1
Introduction
With the approval of the derivatives bill in union cabinet, the investors are
now in the position to trade through futures and options, which provides the investors
a greater hedging facility. Derivatives product initially emerged as hedging devices
against fluctuations in commodity prices, and commodity linked derivatives offer
organization the opportunity to break financial risks into smaller components and then
to buy and sell those components to best meet specific risk management objectives.
Financial derivatives came into spotlight in the year 1970 period due to
growing instability in the financial markets. However since their emergence, these
accounted for about two-third of totals transactions in derivatives products. In recent
years, the market for financial derivatives has grown tremendously in terms of variety
of instruments available, there complexity & also turn over. In the class of equity
derivatives, futures & options on stock indices gained more popularity than individual
stocks, especially among institutional investors, who are major users of index-linked
derivatives. Even small investors find these useful due to high correlation of popular
indices‟ with various portfolios. The ease of use and the lower costs associated with
index derivatives vis-à-vis derivatives products based on individuals securities is
another reason for their growing use. I wanted to have better understanding about
futures and options market and their trading mechanism and therefore I took up this
project.
2
NEED AND IMPORTANCE
An individual or a firm may have to face a large amount risk in the
international markets. Hence it becomes necessary to look for other sources whereby
this need can be met. Different types of derivatives have really proved to be given a
sharp focus as of late.
Different types of derivatives have come into existence to cater the needs of
variety of individuals in the global markets. A few prominent one‟s being varied
categories, different types of derivatives suitable for various trades and firms. This
study of derivatives is utmost important in recent days.
SCOPE OF THE STUDY
o The scope of the study is limited to “DERIVATIVES” with the special
reference to Indian context and the National stock exchange has been taken as a
representative sample for the study. The study includes futures and options.
o There are many organizations trading in the NSE, but my study is only for
selected organizations such as INFOSYS & DR REDDY for one month period.
o My study for both the companies traded in exchange of NSE (National Stock
Exchange Ltd).
OBJECTIVES
 To study the role of derivatives in Indian financial markets (F & O)
 To find out profit/loss of option holder/writer.
 To study the cause for fluctuations in the futures and options market.
3
RESEARCH METHODOLOGY
The methodology adopted for the study is discussions with the personnel in
Share khan ltd. and gathering information through secondary sources.
PRIMARY DATA: The primary data that has been collected through personnel
interview with various heads and individual traders in Share khan ltd.
SECONDARY DATA: The secondary data has been collected from the Share khan
value line magazine, Books and the internet.
4
DERIVATIVES
Derivatives are products whose value is derived from one or more variables
called bases. These bases can be underling asset such as foreign currency, stock or
commodity, bases or reference rates such as LIBOR or US treasury rate etc. Example,
an Indian exporter in anticipation of the ric9ipt of dollar denominated export proceeds
may wish to sell dollars at a future date to eliminate the risk of exchange rate
volatility by the data. Such transactions are called derivatives, with the spot price of
dollar being the underlying asset.
Derivatives thus have no value of their own but derive it from the asset that is
being dealt with under the derivative contract. A financial manager can hedge himself
from the risk of a loss in the price of a commodity or stock by buying a derivative
contract. Thus derivative contracts acquire their value from the spot price of the asset
that is covered by the contract.
The primary purposes of a derivative contract is to transfer “risk” from one
party to another i.e. risk in a financial sense is transfer from a party that is willing to
take it on. Here, the risk that is being dealt with is that of price risk. The transfer of
such a risk can therefore be speculative in nature or act as a hedge against price
movement in a current or anticipated physical position.
Derivatives or derivative securities are contracts which are written between
two parties (counterparties) and whose value is derived from the value of underlying
widely-held and easily marketable assets such as agricultural and other physical
(tangible) commodities or currencies or short term and long-term and long term
financial instruments or intangible things like commodities price index (inflation
rate), equity price index or bond piece index. The counterparties to such contracts are
those other than the original issuer (holder) of the underlying asset.
5
Derivatives are also known as “deferred delivery or deferred payment instruments”. In
a sense, they are similar to securitized assets, but unlike the latter, they are not the
obligations which are backed by the original issuer of the underlying asset or security.
It is easier to take a short position in derivatives than in other possible to combine
them to match specific requirements, i.e., they are more easily amenable to financial
engineering.
The values of derivatives and those of their underlying assets are closely
related. Usually, in trading derivatives, the taking or making of delivery of underlying
assets is not involved; the transactions are mostly settled by taking offsetting positions
in the derivatives themselves. There is, therefore, no effective limit on the quantity of
claims which can be traded in respect of underlying assets. Derivatives are “off
balance sheet” instruments, a fact that is said to obscure the leverage and financial
might they give to the party. They are mostly secondary market instruments and have
little usefulness in mobilizing fresh capital by the companies (warrants, convertibles
being the exceptions). Although the standardized, general, exchange-traded
derivatives are being contracts which are in vogue and which expose the users to
operational risk, counterparty risk, liquidity risk, and legal risk. There is also an
uncertainty about the regulatory status of such derivatives.
There are bewilderingly complex varieties of derivatives already in existence,
and the markets are innovating newer and newer ones continuously: plain, simple or
straightforward, composite, joint or hybrid, synthetic, leveraged, mildly leveraged,
customized or OTC-traded, standardized or organized-exchange traded. Although we
are not going to discuss all of them, the names of certain derivatives may be noted
here: futures, options, range forward and ratio range forward options, swaps, warrants,
convertible bonds, credit derivatives, captions, stations, futures options, the ratio
6
swaps, periodic floors, spread lock one and two, treasury-linked swaps, wedding
bands three and six, inverse floaters, index amortizing swaps, and so on; because of
their complexity, derivatives have become a continuing pain for the accounting person
and a true mind-bender for anyone trying to value them.
Definition
Contracts, whose values are to be derived from the asset covered by them
(such as paddy), are commonly named as “derivatives”. These are basically, financial
instruments whose value depends on the value of the other, more basic underling
variable-such as commodity, stock, currency, etc…
“A contract or an agreement for exchange of payments, whose values derives
from the value of an underling asset or underling reference rates or indices”.
A derivative is a security whose price ultimately depends on that of another
asset called underling.
“Derivatives means forward, futures or options contracts of predetermined
fixed duration, linked for the purpose of contract fulfillment to the value of specified
real or financial asset or to an index security”.
With securities Laws (second Amendment) Act, 1999, derivatives has been
included in the definition of securities. The term derivative has been defined:
In Securities Contract (Regulation) Act; as Derivatives include:
a. A security derived from a debt instrument, share, loan, whether secured or
unsecured, risk instrument or contract for differences or any other form of
security;
b. A contract which derives its value from the prices, or index of prices, of underling
securities;
The international monetary fund defines derivatives as “financial instruments
that are linked to a specific financial instrument or indicator or commodity and
through which specific financial risks can be traded in financial markets in their own
right. The value of financial derivatives derives from the price of an underling item,
7
such as asset or index. Unlike debt securities, no principle is advanced to be repaid
and no investment income accrues”.
History
Derivatives have probably existed ever since people have been trading with
another. Forward contracting dates back at list to the twelfth century and may well
have been around before then. However the development and growth of the
derivatives products has been one of the most extraordinary things to happen in the
financial markets place. In 1972, the Breton Woods agreement, the post-war pact that
instituted a fixed exchange rate regime to the world‟s major nations, effectively
collapsed, when the US suspended the dollar convertibility into the gold. This resulted
in exchange rate volatility derivative products have come quite handy. They have
established themselves as irreplaceable tools to hedge against risks in currency, stock
and commodity markets.
The history of the derivatives can be traced to the Middle Ages when formers
and traders in gains and other agriculture products used certain specific types of
futures and forwards to hedge, their risks. Essentially the former wants to ensure that
he receives a reasonable price for the grain that he would harvest (say) three to four
months later. An oversupply will hurt him badly. For the grain merchant, the opposite
is true. A fall in the agricultural production will push up the prices. It made sense
therefore for the both of them to fix a price for the future. This was now the future
market first developed in agricultural commodities such as cotton, coffee, petroleum,
Soya bean, sugar and then to financial products such as interest rates, foreign
exchange and shares. In 1995 the Chicago Board of Trade commenced trading in
derivatives.
8
For the derivatives market to develop, three kinds of participants are necessary. They
are the hedgers, the speculators and the arbitrageurs. All the three must co-exist. For a
hedging transaction to be completed three must be another person willing to take
advantage of price movements. That is speculator.
Contrary to the hedger who avoids uncertainties the speculator thrives on
them. The speculator may loss plenty of money if his forecast goes wrong but a stand
to gain enormously if he is proved corrects.
The third category of participant is the arbitrage, which looks at risk less profit
by simultaneously buying and selling the same or similar financial products in
different financial markets.
With the government of India permitting futures trading in several
commodities and with futures trading have arrived in the stock markets, index based
derivative trading has finally arrived in India. For smooth functioning of derivative
trading the government of India has commenced the process of dematerialization of
shares, short sale facility, electronic fund transfer facility and rolling settlements in
stock markets. This will hopefully bring transparency in the process of price
discovery of the derivative and also attract a board spectrum of hedgers and
speculators.
The need for a Derivatives Market
The derivatives market performs a number of economic functions:
1. They help in transferring risks from risk adverse people to risk oriented
people.
2. They help in the discovery of future as well as current prices.
3. They catalyze entrepreneurial activity.
9
4. They increase the volume traded in markets because of participation of risk
adverse people in greater numbers.
5. They increase savings and investment in the long run.
Stock options and stock futures were introduced in both the exchange in the
year 2001. Thus started trading in derivatives in India stock exchanges (both
BSE & NSE) covering index options, index futures, stock options and futures at in the
wake of the new millennium. In a short span of three years the volume traded in the
derivative market has outstripped the turnover of the cash market.
NATURE OF THE PROBLEM:
The turnover of the stock exchanges has been tremendously increasing from last 10
years. The number of trades and the number of investors, who are participating, have
increased. The investors are willing to reduce their risk, so they are seeking for the
risk management tools.
Prior to SEBI abolishing the BADLA system, the investors had this system as a
source of reducing the risk, as it has many problems like no strong margining system,
unclear expiration date and generating counter party risk. In view of this problem
SEBI abolished the BADLA system.
After the abolition of the BADLA system, the investors are seeking for a hedging
system, which could reduce their portfolio risk. SEBI thought the introduction of the
derivatives trading, as a first step it has set up a 24 member committee under the
chairmanship of Dr.L.C.Gupta to develop the appropriate regulatory framework for
derivative trading in India, SEBI accepted the recommendations of the committee on
May 11, 1998 and approved the phased introduction of the derivatives trading
beginning with stock index futures.
10
There are many investors who are willing to trade in the derivative segment, because
of its advantages like limited loss and unlimited profit by paying the small premiums.
FUNCTIONS OF DERIVATIVES MARKET:
The following are the various functions that are performed by the derivatives markets.
They are:
 Prices in an organized derivatives market reflect the perception of market
participants about the future and lead the prices of underlying to the perceived
future level.
 Derivatives market helps to transfer risks from those who have them but may not
like them to those who have an appetite for them.
 Derivative trading acts as a catalyst for new entrepreneurial activity.
 DR. L. C. GUPTA COMMITTEE RECOMMENDATIONS:
The securities and exchange board of India (SEBI) appointed with
Dr.L.C.Gupta as its chairman on 18th
November, 1996 to develop regulatory frame
work for derivatives trading in India and to suggest buy-laws for regulation and
control of trading and settlement of derivatives contracts. The committee was also to
focus on the financial derivatives and equity derivatives. The committee submitted its
report in March 1998.
The committee recommended introduction of derivatives market in a phased
manner with the introduction of index futures and SEBI appointed a group with
Prof.J.R.Varma as its chairman to recommended measures for risk containment in the
derivative market in India.
The board of SEBI in its meeting held on may 11, 1998 accepted the
recommendation and approved the introduction of derivatives trading in India
beginning with stock index futures. The board also approved the “suggestive bye-
11
laws” recommended by the L.C.Gupta committee for regulation and control of trading
and settlement of derivatives contracts. SEBI circulated the contents of the report in
June 1998.
The L.C.Gupta committee had conducted a wide market survey with contract
of several entities relevant to derivatives trading like brokers, mutual funds,
banks/FIIs, FIIs and merchant banks. The committee observation was that there is
widespread recognition of the needs for derivatives products including equity, interest
rate and currency derivatives products. However stock index future is the most
preferred product followed by stock index options. Options on individual stocks are
the third I the order of preference. The participants took interviews, mostly stated that
their objective in derivative trading would be hedging. But there were also a few
interested in derivatives dealing for speculation or dealing.
The recommendations of L.C.Gupta committee at a glance:
1. Stock index futures to be the starting point of equity derivatives.
2. SEBI to approve rules, buy-laws and regulations of the derivatives exchange level
regulations.
3. SEBI need not be involved in framing exchange level regulations.
4. SEBI should create a special derivatives cell as it involves special knowledge and
a derivatives advisory council may be created a tap outside exports for
independent advice.
5. Legal restrictions on institutions, including mutual funds, on use of derivatives
should be removed.
6. Existing stock exchanges with cash trading to be allowed to trade derivatives if
they meet prescribed eligibility conditions-importantly a separate governing
council and at least 50 members.
12
7. Two categories of members – clearing members and non clearing members, with
the later depending on the former for settlement of trades. This is to bring in more
traders.
8. Broker members, dealers and salespersons in the derivatives market must have
passed a certificate program to be registered with SEBI.
9. Co-ordination between SEBI and the RBI of financial derivatives market must
have passed a certificate program registered with the SEBI.
10. Clearing corporation to be the centre piece of the derivative market, both for
implementing the margin systems and providing trade guarantee.
11. Minimum net worth requirement of Rs.3 crore for participants, maximum
exposure limits for each broker/dealer on gross basis and capital adequacy
requirement to be prescribed.
12. Mark to market margins to be collected before next day‟s trading starts.
13. As a conservative measure, margins for derivatives purposes not to take into
account positions in cash and futures, market and across all stock exchanges.
14. Margin to be systematically collected and not left to discretion of brokers/dealers.
15. Much stricter regulation for derivatives as compared to cash trading.
16. Strengthen cash market with uniform settlement cycles among all SEs and
regulatory over weight.
17. Proper supervision of sales practices with regulation of every client with the
dealer/broker and risk disclosure as the corner stone.
13
The Important Recommendations of L.C.Gupta Committee
Need for coordinated development
To quote from the report of the committee- “the committee‟s main concerns is
with equity based derivatives but it has tried to examine the need for financial
derivatives in a broader perspective. Financial transactions and asset-liability
positions are exposed to three broad types of price risks, viz;
Equities, market risk, also called systematic risk (which can not be diversified
away because the stock market as a hole may up or down from time to time).
Interest rate risk (as in the case of fixed income securities, like treasury bond
holding, whose market price could fall heavily it interest rates shot up),and
Exchange rate risk (where the position involves a foreign currency, as in the
case of imports, exports, foreign loans or investments).
The above classification of price risk explains the emergence of
(a) equity futures, (b) interest rate futures, (c) currency futures, respectively. Equity
futures have been the last to emerge.
The recent report of the RBI appointed committee on capital account
convertibility (Tara pore Committee) has expressed the view that time is ripe for
introduction of futures in currencies and interest rates to facilitate various users to
have access to a wide spectrum of cost-efficient hedge mechanism. In the some
context, the Tara pore Committee has also opinioned that a system of trading in
futures….is more transparent and cost efficient than the existing system (of forward
contracts). Having a common trading infrastructure will have important advantages.
The committee, therefore, feels that the attempt should be to develop an integrate
market structure.
14
SEBI-RBI co-ordination mechanism
As all the three types of financial derivatives are set to emerge in India in the
near future, it is desirable that such development be coordinated. The committee
recommends that a formal mechanism be established for such coordination between
SEBI and RBI in respect of all financial derivatives markets. This will help to avoid
the problem of overlapping jurisdictions.
Derivatives exchange
The committee strongly favored the introduction financial derivatives to
facilitate hedging in most cost-efficient way against market risk. There is a need for
equity derivatives, interest rate derivative and currency derivatives; there should be
phased introduction of derivatives products. To start with, index future to be
introduced, which should be followed by options on index and later options on stocks.
The derivative trading should take place on separate segment of the existing
stock exchanges with an independent governing council where the number of trading
members should be limited to 40 percent of the total number. Trading to be based on
online screen trading with disaster recovery site. Per half hour capacity should 4-5
times the anticipated peck load. Percentage of broker-member in the council to be
prescribed by the SEBI.
The settlement of derivatives to be through an independent clearing
corporate/clearing house, which should become counter party for all trades or
alternatively guarantee the settlement of all the trades. The clearing corporation to
have adequate risk containment measures and to collect margins through EFT. The
derivative exchange to have both online trading and surveillance system. It should
disseminate trade and price information on real time basis through two information
15
vending networks. The committee recommended separate membership for derivatives
segment.
Specification regarding trading
Stock exchanges to stipulate in advance trading days and hours. Each contract
to have pre determined expiration date and time. Contract expiration period may not
exceed 12 months. The last trading day of the trading cycle to be stipulate in advance.
Membership eligibility criteria
The trading and clearing member will have stringent eligibility conditions.
The committee recommended for separate clearing and non-clearing members. There
should be separate registration with SEBI in addition to registration with stock
exchange.
Clearing corporation
The clearing system to be totally re-structured. There should be no trading
interests on board of CC. the maximum exposure limit to be liked to be deposit limit.
To make the clearing system effective the committee stressed stipulation of initial and
mark to market margins. Extent of margin prescribed to co-relate to the level of
volatility of particular .
Marked to Market settlement
There should the system of daily settlement of futures contracts. Similarly the
closing price of futures to be settled on daily basis. The final settlement price to be as
per the closing price of underlying security.
Sales practices
16
Risk disclosure document with each client mandatory.
Sales person to pass certification exam.
Specific authorization from client‟s board of directors/trustees.
Trading parameters
Each order- buy/sell and open/close
Unique order identification number
Regular market lot size, tick size
Gross exposure limits to be specified
Price bands for, each derivative contract
Maximum permissible open position
Off line order entry permitted
Brokerage
Prices on the system shall be exclusive of brokerage
Maximum brokerage rates shall be prescribed by the exchange
Brokerage to be separately indicated in the contracts note
Margins from Clients
Margins to be collected from all clients/trading members
Daily margins to be further collected
Losses if any to be charged clients/TMs and adjusted against margins
Other recommendations
Removal of regulatory prohibition on the use of derivative by mutual funds while
making the trustees responsible to restrict the use of derivatives by mutual funds
only to hedging and portfolio balancing and not for speculation.
17
Creation of derivative cell, a derivative advisory committee, and economic
research wing by SEBI.
Derivatives Market
There are two types of derivative market:
1. Exchanged based market.
2. Over the counter (OTC) markets.
Exchanged based market and clearing houses
These markets are developed, highly organized and regulated by their own
owners who are usually traders. It is the exchange with decides on the
1. Standard units – currency, size maturity to be traded and the times when trading
begin and cease each day.
2. Rules of the clearing house through which all deals are routed.
3. Margin requirements that all members have to deposit with the clearing house to
ensure that the default is unlikely.
Mechanics of the markets
Example: In S&P 500 stock index futures contracts are tied to the standard
and Poor‟s composite stock index. The futures have standard maturity and the
exchange prescribes rules for settlement of any outstanding contracts in cash on the
expiration dates. In contrast, OTC derivatives are customized to meet the specific
needs of the counterparty. A financial swap is a good example of OTC derivative.
18
An important difference between exchange traded and OTC derivative is the credit
risk. In the OTC markets, one party is exposed to the risk that his counterparty may
default on the co
Market participants in DERIVATIVES
1. Hedgers use for protecting (risk-covering) against adverse movement.
Hedging is a mechanism to reduce price risk inherent in open positions. Derivatives
are widely used for hedging. A hedge can help lock in existing profits. Its purpose is
to reduce the volatility of a portfolio, by reducing the risk.
2. Speculators to make quick fortune by anticipating/forecasting future
market movements. Speculators wish to bet on future movements in the price of an
asset. Futures and options contracts can give them an extra leverage; that is, they can
increase both the potential gains and potential losses in a speculative venture.
Speculators on the other hand arte those classes of investors who willingly take price
risks to profit from price changes in the underlying.
19
3. Arbitrageurs to earn risk-free profits by exploiting market imperfections.
Arbitrageurs profit from price differential existing in two markets by simultaneously
operating in the two different markets. Arbitrageurs are in business to take advantage
of a discrepancy between prices in two different markets.
Indian derivatives market
Indian derivatives market, through has a history of more than a century, is still
in its nascent stage vis-à-vis global derivatives market.
The first step towards development of derivatives markets in India is the
appointment of L.C.Gupta committee by SEBI to go into the question of derivatives
trading and to suggest various policy and regulatory measures that need to be
undertaken before such trading is formally allowed. We have today active derivative
markets in the segment of stock and foreign currency while trading in commodities is
in the process of stabilization. Stock market derivative have indeed picked up
momentum and the volumes under futures on individual stock have reached global
proportions. We have also well established OTC currency derivatives market. In a net
shall we may say that derivatives market in India an evolving phase.
Derivatives products
Derivatives are in fact as old as trading but their Dramatic rise in popularly
took place in the last thirty years. The breakdown of Breton woods system of fixed
exchange rates and the resulting volatility in forex markets put the derivative on a
pedestal. The key reason for their popularly has been that derivatives such as futures
and options have indeed filed a gape in the financial system. Prier to their emergence,
20
there was no mechanism for that could protect to trades, banks, etc, from price risk.
Secondly, they are highly flexible and thus have a universal applicability.
For instance, stock market index futures provide insurance against stock price risk due
to market fluctuations, while currency futures provide insurance against price risk due
to exchange rate fluctuations.
All derivatives can be classified based on the following features:
1. Nature of contracts
2. Underlying assets
3. Market mechanism
Underlying assets: Most derivatives are based on one of the following four types of
assets:
 Foreign exchange
 Interest being financial assets
 Commodities (grain, coffee, cotton, wool, etc.)
 Equities
 Precious metals (gold, silver, copper, etc.)
 Bonds of all types
Market mechanism:
 OTC products
 Exchange traded products
Role of clearing house
A clearing house is a key institution in the derivatives market. It performs two
critical functions. Offering customer‟s deals and assuring the financial integrity of the
21
transactions that take place in the exchange. The clearing house could be a part of the
exchange of a separate body coordinating with the exchange.
Trading in derivatives
Indian securities markets have indeed waited for too long for derivatives
trading to emerge. Mutual funds, FIIs, and other investors who are deprived of
hedging opportunities will now have a derivatives market to bank on. First to change
are the globally popular variety – index futures.
While derivatives markets flourished in the developed world Indian markets
remain deprived of financial derivatives to the beginning of this millennium. While
the rest of the world progressed by the leaps and the bonds on the derivatives front,
Indian market lagged behind. Having emerged in the market of the developed nations
in the 1970s, derivatives market grew from strength to strength. The trading volumes
nearly doubled in every three years making it a trillion-dollar business. They become
so ubiquitous that, now one cannot think of the existence of financial markets without
derivatives.
Two board approaches of SEBI is to integrate the securities market at the
national level, and also to diversify the trading banks, financial institutions, insurance
companies, mutual funds, primary dealers etc, choose to transact through the
exchanges.
In this context the derivatives through Indian stock exchanges permitted by SEBI in
2000 AD is real landmark.
SEBI first appointed the L.C.Gupta committee in 1998, to recommend the
regulatory frame work for derivatives recommended suggestive buy-laws for
regulation and control of trading and settlements of derivatives contracts. The board
22
of SEBI in its meeting held on May 11, 1998 accepted the recommendations of the
Dr.L.C.Gupta, committee and approved the phased introduction of derivatives trading
in India beginning with stock index futures. The board also approved the “suggestive
Bye-laws” recommended by the committee for regulation and control of trading and
settlement of derivatives contracts.
SEBI subsequently the J.R.Varma committee to recommended risk
containment measures in the Indian stock index futures market. The report was
submitted in the same year (1998) in the month of November by the said committee.
Derivatives market today:
Foreign currency options in currency pairs other than rupee were the first
options permitted by RBI.
The RBI has permitted options, interest rate swaps, currency swaps, and other
risk reduction OTC derivative products.
Beside the forward market to currencies has been a vibrant market in India for
several decades.
In addition the forward markets commission has allowed the setting up of
commodities futures exchanges. Today we have 18 commodities exchanges most of
which trade futures e.g. the Indian Paper and Spice Trader Association (IPSTA) and
the Coffee Owners Futures Exchange of India (COFEI).
The year 2000 heralded the introduction of exchange traded equity derivative
products.
23
TYPES OF DERIVATIVES
There are four most commonly traded derivative instruments: Forwards,
Futures, Options, and Swaps. Futures and options are actively traded on many
exchanges. Forward contracts and swaps and certain kind of options are mostly traded
as over the counter (OTC) products.
Derivative products initially emerged as hedging devices against fluctuations in
commodity prices, and commodity-linked derivatives remained the sole form of such
products for almost three hundred years. Financial derivatives came into spotlight in
the post-1970 period due to growing instability in the financial markets. However,
since their emergence, these products have become very popular and by 1990s, they
accounted for about two-thirds of total transactions in derivative products, in recent
years, the market for financial derives has grown tremendously in terms of variety of
instruments depending on their complexity and also turnover. In this class of equity
derivatives the world over, futures and options on stock indices have gained more
popularity than on individual stocks, especially among institutional investors, who are
major users of index-linked derivatives. Even small investors find these useful due to
DERIVATIVES
OPTIONS FUTURES SWAPS FORWARDS
PUT OPTION
CALL OPTION
COMMODITY
SECURITY
INTEREST RATE
CURRENCY
24
high correlation of the popular indices with various portfolios and ease of use. The
lower costs associated with index derivatives vis-à-vis derivative products based on
individual securities is another reason for their growing use.
The most commonly used derivatives contracts are forwards, futures and options.
Here we take a brief look at various derivatives contracts that have come to be used
CLASSIFICATION OF DERIVATIVES:
1. ETF (Exchange Traded Fund)
2. OTF ( Out Side Traded Fund)
ETF (Exchange Traded Fund):
An exchange-traded fund (or ETF) is an investment vehicle traded on stock
exchanges, much like stocks. An ETF holds assets such as stocks or bonds and trades
at approximately the same price as the net asset value of its underlying assets over the
course of the trading day.
Futures
Options
OTF (Out Side Traded Fund):
An Outside traded fund (or OTF) is an investment vehicle traded out side or at
the counter much like stocks. The net asset value of its underlying assets over
the course of the trading day may change.
Forwards
Swaps
Warrants
Leaps
Baskets
25
FORWARDS:
A forward contract is a customized contract between two entities, where
settlement takes place on a specific date in the future at today‟s pre-agreed price.
FUTURES
A futures contract is an agreement between two parties to buy or sell an asset
at a certain time in the future at a certain price. Futures contracts are special types
forward contracts in the sense that the former are standardized exchanged-traded
contracts.
OPTIONS:
Options are of two types - calls and puts. Calls give the buyer the right but not
the obligation to buy a given quantity of the underlying asset, at a given price on or
before a given future date. Puts give the buyer the right, but not the obligation to sell a
given quantity of the underlying asset at a given price on or before a given date.
WARRANTS:
Options generally have lives of up to one year; the majority of options traded
on options exchanges having a maximum maturity of nine months. Longer-dated
options are called warrants and are generally traded over-the-counter.
LEAPS:
The acronym LEAPS means Long-Term Equity Anticipation Securities. These
are options having a maturity of up to three years.
26
BASKETS:
Basket options are options on portfolios of underlying assets. The underlying
asset is usually a moving average of a basket of assets. Equity index options are a
form of basket options.
SWAPS:
Swaps are private agreements between two parties to exchange cash flows in
the future according to a prearranged formula. They can be regarded as portfolios of
forward contracts.
The two commonly used swaps are:
Interest rate swaps:
These entail swapping only the interest related cash flows between the
Parties in the same currency.
Currency swaps:
These entail swapping both principal and interest between the parties,
with the cash flows in one direction being in a different currency than those in the
opposite Direction.
SWAPTIONS:
Swaptions are options to buy or sell a swap that will become operative at the
expiry of the options. Thus a swaption is an option on a forward swap. Rather than
have
calls and puts, the swaptions market has receiver swaptions and payer swaptions.
27
REGULATORY FRAMEWORK:
The trading of derivatives is governed by the provisions contained in the SCRA,
the SEBI Act, the rules and regulations framed there under and the rules and bye-
laws of stock exchanges.
Securities contracts Regulation Act, 1956:
SCRA aims at preventing undesirable transactions in securities by regulating the
business of dealing therein and by providing for certain other matters connected
therewith. This is the principal Act, which governs the trading of securities in
India. The term “securities” has been defined in the SCRA. As per section 2(h),
the „securities‟ include:
1. Shares, scrip‟s, stocks, bonds, debentures, debenture stock or other marketable
securities of a like nature in or of any incorporated company or other body
corporate.
2. Derivative
3. Units or any other instrument issued by any collective investment scheme to
the investors in such schemes
4. Government securities
5. Such other instruments as may be declared by the Central Government to be
securities
6. Rights or interests in securities.
“Derivative” is defined to include:
 A security derived from a debt instrument, share and loan whether secured
or unsecured, risk instrument or contract for differences or any other form
of security.
28
 A contract which derives its value from the prices or index of prices, of
underlying securities.
 Section 18A provides that notwithstanding anything contained in any other
law for the time being in force, contracts in derivatives shall be legal and
valid if such contracts are:
Traded on a recognized stock exchange settled on the clearinghouse of the
recognized stock exchange, in accordance with the rules and byelaws of such
stock exchanges
Securities and exchange board of India act, 1992:
SEBI act, 1992 provides for establishment of securities and exchange board of
India (SEBI) with statutory powers for (a) protecting the interests of investors in
securities (b) Promoting the development of the securities market and (c)
regulating the securities market. Its regulatory jurisdiction extends over corporate
in the issuance of capital and transfer of securities, in addition to all intermediaries
and persons associated with securities market. SEBI has been obligated to
perform the aforesaid functions by such measures as it thinks fit.
In particular, it has powers for:
Regulating the business in stock exchanges and any other securities markets.
Registering and regulating the working of stockbrokers, sub broker etc.
Promoting and regulating self-regulatory organizations.
Prohibiting and fraudulent and unfair trade practices.
Calling information from, undertaking inspection, conducting inquiries and
audits the stock exchanges, mutual funds and other persons associated with the
securities marker and intermediaries and self-regulatory organizations in the
securities market performing such functions and exercising according the
29
securities contracts (regulation) act, 1956, as may be delegated to it by the central
government.
SEBI (stock brokers and sub-brokers) regulations, 1992:
In this we shall have a look at the regulations that apply to brokers under the SEBI
regulations.
Brokers
A broker is an intermediary who arranges to buy and sell securities on behalf of
clients (the buyer and the seller). According to Section 2(e) of the SEBI
(stockbrokers and sub-brokers) rules 1992, s Stock Broker means a member of a
recognized stock exchange.
No stockbroker is allowed to buy, sell or deal in securities, uses he or she holds a
certificate of registration granted by SEBI through a stock exchange of which he or
she is admitted as a member. SEBI may grant a certificate to a stock-broker (as per
SEBI rules, 1992) subject to the conditions that:
1. He holds the membership of any stock exchange:
2. He shall abide by the rules, regulations and byelaws of the stock exchange or
stock exchanges of which he is a member.
3. In case of any change in the status and condition, he shall contain prior
permission of SEBI to continue to buy, sell or deal in securities in any stock
exchange;
4. He shall pay the amount of fees for registration in the prescribed manner; and
5. HE shall take adequate steps for redress of grievances of the investors within
one month of the date of the complaint and keep SEBI informed about the
number, nature and other particulars of the complaints.
30
As per SEBI (stock brokers and sub-brokers) regulations, 1992, SEBI shall
take into account for considering the grant of a certificate all matters relating to
buying, selling, or dealing in securities and in particular the following, namely
whether the stockbroker-(a) is eligible to be admitted as a member of a stock
exchange; (b)has the necessary infrastructure like adequate office space, equipment
and man power to effectively discharge his activities; (c) has any past experience in
the business of buying selling or dealing in securities; (D) is subjected to disciplinary
proceedings under the rules, regulations and bye-laws of a stock exchange with
respect to his business as a stock-brokers involving either himself or any of his
partners, directors or employees.
Regulations for derivatives trading:
SEBI set up a 24-member committee under the chairmanship of Dr.L.C.Gupta to
develop the appropriate regulatory framework for derivatives trading in India. The
committee submitted its report in March 1998. On May 11, 1998 SEBI accepted the
recommendations of the committee and approved the phased introduction of
derivatives trading in India beginning with tock index futures. SEBI also approved
the “suggestive bye-laws” recommended by the committee for regulation and
“suggestive bye-laws” recommended by the committee for regulation and control of
trading and settlement of derivatives contracts.
The provisions in the SC(R) A and regulatory framework developed there
under govern trading in securities.
31
The amendment of the SC(R)A to include derivatives within the ambit of
„securities‟ in the securities in the SC(R)A made trading in derivatives
possible within the framework of that Act.
Any Exchange fulfilling the eligibility criteria as prescribed in the L.C.
Gupta committee report may apply to SEBI for grant of recognition under
section 4 of the SC(R) A, 1956 to start trading derivatives. The derivatives
exchange/segment should huge a separate governing council and
representation of trading/clearing members shall be limited to maximum of
40% of the total members of the governing council. The exchange shall
regulate the sales practice of its members and will obtain prior approval of
SEBI before start of trading in any derivative contact.
The Exchange shall have minimum 50 members.
The members of an existing segment of the exchange will not
automatically become the members of the derivative segment need to
fulfill the eligibility conditions as laid down by the L.C.Gupta committee.
The clearing and settlement of derivatives trades shall be through a SEBI
approved clearing corporation/house. Clearing corporations/houses
complying with the eligibility conditions laid down by the committee have
to apply SEBI for grant of approval.
Derivative brokers/dealers and clearing members are required to seek
registration from SEBI. This is in addition to their registration a brokers of
existing stock exchanges.
The minimum net worth for clearing members of the derivatives clearing
corporation/house shall be Rs.300 lakhs. The net worth of the member
shall be computed as follows:
32
Capital Free reserves
Less non-allowable assets viz,
(a) Fixed assets
(b) Pledged securities
(c) Member‟s card
(d) Non-allowable securities (unlisted securities)
(e) Bad deliveries
(f) Doubtful debts and advances
(g) Prepaid expenses
(h) Intangible assets
(i) 30% marketable securities
The minimum contract value shall not be less than Rs.2lakhs. Exchanges
should also submit details of the futures contract they propose to introduce.
The initial margin requirement exposure limits linked to capital adequacy
and SEBI/Exchange shall prescribe margin demands related to the risk of
loss on the position from time to time.
The L.C.Gupta committee report requires strict enforcement of “Know
you customer” rule and requires that every client shall be registered with
the derivatives broker. The members of the derivatives segment are also
required to make their clients aware of the risks involved in derivatives
trading by issuing to the client the Risk Disclosure Document and obtain a
copy of the same duly signed by the client.
The trading members are required to have qualified approved user and
sales person who have passed a certification program me approved by
SEBI.
33
REGULATION FOR CLEARING AND SETTLEMENT:
1) The L.C.Gupta committee has recommended that the clearing corporation
should interpose itself between both legs of every trade, becoming the legal
counter party to both or alternati9vely should provide an unconditional
guarantee for settlement of all trades.
2) The clearing corporation should ensure that none of the Board members has
trading interests.
3) The definition of net-worth as prescribed by SEBI needs to be incorporated in
the application/regulations of the clearing corporation
4) The regulations relating to arbitration need to be incorporated in the clearing
corporation‟s regulations.
5) The clearing corporation in its regulations must incorporate specific
provision/chapter relating to declaration of default.
6) The regulations relating to investor protection fund for the derivatives market
must be included in the clearing corporation application/regulations.
7) The clearing corporation should have the capabilities to segregate upfront
initial margins deposited by clearing members for trades on their own account
and on account of his clients. The clearing corporation shall hold the clients‟
margin money in trust for the clients‟ purposes only and should not allow its
diversion for any other purpose. This condition must be incorporated in the
clearing corporation regulations
8) The clearing member shall collect margins from his constituents
(client/trading members). He shall clear and settle deals in derivative
contracts on behalf of the constituents only on the receipt of such minimum
margin.
34
9) Exposure limits based on the value at its risk concept will be used and the
exposure limits will be continuously monitored. These shall be within the
limits prescribed by SEBI from time to time.
10) The clearing corporation must lay down a procedure for periodic review of
the new worth of its members.
11) The clearing corporation must inform SEBI how it reposes to monitor the
exposure of its members in the underlying market.
12) Any changes in the byelaws, rules or regulations, which are covered under the
“suggestive bye-laws for regulations and control of trading and settlement of
derivatives contracts”, would require prior approval of SEBI.
Product specifications BSE-30 Sensex Futures:
Contract Size -Rs.50 times the Index
Tick size – 0.1 points or Rs.5
Expiry day – last Thursday of the month
Settlement basis – cash settled
Contract cycle – 3 months
Active contracts – 3 nearest months
Product Specifications S&P CNX Nifty Futures:
Contract Size – Rs.200 times the Index
Tick Size – 0.05 points or Rs.10
Expiry day – last Thursday of the month
Settlement basis – cash settled
Contract cycle - 3 month
Active contracts – 3 nearest months
35
Membership:
Membership for the new segment in both the exchanges is not automatic
and has to be separately applied for:
Membership is currently open on both the exchanges.
All members will also have to be separately registered with SEBI before
they can be accepted.
Membership Criteria – National Stock Exchange (NSE)
Clearing Member (CM)
Net worth Rs.300 lakhs
Interest-Free Security Deposits – Rs.25 lakhs
Collateral Security Deposit – Rs.25 lakhs
In addition for every TM he wishes to clear for the CM has to deposit Rs.10 lakhs.
Trading Member (TM)
Net worth – Rs.100 lakhs
Interest-Free Security Deposit – Rs.8 lakhs
Annual Subscription fees – Rs.1 lakh
Membership Criteria – Mumbai Stock Exchange (BSE)
Clearing Member (CM)
Net worth – 300 lakhs
Interest-Free Security Deposit – Rs.25lakhs
Collateral Security Deposit – Rs.25 lakhs
Non-refundable Deposit – Rs.5 lakhs
Annual Subscription Fees – Rs.50, 000.
In addition for every TM he wishes to clear for the CM has to deposit Rs.10 lakhs
with the following break-up.
36
i. Cash – Rs.25 lakhs
ii. Cash Equivalents – Rs.25 lakhs
iii. Collateral Security Deposit – Rs.5 lakhs
Trading Member (TM)
Net worth – Rs.50 lakhs
Non-refundable deposit – Rs.3 lakhs
Annual Subscription Fees – Rs.25 thousand
The Non-refundable fee paid by the members is exclusive and will be a
total of Rs.8 lakhs if the member has both clearing and trading rights.
TRADING SYSTEMS:
NSE‟s trading system for its futures and options segment is called NEAT
F&O. It is based on the NEAT system for the cash segment.
BSE‟s trading system for its derivatives segment is called DTs. It is built
on a platform different from the BOLT system though most of the features
are common.
37
RISK MANAGEMENT by using DERIVATIVES:
Derivatives are high-risk instruments and hence the exchanges have put a lot of
measures to control this risk. The most critical aspect of risk management is the daily
monitoring of price and position and the margining of those positions.
NSE used the SPAN (Standard Portfolio Analysis of Risk). SPAN is a system that
has origins at the Chicago mercantile exchange, one of the oldest derivative
exchanges in the world.
The objective of SPAN is to monitor the positions and determine the maximum loss
that a stock can incur in a single day. This loss is covered by the exchange by
imposing mark to market margins.
SPAN evaluates risk scenarios, which are nothing but market conditions. The specific
set of market conditions evaluated, are called the risk scenarios, and these are defined
in terms of
a) How much the price of the underlying instrument is expected to change
over one trading day, and
b) How much the volatility of that underlying price is expected to change
over one trading day?
Based on the SPAN measurement, margins are imposed and risk covered. Apart from
this, the exchange will have a minimum base capital of Rs.50 lakhs and brokers need
to pay additional base capital if they need margins about the permissible limits.
38
 LOT SIZES OF CONTRACTS:
Underlying Symbol Market Lot
S&P CNX Nifty Nifty 100
CNX IT CNX IT 100
Bank Nifty BANK NIFTY 100
Derivatives on Individual Securities:
Underlying Symbol Market Lot
ABB Ltd. ABB 100
Associated cement Co. Ltd ACC 375
Allahabad Bank ALBK 2450
Alok Industries Ltd. ALOKTEXT 3350
Andhra Bank ANDHRABANK 2300
Arvind Mills Ltd. ARVINDMILL 4300
Ashok Leyland Ltd. ASHOKLEY 4775
Aurobindo pharma Ltd. AUROPHARMA 350
Bajaj Auto Ltd. BAJAJAUTO 100
Bank Of Baroda BANKBARODA 1400
Bank of India BANKINDIA 1900
Bharat Electronics Ltd. BEL 275
Bharti Tele-Ventures Ltd. BHARTI 1000
Bharat Heavy Electricals Ltd. BHEL 150
Ballarpur Industries Ltd. BILT 1900
Bongaigaon Refinery Ltd. BONGAIREFN 4500
Bharat Petroleum Corporation Ltd. BPCL 1100
Canara Bank CANBK 1600
Century Textiles Ltd. CENTURYTEX 425
CESC Ltd. CESC 550
Chambal fertilizers Ltd. CHAMBALFERT 6900
Chennai Petroleum Corp Ltd. CHENNPETRO 900
Cipla Ltd. CIPLA 1250
Colgate Palmolive (I) Ltd. COLGATE 525
Corporation Bank CORPBANK 1200
Cummins India Ltd. CUMMINSIND 950
Dabur India Ltd. DABUR 2700
Divi‟s Laboratories Ltd. DIVISLAB 250
Dr. Reddy‟s Laboratories Ltd. DRREDDY 400
Escorts India ltd. ESCORTS 2400
Essar Oil Ltd. ESSAROIL 5650
Federal Bank Ltd. FEDERALBNK 1300
39
GAIL (INDIA) Ltd. GAIL 750
Great Eastern Shipping Co.Ltd. GESHIPPING 600
GlaxoSmithKline Pharma Ltd. GLAXO 300
Gujarat Narmada Fertilizer Co. Ltd. GNFC 2950
Grasim Industries Ltd. GRASIM 175
Gujarat Ambuja Cement Ltd. GUJAMBCEM 2062
HCL Technologies Ltd HCLTCH 650
Housing Development Finance Corporation
Ltd.
HDFC 150
HDFC Bank Ltd. HDFCBANK 200
Hero Honda Motors Ltd. HEROHONDA 400
Hindalco Industries Ltd. HINDALCO 1595
Hindustan Lever Ltd. HINDLEVER 1000
Hindustan Petroleum Corporation Ltd. HINDPETRO 1300
ICICI Bank Ltd. ICICIBANK 350
I-FLEX Solutions Ltd. I-FLEX 150
Industrial Development Bank Of India Ltd. IDBI 2400
Infrastructure Development Finance Co.
Ltd.
IDFC 2950
IFCI Ltd. IFCI 7875
Indian Hotels Co.Ltd. INDHOTEL 1750
India Cements Ltd. INDIACEM 1450
Indusind Bank Ltd. INDUSINDBK 3850
Infosys Technologies Ltd. INFOSYSTCH 200
Indian Petrochemicals Corp. Ltd IPCL 1100
Indian Over Seas Bank IOB 2950
Indian Oil Corp Ltd. IOC 600
ITC Ltd. ITC 1125
IVRCL Infrastructure & Projects Ltd. IVRCLINFRA 500
J & K Bank Ltd. J&KBANK 300
Jet Airways (INDIA) Ltd. JETAIRWAYS 400
Jindal Steel & Power Ltd. JINDALSTEL 125
Jaiprakash HyDro-Power Ltd. JPHYDRO 6250
Jindal Stainless Ltd. JSTAINLESS 2000
The Karnataka Bank Ltd. KTKBANK 1250
LIC Housing Finance Ltd. LICHSGFIN 1700
MahinDra & MahinDra Ltd. M&M 625
Maharashtra Seamless Ltd. MAHSEAMLES 600
Marti Udyog Ltd. MARUTI 400
Matrix Laboratories Ltd. MATRIXLABS 1250
Mphasis BFL Ltd. MPHASISBFL 800
Mangalore Refinery and Petrochemicals
Ltd.
MRPL 8920
Mahanagar Telephone Nigam Ltd. MTNL 1600
Nagarjuna Fertilizers & Chemicals Ltd. NAGARFERT 14000
National Aluminum Co. Ltd. NATIONALUM 1150
NDTV Ltd. NDTV 1100
Neyveli Lignite Corporation Ltd. NEYVELILIG 5900
40
Nicolas Piramal India Ltd. NICOLASPIR 1045
National Thermal Power Corp. Ltd. NTPC 1625
Oil & Natural Gas Corp. Ltd. ONGC 225
Orchid Chemicals Ltd. ORCHIDCHEM 1050
Oriental Bank Of Commerce ORIENTBANK 1200
Patni Computer System Ltd. PATNI 650
Punjab National Bank PNB 600
Punjab Lloyd Ltd. PUNJLLOYD 1500
Polaris Software Lab Ltd. POLARIS 1400
Ranbaxy Laboratories Ltd. RANBAXY 800
Reliance Energy Ltd. REL 550
Reliance Capital Ltd. RELCAPITAL 550
Reliance Industries Ltd. RELIANCE 150
Satyam Computer Services Ltd. SATYAMCOMP 600
State Bank Of India SBIN 250
Shipping Corporation Of India Ltd. SCI 1600
Siemens Ltd. SIEMENS 375
SRF Ltd. SRF 1500
Strides Arcolab Ltd. STAR 850
Sterlite Industries (I) Ltd. STER 875
Sun Pharmaceuticals India Ltd. SUNPHARMA 225
Suzlon Energy Ltd. SUZLON 200
Syndicate Bank SYNDIBANK 3800
Tata Chemicals Ltd. TATACHEM 1350
Tata Consultancy Services Ltd. TCS 250
Tata Motors Ltd. TATAMOTORS 412
Tata Power Co. Ltd TATAPOWER 400
Tata Steel Ltd. TATASTEEL 675
Tata Tea Ltd. TATATEA 275
Titan Industries Ltd. TITAN 411
TVS Motor Company Ltd. TVSMOTOR 2950
Union Bank Of India UNIONBANK 2100
UTI Bank Ltd. UTIBANK 450
Vijaya Bank VIJAYABANK 6900
Videsh Sanchar Nigam Ltd. VSNL 525
Wipro Ltd. WIPRO 600
Wockhardt Ltd. WOCKPHARMA 600
LOT SIZES OF SELECTED COMPANIES FOR ANALYSIS
CODE LOT SIZE COMPANY NAME
DRREDDY
400 Dr.Reddy`s
Pharmaceuticals Ltd.
INFOSYSTCH 200
Infosys Technologies Ltd.
41
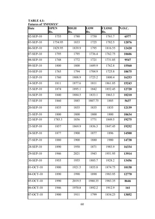
The following tables explain about the trades that took place in futures and options
between 05/05/2008 and 10/06/2008. The table has various columns, which explains
various factors involves in derivatives trading.
Date – the day on which trading took place
Closing premium – premium for the day
Open interest – No. of Options that did not get exercised
Traded quantity – No. of futures and options traded on that day
N.O.C – No. of contacts traded on that day
Closing price – the price of the futures at the end of the trading day.
42
1 REVIEW OF LITERATURE
Futures and options represent two of the most common form of derivatives.
Derivatives are financial instruments that derive their value form an underlying .The
underlying can be a stock issued by a company a currency gold etc., the derivative
instruments can be traded in dependently of the underlying asset.
- -
PRASANNACHANDRA
A “future contract is an agreement between two parties to buy or sell an asset at a
certain time in the future at a certain price”
Options are of two types CALL and PUT.
CALL option gives the buyer the right but not the obligation to buy a given quantity.
PUT option given the buyer the right but not the obligation to sell the given quantity.
-V.A AVADHNI
With options and futures, trades can construct strategies that profit in advancing
declining are even stable markets, while that the same time reducing risk and
increasing leverage, How ever before you incorporate options into your trading and
risk management decisions you should thoroughly investigate the risk, nomenclature
and strategic uses of these instruments.
-J.C VANHORN
Today options and futures contracts offer a wide and diverse range of potentially
attractive investment opportunities. Futures contracts have been traded on us
exchange, since 1865 options and futures contracts were not introduced until
1982.Futures and options provide you with a basic understanding of option on futures
contract what they are how they work and opportunities and risks involved in trading
them. -B.BANERJEE
43
The best policy for futures and options contracts on the values of which are derived
rational restrictions generally involve premature exercise and a model is developed
for valuing options and futures. Contracts in a constant interest rare setting. Another
model is developed for valuing options with stochastic interest rate with it shown that
the pricing errors resulting from ignoring the location if interest rate relative to its
long run.
-SUDHARSAN RAMASWANY KRISHNA
In the futures and options market an open contract means any contact. Future or a Put
or a Call that has not been exercised closed or expired. The daily settlement price of
future contract is calculated as half an hour weighted average options on individual
securities have intermediate settlement and final settlement.
-SUDHARSHAN REDDY
In the simplest form, both options and futures are insurance against events that may or
may not happen in the future. In their most complex forms options and futures are not
only an insurance against future events but also highly speculative and very risky
investments instruments, For their reason they should not be traded by those who have
a basic understanding of how the stock market work.
-CHANDRA BOSE
Futures and options are forms of exchange regulated forward trading in which you
enter in to a transaction today, the settlement of which is scheduled to take place at
the future date expiry of the contract the settlement data is called future contract.
-KHAN & JAIN
44
INDUSTRY PROFILE
BOMBAY STOCK EXCHANGE
This stock exchange, Mumbai, popularly known as “BSE” was established in
1875 as “The Native share and stock brokers association” as a voluntary non-profit
Making association. It has an evolved over the year into its present status as the
premiere Stock exchange in the country .it may be noted that the stock exchange the
oldest one in Asia, even older than the Tokyo stock exchange, which was founded in
1878.
The exchange, while providing an efficient and transparent market for trading in
securities, upholds the interests of the investors and insurers dressed of their
grievances, whether against the companies or its own member brokers. It also strives
to educate and enlighten the investors by making available necessary informative
inputs and conducting investor education programmers.
A governing board comprising of 9 elected directors, 2 SEBI nominees, 7
public representatives and an executive director is the apex body, which decides the
policies and regulates the affairs of the exchange.
The executive‟s directors as the chief executive officer are responsible for the
day today administration of the exchange. The average daily turnover of the exchange
during the year 2000-01(April-March) was Rs 3984.19 corers and average number of
Daily trades 5.69 lakes.
However the average daily turnover of the exchange during the year 2001-02
has declined to R s. 1244 .10 cores and number of average daily trades during the
period to 5.17 lakes.
45
The average daily turnover of the exchange during the year 2002-03 has
declined and number of average daily trades during the period is also decreased.
The Ban on all deferral products like BLESS AND ALBM in the Indian
capital markets by SEBI with effect from July 2, nd2001, abolition of account period
settlements, introduction of compulsory rolling settlements in all scripts traded on the
exchange with effect from Dec 31, 2001, etc., have adversely imprecated the liquidity
and consequently there is a considerable decline in the daily turnover of the exchange
present scenario is 110363 (laces) and number of average daily trades 1075 (laces).
BSE INDICES:
In order to enable the market participants, analysts etc., to track the various
ups and downs in the Indian stock market, the exchange has introduced in 1986 an
equity stock index called BSE- SENSEX that subsequently became the barometer of
the movements of the share prices in the Indian stock market. It is a “Market
capitalization weighted” index of 30 component stocks representing a sample of large,
well-established and leading companies. The base year of sensex is 1978-79. The
sensex is widely reported in both domestic and international markets through print as
well as electronic media.
Sensex is calculated using a market capitalization weighted method. As per this
methodology, the level of the index reflects the total market value of all 30-
component stocks from different industries related to particular base period. The total
market value of a company is determined by multiplying the price of its stocks by the
number of shares outstanding. Statisticians call an all index of a set of combined
variables (such as price and number of shares) a composite index. An indexed number
46
is used to represent the results of this calculation in order to market the value easier to
work with and track over a time. It much easier to graph a chart based on indexed
values than one based on actual values world over majority of the well-known indices
are constructed using “Market capitalization weighted method”.
In practice, the daily calculation of SENSEX is done by dividing the
aggregate market value of the 30 companies in the index by a number called the index
Divisor. The Divisor is the only link to the original base period value of the SENSEX.
The Divisor Keeps the Index comparable over a period or time and if the reference
point for the entire index maintenance adjustments. SENSEX is widely used to
describe the mood in the Indian stock markets. Base year average is changed has per
the formula new base year average =old base year average *(new market value/old
market value).
1.1.1.1.1.1 NATIONAL STOCK EXCHANGE
The NSE was incorporated in Now 1992 with an equity capital of R s 25 crs.
The international securities consultancy (ISC) of Hong Kong has helped in setting up
NSE. ISE has prepared the detailed business plans and installation of hardware and
software systems. The promotions for NSE were financial institutions, insurances
companies, banks and SEBI capital market Ltd, infrastructure leasing and financial
services ltd and stock holding corporation ltd.
It has been set up to strengthen the move towards professionalization of the
capital market as well provided nationwide securities trading facilities to investors.
NSE is not an exchange in the traditional sense where brokers own and
manage the exchange. A two tier administrative set up involving a company board
and a governing aboard of the exchange envisaged. NSE is a national market for
47
shares PSU bonds, debentures and government securities since infrastructure and
trading facilities are provided.
NSE-NIFTY:
The NSE on April 22, 1996 launched a new equity index. The NSE-50. The
new index, which replaces the existing NSE-100 index, is expected, to serve as an
appropriate index for the new segment of futures and options.” Nifty” means national
index for fifty stocks.
The NSE-50 comprises 50 companies that represent 20 broad industry groups
with an aggregate market capitalization of around R s .1 70,000 crs. All companies
included in the index have a market capitalization in excess of R s 500 crs each and
should have traded for 85% of trading days at an impact cost of less than 1.5%.
The base period for the index is the close of prices on Nov 3, 1995, which
makes one year of completion of operation of NSE„s capital market segment. The
base value of the index has been set at 1000.
NSE –MIDCAP INDEX:
The NSE madcap index or the junior nifty comprises 50 stocks that represent
21 a board industry groups and will provide proper representation of the madcap
segment of the Indian capital market. All stocks in the index should have market
capitalization of greater than R s list of 200 cores and should have traded 85% of the
trading days at an impact cost of less 2.5%.
48
The base period for the index is Nov 4, 1996, which signifies two years for
completion of operations of the capital market segment of the operations. The base
value of the Index has been set at 1000.
INDUSTRY PROFILE
HISTORY OF STOCK EXCHANGES:
The only stock exchanges operating in the 19th
century were those of
Mumbai setup in 1875 and Ahmedabad set up in 1894. These were organized as
voluntary non-profit-marking associations of brokers to regulate and protect their
interests. Before the control on securities under the constitution in 1950, it was a
state subject and the Bombay securities contracts (control) act of 1925 used to
regulate trading in securities. Under this act, the Mumbai stock exchange was
recognized in 1927 and Ahmedabad in 1937. During the war boom, a number of
stock exchanges were organized. Soon after it became a central subject, central
legislation was proposed and a committee headed by A.D.Gorwala went into the
bill for securities regulation. On the basis of the committee‟s recommendations
and public discussion, the securities contract (regulation) act became law in 1956.
FUNCTIONS OF STOCK EXCHANGES:
Stock exchanges provide liquidity to the listed companies. By giving quotations to
the listed companies, they help trading and raise funds from the market. Over the
hundred and twenty years during which the stock exchanges have existed in this
country and through their medium, the central and state government have raised
49
crores of rupees by floating public loans. Municipal corporations, trust and local
bodies have obtained from the public their financial requirements, and industry,
trade and commerce- the backbone of the country‟s economy-have secured capital
of crores of rupees through the issue of stocks, shares and debentures for financing
their day-to-day activities, organizing new ventures and completing projects of
expansion, diversification and modernization. By obtaining the listing and trading
facilities, public investment is increased and companies were able to raise more
funds. The quoted companies with wide public interest have enjoyed some
benefits and assets valuation has become easier for tax and other purposes.
VARIOUS STOCK EXCHANGES IN INDIA:
At present there are 23 stock exchanges recognized under the securities contracts
(regulation), Act, 1956. Out of these major two Stock Exchanges are:
1. NSE (National Stock Exchange)
2. BSE (Bombay Stock Exchange)
NSE (National Stock Exchange):
The National Stock Exchange of India Limited has genesis in the
report of the High Powered Study Group on Establishment of New Stock
Exchanges, which recommended promotion of a National Stock Exchange by
financial institutions (FI‟s) to provide access to investors from all across the
country on an equal footing. Based on the recommendations, NSE was promoted
50
by leading Financial Institutions at the behest of the Government of India and was
incorporated in November 1992 as a tax-paying company unlike other stock
exchanges in the country. On its recognition as a stock exchange under the
Securities Contracts (Regulation) Act, 1956 in April 1993, NSE commenced
operations in the Wholesale Debt Market (WDM) segment in June 1994. The
Capital Market (Equities) segment commenced operations in November 1994 and
operations in Derivatives segment commenced in June 2000.
NSE's mission is setting the agenda for change in the securities markets in India.
The NSE was set-up with the main objectives of:
Establishing a nation-wide trading facility for equities and debt instruments.
Ensuring equal access to investors all over the country through an
appropriated communication network.
Providing a fair, efficient and transparent securities market to investors using
electronic trading systems.
Enabling shorter settlement cycles and book entry settlement systems, and
Meeting the current international standards of securities markets.
The standards set by NSE in terms of market practices and technology, have
become industry benchmarks and are being emulated by other market participants.
NSE is more than a mere market facilitator. It's that force which is guiding the
industry towards new horizons and greater opportunities.
BSE (Bombay Stock Exchange):
The Stock Exchange, Mumbai, popularly known as "BSE" was established in
1875 as "The Native Share and Stock Brokers Association". It is the oldest one in
Asia, even older than the Tokyo Stock Exchange, which was established in 1878.
It is a voluntary non-profit making Association of Persons (AOP) and is currently
51
engaged in the process of converting itself into demutualised and corporate entity.
It has evolved over the years into its present status as the premier Stock Exchange
in the country. It is the first Stock Exchange in the Country to have obtained
permanent recognition in 1956 from the Govt. of India under the Securities
Contracts (Regulation) Act 1956.The Exchange, while providing an efficient and
transparent market for trading in securities, debt and derivatives upholds the
interests of the investors and ensures redresses of their grievances whether against
the companies or its own member-brokers. It also strives to educate and enlighten
the investors by conducting investor education programmers and making available
to them necessary informative inputs.
A Governing Board having 20 directors is the apex body, which decides the
policies and regulates the affairs of the Exchange. The Governing Board consists
of 9 elected directors, who are from the broking community (one third of them
retire ever year by rotation), three SEBI nominees, six public representatives and
an Executive Director & Chief Executive Officer and a Chief Operating Officer.
The Executive Director as the Chief Executive Officer is responsible for the day-
to-day administration of the Exchange and the Chief Operating Officer and other
Heads of Department assist him.
The Exchange has inserted new Rule No.126 A in its Rules, Byelaws pertaining to
constitution of the Executive Committee of the Exchange. Accordingly, an
Executive Committee, consisting of three elected directors, three SEBI nominees
or public representatives, Executive Director & CEO and Chief Operating Officer
has been constituted. The Committee considers judicial & quasi matters in which
the Governing Board has powers as an Appellate Authority, matters regarding
annulment of transactions, admission, continuance and suspension of member-
52
brokers, declaration of a member-broker as defaulter, norms, procedures and other
matters relating to arbitration, fees, deposits, margins and other monies payable by
the member-brokers to the Exchange, etc.
REGULATORY FRAME WORK OF STOCK EXCHANGE:
A comprehensive legal framework was provided by the “Securities
Contract Regulation Act, 1956” and “Securities Exchange Board of India 1952”.
Three tier regulatory structure comprising
 Ministry of finance
 The Securities And Exchange Board of India
 Governing body
MEMBERS OF THE STOCK EXCHANGE:
The securities contract regulation act 1956 has provided uniform
regulation for the admission of members in the stock exchanges. The
qualifications for becoming a member of a recognized stock exchange are given
below:
The minimum age prescribed for the members is 21 years.
He should be an Indian citizen.
He should be neither a bankrupt nor compound with the creditors.
He should not be convicted for fraud or dishonesty.
He should not be engaged in any other business connected with a
company.
He should not be a defaulter of any other stock exchange.
The minimum required education is a pass in 12th
standard examination
53
SECURITIES AND EXCHANGE BOARD OF INDIA (SEBI):
The securities and exchange board of India was constituted in 1988
under a resolution of government of India. It was later made statutory body by the
SEBI act 1992.according to this act, the SEBI shall constitute of a chairman and
four other members appointed by the central government.
With the coming into effect of the securities and exchange board of India act,
1992 some of the powers and functions exercised by the central government, in
respect of the regulation of stock exchange were transferred to the SEBI.
OBJECTIVES AND FUNCTIONS OF SEBI:
To protect the interest of investors in securities.
Regulating the business in stock exchanges and any other securities
market.
Registering and regulating the working of intermediaries associated with
securities market as well as working of mutual funds.
Promoting and regulating self-regulatory organizations.
Prohibiting insider trading in securities.
Regulating substantial acquisition of shares and take over of companies.
Performing such functions and exercising such powers under the
provisions of capital issues (control) act, 1947 and the securities to it by
the central government.
54
SEBI GUIDELINES TO SECONDARY MARKETS:
Board of Directors of Stock Exchange has to be reconstituted so as to include
non-members, public representatives and government representatives to the
extent of 50% of total number of members.
Capital adequacy norms have been laid down for the members of various stock
exchanges depending upon their turnover of trade and other factors.
All recognized stock exchanges will have to inform about transactions within
24 hr
55
COMPANY PROFILE
ABOUT SHAREKHAN LIMITED:
Sharekhan Limited is one of the fastest growing financial services providers with a
focus on equities, derivatives and commodities brokerage execution on the National
Stock Exchange of India Ltd. (NSE), Bombay Stock Exchange Ltd. (BSE), National
Commodity and Derivatives Exchange India (NCDEX) and Multi Commodity
Exchange of India Ltd. (MCX). Sharekhan provides trade execution services through
multiple channels - an Internet platform, telephone and retail outlets and is present in
280 cities through a network of 704 locations. The company was awarded the 2005
Most Preferred Stock Broking Brand by Awwaz Consumer Vote.
ORIGIN:
 Sharekhan traces its lineage to SSKI, an organization with more than decades
of trust and credibility in the stock market.
 Pioneers of online trading in India- Sharekhan.com was launched in 2000 and
is now the second most visited broking site in India.
 Has one of the largest networks of Share shops in the country.
SHAREHOLDING PATTERN:
SHAREHOLDERS HOLDINGS
CITI Venture Capital and other Private Equity Firm 81%
IDFC 9%
Employees 10%
56
MANAGEMENT TEAM CONSISTS OF:
NAME POST
Tarun Shah Chief Executive Officer
Mr. Pathik Gandotra Head Of Research
Mr. Rishi Kohli Vice President Of Equity Derivative
Jaideep Arora Director- Products And Technology
Shankar Vailaya Director- Operation
Share khan Limited offers blend of tradition and technology like Share shops,
dial-n-trade and online trading- where there is choice of three trading interfaces which
are speed trade for active trader, web based classic interface for investor, web based
applet- fast trade for investor. Share khan Limited was formerly known as SSKI
Investor Services Private Limited. The company is based in Mumbai, India and its
address is- A-206 Phoenix House, 2nd Floor
Senapati Bapat Marg, Lower Parel
Mumbai, 400 013. India.
Phone: 91 22 24982000
Fax: 91 22 24982626
www.sharekhan.com
ADVANCED TECHNOLOGY USED BY SHAREKHAN:
Share khan has selected Aspect® EnsemblePro™ from the Aspect Software Unified
IP Contact Center product line, a unified contact centre solution delivering advanced
multichannel contact capabilities, because it provided the best total value over other
solutions evaluated. It enabled Share khan to meet customer service needs for inbound
call handling, voice self service, predictive outbound dialing, call blending, call
57
monitoring and recording, and creating outbound marketing campaigns, among other
capabilities.
This helps them to
 Increased agent efficiency and productivity.
 Enabled company to execute proactive customer service calls and expand
services offered to customers.
 Enhanced call monitoring for improved service quality
Financial services are a highly competitive and volume-driven industry which
demands high standards of customer service, effective consultation and quick
deliverables. This is something Share khan Limited, a financial services provider
based in India, understands. The company offers several user-friendly services for
customers to manage their stock portfolios, including online capabilities linked to an
information database to help customers confidently invest, and inbound customer
services using voice self-service technology and customer service agents handling
telephone orders from clients.
With a customer base of more than 500000, and a employee of 3100 Share khan
continues to grow at a fast pace. Customer satisfaction is a top priority in Share
khan‟s agenda.
Its primary objective
 To help and support its customers in managing their portfolio in the best
possible manner through quality advice, innovative product and superior
service.
Scheme which are provided by Share khan cover almost every segment of the
customer.
58
SCHEME INVESTOR
First Step New Comer
Classic Trade Occasionally
Speed Trade Day Trader
Platinum Circle High Net Worth Individuals
COMPANY BACKGROUND:
Share khan is the retail broking arm of SSKI, securities pvt ltd. SSKI owns 56%
in share khan, balance ownership is HSBC, first caryle, and Intel pacific.
Into broking since 80 years.
Focused on providing equity solutions to every segment.
Largest ground network of 210 branded share shops in 90 cities.
STOCK MARKETS IN INDIA:
Stock exchanges are the perfect type of market for securities whether of
government and semi-govt bodies or other public bodies as also for shares and
debentures issued by the joint-stock companies. In the stock market, purchases
and sales of shares are affected in conditions of free competition. Government
securities are traded outside the trading ring in the form of over the counter sales
or purchase. The bargains that are struck in the trading ring by the members of the
stock exchanges are at the fairest prices determined by the basic laws of supply
and demand.
59
Definition of “Stock Exchange”:
“Stock Exchange means any body or individuals whether incorporated or not,
constituted for the purpose of assisting, regulating or controlling the business of
buying, selling or dealing in securities.” The securities include:
 Shares of public company.
 Government securities.
 Bonds
60
TABLE 4.1:
Futures of „INFOSYS‟
Date OPEN
Rs.
HIGH
Rs.
LOW
Rs.
CLOSE
Rs.
N.O.C.
02-SEP-10 1755 1780 1750 1761.7 6577
03-SEP-10 1754.95 1833 1725 1782.5 12076
06-SEP-10 1829.95 1839.9 1795 1816.55 12420
07-SEP-10 1795 1795 1736.4 1762.75 10606
08-SEP-10 1748 1772 1721 1731.05 9547
09-SEP-10 1800 1800 1689.9 1762.8 15560
10-SEP-10 1765 1794 1704.9 1725.8 10675
13-SEP-10 1760 1808.9 1725.2 1800.4 16253
14-SEP-10 1811 1877.6 1811 1861.85 15243
15-SEP-10 1874 1895.1 1842 1852.45 12720
16-SEP-10 1840 1884.5 1833.1 1863.3 10210
17-SEP-10 1860 1885 1807.75 1885 5637
20-SEP-10 1835 1835 1835 1835 12139
21-SEP-10 1800 1800 1800 1800 10634
22-SEP-10 1785.3 1856 1771 1849.5 19275
23-SEP-10 1857 1869.9 1836.3 1847.45 19252
24-SEP-10 1877 1900 1877 1896 14500
27-SEP-10 1880 1900 1880 1900 14738
28-SEP-10 1890 1950 1871 1983.9 16334
29-SEP-10 1946 2021 1943 1951.95 13914
30-SEP-10 1955 1955 1885.7 1928.2 13456
01-OCT-10 1900 1921.5 1855.8 1874.75 10158
04-OCT-10 1890 1990 1890 1983.95 12770
05-OCT-10 1990 2019.5 1980.35 1983.35 8646
06-OCT-10 1946 1970.8 1892.2 1912.9 161
07-OCT-10 1900 1911 1799 1854.25 13052
61
GRAPH 4.1:
INTERPRETATION:
The closing price of Infosys at the end of the contract price is
1854.25 and this is considered as settlement price and the No of contracts of Infosys is
13052 and there is a fluctuation in the price of the Infosys. At the end of the date the
price is high at 1911 and price is low at 1799.
0%
20%
40%
60%
80%
100%
6-Sep-10
9-Sep-10
14-Sep-10
17-Sep-10
22-Sep-10
27-Sep-10
30-Sep-10
N.O.C.
CLOSE
LOW
HIGH
OPEN
62
TABLE 4.2:
Futures of „Dr.REDDY‟
Date OPEN
Rs.
HIGH
Rs.
LOW
Rs.
CLOSE
Rs.
N.O.C.
02-SEP-10 625 639 625 637.1 364
03-SEP-10 638.9 653.95 637.05 648.05 553
06-SEP-10 644 651.4 635.45 648 335
07-SEP-10 649 657.7 636.2 655.7 558
08-SEP-10 649 649 628.5 631.5 498
09-SEP-10 628 638.8 620 635.25 3669
10-SEP-10 626 636.4 620.3 624.15 455
13-SEP-10 620 679 620 672.45 1472
14-SEP-10 655.1 655.1 651.1 651.1 1260
15-SEP-10 653 664.8 648.5 652.8 758
16-SEP-10 644 656.4 633.5 641.75 1590
17-SEP-10 630 665 630 657.6 1328
20-SEP-10 643 689.5 642.5 681.95 2742
21-SEP-10 679.4 694 669 677.5 2275
22-SEP-10 675.95 705.8 675.95 682.5 1150
23-SEP-10 685 692.9 677.5 686.9 2264
24-SEP-10 688.2 691 675.5 683.63 1599
27-SEP-10 685.5 703.9 674.85 679.75 1911
28-SEP-10 697 697 697 6967 1956
29-SEP-10 714.4 724.45 697.05 713.6 1763
30-SEP-10 705.5 715.45 683.25 697.3 1395
01-OCT-10 692.2 710 664 669.83 984
04-OCT-10 674.9 707.3 672 699.20 1324
05-OCT-10 701.1 707.8 689.1 693.4 744
06-OCT-10 670 711 670 690.05 1342
07-OCT-10 695 695 695 695 1249
63
GRAPH 4.2:
INTERPRETATION
The closing price of Dr.Reddy at the end of the contract price is
695 and this is considered as settlement price and the No of contracts of Dr.Reddy is
1249 and there is a fluctuation in the price of the Infosys. At the end of the date the
price is high at 695 and price is low at 695.
0%
20%
40%
60%
80%
100%
6-Sep-10
9-Sep-10
14-Sep-10
17-Sep-10
22-Sep-10
27-Sep-10
30-Sep-10
5-Oct-10
N.O.C.
CLOSE
LOW
HIGH
OPEN
64
TABLE 4.3:
PUT OPTIONS OF “INFOSYS”
Options PA 1650 PA 1680 PA 1740 PA 1770 PA 1800
Date C.P N.C C.P N.C C.P N.C C.P N.C C.P N.C
02-SEP-10 26.35 23 38.2 2 57 15 75 1 99 1
03-SEP-10 24.35 30 31.55 14 46.65 31 79 1 58.65 4
06-SEP-10 18 37 20.55 5 31.5 151 79 0 61.9 70
07-SEP-10 20 32 25.5 4 51 133 30 1 82.1 72
08-SEP-10 26 29 36.9 2 63.3 34 30 0 103 8
09-SEP-10 20.55 40 36.1 10 40.85 45 62 4 115 1
10-SEP-10 29.95 28 32 11 61.65 41 84.7 3 110 127
13-SEP-10 12.25 49 15.8 4 22.45 39 40.05 2 52 93
14-SEP-10 5.95 30 8.5 12 14.45 163 19.95 14 29 329
15-SEP-10 6 1 5.05 2 9.05 21 16 6 25.6 119
16-SEP-10 3.5 4 4 3 6.35 10 10.1 1 18.4 69
17-SEP-10 2.8 3 4 0 6.7 14 10.1 0 14.2 50
20-SEP-10 2.5 3 4 0 8.45 28 10.1 0 19.7 69
21-SEP-10 2.2 2 2.5 1 8.5 23 29 9 25.35 138
22-SEP-10 1.5 12 2 1 4.0 15 6 11 19.9 36
23-SEP-10 1.1 4 1.1 6 1.55 19 5.79 3 9.35 44
24-SEP-10 1.1 0 1.1 0 0.65 10 5.75 0 1.1 41
27-SEP-10 0.25 6 0.3 4 0.2 7 0.25 1 0.2 35
28-SEP-10 203.9 0 221.4 0 223.5 0 13 1 26.85 46
29-SEP-10 14 1 221.4 0 223.5 0 20 56 20.25 100
30-SEP-10 14 0 221.4 0 223.5 0 20.6 8 24.75 48
01-OCT-10 14 0 221.4 0 223.5 0 26 7 38.4 43
04-OCT-10 14 0 221.4 0 223.5 0 19.35 355 20.45 77
05-OCT-10 14 0 221.4 0 223.5 0 18 90 18.25 26
06-OCT-10 14 0 221.4 0 223.5 0 21.6 22 25.16 176
07-OCT-10 14 0 125.03 0 221.4 0 244.4 0 262 0
65
GRAPH 4.3:
Put Option:
Buyers pay off
Those who have purchased put option at a strike price of 1650, the premium payable
is 26.55
On the expiry date the spot market price enclosed at 1785.95 and strike price is 1650
.so the buyer will lose only premium .
(Premium is 26.55 and lot size is (828*26.55)21990
I.e. total loss =21990
seller pay off
As seller is entitled only for premium if he is in profit
So his profit is only premium
I.e. 828*26.55=21990
0%
20%
40%
60%
80%
100%
9/2/2010
9/9/2010
9/16/2010
9/23/2010
9/30/2010
10/7/2010
CA 1770 N.C
CA 1770 C.P
CA 1740 N.C
CA 1710 N.C
CA 1710 C.P
CA 1680 N.C
CA 1680 C.P
CA 1650 N.C
CA 1650 C.P
66
TABLE 4.4:
CALL OPTIONS OF “INFOSYS”
Options CA 1650 CA 1680 CA 1710 CA 1740 CA 1770
Date C.P N.C C.P N.C C.P N.C C.P N.C C.P N.C
02-SEP-10 144.5 10 122.3 10 97 19 71.9 9 56.25 12
03-SEP-10 179 1 149 13 122.15 20 104.65 68 83.55 25
06-SEP-10 198.5 10 163.5 14 141.25 1 114 84 95 10
07-SEP-10 1985 0 124 12 100 1 81.85 53 81.85 531
08-SEP-10 198.5 0 87 2 87 3 62.2 34 48.2 17
09-SEP-10 149 8 125 6 110 4 75.95 248 63.4 64
10-SEP-10 110.05 4 100 1 72.35 5 56.7 38 43.5 27
13-SEP-10 110.5 0 148 1 137 3 98.75 69 77 53
14-SEP-10 110.5 0 211.95 14 185.2 25 153.85 117 123 36
15-SEP-10 110.5 0 211.95 0 171.2 1 133 10 110 9
16-SEP-10 110.5 0 211.95 0 171.2 0 169.95 2 150 4
17-SEP-10 110.5 0 211.95 0 180 1 139.9 2 119.95 1
20-SEP-10 - - 160.1 3 139.9 0 104.1 5 67.5 26
21-SEP-10 - - - - 120.5 6 85 9 67.45 15
22-SEP-10 - - - - 175 13 145.35 21 115.85 16
23-SEP-10 110.05 0 190 0 170.7 12 141.6 52 112.5 2
24-SEP-10 - - 229.5 2 199.8 29 172.15 25 145 3
27-SEP-10 110.05 0 229.5 0 199.8 0 172.15 0 145 0
28-SEP-10 264.05 0 249.9 0 236.55 0 233.4 0 211.05 0
29-SEP-10 301 0 168.55 0 461.1 0 169.65 0 160.45 0
30-SEP-10 301 0 168.55 0 461.1 0 169.65 0 160.45 0
01-OCT-10 301 0 168.55 0 461.1 0 169.65 0 160.45 0
04-OCT-10 301 0 168.55 0 160 1 169.65 0 160.45 0
05-OCT-10 307 0 168.55 0 160 0 169.65 0 160.45 0
06-OCT-10 307 0 168.55 0 160 0 169.65 0 160.45 0
07-OCT-10 307 0 168.55 0 160 0 169.65 0 160.45 0
67
 C.P. = Close Premium
 N.C. = Number of Contracts
GRAPH 4.4:
The following table of net payoffs explains the profit/loss of option
Holder/writer of INFOSYSTCH for the month of 2nd
Sep to 07-Oct, 2010.
Call option
Buyers pay off:
as bought one lot of Infosys i.e. 828,those who buy for 1650 paid 144.55
premium per share.
Market price is 1785.95
Formula
Pay off =spot price –strike price
=1785.95-1650
=135.95
Interpretation:-
The buyer will get loss but the seller will get profit i.e. strike price less than
the spot price and the premium is 144.55
0%
20%
40%
60%
80%
100%
9/2/2010
9/9/2010
9/16/2010
9/23/2010
9/30/2010
10/7/2010
CA 1770 N.C
CA 1770 C.P
CA 1740 N.C
CA 1710 N.C
CA 1710 C.P
CA 1680 N.C
CA 1680 C.P
CA 1650 N.C
CA 1650 C.P
68
Profit/Loss Position of Put Option Buyers/ Writers of INFOSYS
Spot
Price
Strike
Price
Premiu
m
Buyers(Gain/Los
s)
Writers
(Gain/Loss)
1785.95 1650 26.55 -21990 21990
1785.95 1680 38.32 -13550 13550
1785.95 1740 57 2210 -2210
1785.95 1770 75 -11810
1785.95 1800 99 2810 -2810
69
Profit/Loss Position of Call Option Buyers/ Writers of INFOSYS
Spot
Price
Strike
Price
Premiu
m
Buyers(Gain/Los
s)
Writers
(Gain/Loss)
1785.95 1650 144.55 -1720 1720
1785.95 1680 123.5 -3470 3470
1785.95 1740 97 -10210 10210
1785.95 1770 71.9 -11190 11190
1785.95 1800 56.5 1440 -1440
70
Put options of “DR.REDDY`S”
Options PA 560 PA 580 PA 600 PA 620 PA 640
Date C.P N.C C.P N.C C.P N.C C.P N.C C.P N.C
02-SEP-10 47.05 12 57 2 67.95 11 79.9 0 92.75 0
03-SEP-10 35.25 91 57 5 54.5 16 65.8 0 78.15 0
06-SEP-10 37.05 15 57 0 67.95 52 79.0 0 92.75 1
07-SEP-10 47.05 31 57 1 67.95 51 79.0 0 92.75 0
08-SEP-10 47.05 95 57 0 67.95 0 79.9 0 92.75 5
09-SEP-10 47.05 0 44.3 1 54.5 0 65.8 0 78.15 3
10-SEP-10 35.25 0 44.3 0 54.5 0 65.8 0 78.15 0
13-SEP-10 35.25 0 44.3 0 54.5 1 65.8 0 78.15 0
14-SEP-10 35.25 0 44.3 0 54.5 0 65.8 0 78.15 0
15-SEP-10 35.25 0 44.3 0 54.5 0 65.8 0 78.15 0
16-SEP-10 35.25 0 44.3 0 54.5 0 65.8 0 78.15 0
71
GRAPH 4.5:
Put Option:
Buyers pay off
Those who have purchased put option at a strike price of 560, the premium payable is
47.02
On the expiry date the spot market price enclosed at 638.95 and strike price is 560 .so
the buyer will lose only premium.
(Premium is 47.02 and lot size is (270*47.02) 12772
I.e. total loss =12772
seller pay off
As seller is entitled only for premium if he is in profit
So his profit is only premium
I.e. 270*47.02=12772
0%
20%
40%
60%
80%
100%
9/2/2010
9/4/2010
9/6/2010
9/8/2010
9/10/2010
9/12/2010
9/14/2010
9/16/2010
PA 640 N.C
PA 640 C.P
PA 620 N.C
PA 620 C.P
PA 600 N.C
PA 600 C.P
PA 580 N.C
PA 580 C.P
PA 560 N.C
PA 560 C.P
72
Profit/Loss Position Of Put Option Buyers/Writers ofz DR.REDDY
Spot
Price
Strike
Price
Premiu
m
Buyers(Gain/Los
s)
Writers
(Gain/Loss)
638.95 560 47.02 -12772 12772
638.95 580 57 -780 780
638.95 600 67.95 11600 -11600
638.95 620 79.9 24380 -24380
638.95 640 92.75 36680 -36680
73
TABLE 4.6:
Call options of “Dr.Reddy`s”
Options CA 560 CA 580 CA 600 CA 620 CA 640
Date C.P N.C C.P N.C C.P N.C C.P N.C C.P N.C
02-SEP-10 72.2 1 61.7 4 52.4 6 44.2 7 37.05 0
03-SEP-10 85.95 0 73.2 3 61.7 11 51.6 11 42.7 0
06-SEP-10 72.2 0 74.8 1 111.4 1 44.2 14 88.45 0
07-SEP-10 72.2 0 60.2 0 61.75 36 100.4 0 51.6 1
08-SEP-10 84.3 5 61.7 0 52.4 0 51.6 0 42.7 3
09-SEP-10 70.2 1 61.7 1 52.4 0 44.2 13 37.05 0
10-SEP-10 72.3 1 73.8 5 52.4 1 44.2 0 37.05 1
13-SEP-10 72.2 0 72.2 0 61.7 0 44.2 0 88.45 0
14-SEP-10 72.2 0 72.2 0 61.75 1 44.2 0 42.7 0
15-SEP-10 72.2 0 72.2 0 61.75 0 44.2 0 42.7 0
16-SEP-10 72.2 0 61.7 0 111.4 0 44.2 0 42.7 0
 C.P. = Close Premium
 N.C. = Number of Contracts
The following table of net payoffs explains the profit/loss of
option holder/writer of DRREDDY for the month of 02-Sep to .
07-Oct, 2010.
74
GRAPH 4.6:
Call option
Buyers pay off‟s
The lot of Dr.Reddy‟s i.e. 270, those who buy for s560 paid 72.2 premiums
pershare. Market price is 638.95
Formula
Pay off =spot price –strike price
=638.95-560
=78.95
Interpretation:-
The buyer will get loss but the seller will get profit i.e. strike price less than
the spot price and the premium is 72.2
0%
20%
40%
60%
80%
100%
9/2/20109/4/20109/6/20109/8/20109/10/20109/12/20109/14/20109/16/2010
N.C
C.P
N.C
C.P
N.C
C.P
N.C
C.P
N.C
C.P
75
Profit/Loss Position Of Call Option Buyers/Writers Of DR.REDDY’S
Spot
Price
Strike
Price
Premiu
m
Buyers(Gain/Los
s)
Writers
(Gain/Loss)
638.95 560 72.2 2700 -2700
638.95 580 61.7 -5300 5300
638.95 600 54.4 -6180 6180
638.95 620 44.2 -10100 10100
638.95 640 37.05 -14820 14820
76
FINDINGS:-
• As of the early day of the trading with open penetrating price with Rs.1755 for
two days it is stable on the third day it shoot up to Rs.1829.95 & buyers are Bearish
short it out it falls to Rs.1748 after two days. And as stood with Rs.1800 & again
down by two days. For the early week it was raised in one day and falls for two days
and from then it shown appositive upwards movement in future and by the month end
it was settle down with Rs.1900.
• The future of INFOSYS shown a Bullish way till the 7th
of May. And in the 6th
June it was Rs.1990; the highest price with number of contracts is 8646. And on 26th
May the players are bullish & numbers of contracts were 19275 as highest contract
with an open price Rs.1785.36 in that month.
From 5th
to 9th
market increases open with 625 on 5th
May. The market price
rose from Rs.625 on first day to 9th
May, were it stood at Rs.649 as high. As the
player in the market with an intention to short or correct the market they showed an
bearish attitude for the next 3 days, were the price fall to Rs.620. And the very next
day it shoot up to Rs.655.10 & it slowly fall down for the next 3 days from then it
showed the greedy to the investors and price rose to remaining days and at last fall
down with Slight variations
Among the open prices the price at Rs.643, the open interest stood at peak
position 9, 12,800. Before that from the open position & the trading is bullish & after
it reaches to 9, 12,800. The very next day, the players sold the Futures as to gain. The
total contract traded at this price stood 2742 which is highest for that month
77
The Put option 1740, 1770 and 1800 were in-the-money option and the
remaining i.e., 1650, 1680 was out-of-the-money.
The call option 1650, 1680, 1740 & 1770 were out-of-the-money only 1800
were in-the-money.
The Profit of Holder = (Strike Price - Spot Price) - Premium *200
(Lot size) incase of Put Option.
The Profit of Holder = (Spot Price - Strike Price) - Premium * 200
(Lot size) incase of Call Option.
If it is a profit for buyer then obviously it is a loss for the holder & Vice-versa.
She Put option 600, 620, and 640 were in-the-money option and the remaining
i.e., 560, and 580 were out-of-the-money.
The call option 560 was out-of-the-money and only 580, 600, 620 and 640
were in-the-money.
The Profit of Holder = (Strike Price-Spot Price)- Premium * 400(Lot size)
incase of Put Option.
The Profit of Holder = (Spot Price-Strike Price)-Premium * 400(Lot size)
incase of Call Option.
If it is a profit for buyer then obviously it is a loss for the holder & Vice-versa.
78
SUGGESTIONS
It is better to the investors to keep their money in Infosys futures.
In a bearish market it is suggested to an investor to opt for Put Option in order to
minimize losses.
In a bullish market it is suggested to an investor to opt for Call Option in order to
maximize profits.
In a cash market the profit/loss is limited but where in futures and options an
investor can enjoy unlimited profit/loss.
It is recommended that SEBI should take measures in improving awareness about
the futures and options market as investors still don‟t have much understanding
about them.
It is suggested to an investor to keep in mind the time and expiry duration of
futures and options contracts before trading. The lengthy the time, the risk is low
and more chances of profit making.
79
LIMITATIONS OF THE STUDY
 The study is confined to only one month trading contract
 The study does not look any Nifty Index Futures and Options and international
markets into the consideration.
 This is a study conducted within a period of 45 days.
 The study contains some assumption based on the demands of the .
Analysis‟s
80
CONCLUSION
They would have taken more number of futures of Infosys in that
month, so that they will be in profits. Investors should choose Infosys rather
than Dr.Reddy`s. The investors in the Infosys options would have choose
more number of lots in the put option. Dr.Reddy`s options of call is more
profitable than the put option. The traders would have taken more number or
lots.
The investors who are investing in the derivative market in futures and
options should choose the blue chip companies whose companies past 3
quarters are in gradually increasing trend. The greed and fear of individual
leads to cause of fluctuations in the stock market sometimes the external
factors of economical and political mishaps.
81
BIBLIOGRAPHY
Text Books:-
1. “Securities analysis & Portfolio Management”, by R. Madhumati, Pearson
Education
2. “Investments”, by Schaum‟s, TATA McGraw-Hill.
3. “International Financial Management”, by P.G.Apte, TATA McGraw-Hill.
4. “Financial Institutions and Markets”, by L.M.Bhole, TATA McGraw-Hill.
5. “Options, Futures and Other Derivatives”, by John C. hull, Education.
Web sites:
1. URL: http//www.nseindia.com
2. URL: http//www.bseindia.com
3. URL: http//www.economictimes.com
4. URL: http//www.sharekhan.com
5. URL: http//www.google.com
82
APPENDICES
Arbitrage – The simultaneous purchase and sale of a commodity or financial
instrument in different markets to take advantage of a price or exchange rate
discrepancy.
Calendar Spread – An option strategy in which a short term option is sold and a
longer term option is bought both having the same striking price. Either puts or calls
may be used.
Call Option – An option that gives the buyer right to buy a future contract at a
premium, at the strike price.
Currency Swap – A Swap in which the counter parties exchange equal amounts
of two currencies at the spot exchange rate.
Derivative – A derivative is an instrument whose value derived from the value of one
or more underlying assets, which can be commodities, precious metals, currency,
bonds, stocks, stock indices, etc. derivatives involves the trading of rights or
obligations based on the underlying assets, but do not directly transfer the property.
Double Option – An option that gives the buyer the right to buy and or sell a
Future contract, at a premium, at a strike price.
Futures Contract –A legally binding agreement for the purpose and a sell of a
commodity, index or financial instrument some time in the future.
Hedge Fund – A large pool of private money and asset managed aggressively and
often riskily on any future exchange, mostly for short term gain.
In-the-money option – An option with intrinsic value, a Call option is in the money
if its strike price is below the current price of the underlying futures contract and the
put option is in the money if it is above the underlying.
83
Margin call – A demand from a clearing house to a clearing member or from a broker
to a customer bring deposits up to a required minimum level to guarantee
performance at ruling prices.
Option – it gives the buyer the right, but not the obligation, to buy or sell stock at a
set. price on or before a given date. Investors who purchase call options but the stock
will be worth more than the price set by the option (strike price), plus the price they
paid for the option itself. Buyer of put option bet the stock price will go down below
the price set by the option.
Out-of-the-money option – An option with no intrinsic value, a call option is out of
money if its strike price is above the underlying and a put option is so if it is below
the underlying.
Premium – The price of an option contract, determined on the exchange, which the
buyer of the option pays to the option writer for the rights to the option contract.
Spread – The difference between the bid and asked prices in any market.
Stop loss orders – An order place in the market to buy or sell to close out an open
position on order to limit losses when market moves the wrong way.
Swap – An agreement to exchange on currency on index return for another, the
exchange on fixed interest payments for a floating rates payments or the exchange of
an equity index return for a floating interest rate.
Underlying – The currency, commodity, security or any other instrument that
forms the basis of a future or a option contract.
Writer – The person who originates the option contract by promising to perform the
certain obligation in return for the price of the option. Also known as the option
writer.
84
All or noting option – An option with a fixed, predetermined payoff if the underlying
instrument is at or beyond the strike price at expiration.
Average option – A path dependent option that calculates the average of the path
traversed by the asset, arithmetic or weighted. The payoff therefore the difference
between the average price of the underlying asset, over the life of option and the
exercise price of the option.
Basket option – A third party option covered warrant on a basket of underlying
stocks, currencies or commodities.
Bermuda option – Like the location of the Bermudas, this option located somewhere
between a European style options, this can be exercised only maturity and an
American style option which can be exercised any time.
Option holders choose – this option can be exercisable only on predetermined
dates.
Compound options – This is simply an option on an existing option such as a call on
a call a put on a put etc, a call on a put etc.
Cross-currency options – An out performance option stock at an exchange rate
between two currencies.
Digital options – These are options that can be structured as a “one touch” barrier,
“double no touch” barrier and: all nothing “call/puts”. The “one touch” digital
provides an immediate payoff if the currency hits your selected price barrier chosen at
outset. The “double no touch” provides a payoff upon expiration if the currency does
not touch both the upper and lower price. barrier selected at the outset. The call/put
“all or nothing” digital option provides a payoff upon expiration if your option
finishes in the money.
85
Knock-in-options – There are two kinds of known in options, 1) up and in, 2) down
and. in. with known in options, the buyer starts out without a vanilla option. If the
buyer has selected an upper price barrier and the currency hits that level; it creates the
vanilla option with maturity date And strike price agreed upon at the outset. This
would be called an up and in. the down and in option is the same as the up and in,
expect the currency has to reach a lower barrier. Upon hitting the chosen lower price
level, it creates the vanilla option.
Multi-index option – An out performance option with a payoff determined by the
deference in performance of two or more indices.
Out performance option – An option with a payoff based on the amount by which
one of two underlying instruments or indices outperform the other.
Quantity adjusting option – This is an option design to eliminate the currency risk
by fix effectively hedging it. It evolves combining an equity option and incorporating
a predetermined rate.
Secondary currency option – An option with a payoff in a difference currency than
the underling‟s trading currency.
Swaption – An option to enter into a Swap contract.
Up-and-out-option – The call pays of early exercise price trigger is hit. The put
expires. Worthless if the market price of the underlying risks is above a predetermined
expiration price.

Financial Derivatives

  • 1.
    1 Introduction With the approvalof the derivatives bill in union cabinet, the investors are now in the position to trade through futures and options, which provides the investors a greater hedging facility. Derivatives product initially emerged as hedging devices against fluctuations in commodity prices, and commodity linked derivatives offer organization the opportunity to break financial risks into smaller components and then to buy and sell those components to best meet specific risk management objectives. Financial derivatives came into spotlight in the year 1970 period due to growing instability in the financial markets. However since their emergence, these accounted for about two-third of totals transactions in derivatives products. In recent years, the market for financial derivatives has grown tremendously in terms of variety of instruments available, there complexity & also turn over. In the class of equity derivatives, futures & options on stock indices gained more popularity than individual stocks, especially among institutional investors, who are major users of index-linked derivatives. Even small investors find these useful due to high correlation of popular indices‟ with various portfolios. The ease of use and the lower costs associated with index derivatives vis-à-vis derivatives products based on individuals securities is another reason for their growing use. I wanted to have better understanding about futures and options market and their trading mechanism and therefore I took up this project.
  • 2.
    2 NEED AND IMPORTANCE Anindividual or a firm may have to face a large amount risk in the international markets. Hence it becomes necessary to look for other sources whereby this need can be met. Different types of derivatives have really proved to be given a sharp focus as of late. Different types of derivatives have come into existence to cater the needs of variety of individuals in the global markets. A few prominent one‟s being varied categories, different types of derivatives suitable for various trades and firms. This study of derivatives is utmost important in recent days. SCOPE OF THE STUDY o The scope of the study is limited to “DERIVATIVES” with the special reference to Indian context and the National stock exchange has been taken as a representative sample for the study. The study includes futures and options. o There are many organizations trading in the NSE, but my study is only for selected organizations such as INFOSYS & DR REDDY for one month period. o My study for both the companies traded in exchange of NSE (National Stock Exchange Ltd). OBJECTIVES  To study the role of derivatives in Indian financial markets (F & O)  To find out profit/loss of option holder/writer.  To study the cause for fluctuations in the futures and options market.
  • 3.
    3 RESEARCH METHODOLOGY The methodologyadopted for the study is discussions with the personnel in Share khan ltd. and gathering information through secondary sources. PRIMARY DATA: The primary data that has been collected through personnel interview with various heads and individual traders in Share khan ltd. SECONDARY DATA: The secondary data has been collected from the Share khan value line magazine, Books and the internet.
  • 4.
    4 DERIVATIVES Derivatives are productswhose value is derived from one or more variables called bases. These bases can be underling asset such as foreign currency, stock or commodity, bases or reference rates such as LIBOR or US treasury rate etc. Example, an Indian exporter in anticipation of the ric9ipt of dollar denominated export proceeds may wish to sell dollars at a future date to eliminate the risk of exchange rate volatility by the data. Such transactions are called derivatives, with the spot price of dollar being the underlying asset. Derivatives thus have no value of their own but derive it from the asset that is being dealt with under the derivative contract. A financial manager can hedge himself from the risk of a loss in the price of a commodity or stock by buying a derivative contract. Thus derivative contracts acquire their value from the spot price of the asset that is covered by the contract. The primary purposes of a derivative contract is to transfer “risk” from one party to another i.e. risk in a financial sense is transfer from a party that is willing to take it on. Here, the risk that is being dealt with is that of price risk. The transfer of such a risk can therefore be speculative in nature or act as a hedge against price movement in a current or anticipated physical position. Derivatives or derivative securities are contracts which are written between two parties (counterparties) and whose value is derived from the value of underlying widely-held and easily marketable assets such as agricultural and other physical (tangible) commodities or currencies or short term and long-term and long term financial instruments or intangible things like commodities price index (inflation rate), equity price index or bond piece index. The counterparties to such contracts are those other than the original issuer (holder) of the underlying asset.
  • 5.
    5 Derivatives are alsoknown as “deferred delivery or deferred payment instruments”. In a sense, they are similar to securitized assets, but unlike the latter, they are not the obligations which are backed by the original issuer of the underlying asset or security. It is easier to take a short position in derivatives than in other possible to combine them to match specific requirements, i.e., they are more easily amenable to financial engineering. The values of derivatives and those of their underlying assets are closely related. Usually, in trading derivatives, the taking or making of delivery of underlying assets is not involved; the transactions are mostly settled by taking offsetting positions in the derivatives themselves. There is, therefore, no effective limit on the quantity of claims which can be traded in respect of underlying assets. Derivatives are “off balance sheet” instruments, a fact that is said to obscure the leverage and financial might they give to the party. They are mostly secondary market instruments and have little usefulness in mobilizing fresh capital by the companies (warrants, convertibles being the exceptions). Although the standardized, general, exchange-traded derivatives are being contracts which are in vogue and which expose the users to operational risk, counterparty risk, liquidity risk, and legal risk. There is also an uncertainty about the regulatory status of such derivatives. There are bewilderingly complex varieties of derivatives already in existence, and the markets are innovating newer and newer ones continuously: plain, simple or straightforward, composite, joint or hybrid, synthetic, leveraged, mildly leveraged, customized or OTC-traded, standardized or organized-exchange traded. Although we are not going to discuss all of them, the names of certain derivatives may be noted here: futures, options, range forward and ratio range forward options, swaps, warrants, convertible bonds, credit derivatives, captions, stations, futures options, the ratio
  • 6.
    6 swaps, periodic floors,spread lock one and two, treasury-linked swaps, wedding bands three and six, inverse floaters, index amortizing swaps, and so on; because of their complexity, derivatives have become a continuing pain for the accounting person and a true mind-bender for anyone trying to value them. Definition Contracts, whose values are to be derived from the asset covered by them (such as paddy), are commonly named as “derivatives”. These are basically, financial instruments whose value depends on the value of the other, more basic underling variable-such as commodity, stock, currency, etc… “A contract or an agreement for exchange of payments, whose values derives from the value of an underling asset or underling reference rates or indices”. A derivative is a security whose price ultimately depends on that of another asset called underling. “Derivatives means forward, futures or options contracts of predetermined fixed duration, linked for the purpose of contract fulfillment to the value of specified real or financial asset or to an index security”. With securities Laws (second Amendment) Act, 1999, derivatives has been included in the definition of securities. The term derivative has been defined: In Securities Contract (Regulation) Act; as Derivatives include: a. A security derived from a debt instrument, share, loan, whether secured or unsecured, risk instrument or contract for differences or any other form of security; b. A contract which derives its value from the prices, or index of prices, of underling securities; The international monetary fund defines derivatives as “financial instruments that are linked to a specific financial instrument or indicator or commodity and through which specific financial risks can be traded in financial markets in their own right. The value of financial derivatives derives from the price of an underling item,
  • 7.
    7 such as assetor index. Unlike debt securities, no principle is advanced to be repaid and no investment income accrues”. History Derivatives have probably existed ever since people have been trading with another. Forward contracting dates back at list to the twelfth century and may well have been around before then. However the development and growth of the derivatives products has been one of the most extraordinary things to happen in the financial markets place. In 1972, the Breton Woods agreement, the post-war pact that instituted a fixed exchange rate regime to the world‟s major nations, effectively collapsed, when the US suspended the dollar convertibility into the gold. This resulted in exchange rate volatility derivative products have come quite handy. They have established themselves as irreplaceable tools to hedge against risks in currency, stock and commodity markets. The history of the derivatives can be traced to the Middle Ages when formers and traders in gains and other agriculture products used certain specific types of futures and forwards to hedge, their risks. Essentially the former wants to ensure that he receives a reasonable price for the grain that he would harvest (say) three to four months later. An oversupply will hurt him badly. For the grain merchant, the opposite is true. A fall in the agricultural production will push up the prices. It made sense therefore for the both of them to fix a price for the future. This was now the future market first developed in agricultural commodities such as cotton, coffee, petroleum, Soya bean, sugar and then to financial products such as interest rates, foreign exchange and shares. In 1995 the Chicago Board of Trade commenced trading in derivatives.
  • 8.
    8 For the derivativesmarket to develop, three kinds of participants are necessary. They are the hedgers, the speculators and the arbitrageurs. All the three must co-exist. For a hedging transaction to be completed three must be another person willing to take advantage of price movements. That is speculator. Contrary to the hedger who avoids uncertainties the speculator thrives on them. The speculator may loss plenty of money if his forecast goes wrong but a stand to gain enormously if he is proved corrects. The third category of participant is the arbitrage, which looks at risk less profit by simultaneously buying and selling the same or similar financial products in different financial markets. With the government of India permitting futures trading in several commodities and with futures trading have arrived in the stock markets, index based derivative trading has finally arrived in India. For smooth functioning of derivative trading the government of India has commenced the process of dematerialization of shares, short sale facility, electronic fund transfer facility and rolling settlements in stock markets. This will hopefully bring transparency in the process of price discovery of the derivative and also attract a board spectrum of hedgers and speculators. The need for a Derivatives Market The derivatives market performs a number of economic functions: 1. They help in transferring risks from risk adverse people to risk oriented people. 2. They help in the discovery of future as well as current prices. 3. They catalyze entrepreneurial activity.
  • 9.
    9 4. They increasethe volume traded in markets because of participation of risk adverse people in greater numbers. 5. They increase savings and investment in the long run. Stock options and stock futures were introduced in both the exchange in the year 2001. Thus started trading in derivatives in India stock exchanges (both BSE & NSE) covering index options, index futures, stock options and futures at in the wake of the new millennium. In a short span of three years the volume traded in the derivative market has outstripped the turnover of the cash market. NATURE OF THE PROBLEM: The turnover of the stock exchanges has been tremendously increasing from last 10 years. The number of trades and the number of investors, who are participating, have increased. The investors are willing to reduce their risk, so they are seeking for the risk management tools. Prior to SEBI abolishing the BADLA system, the investors had this system as a source of reducing the risk, as it has many problems like no strong margining system, unclear expiration date and generating counter party risk. In view of this problem SEBI abolished the BADLA system. After the abolition of the BADLA system, the investors are seeking for a hedging system, which could reduce their portfolio risk. SEBI thought the introduction of the derivatives trading, as a first step it has set up a 24 member committee under the chairmanship of Dr.L.C.Gupta to develop the appropriate regulatory framework for derivative trading in India, SEBI accepted the recommendations of the committee on May 11, 1998 and approved the phased introduction of the derivatives trading beginning with stock index futures.
  • 10.
    10 There are manyinvestors who are willing to trade in the derivative segment, because of its advantages like limited loss and unlimited profit by paying the small premiums. FUNCTIONS OF DERIVATIVES MARKET: The following are the various functions that are performed by the derivatives markets. They are:  Prices in an organized derivatives market reflect the perception of market participants about the future and lead the prices of underlying to the perceived future level.  Derivatives market helps to transfer risks from those who have them but may not like them to those who have an appetite for them.  Derivative trading acts as a catalyst for new entrepreneurial activity.  DR. L. C. GUPTA COMMITTEE RECOMMENDATIONS: The securities and exchange board of India (SEBI) appointed with Dr.L.C.Gupta as its chairman on 18th November, 1996 to develop regulatory frame work for derivatives trading in India and to suggest buy-laws for regulation and control of trading and settlement of derivatives contracts. The committee was also to focus on the financial derivatives and equity derivatives. The committee submitted its report in March 1998. The committee recommended introduction of derivatives market in a phased manner with the introduction of index futures and SEBI appointed a group with Prof.J.R.Varma as its chairman to recommended measures for risk containment in the derivative market in India. The board of SEBI in its meeting held on may 11, 1998 accepted the recommendation and approved the introduction of derivatives trading in India beginning with stock index futures. The board also approved the “suggestive bye-
  • 11.
    11 laws” recommended bythe L.C.Gupta committee for regulation and control of trading and settlement of derivatives contracts. SEBI circulated the contents of the report in June 1998. The L.C.Gupta committee had conducted a wide market survey with contract of several entities relevant to derivatives trading like brokers, mutual funds, banks/FIIs, FIIs and merchant banks. The committee observation was that there is widespread recognition of the needs for derivatives products including equity, interest rate and currency derivatives products. However stock index future is the most preferred product followed by stock index options. Options on individual stocks are the third I the order of preference. The participants took interviews, mostly stated that their objective in derivative trading would be hedging. But there were also a few interested in derivatives dealing for speculation or dealing. The recommendations of L.C.Gupta committee at a glance: 1. Stock index futures to be the starting point of equity derivatives. 2. SEBI to approve rules, buy-laws and regulations of the derivatives exchange level regulations. 3. SEBI need not be involved in framing exchange level regulations. 4. SEBI should create a special derivatives cell as it involves special knowledge and a derivatives advisory council may be created a tap outside exports for independent advice. 5. Legal restrictions on institutions, including mutual funds, on use of derivatives should be removed. 6. Existing stock exchanges with cash trading to be allowed to trade derivatives if they meet prescribed eligibility conditions-importantly a separate governing council and at least 50 members.
  • 12.
    12 7. Two categoriesof members – clearing members and non clearing members, with the later depending on the former for settlement of trades. This is to bring in more traders. 8. Broker members, dealers and salespersons in the derivatives market must have passed a certificate program to be registered with SEBI. 9. Co-ordination between SEBI and the RBI of financial derivatives market must have passed a certificate program registered with the SEBI. 10. Clearing corporation to be the centre piece of the derivative market, both for implementing the margin systems and providing trade guarantee. 11. Minimum net worth requirement of Rs.3 crore for participants, maximum exposure limits for each broker/dealer on gross basis and capital adequacy requirement to be prescribed. 12. Mark to market margins to be collected before next day‟s trading starts. 13. As a conservative measure, margins for derivatives purposes not to take into account positions in cash and futures, market and across all stock exchanges. 14. Margin to be systematically collected and not left to discretion of brokers/dealers. 15. Much stricter regulation for derivatives as compared to cash trading. 16. Strengthen cash market with uniform settlement cycles among all SEs and regulatory over weight. 17. Proper supervision of sales practices with regulation of every client with the dealer/broker and risk disclosure as the corner stone.
  • 13.
    13 The Important Recommendationsof L.C.Gupta Committee Need for coordinated development To quote from the report of the committee- “the committee‟s main concerns is with equity based derivatives but it has tried to examine the need for financial derivatives in a broader perspective. Financial transactions and asset-liability positions are exposed to three broad types of price risks, viz; Equities, market risk, also called systematic risk (which can not be diversified away because the stock market as a hole may up or down from time to time). Interest rate risk (as in the case of fixed income securities, like treasury bond holding, whose market price could fall heavily it interest rates shot up),and Exchange rate risk (where the position involves a foreign currency, as in the case of imports, exports, foreign loans or investments). The above classification of price risk explains the emergence of (a) equity futures, (b) interest rate futures, (c) currency futures, respectively. Equity futures have been the last to emerge. The recent report of the RBI appointed committee on capital account convertibility (Tara pore Committee) has expressed the view that time is ripe for introduction of futures in currencies and interest rates to facilitate various users to have access to a wide spectrum of cost-efficient hedge mechanism. In the some context, the Tara pore Committee has also opinioned that a system of trading in futures….is more transparent and cost efficient than the existing system (of forward contracts). Having a common trading infrastructure will have important advantages. The committee, therefore, feels that the attempt should be to develop an integrate market structure.
  • 14.
    14 SEBI-RBI co-ordination mechanism Asall the three types of financial derivatives are set to emerge in India in the near future, it is desirable that such development be coordinated. The committee recommends that a formal mechanism be established for such coordination between SEBI and RBI in respect of all financial derivatives markets. This will help to avoid the problem of overlapping jurisdictions. Derivatives exchange The committee strongly favored the introduction financial derivatives to facilitate hedging in most cost-efficient way against market risk. There is a need for equity derivatives, interest rate derivative and currency derivatives; there should be phased introduction of derivatives products. To start with, index future to be introduced, which should be followed by options on index and later options on stocks. The derivative trading should take place on separate segment of the existing stock exchanges with an independent governing council where the number of trading members should be limited to 40 percent of the total number. Trading to be based on online screen trading with disaster recovery site. Per half hour capacity should 4-5 times the anticipated peck load. Percentage of broker-member in the council to be prescribed by the SEBI. The settlement of derivatives to be through an independent clearing corporate/clearing house, which should become counter party for all trades or alternatively guarantee the settlement of all the trades. The clearing corporation to have adequate risk containment measures and to collect margins through EFT. The derivative exchange to have both online trading and surveillance system. It should disseminate trade and price information on real time basis through two information
  • 15.
    15 vending networks. Thecommittee recommended separate membership for derivatives segment. Specification regarding trading Stock exchanges to stipulate in advance trading days and hours. Each contract to have pre determined expiration date and time. Contract expiration period may not exceed 12 months. The last trading day of the trading cycle to be stipulate in advance. Membership eligibility criteria The trading and clearing member will have stringent eligibility conditions. The committee recommended for separate clearing and non-clearing members. There should be separate registration with SEBI in addition to registration with stock exchange. Clearing corporation The clearing system to be totally re-structured. There should be no trading interests on board of CC. the maximum exposure limit to be liked to be deposit limit. To make the clearing system effective the committee stressed stipulation of initial and mark to market margins. Extent of margin prescribed to co-relate to the level of volatility of particular . Marked to Market settlement There should the system of daily settlement of futures contracts. Similarly the closing price of futures to be settled on daily basis. The final settlement price to be as per the closing price of underlying security. Sales practices
  • 16.
    16 Risk disclosure documentwith each client mandatory. Sales person to pass certification exam. Specific authorization from client‟s board of directors/trustees. Trading parameters Each order- buy/sell and open/close Unique order identification number Regular market lot size, tick size Gross exposure limits to be specified Price bands for, each derivative contract Maximum permissible open position Off line order entry permitted Brokerage Prices on the system shall be exclusive of brokerage Maximum brokerage rates shall be prescribed by the exchange Brokerage to be separately indicated in the contracts note Margins from Clients Margins to be collected from all clients/trading members Daily margins to be further collected Losses if any to be charged clients/TMs and adjusted against margins Other recommendations Removal of regulatory prohibition on the use of derivative by mutual funds while making the trustees responsible to restrict the use of derivatives by mutual funds only to hedging and portfolio balancing and not for speculation.
  • 17.
    17 Creation of derivativecell, a derivative advisory committee, and economic research wing by SEBI. Derivatives Market There are two types of derivative market: 1. Exchanged based market. 2. Over the counter (OTC) markets. Exchanged based market and clearing houses These markets are developed, highly organized and regulated by their own owners who are usually traders. It is the exchange with decides on the 1. Standard units – currency, size maturity to be traded and the times when trading begin and cease each day. 2. Rules of the clearing house through which all deals are routed. 3. Margin requirements that all members have to deposit with the clearing house to ensure that the default is unlikely. Mechanics of the markets Example: In S&P 500 stock index futures contracts are tied to the standard and Poor‟s composite stock index. The futures have standard maturity and the exchange prescribes rules for settlement of any outstanding contracts in cash on the expiration dates. In contrast, OTC derivatives are customized to meet the specific needs of the counterparty. A financial swap is a good example of OTC derivative.
  • 18.
    18 An important differencebetween exchange traded and OTC derivative is the credit risk. In the OTC markets, one party is exposed to the risk that his counterparty may default on the co Market participants in DERIVATIVES 1. Hedgers use for protecting (risk-covering) against adverse movement. Hedging is a mechanism to reduce price risk inherent in open positions. Derivatives are widely used for hedging. A hedge can help lock in existing profits. Its purpose is to reduce the volatility of a portfolio, by reducing the risk. 2. Speculators to make quick fortune by anticipating/forecasting future market movements. Speculators wish to bet on future movements in the price of an asset. Futures and options contracts can give them an extra leverage; that is, they can increase both the potential gains and potential losses in a speculative venture. Speculators on the other hand arte those classes of investors who willingly take price risks to profit from price changes in the underlying.
  • 19.
    19 3. Arbitrageurs toearn risk-free profits by exploiting market imperfections. Arbitrageurs profit from price differential existing in two markets by simultaneously operating in the two different markets. Arbitrageurs are in business to take advantage of a discrepancy between prices in two different markets. Indian derivatives market Indian derivatives market, through has a history of more than a century, is still in its nascent stage vis-à-vis global derivatives market. The first step towards development of derivatives markets in India is the appointment of L.C.Gupta committee by SEBI to go into the question of derivatives trading and to suggest various policy and regulatory measures that need to be undertaken before such trading is formally allowed. We have today active derivative markets in the segment of stock and foreign currency while trading in commodities is in the process of stabilization. Stock market derivative have indeed picked up momentum and the volumes under futures on individual stock have reached global proportions. We have also well established OTC currency derivatives market. In a net shall we may say that derivatives market in India an evolving phase. Derivatives products Derivatives are in fact as old as trading but their Dramatic rise in popularly took place in the last thirty years. The breakdown of Breton woods system of fixed exchange rates and the resulting volatility in forex markets put the derivative on a pedestal. The key reason for their popularly has been that derivatives such as futures and options have indeed filed a gape in the financial system. Prier to their emergence,
  • 20.
    20 there was nomechanism for that could protect to trades, banks, etc, from price risk. Secondly, they are highly flexible and thus have a universal applicability. For instance, stock market index futures provide insurance against stock price risk due to market fluctuations, while currency futures provide insurance against price risk due to exchange rate fluctuations. All derivatives can be classified based on the following features: 1. Nature of contracts 2. Underlying assets 3. Market mechanism Underlying assets: Most derivatives are based on one of the following four types of assets:  Foreign exchange  Interest being financial assets  Commodities (grain, coffee, cotton, wool, etc.)  Equities  Precious metals (gold, silver, copper, etc.)  Bonds of all types Market mechanism:  OTC products  Exchange traded products Role of clearing house A clearing house is a key institution in the derivatives market. It performs two critical functions. Offering customer‟s deals and assuring the financial integrity of the
  • 21.
    21 transactions that takeplace in the exchange. The clearing house could be a part of the exchange of a separate body coordinating with the exchange. Trading in derivatives Indian securities markets have indeed waited for too long for derivatives trading to emerge. Mutual funds, FIIs, and other investors who are deprived of hedging opportunities will now have a derivatives market to bank on. First to change are the globally popular variety – index futures. While derivatives markets flourished in the developed world Indian markets remain deprived of financial derivatives to the beginning of this millennium. While the rest of the world progressed by the leaps and the bonds on the derivatives front, Indian market lagged behind. Having emerged in the market of the developed nations in the 1970s, derivatives market grew from strength to strength. The trading volumes nearly doubled in every three years making it a trillion-dollar business. They become so ubiquitous that, now one cannot think of the existence of financial markets without derivatives. Two board approaches of SEBI is to integrate the securities market at the national level, and also to diversify the trading banks, financial institutions, insurance companies, mutual funds, primary dealers etc, choose to transact through the exchanges. In this context the derivatives through Indian stock exchanges permitted by SEBI in 2000 AD is real landmark. SEBI first appointed the L.C.Gupta committee in 1998, to recommend the regulatory frame work for derivatives recommended suggestive buy-laws for regulation and control of trading and settlements of derivatives contracts. The board
  • 22.
    22 of SEBI inits meeting held on May 11, 1998 accepted the recommendations of the Dr.L.C.Gupta, committee and approved the phased introduction of derivatives trading in India beginning with stock index futures. The board also approved the “suggestive Bye-laws” recommended by the committee for regulation and control of trading and settlement of derivatives contracts. SEBI subsequently the J.R.Varma committee to recommended risk containment measures in the Indian stock index futures market. The report was submitted in the same year (1998) in the month of November by the said committee. Derivatives market today: Foreign currency options in currency pairs other than rupee were the first options permitted by RBI. The RBI has permitted options, interest rate swaps, currency swaps, and other risk reduction OTC derivative products. Beside the forward market to currencies has been a vibrant market in India for several decades. In addition the forward markets commission has allowed the setting up of commodities futures exchanges. Today we have 18 commodities exchanges most of which trade futures e.g. the Indian Paper and Spice Trader Association (IPSTA) and the Coffee Owners Futures Exchange of India (COFEI). The year 2000 heralded the introduction of exchange traded equity derivative products.
  • 23.
    23 TYPES OF DERIVATIVES Thereare four most commonly traded derivative instruments: Forwards, Futures, Options, and Swaps. Futures and options are actively traded on many exchanges. Forward contracts and swaps and certain kind of options are mostly traded as over the counter (OTC) products. Derivative products initially emerged as hedging devices against fluctuations in commodity prices, and commodity-linked derivatives remained the sole form of such products for almost three hundred years. Financial derivatives came into spotlight in the post-1970 period due to growing instability in the financial markets. However, since their emergence, these products have become very popular and by 1990s, they accounted for about two-thirds of total transactions in derivative products, in recent years, the market for financial derives has grown tremendously in terms of variety of instruments depending on their complexity and also turnover. In this class of equity derivatives the world over, futures and options on stock indices have gained more popularity than on individual stocks, especially among institutional investors, who are major users of index-linked derivatives. Even small investors find these useful due to DERIVATIVES OPTIONS FUTURES SWAPS FORWARDS PUT OPTION CALL OPTION COMMODITY SECURITY INTEREST RATE CURRENCY
  • 24.
    24 high correlation ofthe popular indices with various portfolios and ease of use. The lower costs associated with index derivatives vis-à-vis derivative products based on individual securities is another reason for their growing use. The most commonly used derivatives contracts are forwards, futures and options. Here we take a brief look at various derivatives contracts that have come to be used CLASSIFICATION OF DERIVATIVES: 1. ETF (Exchange Traded Fund) 2. OTF ( Out Side Traded Fund) ETF (Exchange Traded Fund): An exchange-traded fund (or ETF) is an investment vehicle traded on stock exchanges, much like stocks. An ETF holds assets such as stocks or bonds and trades at approximately the same price as the net asset value of its underlying assets over the course of the trading day. Futures Options OTF (Out Side Traded Fund): An Outside traded fund (or OTF) is an investment vehicle traded out side or at the counter much like stocks. The net asset value of its underlying assets over the course of the trading day may change. Forwards Swaps Warrants Leaps Baskets
  • 25.
    25 FORWARDS: A forward contractis a customized contract between two entities, where settlement takes place on a specific date in the future at today‟s pre-agreed price. FUTURES A futures contract is an agreement between two parties to buy or sell an asset at a certain time in the future at a certain price. Futures contracts are special types forward contracts in the sense that the former are standardized exchanged-traded contracts. OPTIONS: Options are of two types - calls and puts. Calls give the buyer the right but not the obligation to buy a given quantity of the underlying asset, at a given price on or before a given future date. Puts give the buyer the right, but not the obligation to sell a given quantity of the underlying asset at a given price on or before a given date. WARRANTS: Options generally have lives of up to one year; the majority of options traded on options exchanges having a maximum maturity of nine months. Longer-dated options are called warrants and are generally traded over-the-counter. LEAPS: The acronym LEAPS means Long-Term Equity Anticipation Securities. These are options having a maturity of up to three years.
  • 26.
    26 BASKETS: Basket options areoptions on portfolios of underlying assets. The underlying asset is usually a moving average of a basket of assets. Equity index options are a form of basket options. SWAPS: Swaps are private agreements between two parties to exchange cash flows in the future according to a prearranged formula. They can be regarded as portfolios of forward contracts. The two commonly used swaps are: Interest rate swaps: These entail swapping only the interest related cash flows between the Parties in the same currency. Currency swaps: These entail swapping both principal and interest between the parties, with the cash flows in one direction being in a different currency than those in the opposite Direction. SWAPTIONS: Swaptions are options to buy or sell a swap that will become operative at the expiry of the options. Thus a swaption is an option on a forward swap. Rather than have calls and puts, the swaptions market has receiver swaptions and payer swaptions.
  • 27.
    27 REGULATORY FRAMEWORK: The tradingof derivatives is governed by the provisions contained in the SCRA, the SEBI Act, the rules and regulations framed there under and the rules and bye- laws of stock exchanges. Securities contracts Regulation Act, 1956: SCRA aims at preventing undesirable transactions in securities by regulating the business of dealing therein and by providing for certain other matters connected therewith. This is the principal Act, which governs the trading of securities in India. The term “securities” has been defined in the SCRA. As per section 2(h), the „securities‟ include: 1. Shares, scrip‟s, stocks, bonds, debentures, debenture stock or other marketable securities of a like nature in or of any incorporated company or other body corporate. 2. Derivative 3. Units or any other instrument issued by any collective investment scheme to the investors in such schemes 4. Government securities 5. Such other instruments as may be declared by the Central Government to be securities 6. Rights or interests in securities. “Derivative” is defined to include:  A security derived from a debt instrument, share and loan whether secured or unsecured, risk instrument or contract for differences or any other form of security.
  • 28.
    28  A contractwhich derives its value from the prices or index of prices, of underlying securities.  Section 18A provides that notwithstanding anything contained in any other law for the time being in force, contracts in derivatives shall be legal and valid if such contracts are: Traded on a recognized stock exchange settled on the clearinghouse of the recognized stock exchange, in accordance with the rules and byelaws of such stock exchanges Securities and exchange board of India act, 1992: SEBI act, 1992 provides for establishment of securities and exchange board of India (SEBI) with statutory powers for (a) protecting the interests of investors in securities (b) Promoting the development of the securities market and (c) regulating the securities market. Its regulatory jurisdiction extends over corporate in the issuance of capital and transfer of securities, in addition to all intermediaries and persons associated with securities market. SEBI has been obligated to perform the aforesaid functions by such measures as it thinks fit. In particular, it has powers for: Regulating the business in stock exchanges and any other securities markets. Registering and regulating the working of stockbrokers, sub broker etc. Promoting and regulating self-regulatory organizations. Prohibiting and fraudulent and unfair trade practices. Calling information from, undertaking inspection, conducting inquiries and audits the stock exchanges, mutual funds and other persons associated with the securities marker and intermediaries and self-regulatory organizations in the securities market performing such functions and exercising according the
  • 29.
    29 securities contracts (regulation)act, 1956, as may be delegated to it by the central government. SEBI (stock brokers and sub-brokers) regulations, 1992: In this we shall have a look at the regulations that apply to brokers under the SEBI regulations. Brokers A broker is an intermediary who arranges to buy and sell securities on behalf of clients (the buyer and the seller). According to Section 2(e) of the SEBI (stockbrokers and sub-brokers) rules 1992, s Stock Broker means a member of a recognized stock exchange. No stockbroker is allowed to buy, sell or deal in securities, uses he or she holds a certificate of registration granted by SEBI through a stock exchange of which he or she is admitted as a member. SEBI may grant a certificate to a stock-broker (as per SEBI rules, 1992) subject to the conditions that: 1. He holds the membership of any stock exchange: 2. He shall abide by the rules, regulations and byelaws of the stock exchange or stock exchanges of which he is a member. 3. In case of any change in the status and condition, he shall contain prior permission of SEBI to continue to buy, sell or deal in securities in any stock exchange; 4. He shall pay the amount of fees for registration in the prescribed manner; and 5. HE shall take adequate steps for redress of grievances of the investors within one month of the date of the complaint and keep SEBI informed about the number, nature and other particulars of the complaints.
  • 30.
    30 As per SEBI(stock brokers and sub-brokers) regulations, 1992, SEBI shall take into account for considering the grant of a certificate all matters relating to buying, selling, or dealing in securities and in particular the following, namely whether the stockbroker-(a) is eligible to be admitted as a member of a stock exchange; (b)has the necessary infrastructure like adequate office space, equipment and man power to effectively discharge his activities; (c) has any past experience in the business of buying selling or dealing in securities; (D) is subjected to disciplinary proceedings under the rules, regulations and bye-laws of a stock exchange with respect to his business as a stock-brokers involving either himself or any of his partners, directors or employees. Regulations for derivatives trading: SEBI set up a 24-member committee under the chairmanship of Dr.L.C.Gupta to develop the appropriate regulatory framework for derivatives trading in India. The committee submitted its report in March 1998. On May 11, 1998 SEBI accepted the recommendations of the committee and approved the phased introduction of derivatives trading in India beginning with tock index futures. SEBI also approved the “suggestive bye-laws” recommended by the committee for regulation and “suggestive bye-laws” recommended by the committee for regulation and control of trading and settlement of derivatives contracts. The provisions in the SC(R) A and regulatory framework developed there under govern trading in securities.
  • 31.
    31 The amendment ofthe SC(R)A to include derivatives within the ambit of „securities‟ in the securities in the SC(R)A made trading in derivatives possible within the framework of that Act. Any Exchange fulfilling the eligibility criteria as prescribed in the L.C. Gupta committee report may apply to SEBI for grant of recognition under section 4 of the SC(R) A, 1956 to start trading derivatives. The derivatives exchange/segment should huge a separate governing council and representation of trading/clearing members shall be limited to maximum of 40% of the total members of the governing council. The exchange shall regulate the sales practice of its members and will obtain prior approval of SEBI before start of trading in any derivative contact. The Exchange shall have minimum 50 members. The members of an existing segment of the exchange will not automatically become the members of the derivative segment need to fulfill the eligibility conditions as laid down by the L.C.Gupta committee. The clearing and settlement of derivatives trades shall be through a SEBI approved clearing corporation/house. Clearing corporations/houses complying with the eligibility conditions laid down by the committee have to apply SEBI for grant of approval. Derivative brokers/dealers and clearing members are required to seek registration from SEBI. This is in addition to their registration a brokers of existing stock exchanges. The minimum net worth for clearing members of the derivatives clearing corporation/house shall be Rs.300 lakhs. The net worth of the member shall be computed as follows:
  • 32.
    32 Capital Free reserves Lessnon-allowable assets viz, (a) Fixed assets (b) Pledged securities (c) Member‟s card (d) Non-allowable securities (unlisted securities) (e) Bad deliveries (f) Doubtful debts and advances (g) Prepaid expenses (h) Intangible assets (i) 30% marketable securities The minimum contract value shall not be less than Rs.2lakhs. Exchanges should also submit details of the futures contract they propose to introduce. The initial margin requirement exposure limits linked to capital adequacy and SEBI/Exchange shall prescribe margin demands related to the risk of loss on the position from time to time. The L.C.Gupta committee report requires strict enforcement of “Know you customer” rule and requires that every client shall be registered with the derivatives broker. The members of the derivatives segment are also required to make their clients aware of the risks involved in derivatives trading by issuing to the client the Risk Disclosure Document and obtain a copy of the same duly signed by the client. The trading members are required to have qualified approved user and sales person who have passed a certification program me approved by SEBI.
  • 33.
    33 REGULATION FOR CLEARINGAND SETTLEMENT: 1) The L.C.Gupta committee has recommended that the clearing corporation should interpose itself between both legs of every trade, becoming the legal counter party to both or alternati9vely should provide an unconditional guarantee for settlement of all trades. 2) The clearing corporation should ensure that none of the Board members has trading interests. 3) The definition of net-worth as prescribed by SEBI needs to be incorporated in the application/regulations of the clearing corporation 4) The regulations relating to arbitration need to be incorporated in the clearing corporation‟s regulations. 5) The clearing corporation in its regulations must incorporate specific provision/chapter relating to declaration of default. 6) The regulations relating to investor protection fund for the derivatives market must be included in the clearing corporation application/regulations. 7) The clearing corporation should have the capabilities to segregate upfront initial margins deposited by clearing members for trades on their own account and on account of his clients. The clearing corporation shall hold the clients‟ margin money in trust for the clients‟ purposes only and should not allow its diversion for any other purpose. This condition must be incorporated in the clearing corporation regulations 8) The clearing member shall collect margins from his constituents (client/trading members). He shall clear and settle deals in derivative contracts on behalf of the constituents only on the receipt of such minimum margin.
  • 34.
    34 9) Exposure limitsbased on the value at its risk concept will be used and the exposure limits will be continuously monitored. These shall be within the limits prescribed by SEBI from time to time. 10) The clearing corporation must lay down a procedure for periodic review of the new worth of its members. 11) The clearing corporation must inform SEBI how it reposes to monitor the exposure of its members in the underlying market. 12) Any changes in the byelaws, rules or regulations, which are covered under the “suggestive bye-laws for regulations and control of trading and settlement of derivatives contracts”, would require prior approval of SEBI. Product specifications BSE-30 Sensex Futures: Contract Size -Rs.50 times the Index Tick size – 0.1 points or Rs.5 Expiry day – last Thursday of the month Settlement basis – cash settled Contract cycle – 3 months Active contracts – 3 nearest months Product Specifications S&P CNX Nifty Futures: Contract Size – Rs.200 times the Index Tick Size – 0.05 points or Rs.10 Expiry day – last Thursday of the month Settlement basis – cash settled Contract cycle - 3 month Active contracts – 3 nearest months
  • 35.
    35 Membership: Membership for thenew segment in both the exchanges is not automatic and has to be separately applied for: Membership is currently open on both the exchanges. All members will also have to be separately registered with SEBI before they can be accepted. Membership Criteria – National Stock Exchange (NSE) Clearing Member (CM) Net worth Rs.300 lakhs Interest-Free Security Deposits – Rs.25 lakhs Collateral Security Deposit – Rs.25 lakhs In addition for every TM he wishes to clear for the CM has to deposit Rs.10 lakhs. Trading Member (TM) Net worth – Rs.100 lakhs Interest-Free Security Deposit – Rs.8 lakhs Annual Subscription fees – Rs.1 lakh Membership Criteria – Mumbai Stock Exchange (BSE) Clearing Member (CM) Net worth – 300 lakhs Interest-Free Security Deposit – Rs.25lakhs Collateral Security Deposit – Rs.25 lakhs Non-refundable Deposit – Rs.5 lakhs Annual Subscription Fees – Rs.50, 000. In addition for every TM he wishes to clear for the CM has to deposit Rs.10 lakhs with the following break-up.
  • 36.
    36 i. Cash –Rs.25 lakhs ii. Cash Equivalents – Rs.25 lakhs iii. Collateral Security Deposit – Rs.5 lakhs Trading Member (TM) Net worth – Rs.50 lakhs Non-refundable deposit – Rs.3 lakhs Annual Subscription Fees – Rs.25 thousand The Non-refundable fee paid by the members is exclusive and will be a total of Rs.8 lakhs if the member has both clearing and trading rights. TRADING SYSTEMS: NSE‟s trading system for its futures and options segment is called NEAT F&O. It is based on the NEAT system for the cash segment. BSE‟s trading system for its derivatives segment is called DTs. It is built on a platform different from the BOLT system though most of the features are common.
  • 37.
    37 RISK MANAGEMENT byusing DERIVATIVES: Derivatives are high-risk instruments and hence the exchanges have put a lot of measures to control this risk. The most critical aspect of risk management is the daily monitoring of price and position and the margining of those positions. NSE used the SPAN (Standard Portfolio Analysis of Risk). SPAN is a system that has origins at the Chicago mercantile exchange, one of the oldest derivative exchanges in the world. The objective of SPAN is to monitor the positions and determine the maximum loss that a stock can incur in a single day. This loss is covered by the exchange by imposing mark to market margins. SPAN evaluates risk scenarios, which are nothing but market conditions. The specific set of market conditions evaluated, are called the risk scenarios, and these are defined in terms of a) How much the price of the underlying instrument is expected to change over one trading day, and b) How much the volatility of that underlying price is expected to change over one trading day? Based on the SPAN measurement, margins are imposed and risk covered. Apart from this, the exchange will have a minimum base capital of Rs.50 lakhs and brokers need to pay additional base capital if they need margins about the permissible limits.
  • 38.
    38  LOT SIZESOF CONTRACTS: Underlying Symbol Market Lot S&P CNX Nifty Nifty 100 CNX IT CNX IT 100 Bank Nifty BANK NIFTY 100 Derivatives on Individual Securities: Underlying Symbol Market Lot ABB Ltd. ABB 100 Associated cement Co. Ltd ACC 375 Allahabad Bank ALBK 2450 Alok Industries Ltd. ALOKTEXT 3350 Andhra Bank ANDHRABANK 2300 Arvind Mills Ltd. ARVINDMILL 4300 Ashok Leyland Ltd. ASHOKLEY 4775 Aurobindo pharma Ltd. AUROPHARMA 350 Bajaj Auto Ltd. BAJAJAUTO 100 Bank Of Baroda BANKBARODA 1400 Bank of India BANKINDIA 1900 Bharat Electronics Ltd. BEL 275 Bharti Tele-Ventures Ltd. BHARTI 1000 Bharat Heavy Electricals Ltd. BHEL 150 Ballarpur Industries Ltd. BILT 1900 Bongaigaon Refinery Ltd. BONGAIREFN 4500 Bharat Petroleum Corporation Ltd. BPCL 1100 Canara Bank CANBK 1600 Century Textiles Ltd. CENTURYTEX 425 CESC Ltd. CESC 550 Chambal fertilizers Ltd. CHAMBALFERT 6900 Chennai Petroleum Corp Ltd. CHENNPETRO 900 Cipla Ltd. CIPLA 1250 Colgate Palmolive (I) Ltd. COLGATE 525 Corporation Bank CORPBANK 1200 Cummins India Ltd. CUMMINSIND 950 Dabur India Ltd. DABUR 2700 Divi‟s Laboratories Ltd. DIVISLAB 250 Dr. Reddy‟s Laboratories Ltd. DRREDDY 400 Escorts India ltd. ESCORTS 2400 Essar Oil Ltd. ESSAROIL 5650 Federal Bank Ltd. FEDERALBNK 1300
  • 39.
    39 GAIL (INDIA) Ltd.GAIL 750 Great Eastern Shipping Co.Ltd. GESHIPPING 600 GlaxoSmithKline Pharma Ltd. GLAXO 300 Gujarat Narmada Fertilizer Co. Ltd. GNFC 2950 Grasim Industries Ltd. GRASIM 175 Gujarat Ambuja Cement Ltd. GUJAMBCEM 2062 HCL Technologies Ltd HCLTCH 650 Housing Development Finance Corporation Ltd. HDFC 150 HDFC Bank Ltd. HDFCBANK 200 Hero Honda Motors Ltd. HEROHONDA 400 Hindalco Industries Ltd. HINDALCO 1595 Hindustan Lever Ltd. HINDLEVER 1000 Hindustan Petroleum Corporation Ltd. HINDPETRO 1300 ICICI Bank Ltd. ICICIBANK 350 I-FLEX Solutions Ltd. I-FLEX 150 Industrial Development Bank Of India Ltd. IDBI 2400 Infrastructure Development Finance Co. Ltd. IDFC 2950 IFCI Ltd. IFCI 7875 Indian Hotels Co.Ltd. INDHOTEL 1750 India Cements Ltd. INDIACEM 1450 Indusind Bank Ltd. INDUSINDBK 3850 Infosys Technologies Ltd. INFOSYSTCH 200 Indian Petrochemicals Corp. Ltd IPCL 1100 Indian Over Seas Bank IOB 2950 Indian Oil Corp Ltd. IOC 600 ITC Ltd. ITC 1125 IVRCL Infrastructure & Projects Ltd. IVRCLINFRA 500 J & K Bank Ltd. J&KBANK 300 Jet Airways (INDIA) Ltd. JETAIRWAYS 400 Jindal Steel & Power Ltd. JINDALSTEL 125 Jaiprakash HyDro-Power Ltd. JPHYDRO 6250 Jindal Stainless Ltd. JSTAINLESS 2000 The Karnataka Bank Ltd. KTKBANK 1250 LIC Housing Finance Ltd. LICHSGFIN 1700 MahinDra & MahinDra Ltd. M&M 625 Maharashtra Seamless Ltd. MAHSEAMLES 600 Marti Udyog Ltd. MARUTI 400 Matrix Laboratories Ltd. MATRIXLABS 1250 Mphasis BFL Ltd. MPHASISBFL 800 Mangalore Refinery and Petrochemicals Ltd. MRPL 8920 Mahanagar Telephone Nigam Ltd. MTNL 1600 Nagarjuna Fertilizers & Chemicals Ltd. NAGARFERT 14000 National Aluminum Co. Ltd. NATIONALUM 1150 NDTV Ltd. NDTV 1100 Neyveli Lignite Corporation Ltd. NEYVELILIG 5900
  • 40.
    40 Nicolas Piramal IndiaLtd. NICOLASPIR 1045 National Thermal Power Corp. Ltd. NTPC 1625 Oil & Natural Gas Corp. Ltd. ONGC 225 Orchid Chemicals Ltd. ORCHIDCHEM 1050 Oriental Bank Of Commerce ORIENTBANK 1200 Patni Computer System Ltd. PATNI 650 Punjab National Bank PNB 600 Punjab Lloyd Ltd. PUNJLLOYD 1500 Polaris Software Lab Ltd. POLARIS 1400 Ranbaxy Laboratories Ltd. RANBAXY 800 Reliance Energy Ltd. REL 550 Reliance Capital Ltd. RELCAPITAL 550 Reliance Industries Ltd. RELIANCE 150 Satyam Computer Services Ltd. SATYAMCOMP 600 State Bank Of India SBIN 250 Shipping Corporation Of India Ltd. SCI 1600 Siemens Ltd. SIEMENS 375 SRF Ltd. SRF 1500 Strides Arcolab Ltd. STAR 850 Sterlite Industries (I) Ltd. STER 875 Sun Pharmaceuticals India Ltd. SUNPHARMA 225 Suzlon Energy Ltd. SUZLON 200 Syndicate Bank SYNDIBANK 3800 Tata Chemicals Ltd. TATACHEM 1350 Tata Consultancy Services Ltd. TCS 250 Tata Motors Ltd. TATAMOTORS 412 Tata Power Co. Ltd TATAPOWER 400 Tata Steel Ltd. TATASTEEL 675 Tata Tea Ltd. TATATEA 275 Titan Industries Ltd. TITAN 411 TVS Motor Company Ltd. TVSMOTOR 2950 Union Bank Of India UNIONBANK 2100 UTI Bank Ltd. UTIBANK 450 Vijaya Bank VIJAYABANK 6900 Videsh Sanchar Nigam Ltd. VSNL 525 Wipro Ltd. WIPRO 600 Wockhardt Ltd. WOCKPHARMA 600 LOT SIZES OF SELECTED COMPANIES FOR ANALYSIS CODE LOT SIZE COMPANY NAME DRREDDY 400 Dr.Reddy`s Pharmaceuticals Ltd. INFOSYSTCH 200 Infosys Technologies Ltd.
  • 41.
    41 The following tablesexplain about the trades that took place in futures and options between 05/05/2008 and 10/06/2008. The table has various columns, which explains various factors involves in derivatives trading. Date – the day on which trading took place Closing premium – premium for the day Open interest – No. of Options that did not get exercised Traded quantity – No. of futures and options traded on that day N.O.C – No. of contacts traded on that day Closing price – the price of the futures at the end of the trading day.
  • 42.
    42 1 REVIEW OFLITERATURE Futures and options represent two of the most common form of derivatives. Derivatives are financial instruments that derive their value form an underlying .The underlying can be a stock issued by a company a currency gold etc., the derivative instruments can be traded in dependently of the underlying asset. - - PRASANNACHANDRA A “future contract is an agreement between two parties to buy or sell an asset at a certain time in the future at a certain price” Options are of two types CALL and PUT. CALL option gives the buyer the right but not the obligation to buy a given quantity. PUT option given the buyer the right but not the obligation to sell the given quantity. -V.A AVADHNI With options and futures, trades can construct strategies that profit in advancing declining are even stable markets, while that the same time reducing risk and increasing leverage, How ever before you incorporate options into your trading and risk management decisions you should thoroughly investigate the risk, nomenclature and strategic uses of these instruments. -J.C VANHORN Today options and futures contracts offer a wide and diverse range of potentially attractive investment opportunities. Futures contracts have been traded on us exchange, since 1865 options and futures contracts were not introduced until 1982.Futures and options provide you with a basic understanding of option on futures contract what they are how they work and opportunities and risks involved in trading them. -B.BANERJEE
  • 43.
    43 The best policyfor futures and options contracts on the values of which are derived rational restrictions generally involve premature exercise and a model is developed for valuing options and futures. Contracts in a constant interest rare setting. Another model is developed for valuing options with stochastic interest rate with it shown that the pricing errors resulting from ignoring the location if interest rate relative to its long run. -SUDHARSAN RAMASWANY KRISHNA In the futures and options market an open contract means any contact. Future or a Put or a Call that has not been exercised closed or expired. The daily settlement price of future contract is calculated as half an hour weighted average options on individual securities have intermediate settlement and final settlement. -SUDHARSHAN REDDY In the simplest form, both options and futures are insurance against events that may or may not happen in the future. In their most complex forms options and futures are not only an insurance against future events but also highly speculative and very risky investments instruments, For their reason they should not be traded by those who have a basic understanding of how the stock market work. -CHANDRA BOSE Futures and options are forms of exchange regulated forward trading in which you enter in to a transaction today, the settlement of which is scheduled to take place at the future date expiry of the contract the settlement data is called future contract. -KHAN & JAIN
  • 44.
    44 INDUSTRY PROFILE BOMBAY STOCKEXCHANGE This stock exchange, Mumbai, popularly known as “BSE” was established in 1875 as “The Native share and stock brokers association” as a voluntary non-profit Making association. It has an evolved over the year into its present status as the premiere Stock exchange in the country .it may be noted that the stock exchange the oldest one in Asia, even older than the Tokyo stock exchange, which was founded in 1878. The exchange, while providing an efficient and transparent market for trading in securities, upholds the interests of the investors and insurers dressed of their grievances, whether against the companies or its own member brokers. It also strives to educate and enlighten the investors by making available necessary informative inputs and conducting investor education programmers. A governing board comprising of 9 elected directors, 2 SEBI nominees, 7 public representatives and an executive director is the apex body, which decides the policies and regulates the affairs of the exchange. The executive‟s directors as the chief executive officer are responsible for the day today administration of the exchange. The average daily turnover of the exchange during the year 2000-01(April-March) was Rs 3984.19 corers and average number of Daily trades 5.69 lakes. However the average daily turnover of the exchange during the year 2001-02 has declined to R s. 1244 .10 cores and number of average daily trades during the period to 5.17 lakes.
  • 45.
    45 The average dailyturnover of the exchange during the year 2002-03 has declined and number of average daily trades during the period is also decreased. The Ban on all deferral products like BLESS AND ALBM in the Indian capital markets by SEBI with effect from July 2, nd2001, abolition of account period settlements, introduction of compulsory rolling settlements in all scripts traded on the exchange with effect from Dec 31, 2001, etc., have adversely imprecated the liquidity and consequently there is a considerable decline in the daily turnover of the exchange present scenario is 110363 (laces) and number of average daily trades 1075 (laces). BSE INDICES: In order to enable the market participants, analysts etc., to track the various ups and downs in the Indian stock market, the exchange has introduced in 1986 an equity stock index called BSE- SENSEX that subsequently became the barometer of the movements of the share prices in the Indian stock market. It is a “Market capitalization weighted” index of 30 component stocks representing a sample of large, well-established and leading companies. The base year of sensex is 1978-79. The sensex is widely reported in both domestic and international markets through print as well as electronic media. Sensex is calculated using a market capitalization weighted method. As per this methodology, the level of the index reflects the total market value of all 30- component stocks from different industries related to particular base period. The total market value of a company is determined by multiplying the price of its stocks by the number of shares outstanding. Statisticians call an all index of a set of combined variables (such as price and number of shares) a composite index. An indexed number
  • 46.
    46 is used torepresent the results of this calculation in order to market the value easier to work with and track over a time. It much easier to graph a chart based on indexed values than one based on actual values world over majority of the well-known indices are constructed using “Market capitalization weighted method”. In practice, the daily calculation of SENSEX is done by dividing the aggregate market value of the 30 companies in the index by a number called the index Divisor. The Divisor is the only link to the original base period value of the SENSEX. The Divisor Keeps the Index comparable over a period or time and if the reference point for the entire index maintenance adjustments. SENSEX is widely used to describe the mood in the Indian stock markets. Base year average is changed has per the formula new base year average =old base year average *(new market value/old market value). 1.1.1.1.1.1 NATIONAL STOCK EXCHANGE The NSE was incorporated in Now 1992 with an equity capital of R s 25 crs. The international securities consultancy (ISC) of Hong Kong has helped in setting up NSE. ISE has prepared the detailed business plans and installation of hardware and software systems. The promotions for NSE were financial institutions, insurances companies, banks and SEBI capital market Ltd, infrastructure leasing and financial services ltd and stock holding corporation ltd. It has been set up to strengthen the move towards professionalization of the capital market as well provided nationwide securities trading facilities to investors. NSE is not an exchange in the traditional sense where brokers own and manage the exchange. A two tier administrative set up involving a company board and a governing aboard of the exchange envisaged. NSE is a national market for
  • 47.
    47 shares PSU bonds,debentures and government securities since infrastructure and trading facilities are provided. NSE-NIFTY: The NSE on April 22, 1996 launched a new equity index. The NSE-50. The new index, which replaces the existing NSE-100 index, is expected, to serve as an appropriate index for the new segment of futures and options.” Nifty” means national index for fifty stocks. The NSE-50 comprises 50 companies that represent 20 broad industry groups with an aggregate market capitalization of around R s .1 70,000 crs. All companies included in the index have a market capitalization in excess of R s 500 crs each and should have traded for 85% of trading days at an impact cost of less than 1.5%. The base period for the index is the close of prices on Nov 3, 1995, which makes one year of completion of operation of NSE„s capital market segment. The base value of the index has been set at 1000. NSE –MIDCAP INDEX: The NSE madcap index or the junior nifty comprises 50 stocks that represent 21 a board industry groups and will provide proper representation of the madcap segment of the Indian capital market. All stocks in the index should have market capitalization of greater than R s list of 200 cores and should have traded 85% of the trading days at an impact cost of less 2.5%.
  • 48.
    48 The base periodfor the index is Nov 4, 1996, which signifies two years for completion of operations of the capital market segment of the operations. The base value of the Index has been set at 1000. INDUSTRY PROFILE HISTORY OF STOCK EXCHANGES: The only stock exchanges operating in the 19th century were those of Mumbai setup in 1875 and Ahmedabad set up in 1894. These were organized as voluntary non-profit-marking associations of brokers to regulate and protect their interests. Before the control on securities under the constitution in 1950, it was a state subject and the Bombay securities contracts (control) act of 1925 used to regulate trading in securities. Under this act, the Mumbai stock exchange was recognized in 1927 and Ahmedabad in 1937. During the war boom, a number of stock exchanges were organized. Soon after it became a central subject, central legislation was proposed and a committee headed by A.D.Gorwala went into the bill for securities regulation. On the basis of the committee‟s recommendations and public discussion, the securities contract (regulation) act became law in 1956. FUNCTIONS OF STOCK EXCHANGES: Stock exchanges provide liquidity to the listed companies. By giving quotations to the listed companies, they help trading and raise funds from the market. Over the hundred and twenty years during which the stock exchanges have existed in this country and through their medium, the central and state government have raised
  • 49.
    49 crores of rupeesby floating public loans. Municipal corporations, trust and local bodies have obtained from the public their financial requirements, and industry, trade and commerce- the backbone of the country‟s economy-have secured capital of crores of rupees through the issue of stocks, shares and debentures for financing their day-to-day activities, organizing new ventures and completing projects of expansion, diversification and modernization. By obtaining the listing and trading facilities, public investment is increased and companies were able to raise more funds. The quoted companies with wide public interest have enjoyed some benefits and assets valuation has become easier for tax and other purposes. VARIOUS STOCK EXCHANGES IN INDIA: At present there are 23 stock exchanges recognized under the securities contracts (regulation), Act, 1956. Out of these major two Stock Exchanges are: 1. NSE (National Stock Exchange) 2. BSE (Bombay Stock Exchange) NSE (National Stock Exchange): The National Stock Exchange of India Limited has genesis in the report of the High Powered Study Group on Establishment of New Stock Exchanges, which recommended promotion of a National Stock Exchange by financial institutions (FI‟s) to provide access to investors from all across the country on an equal footing. Based on the recommendations, NSE was promoted
  • 50.
    50 by leading FinancialInstitutions at the behest of the Government of India and was incorporated in November 1992 as a tax-paying company unlike other stock exchanges in the country. On its recognition as a stock exchange under the Securities Contracts (Regulation) Act, 1956 in April 1993, NSE commenced operations in the Wholesale Debt Market (WDM) segment in June 1994. The Capital Market (Equities) segment commenced operations in November 1994 and operations in Derivatives segment commenced in June 2000. NSE's mission is setting the agenda for change in the securities markets in India. The NSE was set-up with the main objectives of: Establishing a nation-wide trading facility for equities and debt instruments. Ensuring equal access to investors all over the country through an appropriated communication network. Providing a fair, efficient and transparent securities market to investors using electronic trading systems. Enabling shorter settlement cycles and book entry settlement systems, and Meeting the current international standards of securities markets. The standards set by NSE in terms of market practices and technology, have become industry benchmarks and are being emulated by other market participants. NSE is more than a mere market facilitator. It's that force which is guiding the industry towards new horizons and greater opportunities. BSE (Bombay Stock Exchange): The Stock Exchange, Mumbai, popularly known as "BSE" was established in 1875 as "The Native Share and Stock Brokers Association". It is the oldest one in Asia, even older than the Tokyo Stock Exchange, which was established in 1878. It is a voluntary non-profit making Association of Persons (AOP) and is currently
  • 51.
    51 engaged in theprocess of converting itself into demutualised and corporate entity. It has evolved over the years into its present status as the premier Stock Exchange in the country. It is the first Stock Exchange in the Country to have obtained permanent recognition in 1956 from the Govt. of India under the Securities Contracts (Regulation) Act 1956.The Exchange, while providing an efficient and transparent market for trading in securities, debt and derivatives upholds the interests of the investors and ensures redresses of their grievances whether against the companies or its own member-brokers. It also strives to educate and enlighten the investors by conducting investor education programmers and making available to them necessary informative inputs. A Governing Board having 20 directors is the apex body, which decides the policies and regulates the affairs of the Exchange. The Governing Board consists of 9 elected directors, who are from the broking community (one third of them retire ever year by rotation), three SEBI nominees, six public representatives and an Executive Director & Chief Executive Officer and a Chief Operating Officer. The Executive Director as the Chief Executive Officer is responsible for the day- to-day administration of the Exchange and the Chief Operating Officer and other Heads of Department assist him. The Exchange has inserted new Rule No.126 A in its Rules, Byelaws pertaining to constitution of the Executive Committee of the Exchange. Accordingly, an Executive Committee, consisting of three elected directors, three SEBI nominees or public representatives, Executive Director & CEO and Chief Operating Officer has been constituted. The Committee considers judicial & quasi matters in which the Governing Board has powers as an Appellate Authority, matters regarding annulment of transactions, admission, continuance and suspension of member-
  • 52.
    52 brokers, declaration ofa member-broker as defaulter, norms, procedures and other matters relating to arbitration, fees, deposits, margins and other monies payable by the member-brokers to the Exchange, etc. REGULATORY FRAME WORK OF STOCK EXCHANGE: A comprehensive legal framework was provided by the “Securities Contract Regulation Act, 1956” and “Securities Exchange Board of India 1952”. Three tier regulatory structure comprising  Ministry of finance  The Securities And Exchange Board of India  Governing body MEMBERS OF THE STOCK EXCHANGE: The securities contract regulation act 1956 has provided uniform regulation for the admission of members in the stock exchanges. The qualifications for becoming a member of a recognized stock exchange are given below: The minimum age prescribed for the members is 21 years. He should be an Indian citizen. He should be neither a bankrupt nor compound with the creditors. He should not be convicted for fraud or dishonesty. He should not be engaged in any other business connected with a company. He should not be a defaulter of any other stock exchange. The minimum required education is a pass in 12th standard examination
  • 53.
    53 SECURITIES AND EXCHANGEBOARD OF INDIA (SEBI): The securities and exchange board of India was constituted in 1988 under a resolution of government of India. It was later made statutory body by the SEBI act 1992.according to this act, the SEBI shall constitute of a chairman and four other members appointed by the central government. With the coming into effect of the securities and exchange board of India act, 1992 some of the powers and functions exercised by the central government, in respect of the regulation of stock exchange were transferred to the SEBI. OBJECTIVES AND FUNCTIONS OF SEBI: To protect the interest of investors in securities. Regulating the business in stock exchanges and any other securities market. Registering and regulating the working of intermediaries associated with securities market as well as working of mutual funds. Promoting and regulating self-regulatory organizations. Prohibiting insider trading in securities. Regulating substantial acquisition of shares and take over of companies. Performing such functions and exercising such powers under the provisions of capital issues (control) act, 1947 and the securities to it by the central government.
  • 54.
    54 SEBI GUIDELINES TOSECONDARY MARKETS: Board of Directors of Stock Exchange has to be reconstituted so as to include non-members, public representatives and government representatives to the extent of 50% of total number of members. Capital adequacy norms have been laid down for the members of various stock exchanges depending upon their turnover of trade and other factors. All recognized stock exchanges will have to inform about transactions within 24 hr
  • 55.
    55 COMPANY PROFILE ABOUT SHAREKHANLIMITED: Sharekhan Limited is one of the fastest growing financial services providers with a focus on equities, derivatives and commodities brokerage execution on the National Stock Exchange of India Ltd. (NSE), Bombay Stock Exchange Ltd. (BSE), National Commodity and Derivatives Exchange India (NCDEX) and Multi Commodity Exchange of India Ltd. (MCX). Sharekhan provides trade execution services through multiple channels - an Internet platform, telephone and retail outlets and is present in 280 cities through a network of 704 locations. The company was awarded the 2005 Most Preferred Stock Broking Brand by Awwaz Consumer Vote. ORIGIN:  Sharekhan traces its lineage to SSKI, an organization with more than decades of trust and credibility in the stock market.  Pioneers of online trading in India- Sharekhan.com was launched in 2000 and is now the second most visited broking site in India.  Has one of the largest networks of Share shops in the country. SHAREHOLDING PATTERN: SHAREHOLDERS HOLDINGS CITI Venture Capital and other Private Equity Firm 81% IDFC 9% Employees 10%
  • 56.
    56 MANAGEMENT TEAM CONSISTSOF: NAME POST Tarun Shah Chief Executive Officer Mr. Pathik Gandotra Head Of Research Mr. Rishi Kohli Vice President Of Equity Derivative Jaideep Arora Director- Products And Technology Shankar Vailaya Director- Operation Share khan Limited offers blend of tradition and technology like Share shops, dial-n-trade and online trading- where there is choice of three trading interfaces which are speed trade for active trader, web based classic interface for investor, web based applet- fast trade for investor. Share khan Limited was formerly known as SSKI Investor Services Private Limited. The company is based in Mumbai, India and its address is- A-206 Phoenix House, 2nd Floor Senapati Bapat Marg, Lower Parel Mumbai, 400 013. India. Phone: 91 22 24982000 Fax: 91 22 24982626 www.sharekhan.com ADVANCED TECHNOLOGY USED BY SHAREKHAN: Share khan has selected Aspect® EnsemblePro™ from the Aspect Software Unified IP Contact Center product line, a unified contact centre solution delivering advanced multichannel contact capabilities, because it provided the best total value over other solutions evaluated. It enabled Share khan to meet customer service needs for inbound call handling, voice self service, predictive outbound dialing, call blending, call
  • 57.
    57 monitoring and recording,and creating outbound marketing campaigns, among other capabilities. This helps them to  Increased agent efficiency and productivity.  Enabled company to execute proactive customer service calls and expand services offered to customers.  Enhanced call monitoring for improved service quality Financial services are a highly competitive and volume-driven industry which demands high standards of customer service, effective consultation and quick deliverables. This is something Share khan Limited, a financial services provider based in India, understands. The company offers several user-friendly services for customers to manage their stock portfolios, including online capabilities linked to an information database to help customers confidently invest, and inbound customer services using voice self-service technology and customer service agents handling telephone orders from clients. With a customer base of more than 500000, and a employee of 3100 Share khan continues to grow at a fast pace. Customer satisfaction is a top priority in Share khan‟s agenda. Its primary objective  To help and support its customers in managing their portfolio in the best possible manner through quality advice, innovative product and superior service. Scheme which are provided by Share khan cover almost every segment of the customer.
  • 58.
    58 SCHEME INVESTOR First StepNew Comer Classic Trade Occasionally Speed Trade Day Trader Platinum Circle High Net Worth Individuals COMPANY BACKGROUND: Share khan is the retail broking arm of SSKI, securities pvt ltd. SSKI owns 56% in share khan, balance ownership is HSBC, first caryle, and Intel pacific. Into broking since 80 years. Focused on providing equity solutions to every segment. Largest ground network of 210 branded share shops in 90 cities. STOCK MARKETS IN INDIA: Stock exchanges are the perfect type of market for securities whether of government and semi-govt bodies or other public bodies as also for shares and debentures issued by the joint-stock companies. In the stock market, purchases and sales of shares are affected in conditions of free competition. Government securities are traded outside the trading ring in the form of over the counter sales or purchase. The bargains that are struck in the trading ring by the members of the stock exchanges are at the fairest prices determined by the basic laws of supply and demand.
  • 59.
    59 Definition of “StockExchange”: “Stock Exchange means any body or individuals whether incorporated or not, constituted for the purpose of assisting, regulating or controlling the business of buying, selling or dealing in securities.” The securities include:  Shares of public company.  Government securities.  Bonds
  • 60.
    60 TABLE 4.1: Futures of„INFOSYS‟ Date OPEN Rs. HIGH Rs. LOW Rs. CLOSE Rs. N.O.C. 02-SEP-10 1755 1780 1750 1761.7 6577 03-SEP-10 1754.95 1833 1725 1782.5 12076 06-SEP-10 1829.95 1839.9 1795 1816.55 12420 07-SEP-10 1795 1795 1736.4 1762.75 10606 08-SEP-10 1748 1772 1721 1731.05 9547 09-SEP-10 1800 1800 1689.9 1762.8 15560 10-SEP-10 1765 1794 1704.9 1725.8 10675 13-SEP-10 1760 1808.9 1725.2 1800.4 16253 14-SEP-10 1811 1877.6 1811 1861.85 15243 15-SEP-10 1874 1895.1 1842 1852.45 12720 16-SEP-10 1840 1884.5 1833.1 1863.3 10210 17-SEP-10 1860 1885 1807.75 1885 5637 20-SEP-10 1835 1835 1835 1835 12139 21-SEP-10 1800 1800 1800 1800 10634 22-SEP-10 1785.3 1856 1771 1849.5 19275 23-SEP-10 1857 1869.9 1836.3 1847.45 19252 24-SEP-10 1877 1900 1877 1896 14500 27-SEP-10 1880 1900 1880 1900 14738 28-SEP-10 1890 1950 1871 1983.9 16334 29-SEP-10 1946 2021 1943 1951.95 13914 30-SEP-10 1955 1955 1885.7 1928.2 13456 01-OCT-10 1900 1921.5 1855.8 1874.75 10158 04-OCT-10 1890 1990 1890 1983.95 12770 05-OCT-10 1990 2019.5 1980.35 1983.35 8646 06-OCT-10 1946 1970.8 1892.2 1912.9 161 07-OCT-10 1900 1911 1799 1854.25 13052
  • 61.
    61 GRAPH 4.1: INTERPRETATION: The closingprice of Infosys at the end of the contract price is 1854.25 and this is considered as settlement price and the No of contracts of Infosys is 13052 and there is a fluctuation in the price of the Infosys. At the end of the date the price is high at 1911 and price is low at 1799. 0% 20% 40% 60% 80% 100% 6-Sep-10 9-Sep-10 14-Sep-10 17-Sep-10 22-Sep-10 27-Sep-10 30-Sep-10 N.O.C. CLOSE LOW HIGH OPEN
  • 62.
    62 TABLE 4.2: Futures of„Dr.REDDY‟ Date OPEN Rs. HIGH Rs. LOW Rs. CLOSE Rs. N.O.C. 02-SEP-10 625 639 625 637.1 364 03-SEP-10 638.9 653.95 637.05 648.05 553 06-SEP-10 644 651.4 635.45 648 335 07-SEP-10 649 657.7 636.2 655.7 558 08-SEP-10 649 649 628.5 631.5 498 09-SEP-10 628 638.8 620 635.25 3669 10-SEP-10 626 636.4 620.3 624.15 455 13-SEP-10 620 679 620 672.45 1472 14-SEP-10 655.1 655.1 651.1 651.1 1260 15-SEP-10 653 664.8 648.5 652.8 758 16-SEP-10 644 656.4 633.5 641.75 1590 17-SEP-10 630 665 630 657.6 1328 20-SEP-10 643 689.5 642.5 681.95 2742 21-SEP-10 679.4 694 669 677.5 2275 22-SEP-10 675.95 705.8 675.95 682.5 1150 23-SEP-10 685 692.9 677.5 686.9 2264 24-SEP-10 688.2 691 675.5 683.63 1599 27-SEP-10 685.5 703.9 674.85 679.75 1911 28-SEP-10 697 697 697 6967 1956 29-SEP-10 714.4 724.45 697.05 713.6 1763 30-SEP-10 705.5 715.45 683.25 697.3 1395 01-OCT-10 692.2 710 664 669.83 984 04-OCT-10 674.9 707.3 672 699.20 1324 05-OCT-10 701.1 707.8 689.1 693.4 744 06-OCT-10 670 711 670 690.05 1342 07-OCT-10 695 695 695 695 1249
  • 63.
    63 GRAPH 4.2: INTERPRETATION The closingprice of Dr.Reddy at the end of the contract price is 695 and this is considered as settlement price and the No of contracts of Dr.Reddy is 1249 and there is a fluctuation in the price of the Infosys. At the end of the date the price is high at 695 and price is low at 695. 0% 20% 40% 60% 80% 100% 6-Sep-10 9-Sep-10 14-Sep-10 17-Sep-10 22-Sep-10 27-Sep-10 30-Sep-10 5-Oct-10 N.O.C. CLOSE LOW HIGH OPEN
  • 64.
    64 TABLE 4.3: PUT OPTIONSOF “INFOSYS” Options PA 1650 PA 1680 PA 1740 PA 1770 PA 1800 Date C.P N.C C.P N.C C.P N.C C.P N.C C.P N.C 02-SEP-10 26.35 23 38.2 2 57 15 75 1 99 1 03-SEP-10 24.35 30 31.55 14 46.65 31 79 1 58.65 4 06-SEP-10 18 37 20.55 5 31.5 151 79 0 61.9 70 07-SEP-10 20 32 25.5 4 51 133 30 1 82.1 72 08-SEP-10 26 29 36.9 2 63.3 34 30 0 103 8 09-SEP-10 20.55 40 36.1 10 40.85 45 62 4 115 1 10-SEP-10 29.95 28 32 11 61.65 41 84.7 3 110 127 13-SEP-10 12.25 49 15.8 4 22.45 39 40.05 2 52 93 14-SEP-10 5.95 30 8.5 12 14.45 163 19.95 14 29 329 15-SEP-10 6 1 5.05 2 9.05 21 16 6 25.6 119 16-SEP-10 3.5 4 4 3 6.35 10 10.1 1 18.4 69 17-SEP-10 2.8 3 4 0 6.7 14 10.1 0 14.2 50 20-SEP-10 2.5 3 4 0 8.45 28 10.1 0 19.7 69 21-SEP-10 2.2 2 2.5 1 8.5 23 29 9 25.35 138 22-SEP-10 1.5 12 2 1 4.0 15 6 11 19.9 36 23-SEP-10 1.1 4 1.1 6 1.55 19 5.79 3 9.35 44 24-SEP-10 1.1 0 1.1 0 0.65 10 5.75 0 1.1 41 27-SEP-10 0.25 6 0.3 4 0.2 7 0.25 1 0.2 35 28-SEP-10 203.9 0 221.4 0 223.5 0 13 1 26.85 46 29-SEP-10 14 1 221.4 0 223.5 0 20 56 20.25 100 30-SEP-10 14 0 221.4 0 223.5 0 20.6 8 24.75 48 01-OCT-10 14 0 221.4 0 223.5 0 26 7 38.4 43 04-OCT-10 14 0 221.4 0 223.5 0 19.35 355 20.45 77 05-OCT-10 14 0 221.4 0 223.5 0 18 90 18.25 26 06-OCT-10 14 0 221.4 0 223.5 0 21.6 22 25.16 176 07-OCT-10 14 0 125.03 0 221.4 0 244.4 0 262 0
  • 65.
    65 GRAPH 4.3: Put Option: Buyerspay off Those who have purchased put option at a strike price of 1650, the premium payable is 26.55 On the expiry date the spot market price enclosed at 1785.95 and strike price is 1650 .so the buyer will lose only premium . (Premium is 26.55 and lot size is (828*26.55)21990 I.e. total loss =21990 seller pay off As seller is entitled only for premium if he is in profit So his profit is only premium I.e. 828*26.55=21990 0% 20% 40% 60% 80% 100% 9/2/2010 9/9/2010 9/16/2010 9/23/2010 9/30/2010 10/7/2010 CA 1770 N.C CA 1770 C.P CA 1740 N.C CA 1710 N.C CA 1710 C.P CA 1680 N.C CA 1680 C.P CA 1650 N.C CA 1650 C.P
  • 66.
    66 TABLE 4.4: CALL OPTIONSOF “INFOSYS” Options CA 1650 CA 1680 CA 1710 CA 1740 CA 1770 Date C.P N.C C.P N.C C.P N.C C.P N.C C.P N.C 02-SEP-10 144.5 10 122.3 10 97 19 71.9 9 56.25 12 03-SEP-10 179 1 149 13 122.15 20 104.65 68 83.55 25 06-SEP-10 198.5 10 163.5 14 141.25 1 114 84 95 10 07-SEP-10 1985 0 124 12 100 1 81.85 53 81.85 531 08-SEP-10 198.5 0 87 2 87 3 62.2 34 48.2 17 09-SEP-10 149 8 125 6 110 4 75.95 248 63.4 64 10-SEP-10 110.05 4 100 1 72.35 5 56.7 38 43.5 27 13-SEP-10 110.5 0 148 1 137 3 98.75 69 77 53 14-SEP-10 110.5 0 211.95 14 185.2 25 153.85 117 123 36 15-SEP-10 110.5 0 211.95 0 171.2 1 133 10 110 9 16-SEP-10 110.5 0 211.95 0 171.2 0 169.95 2 150 4 17-SEP-10 110.5 0 211.95 0 180 1 139.9 2 119.95 1 20-SEP-10 - - 160.1 3 139.9 0 104.1 5 67.5 26 21-SEP-10 - - - - 120.5 6 85 9 67.45 15 22-SEP-10 - - - - 175 13 145.35 21 115.85 16 23-SEP-10 110.05 0 190 0 170.7 12 141.6 52 112.5 2 24-SEP-10 - - 229.5 2 199.8 29 172.15 25 145 3 27-SEP-10 110.05 0 229.5 0 199.8 0 172.15 0 145 0 28-SEP-10 264.05 0 249.9 0 236.55 0 233.4 0 211.05 0 29-SEP-10 301 0 168.55 0 461.1 0 169.65 0 160.45 0 30-SEP-10 301 0 168.55 0 461.1 0 169.65 0 160.45 0 01-OCT-10 301 0 168.55 0 461.1 0 169.65 0 160.45 0 04-OCT-10 301 0 168.55 0 160 1 169.65 0 160.45 0 05-OCT-10 307 0 168.55 0 160 0 169.65 0 160.45 0 06-OCT-10 307 0 168.55 0 160 0 169.65 0 160.45 0 07-OCT-10 307 0 168.55 0 160 0 169.65 0 160.45 0
  • 67.
    67  C.P. =Close Premium  N.C. = Number of Contracts GRAPH 4.4: The following table of net payoffs explains the profit/loss of option Holder/writer of INFOSYSTCH for the month of 2nd Sep to 07-Oct, 2010. Call option Buyers pay off: as bought one lot of Infosys i.e. 828,those who buy for 1650 paid 144.55 premium per share. Market price is 1785.95 Formula Pay off =spot price –strike price =1785.95-1650 =135.95 Interpretation:- The buyer will get loss but the seller will get profit i.e. strike price less than the spot price and the premium is 144.55 0% 20% 40% 60% 80% 100% 9/2/2010 9/9/2010 9/16/2010 9/23/2010 9/30/2010 10/7/2010 CA 1770 N.C CA 1770 C.P CA 1740 N.C CA 1710 N.C CA 1710 C.P CA 1680 N.C CA 1680 C.P CA 1650 N.C CA 1650 C.P
  • 68.
    68 Profit/Loss Position ofPut Option Buyers/ Writers of INFOSYS Spot Price Strike Price Premiu m Buyers(Gain/Los s) Writers (Gain/Loss) 1785.95 1650 26.55 -21990 21990 1785.95 1680 38.32 -13550 13550 1785.95 1740 57 2210 -2210 1785.95 1770 75 -11810 1785.95 1800 99 2810 -2810
  • 69.
    69 Profit/Loss Position ofCall Option Buyers/ Writers of INFOSYS Spot Price Strike Price Premiu m Buyers(Gain/Los s) Writers (Gain/Loss) 1785.95 1650 144.55 -1720 1720 1785.95 1680 123.5 -3470 3470 1785.95 1740 97 -10210 10210 1785.95 1770 71.9 -11190 11190 1785.95 1800 56.5 1440 -1440
  • 70.
    70 Put options of“DR.REDDY`S” Options PA 560 PA 580 PA 600 PA 620 PA 640 Date C.P N.C C.P N.C C.P N.C C.P N.C C.P N.C 02-SEP-10 47.05 12 57 2 67.95 11 79.9 0 92.75 0 03-SEP-10 35.25 91 57 5 54.5 16 65.8 0 78.15 0 06-SEP-10 37.05 15 57 0 67.95 52 79.0 0 92.75 1 07-SEP-10 47.05 31 57 1 67.95 51 79.0 0 92.75 0 08-SEP-10 47.05 95 57 0 67.95 0 79.9 0 92.75 5 09-SEP-10 47.05 0 44.3 1 54.5 0 65.8 0 78.15 3 10-SEP-10 35.25 0 44.3 0 54.5 0 65.8 0 78.15 0 13-SEP-10 35.25 0 44.3 0 54.5 1 65.8 0 78.15 0 14-SEP-10 35.25 0 44.3 0 54.5 0 65.8 0 78.15 0 15-SEP-10 35.25 0 44.3 0 54.5 0 65.8 0 78.15 0 16-SEP-10 35.25 0 44.3 0 54.5 0 65.8 0 78.15 0
  • 71.
    71 GRAPH 4.5: Put Option: Buyerspay off Those who have purchased put option at a strike price of 560, the premium payable is 47.02 On the expiry date the spot market price enclosed at 638.95 and strike price is 560 .so the buyer will lose only premium. (Premium is 47.02 and lot size is (270*47.02) 12772 I.e. total loss =12772 seller pay off As seller is entitled only for premium if he is in profit So his profit is only premium I.e. 270*47.02=12772 0% 20% 40% 60% 80% 100% 9/2/2010 9/4/2010 9/6/2010 9/8/2010 9/10/2010 9/12/2010 9/14/2010 9/16/2010 PA 640 N.C PA 640 C.P PA 620 N.C PA 620 C.P PA 600 N.C PA 600 C.P PA 580 N.C PA 580 C.P PA 560 N.C PA 560 C.P
  • 72.
    72 Profit/Loss Position OfPut Option Buyers/Writers ofz DR.REDDY Spot Price Strike Price Premiu m Buyers(Gain/Los s) Writers (Gain/Loss) 638.95 560 47.02 -12772 12772 638.95 580 57 -780 780 638.95 600 67.95 11600 -11600 638.95 620 79.9 24380 -24380 638.95 640 92.75 36680 -36680
  • 73.
    73 TABLE 4.6: Call optionsof “Dr.Reddy`s” Options CA 560 CA 580 CA 600 CA 620 CA 640 Date C.P N.C C.P N.C C.P N.C C.P N.C C.P N.C 02-SEP-10 72.2 1 61.7 4 52.4 6 44.2 7 37.05 0 03-SEP-10 85.95 0 73.2 3 61.7 11 51.6 11 42.7 0 06-SEP-10 72.2 0 74.8 1 111.4 1 44.2 14 88.45 0 07-SEP-10 72.2 0 60.2 0 61.75 36 100.4 0 51.6 1 08-SEP-10 84.3 5 61.7 0 52.4 0 51.6 0 42.7 3 09-SEP-10 70.2 1 61.7 1 52.4 0 44.2 13 37.05 0 10-SEP-10 72.3 1 73.8 5 52.4 1 44.2 0 37.05 1 13-SEP-10 72.2 0 72.2 0 61.7 0 44.2 0 88.45 0 14-SEP-10 72.2 0 72.2 0 61.75 1 44.2 0 42.7 0 15-SEP-10 72.2 0 72.2 0 61.75 0 44.2 0 42.7 0 16-SEP-10 72.2 0 61.7 0 111.4 0 44.2 0 42.7 0  C.P. = Close Premium  N.C. = Number of Contracts The following table of net payoffs explains the profit/loss of option holder/writer of DRREDDY for the month of 02-Sep to . 07-Oct, 2010.
  • 74.
    74 GRAPH 4.6: Call option Buyerspay off‟s The lot of Dr.Reddy‟s i.e. 270, those who buy for s560 paid 72.2 premiums pershare. Market price is 638.95 Formula Pay off =spot price –strike price =638.95-560 =78.95 Interpretation:- The buyer will get loss but the seller will get profit i.e. strike price less than the spot price and the premium is 72.2 0% 20% 40% 60% 80% 100% 9/2/20109/4/20109/6/20109/8/20109/10/20109/12/20109/14/20109/16/2010 N.C C.P N.C C.P N.C C.P N.C C.P N.C C.P
  • 75.
    75 Profit/Loss Position OfCall Option Buyers/Writers Of DR.REDDY’S Spot Price Strike Price Premiu m Buyers(Gain/Los s) Writers (Gain/Loss) 638.95 560 72.2 2700 -2700 638.95 580 61.7 -5300 5300 638.95 600 54.4 -6180 6180 638.95 620 44.2 -10100 10100 638.95 640 37.05 -14820 14820
  • 76.
    76 FINDINGS:- • As ofthe early day of the trading with open penetrating price with Rs.1755 for two days it is stable on the third day it shoot up to Rs.1829.95 & buyers are Bearish short it out it falls to Rs.1748 after two days. And as stood with Rs.1800 & again down by two days. For the early week it was raised in one day and falls for two days and from then it shown appositive upwards movement in future and by the month end it was settle down with Rs.1900. • The future of INFOSYS shown a Bullish way till the 7th of May. And in the 6th June it was Rs.1990; the highest price with number of contracts is 8646. And on 26th May the players are bullish & numbers of contracts were 19275 as highest contract with an open price Rs.1785.36 in that month. From 5th to 9th market increases open with 625 on 5th May. The market price rose from Rs.625 on first day to 9th May, were it stood at Rs.649 as high. As the player in the market with an intention to short or correct the market they showed an bearish attitude for the next 3 days, were the price fall to Rs.620. And the very next day it shoot up to Rs.655.10 & it slowly fall down for the next 3 days from then it showed the greedy to the investors and price rose to remaining days and at last fall down with Slight variations Among the open prices the price at Rs.643, the open interest stood at peak position 9, 12,800. Before that from the open position & the trading is bullish & after it reaches to 9, 12,800. The very next day, the players sold the Futures as to gain. The total contract traded at this price stood 2742 which is highest for that month
  • 77.
    77 The Put option1740, 1770 and 1800 were in-the-money option and the remaining i.e., 1650, 1680 was out-of-the-money. The call option 1650, 1680, 1740 & 1770 were out-of-the-money only 1800 were in-the-money. The Profit of Holder = (Strike Price - Spot Price) - Premium *200 (Lot size) incase of Put Option. The Profit of Holder = (Spot Price - Strike Price) - Premium * 200 (Lot size) incase of Call Option. If it is a profit for buyer then obviously it is a loss for the holder & Vice-versa. She Put option 600, 620, and 640 were in-the-money option and the remaining i.e., 560, and 580 were out-of-the-money. The call option 560 was out-of-the-money and only 580, 600, 620 and 640 were in-the-money. The Profit of Holder = (Strike Price-Spot Price)- Premium * 400(Lot size) incase of Put Option. The Profit of Holder = (Spot Price-Strike Price)-Premium * 400(Lot size) incase of Call Option. If it is a profit for buyer then obviously it is a loss for the holder & Vice-versa.
  • 78.
    78 SUGGESTIONS It is betterto the investors to keep their money in Infosys futures. In a bearish market it is suggested to an investor to opt for Put Option in order to minimize losses. In a bullish market it is suggested to an investor to opt for Call Option in order to maximize profits. In a cash market the profit/loss is limited but where in futures and options an investor can enjoy unlimited profit/loss. It is recommended that SEBI should take measures in improving awareness about the futures and options market as investors still don‟t have much understanding about them. It is suggested to an investor to keep in mind the time and expiry duration of futures and options contracts before trading. The lengthy the time, the risk is low and more chances of profit making.
  • 79.
    79 LIMITATIONS OF THESTUDY  The study is confined to only one month trading contract  The study does not look any Nifty Index Futures and Options and international markets into the consideration.  This is a study conducted within a period of 45 days.  The study contains some assumption based on the demands of the . Analysis‟s
  • 80.
    80 CONCLUSION They would havetaken more number of futures of Infosys in that month, so that they will be in profits. Investors should choose Infosys rather than Dr.Reddy`s. The investors in the Infosys options would have choose more number of lots in the put option. Dr.Reddy`s options of call is more profitable than the put option. The traders would have taken more number or lots. The investors who are investing in the derivative market in futures and options should choose the blue chip companies whose companies past 3 quarters are in gradually increasing trend. The greed and fear of individual leads to cause of fluctuations in the stock market sometimes the external factors of economical and political mishaps.
  • 81.
    81 BIBLIOGRAPHY Text Books:- 1. “Securitiesanalysis & Portfolio Management”, by R. Madhumati, Pearson Education 2. “Investments”, by Schaum‟s, TATA McGraw-Hill. 3. “International Financial Management”, by P.G.Apte, TATA McGraw-Hill. 4. “Financial Institutions and Markets”, by L.M.Bhole, TATA McGraw-Hill. 5. “Options, Futures and Other Derivatives”, by John C. hull, Education. Web sites: 1. URL: http//www.nseindia.com 2. URL: http//www.bseindia.com 3. URL: http//www.economictimes.com 4. URL: http//www.sharekhan.com 5. URL: http//www.google.com
  • 82.
    82 APPENDICES Arbitrage – Thesimultaneous purchase and sale of a commodity or financial instrument in different markets to take advantage of a price or exchange rate discrepancy. Calendar Spread – An option strategy in which a short term option is sold and a longer term option is bought both having the same striking price. Either puts or calls may be used. Call Option – An option that gives the buyer right to buy a future contract at a premium, at the strike price. Currency Swap – A Swap in which the counter parties exchange equal amounts of two currencies at the spot exchange rate. Derivative – A derivative is an instrument whose value derived from the value of one or more underlying assets, which can be commodities, precious metals, currency, bonds, stocks, stock indices, etc. derivatives involves the trading of rights or obligations based on the underlying assets, but do not directly transfer the property. Double Option – An option that gives the buyer the right to buy and or sell a Future contract, at a premium, at a strike price. Futures Contract –A legally binding agreement for the purpose and a sell of a commodity, index or financial instrument some time in the future. Hedge Fund – A large pool of private money and asset managed aggressively and often riskily on any future exchange, mostly for short term gain. In-the-money option – An option with intrinsic value, a Call option is in the money if its strike price is below the current price of the underlying futures contract and the put option is in the money if it is above the underlying.
  • 83.
    83 Margin call –A demand from a clearing house to a clearing member or from a broker to a customer bring deposits up to a required minimum level to guarantee performance at ruling prices. Option – it gives the buyer the right, but not the obligation, to buy or sell stock at a set. price on or before a given date. Investors who purchase call options but the stock will be worth more than the price set by the option (strike price), plus the price they paid for the option itself. Buyer of put option bet the stock price will go down below the price set by the option. Out-of-the-money option – An option with no intrinsic value, a call option is out of money if its strike price is above the underlying and a put option is so if it is below the underlying. Premium – The price of an option contract, determined on the exchange, which the buyer of the option pays to the option writer for the rights to the option contract. Spread – The difference between the bid and asked prices in any market. Stop loss orders – An order place in the market to buy or sell to close out an open position on order to limit losses when market moves the wrong way. Swap – An agreement to exchange on currency on index return for another, the exchange on fixed interest payments for a floating rates payments or the exchange of an equity index return for a floating interest rate. Underlying – The currency, commodity, security or any other instrument that forms the basis of a future or a option contract. Writer – The person who originates the option contract by promising to perform the certain obligation in return for the price of the option. Also known as the option writer.
  • 84.
    84 All or notingoption – An option with a fixed, predetermined payoff if the underlying instrument is at or beyond the strike price at expiration. Average option – A path dependent option that calculates the average of the path traversed by the asset, arithmetic or weighted. The payoff therefore the difference between the average price of the underlying asset, over the life of option and the exercise price of the option. Basket option – A third party option covered warrant on a basket of underlying stocks, currencies or commodities. Bermuda option – Like the location of the Bermudas, this option located somewhere between a European style options, this can be exercised only maturity and an American style option which can be exercised any time. Option holders choose – this option can be exercisable only on predetermined dates. Compound options – This is simply an option on an existing option such as a call on a call a put on a put etc, a call on a put etc. Cross-currency options – An out performance option stock at an exchange rate between two currencies. Digital options – These are options that can be structured as a “one touch” barrier, “double no touch” barrier and: all nothing “call/puts”. The “one touch” digital provides an immediate payoff if the currency hits your selected price barrier chosen at outset. The “double no touch” provides a payoff upon expiration if the currency does not touch both the upper and lower price. barrier selected at the outset. The call/put “all or nothing” digital option provides a payoff upon expiration if your option finishes in the money.
  • 85.
    85 Knock-in-options – Thereare two kinds of known in options, 1) up and in, 2) down and. in. with known in options, the buyer starts out without a vanilla option. If the buyer has selected an upper price barrier and the currency hits that level; it creates the vanilla option with maturity date And strike price agreed upon at the outset. This would be called an up and in. the down and in option is the same as the up and in, expect the currency has to reach a lower barrier. Upon hitting the chosen lower price level, it creates the vanilla option. Multi-index option – An out performance option with a payoff determined by the deference in performance of two or more indices. Out performance option – An option with a payoff based on the amount by which one of two underlying instruments or indices outperform the other. Quantity adjusting option – This is an option design to eliminate the currency risk by fix effectively hedging it. It evolves combining an equity option and incorporating a predetermined rate. Secondary currency option – An option with a payoff in a difference currency than the underling‟s trading currency. Swaption – An option to enter into a Swap contract. Up-and-out-option – The call pays of early exercise price trigger is hit. The put expires. Worthless if the market price of the underlying risks is above a predetermined expiration price.