Higher
       hsn.uk.net
                                    Mathematics
     UNIT 2 OUTCOME 2


   Integration

Contents
   Integration                                                                                89
       1   Indefinite Integrals                                                                89
       2   Preparing to Integrate                                                              92
       3   Differential Equations                                                              93
       4   Definite Integrals                                                                  95
       5   Geometric Interpretation of Integration                                             96
       6   Areas between Curves                                                               101
       7   Integrating along the y-axis                                                       106




   HSN22200
   This document was produced specially for the HSN.uk.net website, and we require that any
   copies or derivative works attribute the work to Higher Still Notes.
   For more details about the copyright on these notes, please see
   http://creativecommons.org/licenses/by-nc-sa/2.5/scotland/
Higher Mathematics                                                      Unit 2 – Integration



                                               OUTCOME 2

                                       Integration
1   Indefinite Integrals
    In integration, our aim is to “undo” the process of differentiation. Later we
    will see that integration is a useful tool for evaluating areas and solving a
    special type of equation.
    We have already seen how to differentiate polynomials, so we will now look
    at how to undo this process. The basic technique is:
                              x n+1
                 ∫ x dx =
                    n
                                    +c       n ≠ −1, c is the constant of integration.
                              n +1
    Stated simply: raise the power (n) by one (giving n + 1 ), divide by the new
    power ( n + 1 ), and add the constant of integration (c ) .
    EXAMPLES
    1. Find ∫ x 2 dx .
                         x3
        ∫ x dx =            + c = 1 x 3 + c.
           2

                         3        3

    2. Find ∫ x −3 dx .
                       x −2         1
        ∫x
             −3
                  dx =      + c = − 2 + c.
                       −2          2x
                     5
    3. Find ∫ x 4 dx .
                          9
             5           x4              9

        ∫x   4                 4
                  dx = 9 + c = 9 x 4 + c .
                         4

     We use the symbol            ∫   for integration.
     The ∫ must be used with “dx” in the examples above, to indicate that we
     are integrating with respect to x.
     The constant of integration is included to represent any constant term in
     the original expression, since this would have been zeroed by
     differentiation.
     Integrals with a constant of integration are called indefinite integrals.

       hsn.uk.net                                  Page 89                               HSN22000
Higher Mathematics                                                            Unit 2 – Integration


Checking the answer
Since integration and differentiation are reverse processes, if we differentiate
our answer we should get back to what we started with.
For example, if we differentiate our answer to Example 1 above, we do get
back to the expression we started with.

                                                differentiate
                                   1 x3 + c                        x2
                                   3
                                                 integrate

Integrating terms with coefficients
The above technique can be extended to:
                                    ax n +1
               ∫ ax dx = a ∫ x dx = n + 1 + c
                  n                n
                                                             n ≠ −1, a is a constant.

Stated simply: raise the power (n) by one (giving n + 1 ), divide by the new
power ( n + 1 ), and add on c.
EXAMPLES
4. Find ∫ 6 x 3 dx .

               6x 4
    ∫ 6 x dx = 4 + c
           3



             = 3 x 4 + c.
               2
                  −3
5. Find ∫ 4 x      2
                       dx .
                          −1
           −3       4x 2
    ∫ 4x    2
                dx = 1 + c
                     −2
                              −1
                   = −8 x 2 + c
                        8
                   =−      + c.
                         x

Note
It can be easy to confuse integration and differentiation, so remember:
                      ∫ x dx = 1 x                              ∫ k dx = kx + c .
                                       2
                               2           +c




   hsn.uk.net                                     Page 90                                HSN22000
Higher Mathematics                                                            Unit 2 – Integration


Other variables
Just as with differentiation, we can integrate with respect to any variable.
EXAMPLES
6. Find ∫ 2 p −5 dp .
                    2 p −4
    ∫ 2 p dp =                                                                        Note
         −5
                           +c
                     −4                                                               dp tells us to integrate
                        1                                                             with respect to p.
                  = − 4 + c.
                      2p

7. Find   ∫ p dx .
     ∫ p dx                                                                           Note
                                                                                      Since we are integrating
    = px + c .                                                                        with respect to x, we
                                                                                      treat p as a constant.
Integrating several terms
The following rule is used to integrate an expression with several terms:

                     ∫ ( f ( x ) + g ( x ) ) dx = ∫ f ( x ) dx + ∫ g ( x ) dx .
Stated simply: integrate each term separately.
EXAMPLES

        
          ⌡   (
8. Find ⌠ 3 x 2 − 2 x 2 dx .
                      1
                               )
                                                3
                               3x 3 2x 2
    ⌡ (
    ⌠ 3x 2 − 2x 1
               2
                      )   dx =
                                3
                                   − 3 +c
                                     2
                                            3
                                   3   4x 2
                               =x −         +c
                                         3
                                       4
                               = x 3 − 3 x 3 + c.

        
          ⌡   (
9. Find ⌠ 4 x 8 + 3 x + 7 dx .
             −5
                                   )
                                        3
                                                     2
    ⌠ 4 x − 5 + 3 x + 7 dx = 4 x + 3 x + 7 x + c
                                        8
    
    ⌡ (     8
                           )   3
                               8      2
                                    3
                                        3
                           = 8 × 4x 8 + 2 x 2 + 7x + c
                             3
                                  3
                           = 32 x 8 + 3 x 2 + 7 x + c .
                              3       2




   hsn.uk.net                                       Page 91                              HSN22000
Higher Mathematics                                                     Unit 2 – Integration


2   Preparing to Integrate
    As with differentiation, it is important that before integrating all brackets
    are multiplied out and there are no fractions with an x term in the
    denominator (bottom line), for example:
      1                     3                  1    −1      1                  5     5 −2
        3
          = x −3              2
                                = 3x −2           =x 2        5
                                                                = 1 x −5
                                                                  4              2 = 4x .
                                                                                        3

      x                     x                   x          4x                 3
                                                                             4 x

    EXAMPLES
              ⌠ dx
    1. Find       for x ≠ 0 .
              ⌡ x2
        ⌠ dx                               ⌠ 1
         2 is just a short way of writing  2 dx , so:
        ⌡x                                 ⌡x

           ⌠ dx ⌠ 1
            2 =  2 dx = ∫ x dx
                             −2

           ⌡x    ⌡x
                                     x −1
                                   =      +c
                                     −1
                                       1
                                   = − + c.
                                       x
              ⌠ dx
    2. Find               for x > 0 .
              ⌡    x
        ⌠ dx ⌠ 1          −1
           =  1 dx = ∫ x 2 dx
        ⌡ x ⌡ x2
                                      1
                                  x2
                                = 1 +c
                                      2
                                = 2 x + c.

              ⌠ 7
    3. Find           2
                           dp where p ≠ 0 .
              ⌡ 2p

        ⌠ 7
            2
               dp = ∫ 7 p −2 dp
                      2
        ⌡ 2p
                                 −1
                           p
                       =7×
                        2 −1 + c
                             7
                       =−       + c.
                             2p



       hsn.uk.net                                Page 92                              HSN22000
Higher Mathematics                                                     Unit 2 – Integration

                  5
            ⌠ 3 x − 5x
    4. Find           dx .
            ⌡     4
              5
        ⌠ 3x − 5x
        
        ⌡    4         ⌡ 4       (
                  dx = ⌠ 3 x 5 − 4 x dx
                                 5
                                           )
                           3x 6     5x 2
                         =        −        +c
                           4×6 4×2
                         = 24 x 6 − 5 x 2 + c
                            3
                                    8
                         = 1 x 6 − 5 x 2 + c.
                           8       8



3   Differential Equations
    A differential equation is an equation
                                                                        differentiate
                                dy                           1 x3 + c
    involving derivatives, e.g.    = x2 .                    3                              x2
                                dx
                                                                          integrate
    A solution of a differential equation is an
    expression for the original function; in this
    case y = 1 x 3 + c is a solution.
             3

    In general, we obtain solutions using integration:
                         ⌠ dy
                   y =       dx                  or      f ( x ) = ∫ f ′ ( x ) dx .
                         ⌡ dx
    This will result in a general solution since we can choose the value of c, the
    constant of integration.
           y


                                     The general solution corresponds to a “family” of
                                     curves, each with a different value for c.
          O                  x
                                     The graph to the left illustrates some of the
                                     curves y = 1 x 3 + c for particular values of c.
                                                3




    If we have additional information about the function (such as a point its
    graph passes through), we can find the value of c and obtain a particular
    solution.


       hsn.uk.net                               Page 93                                HSN22000
Higher Mathematics                                            Unit 2 – Integration

EXAMPLES
1. The graph of y = f ( x ) passes through the point ( 3, − 4 ) .
      dy
   If      = x 2 − 5 , express y in terms of x.
      dx
        ⌠ dy
    y =        dx
        ⌡ dx
      = ∫ ( x 2 − 5 ) dx
      = 1 x 3 − 5x + c .
        3
   We know that when x = 3 , y = −4 so we can find c:
         y = 1 x 3 − 5x + c
             3
       −4 = 1 ( 3 )3 − 5 ( 3 ) + c
            3
       −4 = 9 − 15 + c
        c =2
   So y = 1 x 3 − 5x + 2 .
          3

2. The function f , defined on a suitable domain, is such that
                      1
   f ′( x ) = x 2 + 2 + 2 . 3
                      x
   Given that f (1) = 4 , find a formula for f ( x ) in terms of x.
    f ( x ) = ∫ f ′ ( x ) dx

           =   x 2 + 2 + 2  dx
             ⌠         1
                          3
             ⌡       x
              (                )
           = ∫ x 2 + x −2 + 2 dx
                            3
           = 1 x 3 − x −1 + 2 x + c
             3              3
                      1 2
           = 1 x3 −
             3         + x + c.
                      x 3
   We know that f (1) = 4 , so we can find c:
                     1
     f ( x ) = 1 x3 − + 2 x + c
               3     x 3
            4 = 1 (1)3 − 1 + 2 (1) + c
                3        1 3
            4 = 1 −1 + 2 + c
                3      3
            c = 4.
                           1 2
   So f ( x ) = 1 x 3 −
                3           + x + 4.
                           x 3

   hsn.uk.net                            Page 94                         HSN22000
Higher Mathematics                                                             Unit 2 – Integration


4   Definite Integrals
    If F ( x ) is an integral of f ( x ) , then we define:
                                   b                        b
                                  ∫a f ( x ) dx = [ F ( x )]a = F (b ) − F ( a )
    where a and b are called the limits of the integral.
    Stated simply:
     Work out the integral as normal, leaving out the constant of integration.
     Evaluate the integral for x = b (the upper limit value).
     Evaluate the integral for x = a (the lower limit value).
     Subtract the lower limit value from the upper limit value.
    Since there is no constant of integration and we are calculating a numerical
    value, this is called a definite integral.
    EXAMPLES
                  3
              ∫1 5x
                       2
    1. Find                dx .
                                   3
         3          5x 3 
        ∫1 5x dx =  3 
              2

                         1
                        5 ( 3 )3   5 (1)3 
                      =          −        
                        3   3 
                      = 5 × 32 − 5
                                 3
                             5      1
                      = 45 − 3 = 43 3 .
                  2
              ∫0 ( x       + 3 x 2 ) dx .
                       3
    2. Find
                                                     2
         2                   x 4 3x 3 
        ∫0 ( x + 3 x ) dx =  4 + 3 
              3            2

                                      0
                                                 2
                                     x4   
                                  =  + x3 
                                    4     0
                                     24      04     
                                  =  + 2 3  −  + 03 
                                     4      4       
                                  = 16 + 8 − 0
                                     4
                                  = 4 + 8 = 12.



       hsn.uk.net                                        Page 95                              HSN22000
Higher Mathematics                                                    Unit 2 – Integration

               4
            ⌠ 4
    3. Find  3 dx .
            ⌡−1 x
           4
        ⌠ 4       4
         3 dx = ∫−1 4 x dx
                        −3

        ⌡−1 x
                              4
                      4 x −2 
                    =        
                      −2  −1
                              4
                    = − 2 
                         2
                       x  −1
                          
                               2 
                    =− 2  −−
                        2
                                  
                      4   ( −1)2 
                    = − 16 + 2 = 1 7 .
                         2
                                   8




5   Geometric Interpretation of Integration
    We will now consider the meaning of integration in the context of areas.
                                                    2
               ∫0 ( 4 − x ) dx =  4 x − 1 x  0
                2        2                  3
    Consider                            3 

                                   (      )
                                  = 8− 8 −0
                                       3
                                  =51.
                                    3
    On the graph of y = 4 − x 2 :
             y
                  y = 4 − x2
                                                                      2
                                                                     ∫0 ( 4 − x ) dx .
                                                                               2
                                       The shaded area is given by

                                       Therefore the shaded area is 5 1 square units.
                                                                      3
      –2       O           2 x
    In general, the area enclosed by the graph y = f ( x ) and the x-axis, between
    x = a and x = b , is given by
                                              b
                                          ∫a f ( x ) dx .




       hsn.uk.net                                 Page 96                            HSN22000
Higher Mathematics                                              Unit 2 – Integration

 EXAMPLE
1. The graph of y = x 2 − 4 x is shown below. Calculate the shaded area.
                                y
                                        y = x 2 − 4x



                                 O                 4 5 x
                                     5
      5                  x 3 4x 2 
    ∫4 ( x − 4 x ) dx =  3 − 2 
              2

                                  4
                        53     2    43       2
                     =  − 2 (5)  −  − 2 ( 4 ) 
                       3          3           
                     = 125 − 50 − 64 + 32
                        3         3
                     = 61 − 18
                       3
                     = 21.
                        3
   So the shaded area is 2 1 square units.
                           3


Areas below the x-axis
Care needs to be taken if part or all of the area lies below the x-axis. For
example if we look at the graph of y = x 2 − 4 :
   y                       The shaded area is given by
            y = x 2 − 4x                                        4
                                 4                  x 3 4x 2 
                               ∫1 ( x − 4 x ) dx =  3 − 2 
                                     2

                                                             1
                                                      43    2
  O                  4   x                         =  − 2(4)  − 1 − 2
                                                      3      
                                                                  3    (    )
          1
                                                   = 64 − 32 − 3 + 2
                                                      3
                                                               1

                                                   = 63 − 30 = 21 − 30 = −9.
                                                     3
In this case, the negative indicates that the area is below the x-axis, as can be
seen from the diagram. The area is therefore 9 square units.




   hsn.uk.net                            Page 97                           HSN22000
Higher Mathematics                                                            Unit 2 – Integration


Areas above and below the x-axis
Consider the graph from the example above, with a different shaded area:
   y                                 From the working above, the total shaded area is:
                y = x 2 − 4x
                                        Area 1 + Area 2 = 2 1 + 9 = 11 1 square units.
                                                            3          3
                Area 1
                                Using the method from above, we might try to
                                calculate the shaded area as follows:
  O                       4 5 x                                      5
                         Area 2       5                  x 3 4x 2 
                                    ∫1 ( x − 4 x ) dx =  3 − 2 
                                          2
       1
                                                                  1
                                                           53         
                                                        =  − 2 ( 5 )2  − 1 − 2
                                                          3           
                                                                           3     (        )
                                                        = 125 − 50 − 1 + 2
                                                           3         3
                                                        = 124 − 48 = −6 2 .
                                                           3            3
Clearly this shaded area is not 6 2 square units since we already found it to
                                  3
      1 square units. This problem arises because Area 1 is above the x-axis,
be 11 3
while Area 2 is below.
To find the true area, we needed to evaluate two integrals:
            4                                                  5
           ∫1 ( x       − 4 x ) dx                            ∫4 ( x       − 4 x ) dx .
                    2                                                  2
                                             and
We then found the total shaded area by adding the two areas together.
We must take care to do this whenever the area is split up in this way.




   hsn.uk.net                                 Page 98                                     HSN22000
Higher Mathematics                                                Unit 2 – Integration

EXAMPLES
2. Calculate the shaded area shown in the diagram below.
                                    y
                                            y = 3 − 2x − x 2
                                                 2
                           –3          O 1                x

   To calculate the area from x = −3 to x = 1 :
                                                     1
        1                            2x 2 x3 
       ∫−3 ( 3 − 2 x − x ) dx = 3 x − 2 − 3  −3
                      2

                                             
                                                     1
                           = 3 x − x 2 − 1 x 3 
                                         3         −3

                              (                       ) (
                            = 3 (1) − (1)2 − 1 (1)3 − 3 ( −3 ) − ( −3 )2 − 3 ( −3 )3
                                             3
                                                                           1
                                                                                       )
                            = ( 3 − 1 − 1 ) − ( −9 − 9 + 9 )
                                        3
                            = 3 −1 − 1 + 9
                                     3
                                 2
                            = 10 3                        2
                                        So the area is 10 3 square units.

   We have already carried out the integration, so we can just substitute in
   new limits to work out the area from x = 1 to x = 2 :
        2                                        2
       ∫1 ( 3 − 2 x − x ) dx = 3 x − x − 1 x 1
                       2               2     3
                                         3 

                             (                        ) (
                           = 3 ( 2 ) − ( 2 )2 − 1 ( 2 )3 − 3 (1) − (1)2 − 1 (1)3
                                                3                         3        )
                           = ( 6 − 4 − 8 ) − (3 − 1 − 1 )
                                       3              3
                           =2− 8 −2+ 1
                               3     3
                                                                        Remember
                           = −2 1 .
                                3      So the area is 2 1 square units. The negative sign just
                                                        3
                                                                           indicates that the area
   So the total shaded area is 10 2 + 2 1 = 13 square units .
                                  3     3                                  lies below the axis.




   hsn.uk.net                          Page 99                               HSN22000
Higher Mathematics                                                  Unit 2 – Integration


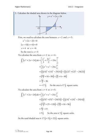
3. Calculate the shaded area shown in the diagram below.
                          y         y = x 2 + 2 x − 24




                              O                        5       x

                                      2
   First, we need to calculate the root between x = 2 and x = 5 :
         x 2 + 2 x − 24 = 0
       ( x − 4)( x + 6) = 0
       x = 4 or x = −6.
     So the root is x = 4
   To calculate the area from x = 2 to x = 4 :
                                                           4
        4                        x 3 2x 2     
       ∫2 ( x + 2 x − 24 ) dx =  3 + 2 − 24 x 2
            2

                                              
                                                           4
                              =  1 x 3 + x 2 − 24 x 
                                3                        2

                                (
                                3
                                        3          2
                                                          ) (
                              = 1 ( 4 ) + ( 4 ) − 24 ( 4 ) − 1 ( 2 )3 + ( 2 )2 − 24 ( 2 )
                                                             3                              )
                              = ( 64 + 16 − 96 ) − ( 8 + 4 − 48 )
                                   3                 3
                              = 56 − 36
                                 3
                              = −17 1
                                    3          So the area is 17 1 square units.
                                                                 3
   To calculate the area from x = 4 to x = 5 :
        5                                                  5
       ∫4 ( x + 2 x − 24 ) dx =  1 x + x − 24 x  4
             2                       3   2
                                3               
                                (
                                3                        ) (   3
                                                                      3       2
                              = 1 ( 5 )3 + ( 5 )2 − 24 ( 5 ) − 1 ( 4 ) + ( 4 ) − 24 ( 4 )   )
                              = ( 125 + 25 − 120 ) − ( 64 + 16 − 96 )
                                   3                   3
                              = 61 − 15
                                3
                              = 51
                                 3          So the area is 5 1 square units.
                                                             3

   So the total shaded area is 17 1 + 5 1 = 22 2 square units.
                                  3     3      3




   hsn.uk.net                           Page 100                                HSN22000
Higher Mathematics                                                           Unit 2 – Integration


6   Areas between Curves
    The area between two curves between x = a and x = b is calculated as:
                       b
                      ∫ ( upper curve − lower curve ) dx
                      a
                                                                     square units.

    So for the shaded area shown below:
               y
                  y = f (x)

                                                                 b

     a
                                             The area is        ∫ ( f ( x ) − g ( x ) ) dx square units.
                                                                 a
              O
                                         x
                  y = g (x) b

    When dealing with areas between curves, areas above and below the x-axis
    do not need to be calculated separately.
    However, care must be taken with more complicated curves, as these may
    give rise to more than one closed area. These areas must be evaluated
    separately. For example:
                           y
                                             y = g (x)


                                                            c
                               O a                                     x
                                             b
                                                                 y = f (x)

                                b
    In this case we apply      ∫ ( upper curve − lower curve ) dx
                               a
                                                                             to each area.
    So the shaded area is given by:
                           b                           c
                       ∫a ( g ( x ) − f ( x ) ) dx + ∫b ( f ( x ) − g ( x ) ) dx .




         hsn.uk.net                              Page 101                                    HSN22000
Higher Mathematics                                                               Unit 2 – Integration

EXAMPLES
1. Calculate the shaded area enclosed by the curves with equations
   y = 6 − 3x 2 and y = −3 − 2 x 2 .
                                   y

                           y = 6 − 3x 2
                                                O                   x


                                                                y = −3 − 2 x 2

   To work out the points of intersection, equate the curves:
                      6 − 3 x 2 = −3 − 2 x 2
       6 + 3 − 3x 2 + 2x 2 = 0
                   9 − x2 = 0
         ( 3 + x )( 3 − x ) = 0
          x = −3 or x = 3.
   Set up the integral and simplify:
         3
       ∫ ( upper curve − lower curve ) dx
        −3
             3
       = ∫ ( ( 6 − 3 x ) − ( −3 − 2 x ) ) dx
                               2                 2
             −3
             3
       = ∫ ( 6 − 3 x + 3 + 2 x ) dx
                           2                2
             −3
             3
       = ∫ ( 9 − x ) dx .
                       2
             −3

   Carry out integration:
                                                 3
        3                       x3 
       ∫−3 ( 9 − x ) dx = 9 x − 3  −3
                  2

                                   
                                             ( 3 )3               ( −3 )3 
                                   =  9(3) −         −  9 ( −3 ) − 3 
                                               3                          
                                     (          ) (
                                   = 27 − 27 − −27 + 27
                                           3          3         )
                                   = 27 − 9 + 27 − 9
                                   = 36.
   Therefore the shaded area is 36 square units.




   hsn.uk.net                                        Page 102                               HSN22000
Higher Mathematics                                                     Unit 2 – Integration


2. Two functions are defined for x ∈ ℝ by f ( x ) = x 3 − 7 x 2 + 8x + 16 and
   g ( x ) = 4 x + 4 . The graphs of y = f ( x ) and y = g ( x ) are shown below.
                            y
                                                   y = f (x)
                                                          y = g (x)


                          –1 O     2                  6   x



   Calculate the shaded area.
                                                               b
   Since the shaded area is in two parts, we apply            ∫ ( upper − lower ) dx
                                                               a
                                                                                       twice.
   Area from x = −1 to x = 2 :
         2
       ∫ ( upper − lower ) dx
         −1
                                                                                Note
              2
       = ∫ ( x − 7 x + 8 x + 16 − ( 4 x + 4 ) ) dx
                  3   2                                                         The curve is at the top
             −1                                                                 of this area.
              2
       = ∫ ( x − 7 x + 4 x + 12 ) dx
                  3   2
             −1
                                       2
         x 4 7x3 4x 2        
       = −      +     + 12 x 
        4     3   2           −1
         2 4 7 × 23                    ( −1)4 7 ( −1)3                       
       = −                 2
                     + 2 × 2 + 12 × 2  −      −         + 2 ( −1)2 + 12 ( −1) 
         4     3                       4          3                          
         (                ) (
       = 4 − 56 + 8 + 24 − 1 + 7 + 2 − 12
              3            4 3                        )
       = 99
          4
       = 24 3 .
            4
   So the first area is 24 3 square units.
                           4




   hsn.uk.net                              Page 103                               HSN22000
Higher Mathematics                                          Unit 2 – Integration


   Area from x = 2 to x = 6 :
         6
       ∫ ( upper − lower ) dx
        2
                                                                    Note
             6
       = ∫ ( 4 x − 4 − ( x − 7 x + 8 x + 16 ) ) dx
                           3    2                                   The straight line is at the
             2                                                      top of this area.
             6
       = ∫ ( − x + 7 x − 4 x − 12 ) dx
                  3    2
             2
                                      6
          x 4 7x 3 4x 2        
       = − +      −     − 12 x 
          4    3    2          2
          6 4 7 × 63 4 × 6 2            2 4 7 × 23 4 × 2 2          
       = − +        −        − 12 × 6  −  − +     −        − 12 × 2 
          4     3      2                4     3      2              
                                      (
       = ( −324 + 504 − 72 − 72 ) − −4 + 56 − 8 − 24
                                          3            )
       = 160
          3
            1
       = 53 3 .
   So the second area is 53 1 square units.
                            3

   So the total shaded area is 24 3 + 53 1 = 78 12 square units.
                                  4      3
                                                 1




   hsn.uk.net                         Page 104                         HSN22000
Higher Mathematics                                                   Unit 2 – Integration


3. A trough is 2 metres long. A cross-section of the trough is shown below.
                       y
                             y = x 2 − 4x + 5



                                                       y =2




                        O                                   x
   The cross-section is part of the parabola with equation y = x 2 − 4 x + 5 .
   Find the volume of the trough.
   To work out the points of intersection, equate the curve and the line:
        x 2 − 4x + 5 = 2
          x 2 − 4x + 3 = 0
      ( x − 1)( x − 3 ) = 0 so x = 1 or x = 3.
   Set up the integral and integrate:
        3                           3
       ∫1 ( upper − lower ) dx = ∫1 ( 2 − ( x − 4 x + 5) ) dx
                                             2

                                    3
                               = ∫ ( − x 2 + 4 x − 3 ) dx
                                  1
                                                       3
                                  x3 4x2      
                               = − +     − 3x 
                                  3   2       1
                                  ( 3 )3        2          (1)3                  
                               = −       + 2 (3) − 3 (3)  −  −  + 2 (1)2 − 3 (1) 
                                  3                        3                     
                                                   (
                               = ( −9 + 18 − 9 ) − − 1 + 2 − 3
                                                     3           )
                               =0+ 1 −2+3
                                   3
                                4
                               =3
                               = 11 .
                                  3
   Therefore the shaded area is 1 1 square units.
                                  3
       Volume = cross-sectional area × length
                  4
                = 3 ×2
                  8    2
                = 3 = 23.

   Therefore the volume of the trough is 2 2 cubic units.
                                           3

   hsn.uk.net                           Page 105                                HSN22000
Higher Mathematics                                                        Unit 2 – Integration


7   Integrating along the y-axis
    For some problems, it may be easier to find a shaded area by integrating
    with respect to y rather than x.
     EXAMPLE
    The curve with equation y = 1 x 2 is shown in the diagram below.
                                9
                                      y
                                           y = 1 x2
                                               9

                                                                     y = 16



                                                                     y=4

                                                      O               x

    Calculate the shaded area which lies between y = 4 and y = 16 .
    We have y = 1 x 2
                9
                   9 y = x2
                    x = ± 9y                                     x

                    x = ±3 y .                                                         x =3 y

    The shaded area in the diagram to the
    right is given by:
            16                16       1

        ∫4
                 3 y dy = ∫ 3 y 2 dy
                              4
                                                                 O
                                                                     y=4      y = 16
                                                                                            y
                                           16
                          3 y 2 
                                   3

                         = 3 
                           2 4
                                
                                            16
                         = 2 y 
                               3
                                4
                                       3          3
                         = 2 16 − 2 4
                         = 2 × 64 − 2 × 8
                         = 112.
    Since this is half of the required area, the total shaded area is 224 square
    units.




       hsn.uk.net                                     Page 106                           HSN22000

Integration

  • 1.
    Higher hsn.uk.net Mathematics UNIT 2 OUTCOME 2 Integration Contents Integration 89 1 Indefinite Integrals 89 2 Preparing to Integrate 92 3 Differential Equations 93 4 Definite Integrals 95 5 Geometric Interpretation of Integration 96 6 Areas between Curves 101 7 Integrating along the y-axis 106 HSN22200 This document was produced specially for the HSN.uk.net website, and we require that any copies or derivative works attribute the work to Higher Still Notes. For more details about the copyright on these notes, please see http://creativecommons.org/licenses/by-nc-sa/2.5/scotland/
  • 2.
    Higher Mathematics Unit 2 – Integration OUTCOME 2 Integration 1 Indefinite Integrals In integration, our aim is to “undo” the process of differentiation. Later we will see that integration is a useful tool for evaluating areas and solving a special type of equation. We have already seen how to differentiate polynomials, so we will now look at how to undo this process. The basic technique is: x n+1 ∫ x dx = n +c n ≠ −1, c is the constant of integration. n +1 Stated simply: raise the power (n) by one (giving n + 1 ), divide by the new power ( n + 1 ), and add the constant of integration (c ) . EXAMPLES 1. Find ∫ x 2 dx . x3 ∫ x dx = + c = 1 x 3 + c. 2 3 3 2. Find ∫ x −3 dx . x −2 1 ∫x −3 dx = + c = − 2 + c. −2 2x 5 3. Find ∫ x 4 dx . 9 5 x4 9 ∫x 4 4 dx = 9 + c = 9 x 4 + c . 4 We use the symbol ∫ for integration. The ∫ must be used with “dx” in the examples above, to indicate that we are integrating with respect to x. The constant of integration is included to represent any constant term in the original expression, since this would have been zeroed by differentiation. Integrals with a constant of integration are called indefinite integrals. hsn.uk.net Page 89 HSN22000
  • 3.
    Higher Mathematics Unit 2 – Integration Checking the answer Since integration and differentiation are reverse processes, if we differentiate our answer we should get back to what we started with. For example, if we differentiate our answer to Example 1 above, we do get back to the expression we started with. differentiate 1 x3 + c x2 3 integrate Integrating terms with coefficients The above technique can be extended to: ax n +1 ∫ ax dx = a ∫ x dx = n + 1 + c n n n ≠ −1, a is a constant. Stated simply: raise the power (n) by one (giving n + 1 ), divide by the new power ( n + 1 ), and add on c. EXAMPLES 4. Find ∫ 6 x 3 dx . 6x 4 ∫ 6 x dx = 4 + c 3 = 3 x 4 + c. 2 −3 5. Find ∫ 4 x 2 dx . −1 −3 4x 2 ∫ 4x 2 dx = 1 + c −2 −1 = −8 x 2 + c 8 =− + c. x Note It can be easy to confuse integration and differentiation, so remember: ∫ x dx = 1 x ∫ k dx = kx + c . 2 2 +c hsn.uk.net Page 90 HSN22000
  • 4.
    Higher Mathematics Unit 2 – Integration Other variables Just as with differentiation, we can integrate with respect to any variable. EXAMPLES 6. Find ∫ 2 p −5 dp . 2 p −4 ∫ 2 p dp = Note −5 +c −4 dp tells us to integrate 1 with respect to p. = − 4 + c. 2p 7. Find ∫ p dx . ∫ p dx Note Since we are integrating = px + c . with respect to x, we treat p as a constant. Integrating several terms The following rule is used to integrate an expression with several terms: ∫ ( f ( x ) + g ( x ) ) dx = ∫ f ( x ) dx + ∫ g ( x ) dx . Stated simply: integrate each term separately. EXAMPLES  ⌡ ( 8. Find ⌠ 3 x 2 − 2 x 2 dx . 1 ) 3 3x 3 2x 2 ⌡ ( ⌠ 3x 2 − 2x 1  2 ) dx = 3 − 3 +c 2 3 3 4x 2 =x − +c 3 4 = x 3 − 3 x 3 + c.  ⌡ ( 9. Find ⌠ 4 x 8 + 3 x + 7 dx . −5 ) 3 2 ⌠ 4 x − 5 + 3 x + 7 dx = 4 x + 3 x + 7 x + c 8  ⌡ ( 8 ) 3 8 2 3 3 = 8 × 4x 8 + 2 x 2 + 7x + c 3 3 = 32 x 8 + 3 x 2 + 7 x + c . 3 2 hsn.uk.net Page 91 HSN22000
  • 5.
    Higher Mathematics Unit 2 – Integration 2 Preparing to Integrate As with differentiation, it is important that before integrating all brackets are multiplied out and there are no fractions with an x term in the denominator (bottom line), for example: 1 3 1 −1 1 5 5 −2 3 = x −3 2 = 3x −2 =x 2 5 = 1 x −5 4 2 = 4x . 3 x x x 4x 3 4 x EXAMPLES ⌠ dx 1. Find  for x ≠ 0 . ⌡ x2 ⌠ dx ⌠ 1  2 is just a short way of writing  2 dx , so: ⌡x ⌡x ⌠ dx ⌠ 1  2 =  2 dx = ∫ x dx −2 ⌡x ⌡x x −1 = +c −1 1 = − + c. x ⌠ dx 2. Find  for x > 0 . ⌡ x ⌠ dx ⌠ 1 −1  =  1 dx = ∫ x 2 dx ⌡ x ⌡ x2 1 x2 = 1 +c 2 = 2 x + c. ⌠ 7 3. Find  2 dp where p ≠ 0 . ⌡ 2p ⌠ 7  2 dp = ∫ 7 p −2 dp 2 ⌡ 2p −1 p =7× 2 −1 + c 7 =− + c. 2p hsn.uk.net Page 92 HSN22000
  • 6.
    Higher Mathematics Unit 2 – Integration 5 ⌠ 3 x − 5x 4. Find  dx . ⌡ 4 5 ⌠ 3x − 5x  ⌡ 4 ⌡ 4 ( dx = ⌠ 3 x 5 − 4 x dx 5 ) 3x 6 5x 2 = − +c 4×6 4×2 = 24 x 6 − 5 x 2 + c 3 8 = 1 x 6 − 5 x 2 + c. 8 8 3 Differential Equations A differential equation is an equation differentiate dy 1 x3 + c involving derivatives, e.g. = x2 . 3 x2 dx integrate A solution of a differential equation is an expression for the original function; in this case y = 1 x 3 + c is a solution. 3 In general, we obtain solutions using integration: ⌠ dy y = dx or f ( x ) = ∫ f ′ ( x ) dx . ⌡ dx This will result in a general solution since we can choose the value of c, the constant of integration. y The general solution corresponds to a “family” of curves, each with a different value for c. O x The graph to the left illustrates some of the curves y = 1 x 3 + c for particular values of c. 3 If we have additional information about the function (such as a point its graph passes through), we can find the value of c and obtain a particular solution. hsn.uk.net Page 93 HSN22000
  • 7.
    Higher Mathematics Unit 2 – Integration EXAMPLES 1. The graph of y = f ( x ) passes through the point ( 3, − 4 ) . dy If = x 2 − 5 , express y in terms of x. dx ⌠ dy y = dx ⌡ dx = ∫ ( x 2 − 5 ) dx = 1 x 3 − 5x + c . 3 We know that when x = 3 , y = −4 so we can find c: y = 1 x 3 − 5x + c 3 −4 = 1 ( 3 )3 − 5 ( 3 ) + c 3 −4 = 9 − 15 + c c =2 So y = 1 x 3 − 5x + 2 . 3 2. The function f , defined on a suitable domain, is such that 1 f ′( x ) = x 2 + 2 + 2 . 3 x Given that f (1) = 4 , find a formula for f ( x ) in terms of x. f ( x ) = ∫ f ′ ( x ) dx =   x 2 + 2 + 2  dx ⌠ 1  3 ⌡ x ( ) = ∫ x 2 + x −2 + 2 dx 3 = 1 x 3 − x −1 + 2 x + c 3 3 1 2 = 1 x3 − 3 + x + c. x 3 We know that f (1) = 4 , so we can find c: 1 f ( x ) = 1 x3 − + 2 x + c 3 x 3 4 = 1 (1)3 − 1 + 2 (1) + c 3 1 3 4 = 1 −1 + 2 + c 3 3 c = 4. 1 2 So f ( x ) = 1 x 3 − 3 + x + 4. x 3 hsn.uk.net Page 94 HSN22000
  • 8.
    Higher Mathematics Unit 2 – Integration 4 Definite Integrals If F ( x ) is an integral of f ( x ) , then we define: b b ∫a f ( x ) dx = [ F ( x )]a = F (b ) − F ( a ) where a and b are called the limits of the integral. Stated simply: Work out the integral as normal, leaving out the constant of integration. Evaluate the integral for x = b (the upper limit value). Evaluate the integral for x = a (the lower limit value). Subtract the lower limit value from the upper limit value. Since there is no constant of integration and we are calculating a numerical value, this is called a definite integral. EXAMPLES 3 ∫1 5x 2 1. Find dx . 3 3  5x 3  ∫1 5x dx =  3  2  1  5 ( 3 )3   5 (1)3  = −   3   3  = 5 × 32 − 5 3 5 1 = 45 − 3 = 43 3 . 2 ∫0 ( x + 3 x 2 ) dx . 3 2. Find 2 2  x 4 3x 3  ∫0 ( x + 3 x ) dx =  4 + 3  3 2  0 2  x4  =  + x3  4 0  24   04  =  + 2 3  −  + 03   4  4  = 16 + 8 − 0 4 = 4 + 8 = 12. hsn.uk.net Page 95 HSN22000
  • 9.
    Higher Mathematics Unit 2 – Integration 4 ⌠ 4 3. Find  3 dx . ⌡−1 x 4 ⌠ 4 4  3 dx = ∫−1 4 x dx −3 ⌡−1 x 4  4 x −2  =   −2  −1 4 = − 2  2  x  −1    2  =− 2  −− 2     4   ( −1)2  = − 16 + 2 = 1 7 . 2 8 5 Geometric Interpretation of Integration We will now consider the meaning of integration in the context of areas. 2 ∫0 ( 4 − x ) dx =  4 x − 1 x  0 2 2 3 Consider  3  ( ) = 8− 8 −0 3 =51. 3 On the graph of y = 4 − x 2 : y y = 4 − x2 2 ∫0 ( 4 − x ) dx . 2 The shaded area is given by Therefore the shaded area is 5 1 square units. 3 –2 O 2 x In general, the area enclosed by the graph y = f ( x ) and the x-axis, between x = a and x = b , is given by b ∫a f ( x ) dx . hsn.uk.net Page 96 HSN22000
  • 10.
    Higher Mathematics Unit 2 – Integration EXAMPLE 1. The graph of y = x 2 − 4 x is shown below. Calculate the shaded area. y y = x 2 − 4x O 4 5 x 5 5  x 3 4x 2  ∫4 ( x − 4 x ) dx =  3 − 2  2  4  53 2  43 2 =  − 2 (5)  −  − 2 ( 4 )  3   3  = 125 − 50 − 64 + 32 3 3 = 61 − 18 3 = 21. 3 So the shaded area is 2 1 square units. 3 Areas below the x-axis Care needs to be taken if part or all of the area lies below the x-axis. For example if we look at the graph of y = x 2 − 4 : y The shaded area is given by y = x 2 − 4x 4 4  x 3 4x 2  ∫1 ( x − 4 x ) dx =  3 − 2  2  1  43 2 O 4 x =  − 2(4)  − 1 − 2  3  3 ( ) 1 = 64 − 32 − 3 + 2 3 1 = 63 − 30 = 21 − 30 = −9. 3 In this case, the negative indicates that the area is below the x-axis, as can be seen from the diagram. The area is therefore 9 square units. hsn.uk.net Page 97 HSN22000
  • 11.
    Higher Mathematics Unit 2 – Integration Areas above and below the x-axis Consider the graph from the example above, with a different shaded area: y From the working above, the total shaded area is: y = x 2 − 4x Area 1 + Area 2 = 2 1 + 9 = 11 1 square units. 3 3 Area 1 Using the method from above, we might try to calculate the shaded area as follows: O 4 5 x 5 Area 2 5  x 3 4x 2  ∫1 ( x − 4 x ) dx =  3 − 2  2 1  1  53  =  − 2 ( 5 )2  − 1 − 2 3  3 ( ) = 125 − 50 − 1 + 2 3 3 = 124 − 48 = −6 2 . 3 3 Clearly this shaded area is not 6 2 square units since we already found it to 3 1 square units. This problem arises because Area 1 is above the x-axis, be 11 3 while Area 2 is below. To find the true area, we needed to evaluate two integrals: 4 5 ∫1 ( x − 4 x ) dx ∫4 ( x − 4 x ) dx . 2 2 and We then found the total shaded area by adding the two areas together. We must take care to do this whenever the area is split up in this way. hsn.uk.net Page 98 HSN22000
  • 12.
    Higher Mathematics Unit 2 – Integration EXAMPLES 2. Calculate the shaded area shown in the diagram below. y y = 3 − 2x − x 2 2 –3 O 1 x To calculate the area from x = −3 to x = 1 : 1 1  2x 2 x3  ∫−3 ( 3 − 2 x − x ) dx = 3 x − 2 − 3  −3 2   1 = 3 x − x 2 − 1 x 3   3  −3 ( ) ( = 3 (1) − (1)2 − 1 (1)3 − 3 ( −3 ) − ( −3 )2 − 3 ( −3 )3 3 1 ) = ( 3 − 1 − 1 ) − ( −9 − 9 + 9 ) 3 = 3 −1 − 1 + 9 3 2 = 10 3 2 So the area is 10 3 square units. We have already carried out the integration, so we can just substitute in new limits to work out the area from x = 1 to x = 2 : 2 2 ∫1 ( 3 − 2 x − x ) dx = 3 x − x − 1 x 1 2 2 3  3  ( ) ( = 3 ( 2 ) − ( 2 )2 − 1 ( 2 )3 − 3 (1) − (1)2 − 1 (1)3 3 3 ) = ( 6 − 4 − 8 ) − (3 − 1 − 1 ) 3 3 =2− 8 −2+ 1 3 3 Remember = −2 1 . 3 So the area is 2 1 square units. The negative sign just 3 indicates that the area So the total shaded area is 10 2 + 2 1 = 13 square units . 3 3 lies below the axis. hsn.uk.net Page 99 HSN22000
  • 13.
    Higher Mathematics Unit 2 – Integration 3. Calculate the shaded area shown in the diagram below. y y = x 2 + 2 x − 24 O 5 x 2 First, we need to calculate the root between x = 2 and x = 5 : x 2 + 2 x − 24 = 0 ( x − 4)( x + 6) = 0 x = 4 or x = −6. So the root is x = 4 To calculate the area from x = 2 to x = 4 : 4 4  x 3 2x 2  ∫2 ( x + 2 x − 24 ) dx =  3 + 2 − 24 x 2 2   4 =  1 x 3 + x 2 − 24 x  3  2 ( 3 3 2 ) ( = 1 ( 4 ) + ( 4 ) − 24 ( 4 ) − 1 ( 2 )3 + ( 2 )2 − 24 ( 2 ) 3 ) = ( 64 + 16 − 96 ) − ( 8 + 4 − 48 ) 3 3 = 56 − 36 3 = −17 1 3 So the area is 17 1 square units. 3 To calculate the area from x = 4 to x = 5 : 5 5 ∫4 ( x + 2 x − 24 ) dx =  1 x + x − 24 x  4 2 3 2 3  ( 3 ) ( 3 3 2 = 1 ( 5 )3 + ( 5 )2 − 24 ( 5 ) − 1 ( 4 ) + ( 4 ) − 24 ( 4 ) ) = ( 125 + 25 − 120 ) − ( 64 + 16 − 96 ) 3 3 = 61 − 15 3 = 51 3 So the area is 5 1 square units. 3 So the total shaded area is 17 1 + 5 1 = 22 2 square units. 3 3 3 hsn.uk.net Page 100 HSN22000
  • 14.
    Higher Mathematics Unit 2 – Integration 6 Areas between Curves The area between two curves between x = a and x = b is calculated as: b ∫ ( upper curve − lower curve ) dx a square units. So for the shaded area shown below: y y = f (x) b a The area is ∫ ( f ( x ) − g ( x ) ) dx square units. a O x y = g (x) b When dealing with areas between curves, areas above and below the x-axis do not need to be calculated separately. However, care must be taken with more complicated curves, as these may give rise to more than one closed area. These areas must be evaluated separately. For example: y y = g (x) c O a x b y = f (x) b In this case we apply ∫ ( upper curve − lower curve ) dx a to each area. So the shaded area is given by: b c ∫a ( g ( x ) − f ( x ) ) dx + ∫b ( f ( x ) − g ( x ) ) dx . hsn.uk.net Page 101 HSN22000
  • 15.
    Higher Mathematics Unit 2 – Integration EXAMPLES 1. Calculate the shaded area enclosed by the curves with equations y = 6 − 3x 2 and y = −3 − 2 x 2 . y y = 6 − 3x 2 O x y = −3 − 2 x 2 To work out the points of intersection, equate the curves: 6 − 3 x 2 = −3 − 2 x 2 6 + 3 − 3x 2 + 2x 2 = 0 9 − x2 = 0 ( 3 + x )( 3 − x ) = 0 x = −3 or x = 3. Set up the integral and simplify: 3 ∫ ( upper curve − lower curve ) dx −3 3 = ∫ ( ( 6 − 3 x ) − ( −3 − 2 x ) ) dx 2 2 −3 3 = ∫ ( 6 − 3 x + 3 + 2 x ) dx 2 2 −3 3 = ∫ ( 9 − x ) dx . 2 −3 Carry out integration: 3 3  x3  ∫−3 ( 9 − x ) dx = 9 x − 3  −3 2    ( 3 )3   ( −3 )3  =  9(3) −  −  9 ( −3 ) − 3   3    ( ) ( = 27 − 27 − −27 + 27 3 3 ) = 27 − 9 + 27 − 9 = 36. Therefore the shaded area is 36 square units. hsn.uk.net Page 102 HSN22000
  • 16.
    Higher Mathematics Unit 2 – Integration 2. Two functions are defined for x ∈ ℝ by f ( x ) = x 3 − 7 x 2 + 8x + 16 and g ( x ) = 4 x + 4 . The graphs of y = f ( x ) and y = g ( x ) are shown below. y y = f (x) y = g (x) –1 O 2 6 x Calculate the shaded area. b Since the shaded area is in two parts, we apply ∫ ( upper − lower ) dx a twice. Area from x = −1 to x = 2 : 2 ∫ ( upper − lower ) dx −1 Note 2 = ∫ ( x − 7 x + 8 x + 16 − ( 4 x + 4 ) ) dx 3 2 The curve is at the top −1 of this area. 2 = ∫ ( x − 7 x + 4 x + 12 ) dx 3 2 −1 2  x 4 7x3 4x 2  = − + + 12 x  4 3 2  −1  2 4 7 × 23   ( −1)4 7 ( −1)3  = − 2 + 2 × 2 + 12 × 2  −  − + 2 ( −1)2 + 12 ( −1)   4 3   4 3  ( ) ( = 4 − 56 + 8 + 24 − 1 + 7 + 2 − 12 3 4 3 ) = 99 4 = 24 3 . 4 So the first area is 24 3 square units. 4 hsn.uk.net Page 103 HSN22000
  • 17.
    Higher Mathematics Unit 2 – Integration Area from x = 2 to x = 6 : 6 ∫ ( upper − lower ) dx 2 Note 6 = ∫ ( 4 x − 4 − ( x − 7 x + 8 x + 16 ) ) dx 3 2 The straight line is at the 2 top of this area. 6 = ∫ ( − x + 7 x − 4 x − 12 ) dx 3 2 2 6  x 4 7x 3 4x 2  = − + − − 12 x   4 3 2 2  6 4 7 × 63 4 × 6 2   2 4 7 × 23 4 × 2 2  = − + − − 12 × 6  −  − + − − 12 × 2   4 3 2   4 3 2  ( = ( −324 + 504 − 72 − 72 ) − −4 + 56 − 8 − 24 3 ) = 160 3 1 = 53 3 . So the second area is 53 1 square units. 3 So the total shaded area is 24 3 + 53 1 = 78 12 square units. 4 3 1 hsn.uk.net Page 104 HSN22000
  • 18.
    Higher Mathematics Unit 2 – Integration 3. A trough is 2 metres long. A cross-section of the trough is shown below. y y = x 2 − 4x + 5 y =2 O x The cross-section is part of the parabola with equation y = x 2 − 4 x + 5 . Find the volume of the trough. To work out the points of intersection, equate the curve and the line: x 2 − 4x + 5 = 2 x 2 − 4x + 3 = 0 ( x − 1)( x − 3 ) = 0 so x = 1 or x = 3. Set up the integral and integrate: 3 3 ∫1 ( upper − lower ) dx = ∫1 ( 2 − ( x − 4 x + 5) ) dx 2 3 = ∫ ( − x 2 + 4 x − 3 ) dx 1 3  x3 4x2  = − + − 3x   3 2 1  ( 3 )3 2   (1)3  = − + 2 (3) − 3 (3)  −  − + 2 (1)2 − 3 (1)   3   3  ( = ( −9 + 18 − 9 ) − − 1 + 2 − 3 3 ) =0+ 1 −2+3 3 4 =3 = 11 . 3 Therefore the shaded area is 1 1 square units. 3 Volume = cross-sectional area × length 4 = 3 ×2 8 2 = 3 = 23. Therefore the volume of the trough is 2 2 cubic units. 3 hsn.uk.net Page 105 HSN22000
  • 19.
    Higher Mathematics Unit 2 – Integration 7 Integrating along the y-axis For some problems, it may be easier to find a shaded area by integrating with respect to y rather than x. EXAMPLE The curve with equation y = 1 x 2 is shown in the diagram below. 9 y y = 1 x2 9 y = 16 y=4 O x Calculate the shaded area which lies between y = 4 and y = 16 . We have y = 1 x 2 9 9 y = x2 x = ± 9y x x = ±3 y . x =3 y The shaded area in the diagram to the right is given by: 16 16 1 ∫4 3 y dy = ∫ 3 y 2 dy 4 O y=4 y = 16 y 16 3 y 2  3 = 3   2 4   16 = 2 y  3  4 3 3 = 2 16 − 2 4 = 2 × 64 − 2 × 8 = 112. Since this is half of the required area, the total shaded area is 224 square units. hsn.uk.net Page 106 HSN22000