UNDER THE ABLE GUIDANCE OF:
PROF(DR.) JAYANTA BHATTACHARYYA(HOD & PRINCIPAL)
PROF(DR.) SAMIRAN DAS
PROF(DR.) SOUMITRA GHOSH
DR. SAYAN MAJUMDAR
PROF (DR.) PREETI GOEL
Presented by- Partha Sarathi Adhya. (3rd year PGT)
 Comparative evaluation of the influence of immediate versus delayed loading
protocols of dental implants: A radiographic and clinical study .
 Kushaldeep, Amrit Tandan, Viram Upadhyaya, Mohit Raghuvanshi.
 J Indian Prosthodont Soc 2018;18:131-8
 Introduction
After the placement of dental implants, a 3 – 6 month load-free healing period has been
traditionally suggested as the optimal period to ensure successful healing and
osseointegration.This recommendation is based on the notion that increased vertical or
lateral force upon the implant during the healing phase results in implant motion,
aberrant healing and fibrous tissue encapsulation, rather than the bone formation .
however, this clinical suggestion has been challenged. Numerous practitioners now
advocate different loading protocols for implants.
Esthetics
Esthetic considerations are often implicated when patients and dentists consider
shortened implant loading protocols. Specially in anterior region often require
early implant loading.
Function
Occlusal function and parafunctional forces have been
implicated in mechanical and possibly biologic complications
with implant-supported restorations. Patient’s masticatory
function should be evaluated as excessive force to a healing
implant may lead to excessive implant movement which could
disturb osseointegration
Factors for occlusal loading
Structure
Amount of bone , type of bone, need of grafting plays crucial role in
the determination of loading pattern.
Biology
Successful osseointegration depends on several factors:
• Suitability of the implant material
• Careful site preparation
• Adequate stabilization of the implant
adequate stabilization of the implant is the most critical to selecting a loading protocol.
Loading protocols should be viewed as dependent on two distinct processes: primary and
secondary implant stabilization.
Bone healing resulting in biologic stability can be disturbed if the mechanical stability is
inadequate. Movement of the implant above a physiologic threshold is thought to disturb
the adjacent tissues and vascular structures, eventually resulting in failed osseointegration.
 Amount of primary bone contact/primary stability
 Pace of bone formation around the implant
Susarla SM, Chuang SK, Dodson TB. Delayed versus immediate loading of
implants: survival analysis and risk factors for dental implant failure. Journal of
Oral and Maxillofacial Surgery. 2008 Feb 1;66(2):251-5.
 Early occlusal loading:
Occlusal load to an implant between 2 weeks and 3 months after implant
Placement.
 Early occlusal loading: Occlusal load to an implant between 2 weeks
and 3 months after implant placement.
 An implant prosthesis in a partially edentulous patient delivered
within 2 weeks of implant insertion with no direct occlusal load.
 Delayed occlusal loading: Occlusal loading to an implant
restoration more than 3 months after implant insertion.
 After an initial direct bone–implant interface has been obtained
and confirmed at the posthealing stage II surgery.
 The reason for countersinking the implant below crestal bone are-
i. To reduce and minimize the bacterial infection.
ii. To prevent the apical migration of oral epithelium along the
body of implant.
iii. To reduce and minimize the risk of early implant loading during
bone remodeling.
 Immediate occlusal loading-
• Immediate occlusal loading within 2 weeks of implant insertion.
• This surgical approach has been called a ONE STAGE or NONSUBMERGED
IMPLANT PROCEDURE because it eliminates the second stage implant uncovering
surgery.
• It actually loads the implant with a provisional restoration at the same
appointment.
 Decision Factors For Immediate Implant Loading
According to Gapski and coworkers
 Surgery-related factors, pertaining to primary implant stability
and a non-traumatic surgical technique .
 Host-related factors, pertaining to bone quantity and quality
(density) and proper bone healing environment.
 Implant-related factors, pertaining to the influence of macro-
(thread) and micro- (surface coating) structure of the implant.
 Prosthetic factors -factors, pertaining to the importance of
occlusal forces and prosthetic design .
Gapski R, Wang HL, Mascarenhas P, et al. Critical review of immediate implant loading. Clinical Oral Implants Research. 2003;14:515-52
 Surgery-related factors-
 No soft tissue or hard tissue injury.
 Absence of peri apical pathology.
 Host-related factors
 An implant placed into compact bone, with no
fenestration or dehiscence, is more likely to ensure
initial stability and sustain immediate occlusal forces.
 The range of dehiscence was limited to <4 mm (Brown &
Payne, 2011) and the fenestration was required to be ≤5
mm apical to the alveolar crest (Fugazzotto, 2012) .
 Type I to type III bone are ideal for these cases.
Avila G, Galindo P, Rios H, Wang HL. Immediate implant loading: current status from available literature. Implant
dentistry. 2007 Sep 1;16(3):235-45.
 Implant-related factors
 Resonance frequency analysis (RFA) in conjunction with insertion torque was another
significant evaluation indicator for immediate/early loading
 Insertion torque ≥ 35 Ncm.
 ISQ ≥60 is idea for immediate implant loading.
 Micromotion of 50 to 150 μm can be accepted at the interface between bone and
implant surface.
 Screw implant design, which has been shown to have a higher mechanical retention as
well as greater ability to transfer compressive forces, seems to be a better choice than
pressfit implants.
 Because the implant is loaded before the establishment of histologic interface ,
implant height is important for initial stability of implant. Implants should be ≥10
mm for immediate loading cases.
 Prosthetic factors
 parallelism among fixtures, and splinting of the implants in
case of multiple implant restorations could decrease the
risk of overloading to each implant .
 maximum inter occlusal contact without any lateral
contact” is the recommended occlusion.
 Indications-
o According to Frank S et al (2016)
• Edentulous maxilla (fixed splinted reconstructions) and
mandible (removable and fixed splinted
reconstructions).
• Single tooth reconstructions in the esthetic zone
including premolars.
• Fixed partial dentures limited to short spans
(Frank, S., Sanz, M.I., Sophia, K.J., Thomas, T., Alex, S., Stefan, W. and Mariano, S., 2015. Loading
protocols and implant supported restorations proposed for the rehabilitation of partially and fully
edentulous jaws. Camlog Foundation Consensus Report. Clinical Oral Implants Research Published by
John Wiley & Sons Ltd.)
 Non-functional immediate restoration: An implant prosthesis in a
partially edentulous patient delivered within 2 weeks of implant
insertion with no direct occlusal load.
 functional immediate restoration: An implant prosthesis in a partially
edentulous patient delivered within 2 weeks of implant insertion
with no direct occlusal load.
 Progressive loading
• Misch (1980) proposed the concept of progressive or gradual bone loading during
prosthetic reconstruction to decrease the crestal bone loss and early implant failure
in endosteal implants.
• The concept of progressive loading is to allow the bone to adapt to increasing
amounts of biomechanical stress. Hence, rather than immediately loading the bone–
implant interface, methods to slowly increase the stress over time are a benefit.
•
1. Time
2. Diet
3. Occlusal elements
4. Occlusal material
5. Prosthesis design
 Abutment insertion, preparation final
impression and transitional prosthesis I.
 Metal try-in and new bite registration,
transitional prosthesis II .
 Initial delivery of the prosthesis.
 Final evaluation and hygiene
Misch CE. Progressive Bone Loading: Increasing the
Density of Bone with a Prosthetic Protocol.
InDental Implant Prosthetics 2015 Jan 1 (pp. 913-
937). Mosby.
o Time-
 The percentage of bone mineralization and the type of supporting bone influence
whether a load to the bone– implant interface is within its physiologic limits
 The healing time between the initial and second-stage surgeries is kept similar for
Dl and D2 bone and is 3 to 4 months. A longer time is suggested for the initial
healing phase of D3 and D4 bone (5 and 6 months, respectively)
BONE
DENSITY
INITIAL HEALING
(MONTHS)
RECONSTRUCTION
(WEEKS)
INTERVAL BETWEEN
APPOINTMENT (WEEKS)
TOTAL TIME
(MONTHS)
D1 3 6 1 5.5
D2 4 10 2 6.5
D3 5 14 3 9.5
D4 6 18 4 12.5
Misch CE. Progressive Bone Loading: Increasing the Density of
Bone with a Prosthetic Protocol. InDental Implant Prosthetics
2015 Jan 1 (pp. 913-937). Mosby.
Diet-
 During the initial healing phase, the dentist instructs the patient to avoid
chewing in the area and soft diet.
 The patient is limited to a soft diet from the final impression stage until the
initial delivery of the final prosthesis. The masticatory force for this type of
food is about 10 psi.
 After the initial delivery of the final prosthesis, the patient may include
meat in the diet, which requires about 21 psi in bite force.
 After the final evaluation appointment, the patient may include raw
vegetables, which require an average 27 psi of force.
 Occlusal elements
 No occlusal contacts are permitted during initial healing.
 The first transitional prosthesis is left out of occlusion in partially edentulous
patients .
 The occlusal contacts then are similar to those of the final restoration for areas
supported by implants. However, no occlusal contacts are made on cantilevers or
offset loads.
 The occlusal contacts of the final restoration follow the implant protective
occlusion concepts.
 Occlusal material-
• During the initial steps, the implant has no occlusal contact and
thus in essence has no material over it. At subsequent
appointments, the dentist uses acrylic as the occlusal material,
with the benefit of a lower impact force than metal or porcelain.
• Parafunction or cantilever length causes concern relative to the
amount of force on the early implant–bone interface, the
dentist may extend the softer diet and acrylic restoration phase
several months.
 Prosthesis design
 During initial healing, any load on the implants, including soft tissue
loads must be avoided.
 The first transitional acrylic restoration in partially edentulous patients
has no occlusal contact and no cantilevers.
 The second acrylic transitional restoration has occlusal contacts
placed over the implants with occlusal tables similar to the final
restoration but with no cantilevers in nonesthetic regions.
 The final restoration has narrow occlusal tables and cantilevers
designed with occlusal contacts following implant-protective occlusion
guidelines
Misch CE. Progressive Bone Loading: Increasing the Density of Bone with a Prosthetic Protocol. InDental
Implant Prosthetics 2015 Jan 1 (pp. 913-937). Mosby.
loading protocols as per consensus agreement at the: 5th ITI Consensus Conference
Galluci et al. Consensus Statements and Clinical Recommendations for Implant Loading Protocols.The International
Journal of Oral & Maxillofacial Implants. Volume 29, Supplement, 2014
Article Proper
Aim-The aim of this study was to evaluate and compare the effectiveness of immediate
implant loading protocol over conventional implant loading protocol with respect to peri-
implant bone loss
• completely healed alveolar
sockets.
• Adequate amount of bone
volume (buccolingual width
not <4 mm and mesiodistal
width not <5 mm)
• Good bone quality.
• Good periodontal health in
the remaining dentition.
• patients with any known systemic
diseases/ conditions .
• medication known to interfere with
wound healing or minor surgical
procedures.
• Smokers.
• patients with insufficient interarch
space
Twenty partially edentulous patients with missing mandibular molar were
selected.
• After achieving adequate local anesthesia, crestal incisions
were placed on the edentulous site and full-thickness
mucoperiosteal flap was elevated.
• After placing surgical stent Implant osteotomy site was
prepared using a series of drills precisely and incrementally.
• Threaded root form implants (Adin Dental Implant System,
Afula, Israel) were used. The implant body or fixture was
inserted using torque-controlled wrench.
• The flap margins were repositioned and sutured tension free
with a 3-0 braided silk suture. intraoral periapical radiographs
were taken to assess the initial crestal bone level after implant
placement.
Group 1
• The transfer coping was attached to and impression was made
with addition silicone impression material (3M ESPE, USA).
• The transfer coping was attached to the implant analogue and the
cast was poued.
• Provisional restoration was cemented, by glass-ionomer cement,
Type I (Gc, Gc Corporation Tokyo, Japan), within 48 h of fixture
placement .
Group 2
• In Group II patient, after allowing healing period of 3 months for
the implant to get osseointegrated, phase II surgery was
performed.
• Once the physiologic contour of soft tissue was achieved (1–2 wk
after healing screw placement), the transfer coping was placed
on the fixture and closed tray impression was made
Radiographic evaluation
• The follow-up was scheduled keeping the first restoration on
the implants as baseline at the intervals of 1, 3, and 6 months
for radiographic evaluation.
• To compensate for magnification and image distortion errors, a
lead grid with 1-mm² grid pattern was affixed on to the sensor.
The radiographs were standardized using the standard long
cone paralleling technique .
• The distance from the margins of the implant abutment
junction to the first point of bone to implant contact was
measured on mm scale.
Group I Mesial side Distal side
1 Month .09 1.05
3 Month 1.40 1.50
6 Months 1.60 1.50
Group Il Mesial side Distal side
1 Month 1.00 1.10
3 Month 1.05 1.50
6 Months 1.30 1.00
Results
 DISCUSSION
• The longevity of the dental implants depends on the amount of crestal bone
loss along the implant surface.
• Cardaropoli et al in 2003, suggesting that the bulk of bone resorption, following
implant surgery, occurs within the first few months, or even weeks, post-
implantation.
• There was no significant change in mean radiographic bone loss from 1 month
to 3 months and 6 months and from 3 months to 6 months, suggesting that the
bone resorption stabilized after the initial period.
 Mechanical strain stimulates osteoblasts to produce osteoprotein which
enhances bone deposition and downregulates osteoclastic activity as the time
after loading increases.
 occlusal stresses, that implants are subjected to, initiates the bone remodeling
immediately after loading, that is, during the 1st month.
 CONCLUSION
• Both immediate and delayed loading protocols showed radiographic bone
loss, at both mesial and distal sides which was not found to be statistically
significant.
• Change in radiographic bone loss in both the groups was found to be
statistically significant when the baseline was compared to 1, 3, and 6
months.
• It can be concluded that there is no statistically significant difference in
crestal bone loss on comparison of immediate loading to delayed loading.
 Critical evaluation-
 Stability on accessed.
 Type of occlusion no discussed.
 Soft tissue assessment not done.
• Replacement of Mandibular Molars with Single-Unit Restorations Supported by Wide-
Body Implants: Immediate Versus Delayed Loading. A Randomized Controlled Study .
• Schincaglia G P, Marzola R, Giovanni G F, Chiara C S.
• INT J ORAL MAXILLOFAC IMPLANTS 2008;23:474–480
Aim- to compare single implant-supported mandibular molar restorations using either an
immediate or a delayed loading protocol .
• Thirty subjects requiring single mandibular molar
replacement were selected and randomly divided into
2 groups.
• Fifteen subjects were assigned to delayed loading
protocol and 15 to immediate loading protocol
according to a randomization table.
• Sufficient implant primary stability; insertion torque for
all implantns were ≥ 30 Ncm .
• The delayed loaded implants were connected to a
healing abutment and restored after 3 to 4 months of
healing without loading.
• The immediately loaded implants were loaded within 24 hours of surgery with a
provisional restoration. The interim prosthesis was placed in centric occlusion
• At implant placement the maximum value of insertion torque was recorded.
Radiographic bone level change was measured on periapical radiographs obtained at
the time of implant placement and 12 months after loading.
Restoration
type
< 0.5 0.5 – 1 > 1 – 1.5 > 1.5 – 2 > 2 – 2.5 > 2.5 Avg. bone
loss
Delayed
loading
0 5 6 3 0 1 1.2 ± 0.55
Immediate
loading
3 7 4 0 0 0 0.77 ±
0.38
Immediate loading of wide-diameter implants supporting single restorations in
mandibular molar sites seems to be a suitable clinical option. Moreover, the radiographic
bone level change observed after 12 months of loading was significantly less for
immediately loaded
• Immediate versus delayed loading of single mandibular molars. One-year results from a
randomised controlled trial.
• Silvio Meloni, Giacomo De Riu, Milena Pisano, Nicola De Riu, Antonio Tullio.
• Eur J Oral Implantol 2012;5(4):345–353.
Aim-To compare the outcome of immediate non-occlusal loading and that of delayed
implant loading in the bilateral replacement of single mandibular molars.
• Twenty patients with bilaterally missing first mandibular wee
selected and A total of 40 implants were bilaterally installed.
• The sites to be restored randomly assigned to be treated
with immediately or conventionally loaded single implants.
• All the implants were inserted in healed healthy bone with
an insertion torque between 35 and 45 Ncm.
• One molar was restored with a non-occluding temporary
crown within 24 h after implant placement, while the
contralateral molar was restored with a definitive crown 4 to
5 months later.
• Outcome measures were implant survival, complications, radiographic marginal bone-
level changes, PPD .
Mean Bone loss Immediate
loading
Delayed loading
Baseline 0.44 ± 0.16 0.38 ± 0.12
6 months 0.66 ± 0.14 0.69 ± 0.17
12 months 0.83 ± 0.16 0.86 ± 0.16
Mean Pocket
probing depth
Immediate
loading
Delayed loading
6 months 2.75 ± 0.60 2.73 ± 0.57
12 months 2.76 ± 0.48 2.70 ± 0.37
Within the limitations of this study, the present data seem to confirm the hypothesis
that the clinical outcome of immediate versus delayed loading of implants in single
mandibular molar sites is comparable.
The mean BOP values were 1.30 ± 0.73 (95% CI 0.98 to 1.62) for immediate loaded
implants and 1.40 ± 0.75 (95% CI 1.07 to 1.73) for two-stage
loaded implants
• Clinical and Radiographic Outcomes of Three Different Loading Protocols for
Single-Implant-Supported Prostheses: A Randomized Controlled Trial.
• Rami M. Galal, Salah A.Yousief, Waleed M. S. Alqahtani.
• J Int Oral Health 2018;10:180-6.
Aim-The aim of this study is to assess the effects of early, immediate, and progressive
loading of dental implants clinically and radiographically.
• 20 patients were selected with missing mandibular
premolar.
• Patients were randomly divided into three groups and a
control group according to type of loading.
• Group I – Early loading – consists of five patients, restored
by definitive prosthesis after 2 weeks.
• Group II – Immediate loading – consists of five patients,
restored by temporary crowns in centric occlusion
without eccentric contact within 48 h; after 4 months,
permanent prostheses were fabricated.
• Group III – Progressive loading – consists of five patients, restored by temporary
crowns out of occlusion after 3 months , then in centric occlusion for 1 month
then in full occlusion for 2 months, then definitive prostheses were done.
• Group IV – Control group (conventional loading) – consists of five patients,
restored by definitive prostheses after 3 months for the mandibular sites and 4
months for maxillary.
• Radiographic assessment for crestal bone loss was done. Clinical assessment of
periodontal pocket depth was performed at 3, 6, and 9 months.
Immediate Early Progressive Control
Base line 2.00±0.35 2.30±0.33 2.00±0.18 2.08±0.14
3 months 1.95±0.37 2.15±0.22 1.85±0.14 1.83±0.29
6 months 1.85±0.34 2.00±0.25 1.90±0.29 1.83±0.14
9 months 1.80±0.37 2.10±0.34 2.25±0.18 1.83±0.383
Bone loss Immediate Early Progressive Control
Base line 1.38±0.49 1.42±0.65 1.24±1.14 0.93±0.81
3 months 1.54±0.52 1.64±0.65 1.46±0.95 1.23±0.81
6 months 1.68±0.53 1.76±0.65 1.60±0.95 1.33±0.72
9 months 1.80±0.51 1.86±0.59 1.68±0.96 1.83±0.81
• Immediate loading of single-standing dental implants showed excellent soft tissues
reaction with permissible level of PD, good stability, and marginal bone loss rate
compared to conventional two-staged loading.
• Early loading of single-implant responses observed in the present study are identical to
the bone loss rate and density analysis of the same implant placed in a conventional
two-staged loading.
• Progressively loaded single implants demonstrated higher density and decreased peri-
implant bone resorption than that of conventionally loaded implants.
• A 5-year prospective clinical trial on short implants (6 mm) for single tooth replacement
in the posterior maxilla: immediate versus delayed loading.
• Mustafa Ayna, Bastian Wessing,Ralf Gutwald, Andreas Neff, Thomas.
• Odontology. 2019 Apr 15;107(2):244-53.
Aim-to demonstrate the treatment outcomes following immediate functional loading
concept of short implants inserted for single tooth replacement in the posterior maxilla
• The study was performed on 63 patients who received short
(6 mm) implants for single tooth replacement in the
posterior maxilla.
• Forty-eight patients underwent immediate functional
concept, whereas 15 of the implants were loaded 3 months
after insertion.
• The patients were evaluated for up to 5 years after
prosthesis completion. The endpoints included the
evaluation of implant survival rate, , bone resorption,
bleeding on probing (BOP), periodontal probing depth
(PPD).
• Short implants inserted for single tooth replacement at the
posterior maxilla presented with satisfactory clinical outcomes in both immediate and
delayed loading concepts.
• Immediately loaded implants presented with an increased bone loss which was
statistically significant during the whole examination period and higher BOP values
which differ especially between second and third years of examination from the
immediate loading group.
• Immediate versus conventional loading dental implants with fixed prostheses: A
systematic review and meta-analysis of randomized controlled clinical trials .
• Jie Chen, Min Cai, Jiajun Yang, Taghrid Aldhohrah.
• J Prosthet Dent 2019;122:516-36
Aim- to determine the impact of immediate loading implants on the clinical outcomes of
fixed restorations when compared with early or conventionally loaded implants.
• Electronic searches of CENTRAL, EMBASE, and MEDLINE were supplemented by manual
searches up to October 2018. Only human randomized controlled trials (RCTs) comparing
immediate with early or conventional loading dental implants were included.
• Quality assessment was performed by using the Cochrane Collaboration tool. For the
meta-analysis, the dichotomous and continuous variables were pooled and analyzed by
using risk ratios (RRs).
• The outcomes assessed included survival rate, marginal bone level changes, peri-implant
gingival level, probing depth, and implant stability. The subgroup analyses included
healing methods, implant time, occlusal contact, number of missing teeth, and tooth
position.
• This systematic review pooled data from 1868 participants (914 in a test group and 954
in control), and a total of 3746 implants were inserted (1880 in an experimental group
and 1866 in control) at baseline.
• The maximum follow-up period was 180.
• The meta-analysis resulted in a statistically significant lower survival rate for the test
(immediate loading) group compared with that for the conventional group
(RR=0.974).
• For patient as a statistical unit, the mean survival rate was 95.0% in the test group and
97.3% in the control group.
• The subgroup analyses resulted in a higher rate of failure for immediate loading
implants than for conventional loading implants .
• The loss of marginal bone level ranged from −1.32 mm (loss) to 0 mm in the test
group and from −1.25 mm to −0.10 mm in the control group. The result shows no
statistically significant differences in the crestal bone loss between the test and
control groups.
• comparing immediately versus conventionally loaded protocols, the results of the
current meta-analysis showed a higher risk of failure in the test group while presenting
no difference in marginal bone level change and probing depth.
 Conclusions-
 Though immediate implant loading protocol can be considered as a
viable option to the conventional loading protocol proper selection
of cases needed for successful outcome of this protocol. Further
studies and more long term follow-ups are needed to access its
survival rate and bone loss pattern.
 Bibliography
• Susarla SM, Chuang SK, Dodson TB. Delayed versus immediate loading of implants: survival analysis and risk factors for dental
implant failure. Journal of Oral and Maxillofacial Surgery. 2008 Feb 1;66(2):251-5.
• Misch CE. Progressive Bone Loading: Increasing the Density of Bone with a Prosthetic Protocol. InDental Implant Prosthetics 2015
Jan 1 (pp. 913-937). Mosby.
• Galluci et al. Consensus Statements and Clinical Recommendations for Implant Loading Protocols.The International Journal of Oral
& Maxillofacial Implants. Volume 29, Supplement, 2014
• Avila G, Galindo P, Rios H, Wang HL. Immediate implant loading: current status from available literature. Implant dentistry. 2007
Sep 1;16(3):235-45.
• Tandan A, Upadhyaya V, Raghuvanshi M. Comparative evaluation of the influence of immediate versus delayed loading protocols
of dental implants: A radiographic and clinical study. Journal of Indian Prosthodontic Society. 2018;18(2):131-8.
• Frank, S., Sanz, M.I., Sophia, K.J., Thomas, T., Alex, S., Stefan, W. and Mariano, S., 2015. Loading protocols and implant supported
restorations proposed for the rehabilitation of partially and fully edentulous jaws. Camlog Foundation Consensus Report. Clinical
Oral Implants Research Published by John Wiley & Sons Ltd
• Gapski R, Wang HL, Mascarenhas P, et al. Critical review of immediate implant loading. Clinical Oral Implants Research.
2003;14:515-52.
• Ayna M, Wessing B, Gutwald R, Neff A, Ziebart T, Açil Y, Wiltfang J, Gülses A. A 5-year prospective clinical trial on short implants (6
mm) for single tooth replacement in the posterior maxilla: immediate versus delayed loading. Odontology. 2019 Apr
15;107(2):244-53.
• Meloni SM, De Riu G, Pisano M, De Riu N, Tullio A. Immediate versus delayed loading of single mandibular molars. One-year
results from a randomised controlled trial. Eur J Oral Implantol. 2012 Dec 1;5(4):345-53.
• Schincaglia GP, Marzola R, Giovanni GF, Chiara CS, Scotti R. Replacement of mandibular molars with single-unit restorations
supported by wide-body implants: immediate versus delayed loading. A randomized controlled study. International Journal of Oral
& Maxillofacial Implants. 2008 Jun 1;23(3).
Implant Loading Protocols Journal Club-Comparative evaluation of the influence of immediate versus delayed loading protocols of dental implants: A radiographic and clinical study .

Implant Loading Protocols Journal Club-Comparative evaluation of the influence of immediate versus delayed loading protocols of dental implants: A radiographic and clinical study .

  • 1.
    UNDER THE ABLEGUIDANCE OF: PROF(DR.) JAYANTA BHATTACHARYYA(HOD & PRINCIPAL) PROF(DR.) SAMIRAN DAS PROF(DR.) SOUMITRA GHOSH DR. SAYAN MAJUMDAR PROF (DR.) PREETI GOEL Presented by- Partha Sarathi Adhya. (3rd year PGT)  Comparative evaluation of the influence of immediate versus delayed loading protocols of dental implants: A radiographic and clinical study .  Kushaldeep, Amrit Tandan, Viram Upadhyaya, Mohit Raghuvanshi.  J Indian Prosthodont Soc 2018;18:131-8
  • 2.
     Introduction After theplacement of dental implants, a 3 – 6 month load-free healing period has been traditionally suggested as the optimal period to ensure successful healing and osseointegration.This recommendation is based on the notion that increased vertical or lateral force upon the implant during the healing phase results in implant motion, aberrant healing and fibrous tissue encapsulation, rather than the bone formation . however, this clinical suggestion has been challenged. Numerous practitioners now advocate different loading protocols for implants.
  • 3.
    Esthetics Esthetic considerations areoften implicated when patients and dentists consider shortened implant loading protocols. Specially in anterior region often require early implant loading. Function Occlusal function and parafunctional forces have been implicated in mechanical and possibly biologic complications with implant-supported restorations. Patient’s masticatory function should be evaluated as excessive force to a healing implant may lead to excessive implant movement which could disturb osseointegration Factors for occlusal loading Structure Amount of bone , type of bone, need of grafting plays crucial role in the determination of loading pattern.
  • 4.
    Biology Successful osseointegration dependson several factors: • Suitability of the implant material • Careful site preparation • Adequate stabilization of the implant adequate stabilization of the implant is the most critical to selecting a loading protocol. Loading protocols should be viewed as dependent on two distinct processes: primary and secondary implant stabilization. Bone healing resulting in biologic stability can be disturbed if the mechanical stability is inadequate. Movement of the implant above a physiologic threshold is thought to disturb the adjacent tissues and vascular structures, eventually resulting in failed osseointegration.  Amount of primary bone contact/primary stability  Pace of bone formation around the implant Susarla SM, Chuang SK, Dodson TB. Delayed versus immediate loading of implants: survival analysis and risk factors for dental implant failure. Journal of Oral and Maxillofacial Surgery. 2008 Feb 1;66(2):251-5.
  • 5.
     Early occlusalloading: Occlusal load to an implant between 2 weeks and 3 months after implant Placement.  Early occlusal loading: Occlusal load to an implant between 2 weeks and 3 months after implant placement.  An implant prosthesis in a partially edentulous patient delivered within 2 weeks of implant insertion with no direct occlusal load.  Delayed occlusal loading: Occlusal loading to an implant restoration more than 3 months after implant insertion.  After an initial direct bone–implant interface has been obtained and confirmed at the posthealing stage II surgery.  The reason for countersinking the implant below crestal bone are- i. To reduce and minimize the bacterial infection. ii. To prevent the apical migration of oral epithelium along the body of implant. iii. To reduce and minimize the risk of early implant loading during bone remodeling.
  • 6.
     Immediate occlusalloading- • Immediate occlusal loading within 2 weeks of implant insertion. • This surgical approach has been called a ONE STAGE or NONSUBMERGED IMPLANT PROCEDURE because it eliminates the second stage implant uncovering surgery. • It actually loads the implant with a provisional restoration at the same appointment.  Decision Factors For Immediate Implant Loading According to Gapski and coworkers  Surgery-related factors, pertaining to primary implant stability and a non-traumatic surgical technique .  Host-related factors, pertaining to bone quantity and quality (density) and proper bone healing environment.  Implant-related factors, pertaining to the influence of macro- (thread) and micro- (surface coating) structure of the implant.  Prosthetic factors -factors, pertaining to the importance of occlusal forces and prosthetic design . Gapski R, Wang HL, Mascarenhas P, et al. Critical review of immediate implant loading. Clinical Oral Implants Research. 2003;14:515-52
  • 7.
     Surgery-related factors- No soft tissue or hard tissue injury.  Absence of peri apical pathology.  Host-related factors  An implant placed into compact bone, with no fenestration or dehiscence, is more likely to ensure initial stability and sustain immediate occlusal forces.  The range of dehiscence was limited to <4 mm (Brown & Payne, 2011) and the fenestration was required to be ≤5 mm apical to the alveolar crest (Fugazzotto, 2012) .  Type I to type III bone are ideal for these cases. Avila G, Galindo P, Rios H, Wang HL. Immediate implant loading: current status from available literature. Implant dentistry. 2007 Sep 1;16(3):235-45.
  • 8.
     Implant-related factors Resonance frequency analysis (RFA) in conjunction with insertion torque was another significant evaluation indicator for immediate/early loading  Insertion torque ≥ 35 Ncm.  ISQ ≥60 is idea for immediate implant loading.  Micromotion of 50 to 150 μm can be accepted at the interface between bone and implant surface.  Screw implant design, which has been shown to have a higher mechanical retention as well as greater ability to transfer compressive forces, seems to be a better choice than pressfit implants.  Because the implant is loaded before the establishment of histologic interface , implant height is important for initial stability of implant. Implants should be ≥10 mm for immediate loading cases.
  • 9.
     Prosthetic factors parallelism among fixtures, and splinting of the implants in case of multiple implant restorations could decrease the risk of overloading to each implant .  maximum inter occlusal contact without any lateral contact” is the recommended occlusion.  Indications- o According to Frank S et al (2016) • Edentulous maxilla (fixed splinted reconstructions) and mandible (removable and fixed splinted reconstructions). • Single tooth reconstructions in the esthetic zone including premolars. • Fixed partial dentures limited to short spans (Frank, S., Sanz, M.I., Sophia, K.J., Thomas, T., Alex, S., Stefan, W. and Mariano, S., 2015. Loading protocols and implant supported restorations proposed for the rehabilitation of partially and fully edentulous jaws. Camlog Foundation Consensus Report. Clinical Oral Implants Research Published by John Wiley & Sons Ltd.)
  • 10.
     Non-functional immediaterestoration: An implant prosthesis in a partially edentulous patient delivered within 2 weeks of implant insertion with no direct occlusal load.  functional immediate restoration: An implant prosthesis in a partially edentulous patient delivered within 2 weeks of implant insertion with no direct occlusal load.
  • 11.
     Progressive loading •Misch (1980) proposed the concept of progressive or gradual bone loading during prosthetic reconstruction to decrease the crestal bone loss and early implant failure in endosteal implants. • The concept of progressive loading is to allow the bone to adapt to increasing amounts of biomechanical stress. Hence, rather than immediately loading the bone– implant interface, methods to slowly increase the stress over time are a benefit. • 1. Time 2. Diet 3. Occlusal elements 4. Occlusal material 5. Prosthesis design  Abutment insertion, preparation final impression and transitional prosthesis I.  Metal try-in and new bite registration, transitional prosthesis II .  Initial delivery of the prosthesis.  Final evaluation and hygiene Misch CE. Progressive Bone Loading: Increasing the Density of Bone with a Prosthetic Protocol. InDental Implant Prosthetics 2015 Jan 1 (pp. 913- 937). Mosby.
  • 12.
    o Time-  Thepercentage of bone mineralization and the type of supporting bone influence whether a load to the bone– implant interface is within its physiologic limits  The healing time between the initial and second-stage surgeries is kept similar for Dl and D2 bone and is 3 to 4 months. A longer time is suggested for the initial healing phase of D3 and D4 bone (5 and 6 months, respectively) BONE DENSITY INITIAL HEALING (MONTHS) RECONSTRUCTION (WEEKS) INTERVAL BETWEEN APPOINTMENT (WEEKS) TOTAL TIME (MONTHS) D1 3 6 1 5.5 D2 4 10 2 6.5 D3 5 14 3 9.5 D4 6 18 4 12.5 Misch CE. Progressive Bone Loading: Increasing the Density of Bone with a Prosthetic Protocol. InDental Implant Prosthetics 2015 Jan 1 (pp. 913-937). Mosby.
  • 13.
    Diet-  During theinitial healing phase, the dentist instructs the patient to avoid chewing in the area and soft diet.  The patient is limited to a soft diet from the final impression stage until the initial delivery of the final prosthesis. The masticatory force for this type of food is about 10 psi.  After the initial delivery of the final prosthesis, the patient may include meat in the diet, which requires about 21 psi in bite force.  After the final evaluation appointment, the patient may include raw vegetables, which require an average 27 psi of force.
  • 14.
     Occlusal elements No occlusal contacts are permitted during initial healing.  The first transitional prosthesis is left out of occlusion in partially edentulous patients .  The occlusal contacts then are similar to those of the final restoration for areas supported by implants. However, no occlusal contacts are made on cantilevers or offset loads.  The occlusal contacts of the final restoration follow the implant protective occlusion concepts.  Occlusal material- • During the initial steps, the implant has no occlusal contact and thus in essence has no material over it. At subsequent appointments, the dentist uses acrylic as the occlusal material, with the benefit of a lower impact force than metal or porcelain. • Parafunction or cantilever length causes concern relative to the amount of force on the early implant–bone interface, the dentist may extend the softer diet and acrylic restoration phase several months.
  • 15.
     Prosthesis design During initial healing, any load on the implants, including soft tissue loads must be avoided.  The first transitional acrylic restoration in partially edentulous patients has no occlusal contact and no cantilevers.  The second acrylic transitional restoration has occlusal contacts placed over the implants with occlusal tables similar to the final restoration but with no cantilevers in nonesthetic regions.  The final restoration has narrow occlusal tables and cantilevers designed with occlusal contacts following implant-protective occlusion guidelines Misch CE. Progressive Bone Loading: Increasing the Density of Bone with a Prosthetic Protocol. InDental Implant Prosthetics 2015 Jan 1 (pp. 913-937). Mosby.
  • 16.
    loading protocols asper consensus agreement at the: 5th ITI Consensus Conference Galluci et al. Consensus Statements and Clinical Recommendations for Implant Loading Protocols.The International Journal of Oral & Maxillofacial Implants. Volume 29, Supplement, 2014
  • 17.
    Article Proper Aim-The aimof this study was to evaluate and compare the effectiveness of immediate implant loading protocol over conventional implant loading protocol with respect to peri- implant bone loss • completely healed alveolar sockets. • Adequate amount of bone volume (buccolingual width not <4 mm and mesiodistal width not <5 mm) • Good bone quality. • Good periodontal health in the remaining dentition. • patients with any known systemic diseases/ conditions . • medication known to interfere with wound healing or minor surgical procedures. • Smokers. • patients with insufficient interarch space Twenty partially edentulous patients with missing mandibular molar were selected.
  • 18.
    • After achievingadequate local anesthesia, crestal incisions were placed on the edentulous site and full-thickness mucoperiosteal flap was elevated. • After placing surgical stent Implant osteotomy site was prepared using a series of drills precisely and incrementally. • Threaded root form implants (Adin Dental Implant System, Afula, Israel) were used. The implant body or fixture was inserted using torque-controlled wrench. • The flap margins were repositioned and sutured tension free with a 3-0 braided silk suture. intraoral periapical radiographs were taken to assess the initial crestal bone level after implant placement.
  • 19.
    Group 1 • Thetransfer coping was attached to and impression was made with addition silicone impression material (3M ESPE, USA). • The transfer coping was attached to the implant analogue and the cast was poued. • Provisional restoration was cemented, by glass-ionomer cement, Type I (Gc, Gc Corporation Tokyo, Japan), within 48 h of fixture placement . Group 2 • In Group II patient, after allowing healing period of 3 months for the implant to get osseointegrated, phase II surgery was performed. • Once the physiologic contour of soft tissue was achieved (1–2 wk after healing screw placement), the transfer coping was placed on the fixture and closed tray impression was made
  • 20.
    Radiographic evaluation • Thefollow-up was scheduled keeping the first restoration on the implants as baseline at the intervals of 1, 3, and 6 months for radiographic evaluation. • To compensate for magnification and image distortion errors, a lead grid with 1-mm² grid pattern was affixed on to the sensor. The radiographs were standardized using the standard long cone paralleling technique . • The distance from the margins of the implant abutment junction to the first point of bone to implant contact was measured on mm scale.
  • 21.
    Group I Mesialside Distal side 1 Month .09 1.05 3 Month 1.40 1.50 6 Months 1.60 1.50 Group Il Mesial side Distal side 1 Month 1.00 1.10 3 Month 1.05 1.50 6 Months 1.30 1.00 Results
  • 22.
     DISCUSSION • Thelongevity of the dental implants depends on the amount of crestal bone loss along the implant surface. • Cardaropoli et al in 2003, suggesting that the bulk of bone resorption, following implant surgery, occurs within the first few months, or even weeks, post- implantation. • There was no significant change in mean radiographic bone loss from 1 month to 3 months and 6 months and from 3 months to 6 months, suggesting that the bone resorption stabilized after the initial period.  Mechanical strain stimulates osteoblasts to produce osteoprotein which enhances bone deposition and downregulates osteoclastic activity as the time after loading increases.  occlusal stresses, that implants are subjected to, initiates the bone remodeling immediately after loading, that is, during the 1st month.
  • 23.
     CONCLUSION • Bothimmediate and delayed loading protocols showed radiographic bone loss, at both mesial and distal sides which was not found to be statistically significant. • Change in radiographic bone loss in both the groups was found to be statistically significant when the baseline was compared to 1, 3, and 6 months. • It can be concluded that there is no statistically significant difference in crestal bone loss on comparison of immediate loading to delayed loading.
  • 24.
     Critical evaluation- Stability on accessed.  Type of occlusion no discussed.  Soft tissue assessment not done.
  • 25.
    • Replacement ofMandibular Molars with Single-Unit Restorations Supported by Wide- Body Implants: Immediate Versus Delayed Loading. A Randomized Controlled Study . • Schincaglia G P, Marzola R, Giovanni G F, Chiara C S. • INT J ORAL MAXILLOFAC IMPLANTS 2008;23:474–480 Aim- to compare single implant-supported mandibular molar restorations using either an immediate or a delayed loading protocol . • Thirty subjects requiring single mandibular molar replacement were selected and randomly divided into 2 groups. • Fifteen subjects were assigned to delayed loading protocol and 15 to immediate loading protocol according to a randomization table. • Sufficient implant primary stability; insertion torque for all implantns were ≥ 30 Ncm . • The delayed loaded implants were connected to a healing abutment and restored after 3 to 4 months of healing without loading.
  • 26.
    • The immediatelyloaded implants were loaded within 24 hours of surgery with a provisional restoration. The interim prosthesis was placed in centric occlusion • At implant placement the maximum value of insertion torque was recorded. Radiographic bone level change was measured on periapical radiographs obtained at the time of implant placement and 12 months after loading. Restoration type < 0.5 0.5 – 1 > 1 – 1.5 > 1.5 – 2 > 2 – 2.5 > 2.5 Avg. bone loss Delayed loading 0 5 6 3 0 1 1.2 ± 0.55 Immediate loading 3 7 4 0 0 0 0.77 ± 0.38
  • 27.
    Immediate loading ofwide-diameter implants supporting single restorations in mandibular molar sites seems to be a suitable clinical option. Moreover, the radiographic bone level change observed after 12 months of loading was significantly less for immediately loaded
  • 28.
    • Immediate versusdelayed loading of single mandibular molars. One-year results from a randomised controlled trial. • Silvio Meloni, Giacomo De Riu, Milena Pisano, Nicola De Riu, Antonio Tullio. • Eur J Oral Implantol 2012;5(4):345–353. Aim-To compare the outcome of immediate non-occlusal loading and that of delayed implant loading in the bilateral replacement of single mandibular molars. • Twenty patients with bilaterally missing first mandibular wee selected and A total of 40 implants were bilaterally installed. • The sites to be restored randomly assigned to be treated with immediately or conventionally loaded single implants. • All the implants were inserted in healed healthy bone with an insertion torque between 35 and 45 Ncm. • One molar was restored with a non-occluding temporary crown within 24 h after implant placement, while the contralateral molar was restored with a definitive crown 4 to 5 months later.
  • 29.
    • Outcome measureswere implant survival, complications, radiographic marginal bone- level changes, PPD . Mean Bone loss Immediate loading Delayed loading Baseline 0.44 ± 0.16 0.38 ± 0.12 6 months 0.66 ± 0.14 0.69 ± 0.17 12 months 0.83 ± 0.16 0.86 ± 0.16 Mean Pocket probing depth Immediate loading Delayed loading 6 months 2.75 ± 0.60 2.73 ± 0.57 12 months 2.76 ± 0.48 2.70 ± 0.37
  • 30.
    Within the limitationsof this study, the present data seem to confirm the hypothesis that the clinical outcome of immediate versus delayed loading of implants in single mandibular molar sites is comparable. The mean BOP values were 1.30 ± 0.73 (95% CI 0.98 to 1.62) for immediate loaded implants and 1.40 ± 0.75 (95% CI 1.07 to 1.73) for two-stage loaded implants
  • 31.
    • Clinical andRadiographic Outcomes of Three Different Loading Protocols for Single-Implant-Supported Prostheses: A Randomized Controlled Trial. • Rami M. Galal, Salah A.Yousief, Waleed M. S. Alqahtani. • J Int Oral Health 2018;10:180-6. Aim-The aim of this study is to assess the effects of early, immediate, and progressive loading of dental implants clinically and radiographically. • 20 patients were selected with missing mandibular premolar. • Patients were randomly divided into three groups and a control group according to type of loading. • Group I – Early loading – consists of five patients, restored by definitive prosthesis after 2 weeks. • Group II – Immediate loading – consists of five patients, restored by temporary crowns in centric occlusion without eccentric contact within 48 h; after 4 months, permanent prostheses were fabricated.
  • 32.
    • Group III– Progressive loading – consists of five patients, restored by temporary crowns out of occlusion after 3 months , then in centric occlusion for 1 month then in full occlusion for 2 months, then definitive prostheses were done. • Group IV – Control group (conventional loading) – consists of five patients, restored by definitive prostheses after 3 months for the mandibular sites and 4 months for maxillary. • Radiographic assessment for crestal bone loss was done. Clinical assessment of periodontal pocket depth was performed at 3, 6, and 9 months. Immediate Early Progressive Control Base line 2.00±0.35 2.30±0.33 2.00±0.18 2.08±0.14 3 months 1.95±0.37 2.15±0.22 1.85±0.14 1.83±0.29 6 months 1.85±0.34 2.00±0.25 1.90±0.29 1.83±0.14 9 months 1.80±0.37 2.10±0.34 2.25±0.18 1.83±0.383
  • 33.
    Bone loss ImmediateEarly Progressive Control Base line 1.38±0.49 1.42±0.65 1.24±1.14 0.93±0.81 3 months 1.54±0.52 1.64±0.65 1.46±0.95 1.23±0.81 6 months 1.68±0.53 1.76±0.65 1.60±0.95 1.33±0.72 9 months 1.80±0.51 1.86±0.59 1.68±0.96 1.83±0.81 • Immediate loading of single-standing dental implants showed excellent soft tissues reaction with permissible level of PD, good stability, and marginal bone loss rate compared to conventional two-staged loading. • Early loading of single-implant responses observed in the present study are identical to the bone loss rate and density analysis of the same implant placed in a conventional two-staged loading. • Progressively loaded single implants demonstrated higher density and decreased peri- implant bone resorption than that of conventionally loaded implants.
  • 34.
    • A 5-yearprospective clinical trial on short implants (6 mm) for single tooth replacement in the posterior maxilla: immediate versus delayed loading. • Mustafa Ayna, Bastian Wessing,Ralf Gutwald, Andreas Neff, Thomas. • Odontology. 2019 Apr 15;107(2):244-53. Aim-to demonstrate the treatment outcomes following immediate functional loading concept of short implants inserted for single tooth replacement in the posterior maxilla • The study was performed on 63 patients who received short (6 mm) implants for single tooth replacement in the posterior maxilla. • Forty-eight patients underwent immediate functional concept, whereas 15 of the implants were loaded 3 months after insertion. • The patients were evaluated for up to 5 years after prosthesis completion. The endpoints included the evaluation of implant survival rate, , bone resorption, bleeding on probing (BOP), periodontal probing depth (PPD).
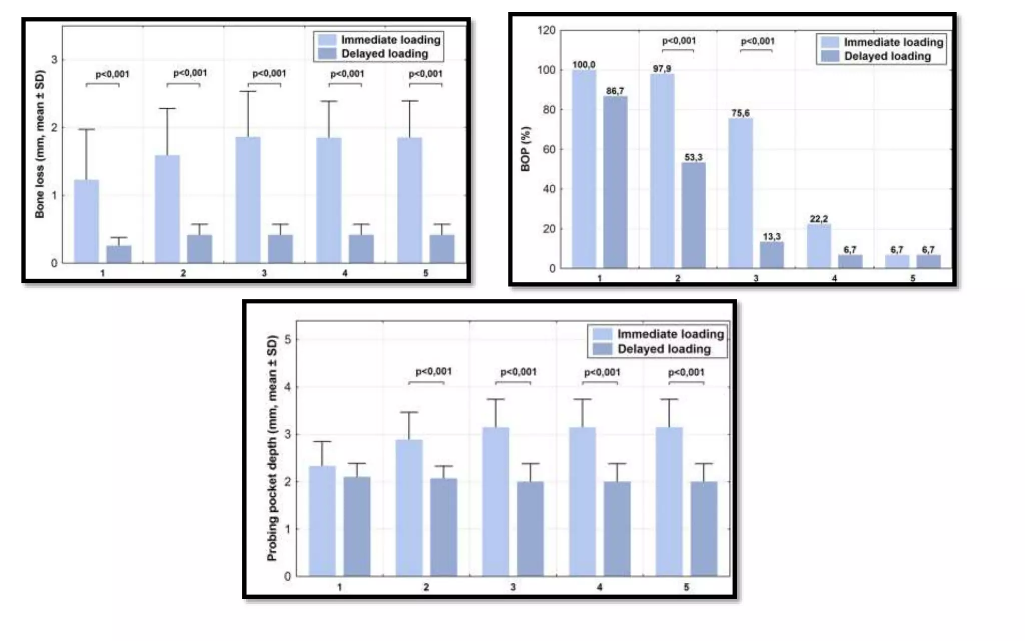
  • 36.
    • Short implantsinserted for single tooth replacement at the posterior maxilla presented with satisfactory clinical outcomes in both immediate and delayed loading concepts. • Immediately loaded implants presented with an increased bone loss which was statistically significant during the whole examination period and higher BOP values which differ especially between second and third years of examination from the immediate loading group.
  • 37.
    • Immediate versusconventional loading dental implants with fixed prostheses: A systematic review and meta-analysis of randomized controlled clinical trials . • Jie Chen, Min Cai, Jiajun Yang, Taghrid Aldhohrah. • J Prosthet Dent 2019;122:516-36 Aim- to determine the impact of immediate loading implants on the clinical outcomes of fixed restorations when compared with early or conventionally loaded implants. • Electronic searches of CENTRAL, EMBASE, and MEDLINE were supplemented by manual searches up to October 2018. Only human randomized controlled trials (RCTs) comparing immediate with early or conventional loading dental implants were included. • Quality assessment was performed by using the Cochrane Collaboration tool. For the meta-analysis, the dichotomous and continuous variables were pooled and analyzed by using risk ratios (RRs). • The outcomes assessed included survival rate, marginal bone level changes, peri-implant gingival level, probing depth, and implant stability. The subgroup analyses included healing methods, implant time, occlusal contact, number of missing teeth, and tooth position.
  • 38.
    • This systematicreview pooled data from 1868 participants (914 in a test group and 954 in control), and a total of 3746 implants were inserted (1880 in an experimental group and 1866 in control) at baseline. • The maximum follow-up period was 180. • The meta-analysis resulted in a statistically significant lower survival rate for the test (immediate loading) group compared with that for the conventional group (RR=0.974). • For patient as a statistical unit, the mean survival rate was 95.0% in the test group and 97.3% in the control group. • The subgroup analyses resulted in a higher rate of failure for immediate loading implants than for conventional loading implants . • The loss of marginal bone level ranged from −1.32 mm (loss) to 0 mm in the test group and from −1.25 mm to −0.10 mm in the control group. The result shows no statistically significant differences in the crestal bone loss between the test and control groups.
  • 39.
    • comparing immediatelyversus conventionally loaded protocols, the results of the current meta-analysis showed a higher risk of failure in the test group while presenting no difference in marginal bone level change and probing depth.
  • 40.
     Conclusions-  Thoughimmediate implant loading protocol can be considered as a viable option to the conventional loading protocol proper selection of cases needed for successful outcome of this protocol. Further studies and more long term follow-ups are needed to access its survival rate and bone loss pattern.
  • 41.
     Bibliography • SusarlaSM, Chuang SK, Dodson TB. Delayed versus immediate loading of implants: survival analysis and risk factors for dental implant failure. Journal of Oral and Maxillofacial Surgery. 2008 Feb 1;66(2):251-5. • Misch CE. Progressive Bone Loading: Increasing the Density of Bone with a Prosthetic Protocol. InDental Implant Prosthetics 2015 Jan 1 (pp. 913-937). Mosby. • Galluci et al. Consensus Statements and Clinical Recommendations for Implant Loading Protocols.The International Journal of Oral & Maxillofacial Implants. Volume 29, Supplement, 2014 • Avila G, Galindo P, Rios H, Wang HL. Immediate implant loading: current status from available literature. Implant dentistry. 2007 Sep 1;16(3):235-45. • Tandan A, Upadhyaya V, Raghuvanshi M. Comparative evaluation of the influence of immediate versus delayed loading protocols of dental implants: A radiographic and clinical study. Journal of Indian Prosthodontic Society. 2018;18(2):131-8. • Frank, S., Sanz, M.I., Sophia, K.J., Thomas, T., Alex, S., Stefan, W. and Mariano, S., 2015. Loading protocols and implant supported restorations proposed for the rehabilitation of partially and fully edentulous jaws. Camlog Foundation Consensus Report. Clinical Oral Implants Research Published by John Wiley & Sons Ltd • Gapski R, Wang HL, Mascarenhas P, et al. Critical review of immediate implant loading. Clinical Oral Implants Research. 2003;14:515-52. • Ayna M, Wessing B, Gutwald R, Neff A, Ziebart T, Açil Y, Wiltfang J, Gülses A. A 5-year prospective clinical trial on short implants (6 mm) for single tooth replacement in the posterior maxilla: immediate versus delayed loading. Odontology. 2019 Apr 15;107(2):244-53. • Meloni SM, De Riu G, Pisano M, De Riu N, Tullio A. Immediate versus delayed loading of single mandibular molars. One-year results from a randomised controlled trial. Eur J Oral Implantol. 2012 Dec 1;5(4):345-53. • Schincaglia GP, Marzola R, Giovanni GF, Chiara CS, Scotti R. Replacement of mandibular molars with single-unit restorations supported by wide-body implants: immediate versus delayed loading. A randomized controlled study. International Journal of Oral & Maxillofacial Implants. 2008 Jun 1;23(3).