LEMBARAN KERJA MAHASISWA 
MATA KULIAH FARMASI INDUSTRI 
PROGRAM PENDIDIKAN APOTEKER 
FAKULTAS FARMASI 
UIVERSITAS ANDALAS 
Dosen : Syofyan, S.S.i, M.Farm, Apt 
Pokok Bahasan: R & D 
IDENTITAS MAHASISWA DAN TUGAS 
Nama ERSA YULIZA, S.Farm 
No Urut Absen 11 
Kelompok A 
Pertemuan ke 2 
Hari/Tanggal 28 Oktober 2014 
Topik Formulasi sediaan dan evaluasi 
A KASUS 
Senyawa A memiliki data fisikokimia sebagai berikut: 
Struktur kimia: 
BM : 862,06 g/mol. BM Bentuk Base : 733,94 g/mol
Pemeriaan: serbuk hablur putih atau sedikit kuning, tidak berbau atau praktis tidak 
berbau, praktis tidak berasa. 
Kelarutan: sangat sukar larut dalam air, mudah larut dalam etanol, dalam kloroform 
dan dalam PEG 400. 
Stabilitas: mudah terurai dalam asam lambung, tidal stabil dalam larutan yang 
mengandung air. Ph stabilitas optimal 7-8 
Penyimpanan: dalam wadah tertutup rapat dan terlindung dari cahaya 
Dosis obat bentuk base 200 mg/5 ml. 
Rancanglah bentuk sediaan obat yang tepat (formula) untuk zat aktif A tersebut 
berdasarkan data di atas dan jelaskan pembuatan dan evaluasi terhadap formula 
tersebut! 
B KEY WORDS/TERMINOLOGI FARMASI 
1. Eritromisin 
Merupakan golongan antibiotik makrolid dimana memiliki persamaan yaitu 
terdapatnya cincin lakton yang besar dalam rumus molekulnya. Eritromisin 
dianggap paling penting dalam golongan makrolid tersebut. Efek terbesar 
eritromisin terhadap kokus gram positif. 
2. Suspensi kering 
Suspensi kering atau suspensi rekonstitusi adalah sejumlah sediaan resmi dan 
diperdagangkan yang terdiri dari campuran kering atau serbuk granula, 
dimaksudkan untuk disuspensikan dalam air atau pembawa lainnya sebelum 
pemberian. Stabilitas suspensi ini dapat dipertahankan ± 7 hari. 
3. Pensuspensi (suspending agent) 
Zat yang digunakan untuk menurunkan sedimentasi partikel suspensi. Zat ini 
tidak larut yang terdispersi dalam cairan pembawa. zat ini bekerja dengan 
cara meningkatkan viskositas cairan pembawa. 
4. Wetting agent 
Atau juga disebut surfaktan, merupakan zat yang digunakan untuk 
menurunkan tegangan permukaan antar dua cairan atau antara cairan dan 
serbuk. 
C RUMUSAN KASUS 
1) Alasan Pemilihan bentuk sediaan: 
Bentuk sediaan yang tepat (formula) untuk zat aktif berupa Eritromisin yaitu 
suspensi kering karena kebanyakan antibiotik akan terurai atau tidak stabil 
jika kontak lama dalam pembawa air. 
Obat tidak diformulasi dalam bentuk base nya, tapi dalam bentuk garam nya 
yaitu eritromisin etil suksinat karena kelarutan dalam air yang rendah jika 
obat dalam bentuk base. 
Zat tambahan yang biasa digunakan dalam sediaan suspensi kering ialah 
pensuspensi, pengawet, pemanis, pewarna, dan wetting agent. 
2) Alasan pemilihan metode pembuatan 
Adapun metode yang bisa digunakan yaitu metode produk campuran 
serbuk dan granulasi kering namun kal i ini digunakan metode 
campuran serbuk. Hal ini di lakukan karena zat akti f tidak tahan
terhadap pemanasan sehingga dihindari dari proses pembuatan yang 
mel ibatkan pemanasan. Dengan menggunakan metode ini diharapkan 
sediaan terhindar dari ketidakstabilan zat aktif di bandi ngkan dengan 
meto de gr anul as i . Sedangkan untuk meto de campur an ser buk 
dan gr anul t i dak di gunakan kar ena dapat memi sah antar a 
bahan gr anul d an no n gr anul ket i ka di r eko s t i tus i . Meto de i ni 
di anggap pal i ng bai k untuk sedi aan er i t r omi s i n dan j uga 
pembuatannya yang l ebi h mudah. 
3) Preformulasi 
Formularium Officinale: (Formularium Nasional, Hal: 126) 
ERYTRHOMYCINI AETHYLSUCCINAS PRO SUSPENSIONE 
Eritromisin etilsuksinat untuk suspense 
Komposisi : untuk tiap 5 mL suspense jadi mengandung Eritromisin 
etilsuksinat setara dengan eritromisin 200 mg 
Zat tambahan yang cocok secukupnya 
4) Data Preformulasi 
Zat Aktif 
1. Eritromisin Etil Suksinat ( Farmakope Indonesia edisi IV hal 359, 
Martindale edisi 36 hal 269 Drug Infomations 88 hal 197,, Drug 
Information hal 240-241) 
Rumus Molekul : C43H75NO16 
Berat Molekul : 862,06 
Rumus Bangun : 
Pemerian :Serbuk hablur putih atau sedikit kuning, tidak berbau 
atau praktis tidak berbau; praktis tidak berasa 
Kelarutan :Sangat sukar larut dalam air; mudah larut dalam 
etanol dan dalam polietilena glikol 400 
Dosis : 1. Dewasa : 200 - 400 mg tiap 6 jam sekali pakai
2.Anak : 30-50mg/kg sehari dalam 4 dosis tiap 6 
jam 
pH : antara 6,0 dan 8,5 
Inkompatibilitas : dengan natrium ampisilin dan natrium kloklasilin 
Stabilitas : 
 Eritromisin etil suksinat setelah direkonstitusi dapat bertahan 
kurang dari 10 hari dan harus dimpan di lemari es. 
 Suspensi rekonstitusi dapat disimpan pada suhu dibawah 300C 
atau dapat disimpan pada lemari es selama 10 hari-35 hari. 
Khasiat : Antibiotik, obat malaria 
Wadah :Dalam wadah tertutup rapat. 
Zat Tambahan 
1. CMC Na 
(Handbook of Pharmaceutical Exipient 6th Ed hal. 134) 
Rumus bangun : 
O 
O 
O 
OH 
OH 
ONa 
O 
H 
O 
O 
O 
ONa 
OH 
OH 
OH 
O 
n/2 
Pemerian : serbuk atau granul, warna putih sampai krem, tidak 
berasa. 
Kelarutan : praktis tidak larut dalam aseton, etanol, eter, dan 
toluene. Mudah terdispersi dalam air, pada semua 
temperatur menghasilkan larutan koloidal 
Bobot jenis : 0,52 
Penyimpanan : Dalam wadah tertutup rapat 
Konsentrasi : 0,1,-1,0% 
pH : 6,5-8,5 
Kegunaan : Pengental (thickening agent) dan suspending agent. 
OTT : Tidak bercampur dengan larutan asam kuat dan larutan 
asam yang mengandung logam seperti aluminium, 
merkuri, dan zink
Stabilitas : CMC stabil, meskipun bahan tersebut bersifat 
higroskopik. 
2. Sorbitol 
(Handbook of Pharmaceutical Exipient 6th Ed. Hal. 679, Farmakope 
Indonesia IV hal.756) 
Rumus bangun : 
HO 
HO OH 
HO 
HO OH 
Pemerian :Serbuk, butiran atau kepingan putih, rasa manis, 
higroskopis, berbau lemah. 
Kelarutan :Sangat mudah larut dalam air, sukar larut dalam etanol 
95%, dalam methanol dan dalam asam asetat. 
Kegunaan :Wetting agent 
Konsentrasi :3 – 15 % 
OTT :Ion logam trivalent dalam asam kuat dan dalam 
suasana alkali 
Stabilitas :Stabil terhadap bahan pengkatalis, larutan asam dan 
alkali. 
3. PVP (Poly vinyl pyrrolidone) 
(Handbook of Pharmaceutical Exipient 6th Ed hal. 581) 
Rumus bangun: 
N O 
CH CH2 
n 
Pemerian :Serbuk putih, agak putih atau tidak berbau, serbuk 
higroskopis. 
Kelarutan :Mudah larut dalam suasana asam, sukar larut dalam 
etanol 95%, methanol dan asam asetat. 
Kegunaan :Bahan pengikat
Konsentrasi :0,5 – 5 % 
OTT :Bercampur dengan garam anorganik, bahan alam dan 
bahan kimia lain. 
Stabilitas :Stabil dalam lingkaran kecil pemansan antara 110 - 
130°C. 
4. Nipagin (Methylis Parabenum) 
(Handbook of Pharmaceutical Exipient 6th Ed. Hal. 441, Farmakope 
Indonesia IV hal.551) 
Pemerian : Hablur kecil, tidak berwarna atau serbuk hablur, putih; 
tidak berbau atau berbau khas lemah; mempunyai sedikit 
rasa terbakar. 
Kelarutan : Sukar larut dalam air, dalam benzene dan dalam karbon 
tetraklorida; mudah larut dalam etanol dan dalam eter. 
Konsentrasi : 0,015% - 0,2% 
Kegunaan : pengawet antimikroba 
OTT : kemampuan atau aktivitas antibiotikal/antimikroba akan 
berkurang jika terdapat sufaktan non ionic. 
Inkompabilitas terhadap bentonite, magnesium trisilikat, 
talk, tragakan, sodium alginate, minyak esensial, 
atropine. 
5. Etanol 
(Handbook of Pharmaceutical Exipient 6th Ed. Hal. 17, Farmakope 
Indonesia IV hal.63) 
Rumus bangun : HO 
Pemerian :Cairan mudah menguap, jernih, tidak berwarna, bau 
khas dan menyebabkan rasa terbakar pada lidah. 
Kelarutan :Bercampur dengan air dan praktus tidak campur 
dengan semua pelarut organik 
Stabilitas :Mudah menguap di udara terbuka 
OTT :Dengan yang mengandung Alumunium dan 
berinteraksi dengan beberapa obat tertentu 
Kegunaan :Antimikroba, Pengawet, Desinfektan, Solven 
Wadah :Dalam wadah tertutup rapat 
6. Strawberry essence 
(Handbook of Pharmaceutical Excipents 6th hal.421) 
Rumus Molekul : C16H19N3O4S 
BM : 349,40
BJ : 1,49 g/cm3 
pH : 5,3 
Pemerian : Cairan jernih berwarna merah 
Kelarutan : Larut dalam air dan alcohol 90% 
Kegunaan : Pewarna dan pewangi 
Penyimpanan : Dalam wadah tertutup baik sejuk dan kering, terhindar 
dari cahaya matahari 
7. Eritrosin 
( Martindale edisi 36 hal 427 ) 
Rumus bangun : 
I 
NaO O O 
I 
I 
I 
O 
ONa 
Rumus molekul : C20H614Na2O5 
BM : 897,9 
Pemerian : Serbuk halus berwarna merah 
Kelarutan : Larut dalam air 
Stabilitas : Tidak stabil terhadap udara 
Kegunaan : Bahan Pewarna 
Penyimpanan : Wadah kedap udara, tidak tembus cahaya. 
8. Aerosil 
(Martindale 28 p.958, Handbook of pharmaceutical Excipients 6th 
p.185) 
Rumus bangun : O Si O 
Pemerian : serbuk, ringan, putih, tidak berbau, tidak berasa 
Kelarutan : praktis tidak larut dalam air, pelarut organic 
pH : 3.8-4.2 
Titik leleh : 1600oC 
Konsentrasi : glidant 0,1-0,5% 
Stabilitas : bersifat higroskopis tetapu mengadsorbsi besar 
air tanpa mencairkan. Ketika digunakan dalam 
sistem berair pada pH 0 – 0,75, efektif dalam 
meningkatkan viskositas dari suatu sistem.
Kegunaan : Pelincir 
Inkompatibilitas : tidak tercampur dengan dietilstylbestrol 
Wadah & Penyimpanan : dalam wadah tertutup baik 
5) FORMULA 
Bahan (Formula Granulasi)(%) 
Eritromisin etilsuksinat 4 
CMC 1 
Sorbitol 5 
PVP 1 
Nipagin 0,05 
Strawberry essence 0,2 
Eritrosin 0.05 
Aerosil 0,1 
6) PEMBUATAN 
Formula (Granulasi kering) 
1. Alat dan bahan disiapkan. 
2. Bahan-bahan ditimbang. Botol dikalibrasi 60 mL. 
3. Eritromisin etilsuksinat dimasukkan ke dalam lumpang, kemudian 
ditambahkan Sorbitol di gerus sampai halus homogen. 
4. Campuran tersebut ditambahkan CMC, nipagin, eritrosin, dan 
strawberry essence, kemudian digerus sampai homogen tambah 
aerosol, gerus homogen lagi. 
5. Campuran homogen ditimbang sebanyak … gram, dimasukkan ke 
dalam wadah, dan 
6. Sisa campuran homogen digunakan untuk evaluasi. 
7) EVALUASI UNTUK SEDIAAN SUSPENSI KERING 
a) Organoleptis 
 Warna 
 Rasa 
 Bau 
b) Uji Stabilitas 
1. Fisika
 Profil Sedimentasi 
 Organoleptis 
 Moisture Content 
 Distribusi Ukuran Partikel 
 Sifat Alir Granul & Sudut Istirahat 
 Berat Jenis (Densitas) 
2. Kimia 
 Penetapan Ph 
c) Uji Viskositas dengan alat viskometer Brookfield dan viskometer stormer 
d) Waktu rekonstitusi
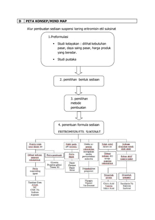
D PETA KONSEP/MIND MAP 
Alur pembuatan sediaan suspensi kering eritromisin etil suksinat 
2. pemilihan bentuk sediaan 
3. pemilihan 
metode 
pembuatan 
1.Preformulasi 
 Studi kelayakan : dilihat kebutuhan 
pasar, daya saing pasar, harga produk 
yang beredar. 
 Studi pustaka 
4. penentuan formula sediaan 
ERITROMISIN ETIL SUKSINAT
E RESUME/LO 
5. Skrining bahan 
6. proses pembuatan 
7. Granulasi bahan 
8. campuran granul 
eritromisin etil suksinat 
9. simpan di botol kaca pada suhu 
kamar 
10. Evaluasi 
sediaan 
Maka dapat disimpulkan bahwa tujuan pembelajaran yang diperoleh dari 
narasi/topik ini adalah sebagai berikut: 
1. Memilih bentuk sediaan yang paling tepat berdasarkan sifat dari zat aktif 
sehingga dapat diperoleh stablitas sediaan yang baik. 
2. Memilih metode pembuatan yang paling sesuai sehingga terhindar dari 
kerusakan zat aktif 
3. Memformulasi suatu sediaan berupa suspense kering eritromisin etilsuksinat 
4. Mengetahui alur pembuatan sediaan suspensi kering dari proses awal hingga 
evaluasi yang harus dilakukan. 
REFERENSI 
1. Lachman, L. Lieberman, H. A dan Kanig., 1994, Teori dan Praktek 
Farmasi Indudtri , edisi ketiga, alih bahasa : Siti Suyatmi, penerbit 
Universitas Indonesia, Jakarta
2. Ansel,CH., 2005, Pengantar Bentuk Sediaan Farmasi edisi 4, 
Universitas Indonesia, Jakarta 
3. Departemen Kesehatan Republik Indonesia, 1995, Farmakope 
Indonesia edisi IV . 
4. Departemen kesehatan Republik Indonesia, 1978, Formularium 
Nasional edisi II , Direktorat Jenderal Pengawasan Obat dan Makanan. 
5. Wade A, Welle Pj., 1982, Handbook of Pharmaceutical Excipents, 6th 
edition, London : The Pharmaceutical press. 
6. Martindale, 1982, The Extra Pharmacopoeia, 28th edition. London : The 
Pharmaceutical press. 
7. Kathy Litvak, et al., Drug Information Analysis 88, AHFS. 
8. Aulton M., 1990, Pharmaceutical Dosage Form tablet , 2 nd. 
9. Voight R, 1995, Buku Pelajaran Teknologi Farmasi edisi V, 
Diterjemahkan oleh Soewandi, SIV. Cetakan ke-2. Yogyakarta : Gajah 
Mada University Press.

kasus 2 : R n D industri farmasi merancang sediaan obat

  • 1.
    LEMBARAN KERJA MAHASISWA MATA KULIAH FARMASI INDUSTRI PROGRAM PENDIDIKAN APOTEKER FAKULTAS FARMASI UIVERSITAS ANDALAS Dosen : Syofyan, S.S.i, M.Farm, Apt Pokok Bahasan: R & D IDENTITAS MAHASISWA DAN TUGAS Nama ERSA YULIZA, S.Farm No Urut Absen 11 Kelompok A Pertemuan ke 2 Hari/Tanggal 28 Oktober 2014 Topik Formulasi sediaan dan evaluasi A KASUS Senyawa A memiliki data fisikokimia sebagai berikut: Struktur kimia: BM : 862,06 g/mol. BM Bentuk Base : 733,94 g/mol
  • 2.
    Pemeriaan: serbuk hablurputih atau sedikit kuning, tidak berbau atau praktis tidak berbau, praktis tidak berasa. Kelarutan: sangat sukar larut dalam air, mudah larut dalam etanol, dalam kloroform dan dalam PEG 400. Stabilitas: mudah terurai dalam asam lambung, tidal stabil dalam larutan yang mengandung air. Ph stabilitas optimal 7-8 Penyimpanan: dalam wadah tertutup rapat dan terlindung dari cahaya Dosis obat bentuk base 200 mg/5 ml. Rancanglah bentuk sediaan obat yang tepat (formula) untuk zat aktif A tersebut berdasarkan data di atas dan jelaskan pembuatan dan evaluasi terhadap formula tersebut! B KEY WORDS/TERMINOLOGI FARMASI 1. Eritromisin Merupakan golongan antibiotik makrolid dimana memiliki persamaan yaitu terdapatnya cincin lakton yang besar dalam rumus molekulnya. Eritromisin dianggap paling penting dalam golongan makrolid tersebut. Efek terbesar eritromisin terhadap kokus gram positif. 2. Suspensi kering Suspensi kering atau suspensi rekonstitusi adalah sejumlah sediaan resmi dan diperdagangkan yang terdiri dari campuran kering atau serbuk granula, dimaksudkan untuk disuspensikan dalam air atau pembawa lainnya sebelum pemberian. Stabilitas suspensi ini dapat dipertahankan ± 7 hari. 3. Pensuspensi (suspending agent) Zat yang digunakan untuk menurunkan sedimentasi partikel suspensi. Zat ini tidak larut yang terdispersi dalam cairan pembawa. zat ini bekerja dengan cara meningkatkan viskositas cairan pembawa. 4. Wetting agent Atau juga disebut surfaktan, merupakan zat yang digunakan untuk menurunkan tegangan permukaan antar dua cairan atau antara cairan dan serbuk. C RUMUSAN KASUS 1) Alasan Pemilihan bentuk sediaan: Bentuk sediaan yang tepat (formula) untuk zat aktif berupa Eritromisin yaitu suspensi kering karena kebanyakan antibiotik akan terurai atau tidak stabil jika kontak lama dalam pembawa air. Obat tidak diformulasi dalam bentuk base nya, tapi dalam bentuk garam nya yaitu eritromisin etil suksinat karena kelarutan dalam air yang rendah jika obat dalam bentuk base. Zat tambahan yang biasa digunakan dalam sediaan suspensi kering ialah pensuspensi, pengawet, pemanis, pewarna, dan wetting agent. 2) Alasan pemilihan metode pembuatan Adapun metode yang bisa digunakan yaitu metode produk campuran serbuk dan granulasi kering namun kal i ini digunakan metode campuran serbuk. Hal ini di lakukan karena zat akti f tidak tahan
  • 3.
    terhadap pemanasan sehinggadihindari dari proses pembuatan yang mel ibatkan pemanasan. Dengan menggunakan metode ini diharapkan sediaan terhindar dari ketidakstabilan zat aktif di bandi ngkan dengan meto de gr anul as i . Sedangkan untuk meto de campur an ser buk dan gr anul t i dak di gunakan kar ena dapat memi sah antar a bahan gr anul d an no n gr anul ket i ka di r eko s t i tus i . Meto de i ni di anggap pal i ng bai k untuk sedi aan er i t r omi s i n dan j uga pembuatannya yang l ebi h mudah. 3) Preformulasi Formularium Officinale: (Formularium Nasional, Hal: 126) ERYTRHOMYCINI AETHYLSUCCINAS PRO SUSPENSIONE Eritromisin etilsuksinat untuk suspense Komposisi : untuk tiap 5 mL suspense jadi mengandung Eritromisin etilsuksinat setara dengan eritromisin 200 mg Zat tambahan yang cocok secukupnya 4) Data Preformulasi Zat Aktif 1. Eritromisin Etil Suksinat ( Farmakope Indonesia edisi IV hal 359, Martindale edisi 36 hal 269 Drug Infomations 88 hal 197,, Drug Information hal 240-241) Rumus Molekul : C43H75NO16 Berat Molekul : 862,06 Rumus Bangun : Pemerian :Serbuk hablur putih atau sedikit kuning, tidak berbau atau praktis tidak berbau; praktis tidak berasa Kelarutan :Sangat sukar larut dalam air; mudah larut dalam etanol dan dalam polietilena glikol 400 Dosis : 1. Dewasa : 200 - 400 mg tiap 6 jam sekali pakai
  • 4.
    2.Anak : 30-50mg/kgsehari dalam 4 dosis tiap 6 jam pH : antara 6,0 dan 8,5 Inkompatibilitas : dengan natrium ampisilin dan natrium kloklasilin Stabilitas :  Eritromisin etil suksinat setelah direkonstitusi dapat bertahan kurang dari 10 hari dan harus dimpan di lemari es.  Suspensi rekonstitusi dapat disimpan pada suhu dibawah 300C atau dapat disimpan pada lemari es selama 10 hari-35 hari. Khasiat : Antibiotik, obat malaria Wadah :Dalam wadah tertutup rapat. Zat Tambahan 1. CMC Na (Handbook of Pharmaceutical Exipient 6th Ed hal. 134) Rumus bangun : O O O OH OH ONa O H O O O ONa OH OH OH O n/2 Pemerian : serbuk atau granul, warna putih sampai krem, tidak berasa. Kelarutan : praktis tidak larut dalam aseton, etanol, eter, dan toluene. Mudah terdispersi dalam air, pada semua temperatur menghasilkan larutan koloidal Bobot jenis : 0,52 Penyimpanan : Dalam wadah tertutup rapat Konsentrasi : 0,1,-1,0% pH : 6,5-8,5 Kegunaan : Pengental (thickening agent) dan suspending agent. OTT : Tidak bercampur dengan larutan asam kuat dan larutan asam yang mengandung logam seperti aluminium, merkuri, dan zink
  • 5.
    Stabilitas : CMCstabil, meskipun bahan tersebut bersifat higroskopik. 2. Sorbitol (Handbook of Pharmaceutical Exipient 6th Ed. Hal. 679, Farmakope Indonesia IV hal.756) Rumus bangun : HO HO OH HO HO OH Pemerian :Serbuk, butiran atau kepingan putih, rasa manis, higroskopis, berbau lemah. Kelarutan :Sangat mudah larut dalam air, sukar larut dalam etanol 95%, dalam methanol dan dalam asam asetat. Kegunaan :Wetting agent Konsentrasi :3 – 15 % OTT :Ion logam trivalent dalam asam kuat dan dalam suasana alkali Stabilitas :Stabil terhadap bahan pengkatalis, larutan asam dan alkali. 3. PVP (Poly vinyl pyrrolidone) (Handbook of Pharmaceutical Exipient 6th Ed hal. 581) Rumus bangun: N O CH CH2 n Pemerian :Serbuk putih, agak putih atau tidak berbau, serbuk higroskopis. Kelarutan :Mudah larut dalam suasana asam, sukar larut dalam etanol 95%, methanol dan asam asetat. Kegunaan :Bahan pengikat
  • 6.
    Konsentrasi :0,5 –5 % OTT :Bercampur dengan garam anorganik, bahan alam dan bahan kimia lain. Stabilitas :Stabil dalam lingkaran kecil pemansan antara 110 - 130°C. 4. Nipagin (Methylis Parabenum) (Handbook of Pharmaceutical Exipient 6th Ed. Hal. 441, Farmakope Indonesia IV hal.551) Pemerian : Hablur kecil, tidak berwarna atau serbuk hablur, putih; tidak berbau atau berbau khas lemah; mempunyai sedikit rasa terbakar. Kelarutan : Sukar larut dalam air, dalam benzene dan dalam karbon tetraklorida; mudah larut dalam etanol dan dalam eter. Konsentrasi : 0,015% - 0,2% Kegunaan : pengawet antimikroba OTT : kemampuan atau aktivitas antibiotikal/antimikroba akan berkurang jika terdapat sufaktan non ionic. Inkompabilitas terhadap bentonite, magnesium trisilikat, talk, tragakan, sodium alginate, minyak esensial, atropine. 5. Etanol (Handbook of Pharmaceutical Exipient 6th Ed. Hal. 17, Farmakope Indonesia IV hal.63) Rumus bangun : HO Pemerian :Cairan mudah menguap, jernih, tidak berwarna, bau khas dan menyebabkan rasa terbakar pada lidah. Kelarutan :Bercampur dengan air dan praktus tidak campur dengan semua pelarut organik Stabilitas :Mudah menguap di udara terbuka OTT :Dengan yang mengandung Alumunium dan berinteraksi dengan beberapa obat tertentu Kegunaan :Antimikroba, Pengawet, Desinfektan, Solven Wadah :Dalam wadah tertutup rapat 6. Strawberry essence (Handbook of Pharmaceutical Excipents 6th hal.421) Rumus Molekul : C16H19N3O4S BM : 349,40
  • 7.
    BJ : 1,49g/cm3 pH : 5,3 Pemerian : Cairan jernih berwarna merah Kelarutan : Larut dalam air dan alcohol 90% Kegunaan : Pewarna dan pewangi Penyimpanan : Dalam wadah tertutup baik sejuk dan kering, terhindar dari cahaya matahari 7. Eritrosin ( Martindale edisi 36 hal 427 ) Rumus bangun : I NaO O O I I I O ONa Rumus molekul : C20H614Na2O5 BM : 897,9 Pemerian : Serbuk halus berwarna merah Kelarutan : Larut dalam air Stabilitas : Tidak stabil terhadap udara Kegunaan : Bahan Pewarna Penyimpanan : Wadah kedap udara, tidak tembus cahaya. 8. Aerosil (Martindale 28 p.958, Handbook of pharmaceutical Excipients 6th p.185) Rumus bangun : O Si O Pemerian : serbuk, ringan, putih, tidak berbau, tidak berasa Kelarutan : praktis tidak larut dalam air, pelarut organic pH : 3.8-4.2 Titik leleh : 1600oC Konsentrasi : glidant 0,1-0,5% Stabilitas : bersifat higroskopis tetapu mengadsorbsi besar air tanpa mencairkan. Ketika digunakan dalam sistem berair pada pH 0 – 0,75, efektif dalam meningkatkan viskositas dari suatu sistem.
  • 8.
    Kegunaan : Pelincir Inkompatibilitas : tidak tercampur dengan dietilstylbestrol Wadah & Penyimpanan : dalam wadah tertutup baik 5) FORMULA Bahan (Formula Granulasi)(%) Eritromisin etilsuksinat 4 CMC 1 Sorbitol 5 PVP 1 Nipagin 0,05 Strawberry essence 0,2 Eritrosin 0.05 Aerosil 0,1 6) PEMBUATAN Formula (Granulasi kering) 1. Alat dan bahan disiapkan. 2. Bahan-bahan ditimbang. Botol dikalibrasi 60 mL. 3. Eritromisin etilsuksinat dimasukkan ke dalam lumpang, kemudian ditambahkan Sorbitol di gerus sampai halus homogen. 4. Campuran tersebut ditambahkan CMC, nipagin, eritrosin, dan strawberry essence, kemudian digerus sampai homogen tambah aerosol, gerus homogen lagi. 5. Campuran homogen ditimbang sebanyak … gram, dimasukkan ke dalam wadah, dan 6. Sisa campuran homogen digunakan untuk evaluasi. 7) EVALUASI UNTUK SEDIAAN SUSPENSI KERING a) Organoleptis  Warna  Rasa  Bau b) Uji Stabilitas 1. Fisika
  • 9.
     Profil Sedimentasi  Organoleptis  Moisture Content  Distribusi Ukuran Partikel  Sifat Alir Granul & Sudut Istirahat  Berat Jenis (Densitas) 2. Kimia  Penetapan Ph c) Uji Viskositas dengan alat viskometer Brookfield dan viskometer stormer d) Waktu rekonstitusi
  • 10.
    D PETA KONSEP/MINDMAP Alur pembuatan sediaan suspensi kering eritromisin etil suksinat 2. pemilihan bentuk sediaan 3. pemilihan metode pembuatan 1.Preformulasi  Studi kelayakan : dilihat kebutuhan pasar, daya saing pasar, harga produk yang beredar.  Studi pustaka 4. penentuan formula sediaan ERITROMISIN ETIL SUKSINAT
  • 11.
    E RESUME/LO 5.Skrining bahan 6. proses pembuatan 7. Granulasi bahan 8. campuran granul eritromisin etil suksinat 9. simpan di botol kaca pada suhu kamar 10. Evaluasi sediaan Maka dapat disimpulkan bahwa tujuan pembelajaran yang diperoleh dari narasi/topik ini adalah sebagai berikut: 1. Memilih bentuk sediaan yang paling tepat berdasarkan sifat dari zat aktif sehingga dapat diperoleh stablitas sediaan yang baik. 2. Memilih metode pembuatan yang paling sesuai sehingga terhindar dari kerusakan zat aktif 3. Memformulasi suatu sediaan berupa suspense kering eritromisin etilsuksinat 4. Mengetahui alur pembuatan sediaan suspensi kering dari proses awal hingga evaluasi yang harus dilakukan. REFERENSI 1. Lachman, L. Lieberman, H. A dan Kanig., 1994, Teori dan Praktek Farmasi Indudtri , edisi ketiga, alih bahasa : Siti Suyatmi, penerbit Universitas Indonesia, Jakarta
  • 12.
    2. Ansel,CH., 2005,Pengantar Bentuk Sediaan Farmasi edisi 4, Universitas Indonesia, Jakarta 3. Departemen Kesehatan Republik Indonesia, 1995, Farmakope Indonesia edisi IV . 4. Departemen kesehatan Republik Indonesia, 1978, Formularium Nasional edisi II , Direktorat Jenderal Pengawasan Obat dan Makanan. 5. Wade A, Welle Pj., 1982, Handbook of Pharmaceutical Excipents, 6th edition, London : The Pharmaceutical press. 6. Martindale, 1982, The Extra Pharmacopoeia, 28th edition. London : The Pharmaceutical press. 7. Kathy Litvak, et al., Drug Information Analysis 88, AHFS. 8. Aulton M., 1990, Pharmaceutical Dosage Form tablet , 2 nd. 9. Voight R, 1995, Buku Pelajaran Teknologi Farmasi edisi V, Diterjemahkan oleh Soewandi, SIV. Cetakan ke-2. Yogyakarta : Gajah Mada University Press.