ternan saya mcng!lisapny:. Faktor-17 : Saya selalu berusalu untuk menernllkan merek rokok yang dapl menucu energi dan heatifitas Sya Atrib~.t 2 1. Saya selalu beru.d!a iaenemukan merk rokok yang dapt melnacu energi dm kreatifitas saya Faktor-IS : Saya merasa sangat mess ketika ?utus rokok Atribut: 34. Saya merasa sangat stress ketika putus rokok Fktor-19 : Eagi saya pilihan ~nerekm e~upakans esualu yang bersifat sangat pribadi Atribut: !2. Eagi saya pililtan merk rokok addall sesuatu yang bersifut sangar pribadi
  • 21.
    ANALISIS. GEROMBOL Oleh: Farid ~bdurraiunan GO3400030 Syahrizal RaWlman GO3400041 Heni Inlidianty GO3400055 Puph A-mg N. GO3400069 JURUSAN STATISTIKA SAKULTAS MATEMATIKA DAN ILRfU PENGETAHUAh' ALAM INSTrrUT PERTANIAN BOGOR 2003
  • 22.
    PENDAHULUAN Latar Uelakaiig Jika ada himpunan S yang berisi n poin di dalam suatu ruang exlid berdimensi -m atau rn', sekarang bagaimana caranya agar S dapat dibagi menjadi k-gerombol, misalkan PI, adalah himpunan dari S yang telah dibagi n~enjadi k-geromboi, sedangkan kriteria penggerombolan atau W(P,k) ditandai untuk setiap P yang mengukur kebenaran dari setiap pembagian menjadi k gerombol. Peimasalahannya adalah bagaiinana menemukan ' pembagian P' yang memaksimalkan atau meminirnalkan kriteria pembagian secara keselur~han menjadi k-gerombol. Tujuan Tujuan dari analisis penggerombolan adalah untuk mengelompokkan unit-unit individu ke dalam beberapa gerombol berdasarkan sifat-sifat tertentu, sehingga individu-individu di dalam suatu gerombol memiiiki sifat yang lebih mirip dibandingkan dengan individu pada gerombol lain. TINJAUAK PUSTAKA Analisis Gerombol Analisis gerornbol digunakail untuk mengelompokkan n individu kedalam k gerombol dengan k<n sehingga anggota yang terletak dalarn satu geromb.01 memiliki kemiripan sifat yang lebih besar dibandingkan dengan individu yang terletak dalam gerombol lain (Dilloil dan Goldstein, 1984). Keragaman unit-unit pengarnatan dalam siatu gerombol lebih homogen daripada keragaman antar gerombol. Langkah awal dalam melak~kan analisis gerombol adalah menentukan ukuran kemiripan antar satuan pengamatan yang akan digerombolkan. Ukuran kemiripar. antar satuan pexgamatan secara umum biasa diynakan jarak Euclid dan Mahalanobis Jarak Euclid digunakan jika informasi meligenai sebaran data tidak diketahui dan pautan-pautan yang diamati tidak berkorelasi atau saling ortogonal, memiliki satuan dan skala pcngukuran yang sarna. Persamaan jarak Euclidian dari dua pengamatan xi dan yi yang berdimensi p adalah sebagai berik~t: Dimana d, adalah jarak antara objek ke-i dan ke-j, xik adalali besaran nilai sifat ire-k dari objek atau kornponen utaina ke-i, xjk adalah besaran nilai sifat ke-k dari oljjek atau komponen utama ke-j dan p adalah banyaknya sifat yang diamati. Semakin besar jarak Euclidian maka . semakin besar pula perbedaan antara objek-objek tersybut. Jika diantara peubah yang dismati sali ig berkorelasi maka perlu dilakukan trai.sformasi terhadap data asal n~enjadi komponen-komponen utamanya untuk ~neuyederhanakan peubah-peubahnya. Penjelasan singkat mengenai Analisis Kompocen Utama dapat dilihat pada Lampiran 8. Jika tidak dilahkan transformasi maka biasanya digunakan jatak Mahalanobis yang didefinisikan sebagai berikut : d, 2 =(xi -x.)S".(x, J -xj) Ada dua metode yang sering digunakan - untuk menetapkan banyaknya gerombol yaitu Metode Hirarki dan Metode Non Hirarki. 1. Metode Hirarki Digunakan ketika banyaknya gerombol yang diinginkan tidak dikstahui. Metode hirarki dipilah menjadi teknik pengabungan (agglomerative) dan tehik pembagian (divisive). Algoritma Agglomeratif Secara umum tahapan pembentukan dendogram dengan algoritma yang' bersifat mengelompokkan (agglomerative algorithm) a.da !ah sebagai berikut : Bentuk n gerombol yang masing-masing hanya beranggotakan satu individu. Gabung dua individu yang memiliki jarak tedekat sehingga terbentuk (n-1) gerombol. IIitung kembali jarak antar gerombol yang baru. Gabung kembali gerombol yang memiliki gerombol terdekat seperti pada tahap 2. Hitung kembali jarak antar gerombol yang barn. Ulang langkah 1 sampai dengan 5 sehingga pada akhirnya terbentuk satu gerombol. Setiap langkah penggabungan gerombol diikuti dengan pembaruan matriks kemiripan. Metode penggerombolan berhirarki memiliki beberap rnetode pembaruan matriks jarak kemiripan, yaitu
  • 23.
    I . MetodePautan Tungsal (Single Linkage) 2. Metode Pautali Lengkap (Con~plete Linkage) 3. Metode Pautan Rata-rata (Average Linkage) 4. Metode Ward, Metode pautan tunggal merupakan metode pembaruan matriks kemiripan yang menggunakan jarak minimum. Metode ini diawali dengan menemwan 2 objek yang memiliki jar& terdekat, ken~udian digabutig menjadi satu gerombol, tahapan ini dilakukan terus menerus sampai terbentuk satu gerombol. Pada metode ini, jarak antar gerombol didefinisikan sebagai jarak minimal antar semua pengamatan. Matriks jarak D antara gerombol (U,V) dengan gerombol W sebagai berikut Metode pautan lengkap merupakan metode pembahaman matriks kemiripan yang mempunyai kemiripan caia dengan metode pautan tunggal, dengan satu pengecualian yaitu pada tiap tahap jarak kemiripan antar gerombol ditentukan oleh jarak kemiripan antara 2 gerombol yang ditentukan oleh jarak antara 2 objek yang salah satu jaraknya yang paling jauh (jarak maksimum). Matriks jarak D antara gerombol (U,V) dengan gerombol W dapat didefinisikan sebagai berikut : Metode pautan rata-rata melupakan metode pabahawan matriks kemiripan yang bertujuan meminimumkan rataan jarak semua pasangan pengamatan dan 2 gerombol yang digabung. Pada metode ini, jarak antara gerombol didefinisikan sebagai jarak rata-rata antar semua psangan pengamatan (Johnson & Wiehena, 1982). Mendefinisikan matriks jarak D antara gerombol (U,V) dengan gerombol W sebagai berikut : C 1 dik . . Hasil dari metode pautan tunggal, pautan lengkap dan pautan rata-rata dapat ditampilkan dalam bentuk dendogram atau diagram pohon. Algoz.i(~tla UivisiC Tekliik berliirarki dcltga!~ ~>et~il>~tsia~~ (divisive) bermula dari satu gerombol yang berunsurkan semua objek yang ada. Geronibol ini kemudian dibagi menjadi 2 gerombol, dati kemudian masing-masing gzrombol dibagi lagi menjadi 2 gerombol dan seterusnya. Bila ada n objek, Inaka penibagian menjadi 2 gerombol niempunyai ketiiungkinan sebanyak 2""-1. 2. M2tode Non-Hirarki Metode non hirarki didesain untuk mtngelompokkan objek daripada variabel ke dalam k gerombol. Banyaknya k geron~bol bisa ditentukan terlebih dahulu atau ditentukan sebagai bagian dari prosedur penggerombolan. Beberapa metode non hirarki yaitu K-nteairs, Ftizry K-rttearrs dan Seq~rerrliaKl -nteaits. Namun yang akan dibahas pada makalah ini, adalah metode yang paling sering digunakan yeitu metode K-means. ~etodKe- Means Pertama kali dikenalkan oleh MacQueen. Metode ini dapat diterapkan pada gugus data yang besar untuk jumlah kclompok k. MacQueen juga nenyarankan tahap k-means untuk rnendeskripsikan algoritma dari k-means yang 'menempatkan setiap objek kedalam gerombol yang mernpunyai rataan terdekat (nearest centroid). Algoritma K-Means dilakukan dengan langkah-langkah sebagai berikut : 1. Menentukan k titik pusat awal kelompok untuk masing-masing kelompok 2. Menghitung jarak terdekat. Jawk yans digunakan adalah jarak Exlid. Setelah unit pengamatan masuk ke dalain kelompok dan pcrpindahan unit pengamatan lain, pusat kelompok dihitung kembali dengan metode centroid. Lakukan langkah ini untuk semua pengamatan. 3. Ulangi langkah kedua sampai tidak ada lagi unit pengamatan yang berpindah kelompok. Ada beberapa cara yang dapat digunakan untuk memilih pusat-pusat awal kelompok, yaitu : 1. -Memilih K unit data pertama sebagai. pusat-pusat awal kelompok. 2. Unit-unit data diberi nomor 1 sampai dengan N, kemudian data bernomor NK, 2N/K, ..., (K-I) NK, dan N dijadikan sebagai pusat-pusat awe1 kclcmpok. 3. Memilih K unit data secara subyektif den dijadikan sebagai pusat-pusat pwal kelompok.
  • 24.
    IiASLL DAN I'EMBAI-LASAIU' Studi Kasus I : Metode Hirarki Sebuah pemsahaan susu bubuk melakukan identifikasi terhadap 18 merek susu bubuk atau minuman energi yang selama ini dijual dengan spesifikasi yang terdapat pada lampiran 1 (Buku latihan SPSS Stztis~ik Multi.~ariate, Singgih Santoso). Dengaq kcterangan tiap variabel : SUSU, yaitu nama merek susu bubuk; LEMAK, yaitu kandungan lemak (gram) per 100 gram susu; KARBOHDRAT, yaitu kandungan karbohidrat (gam),per 100 gram susu; MINERAL, yaitu kandungan mineral (gram) per 100 gram susu; ENERGI, yaitu energi (kilokalori) per 100 gram susu. Algoritme Penggerombolan: I. Me~ie~llukam~ert ode pe~rggeronlbola~yra ifg dr@maka~~. Data pada kasus ini, banyaknya gerombol belum diketahui sebelumnya dan datanya sedikit (n kecil) sehiagga metode yang tepat digunakan adalah metode hirarki. 2. Menenlukan jarak kemiripan. Dilibat dari korelasi antar peubah yang diamati yang dapat dilihat pada lampiran 2, temyata menunjukkan adanya korelasi. Oleh karena itu jarak kemiripan yang digunakan yaitu jarak mahalanobis atau jarak euclid dengan terlebih dahulu mentransformasi data asal ke dalam komponen-komponen utamanya. Pada kasus ini dipilih jarak euclid sebagai jarak kemiripannya. Dengai menggunakan AKU dihasilkan akar ciri dan persentase keragaman yang disajikan pada lampiran 3. Komponen utama pertama mampu menerangkan 40,2 % kerzgaman data asal. Sedangkan komponen utama kedua mampu menerangkan 33,1 % keragaman data asal. Dan komgonen utama ketiga mampu menerangkan 19,1 % keragaman data asal. Secara kumulatif, persentase tiga komponen utama pertama mampu menerangkan keragaman data asal sebesar 92,4 %. Sehingga tiga komponen utama pertama-lah yaug digunakan untuk analisis selanjutnya. Tiga skor komponen utama yang telyilih sebagai dasar penggeronboian, disajikan pada larnpiran 4. 3. Algoritn~ap e~?rbetilukag~err ombol hirarki I'ada kasus hi, digunakan algoritma agylo~iieiatif dalarii penibentukan gero~nbol hirarki. Pemilihan ini didasarkan pada subyektivitas peneliti. 4 Mefode pembarrran malriks jarak kenriri/)a~~. Metode pautan tunggal (single linkage) adalah metode pembaruan matriks jarak kemiripan yang digunakan pada kasus ini. Proses pembaruan matriks jarak kemiripan. dapat dilihar pada lampiran 5. 5. Dendogratll Setiap tahap proses pernbaruan matriks jarak kemiripan, dapat divisualisasikan dalam bentuk dendogram yang diilustrasikan pada lampiran 6. Pemotongan dendogram dilakukan pada jarak penggabungan terbesar yaitu pada jarak 2,240. 6. Deskrips; GeromEol Diagiam batang pada Lampiran 7 menyajikan perbandingan ~iilai rata-rata masing-masing gerombol untuk tiap peubah. Secara eksploratif bisa dilihat bahsa gerombol pertama yang heranggotakan satu objek yaitu Nestle Carnation memiliki sifat rendah kandungan lemak, protein, niineral dan energi. Sedanzkan gerombol ke dua yang beranggotakan OAT Quaker, LIGO Havermout, Ovaltine, Milo, Dancow Balita, Frissian Flag Instan, Frissian Flag Full Cr., Frissian Flag Cokelat, Frissian Flag Madu, Dancow Full Cr., Indomilk Full Cr., Indomilk Cokelat, Prosteo Rendah Lemak, Alene Kalsium Tinggi, Tropicana Slim dan Protifar, memiliki sifat kandungan lemak dan protein yang tidak terlalu banyak, rendah kandungan mineral dan memiliki kandungan energi yang tinggi. Dan pada gerombol ketiga yang beransgotakan Dancow Cokelat niemiliki sifat kandungan lemak, protein dan energi yang tinggi dengan kandungan mineral yang rendah. Studi Kasus T[: Metode Non Hirarki Manajer pemasaran PT. Kacang 'Uhuy', ingin menge!~mpokkan koiisumen kacang 'Uhoy' berdasarkan profil konsumen, yaitu (lampiran 9): Tempat tinggal konsumen Status perkawinan konsumen Usia konsumen Banyaknya anak konsumen Pengcluaran konsumen tiap bulan, dengan klasifikasi pengeluaian: 1. > RD 5.000.00000
  • 25.
    . 4. -.Rp 1.000.000.00 Lama menontoti televisi konsumen Cjanilltari) Kendaraan bermotor yang dimiliki konsumen Lama bekerja konsumen (jamlhari). Algorittna Pene mpatan Objek ' padz Gelanlbolan yang Sadah Ditentukan: I. Merrerttrrkart rrr-fode per~ggeronrbolo~yta ~rg digrrrtakrr~r Data pada studi kasus ke dua, banyaknya data besar dan gerombol sudali ditentukan dari arval yaitu sebanyak tiga geron:bol (K=3). Penentilan banyaknya gerombol bergantung kellada peneliti. 2. Me~~e~tltrkjaurria k kentiripa~t Lampiran 10 merupakan niatriks korelasi antar peubah yang diamati yang menunjukkan adanya korelasi. Oleh karena. .: itu jarak kemiripan yang mungkin digunakan adalah jarak Mahalanobis atau jarak Euclid dengan terlebih dahulu mentransformasi data asal ke dalam komponen-kon~ponenu tamanya. Pada kasus ini dipilib jarak Euclid sebagai jarak kemiripannya. Dengan menggunkan AKU dihasilkan akar ciri, proporsi dan proporsi kumulatif dari Komponen-Komponen Utama, dapat dilihat pada lampiran I I. Tiga Komponen Utama pertama sudah mampu ~nenerangkan keragaman data asal sebesar 92,5% (lebib dari 75% (Morison, 1976)). Tiga skor Komponen Utama yang terpilih sebagai dasar penggerombolan disajikan pzda lampiran 12. 5. Algorihna pembentukan gerombol hirarki Pada kasus ini, digunakan algoritma K-Means dalam pembentukan gerombol Non Hirarki. 6. Metode pentharucnr ntarriks koorditrat ce~itroid. Pertama kali, dibuat matriks antara objek dengan skor KUI. KU2 dan KU3. Karena K (banyaknya gerombol) sudab ditentukan di zwal yaitu K=3, maka 1. Objek-objek ditempatkan ke dalam tiga gerombol tadi dengan sekehendak peneliti. Dan dibuat rnatriks koordinat centroid. 2. Lalu dicek apakah jarak euclid anggota dari masing-masing gerombol lebih . dekat ke gerombolnya daripada jarak ke gerombol lainnya? 3. Jika tidak maka ulangi langkah 2 dan 3 sampai jarak Euclid antara anggota yerolnbol lebili dekar daripada jar& ke gerolnbol lain. Lampiran I3 rnerupakan jarak Euclid antara objek detigan selnua gerombol, dan terliliat bahwa objek yang merupakan anggota gerombol tertentu memang mempunya jarak terdekat pada gerombolnya daripada ke gerombol lain. KESIRIPULAN Analisis Gerombol berfungsi untuk men~elompokkan objek atau variabel yang diamati, di mana jarak antar objek aiau variabel di dalam suatu gerombol lebih dekat daripada gerombol lain. DAFTAR PUSTAKA Alant, M. Choiril. 2001. A~rrrlisis llarn l'erartca~tga~r Percobaarr. Perrhalt Gar~do darr Riser Operasi. Jurusan Statistika FMIPA IPB. Bogor. Dillon, W. R Q M. Goldstein. 1984. Multivariate Analyss Merhod and Applicatiort. John Wiley and Sons Inc., New York. Johnson, R. A. & D. W. Wichern. 1988. Applied Multivariate Stalistical Analysis. PrenticbHall International, Inc. Engelwood Cliffs, New Jersey. Morison, D. P. 1976. M~ltivariale Statistical Mefh0d.M~. Graw Hill, 1r.c. New York.
  • 26.
    Lantpirart Lampiran 1.Tabel data awaI susu bubuk ! 1 .i_ O~T- ~; ~.11.0.0 1 ...5 7.00 ..:i ~~. .... . 0.9.6 .. . ' .3. .7 0..0 . 0. .. j 1 ~;I N estle Camation 6.K j 9.70 ; I- , 1.60 . 119.00 -- 1. 2 !_ LIG-E~ !!o'?.- i 9.16 1 67.33 : . . . . 0.00. 386.67 ' . ... ~~ / 4 j Ovaltine ,- 8.401 -.,75. 00 ; 1.28 416.00 i j i 4.50 400.00 ! 5 j ! -. , . 10.4 - ..6G:P! .i . . ... . . . . 6 i Dancow Balita , 23.67 i 44.67. 4.67 . 476.67 : i_ j -. __, -; i 7 .i Frissian Fl&Instan 26.00 1 40.0_0> 1 .5_ .8.0 ' . -.4. 96.00 1 !. P* 5.60 / --_ 53:OO. ' 1 ',' i Frissian Fla:F"II Cr. 1 -.~_S_.OP_, 3_8140.i. . 9 Frissian Flag Cokebat j 13.00 j 69.70 i 3.0~: 4444.00 i , .. , ! 10 ~rissian~lag~sdu. 18.00 I_.. 52.80 1. .~ 5.00 i 459.00 j :.~ I 11 I Danco,v C~kelat ;.A- ' i_ llO 65.25 ; 4.50 : 425.00 : i 12 1 Dancow Full Cr. .-2 25.903 1 -. 40.33 ! - . . .5. -.9 .. 2. .; ,,--495..- 0 .0 .i i I3 i IndomilkFull Cr. 28.00i 36.90j 5.60 : 505.60 1 ! ---s i I4 , Indomilk Cokelat 4.00 62.50 j j:cO 446.50 ! . / j 15 j- 1.00 I 50.00 ! 8.00 1 357.00 i I 1. !G .jA_len e filsium ~iwil_.-- OW48.801 ~.5,7_qj 340.00 i 17 Tropicana Slim j 0.00 50.50 / 1.92 / 347.00 / 18 J Protifar I- / 1.00 1 27.80 1 - '- 366.00 / Lampiran 2. Matiiks korelasi antar peubah Lampiran 3. Tabel akar ciri, proporsi keragaman dan keragaman kumulatif dari komponen utama / Komo Utama I 1 1.6079 1 0.402 1 0.402 I , .~. ! --~~ - ~ ~~~ j ! KO~P~. tama2i ~-0i.331 i 0.733 I 1 Komp. Utama3 1 0.7659 j 0.191 1 0.924 ! i Komu. Utarna4 i 0.3025 i 0.076 i 1.000
  • 27.
    j I1IIj 1;t.10'0 t.ZZt i L1I I!Zj1/ OtZ'i I OlZE i Z1911 I I ST I 1 I SOE'O 1 OLil 1 E / .SI I Sl 1 81 1 Sl 1 LSO'O 1 2960 PP1j Sl 1 91 1 SI 1 ZIOO 1 8060 1 S / El I 1 I S 1 I 911'0 I I E / 1 / &ZOO I I LI I I I ESO'O E 1 PI E I EEO'O S 1 6 1 5 / ZSO'O ( 1L90 1 01 1 8 / 51~1581~0'0 s 1 9 1 s j 090'0 9 j ;- PI 1 9 1 101.0 9 1 01 1 9 1 L8Z.O , L 1 8 1 L 1 910'0 8 1 E l 1 8 1 MO 9LS6Z.0- 1 06298.1- OILSI'O- 1 OL06L.O PL9EP'O- I E9IOS'O-ZOGL. O- 1 PLI 1z.1- tOP190- A 63PZZO 8SlE0'0 1 8EOtOI-EE060' 0- / lP666'0- 9650 1 9 1 Z1 08L.01 L 1 11 1 LSLO / S 1 01 1 POL'@ / 6 1 6 1 ZSCO80- !L lS8911- id 0ZSZL.O- fi LEKZO- jd ZL9LS'O PE5l8.0 :a P6Z 180 la S88EL'Z / 69019.01 199SP'Z Id OLOSEO- I6ZSL1.0- 09EES.O 101 I OE9LcO- / 86891'1 1/.16 ZP'O j 61 EZZ00'0 / OE6L6.0- I ZSZSS'O 3 ECEL0.O- I PPPL6.O- I 8986LO ,! !- I 688P0.0- j ~850P.O- I LZ9SS.O ju IPELS'O- I PLLSS'O 9PLPSO- ) L9SS6'1 LOPE1 '0- I 06ZSO-Z 619.0 j 11 I L 1 IPSO j ZI 1. 9 1 18P.0 I El 1 S 1 08E'O / 'il I P 1 E60'0 / SI I E I LL0.01 91 1 Z I OSZClO E8900'0 1: A I 916PcO- iu ZWLL'I / SZ909.0- ! OEEPL'E-
  • 28.
    lam pi rat^6. Deodogram hasil analisis geron~bolm e11ggunakan maode paulal lu~lggald engan jarak Euclid I t I 2 1 li 2 : 5 5 10 14 7 ii B 11 3 15 16 IS I! Observations Lnnlpi~an7 . Diagam barang nilai rala-rata masi~g-masingg erombol ~inlult;i ap peubah Peubah I Lampinn 8. Analisis Komponen Utama &disisKomponen Ulma (AKU) biasanya digunakan unlult mengidentifikasi peubah baru yang mendasai data dai peubah gandq mengurangi banyhya dimensi himpunan peubah yang biasanya terdiri afas peubah prig banyak dan sding berkorelasi menjadi peubah-peubah baru yang tidak berkorelasi dengan mempertahdan sebanyak mungkin ksragarnan dalam himpunan drta tersebut, dan mengbilangkan peubah-peubah asal yang mempunyai sumbangan informasi yang relatif kecil. Kemudian Analisis Komponen Utama dilanjutkan dengan analisis gerombol (ClusrerAna!vsis, Johnson 1981). Analisis Komponen Utma dilakukan pada inatriks korelasi R apabila satuan peubah tidak sarna dan pada matriks peragam apabila satuan peubah salna. AKU biasmya digunakm untuk memudahkan kita melihat penyetaran objek amatan dalanl dimensi yang lebih kecil yakni dengan membuat plot sm;e komnonen utama 1 dan komponen ulama 2, jika ingin melihat ddxn dua dimensi (Nr~rmalias;2 002).
  • 29.
    Lalupiralt 9. Dalaawal konsumen kacang 'Uhuy' Lampiran 10. Matriks korelasi antar peubah
  • 30.
    L~m~,i1l1a. T~a~be lAkar ciri; proporsi dan proporsi ku~iiulatifd ari Komponen Utarna L irnnit.an 12. Tabel skor Komuonen Utarna yaw memp" rnenerangkan kerqaman lebih dari
  • 31.
    La11ipira11 13. Malriksjarak Eucl~d anlara objek dengal seluua gerombol
  • 32.
    ( Kola Menengah0.3 1, I KotaKecil Status I BelumMenikah 0.7 1 0.6 0.5 1 0.5 0.45 1 0.45 ( 0.5 1 0.5 0.55 1 , Pengeluaran 1 0.75 1 0 01.~
  • 33.
    TUGAS METODE 1'ENEL.ITIANDAN TELAAH PIJSTAKA ANALISIS DISKFUMINAN DERITAOKTAVIANTO GO3400005 NENDEN RAHAW P. GO34000 17 LMANURMAIDAH - . GO3400031 MARDIANA TJ. 'A'. GO3400043 UMAR ABDUL AZIS GO3400056 WLITASARI GO3400070 JURUSAN ST.ITTSTIKA FAKULTAS MATEMATIKA DAN ILMU PZNGETAHUAN ASAhl INSTITUT PERT.4NWN BOGOR
  • 34.
    Analisis diskriminan adalahsuatu teknl~ statistika untuk mengklasifikasikan pengamatan atau observasi berdabarkan karakteristik observas~ ke dalam satu kelompok dari beberapa kelompok yang telah dilakukan sebelumnya. Analisis diskriminan yang pe;tama kali diperkenalkan oleh Sir Ronald Fisher, merupakan teknik statistika yang sering digunakan untuk mencliti kumpulan-kumpulan dari suatu masalah. Masalah yang dihadapi dalam analisis peuSah ganda adalah bagaimana mendapatkan faktor penentu yang niembedakan populasi atau mendapatkan kornbinasi linear dari peubah-peubah yang menunjukan ukuran pembeda dalam nilai tenkah populasi tersebut. Analisi diskriminan merupakan suatu metode untuk menghasilkan pemisah yang terbaik antara berbagai macam populasi (kelompok). Dua asumsi yang harus diperhatikan: 1.p peubah bebas menyebar normal ganda 2.Matriks peragam dari peubah-peubah bebas dalatn setiap kelompok sama (homogen), apabila tidak homogen maka yang dibentuk ad2lah fungsi diskriminan kuadratik. UJI ASUMSI a. Uji kenorrnalalz&ganda Johnson (1988) mengusulkan plot khi-kuadrat untuk mengevaluasi kenormalan ganda. Setiap vector pengamatan dihitung jarak mahalanobisnya d; mengikuti sebaran -klii-kuadrat, yaitu dengan memplot statistik dl2< dlz< d,'< ..... 5 d.2 terhadap kuantil ' 100(j-O.S)/n) sebaran khi-kuadrat dengan i db=p. 1 dJ-'=(x.J- ?) ' s&(xj- F), j=1,2,3 ...,n dimana: d,' = jarak mahalonobis ke-j x; = vector kolom berisi nilai-nilai pengamatan ke j - ! x =vector kolom berisi rataan S-' = ~natrikp eragam gabungan gob Tebaran titik yang membentuk garis lurus menunjukkan kesesuaian pola sebaran d? terhadap sebaran khi-kuadrat, yahg berarti pula data berasal dari sebaran normal. b. Uji beda vector nilai tengah Uji ini penting untuk mengetahui apakah kelompok yang akan dianalisis sudah mantap pengelompokkannya atau belum. Jika Xtt, XI', ..., Xlnt adalah contoli acak berukurau nt dari Np(pI,Z), dan X21, XI',.., XI,,' adalah contoh acak bemkuran n2 dari N,(pl,Z),maka: dimana: p = banyak peubah ni = banyak contoh dari kelompok I xi =vector rataan kelompok i db =(a, p , nl +n2-p-I) Hipotesis ujinya adalah HO:pI=p2 Terima Ho jika : (n~'"2 -2)~ T- F(sp.n1+n2-p-1) nl +n2 -p-I Pe~tgujian statistik di atas yang erat dengan fungsi diskrimianan linear adalah uji T' Hotelling untuk beda rataan dua contoh yang merupakan generalisasi dari statistik t. Uji lain yang dapat digunakan adalah uji lambda wilk dan uji teras pillai. c. Uji kehomogenan ragam Hipotesis Uji : Ho:Z1=Z2= ...= zg Uji Hipotesis
  • 35.
    i=l c.'= 1-w g = banyaknya kelompok Terima Ha jika MC.' 5 2(a.s(,-l)f(,+1 1, Jika kehoniogenan tidak dipenuhi maka dapat menggunakan fungsi diskriminan kuadratik. FUNGSI DISKRIMINAN LINEAR Untuk 2 grup bisa menggunakan fungsi linear Fisher: Y=(X, -X2)' SgoI b X =I'.z Dimana: Y = fungsi diskriminan linier fisher untuk contoh. F, = vektor rataan contoh kelompok i. x = vektor peubah 1 Jika Yo- mS 0 maka masukkan X ke dalam kelompok 1 rlainnya ma,Llian k-kelompok 2. j Untuk banyaknya kelompok lebih dari 2, maka dibuat fungsi diskriminan linier Yk, dengan langkah: 1. YI = 1'1 g dengan dugaan 1'1 merupakan vector ciri dari W-' /?,, 2 Smb =Un,-1lS1 + (nl-l)Sl+ .... + (nL- lYSL) (nl+n2+.. .+ n, -g) 5. W = (nl+n2+ ...+ n,-g)Sgab Sehingga diperoleh diskriminan 1 YI,Y, ,...,YE Hasil ini disusun dalaln vector 1'. Masukkan X ke kelompok k jika: i I untuk i t k FUNGSI DISKIZiRIINAN KUADRATLK Jika kehomogenan ragam tidak terpenuhi tnaka gunakan fungsi diskriminan kuadratik. Untuk tiap pengamatan hitung nilai D; dari tiap kelompok. Masukkan pengamatm ke-i ke kelompok dengan nilai Di terYceil. Dim,ana : j i = sk pengamatan ke-j ke kelompok ke-i. x, = vector pengamatan ke-j. - x, = vector rataan kelompok ke-i Contoh kasus (skripsi) I.Judul : Sistem Informasi Eksekutif untuk Akrzditasi Seko!ah Menengah Umurn Swasta, disusun oleh Nizwar Hidayat Nasution. Suatu sistem informasi eksekutif telah dirancang untuk pembuatan. dan penilaian keputusan akreditasi sekolah menengah umum swata menggunakan kaidah yang selama ini digunakan oleh Direktorat Pendidiksn Menengah Umum (dikmenum), Direktorat lendrzl Pendidikan dasar dan menengah. Kriteria yang dipakai adalah tujuh peubah pembeda yaitu administrasi x, kelembagaan (x2), ketenagaan (xj), kurikulum (x4), siswa '(xs), sarana prasarana (x,), dan situasi umum (x,) yang masing-masing diucapkan dalam persentase pencapaian dari suatu skor maksimum. Sistern ini sebenarnya adalah suatu fungsi diskriminan yang menggunakan tujuh peubah yang dianggap tidak berkcrelasi dan masing-masing mempunyai keragaman yang sama besar. Ternyata terdapat korelasi antara ketujuh peubah itu, sehingga kriteria yang digunakar, harus didasarkan atas fungsi diskriminan yang bentuknya sebagai berikut:
  • 36.
    Berdasarkan penelnl~an ini,diusulkan agar suatu sekolah yang sudah diakreditasi berdasaikan kriteria Dikmenum, diadakan kembali pmgujian berdasarkan kriteria fungsi diskriminan bertatar. Jika keputusannya sama, maka . akreditasi itu dikukuhkan. Sedangkan jika keputusannya tidak sama, maka perlu mengadakan pe~neriksaan kembali butir-butir akreditasi apakah ada yang perlu dileugkapi. 2.Judul . . Analisis Diskriminan untuk Mengklasifikasi Beberapa Strain-lkan M:; (Cyprinus carpio I.) berdasarkan Ciri Morfometrik, oleh Sandy Handayani, 2001. lkan mas (Cyprinus carpio L.) merupakan ikan peliharaan utama dalam budidaya ikan air tawar di Indonesia. Banyaknya strain ikan mas di Indonesia akan menyulitkan pengelompokan antar strain ikan secam visual. Untuk it^ diperlukan suatu metode pengelompokan yang kuantitatif berdasarkan karakteristik ikan yang mudah diperoleh, misalnya ciri morfometrik. Salah .satu metode pengelompokan adalah metode analisis diskriminan. Pada penelitian ini, pengelompokafi dilakukan dengall analisis diskriminan kuadratik, karena matriks peragam antar strain ikan tidak homogen. Selanjutnya dipilih peubah diskriminator yang dapet mewakili karakteristik strain ikan dengan mengzunekan analisis diskriminan bertatar. 3.Jgdul : Analisis Diskriminan Bertatar untuk Mengklasifikasi Kelapa Hibrida Genjah Salak dan Induknya dari Karakter Morfometriknya, oleh Bambang Setyantoro, 2001. Kedekatan karakter antara hibrida daninduk kelapa Genjah Salak ~nenyebabkan kesulitan di dalam proses identifikasi dan seleksi hibrida sebagai turunan peltama dari induknya. Kesalahan identifikasi kelapa genjah salak sebagai hibrida sehingga 1010s seleksi dan dipasarkan serta diberi perlakcan sebagai hibrida sering terjadi. Sehingga setelah ditnnam dan memasuki masa produksi hasil yang dii~ginkan tidak sesuai dengan yang diharapkan karena memang kelapa tersebut adalah kelapa induk. Hal yang sama juga terjadi pada kelapa Genjah Salak. Banyak hibrida yang diidentifikasi sebagai induk, sehingga dipersunakan kembali dalam pembibitan. Hal ini dapat ~nenyebabkan kekacauan genetik karena hibrida adalah turunan pertama. Untuk prose identifikasi perlu dicarikan peubeh-peuhah dari karakter vegetatif, generatif, dan komponen buah ysng benar-benar berpengaruh dalam proses klasifikasi dengan m~nggunakan diskriminan bertatar. Kemudian peubah yang dipercleh digunakan untuk membanzu~i fungsi diskriminasi linier untuk mengklasifikasikan hibrida dan inauk kelapa Genjah Salak. PENERAPAN Kita sudah mempunyai data dengan tiga variabel sebagai dasar pengelompokan yaitu Disc-A, Disc-B, dan Disc-C dengan 4 22 22 18 19 21 16 18 20 Pengolahan menggunakan Minitab didapatkan hasil sebagai berikut :
  • 37.
    Discriminant Analysis LinearMethod for Response: Class Predictors: Disc-A Disc-B Disc-C Group 1 : 2 3 4 Count 8 5 4 4 Su~iinaryof Classification Put into .... True Group .... Group 1 2 1 8 0 2 0 3 3 0 2 4 0 0 Total N - . 8 5 N Correct 8 3 Proportion 1.000 0.600 N= 21 N Correct = 19 Proportion Correct = 0.905 Squared Distance Between Groups 1 2 3 4. 1 0.0000 23.7963 27.6785 91.6223 2 23.7963 0.0000 1.5340 23.9980 3 27.6785 1.5340 0.0000 18.9984 4 91.6223 23.9980 18.9984 0.0000 Linear Discriminant Function for Group 1 2 ' 3 4 1 - i Constant -180.02 -100.01 -91.77 -45.81 Disc-A 1.66 1.52 1.09 1.27 i Disc-B 9.57 7.24 6.65 4.03 Disc-C 7.03 1.86 5.48 3.88 1 Summary of Misclassified Observations Obse~vztion True Pred Group Group 10 2 3 Group Squared Distance 15.8730 3.6080 2.4540 32.4270 31.3381 0.8591 0.5569 16.3589 Probability
  • 38.
    Prediction for TestObservations Observation Pred Group From Group Sqrd Distnc
  • 39.
    IVIATA KULIAH METODEPENELITIAN DAN TELAAH PUSTAKA ANALISIS KORESPONDENSI Oieh: Hesti Heningtiyas (G03400007) Paras Sujiwo (G03400020) Salma (G03400033) Erly Crisma A (G03400045) Tri Maryugo H (G03400060) JURUSAN STATISTIKA FAKULTAS MATEMATIKA DAN ILMU PENGETAHUAN ALAM INSTITUT PERTANIAN BOGOR I 2003
  • 40.
    Latar Belakang Greenacre(l984)menyatakzn bahwa penyajian data secara grafis mempunyai beberapa kelebihan diantaranya dapat meringkas datapudah diinterpretasikan, karena dapat menyederinanakan aspek data dengan meoyajikan secara visual. Salah satu teknik statistika deskriptif yang dapat digunakan untuk menyajikan data secara visual adalah analisis korespondensi,dengan cara mereduksi data berdimensi banyak kedalam ruang berdimensi yang lebih rendah (biasanya dua) berdasarkan akar ciri terbesar untuk mempeiiahanhel inhr~asyia ng optimum. Tujuan Analisis korespondensi tujuannya edalah untuk menganalisis peubah kategorik yang disajikan dalam bentuk tabel kontingensi dua arah sebagai konfigurasi titik pada mang vektor berdimensi dua ,..:~k melihat keterkaitan antar peubah yaitu secara profile baris dan kolom. 1 Tinjauan Pustaka I Analisis korespondensi merupakan teknik untuk menganalisis peuph kategorik yang disajikan dalam tabel kdiangensi (tabillasi silang) dan berskala nominal.Analisis ini dzpat digunakan I sebagai teknik penyajian sinultan terbaik dua gugus data yang berisi baris dan kolm dalammatiiks data. - ? . Analisis korespondensi dibagi menjadi dua,yaitu i analisis korespondensi sederhana dan analisis korespondensi ganda.Disebut analsis ! korespondensi ganda karena inempunyai dua 1 gugus peubah. Analisis korespondensi menggambarkan kedekatan profil antar kategorik pada tiap gugus 2 datadalam bentuk grefik. Apabila dua titik yang mewakili profil titik selang berdekatan, dapat : dikatakan bahwa dua profil tersebut mempunyai sebaran yang sama. 1 Konsep yang digunakan dalam analisis i ini adalah penguraian nilai secara 1 GSVD(memiliki nilai pembobot) yaitu mereduksi i dimensi dat~b erdasarkan keragaman data (nilai i akar cidinersia) terbesar untuk mempertahankan informasi optimum.Anallsis korespondensi t menggambarkan kedekatan profil antar kategori pada tiap gugus data dalam bentuk grafik. Konsep dasar, yang digunakan dalam analisis korespondensi adalah : 1. Matriks korespondensi 2. kaidah equivalensi dalain sebaran 3. Sembarang profil 4. Kriteria terbaik 5. Korelasi kuadrat dan kontribusi mutlak 6. Unscr-unsurpenjelas Aaalisis korespondensi dapat didekati dengan cam : 1. Resiprocal Averaging (persaman transisi) 2. Dual Scallmg (perskalaan ganda) 3. Canonical Correlation Analisis of Contngensi tables Worelasi kanonik pada tabel kontingensi 4. Simultaneous Linier Regression (regresi simultan) PEMBAHASAN DAN APLIKASI Dalam Analisis Korespondensi digunakan penguraian nilai singular terampat (generalized singular value decomposition@VD). Analisis Korespondensi menggambarkan kedekatan profil antar kategori pada tiap gugus data dalam bentuk grafik. Sehingga untuk mengintepretasikan plot dua dimensi dilihar dari kedekatan antar profil. (Johnsons & Wichern, 1998). Suatu matriks data N berukuran IxJ dimana N adalah tabel kontingensi dua arah tidak negatif: N (IXJ=) [n ij} ,d imana n ij 2 0 Matriks Korespondensi P dapat dipercleh dengan cara membagi setiap unsur matriks N dengan total semua unsur N (n..), dinotasikan sebagai berikut: P (1x0 = (Iln..) N Dalam matriks korespondensi P, diperoleh vektor baris daa kolom: r (1x1) = P I dan C (1x1) = P' 1 dimana r adalah vektor yang unsur-unsurnya merupakan jumlah unsur dari vektor-vektor baris matriks P, r i > 0 (I=1,2 ,..., I), dan c adalah vektor yang unsur-unsurnya merupakan jumlah unsur dari vcktor-vektor kolom matriks P, cj > 0 (j-1.2 ,..., J). Matriks vektor baris dan kc.'"."' ". .. dinyatakan sebagai berikut:
  • 41.
    R (IrJ) =D-'P dan C (Id) = D -' P' r c Dimana, Dr : Matriks diagonal dengan dii adalah total baris ke-I dalam matriks P, Dc : Matriks diagonal de~gan djj adalah total kolom ke-j pada matriks P. Koordinat profil baris dan kolom dapat diperoleh melalui penguraian nilai singular terarnpat (GSVD) terhadap matriks maka diperoleh: (P-rc')(ld)=A(lxK)Dp(KxK)B'(Kxl), dengan syarat keortonormalannya A'DF~=B'D~B=IS. ehingga koordinat profil baris dan kolom dinyatakan sebagai btrikut: F=LDp=n-!ADp dan r - Untuk menafsirkan profil-profil pada peta konfigurasi dapat dilakukan dengan melihat kontribusi mutlak (the absolute contributions) yang menunjukan proporsi keragaman yang dapat diterangkan oleh mas ng-masing profil terhadap pembentukan sumbu Ltama dan kontribusi relatif yang menunjukan proporsi keragaman yang dapat diterangkan oleh sumbu utama terhadap profil-profil tersebut. I STUD1 KASUS ! 1. Persaingan antar toko dalam pemenuhan kepuasan terhadap konsumen (Singgih Santoso, 2001). 2 Kasus: - Penulis ingin mengetahui bagaimana posisi toko LARIS dibandingkan dengan beberapa ! pesaingnya saat ini, yaihl toko BARU, JAYA, : LESTARI dan MURAH. . Metode: - Metode yang dipakai adalah dengan , penyebaran kuisoner kepada sembilan orang yang diketahui sering berbelanja di kelima toko yang . akan dibandingkan, dengan asumsi kesembilan konsumen tersebut mencerminkan sikap konsumen selama ini. Kepada sembilan responden, diberikan sepuluh pertanyaan - berkenaan dengan sepuluh obyek pengamatan (Lokasi toko, kebersihan~ toko dan sebagainya) dan kepada untuk setiap obyek beserta toko yang ada pada kuiscner, mereka diberi pilihan sebagai berikut : 8 Memheri nilai 0 untuk obyek pengamatan pada toko tertelitu jika ohyek yang dimaksud dianggap - tidak memuaskan. 8 Memberi nilai 1 untuk obyek . . pengamatan pada toko tertentu jika obyek yang dimaksud dianggap memuaskan. Ptmbahasan : - Dari sembilen konsumen yang dijadikan responden diperoleh data dalam tabel kontingensi senagai berikut : 1 2 3 4 Baru 4 4 5 6 Jaya 3 4 7 8 Laris Dengan tiap baris mewakili : I Baris I Atribut 7 4 9 5 1 I Lokasi Toko 2 1 Pelayanan Karyawan 3. 1 Pelayanan kasir 4 I Lampu (Penerangan) Lestari 5 9 4 7 Murah 9 7 4 9
  • 42.
    Symmetric Plot , -0.3 8 I I I I I I I 1 1 a.3 -0.2 -0.3 0.0 0.1 0.2 0.3 i Component 1 ! Interpretasi Output Dari Analisi Kontingensi Tabel diperoleh nilai j 0.8012 untuk nilai axist = 2, sehingga untuk pemakaian grafik Atla. dimensi, total dari keragaman yang dijelaskan sebesar 80,12%.' Dari gambzr untuk symmetric plot di peroleh i Feterangan bahwa toko LAMS memiliki ciri 4 keunggulan yang relatif : sama apabila dibandingkan dengan toko JAYA, yaitu sama - sama memiliki keunggulan di atribut pelayanan kasir, harga-harga barang dan hadiah langsung. Sehingga apabila pihak manajemen toko LANS ingin menarik perhatian pelanggan dari toko .JAYA, maka pihak manajemen harus meningkatkan mutu pelayanan kasir, harga-harga barang dan hadiah langsung. Begitu pula apabila toko laris ingin bersaing dengan ke-3 toko yang lain, maka peningkatan dalam bidang atribut yang telah tersebut di atas dan atribut yang lair. perlu dulakukan. Misal toko LAMS ingin bersaing dengan toko EARU, maka selain atribut pelayanan kasir, harga-harga barang dan nadiah langsung, toko LAMS perlu meningkatkan atribut kebersihan toko dan keleluasaan bergerak. Jika ingin bersaing dengan toko MURAH, maka mutu dari AC perlu ditingkatkan. Untuk lokasi toko, karena tidak mungkin dipindah, maka ha1 itu tidak pzrlu dilakukan. Dengan penelusurab, yang sama, ha1 itu berlaku juga untuk persaingan dengan toko LESTARI. 2. Analisis Kepuasan Pelanggan Terhadap Kualitas Pelayanan. Studi Kasus : PT Askes Cabang Bogor (Aliah Rarasantl, 2003). Komentar : Penulis berupaya untuk mengetahui tingkat kepuasan responden pengguna askes terhadap Informasi prosedur, kelengkapan fasilitas, ketersediaan obat dan keringanan biaya pengobatan yang diberikan oleh PT Askes Cabang Bogor. Responden diberikan pilihan untuk menjawab berdasar skala ordinal, yaitu 1= tidak puas, 2=kurang puas, 3=puas dan 5=sangant puas. Analisa yang dilakukan dengan simple korespodensi dengan tingkat kepuasan sebagai variable ( kolom) dan pengamatan sebagai obyek (baris). KESIMPULAN Analisis korespondensi merupakan bentuk penyajian data secara visual kedalam dimensi yang lebih rendah, sehingga diperoleh data yang lebih ringkas dalam bentuk grafik dan lebih mudah untuk diiinterpretasikan. Namun analisis korespondensi ini hanya terbatas pada teknik statistika deskrtifnya saje, sedangkan analisa eksploratifnya tidak dijeiaskan. lnterpretasi dari analisis korespondensi yang berasal dari gugus yang berbeda perlu diperhatikan, karena tidak ada ukuran jarak secara matematis (hanya dapat dilihat secara kasat mata). DAFTAR PUSTAKA AIarn,M.C.2001. Analisis Data, Rancangan Percobaan, Peubah Ganda dan Riset Operasi. Du*iastuti,T.H.1990. Analisis Korespondensi pada Data Biner Greenacre,M.J.1984. Theory and Application Correspondence Analysis. Academic Press,Inc.,London Santoso,Singgih dan Fandy Tjiptono. 2001. Riset . - Pemasaran. PT.Elex Media Komputindo Gramedia. Jakarta SoIikan.1998. Pols Penyebaran Zooplankton Akibat Pengamh Limbah Air Panas.
  • 43.
    LAMPIRAN Hasil Pengolahanmelalui MMITAB didapat output sebagi berikut : S y m m e t r i c P l o t i j C o m p o n e n t 1 Analysis of Contingency Table Axis Inertia Proportion Cumulative Histogram 1 0.0248 0.4632 0.4632 *~"****""**********ii****i* 2 0.0181 . 0.3379 0.8012 *'**""****+*"***** 3 0.0082 0.1526 0.9538 ******'** 4 O.OC25 0.0462 1,0000 ** Total 0.0536 Row Contributions ---- Component I---- ----Component 2---- ID Name Qua1 Mass Inert Coord Corr Contr Coord Corr Concr 1 Row1 0.400 0.085 0.143 0.054 0.032 0.010 0.182 0.368 0.156 2 Row2 0.991 0.085 0.188 0.334 0.935 0.380-0.082 0.056 0.031 3 Row3 0.966 0.088 0.202 -0.309 0.771 0.336 -0.155 0.195 0.117 4 Row4 0.158 0.106 0.063 0.065 0.131 0.018 0.029 0.026 0.005 5 Row5 0.66e 0.097 0.113 0.022 0.008 0.002 0.204 0.660 0.221 6 Row6 0.988 0.103 0.143 -0.210 0.594 0.183 0.171 0.395 0.167 7 Row7 0.748 0.097 0.001 0.016 0.065 0.001 0.052 0.683 0.015 8 Row8 0.893 0.112 0.057 -0.047 0.081 0.010 -0.149 0.811 0.136 9 Row9 0.968 0.121 0.045 -0.017 0.015 0.001 -0.138 0.954 0.128 1C Row10 0.928 3.109 3.038 0.i16 0.710 0.059 -0.064 0.218 0.025
  • 44.
    umn Contributions .. ID Name Qua1 I baru 0.321 2 jaia 0.602 3 laris 0.648 4 lestari 0.995 1 5 murah 0.962 Mass 0.181 0.181 0.205 0.196 0.230 Inert 0.085 0.143 0.210 0.330 0.233 -- .- Component Coord ~drr -0.059 0.137 -0.126 0.386 -0.181 0.597 0.252 0.701 0.095 0.165 I---- Contr 0.025 0.119 0.270 0.503 0.083 ---- Component Coord Corr 0.068 0.184 -0.094 0.216 -0.053 0.051 -0.161 0.288 0.208 0.798 2---- Contr 0.046 0.092 0.032 0.281 0.549
  • 45.
    SCII~5 ~hIlc, i?1111.; ANALISIS BIPLOT Disusun oleh: 1. Nurnalinah iG03400006) 4. Komar Diatna 1 2. Marta Sundari (G03400019) 5. Anggia Kumala M. ((G03400044) G03400057) 3. Katih Dwi S. (G03400032) dose^;: Dr. Ir. Budi Susetyo, M.Sc. I C I1 PENDAHIJLUAN sebagai ke~niripan sifat dua objek. Semakin dekat letak dua buah objek Analisis biplot diperkenalkan oleh maka sifat yang ditunjukkan oleh n~lai- (Gabriel pada tahun 1971. Pada dasamya, nilai yeubahnya selnakin mirip. 1a"alisis ir.i merupakan suatu alat statistika 2. Pan.jang vektor peubah sebanding I.;v . ang menyajikan posisi relatif n objek dengan keragaman pzubah tersebut. ; pengrmaten dengan p peubah secara Semakin panjang vektoi peubah maka ,',s -ir nuIran dalam dua dimensi. Dan anaiisis ini keragalnzn peubah tersebut semakin :dapat dikaji hubungan antara pengamatan tinggi. . . ~dan peubak. Selain itu juga menunjukkan 3. Nilai sudut antara dua vektor peubah 1: hubunsan antar peubah dan kesamaan antar menggambarkan korelasi lcedua peubah. . fpngamatan. Serta dapat dilihat juga penciri Semakin sempit sudut yang dibuat antara I masing-masing objek. dua peubah maka semak~n tinggi ' Dengan menggmakan biplot akan korelasinya. Jika sudut yang dibuat tegak :idiperoleh visualisasi dari segugus objek dan 2 lurus maka korelasi keduanya reudah. -pubah dalam bentuk grafik bidang datar. Sedangkan jika sudutnya tumpul ;Data yang digunakan dalam metode biplot (berlawanan arah) maka korelasinya dapat berupa data rataan a.tau data asli. negatif. 4. Nilai peubsh pada suatu objek dapat -. PEMBAHASAN menginformasikan keunggulan dari setiap objek. O'fijek yang terletak searah D~finisi dengan arah dari suatu peuSah maka~ Biplot inerupakan teknik statistika ililai peubah objek tersebut diatas nilai deskriptif dimen~i ganda yang dapat rata-rata, dan sebaliknya. disajikan secara visual dengan menyajikan s:ccra simultar, segugtisan cbjek Konsep .%nalisis pengzrnatar? dan peubah dalam sustu gtigus Analisis biplot didasafian pada PNS pada suatu bidang darzr sehingga ciri-ciri (Pengiraian Nilai Singular) atau S'D -wubah dan objek pengamatan serta. posisi relatif antar objek pengsmatan dengan (Singular Value Decomposition). Misal data peubah dapat dianalisis (Jollife, 1986 & yanz digunakan untuk dianalisis berupa niatriks X berpangkat r., berukuran i7xp (~7 Rewlings, !98P.). Dari tampilan biplot tersebut ada beberapa inf~rinasip ang dapat bacyahya objek dan p banysknya peubah) yang terkoreksi terhadap rataaltnya, maka iiperoieh, yaitu: . peneripan kcrnsep S?D terhadap instriks X 1. Kedekatan antar obiek I kcdeitatan Ietak sebagai berikut; (posisi) &a. buah objek diinterpretasikail
  • 46.
    U dan Amasing-mazing berukuran rlxr dan px~se rta U'U - A'A = I (Ir = matriks identitas berdirnensi r) L adalah matriks diagonal berukuran rxr dengan unsur-unsir diagonalnya adalah akar kuadrat dari akar ciri X'X atau XX' sehingga > & t .... > A. Uns~lr-unsur diagonal rnatriks !, ini disebut cilai singular dari rnatriks X. Kolam matriks A adalah vektnr ciri dari 5 matriks X'X atau XX' yang berpadanan ' aengan 1, ikdangkan lajur-lajur matriks U dapat ;iihitung melalui persamaan: 3engan /1 adalah akar ciri ke-i dari matriks :i'X dan ai adalah lajur ke-i matriks A. iecara matematis SVD dapat ditulisf .X, = .Ur ,L, 'AP Seteiah diperoleh penguraian nilai rngular dcngan mengunakan persamaan X= L A' matrik X dapat difakorkan dalam . i:ntuk : S = <;N' G dan I-! adalah suatu rnatriks yang masins-masing berukaran nxr dan pxr. Faktoriszsi ini dapat ditulis dalam bentuk Xij = g<hj i = 1,2 ,....., :7 i = i,2 ,..... P Xi! adalah unsur baris ke i dan lajur ke j ~natriksX , gi'adalah unsur baris ke i lriatriks G, dan llj adalah unsur baris ke j rnatriks P..Vektor g; menerangkan unsur baris (objek) ke i matriis X, dan vektor h; menerangkan unsur lajur (peubah) ke j lnatriks X.Vektor-vektor g: disebut juga vcktor pengaruh baris(objek), sedangkan vektor-vektor i? disebui vektor pengar~~h lajur (peubah). Faktorisesi matriks ' ini tidak khas, pelnilihan bentuk faktorisasi tergsntung pada pengaiai nilai smaular. Pemilihan Bentuk Faktorisasi Berdassrkan penguraian nilai singular, didefinisikan matriks L adalah mat& diagonal, yang diagonal utamanya adalah akar kuadrat dari akar ciri. Sekarang definisikan Lc,adalah matriks diagonal pang unsur diagonal ke r adalah ha,, dan definisikan juga L'~seb agai matriks diagonal, tmsur diagonal ke r adalah hi Tetapkan - G=ULc dan H=L'*X, sehingga : X = GK= ULa Lia A. = ULA' Der~gan demikian pemilihan bentuk faktorisasi dilakukan dengan rne~nilih a da!am seizng tertutup C dan!(O 5aSl). (Jolliffe,1986) o Jika u =0, maka : G = U dan H = LA' sehingga diperoleh hubungan : GG= I, XX=hX Dzn untuk suatu vektor x; dan x;. tinsur ia;ur ke j dan ke j' matriks X diperoleh hubungan
  • 47.
    ntar pecbah matrikX bungzn antar vektor ubah). Berdasarkan antar peubah yang antar peubah didefinisikan C. .. ' I-J /f7hi q7 = - - &ingga panjang dan jarak antar vekotr ~ngaruh lajur (peubah) sebanding denan again peragaln peubah - matriks X, dan rsinus sudut yang dibentuk antar vekor pngaruh lajur (peubah) sama dengan iorelasi antar peuhah lnatriks X.Selain itu kngan a = 0 jarak antar vektor pangaruh nris (objek) ke i dan ke i' dapat dihitung iengan jarak Mahalanobis yang sebanding kngan jarak Eucliden Bukti : Brak Mahalanobis antar 2 pengamatan si: xi. kngan mengasulnsikan S-I ada dideiinisikan tbagai: 6hi2 - (xi-x;.)s-'(xi-s;.) tdangkan jarak eucliden adalah: Fhi2 = (gh-sF(~,~- i) irak Eucliden mempunyai keterbatasan, aitu adanya asunisi bahwa semlla peubah rrus mempunyai ragaln sama dan tidak trkorelasi. Jarak Mahalanobis rnemberi tmbobot lebih seai~it terhadap peubah ar?g rzgainnya besar. ika x,- = gi'hi ~naka xi' = g;H, i=1,2 ,...., n. ika disubs:itusikan pada persamaan. jarak ,iahalanobls: 6h; = (gh-si)~sK- 'H (g,,-zi) = (n- l )(gl,-g,j'~~'(~'~)-'~~(S:,-g;) arena H' = LA' dan S" = (~-I)(X'X).!, :rta X'X = (ULA')'ilJL.A') = AL(U'U)LA = AL?A' scl~i~~gca: (X.X)-=' A L-'~' maka persamaan di atas nieniadi: bh;=(n- l )(gh-g;)' L(A'$)L-'(A'A)L(~~,-~~) = (n- I )(gl,-g;)L~ L=(gh-z<) karer~a tiap kololn pada A orthogonal s-hinu::a A'A=I I = (.-(g-(g-) ...... Terbukti. Pada kezdaan ini jarak Euclid antara gl, dan gi akan sania dengan jarak Euclid antar x i dan xi-, karena: (x;-~yy(x i-xi.) = (gl,-~iyH ' H((gh-gi) = (gh-gi!' A -4(gi,-gi) = (gh-~i)'(gh-~i) o Jika a =I, mzka ; G = UL dan H' = A', sehingga diperoleh hubungan : H'H = !, X X=GG' Dan untuk suatu vehtor xi dan xi. , dari matriks X diperoleh hubungan: xi xi. = g; gi. iis$=/ llgill cos (xis;.) =cos (g; g; j 11 xi - xi. I/= /lgi - gi.11 sehingga hubungan antar objek dalam matriks X diterangkan oleh hubungan antar ~eh~operr ~garuh baris (objek). Persalnaan terakhir menyatakan bahwa jarak E~lcliden anrar objek ke i dan ke i' matriks X sama defigan jarak antar vehTor pengaruh baris (objek) ke-i dan ke-i'. Hubungan lei:^ yzng dapet dijelaskan dengan a=l yai:u vekor pengaruh. baris (objek) kc-i (g;) salna dengan skor I:ompcnen utaina untuk objel; ke-i. Berdasarkr?n analisis komponerl uta!na tcrdapat hubongan : X- = z;, ajI+ zil a;?+ ...... + z;, air I! zi.s = uik hi; adalah skor komponcil irtama untuk objek ke-i pada komponen utama ke - k; dan a;k adaiat penbobot pada peubah ke - j pada kmponen utama ke-k.Tetapi dengan a=l, G=UL rian H=A sehinga unsur ke -!i tektor pengaruh baris (objek) gi sama dz~igan zik pada anaiisis komponen utama, dan h; sai-na dengan ai pada analisis .- ' <
  • 48.
    poien utama yany~nenyatakan bobot peubah kej pada komponen a. Jika a= 0.5, ~naka - UL" dan tf' = L" A' sehingga roleh hubungan : X= GH' X = UL" L" A'= "LA' g menyatakan bahwa hasil kali vektor aruh baris (objek) dan vektor pengaruh r (peubah) salna dengan unsur-unsur tiks X. Biplot dengan a=O.j dapat nakan sebagai pilihan untuk ggambarkan tebaran sabungan vektor-or objek dan peuhah. indekatan Bipiot Suatu Matriks Data Biplot yang dihzsilkan dari suatu driks berpangkat dua maka dapat gambarkan secara tepat. Apabila ternyata gtriks data tersebut berpangkat lebih dari maka perlu dilakukan pendekatan biplot $a matriks tersebut 'nlelalui perryusutan sng dimensi, dari dimensi asal ke dimensi k dengan persamaan : spat didekati dengan: - 111 Xu = x U, & , dengan m<r k=l qu ditulis sebagai: k=I l-- (uli, u?~,)i, = 1,2,3 ,......., n i=(klal;, 12a2j) , J = 1,2,3 ,...., P ing masiny-masing gi'dan k!, men~arrdung 'unsur pertalna vektor gi dan hi. 3roksimasi dengan ~ncnggunaksn m=2 aanya sudah cukup baik. Jika m13 ~naka -k. ~gm~~.nbimn_de!~(G~b1r9l8P1)!.; Aproksilnasi lnatriks X dapat diukur lgan kocfisicn kebaikan stai: ngan hl = akar ciri terbesar pertarna iq = akar ciri terbesar kedua 7, = akar ciri terbesar ke-i Jika p%endekati nilai sztu berarti biplot yank diperoleh dari matriks pendekatan berpangkat dua akail memberikan penyajian yang semakin baik mengenai infonnasi-informasi yang terdapat pada data yangsebanamya. Tahapar. Metode Biplot 1. Data X" wu11dhI p?dImhZ ...... ~ubhp ohin ix ,,, x,,? . . . .x 1 lv 2. Kore-k si tiap pcubah terhadap rataannya - -. - 7 3. Cari X'X 4. Cari akar ciri dan vekor cirinya kemudian urutkan dari yang terbesar 5. Cari L. A. dan U den,O an rumus: 6. Menghitung koefisien kebaikail suai dari dua aker ciri terbesar.Bila nilairrya cukup besai (1 7!%jrnaka pcndskatan biplot dapat ciigunakan untuk memberikan penyajian visual bagi inatriks data X. 7 bfenentulcan vektor pcngar5h Saris (ob.jek) Ci dark vektor pengaruh I3j~::(peubahjI< dengan nilai faktorisasi
  • 49.
    11M, enibuat tebarandari vektor-vektor banyak bank di !ndonesia. emakin banyak bank yang beroperasi, akan rneningkatkan . suhu persaingan diantara ereka. Persaingan untuk menarik pasar dilakukan dengan berbagai cara baik dalam bentuk fasilitas yang diberikan, hadiah , si, dan pengsnam ATM. sipasi persaingan ini pihak nk terkait perlu mengetahui posisi pesaing mereka. Berikut ini adalah rata-rata nilai . I Untuk mempennudah memahami - pennasalahan diatas rr~akad igunakan analisis biplot. 'Analisis: Matriks Xx(data): .* I9, .88 9.16 7.13 9.69 9.2C :6:~2 7.50 5.71 7.49 7.811 I 14.20 5.94 5.18 6.72 4.25 17.79 8.22 7.24 7.69 7.09 7.79 '1.27 6.95 5.34 6.59 5.42 '5.06 9.1 1 .F6! 4.85 6.18 5.69 5.25 6.01 435 ,7.36 6.98 5.08 7.11 6.99 Matriks )i terkoreksi: 13.0125 2.la25 0.17375 -0.5475 -O.5225 r1.75375 -2,6675.. - 1.11275 - 1.77625 0.9225 1.2425 0.28375 0.9225 0.2925 -0:OG625 -1.4475 -1.9175 2.15375 -0:GX75 - l 2R75 -0.7(1625 , 0.J925 0.0025 -0.37625 Himpunar. akar ciri dari Lnatriks X'X diurutkan mulai dari yang rerbesar: , (58.7722 11.0584 5.4264 1.9369 0.8065) Vektor ciri diurutkan berdasarkan akar cirinya: Matriks L: '7.66630 0.00000 0.00000 0.00000 3.0000C 0.00000 3.32542 0.00000 0.00000 0.00000 0,00000 0.00000 2.32917 0.00000 0.00000 0.90000 0.00300 0.00COO 1.39173 0.0003C I 0.0000 0.00000 000000 0.30000 0.S9805 Matriks A : '4.522922 0.175732 0.636143 4.53J735 0.06ljlO' -0.452~77 -0.162865 U.0390~6 0.400038 -0.783078 I -0.044818 0.892947 -0.367141 -0.129531 -0.22;475 -0402CS7 -0.366345 -0.659729 -0.5185bX 0.001~118 (-857U19a 013087 --0.153728 0.547227 0.577907j
  • 50.
    atrib U: I4J.(I77(lib 41.1 l IS60 11.4(1976'1 OIJ24iP4 1 ,~.12791X 0.15260i~ -D.1Y3%Y7 0.654')45 0.239710 ~,.14.:275 -0.63iP2l -11.242022 0.1S669Y -0.264392 1 .~.2?4619 0.0196iX -11.0101 13 -U.Ol6591 -0.686333 .0,UO(r373 U.22181 I 0.718226 (1.416368 -0.1 11W3 0,397782 0.672262 -026816X -0.345146 0.0013S6 0.~01521 -0.ii5669 0.287433 -0,322468 0.209882 .gD91484 -0.231371 Ol2i14Ul -0.044038 11586Y47 oefisien kebaikan suai : . . . . ............................................... ? Akar Ciri Kozfisien Persentase Kumulatif Kumulatif p ...:.: .................... ............... : 5 rr 58.7722 0.75348588 75.35% ,-- ; 11.0584 0.89525951 1 . . 89.53% 5. .- - -. -. - -- .- - .. ..... .. ..- -.. .-. - -- -. 5.4264 0.964828385 .... ... 96.48% ! : ....................................... -- .................................... 9 1.9369 0.389660309 98.10% ................................................................... 0.8065 1 looo/, 5$ cs>*-z-mv<= .-= =.*:#ac...s%az=.~-==#-<m=<5 >ULa dan II'=L'~A' lntuk a =0: >U dan H'=L4' latriks G =U 0.692191 -0 077076 -8.!279!8 0.152609 0.443275 -0.630221 .0.224619 0.01955S .0.006373 0.221Rl l 0.397782 0.673262 02015;l -0.l25669 .0.091JSS -0.25.!37< .latriks EI' = LA' -4.23887 -2.46959 -0.34382 -3.08214 -4.37568 0.58455 -0.47569 2.96342 ..1.2;825 0.43551 148212 0.09086 -0.85525 -i.53682 -0.35811 -0.70253 0.55675 -0.18934 -0.72171 0.76153 0.U5506 -0.70371 -0.19SS9 0.00127 3.51899 Biplot Penganlh Lapar (Peubah) Untuk a =1: G-ITL dan IQ'=.4' Matriks G=UL I -5.30655 -0.2563 1 - 0.98065 0.50749 3.39S28 - 2.09575 - 1.72200 0.06537 - 0.04886 0.73761 3.04952 2.23888 2.31163 -0.41790 ,-0.70137 -0.77939 Matriks H' =A' i -0.552922-0.452577-0.044848-0.402037-0.570794) 0,175782-0.142865 3.892947-0.366345 0.130874 0.636248 0.039006-0.367141-0.659729-0.153728 -0.504785 0.4000i8-G.l295$1-0.518568 0.547227 0.061310-0.783075-0.221475 0.001418 0.577907 -. 6iplot Penyaruo Rans (Objek)
  • 51.
    Eiplot Analisis Sank Interpretasi biplot : * Kedekatan anrai objek Dari tampilan grafik di atas dapat dilihat bahwa posisi bank BM, BII, Mandiri saling berdekatan. Eal ini lnenunjlikan ketiga bank tersebut memiliki ciri yeng hempir sama dalam peubah menurut para responden. * Panjacs vektor Dari parijang vektor - ve'ktor peubah, terlihzit bahwa peubah PITM memiiiki panjsng vektor yang terpsnjang. Dapet diinlerpretasikan bahwa keiagati~an peubah .4TM disetiap bank tinggi. Nilai sudut antar dua peubah Nilai sudut terkecil terbentuk antara vektor fasilitas dan ATM, herarti kedua peubah tersebut berkorelasi positif. Ini tilenunjukan peningkatan pemberian fasilitas diikuti peningkatan ATh4 disetiap bank. Gambar biplot di atas lnampu memberikan informasi sebanyak 89.5 % dari keseluruhan informasi pada tabel. Interpretasi lain yang dapat diperoleh dari gambar adalah sebagai berikut : BCA diposisikan sebagai bank yang terbaik dalarn ha1 fisilitas yang dimiliki, hadiah yang dijanjikan, ATM dan lokasi - lokasi transaksi. Pesaing yang muncul untuk BCA adalah bank Mandiri,BNI: Bali. Sementara it2 BRI dan Universal dicitrakan sebagai bank terlemah cntuk berbagai atribut tersebut karena tidak ada satupun vektor peubah yang mengarah ke kedua bank tersebut. Bank Niaga diimagekan sebagai bank dengan pelayanan yang terbaik. Daftar Pustaka Jollife, LT. 1986. Principal Component Analysis. Springer-Verlag. New York. Rahajo, hT;lr. 2031. Citra Pheiek Behe~aya Produk Sabu~ Mandi Berdasarkan Iklan Vang Dikenal Konsumen. Skripsi. Jurusan Statistika FIvfJPA IPB. Bogor. Siswadi dan B. Suharjo. i998. Analisis Eksplorasi Data Penbsh Ganda. J~trusan Matematika FMJPA IPB. Bogor. Suryanata, Yaya. 1991. Analisis Eiplot Ijntuk Data Kornunitzs Plankton Stasicn Selacau, Waduk Saguling. Skripsi. Jurusar, Statistika FMIPA IPE. Bogor.
  • 52.
    TUGAS METODOLOG1 I'IINELITIANDAN TELAAH PUSTAICA " METODE CHAID" " Chi-square Automatic Interaction Detector" Ole11 : Ester Kris~yanningsih Ci03400010 Dian Andriany GO3400024 No-~ia11 :dria I'raliwi GO3400036 Yuniwati GO3403049 - Ivan Noveri GO3400063 - PENDAHULUAN TIKJAUAN PUSTAKA Lntar Delak;tng Pada penerapan sel~ar-i hari, sering kita tuenemui data kategorik. Data kategorik dianalisis dengan menggunakan lnctode yang berbeda dengan metode yang digunaknli untuk menganalisis data numerik. Salah satu metode menganalisis data tipe ini adalah dengar1 nietode CHAID. CEAID adalah salah satu tipe dari AID. AID (Auton~wic 111terncriot1 Delecror) merupakan metode yang dikembangkan untuk menganalisis keterkaitan struktural pada data hasil survey. Dua jenis metode yang umum dipakai dalam AID adalah CHAID (Chi-square Auton~utic lnterncrion Detector) dan THAID (AID Tkera). Tuji~an CHAID nerupakan lnetode eksplorasi untuk lnengklasifikasikan data kategorik. Tujuan dari prosedur ini adalah membagi pengalnatan ke dalam grup yang dibedakan secara signifikan berdasarkan krireria tertentu. Output dari metode ini berupa dendogram (pohon klasifikasi). Segmentasi yang dihasilkan bersifat ~lirtrioly exclrcrive (saling bebas) atau setiap objek akan terkandung pada tepat satu segtnen (lidak overlap) (Magidson, 1993). Metode ini pun dapat digunakar~ sebagai analisis awal untuK analisis lanjutar~, misai regresi probit dan Iogit. CI-1AID juga dapat dipakai unt;~k memprcdiksi peubali respon dari kategori teltentu yang bsrkorzinsi dengan peubah penjelas. CHAID populer dalaln rise1 pemasaran, khususnya d;llam s?gmentasi pasar. Merode CHAID . . CHAID (Chi-Square Arrtomatic Inleracrion Detector) adalah suatu metode yang dikembangkan untuk menganalisis keterkaitan struktural pads data hasil survey. Datc tersebut biasanya meliputi satu atau lebih peubah respon dan peubah-peubah penjelas yang bers'fat. kategorik. Ada dua tipe peubah penjelas yang dikenal yaitu peubah monotonik yang nilai-nilainya bersifat ordinal dan peubah bebas yang nilai-nilainya bersifat nominal (Alamudi, 1998). Dalam menganausis gugus #a rnetode ini bekerja dengan cara memisahkan gugus data tersebut menjadi beberapa kelompok secara bertahap. Tahap awal dalam pemisahan data adalah dengan rnernbagi data menjadi anak gugus berdasarkan salah saru peubah penjelas yang paling signifikan terhadap peubah respon. Kelnudian masing-masing anak gugus yang terbagi diperiksa ke~baii secara terpisd~ dan dibagi lagi berdasarkan peubah laitlnya. Hal ini dilakukan terus menerus hingga diperoleh kelompok-kelompok pengainatan Y% nlempunyai ciri respon da;~ peubah penjelas tertentu yang salirlg berkaitan. Se~mentasi yang dihasilkan bersifat ii?zrlua!y erclusive (saling bebas) atau setiap objek akan terkandung pada tepat satu segnlen (tidak overlap) (Magidson, 1993). Hasil dwi CIIAID adalah suatu dendogran penisahan pcubah. Pembagian kategori berkisar antara dua sampai c (banyaknya kategori X). Dari dendogram-tersebut kita dapat memperoleh tiga tipe inforrnasi yaitu : I. Pengelompokan Pengamatan. Dengarnatal. digoloqgkan ke dalam kelompok-kelonpok yang relatif hotnogen
  • 53.
    dala~il kaita~inya denganpeubah panjclas dcngan peubah respon. 2. Asosiasi antar Peubah Kecenderuligan nilai pet:bah penjelas teflentu berpadanan dengan nilai peubah penjelis yang lain. . Interaksi antar Peubah I'enjeko Yaitu perwan silang dud peubali penjelas ,lalam pernisahan pengamatan menurut pe11l-ah respon. Addpun peubah pelijelas yang tidak signifikati terhadap respon tidal; dimasukkari ke dalanl dendogram. Aninya peubali ini tidak niernpengaruhi perilaku p5ubali respon ii Kata 'a~to~~~udrailacm' AID merujuk pida penggullaan komputer untuk melnbuat semua keputusan tentang penjelas mana yaag akan digu~ii~kiln ki~pit~l dill1 bilgi~i~i~il~iii penggunaalmya. Penggunaan kooiputer ?ads metode ini sangat penting artinya terutalna pada analisis yang melibatkan peubah yang banyak dan kategori yang banyak pula. Pada CHAID kriteria statistik yang diguiiakan pada sctiap pemisahannya adalah uji khi-kuadrat. Algoritma CHAID adalah sebagai bsrikut: 1. Pada setiap peubah penjelas, buatlall tabulasi silan!: antara katcgori - kategori peubah penjelas dellgan kategori-kategori peubali respon 2. Cari pasangan kategori yang mana sub-tabel 2xd (d adalah banyaknya kategori peubah respoli )dari tabel tersr-but yang ~nemiliki angka uji (hi kuadrat) paling -. kecil. Jika angke ini ridak mencapai nilai bitis (hasil ilji tidek berbeda nyata), gabungkan kategori ini menjadi satu kategori campuran, dan ulangi langkah ini sehingga angka uji terkecil sub-tabel 2xd pasangan kategori catnpuran peubali penjelas melampaui iiilai kritis (berbeda nyata) 3. Untuk setiap katcgori campuran yang herisi tiga atau lebih kategori asal,cari pemiseh--1 h'ner yang memiliki angka uji paling besar (khi-kuadrat). Jika X' hirzrng > X' 1a6d maka pelnbagian biner tersebut berlaku dan kembali ke langkah 2 4. Dari setiap peuhah peiljelas yang telah digabungkan secara optimal pilih yang paling si~nifikand engan F-value terkecil atau X hifrrt~g terbesar. Pcub;~ll penjelas . tersebut adalah peubah yang berhubungan langsung dengan respoli pada dendogram CHAID yang terbagi menurut kategori yang telah digabungkan. 5. Kembali ke langkah 1 untuk melakukan pembagian peubah yang belunl terpilih. Pengurangan ~adata bel kontingensi pada algoritma CHAID, dibutuhkan suatu uji signifikaiisi. Jika tidak ada pengurangan pada tabel kontingensi asal, maka statistik uji X' dapzt digunakan. Apabila terjadi pengurangan yaitll C kategori dari peub~h asal menjadi r kategori (r<c), maka tingkat kesalahan tunggal untuk uji signifikansi antar .peubah respon dan peubah penjelas yang tereduksi tersebut (Q) di'xalikan dengan pengganda Bonferroni sesuai deligan tipe peubahoya. jeais-jenis pengganda Bonferroni berdasarkan tipe peubahnya : Peubah bebas Adalah pelibah yang tidak monoton secara a!ami atau dapat berflukuasi secara bebas. Contohnya hubungan antara usia (rispon) dan pendapatan (pecjclas). Peubah bebas biasanya menunjukan :uatu trend menaik pada awal dan selanjutnya menurun. Penduga-penduga seperti daerah pemukiman, bahasa, kelompok populasi dan status pernikahan merupakan peubah bebas. . Peubah lnonotonik Peubah monotonik adalah suatu peubah jika hubungan antara respon dan peubah penjelasnya monoton secara alami, yaitu jka peubah pe~ijelasnya . naik, maka peubah responnya juga naik, dan begitu pula sebaliknya. - - . Peubah Float Peubah float adalah peubah monotonik yaiig mengandung nilai kategorik yang posisi urutannva tidak ieias. Dimaoa c: jurnldi karegori asal I: jurnlah kategori setelah penggabungan
  • 54.
    ,lgorit~l:it yang diajukat~Kass (1980) hauya dapat diterapkan pada data dengan peubah respon nominal. Nanlun dengan berbagai penyempurnaau dari sejunllah ilmuwan lai~se perti Magidson (SPSS Inc., 1998), CHAlrJ dapat mengakomodazi peubah respon ordinal maupun kontinu. Penduga kontinu akan dikategorikan secara oto~natis oleh perangkat lunak pengolah data. Dimana terdapat penganltall yang kira-kira satrta banyaknya pada masing-masing kategori (SPSS Inc., 1998; StatSoft Inc., 2002).AIgnr;tmx CHAlD terutama sesuai untuk mengeksplorasi data berukul-an bcs::.. Toit et.al. (1986) mengungkapkan bahwa CHAID tidak dapat diandalkan jika data berukuran kecil. CHAID menangani alnatan llilang dengan n~emperlakukannya sebagai kategori tersendiri (SPSS lnc., 1998). STUD1 KASUS Kasus 1 Sisrem imun (siste~n kekebalan tubuli) adalah pertahanan tubuh melawan infeksi oleh rnikroorganisme yang bisa lnenyebabkan penyakit. Ketika sistern imun tidak berfungsi sebagaimana mestinya nwka seseorang dikatakan mengalami defisiensi imun. HIV (AIDS) adalah penyakit yang menyerang sistem itnun ydng sampdi saat ini Selum ditemukan obe: atau vaksi~mya. Data Departemen Kesehatan yang dikutip deri . dari www.~elita-ilmu.or.id menunjukkan bahwa di lndoseia tercatat 2150 kasus AIDS sanlpai Juni 2001. Kasus-kasus AIDS ini dapat dikelo~npokkan menjadi beberapa kelornpok menurut krireria terte.ttu (peubah). Metode CHAID dapat : I . tvlengelon~pokkap~it~s ien petiderita tI1V Ice dalani tingkatan defisiensi itnun rinzan, sedang, dan herat berdasarkan karnk~eristikt erlentu. 2. Meilelusuri karaktcristik yang paling signifikan dalam metnbed;~ltan tirtgkst delisicnsi inlun pasicn pe~lderita HI/. Perincian peubah yang dizunnkan dalam penelitian ini adalall : Y (rejpon) : Titlgkat Iletisicnsi IIIIUI: (1) berat (2) sednng (3) ringan XI : Terapi (0) Tidak Terapi (1) Terapi X2 : Usia (0) QO (1) 20-29 (2) >=29 X3 : Cara Penularan (0) Hubungan Scks (1) Narkoba Suntikan X4 : Status (0) Tidak Menikah (I) Meaikah X5 : Pendidikan (0) <=SMP (I) SMU (2) Perguruan Tinggi X6 : Pekerjaan (0) Non-pelnjar (1) Pelajcr Dendogram hasil pemisahan C:-IAID &pat dilihat pada Izmpiran 1. Nilai kritis ).ang ditetapkan untuk menlperoleh dendogram tersebut adalah 5%. Dari enam peubah X hanya tiga peubah yang pengaruhnya signifikan dalam mernbedakan tingkat defisiensi imun pasien yang terinfeksi HIV, yaitu X6 (pekerjaan), X3 (cara. penularan), dan XI (terapi). Pada tahap pertama pemisahan CHAID peubah yang paling sig9ifika11 dalan~ membedakan tingkat defisiensi itnun pasien adalah peubah pekerjaan. Berdasarkan pekerjaannya pasien terbagi menjadi kelompok terapi dan kelompok tidak terapi. Kategori terapi terbagi rnenjadi ke!ompok hubungan seks dan suntikan narkoba. Ada (iga pasicn non-pelajar yang medapat terapi terinfeksi berat kareid hubungan seks, dan seorang pasien non-pelajar yang mendapdt terapi terinfeltsi ringan rnelalui narkoba suntikan. I<asus 2 CHAID populer dalam riset pemasaran kllususnya dalam segmentasi pasar. Studi kasus pada sektor automobil berikut ini adalah contoh analisis CI4AID. Tujudn penggunaan CHAID ini adalal~ untuk melihat peubah apa saja yang mempengaruhi perilakc respon. Perincian peubah yang digunakan adalah sebagai berikut:
  • 55.
    ret~dah,.. ..sang I,..., 7 (di :~tas 35 ...... GI rendah,. ..,sang Produk X3 rcndal~.,. .,s ax12 X? Aktivitas O....,S (Sangat rendah,. . . .sang X5 Tipe geografis (c'esa, ..., metro olitan) tcreduksi rlrenjadi ernpat kategori akl~irh asil dari penggabungan kategori yang tidak signifikan (sama). Hasil akhir ditampilkan dala111 dendogram psda lampiran 2. Perhitungan sepenuhnya dilakukail dengan menggunakan soJhteare kllusus. XG X7 X8 DAFTAR PUSTAIU Du Toit, S.H.C, Steylr A.G.W and Stumpf R.H.1986. Graplricol fiplor~~iorDy aia ,111alysis. Springer-Verlag. New York Erika; Yasmin. 2003. Metode Klasifikasi Berstruktur Pohon dengan Algoritrna CRUISE, QUEST, dan CHAID. Tesis. Jurusan Statistika, IPB. IPB. l.chniano, Thomas. Responder Profiling with . CHAID and De~endcncy Analysis, Struktur Keluarga ysia muda di keluarga Ukuran Mobil l~n~~://www.cmu.ed1u9. 99. hluninggar, N.S. 2001. Analisis l'ingkat Defisiensi -1rnun Pendcrita HIV I.....9 (Single, ..., Ice! uarga inti) I, .... 9 (sangat rendah, ..., sangat tinggi) Kecil, sedang, besar - rnenggunakan Ordinal Logit dan Metode CHAID.Skripsi. Jurusan Statistika, IPB. IPB SPSS IIIC. 2002. Answer TreeTM 2.0 User's Guide. SPSS Inc., Chicago, IL. Statsoft, Inc.2002. Electronic Statistics Textbooks. Statsoft, Tulsa, OK. htt~:llwww.statsofli~~c.cornltextbooWstatl~o mc.html. [Mei 20021 Dari sepuluh pebual~ penjelas, enam peubal~ berpengaruh signifikan pada penjualan produk automobil, yaitu XI, X2, X3, X4, X5, dan XG. Dari enam peubah tersebut, XI adalah peubah yang paling signifikan terhadap perilaku respon. Sehingga ditempatkan tepat dibawah node akar (respon). Dari sembilan kategori awal XI,
  • 56.
    Respon CD-4 TingkatDefisiensi Imun 27 Pasien (1) Berat 6 (2) Sedang 13 (3) Ilingan 8 X6 : Pekerjaan Non-Pelajar1 Mahasiswa 8 Pasicn (2) Sedang (3) Ringerr .- X3: Penulara~i >:3: Penularan Suntikan I-Iub. Sex Narkoba 3 Pasien 5 Pasien (I) 13erat 3 (1) Berat 0 (2) Sedalig 0 (2) Sedang 0 (3) Ringan !I (3) Ilingan 5 X6 : Pekerjaan :Pelajar1 Mahasiswa 19 Pasien I X1 : Terapi Non-Terapi Terapi 16 Pasien 3 Pasien (1) Berat 3 (1) Berat 0 (2) Sedang 13 (2) Sedang 0 (3) Ringan 0 (3) Ringan 3
  • 57.
    Lampirn~7,.~ D ataStudi I<asus I . . ilCiY___i_LY____ -,.->a- p-s"s.-P-...-2.w.--,e*~. m[iTl.,_r..-m-m ;I_-F_liLXG_Ir-Y-. ----! .. .;L 0 ........ 11. .1 ... !F,rn,rnrn 1 - !rI. I ..... oII_a1___2 i L~l~II.ILY~m.m....... !~..-. .. i l. .......... mo.::m L!L._L..-rl___l__r 1___5__iL_o_IELo____I(_~~K~mmi . . . . ...... 7 il1X..? :mmEjF- L_..~. .. . ! l_F__?l___o_m.il_JIm C2o ,. _jl~II__lm!miE.. .i ... .... : .............. . ..? ........ .... . ....... - ..:mi-=__ 3i_1rnF ........ lIEZ7CT.r.. ilop-, __ jmIL . ,[ li , ,L . ........3........... lz2?-Elmar- 7L...I imr ........ .............. .... 2 ....... :
  • 59.
    ISet~itl. 12 Mei2003 "Crossover Design dan Peoerapannya" Oleh: Dedi Alfin P GO3400008 Yudistira Candra Kala GO3400022 Risti Perrnxni GO3400034 Didik Prianto GO3400046 ' Pranowo Gunito GO3400061 . 1 PENDAHULUAN Latar Belakang Dalam menentukan perancangan percobaan, seringkali peneliti menghadapi kendala - kendala ..r:,, ,. yatw. 1) Terbatasnya ketersediaan unit pel.cobaan (subjekj dari segi jumiai-I maypun bizya yang dibutvhkan. 2) Ragam yang terlalu besar antar subjek sehingga pendugaan tentang pengaruh perlakuan sulit dilakukan. Untuk mengatasi kendala - kendala tersebut dirancanglah suatu desain yaitu ~rossove~r esigns. Crossover Designs dikembangkan pertarna kali oleh Koch (1972). Analisis non-parametrik digunakan Koch untuk rancangan dengan 2 perlakuan dan 2 periode percobaan. Pada perkembangan re!??j'~'tyaz~, 5sisd ilak~kand engan aialisis ragam yang dikembangkan oleh Williams. Tujuan 1) Mengetahui dasar penggunaan Crossover Designs. 2) Mengetahui kelebihan dan kekurangan Crossover designs. jj ivieiai(*karr analissisis fis$ka pa-.z studi kasus yang menggunakan Crossover Designs sebagai rancangannya. TINJAUAN PUSTAKA - Crossover Design Crossover Designs adalah suatu rancangan perlakuan dimana setiap unit - peicsbaan isdbjekj digunakan secsa berulang - ulang dan menerirna seluruh perlakuan yang dicobakan. Sehingga pengujian pengamh perlakuan dilakukan berdasarkan keragarnan dalam subjek (Wifhin Subject Variability). Nama lain dari Crossover Designs antara lain Changeover Designs, (Multiple) time series Designs, Designs Involving Repeafed Measurements dan sebagainya. Rancangan ini banyak digunakan pada bidang biomedis, rnisalnya penelitian tentang penyembuhan penyakit. Crossover Designs dipilih untuk penelitian penyakit yang kronis (treatable but not curable; tidak pulih setelah perlakuan pertama), penyakit yang cukup langka (subjek yang tersedia sedikit) dan jumlah perlakuan yang sedikit. Crossover design juga banyak digunakan pada bidang pertanian, psikologi, dan peternakan. Carryover Effect Masalah utama dari Crossover Designs adalah C2$~y9'ieEr ffect atau disebut juga Residual Effect Canyover Effect rnuncul ketika perlakuan ~ada periode ke-p
  • 60.
    dipengaruhi oleh perlakuanpada periode sebelumnya yaitu periode ke- (p-I). Kita bisa ambil contoh misalnya subjek diberikan perlakuan 'A" pada periode 1, dan perlakuan 'B" pada periode 2, maka total perlakuan pzda periode 2 yang diperoleh adalah: . Keterangan : Te : Total perlakuan pada periode 2 te : Pengaruh langsung perlakuan B rA : Canyover Effect perlakuan A Spesifikasi Model ' ' Model yang digunakan adalah Grizzle's Model yaitu sebagai berikut: Dimana : k= 1,2,3 ,..., p i= 1,2, ..., S m-= 1,2,3 ,..., t j= 1,2, ..., n Keterangan : p = rataan umum = pengaruh sekuens ke-i bii = pengaruh subjek ke-j dlm sekilens ke-i 7~=k pengaruh periode ke-k +,=pengaruh langsung perlakuan ke-m Lzpengaruh residual (Carryover .-=-4.. --I-!, CIlGbl) pc,tahba,, ~c-u~o Ada beberapa asumsi yang harus dipenuhi jraip~: 1) b, menyebar Normal (0,02b) 2) qkmenyebar Nonnal (0,02c) 3) Var (YijM) = c2bc 02s d) Coy {y&;) = ~2b Design Balanced for Residual Effect Design Balanced for residual Effect dikembangkan oleh William untuk memisahkan total pengaruh perlakuan dari residual effecf. Sehingga direct effect dapat diketahui. Untuk rancangan dengan 3 perlakuan, setiap perlakuan didahului oleh tiap perlakuan lainnya sebanyak 2 kali. Desainnya adalah sebagai berikut: Garnbai 1. Design Salanced fzr Residual Effect Untuk jumlah perlakuan yang genap, dapat diperoleh dengan satu bujur sangkar latin. Untuk jumlah perlakuan yang ganjil, dibutuhkan 2 bujur sangkar latin untuk menyeimbangkan . Pengujian Parameter Model Hipotesis yang dapat diuji dari rancangan diatas yaitu pengaruh langsung perlakuan, periode, sekuens dan residual. Dengan menggunakan analisis ragam, kntuk hipotesisnya adalah sebagai berikui: 1. Pengaruh langsung perlakuan. Ha:4,;42=1$3= ...=4 I=O (?erlahan ~d&5.2 ~?!@<!!!? terhadap respon yang diamati). HI : paling sedikit ada satu, dimana 4mso 2. Pengaruh Periode. Ho:~r=x2=...=~p=0 (Periode tidak berpengaruh terhadap respon yang diamati) H, : paling sedikit ada satu dimana nksO
  • 61.
    3. Pengaruh Sekuens. Ho:al=a;!= ...= as=O .(Sekuens tidak -berpengaruh terhadap respon yang diarnatj) HI : paling sedikit ada satu dirnana z also > 4. Carryover Effect i. H::hl:h;!= ...= ht-0 (Carryover effect tidak berpengaruh terhadap respon yang diarnati) Hi : paling sedikit ada satu hm # 0 Langkah - langkah analisis Williams dirnana jumlah perlakuan n=3 dan jumlah bujur sangkar latin m=2 adalah sebagai berikut. 1. Menghitung nilai Tt. Rt, Ftdimana : TI =Total perlakuan t R, =Total hasil dari perlakuan pada periode setelah perlakuan t diberikan. F, =Total dari sekuens dimana perlakuan t adalah perlakuaii terakhir. 2. Menghitung penduga pengaruh langsung perlakuan (i): f = rn11(n2 - II - 2); = (11' - II - l)T + IIR + F + (P, - ITG) dirnana : = !d3! k2y$:r:han, p, = total hasil pada periodel. Jumlah dari T untuk seluruh perlakuan harus tepat sama dengan no. 3. Menghitung penduga pegaruh residual (P): i = nlll(l12 - I1 - 2); k=~+~-rlT-. Jurnlah dari R untuk seluruh perlakuan harus tipat sarna dengan no1 4. Menghitung rata - rata pengaruh langsung, misalnya untuk perlakuan A: 5. Analisis Ragam Faktor Koreksi : JK Sekuens : r.. I , 'pt [( +(r..,):?--][( r...),= +(r ...)::] k-1 .k E s.l' JK Periode : JK Direct (unadj) : z;-. JK Residual (adj) : Xi?' n11l3 (11' - 11 - 2) JK Direct jadj) : C f' - 2 rn,15 ()I2 - I1 - l)(ll - 11 - 2) JK Residual (unadj) :
  • 62.
    JK Total : i= 1,2, ..., s (periode) j= 1,2, ..., t (perlakuan) k= 1.2, ..., p (sekuens) Total jumlah kuadrat pengaruh perlakuan (JKP) dapat dihitung dengan 2 alternatif: JKP = JKD(11r1flj+) JKR(fl4)a tau .JU = JKD(a4j) + JKA(tnia4) Kriteria pengujian: Untuk nilai a tertentu daerah penoia~anG Oa daiah DF,,i, > Fa. Uji Perbandingan Berganda Duncan Jika setelah d!akukan analisis ragam diperoleh keputusan banwa bahwa perlakuan berpengarlih nyata terhadap respon, akan dilanjutkan o!eh uji Duncan untuk mengetahui pasangan perlakuan mana yang memberikan pengaruh berbeda terhadap respon . Hipotesis yang diujikan adalah sebagai berikut Nilai kritis Duncan: Di mana: r, , G = nilai tabel Duncan pada taraf nyata a jumlah perlakuan p dengan derajat bebas galat db G. KTG = kuadrat tengah galat r = jumlah sekuens Kriteria pengujian: 1 > Rp, tolak Ho BAHAN DAN METODE Bahan D- a..t.a~ v,a na. akan dianalisis adalah hasil penelitian tentang pengaruh pakan terhadap produksi susu dari sapi ternak. Disiiii diberikan 3 jenis p&an sebagai perlakuan: A=Roughage B=Limited grain C=Full grain Gata produksi susu dihitung per periode (6 minggu) dalam satuan pounds selama 3 periode. Unit percobaan yang digunakan adalah 6 sapi.
  • 63.
    Metode Metode yangdigunakan adalah crossover desfgn dengan 3 perlakuan dan 3 periode, dengan tahapan terlihat pada gambar di lampiran 1. sisaan ). Sehingga asumsi kebebasan galat dan kehomogenan galat dapat dipenuhi. HASlL DAN PEMBAHASAN Tabel 2. Produksi susu per periode Pengujian Asumsi Sebelum dilakukan analisis ragam ( ANQVP. ) terhadap prcdiik susu sapi perah, terlebih dahulu dilakukan uji asumsi kenormalan galat, kebebasan galat, dan kehomogenan ragam. Pengujian diatas dilakukan dengan menggunakan Minitab 13.20 For Wndows. Gambar 1. Plot Peluang Normal Residual Dari pengujian pada taraf nyata (a) 5 %, diperoleh hasil nilai P-value>0.15. Ini berarti data menyebar normal. Oari pengujian juga diperoleh galat yng menyebar ad( dilihat dari plot Gambar 2. Plot Residual dan Nilai Dugaan Pada penelitian kali ini setiap subjek (sapi) menerima seluruh perlakuan dalam 3 periode aimana 1 peiiode kilangsung selama 6 minggu. Antara 1 periode dengan periode yang lain tidak terdapat jeda waktu untuk menetralisir pengaruh perlakuan yang diberikan pada periode sebelumnya (washout penoiod). Subjek, selain dipengaruhi oeh periakuan yang dicobakan pada periode tersebut, dikhawatirkan juga dipengaruhi oleh pertakuan pada periode sebelumnya. Sehingga penga~h perlakuan harus dibagi mefijadi 2 ysitu pengaruh langsung periakuan tersebut (direct effecf) dan pengaruh residual dari perlakuan pada periode sebelumnya (residual effect). Analisis Ragam
  • 64.
    ~eterangan":= nyata padataraf a.0.05 Dan hasil ANOVA diatas diperoleh hasil bahwa sekuens berpengaruh nyata terhadap respon. Ini berarti kondisi sapi berpengaruh terhadap produk susunya, karena memang dalam 1 sekuens terdapat 1 stibjek. Kemudian untuk nilai JKP (Jumlah Kiiadiat Periode) dihikng sebiz:ai jumlah kuadrat antar periode dalam 1 bujur sangkar yang sama, karena perlakuan dirancang dengan membagi data dalam 2 bujur sangkar latin sehingya pengaruh periode dihitung secara terpisah pada masing - masing bujur sangkar. Dengan adanya indikasi respon dipengaruhi residual effeii, pengaruh perlakuan dapat dihitung sebagai penjumlahan antara direct effect (unadj) dengan residual effect (adj) atau direct effect (ad! dengan residual effect (unadj), karena keadaan penjumlahan tersebut hasilnya sama. Untuk uji-F direct effect dan residual effect Kuadrat Tengah (KT) yang digunakan adalah Kuadrat Tengah adjusted. Pada kasus ini residual effect (adj) tidak krpengaruh nyata pada tarai nyata (a) 5%. Ini berarti pengaruh pemberian pakan pada periode sebelumnya tidak mempengarghi produk suswada periode selanjuinya. Ini cukup beralasan karena metabolisme pencernaan tidak membutuhkan waktu yang lama. Sedangkan untuk pengaruh langsung dari perlakuan (direct effect) berpengaruh nyata pada taraf (a) 5% ahnya jenis pakan yang diberikan pada sapi di periode tersebut akan mempengaruhi produk susu. Uji perbandingan Duncan Tabel 5. Hasil Uji Duncan (Nilai absolut selisih rataan pengaruh dua perlakuan) .Ke terangan: =nyaia paaa iarai u=O.O5 *It =nyata pada taraf a=0.01 Hasil uji perbandingan Duncan dapat memberikan keputusan mengenai perbedaan pengaruh perlakuan satu ' dengan yang lainnya. Pada taraf nyata a.0.01, perlakuan A dan B memberikan pengaruh yang tidak berbeda nyata terhadap respon. Ini berarii pwiga~hp emberian pakan jenis nughage dan limited grain pada sapi tidak berbeda nyata pada hasil prodcksi sum. Pada taraf nyata a=0.01, perlakuan B (limifed grain) dan perlakuan C (fvll grain) pengaruhnya juga tidak berbeda nyata terhadap hasil produksi susu. Tetapi pada taraf nyata yang sama i - ----x:L, ,L.,Vil"r.li.. a .A . h - - =. .- - . , C(an perlakuan C (full grain) berbeda nyata terhadap produksi susu. Pada taraf nyata u=0.05 seluruh perlakuan memberikan pengaruh yang berbeda nyata terhadap hasil produksi susu. Secara umurn hasil uji Duncan mendukung keputusan pada analisis ragam.
  • 65.
    KESIMPULAN Crossover designdapat digunakan sebagai rancangan percobaan untuk percobaan dengan subjek yang terbatas dan jumlah perlakuan yang sedikit. Kekurangan rancangan ini adalah membutuhkan waktu penelitian yang panjang dan adanya residual effecf. Salah satu cara t!ntl~k rnenetralisir pengaruh residual effect adalah dengan washout period. Namun lamanya periode tersebut sulit untuk ditentukan. Cara lain untuk rnenetralisir residual effect adalah dengan penggunaan design balanced for res!dua! effed ~anira ncangannya mirip dengan rancangan bujur sangkar iztiii. Dari studi kasus penelitian pengaruh pakan ternak terhadap produksi susu sapi diperoleh kesimpulan bahwa residual effect tidak berpengaruh nyata pada taraf a=0.05. Hal tersebut mungkin disebabkan karena pengaruh perlakuan yang cepat berakhir (pencemaan rnakanan berlangsung cepat) atau pengaruh dari design balanced yang dapat menekalialisir residual effect. DAFTAR PUSTAKA ?!arnhnn?ki; NKrishan, Lewis F.Carter. Hubert ~.~lalock,~1r9.7 5 .Applied Multivi?riafe Analysis and Experimental Designs. McGraw-Hill,lnc.New York. G. Cochran, William and Gertrude M. Cox. 1957 . Experirnenfal Designs. Second Edition. John Wiley & Sons,lnc. New York.
  • 66.
    residual effect t I Penqum~ulanD ata - I $- I I * -, Tidak adai i ... . - Ada fl I IV Uji Non-Parametrik Residual effect ANOVA pertima yang bisa dianaliiis. VII Design Balanced for Residualeffect cS?eleJsa i Garnbar 1. Bagan Alir Tahapan Cross Over Design
  • 67.
    $ Mablah MerodePenelilian dan Telaah Pustaka PENDAHSJLUAN Latar Belakang Analisis regresi digunakan untuk melihat hubungan antara satu atau lebih peubah penjelas dengan peubah respon. Mode! regresi yang digunakan tergantung dari peubah respon yang digunakan. Peubah respon dapat bempa peubah kuantitatif maupun peubah kualitatif. Pada penelitian sosial peubah yang diamati sebagian besar mempakan data kategorik termasuk data bier. Model yang sering digunakan untuk menganalisis peubah respon berskala biner (dicotornous/binary) adalah model logit dan model probit (Greene, 1990). Model logit dan model probit ~~empakaduna model regresi yang saying dapat menggantikan yang satu dengan yang lain untuk menganalisis peubah respon biner (Jeff Wu, 1985). Oleh karena itu sering hanya dibuat salah satu model tanpa mempertimbangkan model lain yang mungkin &an menghasilkan model yang lebii sesuai. Perbedaan antara model regresi linear dengan regresi probit logit diceminkan pada model parameter dan penggunaan asumsi. Tujuan Menemukan pendugaan paralnzter model terbaik yang bisa meneraugkan hubungan antara peubah respon kategorik dengan peubah penjelas. .. TINJAUAN PUSTAKA Menurut Hosiller dan Lemeshow (1989), peubah respon Y yang berkala biner dapat ditulis dengan dug riilai yaitu, Y=l jika kejadian sukses dan Y=O jika kejadian gagal, sehingga mengikuti sebaran Bernoulli dengan fungsi sebaran peluang : f(y = y, ) = niyl (I - diiana yi = {0,1) dan xi adalah peluang kejadian ke-i bernilai Y=l. Secara mum model pada regresi adalah y, = E(Y (x,)+&~,-oJIE(Y( xi) <+a dengan &i mempakan komponen acak. Dalam model regesi biner E(Y I xi) = xi dengan Var(Y1xi) = q(l-xi), sehingga model responnya menjadi yi= xi + si. Asumsi yang mendasari model - model regresi biner adalah bahwa peubah respon biner yi mempakan peubah yang saling bebas antara satu dengan lainnya (liang dan McCullagh, 1993). Galat ~i hanya menghasilkan dua nilai yaitu, si = 1 - jika yi=ldengan peluang isi dan E~ = -xi jika yi=O dengan peluang 1 - xi Sehingga ci menyebar binom dengan nilai tengah dan ragam
  • 68.
    sebagai berikut (Hosmerdan Lemeshow, 1989): . . E(ci) = (1 -ni)ni + (-ni)(l - xi) = 0 Var(zi) = (1 -xi)2xi + (-n,)'(l - xi) = (Tri)(l - n,) Regresi Lozit Regresi logit mempakan teknis analisis data yang dapat menjelaskan Iiubungan antara peubah respon yang memili dua kategori dengan satu atau lebii peubah penjelas berskala kontinu atau kategori (Hosmer dan Lamesow, 1989). Model Logit Model peluang regresi logistik dengan p faktor (peubah penjelas) adalah : Transformasi logit dari z(x) adalah diiana komponen g(x) yang me~pakan bagian komponen sistematik tersebut, dapat dituliskan dalam fungsi Smear dari peubah penjelas : Jika terhadap p peubah bebas dengan peubah ke-j merupakan peubah kategori dengan k nilai, maka diperlukan peubah boneka sebanyi~k k-1. Maka model transformasi logitnya menjadi : dimana : xj = peubah bebas ke-j dengan tingkatan kj kj., = peubah boneka Bj, = koefisien peubah boneka u = 1,2 ,..., k,.! Pendugaar; Parameter Dalain pendugaail parameter digunakan metode keiilungkinan maksimum (maximum likelihood) (Agresti, 1990). Dimana fungsi kemungkinan maksimum: untuk menduga Pi naka maksimumkan 1(P) Untuk memudahkan perhitungan, dilakukan pendekatan logaritma, sehingga fungsi log kemungkinarhya sebagai berikut : Niiai dugaan Pi dapat diperoleh dengzn membuat turunan pertama L(P) terhadap Pi = 0, dengan i = 0,1:2,. . .,p. Untuk memperoleh penduga kemungkinan maksimum ba$ parameter-parameter dari model, secara teknis digunakan metode kuadrat terkecil terboboti secara iterative (iteratively reweighted least squares) (McCullagh dan Nelder, 1989). Progam SAS/STAT menyediakan prosedur 'Proc Logistic' untuk menghitung nilai-nilai dugaan P. Pengujian Parameter Pengujian terhadap parameter-parameter model dilakukan sebagai upaya untuk memeriksa kebaikan model. Uji kebaikan model merupakan suatu peineriksaan apakah nilai yang diduga dengan peubah di dslam model lebih baik atau akurat dibandingkan dengan model tanpa peubah tersebut (Hosmer dan
  • 69.
    ,.8 Lemeshow, 1989).Dengan kata lain f diadakan pengujian hipotesis statistik ' - dalam menentukan apakah peubah-peubah . bebas dalam model mempunyai hubungan yang nyata dengan peubah resporaya. Menurut Hosmer dan Lemeshow (1989), uutuk mengetahui seluruh peubah penjeias di dalam model secara bersama-sama dapat digunakan uji nisbah kemungkinan yaitu uji G. Statistik ujinya berdasarkan hipotesis : H',:p1=p2= ...=pp= 0 HI : paling sediiit ada satu pj 0 (j = 1,2,...,p) Sedangkan rnmus umum untnk uji-G : Dengan kriteria uji : dengan = fungsi kemungkinan tanpa peubah penjelas dan Lk = hgsi kemungkinan dengan peubah penjelas. Statistik G mengikuti sebaran khi kuadrat dengan derajat bebas p. Sedangkan untuk uji nyata parameter secara parsial dapat digunakan uji-Wald. Statistikuji-Wald adalah : Hipotesis : H',:pj=o HI: p,no dengan kriteria uji : dengan Pj mempakan penduga dan s(jj) xdalah dugaan galat baku dari jj. Statistik uji Wald mengikuti sebaran normal baicu. Interpretasi Koefisien Menurut Hosmer dan Leineshow (1989), koefisien model logit ditulis sebagai pj = g(x+l) - g(x). Parameter pj mencerminkan pembahan dalam fungsi logit g(x) untuk pembahan satu nnjt peubah bebas x yang disebut log odds. Log odds nerupakan beda antara dua penduga logit yang dihitung pada dua nilai (misal x=a dan -x=b) yang dinotasikan sebagai : sedan&an penduga rasio-odh adalah: sehingga jib a-b=l maka yexp(P). Rasio-odds ini dapat diinterpretasikan sebagai kecenderungan Y=l pada x=l sebesar y kali dibmdingkan pada x-0. Model Probit Apabila diketahui peubah respon yang digunakan bempa data proporsi atau peubah biner, hgsi hubung yang dapat digunakan adalah fungsi hubung probit. Model probit adalah sebagai berikut : Dimana 0. adalah sebaran normal kumulatif, a dan P parameter yang hams diduga. & adalah sebuah peluang yang nilainya terletak antara 0 dan 1 untuk semua nilai x dan untuk semua ~lai parameter. Sebaran peluang yang digunakan dalam fungsi probit ini adalah sebaran
  • 70.
    normal baku (McCullaghdan Nelder, 1989). - diiana s adalah peubah acak yang menyebar normal baku dan i=1,2 ,..., n. sehingga g(x) = F"(7q) F adalah sebaran normal kumulatif dengan Interpretasi Koefisien Koefisien probit adalah pengad dari pe~bahans atu unit X pada pelluang normal lomulatif dari Y. Koefisien ini adalah pengamh pada Z scores. Tetapi peluang dari Y bnkan fungsi linear dari Z, tapi fungsi normal kumulatif dari Z. Pengaruh dari peNbahn satu unit X pada peluang Y tergantung pada level X, sehingga perlu dipili beberapa level' X sebagai tit& acuan. Interpretasi koefisien model probit dilakukan dengan meliiat tanda koefisien ifx sendiri. Iika koefisien yang diperoleh positif, maka kecenderungan Y=l lebi besar pada peubah bebas X=l dibandingkan dengan x=o. Kriteria Pemilihan Model Terbaik Beberapa ha1 yang menjadi kriteria dalam memilii model terbaik dari dua model yang diperbandingkan adalah dengan membandingkan antara dugaan dan amatan melalui Kuadrat Tengah Galat (KTG), sk 95% pendugaan parameter, nilai R' menggambarkan plot antara dugaan galat dengan dugaan X dan nilai kebaikan suainya ?. Selain itu, masing-masing model diuji dengan menggunakan uji Wald. KTG yang digunakan dalam ha1 ini adalah semakin kecil kuadrat tengah galat yang diperoleh maka model semakin baik. Jika z" (yi - ji)2 dapat digunakan sebagai i=l jumlah kuadrat galat, maka R~ dapat digunakan sebagai ukuran kebaikan suai model yaitu : Perbedaan Logit dan Probit Logistik berdasarkan pada peubah kditatif menggunakan sebaran binomial. Sedangkan probit berdasarkan peubah kualitatif menggunakan sebaran normal hulatif. Fungsi hubung pada regresi logit adalah fungsi hubung Iogit sedangkan pada probit adalah fimgsi hubung probit. Data yang palaing cocok untuk regresi logistik adalah yang bersifat observasional sedangkan pada probit bersifat experimental design. Dalam prakteknya hampir selalu menghasilkan has2 yang sama. Logit mungkin lebih mudah untuk diimterpretasikan. Perbedaan Regresi Linier dan Logistik Perbedaan antara regresi liier dan logistik terletak pada dua ha1 yaitu, 1. Selang nilai E(Y1X). 2. Model Regresinya. 1. Regresi Liier : - co I EvI X)I + rn RegresiLogistik : 0 I E(Y I X) 5 1 2. Regresi Linier : Y = E(Y I X) + E dimana : E(YIX) =Po+PlXl+ ...+Pd(,,, dan E-N(O, 2)
  • 71.
    Regresi Logistik :Y = E(Y I X) + E dimaxla : E(Y I X) = rr (x) = e8(") 1 + edx' dan g(X)=po+p,x~+...+P~X~ Kesimpulan Regresi Logit dan probit digunakan untuk mengetahui k~bungan antara peubah respon berskala bier (dicotomowhinary) dengan beberapa peubah penjelas yang bersifat kategorik atau kontinu. Model logit dan model probit me~pakand ua model regresi yang saling dzpat menggantikan yang satu dengan yang lain, Oleh karena itu sering hanya dibuat salah satu model tanpa niempertimbangkan model lain yang mungkin akan menghasilkan model yang lebii sesuai. Studi Kasus Judul :Kecenderungan Siswa SMTA Melanjutkan Pendidikan Oleh : ZulkamainPu:ungan (1995). Tujuan : Hasil KTG, R~ dan nilai % kesesuaian yang dihasilkan untuk mengecek kriteria model terbaik tidak terlalu berbeda jauh antara kedua model, tetapi nilai pendugaan parameter logistik lebii besar dari nilai pendugaan parameter model probit. Kita bisa menggunakan salah satu model saja tanpa aemperhatikan model yang lain. Hasil perhitungan yang lengkap dapat dilihat pada skripsi Zulkarnain Pulungan(l995). Daftar Pustaka Agresti, Alan. 1990. Categorical Data .Analysis. John Wiley and Sons,New York. Hosmer, D.W. dan S.Lemeshow. 1989. Applied Logistic Regression. John Wiley and Sons, New York. McCullagh, P. dan J.A. Nelder. 1989.Generalized L i a r Models. Chapman, London. Pulungan, Zulkarnain. 1995. Keceude-rungan Siswa SMTA Melanjutkan Pendidikan. Skripsi. Jurusan Statistika FMPA IPB, Bogor. Membentuk model kecende-rungan siswa SbITA melanjutkan pendidikan ke tingkat yang lebih tinggi serta menentukan faktor - fakt~yra ng mempengaruhinya. Membandingkan model Logit dan Probit sehingga didapatkan model yang lebih sesuai. Kesimpulan Dari 15 peubah bebas (Independent Variables) yang terdiri dari peubah kontinu dan kategoi-k ternyata hanya 11 peubah ym-g dapat meajelaskan kecenderungan siswa SMTA melanjutkan ke tingkat yang lebii tinggi.
  • 72.
    Tugas Metodoiogi Pcneiitiandan Telaah Pustaka Senin. 19 Mei 2003 METODE AMMl "Additive Main Effects.and Multiplicative Interaction" Oleh: Helga Kurnia GO3400009 Eneng Siti Saadah G73400023 M Taufik Faizin G 33400035 Edo Aprianto C 33400048 Dian Kusumaningrum 653400062 Dosen: Dr. Ir. Budi Susetyo, MSc. PENDAHULUAN Latar Belakang Percobaan lokasi ganda (multilocation) memegang perananpenting dalam pemuliaan tanaman (plant breeding) dan penelitian-penelitian lainnya di agronomi. Data yang diperoleh dari percobaan !okasi .ganda ini sedikitnya mempunyai tiga tujuan utama dalam bidang pertanian, yaitu: (a) Keakuratan pendugaan dan pemmalan hasil berdasarkan data percobaan yang terbatas. (b) -EAenentukan stabilitas hasil dan pola respon genotip atau perlakuan terhadap lingkungan. dan (c) Seleksi genotip atau perlakuan agronorni terbaik untuk dikembangbiakkan pada masa yang akan datang atau lingkungan yang baru. Faktor-faktor yang sering dilibatkan dalam percobaan lokasi ganda secara garis besamya dapat dibedakan menjadi dua yaitu genotip dan lokasi. iaktor lokasi sudah mencakup tempat (site), tahun, perlakuan agronomi (pemupukan, penyemprotan dan lainnya) atau kombinasinya. Secara umum. tiga sumber keragaman yaitu lokasi, genotip dan interaksi, merupakan ha1 yang penting dalam bidang pertanian. Analisis statistika yang biasa diterapkan pada percobaan uji daya hasil adalah analisis ragam (ANOVA), dan analisis komponen utama (AKU), penilaian terhadap kedua analisis ini dianggap kurang memadai dalarn menganalisis keefektifan struktur data yang kompleks. Analisis ragam merupakan suatu model aditif yang hanya menerangkan keefektifan pengaruh utama. Analisis ragam rnampu menguji interaksi tetapi tidak mampu menentukan pola genotip atau lingkungan untuk meningkatkan interaksi. Sedangkan pada analisis komponen utnma hanya efektif menjelaskan pengaruh interaks~ tanpa rnenerangkan pengaruh utamanya. Analisis ragam gabungan (combined analysis) merupakan salah satu alternative dalam percobaan lokasi ganda. Tetapi analisis ini hanya menjelaskan oengaruh nya'a atau tidaknya dari genotip dan lingl.ungan tanpa dapat menguraikan interaksi tersebut. Dengan demikian untuk memperoleh ga:nbaran secara lebih luas dari struktur data faktorial diperlukan pendekatan lain. Pendekatan ini dikenal dengan nama Pengaruh Utama lnteraksi Ganda (UIAG) atau AMMI (Additive Main Effects - and Multiplicative Interaction), yang merupakan gabungan dari pengaruh aditif pada analisi~: ragam dan pengaruh multiplikasi pada analisis komponen utama. Tujuan Tujuan penggunaan analisis AMMi adalah sebagai berikut: ..%. 1.Sebagai analisis pendahuluan untuk mencari model yang tepat. Jika tidak ada satupun komponen interaksi yang nyata, maka pernodelan hanya dengan pengaruh aditif dengan analisis mgam. Sebaliknya jika pengaruh interaksi saja yang nyata, maka pemodelan sepenuhnya ganda yaitu dengan analisis komponen utanla. Jika semua komponen interaksi nyata berarti pengawh interaksi sangat kompleks, maka tidak dapat dilakukan pereduksian tanpa kehilangan informasi penting. 2. Menjelaskan interaksi perlakuan dengan lingkungan. Metode biplot digunakan untuk membantu analisis AMMl dalam meringkas pola hubungan antar genotip, antar lingkungan, dan tiap genotip di lingkungan yang berbeda. 3.Meningkatkan keakuratan dugaan respon interaksi genotip dengan lingkungan. Tujuan ketiga ini terlaksana jika hanya sedikit kornponen AMMI yang nyata pada uji- F analisis ragam dan tidak mencakup seluruh jumlah kuadrat interaksi. Dengan sedikitnya komponen yang nyata sama artinya dengan menyatakan bahwa jumlah kuadrat sisaannya hanya sebagai galat (noise) saja. Dengan menghilzngkan galat berarti lebih memperakurat dugaan respon per-genotip dengan lingkunaan (k?tepatan dugaannya rnakin besarl.
  • 74.
    . ~ 3 Tipe 2: Suatu genotip (galur) dikatakan stabil jika responnya terhadap bermacam lingkungan sejajar dengan rataan umum respon dari semua genotip (galur) uji di . setiap lingkungan. ~ipe3: Suatu genotip (galur) dikatakan stabil jika kuadrat tengah simpangan dsri model regresi respon genotip (galur) terhadap indeks lingkungan kecil Analisis Ragam AMMl Perbedaan analisis ragam model AMMl dengan analisis ragam model gabungan terletak pada kornponen genotip lingkungan (interaksi). Pada anslisis ragam model AMMI komponen genotip lingkungan (interaksi) diuraikan rnenjadi m buah KUI dan komponen sisaan. TZ~CI? ~ilai~KuadrTael naah Sumber Keragaman pada .__._..._. 'KUI-m 'Sisaan Galat gab. Total Analisis AMMl Analisis AMMl adalah suatu teknik analisis data percobaan dua faktor perlakuan dengan pengaruh utama bersifat aditif sedangkan pengaruh interaksi dimodelkan dengan model bilinier ganda (rnultiplikatif). Metode AMMl menguraikan pengaruh interaksi menjadi komponen-komponen utama interaksi (KUI). Gauch (1992) rnenyatakan kelebihan analisis AMMl dibandingkan dengan analisis kestabilan lainnya Linear Regression dan Principal Component Analysis meliputi kemampuannya - memahami gugus data yang kompleks terutama interaksi dan menduga lebih akurat walau dengan data sedikit. Untuk menginterpretasikan model AMMl digunakan biplot dan selang kepercayaan normal ganda. Pemodelan Analisis AMMl Langkah awal untuk rnemulai analisis AMMl adalah melihat pengarun aditii genotip dan lingkungan masing-rnasihg menggunakan analisis ragam dan kemudian dibuat bentul; multiplikatif interaksi genotip dan lingkungan dengan menggunakan analisis komponen utama. aentuk multiplikatii didapal dengan menggunakan intersKs! penolio dengan (~ngkungan menjadi komponen utama interaksi (KUI) yang rnernberikan kemungkinan penyedaan secara sekuens~al dimulai dari tidak adanya KUI sampai seluruh KUI masuk ke dalam model. . Penguraian pengaruh interaksi genotip dengan lingkungan mengikuti persamaan sebagai berikut: ..._,._._. g+l-1-2(m) pengurangan l(g-l)(f-l) Igr-1 dengan m adalah banyaknya KUI yang nyata pada taraf 5%. Sehingga model linear percobaan lokasi ganda dengan menggunakan AMMl rnenjadi: ........ JKKUI-rn JKSisaan JKG , = respon dari amatan genotip ke-j,. . .. pada lingkunsan ke-j pada keiompok ke-k p = rataan umum Qklj = pengaruh dari kelompok ke-k tersarang pada lingkungan ke-j. k=1.2.3 .... r a; = pengaruh dari genotip ke-i, i=1.2. ... g p, = pengaruh dari lingkungan ke-j. j=1.2 .... 1 & = nilai singular ke-n (akar dri dari z'z)a,> a2 >... 2 am , = pengaruh ganda genotip ke-i rnelalui komponen bilinier ke-n S . = pengaruh ganda lingkungan ke-j I" melalui komponen bilinier ke-n 6.. = simpangan dari pemodelan bilinier !I E,, = pengaruh gaiat dari genotip ke-i di lingkungan ke-j dalam kelornpok ke-k m = banyaknya KUI yang nyata. Pendugaan Parameter Dalarn pernodelan AMMl pengaruh utarna kedua faktor diduga dengan analisis ragarn (dengan kendala k=O dan [i=O). Sernentara parameter pernodeiarl bilinier diduga darl penguraian nilai singular ternadap matriks dugaan pengaruh ~nreraks~ iZi dengan Z dideilnisikan sebagai berlkG1.
  • 75.
    Y, = rata-ratarespon genotip ke-i di lingkungan ke-j = penduga nilai tengah bagi 11 &, = penduga bagi ai p, = penduga bagi Perhitungan Jumlah Kuadrat Jumlah kuadrat interaksi dapat diturunkan sebagai berikut : JK(ij) = rC~.l .I JK(ij) = rz[x+, ,i-b, -p,) JK(ij)=rCbv+.y-.v,-y,)? . JK(ij) = r teras (Z'Zj Bardasarkan teorema pada aljabar matriks bahwa terzs suatu matriks sama dengan jumlah seluruh akar ciri matriks tersebut (Znl n ) Sehingga jumlah kuadrat untuk pengaruh interaksi komponen ke-n adalah akar ciri ke-n pada pemodelan bilinier tersebut (1 ) jika analisis ragam dilakukan terhadap data rataan -per-genotip X lingkungan. Jika analisis ragam dilakukan terhadap data sebenarnya maka jumlah kuadrat adalah banyaknya ulangan kali akar ciri ke-n (ran). Pengujian masing-masing komponen ini dilakukan dengan membandingkan terhadap kuadrat tengsh gabungan (Bradu & Gabriel, 1974: Gauch. 1988). Penguraian Derajat Kebebasan Derajat bebas untuk setiap komponen adalah g+l-!-2n (Gauch. 1988), (g=banyaknya genotip. I=banyaknya lingkungan). Besaran derajat bebas diturunkan berdasarkan jumlah parameter yang diduga dikurangi dengan jurnlah kendala. Untuk banyaknya parameter yang diduga adalah g+I-1 sedangkan banyaknya kendala untuk komponen ke-2n. Untuk kendala yang dipertimbangkan yaik kenormalan dan keortogonalan. Penguraian Nilai Singular (SVD = Singular Valce Decomposition) Penguraian nilai singular matriks digunakan untuk menduga pengaruh interaksi genotip dan lingkungan. Penguraian nilai si~gular untuk matriks pengaruh interaksi Z sebagaimana dikemukakan oleh Greenacre (1984) adalah dengan memodelkan matriks Z seoagai berikut: dengan: Z = ~atriksia!a terpusat berukuran nxp .L = Matriks diagonal berukuran mxm , dengan diagonal utamanya berupa akar dari akar ciri positif dari Z'Z. U = Matriks ortonormal (k'A = U'U = I,). Kolom-kolom matriks A = {a,.al.a, ,.... anj adalah vektor-vektor ciri Z'Z sedangkan U diperoieh dengan: Nilai Komponen AMMl Pengaruh rnultiplikatif (ganda) genotip ke-i diduga dengan menggunakan unsur-unsur dari matriks A pada baris ke-i kolom ke-n, sedangkan untuk penduga bagi pengaruh multiplikatif lingkungan ke-j merupakan unsur matriks U pada baris ke-j kolom ke-n, dengan kendala : 2 1. ZV,=,ZS', ,, = 1 , untuk n = . . . 2. ~v,,v,=,E S,,;=S 0,,,u ,n.t uk nfn Unsur diagonal matriks L merupakan penduga untuk A,,. Skor komponen ke-n genotip ke-i adalah v, dan untuk P lingkungan ke-j adalah An sj,, . Penduga untuk pengaruh interaksinya yaitu antara genotip dan lingkungan merupakan perkalian nilai komponen genotip dengan nilai komponen lingkungan. Jika didefinisikan 1,' (OSkSl) adalah matriks diagonal yang unsur-unsur diagonalnya merilpakan elemen matriks L'. demikian juga untuk matriks L'.~ sehingga G=UL~se rta H= A L'.~, maka hasil penguraian nilai singular dituliskan dalam bentuk Z= G H' dengan demikian nilai komponen untuk genotip adalah kolom-kolom untuk matriks G sedangkan nilai komponen untuk lingkungan adalah kolom-kolom matriks H. Nilai k yang digunakan dalam analisis AMMl adalah %. Fenentuan Banyaknya Komponen AMMI Jika beberapa kolom , pertama dari matriks G dan H sudah dapat msnduga Z dengan baik maka banyak kolom matriks G dan H dapat dikurangi. Metod- vang digunakan untuk menentukan banyaknya sumbu Komponen urama sebagat Denauga (menentukan banyak
  • 76.
    KUI yang dipertahankandalam model AMMI) dikenal ada 2 metode yaitu: Metode Keberhasilan Total (posfdictive success) dan Metode Keberhasilan Ramalan (predictive success) (Gauch. 1998; Crossa. 1990: Naqhit et.al1.. 1992). Adapun karakteristik dari kedua metode tersebut adalah sebagai berikut: 1. Posldicfive success (keberhasilan total) Metode ini berhubungan dengan kernampuan suatu model tereduksi untuk menduga data yang digunakan dalam membangun model tersebut. Sedangkan banyaknya komponen AMMl sesuai dengan banyaknya sumbu KUI yang nyata pada uji-F analisis ragarn. Untuk sumbu KUI yang tidak berbeda nyata pada taraf nyata 0.05 digabungkan dengan sisaan. Metode ini diusulkan oleh Gollob (1986) yang selanjutnya direkornendasikan oleh Gauch (1988). Tabel analisis AMMl merupakan perluasan dari label penguraian jumlah kuadrat interaksi menjadi beberapa jumlah kuadrat KUI. Jumlah kuadrat Kill ke-n merupakan perkalian dari banyaknya ulangan dengan akar ciri ke-n (r&). Dengan derajat bebas masing-masing KUI yaitu g+l-2n-1 (g=banyaknya genotip. I=banyaknya lingkungan). Komponen . yang tidak nyata pada taraf nyata yang dikehendaki digabungkan ke dalam komponen sisaan. 2. Prediclive success (keberhasilan ramalan) Metode ini berhubungan dengan kemampuan suatu model dugaan untuk memprediksi data lain yang sejenis tetapi tidak digunakan dalarn membangun model tersebut (data validasi). Penentuan banyaknya sumbu komponen utama dilakukan dengan validasi silang yaitu rnernbagi data menjadi 2 kelompok, satu kelompok untuk membangun model dan kelompok lain dipakai untuk validasi (menentukkan kuadrat selisih). Teknik ini dilakukan berulang-ulang, pada tiap ulangan dibangun model dengan sumbu komponen utama. Banyaknya KUI yang terbaik adalah rataan akar kuadrat tengah sisaan (RMSPD= Root Mean Square Predictive Different) dari data validasi paling kecil. dimana: n X. = nilai dugaan berdasarkdn model !I = nilai pengamatan un'uk validasi model I g = banyaknya genotip I = banyaknya lingkungan Kesesuaian MO&I Kesesuaian suatu model dilihat dari RMSE (Root Mean Square Error) yang mencerrninkan rata-rata simpangan yang tidak dapat ditrrangkan dalam model. RMSE dapat dirumuskan sebagai akar kuadrat dari proporsi JK sisaan terhadap banyaknya pengamatan. Model dikatakan sesuai jika nilai RMSEC5%. lnterpretasi Metode AMMl 41at yang digunakan untuk menginterpretasikan hasil dari rnetode AMMl adalah metode biplot. Biplo! adalah plot antara satu kolom G dengan-kolom G yang lain ditampilkan bersama-sama dengan plot kolom H dengan kolom H yang lain yang" bersesuaian dengan kolom G yang diplot (Jollif. 1986). Metode ini pada dasarnya merupakan upaya untuk memberikan peragaan grafik dari suatu matriks dalam suatu plot dengan menumpangtindihkan vektor-vektor dalarn ruang dimensi 2 yang mewakili vektor lingkungan matriks tersebut. Biplot hasil dari rnetode AMMI adalah dengan membuat biplot AMMll yaitu plot antara penga~h utama (ra!aan respon) dengan skor (nilai) komponen utarna pertarna (KUII) dan mernbuat biplot AMMI2 yaitu plot an:ara skor (nilai) KUII dengan sko~KUI2. jika KU12 nyata. Bi~lot AMMll menunjukkan adaptasi genotib. Genotip yang beradaptasi paling baik pada suatu lingkungan adalah genotip yang memiliki rata-rata hasil tinggi dan skor interaksi memiliki tanda yang sama. lnterpretasi biplot AMMll ini adalah bagi titik yang sejenis jarak iitik amatan berdasarkan sumbu datar menunjukkan perbedaan pengaruh utarna amatan-amatan tersebut, sedangkan jarak titik-titik amatan berdasarkan surnbu tegak menunjukkan perbedaan pengardh interaksinya atau perbedaan kesensitifannya terhadap lokasi (Zobel et a1..1988). Biplot AMMI2 hanya menggambarkan pengaruh inteiaksi antara cen0tip dan lingkungan, biplot ini bisa diaunakai! unVJk menganalisis kestabilan genotic. lr8terPretaSi biplot AMMI2 ini bagi titik-titik arnaian se)enis vaitu bahv~a iaraK titik-titin amatan menuniukkan ~eroedaan~ nteraks! "
  • 77.
    Pengaruh interaksi genotipdan lingkungan ditunjukkan dengan besarnya jarak antara tifik amatan terhadap pusat koordinat. Genotip dan lingkungan dikatakan saling berinteraksi khas jika interaksi antara keduanya paling besar dibandingkan terhadap yang lain. Ini bisa dilihat dengan semakin dekat jarak antara kedua titik, juga dengan semakin kecilnya sudut yang terbentuk. Bagi titik-titik amatan yang berlainan jellis, biplot AMMI2 menunjukkan bagaimana titik-tiGk amatan tersebut saling berinteraksi. Titik-titik amatan yang arahnya sama berarti titk-titik amatan tersebut berinteraksi positif (saling rnenunjang), sedangkan titik-titik yang arahnya berbeda menunjukkan titik-titik yang berinteraksi negatif. Untuk mengetahui genotip yang stabil digunakan pendekatan sebaran normal ganda pada nilai KUll genotip yang digambarkan dengan menggunakan ellips. Genotip yang terle!ak didalam ellips dikategorikan stabil (McLaren dan Chardhary. 1995). Jika koordinat suatu genotip semakin dekat dengan pusat koordinatnya berarti genotip tersebut semakin stabil terhadap perubahan lingkungan. Persamaan ellips dapat diuraikan sebagai berikut dengan : R, = sumbu mayor (jari-jari pailjang) R2 = surnbu minor (.ia ri-.ja ri pendek) P = banyaknya peubah yang digunakan N = banyaknya pengamatan 1 = akar ciri pertama /2 = akar ciri kedua dari matriks ragam peragam S F,,..,, = nilai sebaran F (dari sebaran F) dengan dbl=p dan db2=n-p pada taraf a tertentu. STUD1 KASUS Bahan dan Metode Data yang digunakan dalam penelitian ini adalah data sekunder yang diperoleh dari Balai Penslitian Tanaman Padi Sukamandi. Pada penelitian ini enam belas galur padi dipilih dan ditanam pada sepuluh lingkungan. Penelitian dilakukan pada musim kemarau 1993 dan musim hujan 1994. rancangan yang digunakan pada masing-masing lingkungan adalah rancangan acak kelompok dengan tiga ulangan dengan peubah respon yang diamati .. adalah daya hasil (tonlha). Pada metode AMMI, dengan menggunakan keberhasilan ramalan, pengolahan data dimulai dengan menerapkan metode kuadrat terkecil dengan analisis ragam, kemudian pengaruh interaksinya dianalisis dengan analisis komponen utama (penguraian nilai singular). Dengan menggunakan keberhasilan ramalan, langkah-langkah yang dilakukan adalah: 1. Data yang terdiri dari tiga ulangan dibagll' menjadi dua bagian. Bagian pertama (terdiri dari dua ulangan) untuk pemodelan dengan 320 pengamatan dan bagian kedua untuk validasi dengan 160 pengamatan. 2.Mencari nilai RMSPD dad masing-masing model AMMl yaitu AMMlO jika pengaruh inleraksi tidak dimasukkan. AMMll jika KUll dimasukkan. AMMI2 jika KUll dan KU12 dimasukkan dan seterusnya. Model terbaik diperoleh jika nilai RMSPD model tersebut paling kecil. 3.Metode AMMl menggunakan data yang terdiri dari tiga ulangan. Pendugaan model teriiaik dipilih berdasarkan model AMMl dari hasil validasi silang. Untuk melihat pengaruh utama dan penga~hin teraksi dari hasil metode AMMl digambarkan dalam biplot antara rata-rata hasil dengan skor KUII. Untuk melihat galur-galur yang dikategorikan relatif stabil dibuat biplot antara skor KUli dengan KU17. - - Anaiisis Data Hasil analisis data disajikan pada Tabel 4. Dari Tabel 4 terlihat bahwa lingkungan 2 (Kuningan musim kemarau) memberikan rata-rata daya hasil paling tinggi dibandingkan dengan lingkungan yang lain. Sedangkan lingkungan 10 (Jakenan musim hujan) memberikan rata-rata daya hasil paling rendah. Jika diamati dari keragaman datanya baik dari simoangan baku maupufi hamparan. lingkungan 3 (Batang musim kemarau) mempunyai keragaman paling besar dibandingkar dengan lingkungan yang lain
  • 78.
    Tabel 4. OerkripsiOala Oaya Haril Padi- Lioghunga, Ralam Median Simpanpan Analisis Ragam bak" Sebelum dilakukan analisis ragarn, dilakukan pengujian asumsi pada data yang digu iakan. Dari hasii perigujian, semua asurnsi yang rnendasari analisis ragam terpenuhi. Kelompok Galut (G) 11.51 Lingk (L) G'L Gal31 Hasil analisis ragarn disajikan pada Tabel 5. berdasarkan nilai peluang, terlihat bahwa galur mernpunyai pengaruh yang sangat nyata pada taraf a=5%. Hal ini menunjukkan bahwa paling sedikit ada satu galur yang memberikan respon yang berbeda dengan galur lain. Pengaruh lingkungan berbeda nyata pada taraf a=5%. Ini berarti bahwa secara umurn lingkungan mempengaruhi daya hasil padi. lnteraksi galur dan lingkungan memberikan hasil nyata pada a=5%. Hal ini rnenunjukkan baha paling sedikit ada satu galur yang rnernberikan respon berbeda pada lingkungan yang berbeda. Metode AMMl Penguraian pengaruh interaksi dengan menggunakan penguraian nilai singular dari data dugaan pengaruh interaksi menghasilkan 9 akar ciri hukan nol, yaitu 14.40. 6.35, 2.91. 1.46, 1.09. 0.85, 0.71, 0.15. dan 0.08. Sehingga dalarn modei AMMl jumlah kuadrat interaksi diuraikan menjadi 9 KUI, yang diperoleh dari hasil kali akar ciri dengan banyaknya ulangan. Tabel 6. Analiris RagamAMM14 Berdasarkan Keberharilan Tala1 JK .0.57 11.51 1309.75 43.21 19.OE 8.73 4.58 8.63 47.37 1453.14 Sumbel Kelompok Galur(GJ Lingk (L) KUll KUl2 KU13 KU14 Silaan Galal Total P 0.00 0.00 0.00 0.00 0.00 0.00 0.04 KT 0.29 0.77 145.53 1.88 0.91 0.46 0.26 0.16 0.15 db 2 15 9 23 21 19 17 55 320 479 F hit 1.91 5.15 977.05 12.81 6.09 3.08 1.73 Berdasarkan kriteria keberhasilan total, yaitu dengan menggunakan uji F. dipertahankan 4 sumbu KUI pada model. Karena dari 9 KUI hanya 4 KUI yang nyata pada taraf 0.05. sehingga model dugaannya adalah AMM14 (pengaruh galur dan lingkungan ditarnbah KUI1, KU12. KU13, dan KU14). Kontribusi dari keempat KUi Jerhadap total JK interaksi adalah 89.73%. sedangkan sisaan mempunyai kontribusi sebesar 10.27% dari JK interaksi (Tabel 6). -:. Tabel 7. Rata-rata Nilai RMSPD Model RMSPD AMMIO 0.55 Berdasarkan kriteria keberinasilan rarnalan (validasi silang), model AMMI2 (pengaruh galur dan lingkungan ditamhah KUH dan KU12) rnenunjukkan deviasi terkecil dari validasi data (RMSPD = 0.45). Sehingga model ini rnenghasilkan nilai dugaan daya yang terbaik (Tabel 7). Dari dua kriteria pemilihan model, model yang dipilih berdasarkan kriteria keberhasilan rarnalan yang mengandung lebih sedikit derajat bebas daripada model yang dipilih berdasarkan kriteria keberhasilan total. Pada Tabel 6 terlihat bahwa KUII. KU12. KU13, dan KU14 berbeda nyata pada taraf a=5%. Tetapi nilai rata-rata RMSPD untuk model AMM13. AMM14 dan seterusnya rnenaik. Sehingga jika KU13 dan KU14 dimasukkan ke model, ini tidak akan dnenarnbah keakuraian model, tetapi akarl rnenarnbah cemaran Dada model.
  • 79.
    ~abe8l. Analiris RagamAMM12 berdasarkan Keberhasilan Lingk (L) KUll 0.00 KU12 Siraan Pada analisis ragam AMMi2, JK perlakuan dibagi menjadi dua komponen. Untuk model (pengaruh utama galur dan lingkungan. KUll dan KU12) sebejar 98.46% dengan derajat bebas 68 dan untuk sisaan sebesar 1.54% dengan derajat bebas 91 (Tabel 8). Hasil ini menunjukkan bahwa prosedur validasi model mel~galokasikan 1.54% JK perlakuan sisaan (cemaran yang tidak terkendali) yang nilainya sulit diduga. . Akar kuadrat tengah sisaan (RMSE = Root Mean Square Error) berhubungan dengan kesesuaian model. Nilai ini merupakan akar kuadrat JK sisaan dioagi banyaknya amatan (480). Pada model AMM12 nilai RMSE = O.Zlton/ha atau 3.7% dari rataan umum (5.69 tonha). Hasil ini merupakan rata-rata bimpangan interaksi yang tidak dapat diterangkan oleh model AMMi2. ha1 ini menunjukkan bahwa model AMM12 cukup baik karena nilai RMSE kurang dari 5=/o (Gauch 1992). lnterpretasi AMMI Berdasarkan hasil metode AMMll keragaman total data asal yang dapat diterangkan oleh bidang biplot antara ralaan dengan KUll sebesar 97.1% dari JK perlakuan (Gambar 1). Sumbu rataan dari Garnbar i menjelaskan pengaruh utama dari galur dan lingkungan. Ditinjau dari galur. terlihat bahwa galur A. B, E, F, G, J, dan L memberikan daya hasil yang lebih tinggi dari rataan umum (5.69 tonlha) sedangkan galur lainnya memberikan hasil yang lebih rendah dari rataan umum. Untuk pemilihan galur yang berdaya hasil lebih tinggi juga dapat dilihat nilai rataan hasil (Tabel 9). Dari Tabel 9, galur yang berdaya hasil paling tinggi adalah J (S2823-7d-8-lb) yaitu 6.01 tonlha. KUll tandanya sama dan berinteraksi negatif jika tandanya berbeda. Pada Gambar 1, galur D. E. F. G. H. I. K. M, dan 0 berinteraksi positif dengan lingkungan 1. 2, 5. 8, 9. dan 10. Sedangkan galur A. B. C. J. L. N, dan P berinteraksi positif dengan lingkungan 6 dan 7. Uari hasil metode AMMl2 keragaman total pengaruh interaksi data asal yang dapat diterangkan oleh bidang bipiol antara KUil dengan KU12 sebesar 74.2% dari JK interaksi atau sebesar 98.46% dari perlakuan. Galur yang dapat dikategorikan tidak stabil adalah A, I, K, L. M. N, dan P. Galur ini selain tidak stabil, potensi hasilnya juga rendah, kecuali untuk galur A dan L yang potensi hasilnya di atas rata-rata (5.89 dan 5.84 tonlha). Sedangkan galur yang lain relatif stabil (Tabel 9 dan Gambar 2). Tabel 9. Pa -Kode A B C D E F G H I J K L hl N 0 P neter Duqaan Model AMMI2 ~~~ia~i 1 RrzF I KUl1 I KU12 o 7" 1 5 89 1 -0.61 1 -0.29 Keragaman Ditinjau dari lingkungan, lingkungan 2 Pada galur yang relatif stabil, galur G memiliki nilai kestabilan paling baik (jarak titik dan 9 memberikan hasii yaw paling tinggi amatan dengan titik (0,0) paling kecil), Galur dibandingkan dengan lingkungan lain. ini lugs memberikan basil yang cllkup tinggi Sedangkan lingkungan 10 memberikan hasii yaitu 5.8 tonlha. Galrlr lain yang relatif stabil yang paling rendah. dan berdaya hasil cukup tinggi adalah J dan B dengan rata-rata daya hasil masing-masing Galur dengan nilai KUll mendekati no1 adalah 6,01 dan 5,92 m. e- rnounvai interaksi yanq kecil terhadap lingkLngan. Kombinasi bai"r dan lingkungan mempunyai pengaruh interaksi .lositiijika nilai 6'