Illustrating
Quadratic Equation
An equation of the first degree in any number of
variables.
LINEAR EQUATION
𝑥 + 𝑦 = 8
QUADRATIC EQUATION
𝑥2
− 3𝑥 + 15 = 0
Aseconddegreeequation.
Thehighestexponentofthevariableis2
Which of these are quadratic equations?
𝑥2
− 10𝑥 + 3 = 0
7𝑥3
+ 4𝑥 = 0
𝑥2 − 𝑥5 + 25 = 𝑥
𝑦7 = 𝑦2
8𝑥 = 10𝑥2
𝑥 + 2 = 11𝑥2
𝑥 − 2 𝑥 + 1 = 3
2𝑥 𝑥 − 5 = −1
4𝑥 𝑥2 + 9 = 3
9𝑚 − 𝑚2
= 11
𝑥2
− 3𝑥 + 15 = 0
𝑥2 −3𝑥 15
𝑎 = 1 𝑏 = −3 𝑐 = 15
2𝑥2
+ 6𝑥 − 10 = 0
2𝑥2 6𝑥 −10
𝑎 = 2 𝑏 = 6 𝑐 = −10
5𝑥2
− 𝑥 − 8 = 0
5𝑥2 −𝑥 −8
𝑎 = 5 𝑏 = −1 𝑐 = −8
Determine if the given equation is quadratic. If yes, identify the
values of a, b, and c.
𝑥2
− 10𝑥 − 3 = 0
Standard form
𝑎𝑥2
+ 𝑏𝑥 + 𝑐 = 0
𝑎 = 1 𝑏 = −10 𝑐 = −3
Determine if the given equation is quadratic. If yes, identify the
values of a, b, and c.
8𝑥2
− 𝑥 + 2 = 0
𝑎𝑥2
+ 𝑏𝑥 + 𝑐 = 0
Determine if the given equation is quadratic. If yes, identify the
values of a, b, and c.
3𝑥2
+ 5𝑥 = 10
𝑎𝑥2
+ 𝑏𝑥 + 𝑐 = 0
Determine if the given equation is quadratic. If yes, identify the
values of a, b, and c.
25𝑥2
− 2𝑥 = −8
𝑎𝑥2
+ 𝑏𝑥 + 𝑐 = 0
Determine if the given equation is quadratic. If yes, identify the
values of a, b, and c.
4𝑥 + 6𝑥2
= 3
𝑎𝑥2
+ 𝑏𝑥 + 𝑐 = 0
Determine if the given equation is quadratic. If yes, identify the
values of a, b, and c.
7𝑥2
+ 11 = 0
Determine if the given equation is quadratic. If yes, identify the
values of a, b, and c.
6𝑥 + 2𝑥2
= 0
Activity No. 1
Identify the values of a, b, and c.
1. 6𝑥 + 2𝑥2
= 0
2. 𝑥2
−6𝑥 = 1
3. 2𝑥2
= −12
4. 7𝑥2
+ 𝑥 = 3
5. 13𝑥2
− 2 = 0
Activity No. 2
Identify the values of a, b, and c.
1. 4𝑥2
− 9𝑥 = 5
2. 𝑥 + 8𝑥2
= 0
3. 21𝑥2
= 13
4. 𝑥2
= −4𝑥 + 10
5. 11𝑥2
− 𝑥 − 1 = 0
Determine if the given equation is quadratic. If yes, identify the
values of a, b, and c.
𝑥 = 3 + 𝑦
Determine if the given equation is quadratic. If yes, identify the
values of a, b, and c.
6𝑥3
− 𝑥2
+ 25 = 0
Determine if the given equation is quadratic. If yes, identify the
values of a, b, and c.
ACTIVITY NO. 1 (9-Silver)
1. 𝑥2
− 6𝑥 + 2 = 0
2. 3𝑥 + 5 = 0
3. 2𝑥2
+ 7𝑥 = 15
4. 𝑥2
= 7𝑥 + 8
5. 4𝑥2
− 𝑥 + 3 = 0
6. 6𝑥 + 𝑥2
= 12
7. 9 = 7𝑥2
8. 7𝑥2
+ 4 = 0
9. 𝑥 − 14 = 0
10. 3𝑥2
+ 6 = 𝑥8
Determine if the given equation is quadratic. If yes, identify the
values of a, b, and c.
HOMEWORK NO. 1 (9-Gold)
1. 𝑥2
− 6𝑥 + 2 = 0
2. 3𝑥 + 5 = 0
3. 2𝑥2
+ 7𝑥 = 15
4. 𝑥2
= 7𝑥 + 8
5. 7𝑥2
= 10
6. 𝑥 − 1 𝑥 + 2 = 𝑥
7. 3𝑥 4𝑥 + 1 = 18
8. 𝑥 𝑥2
− 2 = 5𝑥 + 1
9. 5𝑥2
− 𝑥 = 0
10. 𝑥 + 5 2
= −1
4𝑥2
= 20
4𝑥2
− 20 = 0
𝑎 = 4 𝑏 = 0 𝑐 = −20
2𝑥 = −5𝑥2
5𝑥2
+ 2𝑥 = 0
𝑎 = 5 𝑏 = 2 𝑐 = 0
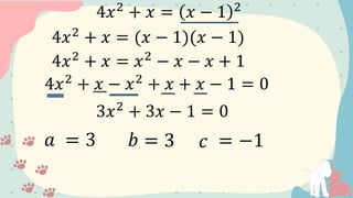
4𝑥2
+ 𝑥 = 𝑥 − 1 2
4𝑥2
+ 𝑥 = (𝑥 − 1)(𝑥 − 1)
4𝑥2
+ 𝑥 = 𝑥2
− 𝑥 − 𝑥 + 1
4𝑥2
+ 𝑥 − 𝑥2
+ 𝑥 + 𝑥 − 1 = 0
3𝑥2
+ 3𝑥 − 1 = 0
𝑎 = 3 𝑏 = 3 𝑐 = −1
2𝑥 + 5 𝑥 + 1 = 8
2𝑥2
+ 2𝑥 + 5𝑥 + 5 = 8
2𝑥2
+ 7𝑥 + 5 − 8 = 0
2𝑥2
+ 7𝑥 − 3 = 0
𝑎 = 2 𝑏 = 7 𝑐 = −3
5𝑥 𝑥 − 9 = 12
5𝑥2
− 45𝑥 = 12
5𝑥2
− 45𝑥 − 12 = 0
𝑎 = 5 𝑏 = −45 𝑐 = −12
𝑥 + 9 2
= 3𝑥
𝑥 + 9 𝑥 + 9 = 3𝑥
𝑥2
+ 9𝑥 + 9𝑥 + 81 = 3𝑥
𝑎 = 1 𝑏 = 15 𝑐 = 81
𝑥2
+ 18𝑥 + 81 − 3𝑥 = 0
𝑥2
+ 15𝑥 + 81 = 0
7𝑥 = −3𝑥2
3𝑥2
+ 7𝑥 = 0
𝑎 = 3 𝑏 = 7 𝑐 = 0
ACTIVITY NO. 2
Complete the table below.
Standard
Form
a b C
1. 8𝑥 = −9𝑥2
2. 6𝑥 𝑥 − 1 = 6
3. 𝑥 + 7 2 = 12𝑥

Illustrating Quadratic Equation

  • 1.
  • 2.
    An equation ofthe first degree in any number of variables. LINEAR EQUATION 𝑥 + 𝑦 = 8
  • 3.
    QUADRATIC EQUATION 𝑥2 − 3𝑥+ 15 = 0 Aseconddegreeequation. Thehighestexponentofthevariableis2
  • 4.
    Which of theseare quadratic equations? 𝑥2 − 10𝑥 + 3 = 0 7𝑥3 + 4𝑥 = 0 𝑥2 − 𝑥5 + 25 = 𝑥 𝑦7 = 𝑦2 8𝑥 = 10𝑥2 𝑥 + 2 = 11𝑥2 𝑥 − 2 𝑥 + 1 = 3 2𝑥 𝑥 − 5 = −1 4𝑥 𝑥2 + 9 = 3 9𝑚 − 𝑚2 = 11
  • 6.
    𝑥2 − 3𝑥 +15 = 0 𝑥2 −3𝑥 15 𝑎 = 1 𝑏 = −3 𝑐 = 15
  • 7.
    2𝑥2 + 6𝑥 −10 = 0 2𝑥2 6𝑥 −10 𝑎 = 2 𝑏 = 6 𝑐 = −10
  • 8.
    5𝑥2 − 𝑥 −8 = 0 5𝑥2 −𝑥 −8 𝑎 = 5 𝑏 = −1 𝑐 = −8
  • 9.
    Determine if thegiven equation is quadratic. If yes, identify the values of a, b, and c. 𝑥2 − 10𝑥 − 3 = 0 Standard form 𝑎𝑥2 + 𝑏𝑥 + 𝑐 = 0 𝑎 = 1 𝑏 = −10 𝑐 = −3
  • 10.
    Determine if thegiven equation is quadratic. If yes, identify the values of a, b, and c. 8𝑥2 − 𝑥 + 2 = 0 𝑎𝑥2 + 𝑏𝑥 + 𝑐 = 0
  • 11.
    Determine if thegiven equation is quadratic. If yes, identify the values of a, b, and c. 3𝑥2 + 5𝑥 = 10 𝑎𝑥2 + 𝑏𝑥 + 𝑐 = 0
  • 12.
    Determine if thegiven equation is quadratic. If yes, identify the values of a, b, and c. 25𝑥2 − 2𝑥 = −8 𝑎𝑥2 + 𝑏𝑥 + 𝑐 = 0
  • 13.
    Determine if thegiven equation is quadratic. If yes, identify the values of a, b, and c. 4𝑥 + 6𝑥2 = 3 𝑎𝑥2 + 𝑏𝑥 + 𝑐 = 0
  • 14.
    Determine if thegiven equation is quadratic. If yes, identify the values of a, b, and c. 7𝑥2 + 11 = 0
  • 15.
    Determine if thegiven equation is quadratic. If yes, identify the values of a, b, and c. 6𝑥 + 2𝑥2 = 0
  • 16.
    Activity No. 1 Identifythe values of a, b, and c. 1. 6𝑥 + 2𝑥2 = 0 2. 𝑥2 −6𝑥 = 1 3. 2𝑥2 = −12 4. 7𝑥2 + 𝑥 = 3 5. 13𝑥2 − 2 = 0
  • 17.
    Activity No. 2 Identifythe values of a, b, and c. 1. 4𝑥2 − 9𝑥 = 5 2. 𝑥 + 8𝑥2 = 0 3. 21𝑥2 = 13 4. 𝑥2 = −4𝑥 + 10 5. 11𝑥2 − 𝑥 − 1 = 0
  • 18.
    Determine if thegiven equation is quadratic. If yes, identify the values of a, b, and c. 𝑥 = 3 + 𝑦
  • 19.
    Determine if thegiven equation is quadratic. If yes, identify the values of a, b, and c. 6𝑥3 − 𝑥2 + 25 = 0
  • 20.
    Determine if thegiven equation is quadratic. If yes, identify the values of a, b, and c. ACTIVITY NO. 1 (9-Silver) 1. 𝑥2 − 6𝑥 + 2 = 0 2. 3𝑥 + 5 = 0 3. 2𝑥2 + 7𝑥 = 15 4. 𝑥2 = 7𝑥 + 8 5. 4𝑥2 − 𝑥 + 3 = 0 6. 6𝑥 + 𝑥2 = 12 7. 9 = 7𝑥2 8. 7𝑥2 + 4 = 0 9. 𝑥 − 14 = 0 10. 3𝑥2 + 6 = 𝑥8
  • 23.
    Determine if thegiven equation is quadratic. If yes, identify the values of a, b, and c. HOMEWORK NO. 1 (9-Gold) 1. 𝑥2 − 6𝑥 + 2 = 0 2. 3𝑥 + 5 = 0 3. 2𝑥2 + 7𝑥 = 15 4. 𝑥2 = 7𝑥 + 8 5. 7𝑥2 = 10 6. 𝑥 − 1 𝑥 + 2 = 𝑥 7. 3𝑥 4𝑥 + 1 = 18 8. 𝑥 𝑥2 − 2 = 5𝑥 + 1 9. 5𝑥2 − 𝑥 = 0 10. 𝑥 + 5 2 = −1
  • 24.
    4𝑥2 = 20 4𝑥2 − 20= 0 𝑎 = 4 𝑏 = 0 𝑐 = −20
  • 25.
    2𝑥 = −5𝑥2 5𝑥2 +2𝑥 = 0 𝑎 = 5 𝑏 = 2 𝑐 = 0
  • 26.
    4𝑥2 + 𝑥 =𝑥 − 1 2 4𝑥2 + 𝑥 = (𝑥 − 1)(𝑥 − 1) 4𝑥2 + 𝑥 = 𝑥2 − 𝑥 − 𝑥 + 1 4𝑥2 + 𝑥 − 𝑥2 + 𝑥 + 𝑥 − 1 = 0 3𝑥2 + 3𝑥 − 1 = 0 𝑎 = 3 𝑏 = 3 𝑐 = −1
  • 27.
    2𝑥 + 5𝑥 + 1 = 8 2𝑥2 + 2𝑥 + 5𝑥 + 5 = 8 2𝑥2 + 7𝑥 + 5 − 8 = 0 2𝑥2 + 7𝑥 − 3 = 0 𝑎 = 2 𝑏 = 7 𝑐 = −3
  • 28.
    5𝑥 𝑥 −9 = 12 5𝑥2 − 45𝑥 = 12 5𝑥2 − 45𝑥 − 12 = 0 𝑎 = 5 𝑏 = −45 𝑐 = −12
  • 29.
    𝑥 + 92 = 3𝑥 𝑥 + 9 𝑥 + 9 = 3𝑥 𝑥2 + 9𝑥 + 9𝑥 + 81 = 3𝑥 𝑎 = 1 𝑏 = 15 𝑐 = 81 𝑥2 + 18𝑥 + 81 − 3𝑥 = 0 𝑥2 + 15𝑥 + 81 = 0
  • 30.
    7𝑥 = −3𝑥2 3𝑥2 +7𝑥 = 0 𝑎 = 3 𝑏 = 7 𝑐 = 0
  • 31.
    ACTIVITY NO. 2 Completethe table below. Standard Form a b C 1. 8𝑥 = −9𝑥2 2. 6𝑥 𝑥 − 1 = 6 3. 𝑥 + 7 2 = 12𝑥