Module - 2 :
Currency and interest rate futures, future contracts,
markets and trading process, future prices spot and
forward, hedging and speculation with currency
futures – interest rate futures – foreign currency
options – option pricing models – hedging with
currency options – futures options – innovations.
PART - I
INTRODUCTION - OPTIONS
Options are financial instruments that confer upon the option buyer the
right to execute a particular transaction, but without the obligation to do
so. More specifically, an option is a financial contract in which the buyer
of the option has the right to buy or sell an asset, at a pre-determined
price, on or upto a specified date if he chooses to do so, however, there is
no obligation for him to do so. In other words, the option buyer can
simply let his right lapse by not exercising his option. The seller of the
option has an obligation to take the other side of the transaction, if the
buyer wishes to exercise his option.
The closest analogy is an insurance contract – you want to save or
make money, if nature moves in your favour but want protection if
nature moves against you. For such contracts you have to pay an
insurance premium. Along the same lines, the option buyer has to pay
the option seller a fee - a premium 0 for receiving such a privilege.
Options are available on a large variety of underlying assets such as
common stock, commodities, stocks, shares, currency, etc.
OPTIONS ON SPOT
An option on spot foreign exchange gives the option buyer the
right to buy or sell a specified amount of a currency say US
dollars at a stated price in terms of another currency say Swiss
Francs. If the option is exercised, the option seller must deliver
US dollars against Swiss Francs or the delivery of dollars
against Francs at the exchange rate agreed upon in the option
contract.
OPTIONS ON FUTURES
An option on currency futures gives the option buyer the right
to establish a long or a short position in currency futures
contract at a specified price. If the option is exercised, the
seller must take the opposite position in the relevant futures
contract.
FUTURE - STYLE OPTIONS
Future-style options are a little bit more complicated. Like
futures contract, they represent a bet on a price. The price
being betted on is the price of an option on spot foreign
exchange. Recall that the buyer of an option has to pay a fee
to the seller. This fee is the price of the option. In a future style
option you are betting on changes in this price which, in turn,
as we will see below, depends on several factors including the
spot exchange rate of the currency involved.
OPTION TERMINOLOGIES
1. Call Option & Put Option
2. American Options
3. European Options
4. Spot Price
5. Strike or Exercise Price
6. Maturity Date or Expiry Date
7. Option Premium (option price, option value)
8. Intrinsic Value of the Option – The concept of intrinsic
value is only notional since they cannot be prematurely
exercised. Their intrinsic value is meaningful only on the expiry
date.
9. Time Value of the Option – The difference between the
market value of an option at any time t and its intrinsic value at
that time is called the time value of an option.
10. In the Money, At the Money and Out of the Money.
PRICE QUOTATIONS
The trading, clearance and delivery procedures vary from exchange to
exchange. Since the option buyer pays the premium in full upfront, he does not
have to post any security margin. The option writer must provide collateral
in the form of cash or securities to ensure that the option write will deliver
in case the option is exercised.
As mentioned above, over-the-counter options are tailor-made as to strike price,
maturity and the amount of currency. Typically the amount of currency
involved tends to be much larger than in an exchange-traded contract. Dealers
in OTC options – Commercial Banks, Investment Banks – use exchange traded
options to offset their own positions in the OTC market.
Expiry March 2017 Expiry April 2017
Strike Price Call Put Strike Price Call Put
1.5400 0.0338 0.0055 1.5200 0.0318 0.0005
1.5500 0.0223 0.0132 1.5100 0.0202 0.0013
1.5600 0.0111 0.0212 1.5000 0.0011 0.0143
1.5700 0.0045 0.0335 1.4900 0.0001 0.0226
OPTION STRATEGIES
 Call Option – Right to buy but not the obligation to do so.
 Put Option – Right to sell but not the obligation to do so.
 Bullish Call Spread – Selling the call with the higher strike price and
buying the call with lower strike price.
 Bearish Call Spread – Buying the higher strike price and selling the
call with lower strike price.
 Bullish Put Spread – Selling puts with higher strike and buying puts
with lower strike price.
 Bearish Put Spread – Buying puts with higher strike and selling puts
with lower strike price.
 Butterfly Spread – Buying two calls with the middle strike price and
writing one call each with strike prices on either side of the option
price.
 Horizontal or Time spreads – Horizontal spreads consists of
simultaneous purchase and sale of two options identical in all respects
except the expiry date. The idea behind is that the value of the short
maturity option will decline faster than that of the longer maturity
option.
 Straddles and Strangles – A straddle consists of buying a call and a
put both with identical strikes and maturity. If there is drastic
depreciation, gain is made on the put, while in case of a drastic
appreciation, the call gives a profit. Strangle is similar to a straddle. It
consists of buying a call with strike above the current spot and a put
with strike below the current spot rate.
Like the straddle, it yields net gain for drastic movements of the spot and
a loss for moderate movements. Compared to the straddle, the loss is
smaller, but it also needs larger movement in spot before it starts giving a
net profit. Both straddles and strangles are bets on changes in volatility.
When you buy a straddle, or a strangle, you are betting that the volatility
of the spot rate is going to increase. In option trader’s jargon – you are
‘going long volatility’; these are some of the popular speculative
strategies with options.
A large number of other combinations are possible.
DETERMINANTS OF OPTION VALUE:
The Current Spot Rate – St
The Exercise / Strike Price – X
Time to Maturity – T
Home Currency Interest Rate – IH
Foreign Currency Interest rate – IF
Exchange Rate Volatility – σ
OPTION PRICING MODELS:
EUROPEAN AND AMERICAN OPTIONS
1. Black-Scholes Option Pricing Model / Formula
2. Put Call Parity Theory:
3. Binomial Option Pricing Model:
BLACK-SCHOLES OPTION PRICING MODEL / FORMULA:
Black and Scholes start by specifying a simple and well known equation
that models the way in which stock prices fluctuate. This equation, called
Geometric Brownian Motion, implies that stock returns will have a
lognormal distribution, meaning that the logarithm of the stock’s return
will follow the normal (bell shaped) distribution. They then purpose that
the option’s price is determined by only two variables that are allowed to
change time and the underlying stock price.
The other factors, namely, the volatility, the exercise price, and the risk
free rate do affect the option’s price but they are not allowed to change.
By forming a portfolio consisting of a long position in stock and a short
position in calls, the risk associated with the stock is eliminated. This
hedged portfolio is obtained by setting the number of shares of stock
equal to the approximate change in the call price for a change in the
stock price. This mix of stock and calls must be revised continuously.
This process is known as delta hedging. They then turn to a little known
result in a specialized field of probability known as stochastic calculus.
ASSUMPTIONS OF BLACK SCHOLES MODEL:
1. The price of the underlying instrument St follows a Geometric Brownian
Motion with constant drift μ and volatility σ:
2. It is possible to short sell the underlying stock.
3. There are no arbitrage opportunities.
4. Trading in the stock is continuous.
5. There are no transaction costs or taxes.
6. All securities are perfectly divisible (e.g. it is possible to buy 1/100th of
a share).
7. It is possible to borrow and lend cash at a constant risk-free interest rate.
This result defined how the option price changes in terms of the change in
the stock price and time to expiration. They then reason that this hedged
combination of options and stock should grow in value at the risk free rate.
The result than is a partial differential equation; the solution is found by
forcing a condition called a boundary condition on the model that requires
the option price to converge to the exercise value at expiration. The end
result is the Black & Scholes Model.
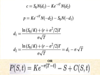
PUT CALL PARITY THEORY:
Put-Call parity defines a relationship between the price of a call
option and a put option – both with the identical strike price and
expiry. The Put-Call parity is a concept related to European Call and
Put Options. The Put-Call Parity is an option pricing concept that
requires the values of call and put options to be in equilibrium to
prevent arbitrage. The assumptions are as follows:-
• Interest rate does not change in time; it is constant for both
borrowing and lending.
• The dividends to be received are known and certain, and
• The underlying stock is highly liquid and no transfer barriers exist.
OR
BINOMIAL OPTION PRICING MODEL:
Binomial option pricing model is very simple model that is
used to price options. When to compared to Black Scholes
model and other complex models, binomial option pricing
model is mathematically simple and easy to use. This model is
based on the concept of no arbitrage.
ASSUMPTIONS IN BINOMIAL OPTION PRICING MODEL
 There are only two possible prices for the underlying asset on the
next day. From this assumption, this model has got its name as
Binomial option pricing model (Bi means two)
 The two possible prices are the up-price and down-price
 The underlying asset does not pay any dividends
 The rate of interest (r) is constant throughout the life of the option
 Markets are frictionless i.e. there are no taxes and no transaction
cost
 Investors are risk neutral i.e. investors are indifferent towards risk
BINOMIAL OPTION MODEL BUILDING PROCESS
Let us consider that we have a share of a company whose current value is
S0. Now in the next month, the price of this share is going to increase by
u% (up state) or it is going to go down by d% (down state). No other
outcome of price is possible for this stock in next month. Let p be the
probability of up state. Therefore the probability of down state is 1-p.
Now let us assume that call option exist for this stock which matures at
the end of the month. Let the strike price of the call option be X. Now in
case, the option holder decides to exercise the call option at the end of
month, what will be the payoffs?
The payoffs are given the below diagram
Now, the expected payoff using the probabilities of up state and down
state. From the above diagram, the expected value of payoff is
Once the expected value of the payoff is calculated, this expected value
of payoff has to be discounted by risk free rate to get the arbitrage free
price of call option. Use continuous discounting for discounting the
expected value of the payoff.
In some questions, the probability of up state is not given. In such case,
probability of up state can be calculated with the formula
Where;
p = up state probability
r = risk free rate
D = Down state factor
u = Up state factor
Using the above the model building process, similar model can be build
for multi period options and also for put options.
Advantages of Binomial Option Pricing Model
• Binomial option pricing models are mathematically simple to use.
• Binomial option pricing model is useful for valuing American
options in which the option owner has the right to exercise the
option any time up till expiration.
• Binomial option model is also useful for pricing Bermudan options
which can be exercised at various points during the life of the
option.
Limitations of Binomial Option Pricing Model
• One major limitation of binomial option pricing model is its slow
speed.
• Computation complexity increases in multi period binomial option
pricing model.
The binomial pricing model traces the evolution of the option's key
underlying variables in discrete-time. This is done by means of a
binomial lattice (tree), for a number of time steps between the valuation
and expiration dates. Each node in the lattice represents a possible price
of the underlying at a given point in time.
Valuation is performed iteratively, starting at each of the final nodes
(those that may be reached at the time of expiration), and then working
backwards through the tree towards the first node (valuation date). The
value computed at each stage is the value of the option at that point in
time.
Option valuation using this method is, as described, a three-step process:
A. price tree generation,
B. calculation of option value at each final node,
C. sequential calculation of the option value at each preceding node.
Option Deltas and Related Concepts: The “Greeks”
The mathematical characteristics of the Black-Scholes model are named
after the Greek letters used to represent them in equations. These are
known as the Option Greeks. The 5 Option Greeks measure the
sensitivity of the price of stock options in relation to 4 different factors;
Changes in the underlying stock price, interest rate, volatility, time decay.
Option Greeks allow option traders to objectively calculate changes in
the value of the option contracts in their portfolio with changes in the
factors that affects the value of stock options. The ability to
mathematically calculate these changes gives option traders the ability to
hedge their portfolio or to construct positions with specific risk/reward
profiles. This alone makes knowing the Option Greeks priceless in
options trading.
Professionals use the Option Greeks to measure exactly how much they
need to hedge their portfolio and to surgically remove specific risk
factors from their portfolio. The Option Greeks also enable the
measurement of how much risk the portfolio is exposed to, and where
that risk lies. Having a comprehensive knowledge of options Greeks is
essential to long term success in options trading.
The 5 Option Greeks are:
A. Gamma (Greek Symbol γ) - a measure of delta's sensitivity to
changes in the price of the underlying asset
B. Delta (Greek Symbol δ) - a measure of an option's sensitivity to
changes in the price of the underlying asset
C. Vega - a measure of an option's sensitivity to changes in the volatility
of the underlying asset
D. Theta (Greek Symbol θ) - a measure of an option's sensitivity to time
decay
E. Rho (Greek Symbol ρ) - a measure of an option's sensitivity to
changes in the risk free interest rate
OPTION DELTA – INTRODUCTION
Delta value is the most well-known and the most important of the option
Greeks. It is the degree to which an option price will move given a
change in the underlying stock price, all else being equal. For example,
an option with a delta of 0.5 will move half a cent for every one cent
movement in the underlying stock. Which means, stock options with a
higher delta will increase / decrease in value more with the same move
on the underlying stock versus stock options with a lower delta value.
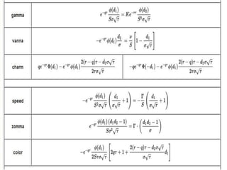
Where
C = Value of the Call Option
St = Current value of underlying asset
N(d1) = Rate of change of the option
price with respect to the price of the
underlying asset
T = Option life as a percentage of year
ln = Natural log of
Rf = Risk free rate of return
Why Is Option Delta Important?
Knowing the delta value of your options is important for option traders
who do not hold stock options until expiration. In fact, few options
traders hold speculative positions to expiration in options trading. If you
are speculating a quick $1 surge in the underlying stock within a few
days and bought call options in order to prepare for the move, the delta
of your call options will tell you exactly how much money you will make
with that $1 surge. The option delta therefore helps you plan for how
much call options to buy if you are planning to capture a definite
cash value in profits and helps you calculate the options leverage
involved.
Option delta is also important for option traders who use complex
position trading option strategies. If an option trader is planning to profit
from the time decay of his short term stock options, then that option
trader needs to make sure that the overall delta value of his position is
near to zero so that changes in the underlying stock price do not affect
the overall value of his position. This is known as Delta Neutral in
options trading.
Characteristics of Option Delta & Reading Delta Values
A far out of the money stock option will have a delta very close to zero;
an at the money stock option a delta of 0.5; a deeply in the money stock
option will have a delta close to 1.
The picture above is real delta values for MSFT's call options with 29
days left to expiration. Notice that the delta value increases nearer to 1 as
the option becomes more In-The-Money and decreases nearer to 0 as the
option becomes more and more Out-of-The-Money.
Call options with delta of 1 means that it will move up $1 as the
underlying stock go up by $1, perfectly shadowing every move of the
underlying stock.
In a way, the delta of a stock option also tells you the probability that the
option will expire In-The-Money.
That is why far Out-of-The-Money options have a delta of zero,
reflecting that there is almost no chance of that option expiring In-The-
Money.
Call deltas are positive; put deltas are negative, reflecting the
fact that the put option price and the underlying stock price are
inversely related.
The delta is often called the neutral hedge ratio. For example if
you have a portfolio of shares, divide the amount by the delta
gives you the number of calls you would need to write to
create a neutral hedge - i.e. a portfolio which would be worth
the same whether the stock price rose by a small amount or
fell by a small amount. In such a "delta neutral" portfolio any
gain in the value of the shares held due to a rise in the share
price should be exactly offset by a loss on the value of the
calls written, and vice versa. That gave rise to the important
concept of "Delta Neutral" hedging or positions. Learn all
about Delta Neutral Hedging now!
Does Option Delta Stay The Same Till Expiration?
Sadly, option delta changes all the time. Option delta changes as the price
of the underlying stock changes; bring that option more and more in the
money or more and more out of the money. This effect is governed by
the option gamma. Even if the underlying stock remain stagnant, option
delta for In The Money options increases as expiration nears and option
delta for Out Of The Money options decreases as expiration nears.
Gamma – Introduction
The gamma of an option indicates how the delta of an option will change
relative to a 1 point move in the underlying asset. In other words, the
Gamma shows the option delta's sensitivity to market price changes.
Gamma is important because it shows us how fast our position delta
changes in relation to the market price of the underlying asset, however,
it is not normally needed for calculation for most option trading
strategies. Gamma is particularly important for delta neutral traders who
wants to predict how to reset their delta neutral positions as the price of
the underlying stock changes.
The picture above depicts the real gamma value of MSFT's call options
with 29 days to expiration while the bottom picture depicts the gamma
value of the same call options with 183 days to expiration. You would
notice that as expiration date gets further away, the gamma value
becomes smaller. This makes stock options with longer expiration less
sensitive to delta changes as the underlying stock value changes.
Where
d1 = Please refer to Delta
Calculation above
S = Current value of underlying
asset
T = Option life as a percentage
of year
Vega - Introduction
The Vega of an option indicates how much, theoretically at least, the
price of the option will change as the volatility of the underlying asset
changes. Vega is quoted to show the theoretical price change for every 1
percentage point change in implied volatility. For example, if the
theoretical price is 2.5 and the Vega is showing 0.25, then if the implied
volatility moves from 20% to 21% the theoretical price will increase to
2.75.
Reading Vega Value: Vega is most sensitive when the option is at-the-
money and tapers off either side as the market trades above/below the
strike. Some option trading strategies that are particularly vega sensitive
are Long Straddle (where a profit can be made when volatility increases
without a move in the underlying asset) and a Short Straddle (where a
profit can be made when volatility decreases without a move in the
underlying asset). As you can see from the below picture of MSFT Call
Option's real vega values, it reduces drastically as it goes in the money
and out of the money. (next slide)
Where
d1 = Please refer to Delta Calculation
above
S = Current value of underlying asset
T = Option life as a percentage of year
C = Value of Call Option
Theta – Introduction
Theta measures how fast the premium of a stock option decays with
time. By Time Decay, we mean the depreciation of the premium value of
a stock option contract. To completely understand what the premium of a
stock option is, you need to understand how stock options are priced.
The theta value indicates how much value a stock option's price will
diminish per day with all other factors being constant. If a stock option
has a theta value of -0.012, it means that it will lose 1.2 cents a day. Such
a stock option contract will lose 2.4 cents over a weekend. (Yes, the
effect of theta value and time decay is active even when markets are
closed!)
The nearer the expiration date, the higher the theta and the farther
away the expiration date, the lower the theta. Some option trading
strategies that are particularly theta sensitive are Calendar Call Spread
and Calendar Put Spread where traders need to maintain a net positive
theta in order to ensure a profit.
Compare the theta values for MSFT Call Options with 29 days left to expiration
above and the same call options with 183 days left to expiration in the picture
below and you will notice that stock options with a longer expiration date has a
lower theta value and therefore a lower rate of time premium decay than stock
options with a shorter expiration date. Hence it is not wise to buy short term stock
options with a high premium value. Notice also that theta value drops as the stock
option gets further in the money and out of the money as there are very little
premium value left in deep in the money and out of the money options.
Characteristics of Theta Value
You might have noticed something peculiar about the theta of Out of The Money
(OTM) options when comparing the two pictures above and that is, theta value for
OTM options are higher with longer expiration and lower with nearer expiration.
Indeed, theta behaves differently for ITM/ATM options and OTM options:
ITM/ATM Options Theta
Further Expiration : Low Theta
Nearer Expiration : High Theta
OTM Options Theta
Further Expiration : High Theta
Nearer Expiration : Low Theta
As you can see from the below illustrations, ITM and ATM options decays fastest
during the last 30 days to expiration whereas OTM options decays the least during
the final 30 days, which is also due to the fact that OTM options near to expiration
has too little premium value left to decay on anyways.
Where...
d1 = Please refer to Delta Calculation above
T = Option life as a percentage of year
C = Value of Call Option
St = Current price of underlying asset
X = Strike Price
Rf = Risk free rate of return
N(d2) = Probability of option being in the
money
Options Rho – Definition
Options Rho measures the sensitivity of a stock option's price to a
change in interest rates.
Options Rho – Introduction
Options Rho is definitely the least important of the Options Greeks and
have the least impact on stock options pricing. In fact, this is the options
Greek that is most often ignored by options traders because interest rates
rarely change dramatically and the impact of such changes affect options
price quite insignificantly. Options Rho measures the estimated change in
the theoretical options price with a 1% change in Interest Rate and is
often fairly low. This results in the price of a call option rising only about
$0.01 or $0.02 with a 1% rise in interest rate, which is very insignificant.
Why Is Options Rho Unimportant?
Changes in interest rates dramatically affect the stock market and the
economy. This makes it interesting to know how much the price of your
options change with a change in interest rates through the Options Rho.
However, changes in interest rates moves stocks more than is
compensated by an increase or decrease in options price due to Options
Rho. At the end of the day, Options Delta and Options Vega rule the day
when interest rates changes or is expected to change soon. The impact of
Options Rho could only be felt if all else remain stagnant in the face of
something as important as a change in interest rates, which is nearly
impossible. Even if you expect a change in interest rates and put on a
position that is delta, vega, theta and gamma neutral (again, nearly
impossible) in order to benefit from that $0.02 change, the transaction
costs involved in such a complex hedge would have eradicated any
possibility of real profits. On top of that, Options Rho is not usually
needed for the calculation of any of the options trading strategies as there
are currently no interest rates specific options trading strategies.
OPTIONS RHO - CHARACTERISTICS
Positive And Negative Polarity: Options Rho come in positive or
negative polarity. Long call options produces positive Options Rho and
long put options produces negative Options Rho. This means that call
options rise in value and put options drop in value with a rise in interest
rates.
Options Rho & Time: Options Rho increases as time to expiration
becomes longer.
Options Rho & Options Moneyness: Options Rho is almost equal for
all In The Money options and decreases for Out Of The Money Options.
Typical Options Rho Value: Options Rho is usually in the 0.10 range
for long expiration options and about the $0.010 range for near term
options. This means that options with long expiration (LEAPS)are
expected to rise by only $0.10 and near term options by only $0.01 with
a 1% rise in interest rates. Both of which are fairly insignificant.
Where
d1 = Please refer to Delta Calculation
T = Option life as a percentage of year
C = Value of Call Option
X = Strike Price
N(d2) = Probability of option being in the
money
Lamda of an Option: A tool which is used to compare the change in
option price to a 1% change in option volatility. Mathematically, lambda
is the partial derivative of the option price with respect to the option
volatility. For example, if an option's price has increased 20% in
response to a 10% change in volatility, then lambda is 2. The lambda of a
portfolio is the rate of change of the value of the overall portfolio with
respect to volatility of an underlying asset. If lambda is high, the
portfolio's value is said to be very sensitive to small changes in volatility.
If lambda is low, volatility changes would have relatively little impact on
the value of the portfolio. Lambda is used synonymously for vega,
kappa, or sigma.
OPTIONS STRATEGIES
Stock Options can be combined into options strategies with various
reward/risk profiles to meet the needs of every investment situation. Here
is the most complete list of every known possible options strategy in the
options trading universe, literally the biggest collection of options
strategies on the internet. As there are literally hundreds of possible
options strategies, this list will grow over time as we cover them in detail
over time. Make sure you bookmark this page and check back often!
Latest Options Strategy Addition: Double Iron Butterfly Spread
Basic Bullish Options Strategies
:: Buy Call Option / Long Call Option
:: Bull Call Spread
Complex Bullish Options Strategies
:: Bull Put Spread
:: Deep ITM Bull Put Spread
:: Naked Put Write / Short Put Option
:: Cash Secured Put
:: Writing Out Of The Money Put Options
:: Ratio Bull Spread
:: Short Ratio Bull Spread
:: Risk Reversal (Bullish)
:: Bull Butterfly Spread
:: Bull Condor Spread
:: Long Call Ladder Spread
Basic Bearish Options Strategies
:: Buy Put Option / Long Put Option
:: Bear Put Spread
Complex Bearish Options Strategies
:: Bear Call Spread
:: Deep ITM Bear Call Spread
:: Naked Call Write / Short Call Option
:: Bear Ratio Spread
:: Short Ratio Bear Spread
:: Risk Reversal (Bearish)
:: Bear Butterfly Spread
:: Long Put Ladder Spread
Protective Options Strategies
:: Fiduciary Calls
:: Protective Puts
:: Married Puts
:: Protective Calls
Basic Neutral Options Strategies
:: Covered Call
:: Deep In The Money Covered Call
:: Collar
:: Short Straddle
:: Short Strip Straddle
:: Short Strap Straddle
:: Short Strap Strangle
:: Short Strip Strangle
:: Short Strangle
:: Short Gut
:: Calendar Call Spread
:: Horizontal Calendar Call Spread
:: Diagonal Calendar Call Spread
:: Calendar Put Spread
:: Horizontal Calendar Put Spread
:: Diagonal Calendar Put Spread
:: Call Time Spread
:: Horizontal Call Time Spread
:: Diagonal Call Time Spread
:: Put Time Spread
:: Horizontal Put Time Spread
:: Diagonal Put Time Spread
Complex Neutral Options Strategies
:: Butterfly Spread
:: Double Butterfly Spread
:: Broken Wing Butterfly Spread
:: Call Broken Wing Butterfly Spread
:: Put Broken Wing Butterfly Spread
:: Condor Spread
:: Broken Wing Condor Spread
:: Call Broken Wing Condor Spread
:: Put Broken Wing Condor Spread
:: Albatross Spread
:: Iron Albatross Spread
:: Iron Condor Spread
:: Iron Butterfly Spread
:: Covered Put
:: Call Ratio Spread
:: Call Diagonal Ratio Spread
:: Put Ratio Spread
:: Put Diagonal Ratio Spread
:: Calendar Straddle
:: Calendar Strangle
Complex Volatile Options Strategies
:: Short Butterfly Spread
:: Short Condor Spread
:: Short Albatross Spread
:: Reverse Iron Butterfly Spread
:: Reverse Iron Condor Spread
:: ITM Iron Condor Spread
:: Reverse Iron Albatross Spread
:: Call Ratio Backspread
:: Call Diagonal Ratio Backspread
:: Put Ratio Backspread
:: Put Diagonal Ratio Backspread
:: Short Call Horizontal Calendar Spread
:: Short Call Diagonal Calendar Spread
:: Short Put Horizontal Calendar Spread
:: Short Put Diagonal Calendar Spread
:: Short Calendar Straddle
:: Short Calendar Strangle
:: Short Put Ladder Spread
:: Short Call Ladder Spread
Synthetic Options Strategies
:: Synthetic Long Call
:: Synthetic Long Put
:: Synthetic Short Call
:: Synthetic Short Put
:: Synthetic Straddle
:: Synthetic Short Straddle
:: Synthetic Covered Call
Options Arbitrage Strategies
:: Box Spread
:: Conversion & Reversal Arbitrage
:: Strike Arbitrage
:: Dividend Arbitrage
:: Calendar Arbitrage
:: Intra-market Arbitrage
:: Volatility Arbitrage
Stock Based Options Strategies
:: Stock Replacement Strategy
:: Stock Repair Strategy
Options - Forex Management Chapter II - Part I

Options - Forex Management Chapter II - Part I

  • 2.
    Module - 2: Currency and interest rate futures, future contracts, markets and trading process, future prices spot and forward, hedging and speculation with currency futures – interest rate futures – foreign currency options – option pricing models – hedging with currency options – futures options – innovations. PART - I
  • 3.
    INTRODUCTION - OPTIONS Optionsare financial instruments that confer upon the option buyer the right to execute a particular transaction, but without the obligation to do so. More specifically, an option is a financial contract in which the buyer of the option has the right to buy or sell an asset, at a pre-determined price, on or upto a specified date if he chooses to do so, however, there is no obligation for him to do so. In other words, the option buyer can simply let his right lapse by not exercising his option. The seller of the option has an obligation to take the other side of the transaction, if the buyer wishes to exercise his option. The closest analogy is an insurance contract – you want to save or make money, if nature moves in your favour but want protection if nature moves against you. For such contracts you have to pay an insurance premium. Along the same lines, the option buyer has to pay the option seller a fee - a premium 0 for receiving such a privilege. Options are available on a large variety of underlying assets such as common stock, commodities, stocks, shares, currency, etc.
  • 4.
    OPTIONS ON SPOT Anoption on spot foreign exchange gives the option buyer the right to buy or sell a specified amount of a currency say US dollars at a stated price in terms of another currency say Swiss Francs. If the option is exercised, the option seller must deliver US dollars against Swiss Francs or the delivery of dollars against Francs at the exchange rate agreed upon in the option contract. OPTIONS ON FUTURES An option on currency futures gives the option buyer the right to establish a long or a short position in currency futures contract at a specified price. If the option is exercised, the seller must take the opposite position in the relevant futures contract.
  • 5.
    FUTURE - STYLEOPTIONS Future-style options are a little bit more complicated. Like futures contract, they represent a bet on a price. The price being betted on is the price of an option on spot foreign exchange. Recall that the buyer of an option has to pay a fee to the seller. This fee is the price of the option. In a future style option you are betting on changes in this price which, in turn, as we will see below, depends on several factors including the spot exchange rate of the currency involved.
  • 6.
    OPTION TERMINOLOGIES 1. CallOption & Put Option 2. American Options 3. European Options 4. Spot Price 5. Strike or Exercise Price 6. Maturity Date or Expiry Date 7. Option Premium (option price, option value) 8. Intrinsic Value of the Option – The concept of intrinsic value is only notional since they cannot be prematurely exercised. Their intrinsic value is meaningful only on the expiry date. 9. Time Value of the Option – The difference between the market value of an option at any time t and its intrinsic value at that time is called the time value of an option. 10. In the Money, At the Money and Out of the Money.
  • 7.
    PRICE QUOTATIONS The trading,clearance and delivery procedures vary from exchange to exchange. Since the option buyer pays the premium in full upfront, he does not have to post any security margin. The option writer must provide collateral in the form of cash or securities to ensure that the option write will deliver in case the option is exercised. As mentioned above, over-the-counter options are tailor-made as to strike price, maturity and the amount of currency. Typically the amount of currency involved tends to be much larger than in an exchange-traded contract. Dealers in OTC options – Commercial Banks, Investment Banks – use exchange traded options to offset their own positions in the OTC market. Expiry March 2017 Expiry April 2017 Strike Price Call Put Strike Price Call Put 1.5400 0.0338 0.0055 1.5200 0.0318 0.0005 1.5500 0.0223 0.0132 1.5100 0.0202 0.0013 1.5600 0.0111 0.0212 1.5000 0.0011 0.0143 1.5700 0.0045 0.0335 1.4900 0.0001 0.0226
  • 8.
    OPTION STRATEGIES  CallOption – Right to buy but not the obligation to do so.  Put Option – Right to sell but not the obligation to do so.  Bullish Call Spread – Selling the call with the higher strike price and buying the call with lower strike price.  Bearish Call Spread – Buying the higher strike price and selling the call with lower strike price.  Bullish Put Spread – Selling puts with higher strike and buying puts with lower strike price.  Bearish Put Spread – Buying puts with higher strike and selling puts with lower strike price.  Butterfly Spread – Buying two calls with the middle strike price and writing one call each with strike prices on either side of the option price.  Horizontal or Time spreads – Horizontal spreads consists of simultaneous purchase and sale of two options identical in all respects except the expiry date. The idea behind is that the value of the short maturity option will decline faster than that of the longer maturity option.
  • 9.
     Straddles andStrangles – A straddle consists of buying a call and a put both with identical strikes and maturity. If there is drastic depreciation, gain is made on the put, while in case of a drastic appreciation, the call gives a profit. Strangle is similar to a straddle. It consists of buying a call with strike above the current spot and a put with strike below the current spot rate. Like the straddle, it yields net gain for drastic movements of the spot and a loss for moderate movements. Compared to the straddle, the loss is smaller, but it also needs larger movement in spot before it starts giving a net profit. Both straddles and strangles are bets on changes in volatility. When you buy a straddle, or a strangle, you are betting that the volatility of the spot rate is going to increase. In option trader’s jargon – you are ‘going long volatility’; these are some of the popular speculative strategies with options. A large number of other combinations are possible.
  • 10.
    DETERMINANTS OF OPTIONVALUE: The Current Spot Rate – St The Exercise / Strike Price – X Time to Maturity – T Home Currency Interest Rate – IH Foreign Currency Interest rate – IF Exchange Rate Volatility – σ OPTION PRICING MODELS: EUROPEAN AND AMERICAN OPTIONS 1. Black-Scholes Option Pricing Model / Formula 2. Put Call Parity Theory: 3. Binomial Option Pricing Model:
  • 11.
    BLACK-SCHOLES OPTION PRICINGMODEL / FORMULA: Black and Scholes start by specifying a simple and well known equation that models the way in which stock prices fluctuate. This equation, called Geometric Brownian Motion, implies that stock returns will have a lognormal distribution, meaning that the logarithm of the stock’s return will follow the normal (bell shaped) distribution. They then purpose that the option’s price is determined by only two variables that are allowed to change time and the underlying stock price. The other factors, namely, the volatility, the exercise price, and the risk free rate do affect the option’s price but they are not allowed to change. By forming a portfolio consisting of a long position in stock and a short position in calls, the risk associated with the stock is eliminated. This hedged portfolio is obtained by setting the number of shares of stock equal to the approximate change in the call price for a change in the stock price. This mix of stock and calls must be revised continuously. This process is known as delta hedging. They then turn to a little known result in a specialized field of probability known as stochastic calculus.
  • 12.
    ASSUMPTIONS OF BLACKSCHOLES MODEL: 1. The price of the underlying instrument St follows a Geometric Brownian Motion with constant drift μ and volatility σ: 2. It is possible to short sell the underlying stock. 3. There are no arbitrage opportunities. 4. Trading in the stock is continuous. 5. There are no transaction costs or taxes. 6. All securities are perfectly divisible (e.g. it is possible to buy 1/100th of a share). 7. It is possible to borrow and lend cash at a constant risk-free interest rate. This result defined how the option price changes in terms of the change in the stock price and time to expiration. They then reason that this hedged combination of options and stock should grow in value at the risk free rate. The result than is a partial differential equation; the solution is found by forcing a condition called a boundary condition on the model that requires the option price to converge to the exercise value at expiration. The end result is the Black & Scholes Model.
  • 13.
    PUT CALL PARITYTHEORY: Put-Call parity defines a relationship between the price of a call option and a put option – both with the identical strike price and expiry. The Put-Call parity is a concept related to European Call and Put Options. The Put-Call Parity is an option pricing concept that requires the values of call and put options to be in equilibrium to prevent arbitrage. The assumptions are as follows:- • Interest rate does not change in time; it is constant for both borrowing and lending. • The dividends to be received are known and certain, and • The underlying stock is highly liquid and no transfer barriers exist.
  • 14.
  • 15.
    BINOMIAL OPTION PRICINGMODEL: Binomial option pricing model is very simple model that is used to price options. When to compared to Black Scholes model and other complex models, binomial option pricing model is mathematically simple and easy to use. This model is based on the concept of no arbitrage. ASSUMPTIONS IN BINOMIAL OPTION PRICING MODEL  There are only two possible prices for the underlying asset on the next day. From this assumption, this model has got its name as Binomial option pricing model (Bi means two)  The two possible prices are the up-price and down-price  The underlying asset does not pay any dividends  The rate of interest (r) is constant throughout the life of the option  Markets are frictionless i.e. there are no taxes and no transaction cost  Investors are risk neutral i.e. investors are indifferent towards risk
  • 16.
    BINOMIAL OPTION MODELBUILDING PROCESS Let us consider that we have a share of a company whose current value is S0. Now in the next month, the price of this share is going to increase by u% (up state) or it is going to go down by d% (down state). No other outcome of price is possible for this stock in next month. Let p be the probability of up state. Therefore the probability of down state is 1-p.
  • 17.
    Now let usassume that call option exist for this stock which matures at the end of the month. Let the strike price of the call option be X. Now in case, the option holder decides to exercise the call option at the end of month, what will be the payoffs? The payoffs are given the below diagram Now, the expected payoff using the probabilities of up state and down state. From the above diagram, the expected value of payoff is
  • 18.
    Once the expectedvalue of the payoff is calculated, this expected value of payoff has to be discounted by risk free rate to get the arbitrage free price of call option. Use continuous discounting for discounting the expected value of the payoff. In some questions, the probability of up state is not given. In such case, probability of up state can be calculated with the formula Where; p = up state probability r = risk free rate D = Down state factor u = Up state factor Using the above the model building process, similar model can be build for multi period options and also for put options.
  • 19.
    Advantages of BinomialOption Pricing Model • Binomial option pricing models are mathematically simple to use. • Binomial option pricing model is useful for valuing American options in which the option owner has the right to exercise the option any time up till expiration. • Binomial option model is also useful for pricing Bermudan options which can be exercised at various points during the life of the option. Limitations of Binomial Option Pricing Model • One major limitation of binomial option pricing model is its slow speed. • Computation complexity increases in multi period binomial option pricing model.
  • 20.
    The binomial pricingmodel traces the evolution of the option's key underlying variables in discrete-time. This is done by means of a binomial lattice (tree), for a number of time steps between the valuation and expiration dates. Each node in the lattice represents a possible price of the underlying at a given point in time. Valuation is performed iteratively, starting at each of the final nodes (those that may be reached at the time of expiration), and then working backwards through the tree towards the first node (valuation date). The value computed at each stage is the value of the option at that point in time. Option valuation using this method is, as described, a three-step process: A. price tree generation, B. calculation of option value at each final node, C. sequential calculation of the option value at each preceding node.
  • 22.
    Option Deltas andRelated Concepts: The “Greeks” The mathematical characteristics of the Black-Scholes model are named after the Greek letters used to represent them in equations. These are known as the Option Greeks. The 5 Option Greeks measure the sensitivity of the price of stock options in relation to 4 different factors; Changes in the underlying stock price, interest rate, volatility, time decay. Option Greeks allow option traders to objectively calculate changes in the value of the option contracts in their portfolio with changes in the factors that affects the value of stock options. The ability to mathematically calculate these changes gives option traders the ability to hedge their portfolio or to construct positions with specific risk/reward profiles. This alone makes knowing the Option Greeks priceless in options trading.
  • 23.
    Professionals use theOption Greeks to measure exactly how much they need to hedge their portfolio and to surgically remove specific risk factors from their portfolio. The Option Greeks also enable the measurement of how much risk the portfolio is exposed to, and where that risk lies. Having a comprehensive knowledge of options Greeks is essential to long term success in options trading. The 5 Option Greeks are: A. Gamma (Greek Symbol γ) - a measure of delta's sensitivity to changes in the price of the underlying asset B. Delta (Greek Symbol δ) - a measure of an option's sensitivity to changes in the price of the underlying asset C. Vega - a measure of an option's sensitivity to changes in the volatility of the underlying asset D. Theta (Greek Symbol θ) - a measure of an option's sensitivity to time decay E. Rho (Greek Symbol ρ) - a measure of an option's sensitivity to changes in the risk free interest rate
  • 24.
    OPTION DELTA –INTRODUCTION Delta value is the most well-known and the most important of the option Greeks. It is the degree to which an option price will move given a change in the underlying stock price, all else being equal. For example, an option with a delta of 0.5 will move half a cent for every one cent movement in the underlying stock. Which means, stock options with a higher delta will increase / decrease in value more with the same move on the underlying stock versus stock options with a lower delta value. Where C = Value of the Call Option St = Current value of underlying asset N(d1) = Rate of change of the option price with respect to the price of the underlying asset T = Option life as a percentage of year ln = Natural log of Rf = Risk free rate of return
  • 25.
    Why Is OptionDelta Important? Knowing the delta value of your options is important for option traders who do not hold stock options until expiration. In fact, few options traders hold speculative positions to expiration in options trading. If you are speculating a quick $1 surge in the underlying stock within a few days and bought call options in order to prepare for the move, the delta of your call options will tell you exactly how much money you will make with that $1 surge. The option delta therefore helps you plan for how much call options to buy if you are planning to capture a definite cash value in profits and helps you calculate the options leverage involved. Option delta is also important for option traders who use complex position trading option strategies. If an option trader is planning to profit from the time decay of his short term stock options, then that option trader needs to make sure that the overall delta value of his position is near to zero so that changes in the underlying stock price do not affect the overall value of his position. This is known as Delta Neutral in options trading.
  • 26.
    Characteristics of OptionDelta & Reading Delta Values A far out of the money stock option will have a delta very close to zero; an at the money stock option a delta of 0.5; a deeply in the money stock option will have a delta close to 1.
  • 27.
    The picture aboveis real delta values for MSFT's call options with 29 days left to expiration. Notice that the delta value increases nearer to 1 as the option becomes more In-The-Money and decreases nearer to 0 as the option becomes more and more Out-of-The-Money. Call options with delta of 1 means that it will move up $1 as the underlying stock go up by $1, perfectly shadowing every move of the underlying stock. In a way, the delta of a stock option also tells you the probability that the option will expire In-The-Money. That is why far Out-of-The-Money options have a delta of zero, reflecting that there is almost no chance of that option expiring In-The- Money.
  • 28.
    Call deltas arepositive; put deltas are negative, reflecting the fact that the put option price and the underlying stock price are inversely related. The delta is often called the neutral hedge ratio. For example if you have a portfolio of shares, divide the amount by the delta gives you the number of calls you would need to write to create a neutral hedge - i.e. a portfolio which would be worth the same whether the stock price rose by a small amount or fell by a small amount. In such a "delta neutral" portfolio any gain in the value of the shares held due to a rise in the share price should be exactly offset by a loss on the value of the calls written, and vice versa. That gave rise to the important concept of "Delta Neutral" hedging or positions. Learn all about Delta Neutral Hedging now!
  • 29.
    Does Option DeltaStay The Same Till Expiration? Sadly, option delta changes all the time. Option delta changes as the price of the underlying stock changes; bring that option more and more in the money or more and more out of the money. This effect is governed by the option gamma. Even if the underlying stock remain stagnant, option delta for In The Money options increases as expiration nears and option delta for Out Of The Money options decreases as expiration nears. Gamma – Introduction The gamma of an option indicates how the delta of an option will change relative to a 1 point move in the underlying asset. In other words, the Gamma shows the option delta's sensitivity to market price changes. Gamma is important because it shows us how fast our position delta changes in relation to the market price of the underlying asset, however, it is not normally needed for calculation for most option trading strategies. Gamma is particularly important for delta neutral traders who wants to predict how to reset their delta neutral positions as the price of the underlying stock changes.
  • 31.
    The picture abovedepicts the real gamma value of MSFT's call options with 29 days to expiration while the bottom picture depicts the gamma value of the same call options with 183 days to expiration. You would notice that as expiration date gets further away, the gamma value becomes smaller. This makes stock options with longer expiration less sensitive to delta changes as the underlying stock value changes.
  • 32.
    Where d1 = Pleaserefer to Delta Calculation above S = Current value of underlying asset T = Option life as a percentage of year Vega - Introduction The Vega of an option indicates how much, theoretically at least, the price of the option will change as the volatility of the underlying asset changes. Vega is quoted to show the theoretical price change for every 1 percentage point change in implied volatility. For example, if the theoretical price is 2.5 and the Vega is showing 0.25, then if the implied volatility moves from 20% to 21% the theoretical price will increase to 2.75.
  • 33.
    Reading Vega Value:Vega is most sensitive when the option is at-the- money and tapers off either side as the market trades above/below the strike. Some option trading strategies that are particularly vega sensitive are Long Straddle (where a profit can be made when volatility increases without a move in the underlying asset) and a Short Straddle (where a profit can be made when volatility decreases without a move in the underlying asset). As you can see from the below picture of MSFT Call Option's real vega values, it reduces drastically as it goes in the money and out of the money. (next slide) Where d1 = Please refer to Delta Calculation above S = Current value of underlying asset T = Option life as a percentage of year C = Value of Call Option
  • 35.
    Theta – Introduction Thetameasures how fast the premium of a stock option decays with time. By Time Decay, we mean the depreciation of the premium value of a stock option contract. To completely understand what the premium of a stock option is, you need to understand how stock options are priced. The theta value indicates how much value a stock option's price will diminish per day with all other factors being constant. If a stock option has a theta value of -0.012, it means that it will lose 1.2 cents a day. Such a stock option contract will lose 2.4 cents over a weekend. (Yes, the effect of theta value and time decay is active even when markets are closed!) The nearer the expiration date, the higher the theta and the farther away the expiration date, the lower the theta. Some option trading strategies that are particularly theta sensitive are Calendar Call Spread and Calendar Put Spread where traders need to maintain a net positive theta in order to ensure a profit.
  • 36.
    Compare the thetavalues for MSFT Call Options with 29 days left to expiration above and the same call options with 183 days left to expiration in the picture below and you will notice that stock options with a longer expiration date has a lower theta value and therefore a lower rate of time premium decay than stock options with a shorter expiration date. Hence it is not wise to buy short term stock options with a high premium value. Notice also that theta value drops as the stock option gets further in the money and out of the money as there are very little premium value left in deep in the money and out of the money options.
  • 37.
    Characteristics of ThetaValue You might have noticed something peculiar about the theta of Out of The Money (OTM) options when comparing the two pictures above and that is, theta value for OTM options are higher with longer expiration and lower with nearer expiration. Indeed, theta behaves differently for ITM/ATM options and OTM options: ITM/ATM Options Theta Further Expiration : Low Theta Nearer Expiration : High Theta OTM Options Theta Further Expiration : High Theta Nearer Expiration : Low Theta As you can see from the below illustrations, ITM and ATM options decays fastest during the last 30 days to expiration whereas OTM options decays the least during the final 30 days, which is also due to the fact that OTM options near to expiration has too little premium value left to decay on anyways.
  • 38.
    Where... d1 = Pleaserefer to Delta Calculation above T = Option life as a percentage of year C = Value of Call Option St = Current price of underlying asset X = Strike Price Rf = Risk free rate of return N(d2) = Probability of option being in the money
  • 39.
    Options Rho –Definition Options Rho measures the sensitivity of a stock option's price to a change in interest rates. Options Rho – Introduction Options Rho is definitely the least important of the Options Greeks and have the least impact on stock options pricing. In fact, this is the options Greek that is most often ignored by options traders because interest rates rarely change dramatically and the impact of such changes affect options price quite insignificantly. Options Rho measures the estimated change in the theoretical options price with a 1% change in Interest Rate and is often fairly low. This results in the price of a call option rising only about $0.01 or $0.02 with a 1% rise in interest rate, which is very insignificant.
  • 40.
    Why Is OptionsRho Unimportant? Changes in interest rates dramatically affect the stock market and the economy. This makes it interesting to know how much the price of your options change with a change in interest rates through the Options Rho. However, changes in interest rates moves stocks more than is compensated by an increase or decrease in options price due to Options Rho. At the end of the day, Options Delta and Options Vega rule the day when interest rates changes or is expected to change soon. The impact of Options Rho could only be felt if all else remain stagnant in the face of something as important as a change in interest rates, which is nearly impossible. Even if you expect a change in interest rates and put on a position that is delta, vega, theta and gamma neutral (again, nearly impossible) in order to benefit from that $0.02 change, the transaction costs involved in such a complex hedge would have eradicated any possibility of real profits. On top of that, Options Rho is not usually needed for the calculation of any of the options trading strategies as there are currently no interest rates specific options trading strategies.
  • 41.
    OPTIONS RHO -CHARACTERISTICS Positive And Negative Polarity: Options Rho come in positive or negative polarity. Long call options produces positive Options Rho and long put options produces negative Options Rho. This means that call options rise in value and put options drop in value with a rise in interest rates. Options Rho & Time: Options Rho increases as time to expiration becomes longer. Options Rho & Options Moneyness: Options Rho is almost equal for all In The Money options and decreases for Out Of The Money Options. Typical Options Rho Value: Options Rho is usually in the 0.10 range for long expiration options and about the $0.010 range for near term options. This means that options with long expiration (LEAPS)are expected to rise by only $0.10 and near term options by only $0.01 with a 1% rise in interest rates. Both of which are fairly insignificant.
  • 42.
    Where d1 = Pleaserefer to Delta Calculation T = Option life as a percentage of year C = Value of Call Option X = Strike Price N(d2) = Probability of option being in the money Lamda of an Option: A tool which is used to compare the change in option price to a 1% change in option volatility. Mathematically, lambda is the partial derivative of the option price with respect to the option volatility. For example, if an option's price has increased 20% in response to a 10% change in volatility, then lambda is 2. The lambda of a portfolio is the rate of change of the value of the overall portfolio with respect to volatility of an underlying asset. If lambda is high, the portfolio's value is said to be very sensitive to small changes in volatility. If lambda is low, volatility changes would have relatively little impact on the value of the portfolio. Lambda is used synonymously for vega, kappa, or sigma.
  • 46.
    OPTIONS STRATEGIES Stock Optionscan be combined into options strategies with various reward/risk profiles to meet the needs of every investment situation. Here is the most complete list of every known possible options strategy in the options trading universe, literally the biggest collection of options strategies on the internet. As there are literally hundreds of possible options strategies, this list will grow over time as we cover them in detail over time. Make sure you bookmark this page and check back often! Latest Options Strategy Addition: Double Iron Butterfly Spread
  • 47.
    Basic Bullish OptionsStrategies :: Buy Call Option / Long Call Option :: Bull Call Spread Complex Bullish Options Strategies :: Bull Put Spread :: Deep ITM Bull Put Spread :: Naked Put Write / Short Put Option :: Cash Secured Put :: Writing Out Of The Money Put Options :: Ratio Bull Spread :: Short Ratio Bull Spread :: Risk Reversal (Bullish) :: Bull Butterfly Spread :: Bull Condor Spread :: Long Call Ladder Spread
  • 48.
    Basic Bearish OptionsStrategies :: Buy Put Option / Long Put Option :: Bear Put Spread Complex Bearish Options Strategies :: Bear Call Spread :: Deep ITM Bear Call Spread :: Naked Call Write / Short Call Option :: Bear Ratio Spread :: Short Ratio Bear Spread :: Risk Reversal (Bearish) :: Bear Butterfly Spread :: Long Put Ladder Spread Protective Options Strategies :: Fiduciary Calls :: Protective Puts :: Married Puts :: Protective Calls
  • 49.
    Basic Neutral OptionsStrategies :: Covered Call :: Deep In The Money Covered Call :: Collar :: Short Straddle :: Short Strip Straddle :: Short Strap Straddle :: Short Strap Strangle :: Short Strip Strangle :: Short Strangle :: Short Gut :: Calendar Call Spread :: Horizontal Calendar Call Spread :: Diagonal Calendar Call Spread :: Calendar Put Spread :: Horizontal Calendar Put Spread :: Diagonal Calendar Put Spread :: Call Time Spread :: Horizontal Call Time Spread :: Diagonal Call Time Spread :: Put Time Spread :: Horizontal Put Time Spread :: Diagonal Put Time Spread
  • 50.
    Complex Neutral OptionsStrategies :: Butterfly Spread :: Double Butterfly Spread :: Broken Wing Butterfly Spread :: Call Broken Wing Butterfly Spread :: Put Broken Wing Butterfly Spread :: Condor Spread :: Broken Wing Condor Spread :: Call Broken Wing Condor Spread :: Put Broken Wing Condor Spread :: Albatross Spread :: Iron Albatross Spread :: Iron Condor Spread :: Iron Butterfly Spread :: Covered Put :: Call Ratio Spread :: Call Diagonal Ratio Spread :: Put Ratio Spread :: Put Diagonal Ratio Spread :: Calendar Straddle :: Calendar Strangle
  • 51.
    Complex Volatile OptionsStrategies :: Short Butterfly Spread :: Short Condor Spread :: Short Albatross Spread :: Reverse Iron Butterfly Spread :: Reverse Iron Condor Spread :: ITM Iron Condor Spread :: Reverse Iron Albatross Spread :: Call Ratio Backspread :: Call Diagonal Ratio Backspread :: Put Ratio Backspread :: Put Diagonal Ratio Backspread :: Short Call Horizontal Calendar Spread :: Short Call Diagonal Calendar Spread :: Short Put Horizontal Calendar Spread :: Short Put Diagonal Calendar Spread :: Short Calendar Straddle :: Short Calendar Strangle :: Short Put Ladder Spread :: Short Call Ladder Spread
  • 52.
    Synthetic Options Strategies ::Synthetic Long Call :: Synthetic Long Put :: Synthetic Short Call :: Synthetic Short Put :: Synthetic Straddle :: Synthetic Short Straddle :: Synthetic Covered Call Options Arbitrage Strategies :: Box Spread :: Conversion & Reversal Arbitrage :: Strike Arbitrage :: Dividend Arbitrage :: Calendar Arbitrage :: Intra-market Arbitrage :: Volatility Arbitrage Stock Based Options Strategies :: Stock Replacement Strategy :: Stock Repair Strategy