Embed presentation
Downloaded 28 times





































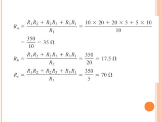
Dokumen tersebut membahas hukum dasar rangkaian listrik, termasuk hukum Ohm, Kirchhoff, dan Teorema Thevenin. Contoh soal juga diberikan untuk memperjelas penerapan hukum-hukum tersebut dalam menganalisis rangkaian listrik.



































