1 | P a g e
Lesson Plan in Grammar
MODALS
Teacher Applicant: Lucille Clavero
Date: March 21, 2014
I. OBJECTIVES:
a. Demonstrate appreciation and understanding of Modals through a song
b. View and react critically to the music video presented
c. Expand vocabulary through “word charge” activity
d. Analyze a comic strip
e. Recognize Modals and their functions
f. Compose sentences using Modals
II. SUBJECT MATTER:
a. Focus Skills:Viewing, Listening, Song Appreciation
b. Title: MODALS
c. Target Level of Proficiency: Grade 7-Approaching Proficiency to Proficient Learners
d. Materials: PowerPoint Presentation or Visual Aids, Music Video Clip, Graphic Organizer,
Worksheets, Writing Tools,
e. References:
Salazar, Alumbro, and Villamin, Skill Builders for English Proficiency Grade 7, Quezon
City, Phoenix Publishing House, Inc. 2013
https://www.youtube.com/watch?v=Bug-hnPxFaY
http://www.perfect-english-grammar.com/modal-verbs.html
http://learnenglish.britishcouncil.org/en/english-grammar/verbs/modal-verbs
http://www.tolearnenglish.com/exercises/exercise-english-2/exercise-english-18805.php
III. STRATEGIES:
a. PRE-TEACHING
i. Motivation: MTV Reflection
Have students view the music video (https://www.youtube.com/watch?v=Bug-
hnPxFaY)and ask them the following questions.
1. How did the writer of the song define shouldawouldacoulda?
2. What did the singer put aside for her ambition? Did she regret her
decision?
3. Were there instances in your life when you regret your decision? How do
you move on after regretting a decision that you made. Relate them to
the class.
"ShouldaWouldaCoulda"
Beverley Knight
People say that together we were both sides of the same coin
That we would shine like Venus in a clear night sky
We thought our love could overcome the circumstances
But my ambition wouldn't allow for compromise
I could see in the distance all the dreams that were clear to me
Every choice that I had to make left you on your own
2 | P a g e
Somehow the road we started down had split asunder
Too late to realise how far apart we'd grown.
How I wish I, wish I'd done a little bit more
Now " Shouldawouldacoulda," means I'm out of time
Coz "Shouldawouldacoulda", can't change your mind
And I wonder, wonder, wonder what I'm gonna do
"Shouldawouldacoulda" are the last words of a fool
People ask how it feels to live the kind of life others dream about
I tell them everybody gotta face their highs and their lows
And in my life there's a love I put aside, cause I was busy loving something else
So for every little thing you hold on to, you've got to let something else go
[Chorus]
Fool if I would now forsake the opportunities are fate
I know I'm right where I belong
But sometimes when I'm not so strong I..
[Chorus (x2)]
ii. Vocabulary: Word Charge Activity
Write O if the pair of words are opposite in meaning, S if it is similar in
meaning.
1. S Possible Probable
2. S Obligation Necessity
3. O Giving permission Requesting permission
4. S Recommended Advised
5. O Advisability Thoughtlessness
iii. Setting Purpose for Teaching
1. Dialogue - Comic strip
Have students analyze the comic strip and find the right answer to the
questions below.
3 | P a g e
QUESTIONS CHOICES ANSWER KEY
1. Where do they go? To the theatre
To the cinema
To the restaurant
to the restaurant
2. How many are they? 5
2
3
2
3. When do they go out? In the afternoon
In the evening
At midday
in the evening
4. Will they have lunch? no they won't
we don’t know
yes they will
no they won't
5. What will they eat? Fish
Hamburger
chicken
chicken
6. What will they drink? Wine
Water
beer
beer
7. What kind of beer will they have? Lager
Light
draft
draft
8. Did they like that restaurant? we don’t know
yes they did
no they didn’t
yes they did
9. Had they made a reservation? we don’t know
no they hadn’t
yes they did
no they hadn't
10. Who pays for the meal? She does
Both do
He does
he does
b. WHILE TEACHING
i. Presentation and Developmentof the Lesson
1. Present the lesson (PowerPoint or Visual Aids)
2. Discuss the rules (PowerPoint and Worksheets)
MODALS are special kind of auxiliary or helping verbs. It is a verb that cannot work
without another verb.
These include can, will, must, ought to, may, might, would, could, should and shall.
USES OF MODALS
A. May, can, and could are used in polite expressions that request permission.
In a polite request, could may have a present or future meaning, not past. Can is
used in informal conversation. Can also expresses ability or capability while
may and could expresses possibility.
Examples:
1.May I borrow your pencil?
2.Could I borrow your pencil?
3.Can I borrow your pencil?
Responses:
1.Yes, you may.
Certainly.
2.Of course.
3.Sure. (Informal)
B. Must, have to, and have got to are used to express stronger necessity. The
expression have got to is informal English.
Examples:
1. If you want to study in college, you must take a college admission test.
2. If you want to study in college, you have to take a college admission test.
3. If you want to study in college, you have got to take a college admission test.
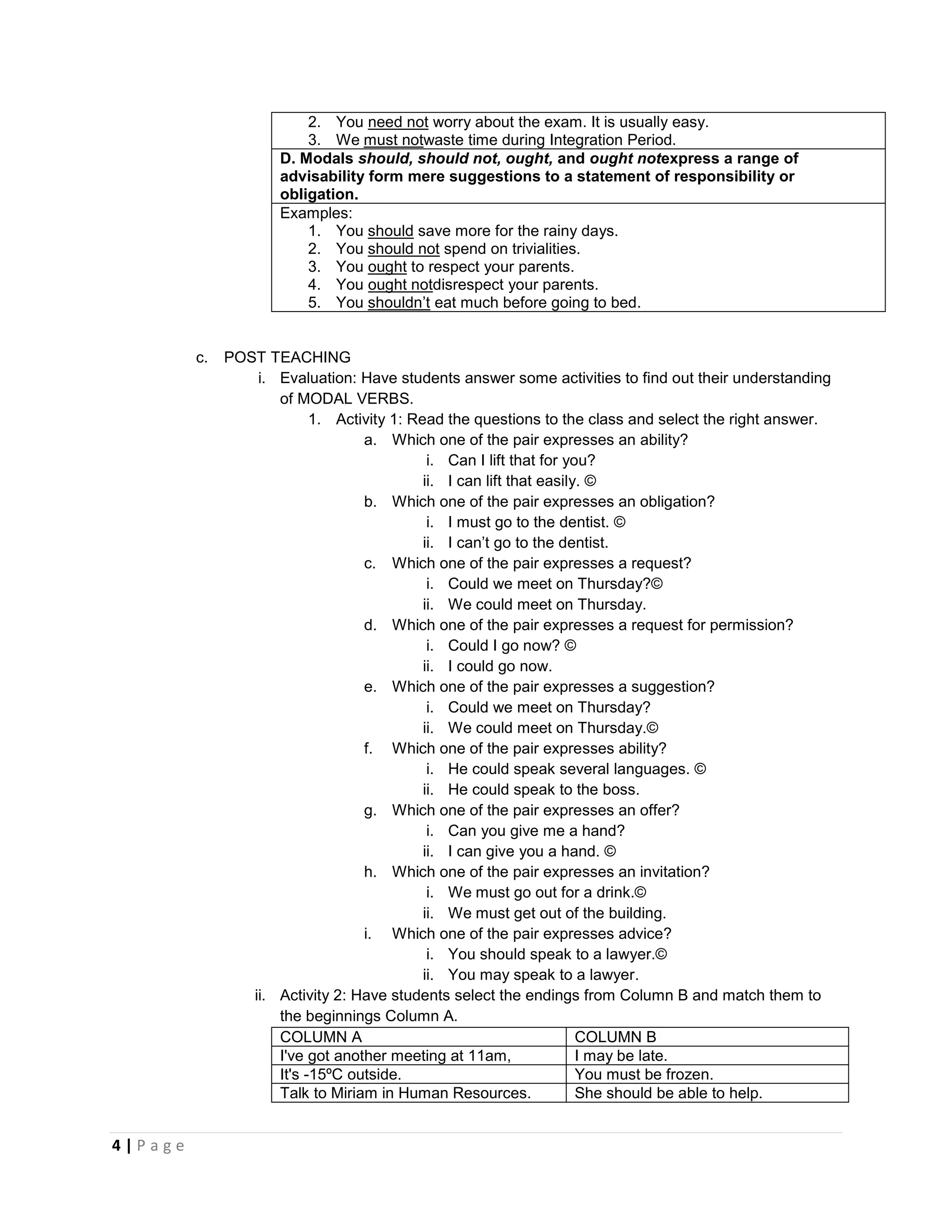
C. “Don’t have to”, and “need not” express lack of necessity. “Must not”
expresses prohibition.
Examples:
1. Next week is called Integration Period. We don’t have to go to school for we
are expected to spend the period in reviewing for the final exam.
4 | P a g e
2. You need not worry about the exam. It is usually easy.
3. We must notwaste time during Integration Period.
D. Modals should, should not, ought, and ought notexpress a range of
advisability form mere suggestions to a statement of responsibility or
obligation.
Examples:
1. You should save more for the rainy days.
2. You should not spend on trivialities.
3. You ought to respect your parents.
4. You ought notdisrespect your parents.
5. You shouldn’t eat much before going to bed.
c. POST TEACHING
i. Evaluation: Have students answer some activities to find out their understanding
of MODAL VERBS.
1. Activity 1: Read the questions to the class and select the right answer.
a. Which one of the pair expresses an ability?
i. Can I lift that for you?
ii. I can lift that easily. ©
b. Which one of the pair expresses an obligation?
i. I must go to the dentist. ©
ii. I can’t go to the dentist.
c. Which one of the pair expresses a request?
i. Could we meet on Thursday?©
ii. We could meet on Thursday.
d. Which one of the pair expresses a request for permission?
i. Could I go now? ©
ii. I could go now.
e. Which one of the pair expresses a suggestion?
i. Could we meet on Thursday?
ii. We could meet on Thursday.©
f. Which one of the pair expresses ability?
i. He could speak several languages. ©
ii. He could speak to the boss.
g. Which one of the pair expresses an offer?
i. Can you give me a hand?
ii. I can give you a hand. ©
h. Which one of the pair expresses an invitation?
i. We must go out for a drink.©
ii. We must get out of the building.
i. Which one of the pair expresses advice?
i. You should speak to a lawyer.©
ii. You may speak to a lawyer.
ii. Activity 2: Have students select the endings from Column B and match them to
the beginnings Column A.
COLUMN A COLUMN B
I've got another meeting at 11am, I may be late.
It's -15ºC outside. You must be frozen.
Talk to Miriam in Human Resources. She should be able to help.
5 | P a g e
He works every weekend, you know. That can't be healthy.
Mark's starting a new school on
Monday.
It can be very difficult at first.
I am thinking again about what Alison
said.
She may be right.
The roads were very bad this evening. They could have been stuck in the
snow.
I can't see your train on the board. It may have been cancelled.
It was a pretty vicious dog. He must have been terrified.
There were no delays. They should have landed by now.
iii. Activity 3: Have students answer Starter 1-10 on page 143 on a ¼ sheet of
paper.
IV. AGREEMENT
Have students answer their SB for English Proficiency Book on page 144, Reinforcer.
Complete the chart. For each situation, compose a polite request and an answer.
SITUATION POLITE REQEUST ANSWER
1. You want to leave
class early. You are
speaking to your
teacher.
2. You call your cousin.
Someone else
answers the phone.
3. You want your
brother to answer a
phone call from your
office while you are
away.
4. It is getting late, but
you are still at your
friend’s house. You
want to use the
phone to inform your
mother.

Lesson plan about modals

  • 1.
    1 | Pa g e Lesson Plan in Grammar MODALS Teacher Applicant: Lucille Clavero Date: March 21, 2014 I. OBJECTIVES: a. Demonstrate appreciation and understanding of Modals through a song b. View and react critically to the music video presented c. Expand vocabulary through “word charge” activity d. Analyze a comic strip e. Recognize Modals and their functions f. Compose sentences using Modals II. SUBJECT MATTER: a. Focus Skills:Viewing, Listening, Song Appreciation b. Title: MODALS c. Target Level of Proficiency: Grade 7-Approaching Proficiency to Proficient Learners d. Materials: PowerPoint Presentation or Visual Aids, Music Video Clip, Graphic Organizer, Worksheets, Writing Tools, e. References: Salazar, Alumbro, and Villamin, Skill Builders for English Proficiency Grade 7, Quezon City, Phoenix Publishing House, Inc. 2013 https://www.youtube.com/watch?v=Bug-hnPxFaY http://www.perfect-english-grammar.com/modal-verbs.html http://learnenglish.britishcouncil.org/en/english-grammar/verbs/modal-verbs http://www.tolearnenglish.com/exercises/exercise-english-2/exercise-english-18805.php III. STRATEGIES: a. PRE-TEACHING i. Motivation: MTV Reflection Have students view the music video (https://www.youtube.com/watch?v=Bug- hnPxFaY)and ask them the following questions. 1. How did the writer of the song define shouldawouldacoulda? 2. What did the singer put aside for her ambition? Did she regret her decision? 3. Were there instances in your life when you regret your decision? How do you move on after regretting a decision that you made. Relate them to the class. "ShouldaWouldaCoulda" Beverley Knight People say that together we were both sides of the same coin That we would shine like Venus in a clear night sky We thought our love could overcome the circumstances But my ambition wouldn't allow for compromise I could see in the distance all the dreams that were clear to me Every choice that I had to make left you on your own
  • 2.
    2 | Pa g e Somehow the road we started down had split asunder Too late to realise how far apart we'd grown. How I wish I, wish I'd done a little bit more Now " Shouldawouldacoulda," means I'm out of time Coz "Shouldawouldacoulda", can't change your mind And I wonder, wonder, wonder what I'm gonna do "Shouldawouldacoulda" are the last words of a fool People ask how it feels to live the kind of life others dream about I tell them everybody gotta face their highs and their lows And in my life there's a love I put aside, cause I was busy loving something else So for every little thing you hold on to, you've got to let something else go [Chorus] Fool if I would now forsake the opportunities are fate I know I'm right where I belong But sometimes when I'm not so strong I.. [Chorus (x2)] ii. Vocabulary: Word Charge Activity Write O if the pair of words are opposite in meaning, S if it is similar in meaning. 1. S Possible Probable 2. S Obligation Necessity 3. O Giving permission Requesting permission 4. S Recommended Advised 5. O Advisability Thoughtlessness iii. Setting Purpose for Teaching 1. Dialogue - Comic strip Have students analyze the comic strip and find the right answer to the questions below.
  • 3.
    3 | Pa g e QUESTIONS CHOICES ANSWER KEY 1. Where do they go? To the theatre To the cinema To the restaurant to the restaurant 2. How many are they? 5 2 3 2 3. When do they go out? In the afternoon In the evening At midday in the evening 4. Will they have lunch? no they won't we don’t know yes they will no they won't 5. What will they eat? Fish Hamburger chicken chicken 6. What will they drink? Wine Water beer beer 7. What kind of beer will they have? Lager Light draft draft 8. Did they like that restaurant? we don’t know yes they did no they didn’t yes they did 9. Had they made a reservation? we don’t know no they hadn’t yes they did no they hadn't 10. Who pays for the meal? She does Both do He does he does b. WHILE TEACHING i. Presentation and Developmentof the Lesson 1. Present the lesson (PowerPoint or Visual Aids) 2. Discuss the rules (PowerPoint and Worksheets) MODALS are special kind of auxiliary or helping verbs. It is a verb that cannot work without another verb. These include can, will, must, ought to, may, might, would, could, should and shall. USES OF MODALS A. May, can, and could are used in polite expressions that request permission. In a polite request, could may have a present or future meaning, not past. Can is used in informal conversation. Can also expresses ability or capability while may and could expresses possibility. Examples: 1.May I borrow your pencil? 2.Could I borrow your pencil? 3.Can I borrow your pencil? Responses: 1.Yes, you may. Certainly. 2.Of course. 3.Sure. (Informal) B. Must, have to, and have got to are used to express stronger necessity. The expression have got to is informal English. Examples: 1. If you want to study in college, you must take a college admission test. 2. If you want to study in college, you have to take a college admission test. 3. If you want to study in college, you have got to take a college admission test. C. “Don’t have to”, and “need not” express lack of necessity. “Must not” expresses prohibition. Examples: 1. Next week is called Integration Period. We don’t have to go to school for we are expected to spend the period in reviewing for the final exam.
  • 4.
    4 | Pa g e 2. You need not worry about the exam. It is usually easy. 3. We must notwaste time during Integration Period. D. Modals should, should not, ought, and ought notexpress a range of advisability form mere suggestions to a statement of responsibility or obligation. Examples: 1. You should save more for the rainy days. 2. You should not spend on trivialities. 3. You ought to respect your parents. 4. You ought notdisrespect your parents. 5. You shouldn’t eat much before going to bed. c. POST TEACHING i. Evaluation: Have students answer some activities to find out their understanding of MODAL VERBS. 1. Activity 1: Read the questions to the class and select the right answer. a. Which one of the pair expresses an ability? i. Can I lift that for you? ii. I can lift that easily. © b. Which one of the pair expresses an obligation? i. I must go to the dentist. © ii. I can’t go to the dentist. c. Which one of the pair expresses a request? i. Could we meet on Thursday?© ii. We could meet on Thursday. d. Which one of the pair expresses a request for permission? i. Could I go now? © ii. I could go now. e. Which one of the pair expresses a suggestion? i. Could we meet on Thursday? ii. We could meet on Thursday.© f. Which one of the pair expresses ability? i. He could speak several languages. © ii. He could speak to the boss. g. Which one of the pair expresses an offer? i. Can you give me a hand? ii. I can give you a hand. © h. Which one of the pair expresses an invitation? i. We must go out for a drink.© ii. We must get out of the building. i. Which one of the pair expresses advice? i. You should speak to a lawyer.© ii. You may speak to a lawyer. ii. Activity 2: Have students select the endings from Column B and match them to the beginnings Column A. COLUMN A COLUMN B I've got another meeting at 11am, I may be late. It's -15ºC outside. You must be frozen. Talk to Miriam in Human Resources. She should be able to help.
  • 5.
    5 | Pa g e He works every weekend, you know. That can't be healthy. Mark's starting a new school on Monday. It can be very difficult at first. I am thinking again about what Alison said. She may be right. The roads were very bad this evening. They could have been stuck in the snow. I can't see your train on the board. It may have been cancelled. It was a pretty vicious dog. He must have been terrified. There were no delays. They should have landed by now. iii. Activity 3: Have students answer Starter 1-10 on page 143 on a ¼ sheet of paper. IV. AGREEMENT Have students answer their SB for English Proficiency Book on page 144, Reinforcer. Complete the chart. For each situation, compose a polite request and an answer. SITUATION POLITE REQEUST ANSWER 1. You want to leave class early. You are speaking to your teacher. 2. You call your cousin. Someone else answers the phone. 3. You want your brother to answer a phone call from your office while you are away. 4. It is getting late, but you are still at your friend’s house. You want to use the phone to inform your mother.