Introducing Akka
Meetu Maltiar
Cisco
blog: meetumaltiar.wordpress.com
twitter: @meetumaltiar
28th June 2014
Agenda
History of Akka
Scala basics
The use case of Akka
Akka Actors
Akka Supervision
History
Philipp Haller worked on Actor model and released it in Scala 2.1.7 in July 2006
Jonas Boner created Akka to bring highly concurrent, event driven to JVM
Inspired by Erlang Actors, Jonas Boner began working on Akka early 2009
Jonas Boner as part of Scalable Solutions releases Akka version 0.5 in January 2010
Akka is now part of Typesafe Platform together with Play framework and Scala language
Akka Who Uses It
Scala Basics
Scala is a JVM based strongly typed language
Scala is hybrid: Functional as well as Object-Oriented
Scala is compatible with Java
Scala has support for currying, pattern matching, ADT’s, lazy evaluation, tail recursion etc
Scala is compiled to Java byte-codes and run on Java Virtual Machine
Scala Compared To Java
Scala adds Scala removes
pure object system static members
operator overloading primitive types
closures break and continue
mixin composition with traits special treatment of interfaces
existential types wildcards
abstract types raw types
pattern matching enums
Scala Cheat Sheet(1) definitions
Scala method definitions
!
def fun(x: Int) = {
result
}
!
def fun = result
!
Scala variable definitions
!
var x: Int = expression
val x: String = expression
Java method definitions
!
Int fun(int x) {
return result
}
!
(no parameterless methods)
!
java variable definitions
!
Int x = expression
final String x = expression
Scala Cheat Sheet(2) definitions
Scala class and object
!
class Sample(x: Int, p: Int) {
def instMeth(y: Int): Int = x + y
}
!
object Sample {
def staticMeth(x: Int, y: Int): Int = x * y
}
!
!
!
!
!
!
!
!
!
Java class
!
class Sample {
private final int x;
public final int p;
!
Sample(int x, int p) {
this.x = x;
this.p = p;
}
!
int instMeth(int y) {
return x + y;
}
!
static int staticMeth(int x, int y) {
return x *y;
}
}
Scala: Pattern Matching
All that is required to add a case keyword to each class that is to be pattern matchable
!
Pattern match also returns a value
!
Similar to switch except that Scala compares objects as expressions. Only one matcher
is
executed at a time.
!
case class Employee(name: String)
val employee = Employee(“john”)
employee match {
case Employee(“john”) => “Hello John!”
case _ => “Hello there!”
}
!
res0: String = Hello John
Akka
The name comes from a goddess in Sami mythology that
represented all wisdom and beauty in the world
It is also the name of a beautiful mountain in Laponia in north
part of Sweden
Incidentally in India it means sister in Telugu!!
The Problem
It is way to hard to build
=> correct highly concurrent systems
=> Truly scalable systems
=> self-healing, fault-tolerant systems
What is Akka?
Right abstraction with actors for concurrent, fault-tolerant and
scalable applications
For Fault-Tolerance uses “Let It Crash” model
Abstraction for transparent distribution of load
We can Scale In and Scale Out
Right Abstraction
Never think in terms of shared state, state visibility, threads, locks,
concurrent collections, thread notification etc
Low level concurrency becomes Simple Workflow - we only think
in terms of message flows in system
We get high CPU utilisation, low latency, high throughput and
scalability - for free as part of this model
Proven and superior model for detecting and recovering from
errors
Actor Model
Actor Model (1973): Carl Hewitt’s definition
!
The fundamental unit of computation that embodies:
- Processing
- Storage
- Communication
!
Three Axioms
- Create new Actors
- Send messages to Actor it knows
- Designate how it should handle the next message it receives
Introducing Actors
Actor is an entity encapsulating behaviour, state and a mailbox
to receive messages
For a message received by Actor a thread is allocated to it
Then behaviour is applied to the message and potentially some
state is changed or messages are passed to other Actors
Introducing Actors..
There is elasticity between message processing and addition of
new messages.
New messages can be added while Actor execution is
happening.
When processing of messages is completed; the thread is
deallocated from the Actor. It can again be reallocated a thread
at a later time.
Mailbox
Actor having behaviour, state and a mailbox
Messages are in mailbox
No thread is allocated to the Actor
Thread is allocated to the Actor
It is now ready to read message and apply behaviour
Mailbox
Thread is allocated to the Actor
It has read message and is applying behaviour
Mailbox
Mailbox
Actor has handled message
Thread is deallocated
It will be allocated a thread later
Create Actor System
ActorSystem is a heavy-weight structure that will allocate 1…n threads. So,create one
per logical application
!
Top level actors are created from an ActorSystem
!
This is so because first Actor is the child from ActorSystem. If we create another Actor
from this first Actor: then second Actor will be child of the first Actor
!
We therefore get a tree like structure and hence get automatic supervision
!
val system = ActorSystem("myfirstApp")
My First Actor
import akka.actor._	
!
class MyFirstActor extends Actor {	
def receive = {	
case msg: String => println(msg)	
case _ => println("default")	
}	
}
you extend an Actor
!
receive method reads the message from mailbox
!
receive is a partially applied function
!
pattern match is applied on the message
Create Actor
package com.meetu.akka	
!
import akka.actor._	
!
object HelloWorldAkkaApplication extends App {	
val system = ActorSystem("myfirstApp")	
val myFirstActor: ActorRef = system.actorOf(Props[MyFirstActor])	
……..	
}
Create an Actor System
!
create actor from Actor System using actorOf method
!
the actorOf method returns an ActorRef instead of Actor class type
Create Actor
when actorOf is called path is reserved
!
A random UID is assigned to incarnation
!
Actor instance is created
!
preStart is called on instance
Send Message
package com.meetu.akka	
!
import akka.actor._	
!
object HelloWorldAkkaApplication extends App {	
val system = ActorSystem("myfirstApp")	
val myFirstActor: ActorRef = system.actorOf(Props[MyFirstActor])	
myFirstActor ! "Hello World"	
myFirstActor.!("Hello World")	
}
Scala version has a method named “!”
!
This is asynchronous thread of execution continues after sending
!
It accepts Any as a parameter
!
In Scala we can skip a dot with a space: So it feels natural to use
Ask Pattern
package com.meetu.akka	
!
import akka.actor._	
import akka.pattern.ask	
import akka.util.Timeout	
import scala.concurrent.duration._	
import scala.concurrent.Await	
import scala.concurrent.Future	
!
object AskPatternApp extends App {	
implicit val timeout = Timeout(500 millis)	
val system = ActorSystem("BlockingApp")	
val echoActor = system.actorOf(Props[EchoActor])	
!
val future: Future[Any] = echoActor ? "Hello"	
val message = Await.result(future, timeout.duration).asInstanceOf[String]	
!
println(message)	
}	
!
class EchoActor extends Actor {	
def receive = {	
case msg => sender ! msg	
}	
}
Ask pattern is blocking
!
Thread of execution waits till response is reached
Reply From Actor
import akka.actor.Actor	
!
class LongWorkingActor extends Actor {	
def receive = {	
case number: Int =>	
sender ! ("Hi I received the " + number)	
}	
}
Each Actor has been provided default sender
!
Use “!” method to send back the message
Routers
RoundRobin
!
Random
!
SmallestMailBox
!
Broadcast
!
ScatterGatherFirstCompleted
Round Robin Router
import akka.actor._	
import akka.routing.RoundRobinPool	
import akka.routing.Broadcast	
!
object RouterApp extends App {	
val system = ActorSystem("routerApp")	
val router = system.actorOf(RoundRobinPool(5).props(Props[RouterWorkerActor]), "workers")	
router ! Broadcast("Hello")	
}	
!
class RouterWorkerActor extends Actor {	
def receive = {	
case msg => println(s"Message: $msg received in ${self.path}")	
}	
}
A router sits on top of routees
!
When messages are sent to Router, Routees get messages in Round Robin
Failure: Typical Scenario
There is a single thread of control
!
If this Thread goes in failure we are doomed
!
We therefore do explicit error handling on this thread
!
Worse error do not propagate between threads. There is no way of knowing
that something failed
!
We therefore do defensive programming with:
• Error handling tangled with business logic
• Scattered all over code base
!
We can do better than this
Supervision
Supervise means manage another Actor failures
!
Error handling in Actors is handled by letting Actors monitor (supervise) each other
of failure
!
This means if Actor crashes a notification is sent to its supervisor (an Actor), who
can react to failure
!
This provides clean separation of processing and error handling
…Let’s take a
standard OO
application
Which components have
critically important state
and
Explicit error handling
Supervise Actor
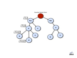
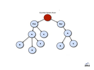
Every Actor exists in a Tree topology. Its parent provide
automatic supervision
!
Every Actor has a default Supervision strategy, which is
usually sufficient
!
supervision strategy can be overridden
!
We have either One for One strategy. Here only the
Actor that crashed is handled.
!
Other one is All For One strategy. Here all children are
restarted
Supervision Actor
class Supervisor extends Actor {	
override val supervisorStrategy = 	
OneForOneStrategy(maxNrOfRetries = 10, withinTimeRange = 1 minute) {	
case _: ArithmeticException => Resume	
case _: NullPointerException => Restart	
case _: IllegalArgumentException => Stop	
case _: Exception => Escalate	
}	
!
def receive = {	
case p: Props => sender ! context.actorOf(p)	
}	
}
Supervision: Child Actor
class Child extends Actor {	
var state = 0	
def receive = {	
case ex: Exception => throw ex	
case x: Int => state = x	
case "get" => sender ! state	
}	
}
Supervision Application
object SupervisionExampleApp extends App {	
implicit val timeout = Timeout(50000 milliseconds)	
val system = ActorSystem("supervisionExample")	
	
val supervisor = system.actorOf(Props[Supervisor], "supervisor")	
val future = supervisor ? Props[Child]	
val child = Await.result(future, timeout.duration).asInstanceOf[ActorRef]	
	
child ! 42	
println("Normal response " + Await.result(child ? "get", timeout.duration).asInstanceOf[Int])	
child ! new ArithmeticException	
println("Arithmetic Exception response " + Await.result(child ? "get", timeout.duration).asInstanceOf[Int])	
child ! new NullPointerException	
println("Null Pointer response " + Await.result(child ? "get", timeout.duration).asInstanceOf[Int])	
}
Running Supervision Application
Learning
Resources
Code examples at Github	
https://github.com/meetumaltiar/AkkaQuickStart	
!
Akka Documentation	
http://akka.io/docs/	
!
Scala Documentation	
http://www.scala-lang.org/documentation/
Thank You!!

Introducing Akka

  • 1.
    Introducing Akka Meetu Maltiar Cisco blog:meetumaltiar.wordpress.com twitter: @meetumaltiar 28th June 2014
  • 2.
    Agenda History of Akka Scalabasics The use case of Akka Akka Actors Akka Supervision
  • 3.
    History Philipp Haller workedon Actor model and released it in Scala 2.1.7 in July 2006 Jonas Boner created Akka to bring highly concurrent, event driven to JVM Inspired by Erlang Actors, Jonas Boner began working on Akka early 2009 Jonas Boner as part of Scalable Solutions releases Akka version 0.5 in January 2010 Akka is now part of Typesafe Platform together with Play framework and Scala language
  • 4.
  • 5.
    Scala Basics Scala isa JVM based strongly typed language Scala is hybrid: Functional as well as Object-Oriented Scala is compatible with Java Scala has support for currying, pattern matching, ADT’s, lazy evaluation, tail recursion etc Scala is compiled to Java byte-codes and run on Java Virtual Machine
  • 6.
    Scala Compared ToJava Scala adds Scala removes pure object system static members operator overloading primitive types closures break and continue mixin composition with traits special treatment of interfaces existential types wildcards abstract types raw types pattern matching enums
  • 7.
    Scala Cheat Sheet(1)definitions Scala method definitions ! def fun(x: Int) = { result } ! def fun = result ! Scala variable definitions ! var x: Int = expression val x: String = expression Java method definitions ! Int fun(int x) { return result } ! (no parameterless methods) ! java variable definitions ! Int x = expression final String x = expression
  • 8.
    Scala Cheat Sheet(2)definitions Scala class and object ! class Sample(x: Int, p: Int) { def instMeth(y: Int): Int = x + y } ! object Sample { def staticMeth(x: Int, y: Int): Int = x * y } ! ! ! ! ! ! ! ! ! Java class ! class Sample { private final int x; public final int p; ! Sample(int x, int p) { this.x = x; this.p = p; } ! int instMeth(int y) { return x + y; } ! static int staticMeth(int x, int y) { return x *y; } }
  • 9.
    Scala: Pattern Matching Allthat is required to add a case keyword to each class that is to be pattern matchable ! Pattern match also returns a value ! Similar to switch except that Scala compares objects as expressions. Only one matcher is executed at a time. ! case class Employee(name: String) val employee = Employee(“john”) employee match { case Employee(“john”) => “Hello John!” case _ => “Hello there!” } ! res0: String = Hello John
  • 10.
    Akka The name comesfrom a goddess in Sami mythology that represented all wisdom and beauty in the world It is also the name of a beautiful mountain in Laponia in north part of Sweden Incidentally in India it means sister in Telugu!!
  • 11.
    The Problem It isway to hard to build => correct highly concurrent systems => Truly scalable systems => self-healing, fault-tolerant systems
  • 12.
    What is Akka? Rightabstraction with actors for concurrent, fault-tolerant and scalable applications For Fault-Tolerance uses “Let It Crash” model Abstraction for transparent distribution of load We can Scale In and Scale Out
  • 13.
    Right Abstraction Never thinkin terms of shared state, state visibility, threads, locks, concurrent collections, thread notification etc Low level concurrency becomes Simple Workflow - we only think in terms of message flows in system We get high CPU utilisation, low latency, high throughput and scalability - for free as part of this model Proven and superior model for detecting and recovering from errors
  • 14.
    Actor Model Actor Model(1973): Carl Hewitt’s definition ! The fundamental unit of computation that embodies: - Processing - Storage - Communication ! Three Axioms - Create new Actors - Send messages to Actor it knows - Designate how it should handle the next message it receives
  • 15.
    Introducing Actors Actor isan entity encapsulating behaviour, state and a mailbox to receive messages For a message received by Actor a thread is allocated to it Then behaviour is applied to the message and potentially some state is changed or messages are passed to other Actors
  • 16.
    Introducing Actors.. There iselasticity between message processing and addition of new messages. New messages can be added while Actor execution is happening. When processing of messages is completed; the thread is deallocated from the Actor. It can again be reallocated a thread at a later time.
  • 17.
    Mailbox Actor having behaviour,state and a mailbox Messages are in mailbox No thread is allocated to the Actor
  • 18.
    Thread is allocatedto the Actor It is now ready to read message and apply behaviour Mailbox
  • 19.
    Thread is allocatedto the Actor It has read message and is applying behaviour Mailbox
  • 20.
    Mailbox Actor has handledmessage Thread is deallocated It will be allocated a thread later
  • 21.
    Create Actor System ActorSystemis a heavy-weight structure that will allocate 1…n threads. So,create one per logical application ! Top level actors are created from an ActorSystem ! This is so because first Actor is the child from ActorSystem. If we create another Actor from this first Actor: then second Actor will be child of the first Actor ! We therefore get a tree like structure and hence get automatic supervision ! val system = ActorSystem("myfirstApp")
  • 22.
    My First Actor importakka.actor._ ! class MyFirstActor extends Actor { def receive = { case msg: String => println(msg) case _ => println("default") } } you extend an Actor ! receive method reads the message from mailbox ! receive is a partially applied function ! pattern match is applied on the message
  • 23.
    Create Actor package com.meetu.akka ! importakka.actor._ ! object HelloWorldAkkaApplication extends App { val system = ActorSystem("myfirstApp") val myFirstActor: ActorRef = system.actorOf(Props[MyFirstActor]) …….. } Create an Actor System ! create actor from Actor System using actorOf method ! the actorOf method returns an ActorRef instead of Actor class type
  • 24.
    Create Actor when actorOfis called path is reserved ! A random UID is assigned to incarnation ! Actor instance is created ! preStart is called on instance
  • 25.
    Send Message package com.meetu.akka ! importakka.actor._ ! object HelloWorldAkkaApplication extends App { val system = ActorSystem("myfirstApp") val myFirstActor: ActorRef = system.actorOf(Props[MyFirstActor]) myFirstActor ! "Hello World" myFirstActor.!("Hello World") } Scala version has a method named “!” ! This is asynchronous thread of execution continues after sending ! It accepts Any as a parameter ! In Scala we can skip a dot with a space: So it feels natural to use
  • 26.
    Ask Pattern package com.meetu.akka ! importakka.actor._ import akka.pattern.ask import akka.util.Timeout import scala.concurrent.duration._ import scala.concurrent.Await import scala.concurrent.Future ! object AskPatternApp extends App { implicit val timeout = Timeout(500 millis) val system = ActorSystem("BlockingApp") val echoActor = system.actorOf(Props[EchoActor]) ! val future: Future[Any] = echoActor ? "Hello" val message = Await.result(future, timeout.duration).asInstanceOf[String] ! println(message) } ! class EchoActor extends Actor { def receive = { case msg => sender ! msg } } Ask pattern is blocking ! Thread of execution waits till response is reached
  • 27.
    Reply From Actor importakka.actor.Actor ! class LongWorkingActor extends Actor { def receive = { case number: Int => sender ! ("Hi I received the " + number) } } Each Actor has been provided default sender ! Use “!” method to send back the message
  • 28.
  • 29.
    Round Robin Router importakka.actor._ import akka.routing.RoundRobinPool import akka.routing.Broadcast ! object RouterApp extends App { val system = ActorSystem("routerApp") val router = system.actorOf(RoundRobinPool(5).props(Props[RouterWorkerActor]), "workers") router ! Broadcast("Hello") } ! class RouterWorkerActor extends Actor { def receive = { case msg => println(s"Message: $msg received in ${self.path}") } } A router sits on top of routees ! When messages are sent to Router, Routees get messages in Round Robin
  • 30.
    Failure: Typical Scenario Thereis a single thread of control ! If this Thread goes in failure we are doomed ! We therefore do explicit error handling on this thread ! Worse error do not propagate between threads. There is no way of knowing that something failed ! We therefore do defensive programming with: • Error handling tangled with business logic • Scattered all over code base ! We can do better than this
  • 31.
    Supervision Supervise means manageanother Actor failures ! Error handling in Actors is handled by letting Actors monitor (supervise) each other of failure ! This means if Actor crashes a notification is sent to its supervisor (an Actor), who can react to failure ! This provides clean separation of processing and error handling
  • 32.
  • 33.
    Which components have criticallyimportant state and Explicit error handling
  • 39.
    Supervise Actor Every Actorexists in a Tree topology. Its parent provide automatic supervision ! Every Actor has a default Supervision strategy, which is usually sufficient ! supervision strategy can be overridden ! We have either One for One strategy. Here only the Actor that crashed is handled. ! Other one is All For One strategy. Here all children are restarted
  • 40.
    Supervision Actor class Supervisorextends Actor { override val supervisorStrategy = OneForOneStrategy(maxNrOfRetries = 10, withinTimeRange = 1 minute) { case _: ArithmeticException => Resume case _: NullPointerException => Restart case _: IllegalArgumentException => Stop case _: Exception => Escalate } ! def receive = { case p: Props => sender ! context.actorOf(p) } }
  • 41.
    Supervision: Child Actor classChild extends Actor { var state = 0 def receive = { case ex: Exception => throw ex case x: Int => state = x case "get" => sender ! state } }
  • 42.
    Supervision Application object SupervisionExampleAppextends App { implicit val timeout = Timeout(50000 milliseconds) val system = ActorSystem("supervisionExample") val supervisor = system.actorOf(Props[Supervisor], "supervisor") val future = supervisor ? Props[Child] val child = Await.result(future, timeout.duration).asInstanceOf[ActorRef] child ! 42 println("Normal response " + Await.result(child ? "get", timeout.duration).asInstanceOf[Int]) child ! new ArithmeticException println("Arithmetic Exception response " + Await.result(child ? "get", timeout.duration).asInstanceOf[Int]) child ! new NullPointerException println("Null Pointer response " + Await.result(child ? "get", timeout.duration).asInstanceOf[Int]) }
  • 43.
  • 44.
    Learning Resources Code examples atGithub https://github.com/meetumaltiar/AkkaQuickStart ! Akka Documentation http://akka.io/docs/ ! Scala Documentation http://www.scala-lang.org/documentation/
  • 45.