高等輸送二 — 熱傳 Lecture 11 Simultaneous Heat and Mass Transfer 郭修伯 助理教授
Mathematical analogies The diffusion of mass and the conduction of heat obey very similar equations diffusion in one dimension - Fick‘s law heat conduction - Fourier‘s law semiinfinite slab semiinfinite slab Thermal diffusivity Thermal conductivity
Mathematical analogies Momentum transfer in one dimension - Newton‘s law Flat plate moved into an initially stagnant fluid viscosity plate velocity kinetic viscosity Confusing?
Mass flux Mass per volume Energy flux Not energy per volume? Momentum flux Not momentum per volume?
Interfacial mass flux: Interfacial energy flux: Interfacial momentum flux: Table 20.1-1
Cooling metal spheres We want to quickly quench a liquid metal to make fine powder. We plane to do this by spraying drops into an oil bath. How can we estimate the cooling speed of the drops?  No suitable heat transfer correlations! However, several mass transfer correlations for drops are given: For large drops without stirring: Sherwood number,  kd/D  ~ Nusselt number,  hd/k Schmidt number,  v/D  ~ Prandtl number,  v/α This correlation will be reliable only if the Grashöf number for the cooling falls in the same range as that used to develop the mass transfer correlation.
Heat transfer from a spinning disc Imagine that a spinning metal disc electrically heated to 30C is immersed in 1000 cm 3  of an emulsion at 18C. The disc is 3 cm in diameter and is turning at 10 rpm. The emulsion’s kinetic viscosity is 0.082 cm 2 /sec. After an hour, the emulsion is at 21C. What is its thermal diffusivity? Energy balance: I.C., t = 0, T = T 0 α = ? Mass transfer away from a spinning disc:
The situations in which mass transfer, heat transfer, and fluid flow occur at the same rate: the rates of mass, heat, and momentum transfer can be essentially the same for fluids in turbulent flow. Reynolds(1874): mass or heat transfer in a flowing fluid must involve two simultaneous processes: Natural diffusion of the fluid at rest the eddies caused by visible motion All caused by flow? a << bu a’ << b’u a’’ << b’’u Reynolds analogy
Reynolds analogy It suggests a simple relation between different transport phenomena. This relation should be accurate when transport occurs by means of turbulent eddies. We can estimate mass transfer coefficients from heat transfer coefficients or from friction factors! However, experimental results show that the Reynolds analogy is accurate  for gases, but not for liquids .
The Chilton-Colburn analogy How to extend to liquid? By an analysis of experimental data: reduce to the Reynolds analogy for gases whose Schmidt and Prandtl numbers equal unity later apply theories, especially boundary layer theory, to rationalize the exponent of 2/3.
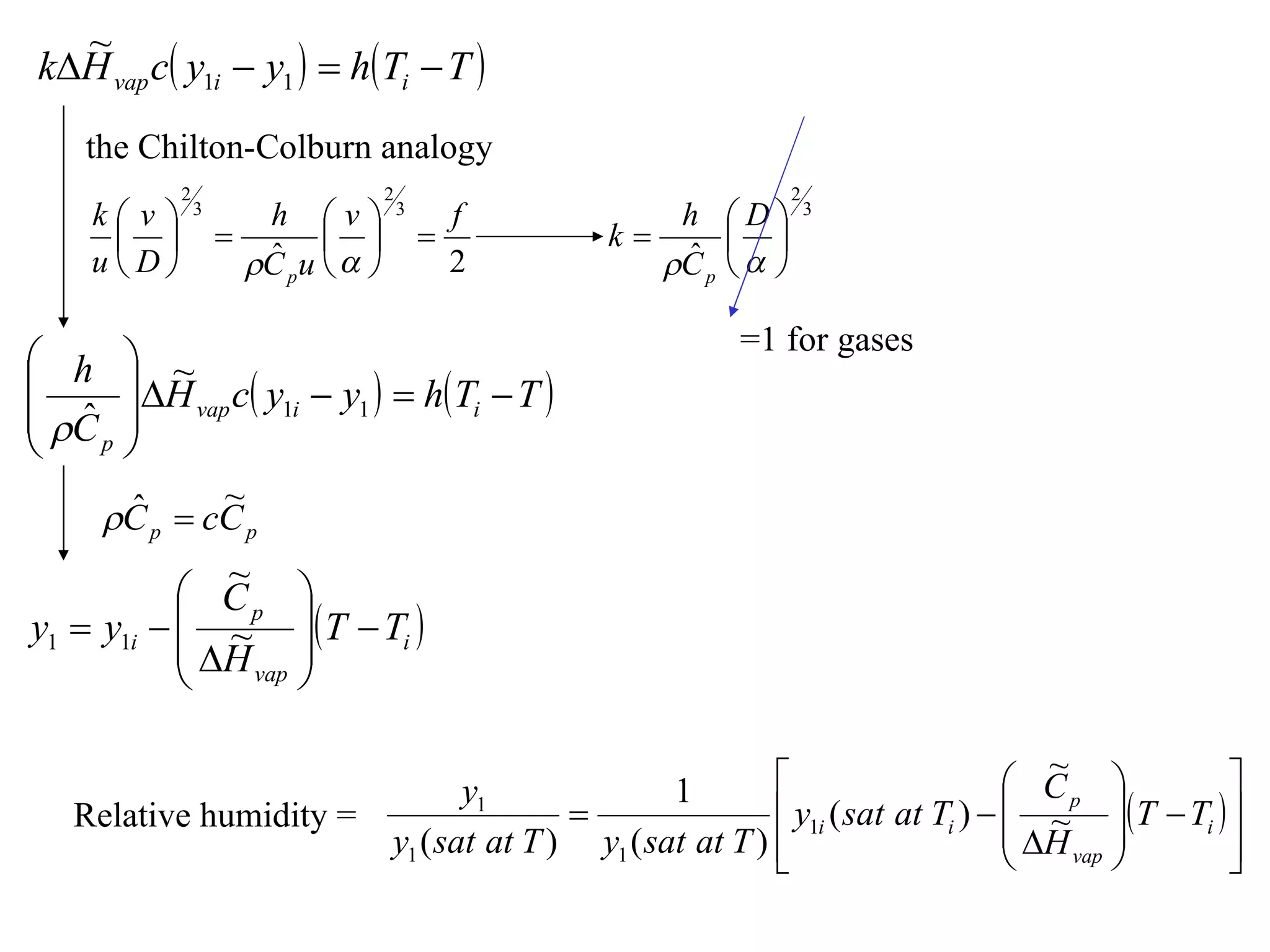
The wet-bulb thermometer measures the colder temperature caused by evaporation of the water applied to calculate the relative humidity in air: mass flux: energy flux: Coupling:
the Chilton-Colburn analogy =1 for gases Relative humidity =
Design of cooling towers Calculate the size of a tower required to cool a given amount of water:  Fig. 20.3.2 Fig. 20.3.1 Hot water in Cold water out z Cold air in Hot air out
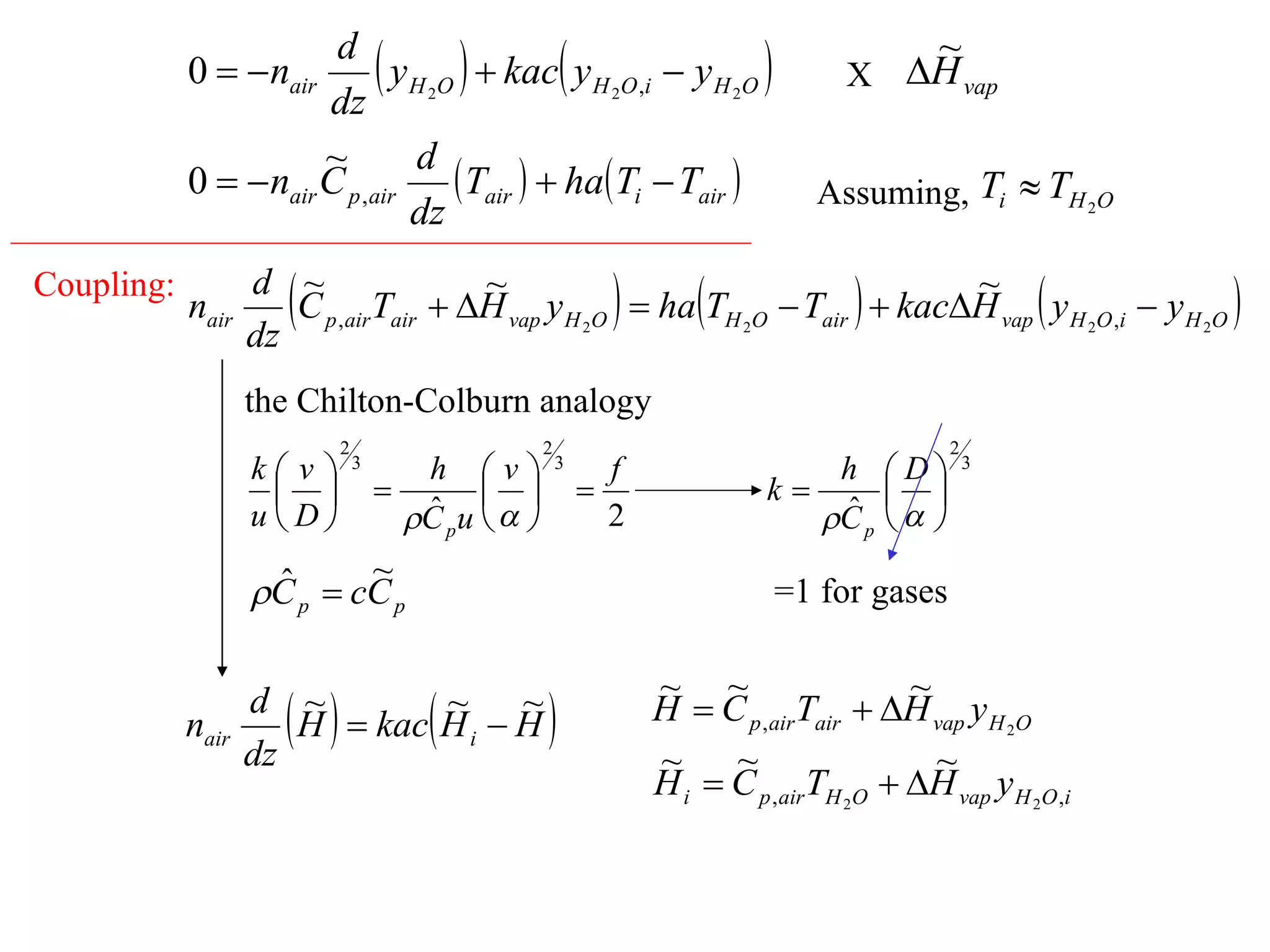
The mass balance on the water vapor in the control volume Water accumulation = water convection in minus that out + water added by evaporation The energy balance on the wet air in the control volume The energy balance on both liquid water and wet air in the control volume:
Coupling: X  Assuming,  the Chilton-Colburn analogy =1 for gases
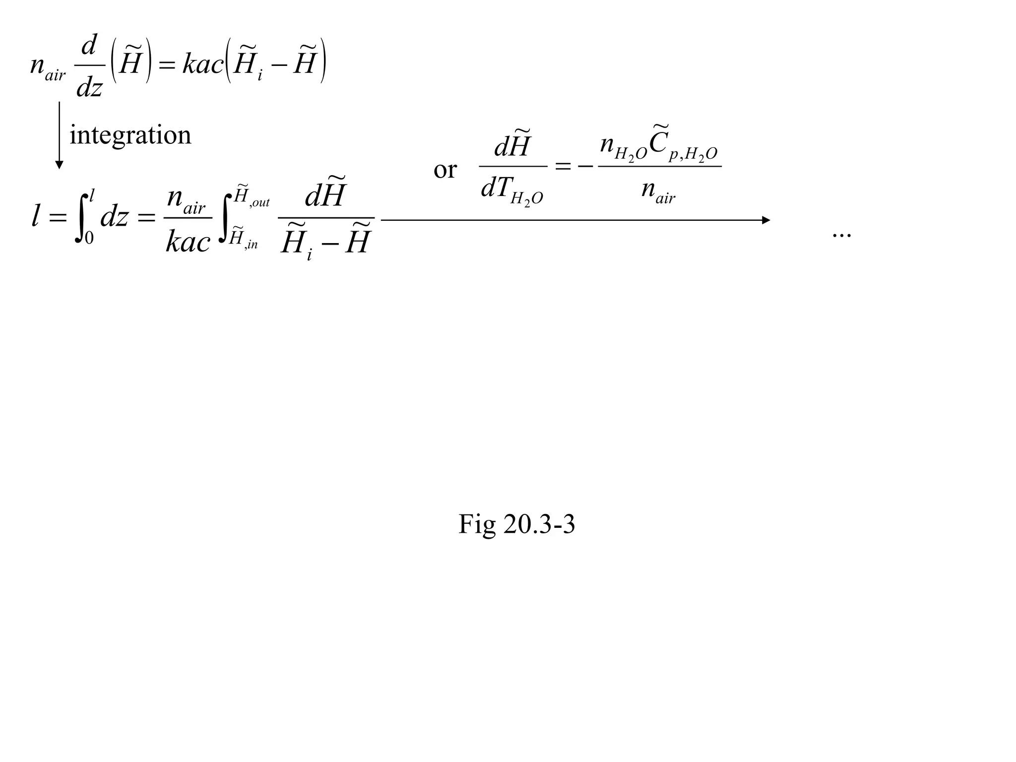
integration or ... Fig 20.3-3
Fig 20.3-5 Fig 20.3-4 For  kc  values
Design a countercurrent cooling tower to cool water at 2150 kg/min. The water enters at 60C and is to be cooled to 25C. The air is fed at 60 g-mol/m 2 .sec with a dry-bulb temperature of 30C and a dew point temperature of 10C. The water flux should be 40% lower than the maximum allowed thermodynamically. Find (1) the flow rate of the water per tower cross section, (2) the tower cross section, and (3) the height of tower required. Refer to Fig 20.3-5, the maximum water flow : AB’ (1) Slope of AB’ =  40% Slop of actual operating line, AB = 110 x 75 / 60 = 137.5 (2) the tower cross section: (3) the tower height:
Thermal diffusion and effusion Temperature gradient effects a solute flux Uniform salt solution Heated Cooled Soret, 1879 Dilute salt solution Concentrated salt solution For liquid, Soret coefficient For gas, Thermal diffusivity Heavier molecules usually will concentrate in the cooler region.
Experimental values:  Table 20.5-1 The temperature gradient effect disappears rapidly for dilute solution and is largest when solute and solvent concentrations are similar.
Thermal diffusion is studied in a two-bulb apparatus. Each bulb is 3 cm 3  in volume; the capillary is 1 cm long and has an area of 0.01 cm 2 . The left-hand bulb is heated to 50C, and the right-hand bulb is kept at 0C. The entire apparatus is initially filled with an equilmolar mixture, either of hydrogen-methane or of ethanol-water. How much separation is achieved? About how long does this separation take? Thermal diffusion: gas mixture ethanol-water The separations are small; that with liquids is slightly larger but in the opposite direction. Mass balance on the left-hand bulb: Mass balance on the left-hand bulb: Integration… gas ~ 500sec liquid ~ 180 days
Conclusions For gases,  D  and α are nearly equal, and  k  and  are very similar.  For liquids and solids,  D  is much less than α, and  k  is much less than For liquids and solids, the heat transfer is much more rapid than the mass transfer, and so proceeds as if the mass transfer did not exist. The two processes are essential uncoupled.

Lecture 11

  • 1.
    高等輸送二 — 熱傳Lecture 11 Simultaneous Heat and Mass Transfer 郭修伯 助理教授
  • 2.
    Mathematical analogies Thediffusion of mass and the conduction of heat obey very similar equations diffusion in one dimension - Fick‘s law heat conduction - Fourier‘s law semiinfinite slab semiinfinite slab Thermal diffusivity Thermal conductivity
  • 3.
    Mathematical analogies Momentumtransfer in one dimension - Newton‘s law Flat plate moved into an initially stagnant fluid viscosity plate velocity kinetic viscosity Confusing?
  • 4.
    Mass flux Massper volume Energy flux Not energy per volume? Momentum flux Not momentum per volume?
  • 5.
    Interfacial mass flux:Interfacial energy flux: Interfacial momentum flux: Table 20.1-1
  • 6.
    Cooling metal spheresWe want to quickly quench a liquid metal to make fine powder. We plane to do this by spraying drops into an oil bath. How can we estimate the cooling speed of the drops? No suitable heat transfer correlations! However, several mass transfer correlations for drops are given: For large drops without stirring: Sherwood number, kd/D ~ Nusselt number, hd/k Schmidt number, v/D ~ Prandtl number, v/α This correlation will be reliable only if the Grashöf number for the cooling falls in the same range as that used to develop the mass transfer correlation.
  • 7.
    Heat transfer froma spinning disc Imagine that a spinning metal disc electrically heated to 30C is immersed in 1000 cm 3 of an emulsion at 18C. The disc is 3 cm in diameter and is turning at 10 rpm. The emulsion’s kinetic viscosity is 0.082 cm 2 /sec. After an hour, the emulsion is at 21C. What is its thermal diffusivity? Energy balance: I.C., t = 0, T = T 0 α = ? Mass transfer away from a spinning disc:
  • 8.
    The situations inwhich mass transfer, heat transfer, and fluid flow occur at the same rate: the rates of mass, heat, and momentum transfer can be essentially the same for fluids in turbulent flow. Reynolds(1874): mass or heat transfer in a flowing fluid must involve two simultaneous processes: Natural diffusion of the fluid at rest the eddies caused by visible motion All caused by flow? a << bu a’ << b’u a’’ << b’’u Reynolds analogy
  • 9.
    Reynolds analogy Itsuggests a simple relation between different transport phenomena. This relation should be accurate when transport occurs by means of turbulent eddies. We can estimate mass transfer coefficients from heat transfer coefficients or from friction factors! However, experimental results show that the Reynolds analogy is accurate for gases, but not for liquids .
  • 10.
    The Chilton-Colburn analogyHow to extend to liquid? By an analysis of experimental data: reduce to the Reynolds analogy for gases whose Schmidt and Prandtl numbers equal unity later apply theories, especially boundary layer theory, to rationalize the exponent of 2/3.
  • 11.
    The wet-bulb thermometermeasures the colder temperature caused by evaporation of the water applied to calculate the relative humidity in air: mass flux: energy flux: Coupling:
  • 12.
    the Chilton-Colburn analogy=1 for gases Relative humidity =
  • 13.
    Design of coolingtowers Calculate the size of a tower required to cool a given amount of water: Fig. 20.3.2 Fig. 20.3.1 Hot water in Cold water out z Cold air in Hot air out
  • 14.
    The mass balanceon the water vapor in the control volume Water accumulation = water convection in minus that out + water added by evaporation The energy balance on the wet air in the control volume The energy balance on both liquid water and wet air in the control volume:
  • 15.
    Coupling: X Assuming, the Chilton-Colburn analogy =1 for gases
  • 16.
  • 17.
    Fig 20.3-5 Fig20.3-4 For kc values
  • 18.
    Design a countercurrentcooling tower to cool water at 2150 kg/min. The water enters at 60C and is to be cooled to 25C. The air is fed at 60 g-mol/m 2 .sec with a dry-bulb temperature of 30C and a dew point temperature of 10C. The water flux should be 40% lower than the maximum allowed thermodynamically. Find (1) the flow rate of the water per tower cross section, (2) the tower cross section, and (3) the height of tower required. Refer to Fig 20.3-5, the maximum water flow : AB’ (1) Slope of AB’ = 40% Slop of actual operating line, AB = 110 x 75 / 60 = 137.5 (2) the tower cross section: (3) the tower height:
  • 19.
    Thermal diffusion andeffusion Temperature gradient effects a solute flux Uniform salt solution Heated Cooled Soret, 1879 Dilute salt solution Concentrated salt solution For liquid, Soret coefficient For gas, Thermal diffusivity Heavier molecules usually will concentrate in the cooler region.
  • 20.
    Experimental values: Table 20.5-1 The temperature gradient effect disappears rapidly for dilute solution and is largest when solute and solvent concentrations are similar.
  • 21.
    Thermal diffusion isstudied in a two-bulb apparatus. Each bulb is 3 cm 3 in volume; the capillary is 1 cm long and has an area of 0.01 cm 2 . The left-hand bulb is heated to 50C, and the right-hand bulb is kept at 0C. The entire apparatus is initially filled with an equilmolar mixture, either of hydrogen-methane or of ethanol-water. How much separation is achieved? About how long does this separation take? Thermal diffusion: gas mixture ethanol-water The separations are small; that with liquids is slightly larger but in the opposite direction. Mass balance on the left-hand bulb: Mass balance on the left-hand bulb: Integration… gas ~ 500sec liquid ~ 180 days
  • 22.
    Conclusions For gases, D and α are nearly equal, and k and are very similar. For liquids and solids, D is much less than α, and k is much less than For liquids and solids, the heat transfer is much more rapid than the mass transfer, and so proceeds as if the mass transfer did not exist. The two processes are essential uncoupled.