Landmark trials in
carcinoma rectum
Dr. Mohammad Masoom Parwez
M.Ch Resident, Dept of Surgical Oncology
July 4, 2022
SirW. Ernest
Miles (1869-1947)
On December 19 of 2008, the Surgical
Community celebrated 100th anniversary
of the publication, in the Lancet, of W.
Ernest Miles’ treatise on the abdomino-
perineal excision of the rectum (APER)
Prior to this,TME - mainstay of treatment
TME - Improved local control and survival over blunt dissection for
rectal CA
Pre-op short course RT - improved local control and overall survival
with blunt dissection – Swedish trial
Dutch trial - Landmark study - test value of short RT withTME
Randomised 1861 patients with resectable rectal CA b/w 1996-1999
into:
Pre-op RT 25 Gy +TME versusTME alone
IfTME alone group had positive margins - post-op RT of 50.4 Gy was added
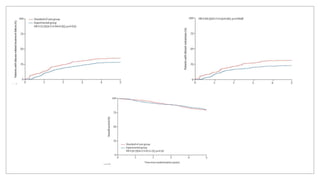
10 yr cumulative incidence of local recurrence rate
of 5% vs 11% (p < 0.0001)
10 yrs overall survival were
equivalent (48% vs 49%)
Results:
Of the 1749 patients; 46 recurred in pre-op RT arm and 97 in Sx alone
arm
10 yr cumulative incidence of local recurrence rate of 5% vs 11% (p <
0.0001)
Cumulative incidence of distant metastases was not significant (25%
vs 29%)
10 yrs overall survival were equivalent (48% vs 49%)
10 yr cumulative incidence of local recurrence in negative surgical
margins - 3% vs 9% (p < 0.0001)
10 yr survival probabilities in negative surgical margin patients - 56%
vs 57%
Conclusion:
 Study demonstrated benefit of Pre-op RT to be most significant in stage III rectal
tumors
 Effect was stronger in pt with negative surgical margin with RR reduction of 64%
local recurrence
 Also a decrease in overall recurrence rate
 However, no difference in overall survival
 This changed the “standard of care” forT3,T4, and/or N0/N+, non
metastatic rectal CA
 Patients were assessed by CT or ERUS - randomised to receive either pre-
op ChemoRT (421) or post-op ChemoRT (402)
 CCRT - continuous inf of 5FU in 1st and 5th week of RT
 RT – 50.4 Gy in 1.8 Gy # and boost of 5.4 Gy to tumor bed in post-op arm
 Adj CT - 4# of 5FU 500mg/m2 iv bolus D1-D5 starting 4 weeks after Sx
and repeated 4 weekly
 The overall five-year survival rates were 76 percent and 74 percent,
respectively (P=0.80)
 The 5-year cumulative incidence of local relapse was 6% vs 13%(P=0.006)
 Grade 3 or 4 acute toxic effects occurred in 27% vs 40% (P=0.001)
 Conclusion:
 Pre-op ChemoRT, as compared with post-op ChemoRT, improved local
control, with reduced toxicity but did not improve overall survival
 Local recurrence rate at 10 yrs improved in pre-op group (7.1% vs 10.1%)
 OS and DFS were not significantly different
 10 yr OS was 59.6% vs 59.9%
 Rate of distant mets at 10 years - 29.8% vs 29.6%
Conclusion:
Pre-op CRT associated with significantly less cumulative incidence of local
recurrence (7.1 vs 10.1%)
Helped estb the current standard of care of giving pre-op CRT inT3,T4; N0/N+
status rectal CA
 Addition of post-op chemotherapy to preoperative ChemoRT
 clinical stageT3 orT4 resectable rectal cancer
 Pre-op ChemoRT - 45 Gy to the posterior pelvis in 25 fractions of 1·8 Gy over 5 weeks
with chemo (5FU + Folinic acid) in 1st and 5th week
 Adj Chemotherapy - fluorouracil (350 mg/m² per day intravenous bolus) and folinic acid
(leucovorin; 20 mg/m² per day intravenous bolus) given in four cycles, every 3 weeks
 primary endpoint - overall survival
 1011 patients were randomly assigned to treatment between April, 1993, and March,
2003
 Results:
 10-year OS was 50·7% for the pre-op chemoRT group vs 51·8% for the adjuvant
chemotherapy group
 10-year DFS was 46·4% for the pre-op chemoRT group vs 47% for the adjuvant chemotherapy
group
 At 10 years, cumulative incidence of local relapse was 11·8% for the pre-op chemoRT group vs
14·5% for the adjuvant chemotherapy group
 longterm side-effects did not differ between the groups
 Conclusion:
 Adjuvant fluorouracil-based chemotherapy after preoperative ChemoRT does not affect
disease-free survival or overall survival
• 312 patients
• Either pre-op RT (25Gy in 5# of 5Gy) + Sx within 7 days v/s pre-op chemoRT (50.4Gy
in 28# of 1.8Gy + 5FU/Leucovorin bolus) and Sx after 4-6 weeks
• Median followup of 48 months
• Results:
• Early RT toxicity in CRT group (18% vs 3.2%) p<0.001
• Severe late toxicity 10.1 vs 7.1%
• Compliance 69.2% vs 97%
• Anal sphincter preservation 58.9% vs 61.2%
• Positive CRM rate 4.4% vs 12.9%
• Comparable DFS and OS
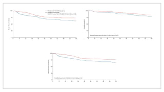
 80 centres in 4 nations, 1350 patients
 short-course preop RT (25 Gy in five fractions; n=674) to initial surgery with selective
post-operative chemoRT (45 Gy in 25 fractions with concurrent 5-fluorouracil) restricted
to patients with CRM +ve (n=676)
 primary outcome measure was local recurrence
 Findings:
 99 patients developed local recurrence (27 preoperative radiotherapy vs 72 selective
postoperative chemoradiotherapy)
 reduction of 61% in the relative risk of local recurrence for patients receiving preoperative
radiotherapy
 relative improvement in disease-free survival of 24% for patients receiving preoperative
radiotherapy
 Overall survival did not differ between the groups
short-course preoperative
radiotherapy is an effective
treatment for patients with operable
rectal cancer
 Compared safety and efficacy of post-op FOLFOX with 5FU/Leucovorin in stage II
and III rectal CA after pre-op CRT
 Place: South korea; 6 different centres
 Either 8# of FOLFOX or 4# of 5FU/Leucovorin
 Eligible pt underwentTME with R0 resection and pathological stage II/III disease
 Study randomised 321 patients b/w 2008-2012
 Primary End-point: 3 year DFS
 96% patient completed the planned adjuvant chemotherapy
 Median follow-up was 38.2 months
Results:
• 3 yr DFS was improved from 62.9% to 71.6% in FOLFOX arm
• Pathological stage III disease - significantly better DFS with FOLFOX than Stage II
patients
• 3 yr OS - 85.7% vs 95% in FOLFOX group
Conclusion:
1st trial to show benefit of FOLFOX in adj setting
Improvement in DFS in stage II and III patients
More adverse events in FOLFOX arm (No significant difference in Grade 3 and 4 adv
events)
Phase 2 trial - limited statistical power
However, patients with worse disease after pre-op CRT might benefit from
FOLFOX
• Assess tumor response after RT, optimal dosing and ideal time to surgery after pre-
op RT
• Non-inferiority trial, 840 patients
• SCRT (5# x 5 Gy) with immediate Sx (within 1 week)
• SCRT with delay (Sx after 4-8 weeks)
• LCRT with delay (25# x 2 Gy with Sx after 4-8 weeks)
• Outcomes:
• TRG, pCR, OS,TTR (time to recurrence)
• Result:
• SCRT with delay: lower tumor stage, greaterTRG, high pCR (10.4%), better OS andTTR
• Conclusion: SCRT with delay is a viable alternative to LCRT
RAPIDOTRIAL
• R0 resection was similar
• Experimental arm had 28% pCR vs 14% standard arm
• Grade ≥3 adverse events 41% v 25%
• No difference in proportion of patients undergoing Sx and rate of pot-op complications
• OS – 89% vs 88%
• Rate of distant mets – 20% vs 26.8%
• Disease related treatment failure events 23.7% vs 30.4%
• Conclusion: SCRT f/b 18 weeks of CT before Sx decreases probability of disease related
treatment failure mainly by reducing the probability of distant metastasis
PRODIGE 23TRIAL
• 461 patients, June 2012 – 2017
• Median followup: 46.7 months
• 3 yr DFS: 76% experimental arm vs 69% in standard arm
• Serious adverse events: 27% vs 22%
• Comparable treatment related deaths in both arms (1%)
• Conclusion: NACT f/b long course chemoRT significantly improves outcomes (DFS) and
decreased neurotoxicity with better compliance than adjuvant chemotherapy
“Thank you for your valuable time”
- - -

landmark trials in ca rectum.pptx

  • 1.
    Landmark trials in carcinomarectum Dr. Mohammad Masoom Parwez M.Ch Resident, Dept of Surgical Oncology July 4, 2022
  • 3.
    SirW. Ernest Miles (1869-1947) OnDecember 19 of 2008, the Surgical Community celebrated 100th anniversary of the publication, in the Lancet, of W. Ernest Miles’ treatise on the abdomino- perineal excision of the rectum (APER)
  • 6.
    Prior to this,TME- mainstay of treatment TME - Improved local control and survival over blunt dissection for rectal CA Pre-op short course RT - improved local control and overall survival with blunt dissection – Swedish trial Dutch trial - Landmark study - test value of short RT withTME Randomised 1861 patients with resectable rectal CA b/w 1996-1999 into: Pre-op RT 25 Gy +TME versusTME alone IfTME alone group had positive margins - post-op RT of 50.4 Gy was added
  • 10.
    10 yr cumulativeincidence of local recurrence rate of 5% vs 11% (p < 0.0001) 10 yrs overall survival were equivalent (48% vs 49%)
  • 11.
    Results: Of the 1749patients; 46 recurred in pre-op RT arm and 97 in Sx alone arm 10 yr cumulative incidence of local recurrence rate of 5% vs 11% (p < 0.0001) Cumulative incidence of distant metastases was not significant (25% vs 29%) 10 yrs overall survival were equivalent (48% vs 49%) 10 yr cumulative incidence of local recurrence in negative surgical margins - 3% vs 9% (p < 0.0001) 10 yr survival probabilities in negative surgical margin patients - 56% vs 57%
  • 12.
    Conclusion:  Study demonstratedbenefit of Pre-op RT to be most significant in stage III rectal tumors  Effect was stronger in pt with negative surgical margin with RR reduction of 64% local recurrence  Also a decrease in overall recurrence rate  However, no difference in overall survival
  • 14.
     This changedthe “standard of care” forT3,T4, and/or N0/N+, non metastatic rectal CA  Patients were assessed by CT or ERUS - randomised to receive either pre- op ChemoRT (421) or post-op ChemoRT (402)  CCRT - continuous inf of 5FU in 1st and 5th week of RT  RT – 50.4 Gy in 1.8 Gy # and boost of 5.4 Gy to tumor bed in post-op arm  Adj CT - 4# of 5FU 500mg/m2 iv bolus D1-D5 starting 4 weeks after Sx and repeated 4 weekly
  • 15.
     The overallfive-year survival rates were 76 percent and 74 percent, respectively (P=0.80)  The 5-year cumulative incidence of local relapse was 6% vs 13%(P=0.006)  Grade 3 or 4 acute toxic effects occurred in 27% vs 40% (P=0.001)  Conclusion:  Pre-op ChemoRT, as compared with post-op ChemoRT, improved local control, with reduced toxicity but did not improve overall survival
  • 17.
     Local recurrencerate at 10 yrs improved in pre-op group (7.1% vs 10.1%)  OS and DFS were not significantly different  10 yr OS was 59.6% vs 59.9%  Rate of distant mets at 10 years - 29.8% vs 29.6%
  • 19.
    Conclusion: Pre-op CRT associatedwith significantly less cumulative incidence of local recurrence (7.1 vs 10.1%) Helped estb the current standard of care of giving pre-op CRT inT3,T4; N0/N+ status rectal CA
  • 21.
     Addition ofpost-op chemotherapy to preoperative ChemoRT  clinical stageT3 orT4 resectable rectal cancer  Pre-op ChemoRT - 45 Gy to the posterior pelvis in 25 fractions of 1·8 Gy over 5 weeks with chemo (5FU + Folinic acid) in 1st and 5th week  Adj Chemotherapy - fluorouracil (350 mg/m² per day intravenous bolus) and folinic acid (leucovorin; 20 mg/m² per day intravenous bolus) given in four cycles, every 3 weeks  primary endpoint - overall survival  1011 patients were randomly assigned to treatment between April, 1993, and March, 2003
  • 22.
     Results:  10-yearOS was 50·7% for the pre-op chemoRT group vs 51·8% for the adjuvant chemotherapy group  10-year DFS was 46·4% for the pre-op chemoRT group vs 47% for the adjuvant chemotherapy group  At 10 years, cumulative incidence of local relapse was 11·8% for the pre-op chemoRT group vs 14·5% for the adjuvant chemotherapy group  longterm side-effects did not differ between the groups  Conclusion:  Adjuvant fluorouracil-based chemotherapy after preoperative ChemoRT does not affect disease-free survival or overall survival
  • 24.
    • 312 patients •Either pre-op RT (25Gy in 5# of 5Gy) + Sx within 7 days v/s pre-op chemoRT (50.4Gy in 28# of 1.8Gy + 5FU/Leucovorin bolus) and Sx after 4-6 weeks • Median followup of 48 months • Results: • Early RT toxicity in CRT group (18% vs 3.2%) p<0.001 • Severe late toxicity 10.1 vs 7.1% • Compliance 69.2% vs 97% • Anal sphincter preservation 58.9% vs 61.2% • Positive CRM rate 4.4% vs 12.9% • Comparable DFS and OS
  • 26.
     80 centresin 4 nations, 1350 patients  short-course preop RT (25 Gy in five fractions; n=674) to initial surgery with selective post-operative chemoRT (45 Gy in 25 fractions with concurrent 5-fluorouracil) restricted to patients with CRM +ve (n=676)  primary outcome measure was local recurrence  Findings:  99 patients developed local recurrence (27 preoperative radiotherapy vs 72 selective postoperative chemoradiotherapy)  reduction of 61% in the relative risk of local recurrence for patients receiving preoperative radiotherapy  relative improvement in disease-free survival of 24% for patients receiving preoperative radiotherapy  Overall survival did not differ between the groups
  • 27.
    short-course preoperative radiotherapy isan effective treatment for patients with operable rectal cancer
  • 29.
     Compared safetyand efficacy of post-op FOLFOX with 5FU/Leucovorin in stage II and III rectal CA after pre-op CRT  Place: South korea; 6 different centres  Either 8# of FOLFOX or 4# of 5FU/Leucovorin  Eligible pt underwentTME with R0 resection and pathological stage II/III disease  Study randomised 321 patients b/w 2008-2012  Primary End-point: 3 year DFS  96% patient completed the planned adjuvant chemotherapy  Median follow-up was 38.2 months
  • 30.
    Results: • 3 yrDFS was improved from 62.9% to 71.6% in FOLFOX arm • Pathological stage III disease - significantly better DFS with FOLFOX than Stage II patients • 3 yr OS - 85.7% vs 95% in FOLFOX group
  • 33.
    Conclusion: 1st trial toshow benefit of FOLFOX in adj setting Improvement in DFS in stage II and III patients More adverse events in FOLFOX arm (No significant difference in Grade 3 and 4 adv events) Phase 2 trial - limited statistical power However, patients with worse disease after pre-op CRT might benefit from FOLFOX
  • 35.
    • Assess tumorresponse after RT, optimal dosing and ideal time to surgery after pre- op RT • Non-inferiority trial, 840 patients • SCRT (5# x 5 Gy) with immediate Sx (within 1 week) • SCRT with delay (Sx after 4-8 weeks) • LCRT with delay (25# x 2 Gy with Sx after 4-8 weeks) • Outcomes: • TRG, pCR, OS,TTR (time to recurrence) • Result: • SCRT with delay: lower tumor stage, greaterTRG, high pCR (10.4%), better OS andTTR • Conclusion: SCRT with delay is a viable alternative to LCRT
  • 38.
    RAPIDOTRIAL • R0 resectionwas similar • Experimental arm had 28% pCR vs 14% standard arm • Grade ≥3 adverse events 41% v 25% • No difference in proportion of patients undergoing Sx and rate of pot-op complications • OS – 89% vs 88% • Rate of distant mets – 20% vs 26.8% • Disease related treatment failure events 23.7% vs 30.4% • Conclusion: SCRT f/b 18 weeks of CT before Sx decreases probability of disease related treatment failure mainly by reducing the probability of distant metastasis
  • 40.
    PRODIGE 23TRIAL • 461patients, June 2012 – 2017 • Median followup: 46.7 months • 3 yr DFS: 76% experimental arm vs 69% in standard arm • Serious adverse events: 27% vs 22% • Comparable treatment related deaths in both arms (1%) • Conclusion: NACT f/b long course chemoRT significantly improves outcomes (DFS) and decreased neurotoxicity with better compliance than adjuvant chemotherapy
  • 42.
    “Thank you foryour valuable time” - - -