‫جامعة‬
‫سويف‬ ‫بني‬
Probability and Statistics for Engineers
Random Variables and Probability
Distributions
Chapter 3
 Concept of Random Variable
Contents
 Discrete Probability Distribution
In a statistical experiment, it is often
very important to allocate numerical
values to the outcomes.
Experiment: testing two components.
(D=defective, N=non-defective)
Sample space: S={DD,DN,ND,NN}
Concept of Random Variable
Example
Let X = number of defective components
when two components are tested.
Assigned numerical values to the outcomes
are:
Concept of Random Variable
Sample point
(Outcome)
Assigned
Numerical Value (x)
DD 2
DN 1
ND 1
NN 0
Notice that, the set of all possible values of the random
variable X is {0, 1, 2}.
A random variable X is a function that
associates each element in the sample space
with a real number (i.e., X : S  R.)
" X “ (capital letter) denotes the random
variable .
" x " (small letter) denotes a value of the
random variable X.
Concept of Random Variable
Definition 3.1:
Notation
3.1Two balls are drawn in succession without
replacement from an urn containing 4 red balls and
3 black balls. The possible outcomes and the values
y of the random variable: Y, where Y is the number
of red balls, are
Concept of Random Variable(Ex1)
Let X be the random variable defined by
the: waiting time, in hours, between
successive speeders spotted by a radar
unit.
The random variable X takes on all
values x for which x > 0.
Concept of Random Variable(Ex2)
A random variable X is called a discrete
random variable if its set of possible values
is countable, i.e.,
x  {x1
, x2
, …, xn
} or x  {x1
, x2
, …}
In most practical problems:
A discrete random variable represents count
data, such as the number of defectives in a
sample of k items.
Types of Random Variable
Discrete Random Variable:
A random variable X is called a continuous
random variable if it can take values on a
continuous scale, i.e.,
x  {x: a < x < b; a, b  R}
In most practical problems:
A continuous random variable represents
measured data, such as height.
Types of Random Variable
Continuous Random Variable:
A discrete random variable X assumes each
of its values with a certain probability.
Example:
Experiment: tossing coin 2 times
independently.
H= head , T=tail
Sample space: S={HH, HT, TH, TT}
Probability Distributions (Discrete )
3.2 Discrete Probability Distributions
x 0 1 2 Total
P(X=x)=f(x) 1/4 2/4 1/4 1.00
Let X = number of head s= {0, 1, 2}.
The possible values of X with their
probabilities are:
x 0 1 2 Total
P(X=x)=f(x) 1/4 2/4 1/4 1.00
The set of ordered pairs ( x , f(x) ) is called the
probability function (probability distribution) of
the discrete random variable X.
Probability Distributions (Discrete )
1
)
(
.
2 
x
all
x
f
f(x)
x)
P(X 

3.
Probability Distributions (Discrete )
efinition 3.4:
0
)
(
.
1 
x
f
The set of ordered pairs ( x , f(x) ) is a probability mass
function, or probability distribution of the discrete
random variable X if, for each possible outcome x,
Is define over some point
Prob. Distributions (Discrete ) (EX1)
A shipment of 8 similar microcomputers to a
retail outlet contains 3 that are defective. If a
school makes a random purchase of 2 of
these computers, find the prob. Dist. for the
number of defectives.
Prob. Distributions (Discrete ) (EX1)
We need to find the prob. distribution of
the random variable: X = the number of
defective computers purchased.
olution:
xperiment:
selecting 2 computers at random out of 8:
n(S) = equally likely outcomes








2
8
The possible values of X are: x=0, 1, 2.
S={DD,DN,ND,NN}
Consider the events:






















2
5
0
3
0
2
0
0 )
n(X
N}
D and
{
)
(X






















1
5
1
3
1
1
1
1 )
n(X
N}
D and
{
)
(X






















0
5
2
3
2
0
2
2 )
n(X
N}
D and
{
)
(X
28
10
2
8
2
5
0
3
)
(
)
0
(
)
0
(
)
0
( 






























S
n
X
n
X
P
f
Prob. Distributions (Discrete ) (EX1)
28
15
2
8
1
5
1
3
)
(
)
1
(
)
1
(
)
1
( 






























S
n
X
n
X
P
f
28
3
2
8
0
5
2
3
)
(
)
2
(
)
2
(
)
2
( 






























S
n
X
n
X
P
f
In general, for x=0,1, 2, we have:































2
8
2
5
3
)
(
)
(
)
(
)
(
x
x
S
n
x
X
n
x
X
P
x
f
Prob. Distributions (Discrete ) (EX1)
The prob. distribution of X is:
x 0 1 2 Total
f(x)= P(X=x)
28
10
28
15
28
3







































otherwise
x
x
x
x
X
P
x
f
;
0
2
,
1
,
0
;
2
8
2
5
3
)
(
)
(
Hypergeometric
Distribution
1.00
Prob. Distributions (Discrete ) (EX1)
 Cumulative Dist. Function of a
discrete random variable
Contents
 Continuous Prob. Distribution
 Cumulative Dist. Function of a
continuous random variable
The cumulative dist. function (CDF), F(x),
of a discrete random variable X with the
probability function f(x) is given by:
;






x
t
f(t)
x)
P(X
F(x)
for <x<
Cumulative Distribution Function (CDF)
Definition 3.5:
Find the CDF of the random variable X with the
probability function if the pmf of X is:
x 0 1 2
f(x)
28
10
28
15
28
3
Cumulative Dist. Function (Ex 1)
F(x) = P(Xx) for <x<
For x<0 : F(x)=0
For 0x<1: F(x)=P(X=0)=
28
10
28
25
28
15
28
10


For 1x<2: F(x)=P(X=0)+P(X=1)=
For x2: F(x)=P(X=0)+P(X=1)
+P(X=2)
1
28
3
28
15
28
10




Cumulative Dist. Function (Ex 1)
Solution:
The CDF of the random variable X is:


















2
;
1
2
1
;
28
25
1
0
;
28
10
0
;
0
)
(
)
(
x
x
x
x
x
X
P
x
F
Cumulative Dist. Function (Ex 1)
Cumulative Dist. Function
F(0.5) = P(X0.5)=0
F(1.5)=P(X1.5)=F(1) =
F(3.8) =P(X3.8)=F(2)= 1
28
25
P(a < X  b) = P(X  b)  P(X  a) = F(b)  F(a)
P(a  X  b) = P(a < X  b) + P(X=a) = F(b)  F(a) + f(a)
P(a < X < b) = P(a < X  b)  P(X=b) = F(b)  F(a)  f(b)
Cumulative Dist. Function (Ex 1)
Note:
Result:
Cumulative Dist. Function
• Example 3.10: Find the cumulative distribution function of
the random variable X in Example
• 3.9. Using F(x), Solution: Direct calculations of the
probability distribution of Example 3.9 give f(0)= 1/16,
• f(1) = 1/4, f(2)= 3/8, f(3)= 1/4, and f(4)= 1/16. Therefore,
Suppose that the probability function of X is:
x x1
x2
x3
… xn
F(x) f(x1
) f(x2
) f(x3
) … f(xn
)
Where x1
< x2
< … < xn
. Then:
F(xi
) = f(x1
) + f(x2
) + … + f(xi
) ; i=1, 2, …, n
F(xi
) = F(xi 1
) + f(xi
) ; i=2, …, n
f(xi
) = F(xi
)  F(xi 1
)
Cumulative Dist. Function
Result:
In the previous example,
28
15
28
10
28
25



28
3
28
25
1 


Cumulative Dist. Function
P(1 < X  2) = F(2)  F(1)
P(0.5 < X  1.5) = F(1.5)  F(0.5)
For any continuous random variable, X,
there exists a non-negative function f(x),
called the probability density function
(p.d.f) through which we can find
probabilities of events expressed in term
of X.
Continuous Probability Distributions
f: R  [0, )
= area under the curve
of f(x) and over the
region A
  



b
a
dx
f(x)
b
X
a
P
  


A
dx
f(x)
A
X
p
Continuous Probability Distributions
= area under the curve
of f(x) and over the interval
(a,b)
1
.
2 



-
dx
f(x)
Continuous Probability Distributions
Definition 3.6:
The function f(x) is a probability density
function (pdf) for a continuous random
variable X, defined on the set of real
numbers, if:
  



b
a
dx
f(x)
b
X
a
P
.
3  a, b  R ; a  b
R
x
f(x) 

0
.
1
P(a  X  b)= P(a < X  b)
= P(a  X < b)
= P(a < X < b)
Continuous Probability Distributions
Note:
We shall concern ourselves with computing
prob. for various intervals of continuous
random variables such as P(a < X < b),
P(W > c), and so forth.
Note that when X is continuous,
 
 





b
a
dx
x
f
b
X
a
P
area
 
 





b
dx
x
f
b
X
P
area  
 





a
dx
x
f
a
X
P
area
  1


 



dx
x
f
area
Total
Suppose that the error in the reaction temperature, in o
C,
for a controlled laboratory experiment is a continuous
random variable X having the following probability
density function:









elsewhere
x
x
x
f
;
0
2
1
;
3
1
)
(
2
  1




-
dx
f(x)
b
Continuous Probability Distributions
Example 3.6:
  0
a
t
Verify tha
.
1 
f(x)
 
1
0
Find
.
2 
 x
P
Solution:
X =the error in the reaction temperature in o
C.
X is continuous r. v.









elsewhere
x
x
x
f
;
0
2
1
;
3
1
)
(
2
Continuous Probability Distributions
because f(x) is a quadratic
function.
  











2
2
1
2
1
0
3
1
0 dx
dx
x
dx
dx
f(x)
b
-
-
-










 1
2
9
1
3
1 3
2
1
2
x
x
x
dx
x
-
1
))
1
(
8
(
9
1




Continuous Probability Distributions
  0
a
1. 
f(x)

 

1
0
2
1
0
3
1
dx
x
dx
f(x)









0
x
1
x
x
9
1 3
))
0
(
1
(
9
1


9
1

Continuous Probability Distributions
 
1
0
.
2 
 x
P
The cumulative distribution function
(CDF), F(x), of a continuous random
variable X with probability density function
f(x) is given by:
Cumulative Dist. Function
Definition 3.7:
;







x
dt
f(t)
x)
P(X
F(x) for  <x<
Result:
         
 
dx
x
dF
f(x)
a
F
b
F
a
X
P
b
X
P
b
X
a
P









.
2
.
1
Suppose that the error in the reaction temperature, in o
C,
for a controlled laboratory experiment is a continuous
random variable X having the following probability
density function:









elsewhere
x
x
x
f
;
0
2
1
;
3
1
)
(
2
Example 3.6:
CDF
the
Find
.
1
 
1
0
Find
,
CDF
Using
.
2 
 x
P
Cumulative Dist. Function (Example)
P(1 X 2)
˂ ˂
Cumulative Dist. Function (Example)
Solution:









elsewhere
x
x
x
f
;
0
2
1
;
3
1
)
(
2
  0
0
1
For






 

x
-
x
-
dt
dt
f(t)
x
F
x
  

 







x
-
-
x
-
dt
t
dt
dt
f(t)
x
F
x
1
2
1
3
1
0
2
1
-
For


x
-
dt
t
1
2
3
1
Cumulative Dist. Function (Example)
)
1
(
9
1
))
1
(
(
9
1
1
9
1 3
3
3














 x
x
t
x
t
t
  

 







x
-
-
x
-
dt
t
dt
dt
f(t)
x
F
x
1
2
1
3
1
0
2
1
-
For


x
-
dt
t
1
2
3
1
  =
dt
dt
t
dt
dt
f(t)
x
F
x
x
-
-
x
-



 






 2
2
1
2
1
0
3
1
0
2
For
1
3
1
2
1
2


-
dt
t
Therefore, the CDF is:

















2
;
1
2
1
;
)
1
(
9
1
1
;
0
)
(
)
( 3
x
x
x
x
x
X
P
x
F
Cumulative Dist. Function (Example)
9
1
9
2


Cumulative Dist. Function (Example)
 
1
0
Find
,
CDF
Using
.
2 
 x
P
     
0
1
1
0 F
F
x
P 



9
1

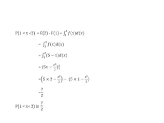
To better understand the formula and its application,
consider the following PDF example:
The PDF is:
Find P(1<x<2)
Exercises
Exercises
Exercises
The End

Lesson5 chapterfive Random Variable.pptx

  • 1.
  • 2.
    Random Variables andProbability Distributions Chapter 3
  • 3.
     Concept ofRandom Variable Contents  Discrete Probability Distribution
  • 4.
    In a statisticalexperiment, it is often very important to allocate numerical values to the outcomes. Experiment: testing two components. (D=defective, N=non-defective) Sample space: S={DD,DN,ND,NN} Concept of Random Variable Example
  • 5.
    Let X =number of defective components when two components are tested. Assigned numerical values to the outcomes are: Concept of Random Variable Sample point (Outcome) Assigned Numerical Value (x) DD 2 DN 1 ND 1 NN 0 Notice that, the set of all possible values of the random variable X is {0, 1, 2}.
  • 6.
    A random variableX is a function that associates each element in the sample space with a real number (i.e., X : S  R.) " X “ (capital letter) denotes the random variable . " x " (small letter) denotes a value of the random variable X. Concept of Random Variable Definition 3.1: Notation
  • 7.
    3.1Two balls aredrawn in succession without replacement from an urn containing 4 red balls and 3 black balls. The possible outcomes and the values y of the random variable: Y, where Y is the number of red balls, are Concept of Random Variable(Ex1)
  • 8.
    Let X bethe random variable defined by the: waiting time, in hours, between successive speeders spotted by a radar unit. The random variable X takes on all values x for which x > 0. Concept of Random Variable(Ex2)
  • 9.
    A random variableX is called a discrete random variable if its set of possible values is countable, i.e., x  {x1 , x2 , …, xn } or x  {x1 , x2 , …} In most practical problems: A discrete random variable represents count data, such as the number of defectives in a sample of k items. Types of Random Variable Discrete Random Variable:
  • 10.
    A random variableX is called a continuous random variable if it can take values on a continuous scale, i.e., x  {x: a < x < b; a, b  R} In most practical problems: A continuous random variable represents measured data, such as height. Types of Random Variable Continuous Random Variable:
  • 11.
    A discrete randomvariable X assumes each of its values with a certain probability. Example: Experiment: tossing coin 2 times independently. H= head , T=tail Sample space: S={HH, HT, TH, TT} Probability Distributions (Discrete ) 3.2 Discrete Probability Distributions
  • 12.
    x 0 12 Total P(X=x)=f(x) 1/4 2/4 1/4 1.00 Let X = number of head s= {0, 1, 2}.
  • 13.
    The possible valuesof X with their probabilities are: x 0 1 2 Total P(X=x)=f(x) 1/4 2/4 1/4 1.00 The set of ordered pairs ( x , f(x) ) is called the probability function (probability distribution) of the discrete random variable X. Probability Distributions (Discrete )
  • 14.
    1 ) ( . 2  x all x f f(x) x) P(X   3. ProbabilityDistributions (Discrete ) efinition 3.4: 0 ) ( . 1  x f The set of ordered pairs ( x , f(x) ) is a probability mass function, or probability distribution of the discrete random variable X if, for each possible outcome x, Is define over some point
  • 15.
    Prob. Distributions (Discrete) (EX1) A shipment of 8 similar microcomputers to a retail outlet contains 3 that are defective. If a school makes a random purchase of 2 of these computers, find the prob. Dist. for the number of defectives.
  • 16.
    Prob. Distributions (Discrete) (EX1) We need to find the prob. distribution of the random variable: X = the number of defective computers purchased. olution: xperiment: selecting 2 computers at random out of 8: n(S) = equally likely outcomes         2 8 The possible values of X are: x=0, 1, 2. S={DD,DN,ND,NN}
  • 17.
    Consider the events:                       2 5 0 3 0 2 0 0) n(X N} D and { ) (X                       1 5 1 3 1 1 1 1 ) n(X N} D and { ) (X                       0 5 2 3 2 0 2 2 ) n(X N} D and { ) (X 28 10 2 8 2 5 0 3 ) ( ) 0 ( ) 0 ( ) 0 (                                S n X n X P f Prob. Distributions (Discrete ) (EX1)
  • 18.
    28 15 2 8 1 5 1 3 ) ( ) 1 ( ) 1 ( ) 1 (                                S n X n X P f 28 3 2 8 0 5 2 3 ) ( ) 2 ( ) 2 ( ) 2 (                                S n X n X P f Ingeneral, for x=0,1, 2, we have:                                2 8 2 5 3 ) ( ) ( ) ( ) ( x x S n x X n x X P x f Prob. Distributions (Discrete ) (EX1)
  • 19.
    The prob. distributionof X is: x 0 1 2 Total f(x)= P(X=x) 28 10 28 15 28 3                                        otherwise x x x x X P x f ; 0 2 , 1 , 0 ; 2 8 2 5 3 ) ( ) ( Hypergeometric Distribution 1.00 Prob. Distributions (Discrete ) (EX1)
  • 20.
     Cumulative Dist.Function of a discrete random variable Contents  Continuous Prob. Distribution  Cumulative Dist. Function of a continuous random variable
  • 21.
    The cumulative dist.function (CDF), F(x), of a discrete random variable X with the probability function f(x) is given by: ;       x t f(t) x) P(X F(x) for <x< Cumulative Distribution Function (CDF) Definition 3.5:
  • 22.
    Find the CDFof the random variable X with the probability function if the pmf of X is: x 0 1 2 f(x) 28 10 28 15 28 3 Cumulative Dist. Function (Ex 1)
  • 23.
    F(x) = P(Xx)for <x< For x<0 : F(x)=0 For 0x<1: F(x)=P(X=0)= 28 10 28 25 28 15 28 10   For 1x<2: F(x)=P(X=0)+P(X=1)= For x2: F(x)=P(X=0)+P(X=1) +P(X=2) 1 28 3 28 15 28 10     Cumulative Dist. Function (Ex 1) Solution:
  • 24.
    The CDF ofthe random variable X is:                   2 ; 1 2 1 ; 28 25 1 0 ; 28 10 0 ; 0 ) ( ) ( x x x x x X P x F Cumulative Dist. Function (Ex 1)
  • 25.
  • 26.
    F(0.5) = P(X0.5)=0 F(1.5)=P(X1.5)=F(1)= F(3.8) =P(X3.8)=F(2)= 1 28 25 P(a < X  b) = P(X  b)  P(X  a) = F(b)  F(a) P(a  X  b) = P(a < X  b) + P(X=a) = F(b)  F(a) + f(a) P(a < X < b) = P(a < X  b)  P(X=b) = F(b)  F(a)  f(b) Cumulative Dist. Function (Ex 1) Note: Result:
  • 27.
    Cumulative Dist. Function •Example 3.10: Find the cumulative distribution function of the random variable X in Example • 3.9. Using F(x), Solution: Direct calculations of the probability distribution of Example 3.9 give f(0)= 1/16, • f(1) = 1/4, f(2)= 3/8, f(3)= 1/4, and f(4)= 1/16. Therefore,
  • 29.
    Suppose that theprobability function of X is: x x1 x2 x3 … xn F(x) f(x1 ) f(x2 ) f(x3 ) … f(xn ) Where x1 < x2 < … < xn . Then: F(xi ) = f(x1 ) + f(x2 ) + … + f(xi ) ; i=1, 2, …, n F(xi ) = F(xi 1 ) + f(xi ) ; i=2, …, n f(xi ) = F(xi )  F(xi 1 ) Cumulative Dist. Function Result:
  • 30.
    In the previousexample, 28 15 28 10 28 25    28 3 28 25 1    Cumulative Dist. Function P(1 < X  2) = F(2)  F(1) P(0.5 < X  1.5) = F(1.5)  F(0.5)
  • 31.
    For any continuousrandom variable, X, there exists a non-negative function f(x), called the probability density function (p.d.f) through which we can find probabilities of events expressed in term of X. Continuous Probability Distributions
  • 32.
    f: R [0, ) = area under the curve of f(x) and over the region A       b a dx f(x) b X a P      A dx f(x) A X p Continuous Probability Distributions = area under the curve of f(x) and over the interval (a,b)
  • 33.
    1 . 2     - dx f(x) Continuous ProbabilityDistributions Definition 3.6: The function f(x) is a probability density function (pdf) for a continuous random variable X, defined on the set of real numbers, if:       b a dx f(x) b X a P . 3  a, b  R ; a  b R x f(x)   0 . 1
  • 34.
    P(a  X b)= P(a < X  b) = P(a  X < b) = P(a < X < b) Continuous Probability Distributions Note: We shall concern ourselves with computing prob. for various intervals of continuous random variables such as P(a < X < b), P(W > c), and so forth. Note that when X is continuous,
  • 35.
             b a dx x f b X a P area         b dx x f b X P area          a dx x f a X P area   1        dx x f area Total
  • 36.
    Suppose that theerror in the reaction temperature, in o C, for a controlled laboratory experiment is a continuous random variable X having the following probability density function:          elsewhere x x x f ; 0 2 1 ; 3 1 ) ( 2   1     - dx f(x) b Continuous Probability Distributions Example 3.6:   0 a t Verify tha . 1  f(x)   1 0 Find . 2   x P
  • 37.
    Solution: X =the errorin the reaction temperature in o C. X is continuous r. v.          elsewhere x x x f ; 0 2 1 ; 3 1 ) ( 2 Continuous Probability Distributions
  • 38.
    because f(x) isa quadratic function.               2 2 1 2 1 0 3 1 0 dx dx x dx dx f(x) b - - -            1 2 9 1 3 1 3 2 1 2 x x x dx x - 1 )) 1 ( 8 ( 9 1     Continuous Probability Distributions   0 a 1.  f(x)
  • 39.
  • 40.
    The cumulative distributionfunction (CDF), F(x), of a continuous random variable X with probability density function f(x) is given by: Cumulative Dist. Function Definition 3.7: ;        x dt f(t) x) P(X F(x) for  <x< Result:             dx x dF f(x) a F b F a X P b X P b X a P          . 2 . 1
  • 41.
    Suppose that theerror in the reaction temperature, in o C, for a controlled laboratory experiment is a continuous random variable X having the following probability density function:          elsewhere x x x f ; 0 2 1 ; 3 1 ) ( 2 Example 3.6: CDF the Find . 1   1 0 Find , CDF Using . 2   x P Cumulative Dist. Function (Example) P(1 X 2) ˂ ˂
  • 42.
    Cumulative Dist. Function(Example) Solution:          elsewhere x x x f ; 0 2 1 ; 3 1 ) ( 2   0 0 1 For          x - x - dt dt f(t) x F x              x - - x - dt t dt dt f(t) x F x 1 2 1 3 1 0 2 1 - For   x - dt t 1 2 3 1
  • 43.
    Cumulative Dist. Function(Example) ) 1 ( 9 1 )) 1 ( ( 9 1 1 9 1 3 3 3                x x t x t t              x - - x - dt t dt dt f(t) x F x 1 2 1 3 1 0 2 1 - For   x - dt t 1 2 3 1   = dt dt t dt dt f(t) x F x x - - x -             2 2 1 2 1 0 3 1 0 2 For 1 3 1 2 1 2   - dt t
  • 44.
    Therefore, the CDFis:                  2 ; 1 2 1 ; ) 1 ( 9 1 1 ; 0 ) ( ) ( 3 x x x x x X P x F Cumulative Dist. Function (Example)
  • 45.
    9 1 9 2   Cumulative Dist. Function(Example)   1 0 Find , CDF Using . 2   x P       0 1 1 0 F F x P     9 1 
  • 46.
    To better understandthe formula and its application, consider the following PDF example: The PDF is: Find P(1<x<2)
  • 48.
  • 49.
  • 50.
  • 51.