ADOPTED BY
L&T STANDARDIZATION COMMITTEE
PREPARED & RELEASED BY
STANDARDS CELL, CMD 30.10.92
REVISION A B C D E F G H I J K L
DATE
31.10.93 07.01.94 31.03.94 30.06.94 30.09.94 31.03.95 30.06.95 30.09.95 31.12.95 30.06.97 31.12.97 30.06.98
PAGE NO 3 4,5 4,5,6,10,
11
ALL 1,2,6 4,6,7 4,6,7 1,2 2,3 3,7 Released 3,6,8,9
LARSEN & TOUBRO LIMITED, POWAI, MUMBAI - 400 072 PAGE : 1 OF 30
No copying or Extraction from this Document without L&T’s Permission
ENAMELLED ROUND
COPPER WIRES LTS 3216
1.0 SCOPE
This standard covers requirements ofenamelled round copper wires of Polyster andPolysterimide enamel for use at elevated temperatures.
ORDERING SPECIFICATIONS
POLY-Polyster, POLYAMIDE- Polyestrimide.
EN-Enamelled, CU-Copper & Covering
FC-Fine, MC-Medium, TC-Thick, CC-Coarse
APPLICATIONS
It is intended to be used as winding wires in electrical and electronics apparutus.
REQUIREMENTS
a) General: The conductor shall beof high conductivity annealed copper and be completely and uniformly covered with
a durable , flexible synthetic enamel. the enamel shall have a clean, smooth surface free from embedded
particles such as dust & other deleterious material. It shall also be free from slivers, cracks, spills and other
harmful defects. Each batch shall be accompanied by a batch test certificate .
b) Material:
b.1 Conductor:
i) Coefficient of linear expansion :0.000017m/°C over temperature range of 0°C to 150°C.
ii) Density: 8.89gm/cc at 20°C
iii) Resistivity : 0.017241 ohm mm 2/m at 20° C
b.2 Enamelled wire:
i) Breakdown Voltage at room temperature: As per values given in Table-1, when tested asper Appendix I
ii) Breakdown Voltage at elevated temperature: When tested as per Appendix I the value shall not be less than 75% of the BDV at
room temperature as specified in Table-I.
iii) Elongation: Shall be as given in Table-I, when tested as per Appendix II.
iv) Springiness: (Applicable to sizes >0.05mm ≤ 1.60mm) Shall be as given in Table-I, when tested as per Appendix III.
NOTE : Table No.3 expanded to include metric sizes.
REVISION M N O
DATE
31.12.98 31.12.99 30.09.2000
PAGE NO
7,8 & 10 3 6
LTS 3216
v) Continuity of covering: (Applicable to sizes upto 0.85mm). Not more than 15 faults in a length of 50m,
when tested as per Appendix IV.
vi) Heat shock test: The covering shall show no cracks, when tested as per Appendix V.
vii) Flexibility and Adherence: the covering shall show no cracks when tested as perAppenix VI.
viii) Stretch test: To satisfy requirements given in Appendix VII.
ix) Abrasion Resistance: (Applicable sizes >0.25mm. 2.50mm).Shall satisfy the values given in the
Table-2, when tested as per AppendixVIII.
x) Cut-Through test: No breakdown shall occur within 2 minutes when tested as per Appendix IX.
xi) Softening temperature test: No breakdown shall occur when tested as per Appendix X
.
xii) Compatibility: shall satisfy the requirements for performance when tested as per Appendix XI.
5.0 DIMENSIONS AND TOLERANCES
As per Table-3 enclosed
6.0 TESTING
The enamelled copper wires shall be tested for :
i) Breakdown voltage :As per Appendix I.
ii) Elongation : As per Appendix II.
iii) Springiness : As per Appendix III.
iv) Continuity of covering : As per Appendix IV.
v) Heat shock test : As per Appendix V.
vi) Flexibility and Adherence : As per Appendix VI.
vii) Stretch Test : As per Appendix VII.
viii) Abrasion Resistance : As per Appendix VIII.
ix) Cut-Through test : As per Appendix IX.
x) Softening temperature test : As per Appendix X.
xi) Compatibility : As per Appendix XI.
This test shall be done for approval of new vendor of enamel or varnish application.
xii) Test certificate as per the format given by L&T and shall be enclosed alongwith the supply challan.
7.0 INSPECTION
After ascertaining that a valid batch test certificate is available, inspection shall be carried out for :
i) Dimensions and Tolerances as per clause 5.0.
ii) Visual/General requirements as per clause 4.0.
31.12.1997 No copying or Extraction from this Document without L&T’s Page 2 of 30
Permission
LTS 3216
8.0 PACKING
The wires shall be wound evenly and compactly on plastic/wooden spools without any deformation. The
spools shall be packed in suitable cartons. Dimensions of the spools shall be as per table given below :
SPOOL Flange ∅∅ Traverse
Material Type (mm) Approx.
PLASTIC No.12 125 x 125 mm 70
PLASTIC PT-1 95 x 104 mm 99
PLASTIC PT-4 125 x 140 mm 170
PLASTIC P-8 8” x 8” 120
PLASTIC P-10 10” x 10” 120
PLASTIC K-160 160 x 160 mm 135
WOOD W-8 8” x 8” 120
WOOD W-10 10” x 10” 120
Spool shall conform to following :
i) The material used for the construction of the spool shall have the required mechanical strength so that the
spool does not warp on actual usage or storage.
ii) The material shall have no deleterious effect on enamel or other coverings of wire.
iii) No portion of spool shall warp when kept in an oven at 70°C for an hour.
iv) The spool shall be of any light colour (Black excluded)
v) Imbalance and axial throw of the flange shall be negligible.
vi) Eccentricity of the spool when measured by dial gauge shall be within 0.35 mm.
8.1 At least 80% supply of 40 G fine cov. wire shall be min. 3 kg. per spool.
9.0 MARKING
Each spool & carton shall be labelled with the following with indelible ink :
i) Manufacturer’s Name and / or Trade mark.
ii) Material 10 digit code No.
iii) Type of enamel.
iv) Type of covering.
v) Size of wire in swg/mm.
vi) Net weight of wire.
vii) BIS certification mark: if any.
viii) Batch No.
10.0 STORAGE
The spools shall be stored on racks and in dry atmosphere.
31.12.1999 No copying or Extraction from this Document without L&T’s Permission Page 3 of 30
LTS 3216
TABLE 1 : ELONGATION, SPRING BACK AND BREAKDOWN VOLTAGE
Nom.dia of
Conductor
Elongation
minimum
Spring back, maximum
(Degree) TENSION
Breakdown voltage at room temp.
minimum (Volt.)
SWG mm % Fine
Covering
Medium
Covering
Thick
Covering
N Fine
Covering
Medium
Covering
Thick
Covering
46 0.060 12.0 68 82 - 0.1 500 800 1000
45 0.071 13.0 65 77 - 500 950 1400
44 0.081 14.0 70 80 - 600 1200 1800
43 0.091 15.0 67 77 94 0.25 600 1200 1800
- 0.100 16.0 64 73 90 600 1200 1800
42 0.102 16.0 64 73 90 600 1200 1800
41 0.112 17.0 64 73 88 700 1300 1800
40 0.122 17.0 62 70 84 700 1300 1800
- 0.125 17.0 62 70 84 0.5 700 1300 1800
39 0.132 17.0 59 67 79 800 1500 2200
38 0.152 18.5 59 67 78 800 1500 2200
37 0.173 19.5 57 65 75 900 1700 2500
- 0.180 20.0 57 65 75 1.0 900 1700 2500
36 0.193 20.5 54 62 72 900 1700 2500
35 0.213 21.0 51 59 68 1000 2000 3000
- 0.224 21.0 51 59 68 1000 2000 3000
34 0.234 21.5 51 59 68 1000 2000 3000
- 0.250 22.0 49 56 65 1200 2200 2390
33 0.254 22.0 49 56 65 2.0 1200 2200 3300
32 0.274 22.0 47 53 61 1200 2200 3300
31 0.295 22.0 50 55 62 1200 2200 3300
30 0.315 23.0 50 55 62 1200 2200 3300
29 0.345 23.0 48 53 59 1400 2400 3700
28 0.376 23.5 47 52 57 4.0 1400 2400 3700
27 0.417 24.5 45 50 55 1600 2500 4000
- 0.450 25.0 44 48 53 1600 2800 4000
26 0.457 25.0 44 48 53 1600 2800 4000
25 0.508 25.0 43 47 51 8.0 1800 3100 4400
24 0.559 26.0 41 44 48 1800 3100 4400
23 0.610 26.5 46 50 53 1800 3100 4400
22 0.711 28.0 44 47 50 12.0 1900 3500 4700
21 0.813 29.0 41 43 46 1900 3500 4700
20 0.914 29.0 45 48 51 2000 3700 5100
19 1.016 30.0 42 45 47 15.0 2100 3800 5300
18 1.219 31.0 36 38 40 2200 3900 5600
17 1.422 32.0 32 34 34 2300 4000 5900
16 1.626 32.0 - - - 2400 4300 5900
15 1.829 32.0 - - - - 2400 4300 5900
14 2.032 33.0 - - - 2500 4400 6300
31.12.1997 No copying or Extraction from this Document without L&T’s Page 4 of 30
Permission
LTS 3216
TABLE-2
Conductor FINE COVERING MEDIUM COVERING
size in
SWG
Average force
to failure in
N
Minimum force
to failure in
N
Average force
to failure in
N
Minimum force
to failure in
N
33 2.70 2.30 4.50 3.80
32 2.90 2.45 4.80 4.10
31 3.01 2.54 5.00 4.25
30 3.15 2.65 5.20 4.40
29 3.40 2.85 5.60 4.75
28 3.51 2.93 5.77 4.90
27 3.65 3.05 6.00 5.10
26 3.90 3.30 6.45 5.45
25 4.20 3.55 6.90 5.85
24 4.50 3.80 7.40 6.25
23 5.85 4.10 7.90 6.70
22 5.20 4.40 8.50 7.20
21 5.60 4.70 9.10 7.79
20 6.05 5.10 9.70 8.20
19 6.55 5.50 10.40 8.80
18 7.38 6.23 11.55 9.80
17 8.20 6.95 12.70 10.80
16 8.90 7.55 13.70 11.80
15 9.60 8.15 14.70 12.40
14 10.30 8.75 15.70 13.30
NOTE:
i) IN = 102 gms.
ii) Load values for polyester & polyesterimide wires are same.
31.12.1997 No copying or Extraction from this Document without L&T’s Page 5 of 30
Permission
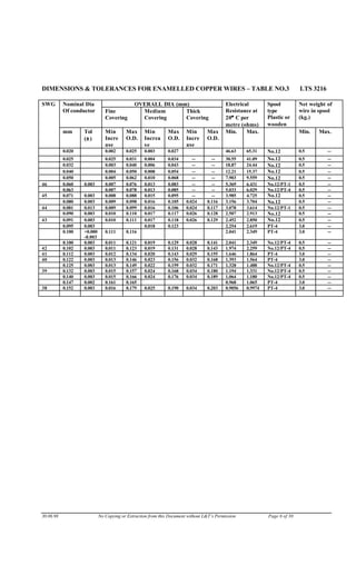
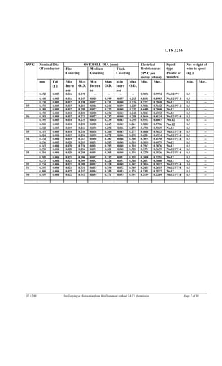
DIMENSIONS & TOLERANCES FOR ENAMELLED COPPER WIRES – TABLE NO.3 LTS 3216
OVERALL DIA (mm)Nominal Dia
Of conductor Fine
Covering
Medium
Covering
Thick
Covering
Electrical
Resistance at
20°° C per
metre (ohms)
Spool
type
Plastic or
wooden
Net weight of
wire in spool
(kg.)
SWG
mm Tol
(±±)
Min
Incre
ase
Max
O.D.
Min
Increa
se
Max
O.D.
Min
Incre
ase
Max
O.D.
Min. Max. Min. Max.
0.020 0.002 0.025 0.003 0.027 46.63 65.31 No.12 0.5 --
0.025 0.025 0.031 0.004 0.034 -- -- 30.55 41.09 No.12 0.5 --
0.032 0.003 0.040 0.006 0.043 -- -- 18.87 24.44 No.12 0.5 --
0.040 0.004 0.050 0.008 0.054 -- -- 12.21 15.37 No.12 0.5 --
0.050 0.005 0.062 0.010 0.068 -- -- 7.903 9.559 No.12 0.5 --
46 0.060 0.003 0.007 0.076 0.013 0.083 -- -- 5.369 6.431 No.12/PT-1 0.5 --
0.063 0.007 0.078 0.013 0.085 -- -- 5.033 6.029 No.12/PT-4 0.5 --
45 0.071 0.003 0.008 0.088 0.015 0.095 -- -- 3.985 4.725 No.12 0.5 --
0.080 0.003 0.009 0.098 0.016 0.105 0.024 0.116 3.156 3.704 No.12 0.5 --
44 0.081 0.013 0.009 0.099 0.016 0.106 0.024 0.117 3.078 3.614 No.12/PT-1 0.5 --
0.090 0.003 0.010 0.110 0.017 0.117 0.026 0.128 2.507 2.913 No.12 0.5 --
43 0.091 0.003 0.010 0.111 0.017 0.118 0.026 0.129 2.452 2.850 No.12 0.5 --
0.095 0.003 0.018 0.123 2.254 2.619 PT-4 3.0 --
0.100 +0.000
-0.003
0.111 0.116 2.041 2.349 PT-4 3.0 --
0.100 0.003 0.011 0.121 0.019 0.129 0.028 0.141 2.041 2.349 No.12/PT-4 0.5 --
42 0.102 0.003 0.011 0.123 0.019 0.131 0.028 0.143 1.974 2.259 No.12/PT-4 0.5 --
41 0.112 0.003 0.012 0.134 0.020 0.143 0.029 0.155 1.646 1.864 PT-4 3.0 --
40 0.122 0.003 0.013 0.146 0.023 0.156 0.032 0.168 1.393 1.564 PT-4 3.0 --
0.125 0.003 0.013 0.149 0.022 0.159 0.032 0.171 1.328 1.488 No.12/PT-4 0.5 --
39 0.132 0.003 0.015 0.157 0.024 0.168 0.034 0.180 1.194 1.331 No.12/PT-4 0.5 --
0.140 0.003 0.015 0.166 0.024 0.176 0.034 0.189 1.064 1.180 No.12/PT-4 0.5 --
0.147 0.002 0.161 0.165 0.968 1.065 PT-4 3.0 --
38 0.152 0.003 0.016 0.179 0.025 0.190 0.034 0.203 0.9056 0.9974 PT-4 3.0 --
30.06.98 No Copying or Extraction from this Document without L&T’s Permission Page 6 of 30
LTS 3216
OVERALL DIA (mm)Nominal Dia
Of conductor Fine
Covering
Medium
Covering
Thick
Covering
Electrical
Resistance at
20°° C per
metre (ohms)
Spool
type
Plastic or
wooden
Net weight of
wire in spool
(kg.)
SWG
mm Tol
(±±)
Min
Incre
ase
Max
O.D.
Min
Increa
se
Max
O.D.
Min
Incre
ase
Max
O.D.
Min. Max. Min. Max.
0.152 0.003 0.016 0.170 -- -- -- -- 0.9056 0.9974 No.12/PT 0.5 --
0.160 0.003 0.016 0.187 0.025 0.199 0.037 0.213 0.8192 0.8983 No.12/PT-4 0.5 --
0.170 0.003 0.017 0.198 0.027 0.211 0.040 0.226 0.7272 0.7940 No.12 0.5 --
37 0.173 0.003 0.017 0.201 0.026 0.214 0.039 0.229 0.7026 0.7662 No.12/PT-4 0.5 --
0.180 0.003 0.017 0.209 0.027 0.222 0.040 0.237 0.6499 0.7068 No.12 0.5 --
0.190 0.003 0.018 0.220 0.028 0.234 0.043 0.248 0.5843 0.6332 No.12 0.5 --
36 0.193 0.003 0.017 0.223 0.027 0.237 0.040 0.253 0.5666 0.6134 No.12/PT-4 0.5 --
0.195 0.003 0.018 0.225 0.028 0.239 0.043 0.255 0.5552 0.6007 No.12 0.5 --
0.200 0.003 0.018 0.230 0.028 0.245 0.043 0.261 0.5282 0.5706 No.12 0.5 --
0.212 0.003 0.019 0.244 0.030 0.258 0.046 0.275 0.4708 0.5069 No.12 0.5 --
35 0.213 0.003 0.018 0.244 0.028 0.260 0.043 0.277 0.4666 0.5022 No.12/PT-4 0.5 --
0.224 0.004 0.019 0.256 0.030 0.272 0.046 0.290 0.4224 0.4534 No.12/PT-4 0.5 --
34 0.234 0.004 0.019 0.267 0.030 0.282 0.046 0.300 0.3875 0.4150 No.12/PT-4 0.5 --
0.236 0.003 0.020 0.269 0.031 0.283 0.048 0.310 0.3810 0.4079 No.12 0.5 --
0.243 0.004 0.020 0.276 0.031 0.293 0.048 0.310 0.3567 0.3876 No.12 0.5 --
0.250 0.004 0.020 0.284 0.031 0.301 0.048 0.320 0.3374 0.3659 No.12/PT-4 0.5 --
33 0.254 0.004 0.020 0.288 0.031 0.305 0.048 0.334 0.3270 0.3526 No.12/PT-4 0.5 --
0.265 0.004 0.021 0.300 0.032 0.317 0.051 0.335 0.3008 0.3251 No.12 0.5 --
0.273 0.004 0.021 0.309 0.032 0.326 0.051 0.344 0.2837 0.3060 No.12 0.5 --
32 0.274 0.004 0.021 0.309 0.032 0.328 0.049 0.347 0.2816 0.3037 No.12/PT-4 3.0 --
31 0.295 0.004 0.021 0.331 0.033 0.350 0.052 0.369 0.2435 0.2615 No.12/PT-4 0.5 --
0.300 0.004 0.022 0.337 0.034 0.355 0.053 0.374 0.2355 0.2527 No.12 0.5 --
30 0.315 0.004 0.022 0.352 0.034 0.371 0.053 0.391 0.2139 0.2289 No.12/PT-4 0.5 --
31.12.98 No Copying or Extraction from this Document without L&T’s Permission Page 7 of 30
LTS 3216
OVERALL DIA (mm)Nominal Dia
Of conductor Fine
Covering
Medium
Covering
Thick
Covering
Electrical
Resistance at
20°° C per metre
(ohms)
Spool type
Plastic or
wooden
Net weight
of wire in
spool (kg.)
SWG
mm Tol
(±±)
Min
Incre
ase
Max
O.D.
Min
Increa
se
Max
O.D.
Min
Incre
ase
Max
O.D.
Min. Max. Min. Ma
x.
29 0.345 0.004 0.024 0.385 0.036 0.404 0.056 0.424 0.1784 0.1904 No.12 0.5 --
0.355 0.004 0.024 0.395 0.036 0.414 0.056 0.435 0.1689 0.1797 No.12 0.5 --
0.376 0.004 0.025 0.416 0.038 0.436 0.058 0.459 0.1515 0.1609 No.12 0.5 --
28 0.376 0.005 0.024 0.417 0.037 0.437 0.057 0.458 0.1499 0.1609 No.12/PT-4 0.5 --
0.400 0.005 0.025 0.442 0.038 0.462 0.058 0.483 0.1327 0.1419 No.12 0.5 --
0.412 0.005 0.026 0.455 0.040 0.476 0.060 0.497 0.1252 0.1337 No.12 0.5 --
27 0.417 0.005 0.025 0.459 0.038 0.479 0.058 0.500 0.1222 0.1305 PT-4/K-160 0.5/5.0 14.0
0.450 0.005 0.027 0.495 0.041 0.516 0.062 0.538 0.1051 0.1118 No.12/PT-4 0.5 --
26 0.457 0.005 0.027 0.502 0.041 0.523 0.062 0.545 0.1020 0.1084 PT-4/K-160 0.5/5.0 14.0
0.500 0.005 0.029 0.548 0.044 0.569 0.591 0.650 0.08534 0.09037 No.12 0.5 --
25 0.508 0.005 0.029 0.556 0.044 0.577 0.065 0.599 0.0827 0.0875 PT-4/K-160 1.5/5.6 14.0
24 0.559 0.006 0.030 0.610 0.046 0.631 0.071 0.655 0.0682 0.0724 PT-4/K-160 1.5/5.0 14.0
0.560 0.006 0.030 0.611 0.046 0.632 0.067 0.656 0.06794 0.7215 No.12 0.5 --
0.600 0.006 0.032 0.653 0.049 0.676 0.071 0.699 0.05927 0.06276 No.12/ W8/P8 0.5 --
23 0.610 0.006 0.032 0.664 0.049 0.686 0.071 0.719 0.0574 0.0607 No.12 1.5 14.0
0.630 0.006 0.032 0.684 0.049 0.706 0.071 0.730 0.05381 0.05687 W-8/P-8 5.0 14.0
0.710 0.007 0.034 0.767 0.051 0.791 0.074 0.815 0.04234 0.04481 W-8/K-160/P-8 5.0 14.0
22 0.711 0.007 0.034 0.768 0.051 0.791 0.074 0.816 0.0422 0.0447 W-8/K-160/P-8 5.0 14.0
0.750 0.008 0.035 0.809 0.052 0.832 0.075 0.858 0.03788 0.04022 W-8/P-8 5.0 14.0
0.800 0.008 0.036 0.861 0.054 0.885 0.078 0.911 0.03334 0.03530 W-8/P-8 5.0 14.0
21 0.813 0.008 0.037 0.874 0.055 0.889 0.079 0.924 0.0323 0.0342 W-8/P-8 5.0 14.0
0.850 0.009 0.037 0.913 0.055 0.937 0.079 0.964 0.02950 0.03131 W-8/P-8 5.0 14.0
31.12.98 No Copying or Extraction from this Document without L&T’s Permission Page 8 of 30
LTS 3216
OVERALL DIA (mm)Nominal Dia
Of conductor Fine
Covering
Medium
Covering
Thick
Covering
Electrical
Resistance at
20°° C per metre
(ohms)
Spool
type
Plastic
or
wooden
Net weight of
wire in spool
(kg.)
SWG
mm Tol
(±±)
Min
Incre
ase
Max
O.D.
Min
Increa
se
Max
O.D.
Min
Incre
ase
Max
O.D.
Min. Max. Min
.
Max.
0.900 0.009 0.038 0.965 0.057 0.990 0.081 1.017 0.02634 0.02789 W-8/P-8 5.0 14.0
20 0.914 0.010 0.039 0.979 0.058 1.003 0.082 1.030 0.0256 0.0270 W-8/P-8 5.0 14.0
0.950 0.010 0.039 1.017 0.058 1.041 0.082 1.070 0.02362 0.02506 W-8/P-8 5.0 14.0
0.965 0.010 0.039 1.032 0.059 1.057 0.084 1.084 0.02290 0.02428 W-8/P-8 5.0 14.0
1.000 0.010 0.039 1.068 0.059 1.093 0.084 1.123 0.02134 0.02259 W-8/P-8 5.0 14.0
19 1.016 0.010 0.039 1.084 0.059 1.109 0.084 1.139 0.0207 0.0219 W-8/P-8 5.0 14.0
1.030 0.010 0.040 1.099 0.060 1.124 0.085 1.151 -- -- W-8/P-8 5.0 14.0
1.060 0.011 0.040 1.130 0.060 1.155 0.085 1.184 -- -- W-8/P-8 5.0 14.0
1.120 0.011 0.041 1.192 0.061 1.217 0.087 1.246 -- -- W-8/P-8 5.0 14.0
1.180 0.012 0.042 1.254 0.062 1.279 0.088 1.308 -- -- W-8/P-8 5.0 14.0
18 1.219 0.011 0.042 1.293 0.063 1.319 0.089 1.340 0.0143 0.0152 W-8/P-8 5.0 14.0
1.250 0.013 0.042 1.325 0.063 1.351 0.089 1.381 -- -- W-8/P-8 5.0 14.0
1.320 0.013 0.043 1.397 0.064 1.423 0.091 1.453 -- -- W-8/P-8 5.0 14.0
1.400 0.014 0.044 1.479 0.066 1.506 0.093 1.535 -- -- W-8/P-8 5.0 14.0
17 1.422 0.014 0.044 1.501 0.066 1.528 0.093 1.557 0.0105 0.0112 W-8/P-8 5.0 14.0
1.500 0.015 0.045 1.581 0.067 1.608 0.094 1.638 -- -- W-8/P-8 5.0 14.0
1.600 0.016 0.046 1.683 0.068 1.711 0.096 1.741 -- -- W-8/P-8 5.0 14.0
16 1.626 0.014 0.047 1.710 0.069 1.738 0.097 1.768 0.0081 0.0085 W-8/P-8 5.0 14.0
1.700 1.017 0.047 1.785 0.069 1.813 0.097 1.844 -- -- W-8/P-8 5.0 14.0
1.800 1.018 0.048 1.888 0.071 1.916 0.099 1.947 -- -- W-8/P-8 5.0 14.0
15 1.829 0.018 0.048 1.917 0.071 1.945 0.099 1.976 0.0064 0.0068 W-8/P-8 5.0 14.0
2.000 0.020 0.049 2.092 0.073 2.120 0.101 2.152 -- -- W-8/P-8 5.0 14.0
30.06.98 No Copying or Extraction from this Document without L&T’s Permission Page 9 of 30
LTS 3216
OVERALL DIA (mm)Nominal Dia
Of conductor Fine
Covering
Medium
Covering
Thick
Covering
Electrical
Resistance at
20°° C per
metre (ohms)
Spool
type
Plastic or
wooden
Net weight of
wire in spool
(kg.)
SWG
mm Tol
(±±)
Min
Incre
ase
Max
O.D.
Min
Increa
se
Max
O.D.
Min
Incre
ase
Max
O.D.
Min. Max. Min. Max.
14 2.032 0.020 0.049 2.124 0.073 2.152 0.101 2.182 0.0051 0.0054 W-10/P-10 10.0 25.0
2.120 0.021 0.050 2.124 0.074 2.243 0.103 2.275 -- -- W-10/P-10 10.0 25.0
2.240 0.022 0.051 2.336 0.075 2.366 0.104 2.398 -- -- W-10/P-10 10.0 25.0
2.360 0.024 0.051 2.459 0.076 2.488 0.105 2.522 -- -- W-10/P-10 10.0 25.0
2.500 0.025 0.052 2.601 0.077 2.631 0.107 2.665 -- -- W-10/P-10 10.0 25.0
2.650 0.027 0.053 2.754 0.078 2.784 0.108 2.819 -- -- W-10/P-10 10.0 25.0
2.800 0.028 0.054 2.907 0.080 2.938 0.110 2.972 -- -- W-10/P-10 10.0 25.0
3.150 0.032 0.056 3.263 0.082 3.294 0.113 3.330 -- -- W-10/P-10 10.0 25.0
3.245 0.034 0.057 3.359 0.083 3.392 0.115 3.428 -- -- W-10/P-10 10.0 25.0
3.350 0.034 0.057 3.466 0.083 3.498 0.115 3.534 -- -- W-10/P-10 10.0 25.0
3.550 0.036 0.058 3.670 0.085 3.702 0.117 3.738 -- -- W-10/P-10 10.0 25.0
3.660 0.038 0.059 3.701 0.086 3.814 0.118 3.851 -- -- W-10/P-10 10.0 25.0
3.750 0.038 0.059 3.873 0.086 3.905 0.118 3.942 -- -- W-10/P-10 10.0 25.0
4.000 0.040 0.060 4.127 0.087 4.160 0.120 4.196 -- -- W-10/P-10 10.0 25.0
4.250 0.043 0.060 4.380 0.088 4.414 0.122 4.451 -- -- W-10/P-10 10.0 25.0
4.500 0.045 0.061 4.634 0.090 4.668 0.124 4.705 -- -- W-10/P-10 10.0 25.0
4.750 0.048 0.062 4.889 0.091 4.923 0.126 4.961 -- -- W-10/P-10 10.0 25.0
5.000 0.050 0.063 5.142 0.092 5.177 0.128 5.215 -- -- W-10/P-10 10.0 25.0
1.900 0.019 0.049 1.990 0.072 2.018 0.100 2.049 -- -- W-10/P-10 10.0 25.0
3.000 0.030 0.055 3.110 0.081 3.142 0.112 3.176 -- -- W-10/P-10 10.0 25.0
31.12.98 No Copying or Extraction from this Document without L&T’s Permission Page 10 of 30
LTS 3216
APPENDIX - I
BREAKDOWN VOLTAGE TEST
1. SCOPE
To determine the maximum voltage which the enamelled wire can withstand.
2. APPARATUS
i) Test voltage device : Nominal frequency 50 Hz of sine wave form, peak cycle shall be √2±5%
(i.e. 1.34 to 1.48), capacity to supply current of 5mA
ii) Test Transformer : Rating of at least 500 VA
iii) Oven
3. PROCEDURE
3.1 TESTING AT ROOM TEMPERATURE
i) Twist two 400 mm sample lengths of wire together for a length of 125 mm with a device as
shown in the figure given on the next page. Tension in wire pairs while being twisted and
number of twists are in the table given along with.
ii) Cut the loop at the end of the twisted section at two places, to provide maximum spacing
between cut ends. avoid sharp bends and damages to insulation.
iii) Apply the test voltage between the conductors.
Iv) Test 5 samples.
v) Repeat the test on fresh samples, if any one of the samples fails to withstand required value.
3.2 FOR TESTING AT ELEVATED TEMPERATURES:
i) Preheat the samples to the temperatures specified below before testing.
Polyester enamel: 155°C
Polyesteramide enamel : 180° C
ii) Apply test voltage 15 minutes after placing the sample in an oven or on
reaching the specified temperature, whichever is later.
iii) Complete the test within 30 minuters.
4 EVALUATION AND REPORT
i) BDV at room temperature: The BDV shall not be less than the value specified in
the Table-1 of LTS 3216.
ii) BDV at elevated temperature: The BDV shall not be less than 75% of the value
specified at room temperature.
31.12.1997 No copying or Extraction from this Document without L&T’s Page 11 of 30
Permission
LTS 3216
APPENDIX - II
ELONGATION TEST
1 SCOPE
To determine the elongation of Copper wires.
2 APPARATUS
Tensile test equipment
3 PROCEDURE
i) Take 3 samples of at least 200 mm long.
ii) Grip the wire in the tensile test apparatus.
iii) Stretch at the rate of 5mm/sec(300mm / minute) upto the breaking point
of the conductor material.
4 EVALUATION AND REPORT
The increase in length as a % of original length is indicated as Elongation of the copper
wire sample.
The mean of three measurements shall be reported as Elongation.
31.12.1997 No copying or Extraction from this Document without L&T’s Page 13 of 30
Permission
LTS 3216
TABLE: DETAILS OF THE MANDREL
Conductor
dia
Winding
Diameter
Dimensions Grooves
SWG a b c d Depth (c) Width (f)
45-47 3.0 6.0 6.0 30 0.25 0.04 0.15
42-44 5.0 6.0 7.5 32 0.25 0.08 0.30
39-41 7.0 6.0 9.0 34 0.40 0.12 0.50
35-38 10.0 6.0 9.0 34 0.60 0.16 0.70
31-34 12.5 6.0 9.0 40 0.80 0.20 0.80
27-30 19.0 10.0 11.0 45 1.20 0.30 1.20
24-26 25.0 12.5 12.5 45 2.00 0.15 0.75
21-23 37.5 12.5 14.5 47 2.40 0.25 1.25
17-20 50.0 12.5 17.5 50 2.80 0.40 2.00
All dimensions are in mm
3. PROCEDURE
a. Attach specified weight to one end of sample wire. Insert the other end through the transverse hole in
the mandrel and hold firmly.
b. Apply tension to wire by means of weight in such a manner that the mandrel is aligned with dial
zero vertically downwards.
c. Hold the free end of wire securely and rotate the mandrel counter clockwise until 5 complete turns
of the wire have been wound.
Leave about 2.5mm of wire beyond the end of fifth turn.
d. Latch the winding head with dial zero vertically upwards.
e. Bend this end in a vertical position in line with zero mark on the dial to act as a pointer.
f. Unlatch the winding head & allow the coil to unwind slowly without jerking.
g. Ensure that spring back is complete.
h. Note the reading on the dial shown by the pointer.
i. In the case of very springy wire, the pointer may rotate through more than one revolution. It is
necessary to add 72 to the reading for each completed revolution.
4 EVALUATION AND REPORT
The value of spring back shown on the dial shall be reported as Spring Back.
The unit of measurement is degrees.
The sample should pass the test satisfactorily.
31.12.1997 No copying or Extraction from this Document without L&T’s Page 15 of 30
Permission
LTS 3216
APPENDIX -V
HEAT SHOCK TEST
1. SCOPE
To evaluate quality of enamel when subjected to high temperature:
2. APPARATUS
I) Polished Mandrel, ii) Stretch test apparatus
3. PROCEDURE
Take 3 samples of at least 200 mm long.
i) The wire shall be wound for 10 turns, touching one another, around a polished metal mandrel of
diameter as given in the table below:
Nominal Conductor Dia. (d) in mm Mandrel diameter in mm for
Fine Cov. Med. Cov.
<0.04 0.200 0.150*
≥0.04 < 0 .16 5d 3d*
≥0.16 < 0.25 5d 5d*
≥0.25 < 1.00 6d 2d
≥1.00 < 1.60 7d 3d
≥1.60 < 2.00 shall not be wound on mandrel
The wires shall be pre-stretched to 20% or breaking, whichever is less, before winding on the mandrel. The pre-
stretching shall be done between grips, placed 200mm to 250mm apart, at the rate of approximately 300
mm/minute.
ii) Immerse the test specimen into a hot, electrically heated, forced air circulating oven having following
temperatures for a period of 30 minutes:
Polyester enamel 175-180°C
Polyesterimide enamel 195-200°C
Polyvinyl Acetate enamel155-160°C
iii) Remove the sample from oven and allow it to be cooled to room temperature.
4 EVALUATION AND REPORT
Check the sample for cracks on the covering as follows:
a) Visual : Enamelled wire shall be examined for cracks, flaking off etc., after the test, under 10-15
magnification.
b) Practical observation (for wire dia < 1.6 mm)
31.12.97 No Copying or Extraction from this Document without L&T’s Permission Page 17 of 30
LTS 3216
4.1 TEST REPORT
Condition of the enamel insulation Evaluation
Not cracked or sticking at any point Good
Cracked, flaking off or sticking Poor
31.12.97 No Copying or Extraction from this Document without L&T’s Permission Page 18 of 30
LTS 3216
APPENDIX - VI
FLEXIBILITY & ADHERENCE
1. SCOPE
To evaluate quality of enamel
2. APPARATUS
i) Polished mandrel.
ii) Stretch terst apparatus.
iii) Bath with NaCl solution.
iv) 24 V DC supply.
3. PROCEDURE
The testing includes:
a) Mandrel winding test and stretch test.
b) Jerk test and Peel test.
c) Evaluation test: Test 3 samples each.
d) Mandrel winding test & Stretch test.
Mandrel winding test
(for sizes up to and including 1.60mm)
i) take a wire specimen of 200 to 250 mm long.
ii) Wind the wires upto 10 continuous turns around a polished mandrel of following dia.
Nominal Conductor
Dia. (d) in mm
Mandrel diameter
in mm
> 0.00 < 0.05 0.150
> 0.05 < 1.60 d
iii) Rotate the mandrel between 1 & 3 turns per sec. Avoid twisitng on elongation on of wires.
Stretch test
(Applicable to sizes > 1.60mm)
i) Grip the specimen in elongation testing fixtures and stretch steadily at a rate of 300 mm/
minute to the breaking point of the conductor material.
31.12.97 No Copying or Extraction from this Document without L&T’s Permission Page 19 of 30
LTS 3216
b) Jerk test & peel test:
Jerk test
(Applicable to sizes ≤ 1.00mm)
i) Take sample specimen of 250 mm and hold it in jerk testing machine as shown in the
figure-1 (see next page)
ii) Stretch it suddenly to breaking point or to an elongation as specified in the Table -1 of
LTS3216.
Discard the portion of 2 mm from the broken ends for calculating elongation.
Peel test
(Applicable to sizes > 1.00 mm)
i) Take sample length of 600 mm and place it in jerk testing machine as shown in the figure-2
(See next page).
ii) Remove the enamel by means of a scraper shown in the figure-3. (see next page).
iii) The load as given in the Table on the next page shall be sufficient to remove the enamel and leave a
smooth, clean surface without removing any significant quantity of conductor material.
iv) The enamel removal shall be started approximately 10 mm away from fixing device.
4 EVALUATION AND REPORT
The specimen shall be examined for:
i) Enamel flexibility.
ii) Adhesion of the enamel.
The condition of enamel insulation can be examined by any one of the following methods:
i) Visual examination : (For wire sizes ≥ 1.60 mm)
Enamel wire shall be examined for cracks, flaking off etc., after the test under 10 - 15
magnification.
ii) Evaluation by test: (For wire sizes ≤1.60 mm)
Following test shall be done on the sample to examine for cracks :
31.12.97 No Copying or Extraction from this Document without L&T’s Permission Page 20 of 30
LTS 3216
APPENDIX - VII
STRETCH TEST
(Applicable for conductor sizes > 1.60 mm)
1. SCOPE
To evaluate quality of enamel when subjected to stretiching.
2. APPARATUS
Tensile test equipment
Take 3 samples of atleast 200 mm long.
3. PROCEDURE
i) Grip the wire in the tensile test apparatus.
ii) Stretch at the rate of 5 mm/sec. (300 mm/minute) upto the breaking point of the conductor material.
4. EVALUATION AND REPORT
Subject to specimen to evaluation as per cl. 4 of Appendix VI and report.
31.12.97 No Copying or Extraction from this Document without L&T’s Permission Page 23 of 30
LTS 3216
vi) Limit the short circuit current to 20m A.
vii) Clean the sample wire with cloth.
viii) Apply load steadily and increase it until the conductor is exposed and the device stop.
ix) Do not apply a initial force of more than 90% of the minimum force to failure as specified in
Table-2 of LTS 3216.
x) Read the value on the graduated scale when the device stops.
xi) Repeat the test by turning the sample wire axially through approximately 120° and then
through 240°.
xii) Repeat the test on second sample wire.
4 EVALUATION AND REPORT
i) The product of the value on the graduated scale and the initial load applied shall be recorded as
a force of failure.
ii) Evaluation by test: (For wire sizes < 1.60 mm)
Following test shall be done on the sample to examine it for cracks.
a) Immerse the sample to be evaluated in NaCL solution in the figure below:
b) Apply 24V de between terminals A and B.
c) For observation disregard 0.50mm distance from both ends of the sample.
d) Establishes whether enamelled wire alone (unimpregnated) has satisfactory heat ageing.
This has no significance for compatibility with impregnant. A ratio below 0.8 shows
unsatisfactory wire, which is unsuitable for further impregnation and tests.
31.12.97 No Copying or Extraction from this Document without L&T’s Permission Page 25 of 30
LTS 3216
APPENDIX - IX
CUT - THROUGH TEST
1. SCOPE
To evaluate the capacity of the enamel to withstand high temperature when underload.
2. APPARATUS
i) Compression device for cut-through test,
ii) Loading device,
iii) Alternating voltage of 100 ± 10 V.
3 PROCEDURE
i) Straighten two pieces of specimen by slight (max. 1%) elongation,
ii) Insert these in pre-heated compression testing device. The temperatures shall be
for Polyester enamel: 240°C
for Polyesterimide enamel: 265°C
iii) These two pieces shall be carefully inserted in the apparatus in such a manner that they cross
each other at right angles. The crossing point shall lie centrally under the piston.
In case of wire dia.less than 0.20mm two wires be placed side by side below the top wire.
iv) Keep the specimen in the apparatus for time specified in the Table-1, prior to loading.
v) Apply load given in the Table-2 gently to the upper wire by means of piston. the load includes weight
of the piston.
vi) Apply a voltage of 100 ± 10V between upper and lower wires.
vii) Circuit shall be so designed that an indication is given when a current of approximately 5 m A flows
between the wires. Excessive current (more than 50m A ) should be avoided.
viii) Apply load and voltage for 120 sec.
ix) Test three samples.
4. EVALUATION AND REPORT
No cut-through shall occur due to thermoplastically of the enamel at the specified temperature.
31.12.97 No Copying or Extraction from this Document without L&T’s Permission Page 26 of 30
LTS 3216
TABLE 1 TIME OF INSERTION FOR CUT-THROUGH TEST
NOMINAL DIAMETER (d)
TIME FROM INSERTING
UNTIL LOADING
OVER
(1)
mm
UPTO AND INCLUDING
(2)
mm
(3)
Minutes
- 1.000 1
1.00 2.000 2
2.00 3.000 3
3.00 5
TABLE 2 LOADS FOR CUT-THROUGH TEST
NOMINAL DIAMETER (d) LOAD
OVER
(1)
mm
UP TO AND INCLUDING
(2)
mm
COPPER
(3)
Minutes
- 0.032 0.25
0.032 0.050 0.40
0.050 0.080 0.70
0.080 0.125 1.25
0.125 0.315 2.20
0.315 0.500 4.50
0.500 0.800 9.00
0.800 1.250 18.00
1.250 2.000 36.00
2.000 70.00
31.12.97 No Copying or Extraction from this Document without L&T’s Permission Page 27 of 30
LTS 3216
APPENDIX - X
SOFTENING TEMPERATURE TEST
1. SCOPE
To evaluate the temperature at which the enamel softens, when under load.
This test is a corollary to Cut-Through Test.
2. APPARATUS
i) Compression device for cut through test,
ii) Loading device,
iii) Alternating voltage of 100±10V.
3. PROCEDURE
i) Straighten two pieces of specimen by slight (max.1%) elongation.
ii) Insert these wires in compression device carefully in such a manner that the wires cross each other at
right angles. The crossing point shall lie centrally under the piston. In case of wire dia. less than 0.20
mm two wires shall be placed side by side below the top wires.
iii) Apply load as specified in the Table-2 of Appendix IX.
iv) Start heating and increase the temperature at the rate of 15°C/minute.
v) Continue the test till failure occurs.
vi) Note down the temperature at which the sample fails .
vii) Test three samples.
4. EVALUATION AND REPORT
The minimum acceptable softening temperature shall be :
i) Polyester enamel : 300°C
ii) Polyesterimide enamel : 330°C
31.12.97 No Copying or Extraction from this Document without L&T’s Permission Page 28 of 30
LTS 3216
APPENDIX - XI
COMPATIBILITY TEST
1. SCOPE
To determine the compatibility of enamel for copper wire with impregnation varnish used.
2. APPARATUS
i) BDV Test voltage device,
ii) Test Transformer
3. PROCEDURE
I) Six sets of eleven specimens each shall be made.
ii) BDV test, at room temperature shall be carried out as per method specified in Appendix A.
Follow the chart given below for preparation of test specimen for the test :
I Set II Set III Set IV Set V Set VI Set
Impregnation, as per recommended method,
with varnish to be tested
NO IMPREGNATION
IG 0 IG 1 IG 2 NIG 0 NIG 1 NIG 2
Heat ageing for 168 Hrs
at T°C
Heat ageing
for next 168
Hrs. at T°C
Heat ageing
for next 168
Hrs. at T°C
TEST FOR BDV ON SPECIMENS AT ROOM TEMP AND RECORD READINGS
Temperature T shall be :
195°C for Polyester enamel, and
220°C for Polyesterimide enamel.
31.12.97 No Copying or Extraction from this Document without L&T’s Permission Page 29 of 30
LTS 3216
4. EVALUATION AND REPORT
Calculate the average reading for each test and find out the following :
IG 0
R0=
NIG 0
IG 1
R1=
NIG 1
IG 2
R2=
NIG 2
NIG 2
& R3 =
NIG 0
The performance compatibility between enameled copper wire and impregnating varnish is estimated from
above ratios by means of following criteria:
RATIO MINIMUM
VALUE
SIGNIFICANCE OF SPECIFIED RATIO
VALUE
R0 > 1 Measures immediate chemical action
on varnish during impregnation and
curing
R1 > 0.65 Measures action of varnish after 168h
heat aging. Wider dispersion in
results is caused by non- stability. Value
below 0.65 indicate unsatisfactory
compatibility.
R2 > 0.8 Measures action of varnish after 336h
heat aging. This is most significant
ratio
R3 > 0.8 Establishes whether enameled wire alone
(unimpregnated) has satisfactory heat ageing. This
has no significance for compatibility with
impregnant. A ratio below 0.8 shows
unsatisfactory wire, which is unsuitable for further
impregnation and tests.
31.12.97 No Copying or Extraction from this Document without L&T’s Permission Page 30 of 30

Enamelled round

  • 1.
    ADOPTED BY L&T STANDARDIZATIONCOMMITTEE PREPARED & RELEASED BY STANDARDS CELL, CMD 30.10.92 REVISION A B C D E F G H I J K L DATE 31.10.93 07.01.94 31.03.94 30.06.94 30.09.94 31.03.95 30.06.95 30.09.95 31.12.95 30.06.97 31.12.97 30.06.98 PAGE NO 3 4,5 4,5,6,10, 11 ALL 1,2,6 4,6,7 4,6,7 1,2 2,3 3,7 Released 3,6,8,9 LARSEN & TOUBRO LIMITED, POWAI, MUMBAI - 400 072 PAGE : 1 OF 30 No copying or Extraction from this Document without L&T’s Permission ENAMELLED ROUND COPPER WIRES LTS 3216 1.0 SCOPE This standard covers requirements ofenamelled round copper wires of Polyster andPolysterimide enamel for use at elevated temperatures. ORDERING SPECIFICATIONS POLY-Polyster, POLYAMIDE- Polyestrimide. EN-Enamelled, CU-Copper & Covering FC-Fine, MC-Medium, TC-Thick, CC-Coarse APPLICATIONS It is intended to be used as winding wires in electrical and electronics apparutus. REQUIREMENTS a) General: The conductor shall beof high conductivity annealed copper and be completely and uniformly covered with a durable , flexible synthetic enamel. the enamel shall have a clean, smooth surface free from embedded particles such as dust & other deleterious material. It shall also be free from slivers, cracks, spills and other harmful defects. Each batch shall be accompanied by a batch test certificate . b) Material: b.1 Conductor: i) Coefficient of linear expansion :0.000017m/°C over temperature range of 0°C to 150°C. ii) Density: 8.89gm/cc at 20°C iii) Resistivity : 0.017241 ohm mm 2/m at 20° C b.2 Enamelled wire: i) Breakdown Voltage at room temperature: As per values given in Table-1, when tested asper Appendix I ii) Breakdown Voltage at elevated temperature: When tested as per Appendix I the value shall not be less than 75% of the BDV at room temperature as specified in Table-I. iii) Elongation: Shall be as given in Table-I, when tested as per Appendix II. iv) Springiness: (Applicable to sizes >0.05mm ≤ 1.60mm) Shall be as given in Table-I, when tested as per Appendix III. NOTE : Table No.3 expanded to include metric sizes. REVISION M N O DATE 31.12.98 31.12.99 30.09.2000 PAGE NO 7,8 & 10 3 6
  • 2.
    LTS 3216 v) Continuityof covering: (Applicable to sizes upto 0.85mm). Not more than 15 faults in a length of 50m, when tested as per Appendix IV. vi) Heat shock test: The covering shall show no cracks, when tested as per Appendix V. vii) Flexibility and Adherence: the covering shall show no cracks when tested as perAppenix VI. viii) Stretch test: To satisfy requirements given in Appendix VII. ix) Abrasion Resistance: (Applicable sizes >0.25mm. 2.50mm).Shall satisfy the values given in the Table-2, when tested as per AppendixVIII. x) Cut-Through test: No breakdown shall occur within 2 minutes when tested as per Appendix IX. xi) Softening temperature test: No breakdown shall occur when tested as per Appendix X . xii) Compatibility: shall satisfy the requirements for performance when tested as per Appendix XI. 5.0 DIMENSIONS AND TOLERANCES As per Table-3 enclosed 6.0 TESTING The enamelled copper wires shall be tested for : i) Breakdown voltage :As per Appendix I. ii) Elongation : As per Appendix II. iii) Springiness : As per Appendix III. iv) Continuity of covering : As per Appendix IV. v) Heat shock test : As per Appendix V. vi) Flexibility and Adherence : As per Appendix VI. vii) Stretch Test : As per Appendix VII. viii) Abrasion Resistance : As per Appendix VIII. ix) Cut-Through test : As per Appendix IX. x) Softening temperature test : As per Appendix X. xi) Compatibility : As per Appendix XI. This test shall be done for approval of new vendor of enamel or varnish application. xii) Test certificate as per the format given by L&T and shall be enclosed alongwith the supply challan. 7.0 INSPECTION After ascertaining that a valid batch test certificate is available, inspection shall be carried out for : i) Dimensions and Tolerances as per clause 5.0. ii) Visual/General requirements as per clause 4.0. 31.12.1997 No copying or Extraction from this Document without L&T’s Page 2 of 30 Permission
  • 3.
    LTS 3216 8.0 PACKING Thewires shall be wound evenly and compactly on plastic/wooden spools without any deformation. The spools shall be packed in suitable cartons. Dimensions of the spools shall be as per table given below : SPOOL Flange ∅∅ Traverse Material Type (mm) Approx. PLASTIC No.12 125 x 125 mm 70 PLASTIC PT-1 95 x 104 mm 99 PLASTIC PT-4 125 x 140 mm 170 PLASTIC P-8 8” x 8” 120 PLASTIC P-10 10” x 10” 120 PLASTIC K-160 160 x 160 mm 135 WOOD W-8 8” x 8” 120 WOOD W-10 10” x 10” 120 Spool shall conform to following : i) The material used for the construction of the spool shall have the required mechanical strength so that the spool does not warp on actual usage or storage. ii) The material shall have no deleterious effect on enamel or other coverings of wire. iii) No portion of spool shall warp when kept in an oven at 70°C for an hour. iv) The spool shall be of any light colour (Black excluded) v) Imbalance and axial throw of the flange shall be negligible. vi) Eccentricity of the spool when measured by dial gauge shall be within 0.35 mm. 8.1 At least 80% supply of 40 G fine cov. wire shall be min. 3 kg. per spool. 9.0 MARKING Each spool & carton shall be labelled with the following with indelible ink : i) Manufacturer’s Name and / or Trade mark. ii) Material 10 digit code No. iii) Type of enamel. iv) Type of covering. v) Size of wire in swg/mm. vi) Net weight of wire. vii) BIS certification mark: if any. viii) Batch No. 10.0 STORAGE The spools shall be stored on racks and in dry atmosphere. 31.12.1999 No copying or Extraction from this Document without L&T’s Permission Page 3 of 30
  • 4.
    LTS 3216 TABLE 1: ELONGATION, SPRING BACK AND BREAKDOWN VOLTAGE Nom.dia of Conductor Elongation minimum Spring back, maximum (Degree) TENSION Breakdown voltage at room temp. minimum (Volt.) SWG mm % Fine Covering Medium Covering Thick Covering N Fine Covering Medium Covering Thick Covering 46 0.060 12.0 68 82 - 0.1 500 800 1000 45 0.071 13.0 65 77 - 500 950 1400 44 0.081 14.0 70 80 - 600 1200 1800 43 0.091 15.0 67 77 94 0.25 600 1200 1800 - 0.100 16.0 64 73 90 600 1200 1800 42 0.102 16.0 64 73 90 600 1200 1800 41 0.112 17.0 64 73 88 700 1300 1800 40 0.122 17.0 62 70 84 700 1300 1800 - 0.125 17.0 62 70 84 0.5 700 1300 1800 39 0.132 17.0 59 67 79 800 1500 2200 38 0.152 18.5 59 67 78 800 1500 2200 37 0.173 19.5 57 65 75 900 1700 2500 - 0.180 20.0 57 65 75 1.0 900 1700 2500 36 0.193 20.5 54 62 72 900 1700 2500 35 0.213 21.0 51 59 68 1000 2000 3000 - 0.224 21.0 51 59 68 1000 2000 3000 34 0.234 21.5 51 59 68 1000 2000 3000 - 0.250 22.0 49 56 65 1200 2200 2390 33 0.254 22.0 49 56 65 2.0 1200 2200 3300 32 0.274 22.0 47 53 61 1200 2200 3300 31 0.295 22.0 50 55 62 1200 2200 3300 30 0.315 23.0 50 55 62 1200 2200 3300 29 0.345 23.0 48 53 59 1400 2400 3700 28 0.376 23.5 47 52 57 4.0 1400 2400 3700 27 0.417 24.5 45 50 55 1600 2500 4000 - 0.450 25.0 44 48 53 1600 2800 4000 26 0.457 25.0 44 48 53 1600 2800 4000 25 0.508 25.0 43 47 51 8.0 1800 3100 4400 24 0.559 26.0 41 44 48 1800 3100 4400 23 0.610 26.5 46 50 53 1800 3100 4400 22 0.711 28.0 44 47 50 12.0 1900 3500 4700 21 0.813 29.0 41 43 46 1900 3500 4700 20 0.914 29.0 45 48 51 2000 3700 5100 19 1.016 30.0 42 45 47 15.0 2100 3800 5300 18 1.219 31.0 36 38 40 2200 3900 5600 17 1.422 32.0 32 34 34 2300 4000 5900 16 1.626 32.0 - - - 2400 4300 5900 15 1.829 32.0 - - - - 2400 4300 5900 14 2.032 33.0 - - - 2500 4400 6300 31.12.1997 No copying or Extraction from this Document without L&T’s Page 4 of 30 Permission
  • 5.
    LTS 3216 TABLE-2 Conductor FINECOVERING MEDIUM COVERING size in SWG Average force to failure in N Minimum force to failure in N Average force to failure in N Minimum force to failure in N 33 2.70 2.30 4.50 3.80 32 2.90 2.45 4.80 4.10 31 3.01 2.54 5.00 4.25 30 3.15 2.65 5.20 4.40 29 3.40 2.85 5.60 4.75 28 3.51 2.93 5.77 4.90 27 3.65 3.05 6.00 5.10 26 3.90 3.30 6.45 5.45 25 4.20 3.55 6.90 5.85 24 4.50 3.80 7.40 6.25 23 5.85 4.10 7.90 6.70 22 5.20 4.40 8.50 7.20 21 5.60 4.70 9.10 7.79 20 6.05 5.10 9.70 8.20 19 6.55 5.50 10.40 8.80 18 7.38 6.23 11.55 9.80 17 8.20 6.95 12.70 10.80 16 8.90 7.55 13.70 11.80 15 9.60 8.15 14.70 12.40 14 10.30 8.75 15.70 13.30 NOTE: i) IN = 102 gms. ii) Load values for polyester & polyesterimide wires are same. 31.12.1997 No copying or Extraction from this Document without L&T’s Page 5 of 30 Permission
  • 6.
    DIMENSIONS & TOLERANCESFOR ENAMELLED COPPER WIRES – TABLE NO.3 LTS 3216 OVERALL DIA (mm)Nominal Dia Of conductor Fine Covering Medium Covering Thick Covering Electrical Resistance at 20°° C per metre (ohms) Spool type Plastic or wooden Net weight of wire in spool (kg.) SWG mm Tol (±±) Min Incre ase Max O.D. Min Increa se Max O.D. Min Incre ase Max O.D. Min. Max. Min. Max. 0.020 0.002 0.025 0.003 0.027 46.63 65.31 No.12 0.5 -- 0.025 0.025 0.031 0.004 0.034 -- -- 30.55 41.09 No.12 0.5 -- 0.032 0.003 0.040 0.006 0.043 -- -- 18.87 24.44 No.12 0.5 -- 0.040 0.004 0.050 0.008 0.054 -- -- 12.21 15.37 No.12 0.5 -- 0.050 0.005 0.062 0.010 0.068 -- -- 7.903 9.559 No.12 0.5 -- 46 0.060 0.003 0.007 0.076 0.013 0.083 -- -- 5.369 6.431 No.12/PT-1 0.5 -- 0.063 0.007 0.078 0.013 0.085 -- -- 5.033 6.029 No.12/PT-4 0.5 -- 45 0.071 0.003 0.008 0.088 0.015 0.095 -- -- 3.985 4.725 No.12 0.5 -- 0.080 0.003 0.009 0.098 0.016 0.105 0.024 0.116 3.156 3.704 No.12 0.5 -- 44 0.081 0.013 0.009 0.099 0.016 0.106 0.024 0.117 3.078 3.614 No.12/PT-1 0.5 -- 0.090 0.003 0.010 0.110 0.017 0.117 0.026 0.128 2.507 2.913 No.12 0.5 -- 43 0.091 0.003 0.010 0.111 0.017 0.118 0.026 0.129 2.452 2.850 No.12 0.5 -- 0.095 0.003 0.018 0.123 2.254 2.619 PT-4 3.0 -- 0.100 +0.000 -0.003 0.111 0.116 2.041 2.349 PT-4 3.0 -- 0.100 0.003 0.011 0.121 0.019 0.129 0.028 0.141 2.041 2.349 No.12/PT-4 0.5 -- 42 0.102 0.003 0.011 0.123 0.019 0.131 0.028 0.143 1.974 2.259 No.12/PT-4 0.5 -- 41 0.112 0.003 0.012 0.134 0.020 0.143 0.029 0.155 1.646 1.864 PT-4 3.0 -- 40 0.122 0.003 0.013 0.146 0.023 0.156 0.032 0.168 1.393 1.564 PT-4 3.0 -- 0.125 0.003 0.013 0.149 0.022 0.159 0.032 0.171 1.328 1.488 No.12/PT-4 0.5 -- 39 0.132 0.003 0.015 0.157 0.024 0.168 0.034 0.180 1.194 1.331 No.12/PT-4 0.5 -- 0.140 0.003 0.015 0.166 0.024 0.176 0.034 0.189 1.064 1.180 No.12/PT-4 0.5 -- 0.147 0.002 0.161 0.165 0.968 1.065 PT-4 3.0 -- 38 0.152 0.003 0.016 0.179 0.025 0.190 0.034 0.203 0.9056 0.9974 PT-4 3.0 -- 30.06.98 No Copying or Extraction from this Document without L&T’s Permission Page 6 of 30
  • 7.
    LTS 3216 OVERALL DIA(mm)Nominal Dia Of conductor Fine Covering Medium Covering Thick Covering Electrical Resistance at 20°° C per metre (ohms) Spool type Plastic or wooden Net weight of wire in spool (kg.) SWG mm Tol (±±) Min Incre ase Max O.D. Min Increa se Max O.D. Min Incre ase Max O.D. Min. Max. Min. Max. 0.152 0.003 0.016 0.170 -- -- -- -- 0.9056 0.9974 No.12/PT 0.5 -- 0.160 0.003 0.016 0.187 0.025 0.199 0.037 0.213 0.8192 0.8983 No.12/PT-4 0.5 -- 0.170 0.003 0.017 0.198 0.027 0.211 0.040 0.226 0.7272 0.7940 No.12 0.5 -- 37 0.173 0.003 0.017 0.201 0.026 0.214 0.039 0.229 0.7026 0.7662 No.12/PT-4 0.5 -- 0.180 0.003 0.017 0.209 0.027 0.222 0.040 0.237 0.6499 0.7068 No.12 0.5 -- 0.190 0.003 0.018 0.220 0.028 0.234 0.043 0.248 0.5843 0.6332 No.12 0.5 -- 36 0.193 0.003 0.017 0.223 0.027 0.237 0.040 0.253 0.5666 0.6134 No.12/PT-4 0.5 -- 0.195 0.003 0.018 0.225 0.028 0.239 0.043 0.255 0.5552 0.6007 No.12 0.5 -- 0.200 0.003 0.018 0.230 0.028 0.245 0.043 0.261 0.5282 0.5706 No.12 0.5 -- 0.212 0.003 0.019 0.244 0.030 0.258 0.046 0.275 0.4708 0.5069 No.12 0.5 -- 35 0.213 0.003 0.018 0.244 0.028 0.260 0.043 0.277 0.4666 0.5022 No.12/PT-4 0.5 -- 0.224 0.004 0.019 0.256 0.030 0.272 0.046 0.290 0.4224 0.4534 No.12/PT-4 0.5 -- 34 0.234 0.004 0.019 0.267 0.030 0.282 0.046 0.300 0.3875 0.4150 No.12/PT-4 0.5 -- 0.236 0.003 0.020 0.269 0.031 0.283 0.048 0.310 0.3810 0.4079 No.12 0.5 -- 0.243 0.004 0.020 0.276 0.031 0.293 0.048 0.310 0.3567 0.3876 No.12 0.5 -- 0.250 0.004 0.020 0.284 0.031 0.301 0.048 0.320 0.3374 0.3659 No.12/PT-4 0.5 -- 33 0.254 0.004 0.020 0.288 0.031 0.305 0.048 0.334 0.3270 0.3526 No.12/PT-4 0.5 -- 0.265 0.004 0.021 0.300 0.032 0.317 0.051 0.335 0.3008 0.3251 No.12 0.5 -- 0.273 0.004 0.021 0.309 0.032 0.326 0.051 0.344 0.2837 0.3060 No.12 0.5 -- 32 0.274 0.004 0.021 0.309 0.032 0.328 0.049 0.347 0.2816 0.3037 No.12/PT-4 3.0 -- 31 0.295 0.004 0.021 0.331 0.033 0.350 0.052 0.369 0.2435 0.2615 No.12/PT-4 0.5 -- 0.300 0.004 0.022 0.337 0.034 0.355 0.053 0.374 0.2355 0.2527 No.12 0.5 -- 30 0.315 0.004 0.022 0.352 0.034 0.371 0.053 0.391 0.2139 0.2289 No.12/PT-4 0.5 -- 31.12.98 No Copying or Extraction from this Document without L&T’s Permission Page 7 of 30
  • 8.
    LTS 3216 OVERALL DIA(mm)Nominal Dia Of conductor Fine Covering Medium Covering Thick Covering Electrical Resistance at 20°° C per metre (ohms) Spool type Plastic or wooden Net weight of wire in spool (kg.) SWG mm Tol (±±) Min Incre ase Max O.D. Min Increa se Max O.D. Min Incre ase Max O.D. Min. Max. Min. Ma x. 29 0.345 0.004 0.024 0.385 0.036 0.404 0.056 0.424 0.1784 0.1904 No.12 0.5 -- 0.355 0.004 0.024 0.395 0.036 0.414 0.056 0.435 0.1689 0.1797 No.12 0.5 -- 0.376 0.004 0.025 0.416 0.038 0.436 0.058 0.459 0.1515 0.1609 No.12 0.5 -- 28 0.376 0.005 0.024 0.417 0.037 0.437 0.057 0.458 0.1499 0.1609 No.12/PT-4 0.5 -- 0.400 0.005 0.025 0.442 0.038 0.462 0.058 0.483 0.1327 0.1419 No.12 0.5 -- 0.412 0.005 0.026 0.455 0.040 0.476 0.060 0.497 0.1252 0.1337 No.12 0.5 -- 27 0.417 0.005 0.025 0.459 0.038 0.479 0.058 0.500 0.1222 0.1305 PT-4/K-160 0.5/5.0 14.0 0.450 0.005 0.027 0.495 0.041 0.516 0.062 0.538 0.1051 0.1118 No.12/PT-4 0.5 -- 26 0.457 0.005 0.027 0.502 0.041 0.523 0.062 0.545 0.1020 0.1084 PT-4/K-160 0.5/5.0 14.0 0.500 0.005 0.029 0.548 0.044 0.569 0.591 0.650 0.08534 0.09037 No.12 0.5 -- 25 0.508 0.005 0.029 0.556 0.044 0.577 0.065 0.599 0.0827 0.0875 PT-4/K-160 1.5/5.6 14.0 24 0.559 0.006 0.030 0.610 0.046 0.631 0.071 0.655 0.0682 0.0724 PT-4/K-160 1.5/5.0 14.0 0.560 0.006 0.030 0.611 0.046 0.632 0.067 0.656 0.06794 0.7215 No.12 0.5 -- 0.600 0.006 0.032 0.653 0.049 0.676 0.071 0.699 0.05927 0.06276 No.12/ W8/P8 0.5 -- 23 0.610 0.006 0.032 0.664 0.049 0.686 0.071 0.719 0.0574 0.0607 No.12 1.5 14.0 0.630 0.006 0.032 0.684 0.049 0.706 0.071 0.730 0.05381 0.05687 W-8/P-8 5.0 14.0 0.710 0.007 0.034 0.767 0.051 0.791 0.074 0.815 0.04234 0.04481 W-8/K-160/P-8 5.0 14.0 22 0.711 0.007 0.034 0.768 0.051 0.791 0.074 0.816 0.0422 0.0447 W-8/K-160/P-8 5.0 14.0 0.750 0.008 0.035 0.809 0.052 0.832 0.075 0.858 0.03788 0.04022 W-8/P-8 5.0 14.0 0.800 0.008 0.036 0.861 0.054 0.885 0.078 0.911 0.03334 0.03530 W-8/P-8 5.0 14.0 21 0.813 0.008 0.037 0.874 0.055 0.889 0.079 0.924 0.0323 0.0342 W-8/P-8 5.0 14.0 0.850 0.009 0.037 0.913 0.055 0.937 0.079 0.964 0.02950 0.03131 W-8/P-8 5.0 14.0 31.12.98 No Copying or Extraction from this Document without L&T’s Permission Page 8 of 30
  • 9.
    LTS 3216 OVERALL DIA(mm)Nominal Dia Of conductor Fine Covering Medium Covering Thick Covering Electrical Resistance at 20°° C per metre (ohms) Spool type Plastic or wooden Net weight of wire in spool (kg.) SWG mm Tol (±±) Min Incre ase Max O.D. Min Increa se Max O.D. Min Incre ase Max O.D. Min. Max. Min . Max. 0.900 0.009 0.038 0.965 0.057 0.990 0.081 1.017 0.02634 0.02789 W-8/P-8 5.0 14.0 20 0.914 0.010 0.039 0.979 0.058 1.003 0.082 1.030 0.0256 0.0270 W-8/P-8 5.0 14.0 0.950 0.010 0.039 1.017 0.058 1.041 0.082 1.070 0.02362 0.02506 W-8/P-8 5.0 14.0 0.965 0.010 0.039 1.032 0.059 1.057 0.084 1.084 0.02290 0.02428 W-8/P-8 5.0 14.0 1.000 0.010 0.039 1.068 0.059 1.093 0.084 1.123 0.02134 0.02259 W-8/P-8 5.0 14.0 19 1.016 0.010 0.039 1.084 0.059 1.109 0.084 1.139 0.0207 0.0219 W-8/P-8 5.0 14.0 1.030 0.010 0.040 1.099 0.060 1.124 0.085 1.151 -- -- W-8/P-8 5.0 14.0 1.060 0.011 0.040 1.130 0.060 1.155 0.085 1.184 -- -- W-8/P-8 5.0 14.0 1.120 0.011 0.041 1.192 0.061 1.217 0.087 1.246 -- -- W-8/P-8 5.0 14.0 1.180 0.012 0.042 1.254 0.062 1.279 0.088 1.308 -- -- W-8/P-8 5.0 14.0 18 1.219 0.011 0.042 1.293 0.063 1.319 0.089 1.340 0.0143 0.0152 W-8/P-8 5.0 14.0 1.250 0.013 0.042 1.325 0.063 1.351 0.089 1.381 -- -- W-8/P-8 5.0 14.0 1.320 0.013 0.043 1.397 0.064 1.423 0.091 1.453 -- -- W-8/P-8 5.0 14.0 1.400 0.014 0.044 1.479 0.066 1.506 0.093 1.535 -- -- W-8/P-8 5.0 14.0 17 1.422 0.014 0.044 1.501 0.066 1.528 0.093 1.557 0.0105 0.0112 W-8/P-8 5.0 14.0 1.500 0.015 0.045 1.581 0.067 1.608 0.094 1.638 -- -- W-8/P-8 5.0 14.0 1.600 0.016 0.046 1.683 0.068 1.711 0.096 1.741 -- -- W-8/P-8 5.0 14.0 16 1.626 0.014 0.047 1.710 0.069 1.738 0.097 1.768 0.0081 0.0085 W-8/P-8 5.0 14.0 1.700 1.017 0.047 1.785 0.069 1.813 0.097 1.844 -- -- W-8/P-8 5.0 14.0 1.800 1.018 0.048 1.888 0.071 1.916 0.099 1.947 -- -- W-8/P-8 5.0 14.0 15 1.829 0.018 0.048 1.917 0.071 1.945 0.099 1.976 0.0064 0.0068 W-8/P-8 5.0 14.0 2.000 0.020 0.049 2.092 0.073 2.120 0.101 2.152 -- -- W-8/P-8 5.0 14.0 30.06.98 No Copying or Extraction from this Document without L&T’s Permission Page 9 of 30
  • 10.
    LTS 3216 OVERALL DIA(mm)Nominal Dia Of conductor Fine Covering Medium Covering Thick Covering Electrical Resistance at 20°° C per metre (ohms) Spool type Plastic or wooden Net weight of wire in spool (kg.) SWG mm Tol (±±) Min Incre ase Max O.D. Min Increa se Max O.D. Min Incre ase Max O.D. Min. Max. Min. Max. 14 2.032 0.020 0.049 2.124 0.073 2.152 0.101 2.182 0.0051 0.0054 W-10/P-10 10.0 25.0 2.120 0.021 0.050 2.124 0.074 2.243 0.103 2.275 -- -- W-10/P-10 10.0 25.0 2.240 0.022 0.051 2.336 0.075 2.366 0.104 2.398 -- -- W-10/P-10 10.0 25.0 2.360 0.024 0.051 2.459 0.076 2.488 0.105 2.522 -- -- W-10/P-10 10.0 25.0 2.500 0.025 0.052 2.601 0.077 2.631 0.107 2.665 -- -- W-10/P-10 10.0 25.0 2.650 0.027 0.053 2.754 0.078 2.784 0.108 2.819 -- -- W-10/P-10 10.0 25.0 2.800 0.028 0.054 2.907 0.080 2.938 0.110 2.972 -- -- W-10/P-10 10.0 25.0 3.150 0.032 0.056 3.263 0.082 3.294 0.113 3.330 -- -- W-10/P-10 10.0 25.0 3.245 0.034 0.057 3.359 0.083 3.392 0.115 3.428 -- -- W-10/P-10 10.0 25.0 3.350 0.034 0.057 3.466 0.083 3.498 0.115 3.534 -- -- W-10/P-10 10.0 25.0 3.550 0.036 0.058 3.670 0.085 3.702 0.117 3.738 -- -- W-10/P-10 10.0 25.0 3.660 0.038 0.059 3.701 0.086 3.814 0.118 3.851 -- -- W-10/P-10 10.0 25.0 3.750 0.038 0.059 3.873 0.086 3.905 0.118 3.942 -- -- W-10/P-10 10.0 25.0 4.000 0.040 0.060 4.127 0.087 4.160 0.120 4.196 -- -- W-10/P-10 10.0 25.0 4.250 0.043 0.060 4.380 0.088 4.414 0.122 4.451 -- -- W-10/P-10 10.0 25.0 4.500 0.045 0.061 4.634 0.090 4.668 0.124 4.705 -- -- W-10/P-10 10.0 25.0 4.750 0.048 0.062 4.889 0.091 4.923 0.126 4.961 -- -- W-10/P-10 10.0 25.0 5.000 0.050 0.063 5.142 0.092 5.177 0.128 5.215 -- -- W-10/P-10 10.0 25.0 1.900 0.019 0.049 1.990 0.072 2.018 0.100 2.049 -- -- W-10/P-10 10.0 25.0 3.000 0.030 0.055 3.110 0.081 3.142 0.112 3.176 -- -- W-10/P-10 10.0 25.0 31.12.98 No Copying or Extraction from this Document without L&T’s Permission Page 10 of 30
  • 11.
    LTS 3216 APPENDIX -I BREAKDOWN VOLTAGE TEST 1. SCOPE To determine the maximum voltage which the enamelled wire can withstand. 2. APPARATUS i) Test voltage device : Nominal frequency 50 Hz of sine wave form, peak cycle shall be √2±5% (i.e. 1.34 to 1.48), capacity to supply current of 5mA ii) Test Transformer : Rating of at least 500 VA iii) Oven 3. PROCEDURE 3.1 TESTING AT ROOM TEMPERATURE i) Twist two 400 mm sample lengths of wire together for a length of 125 mm with a device as shown in the figure given on the next page. Tension in wire pairs while being twisted and number of twists are in the table given along with. ii) Cut the loop at the end of the twisted section at two places, to provide maximum spacing between cut ends. avoid sharp bends and damages to insulation. iii) Apply the test voltage between the conductors. Iv) Test 5 samples. v) Repeat the test on fresh samples, if any one of the samples fails to withstand required value. 3.2 FOR TESTING AT ELEVATED TEMPERATURES: i) Preheat the samples to the temperatures specified below before testing. Polyester enamel: 155°C Polyesteramide enamel : 180° C ii) Apply test voltage 15 minutes after placing the sample in an oven or on reaching the specified temperature, whichever is later. iii) Complete the test within 30 minuters. 4 EVALUATION AND REPORT i) BDV at room temperature: The BDV shall not be less than the value specified in the Table-1 of LTS 3216. ii) BDV at elevated temperature: The BDV shall not be less than 75% of the value specified at room temperature. 31.12.1997 No copying or Extraction from this Document without L&T’s Page 11 of 30 Permission
  • 13.
    LTS 3216 APPENDIX -II ELONGATION TEST 1 SCOPE To determine the elongation of Copper wires. 2 APPARATUS Tensile test equipment 3 PROCEDURE i) Take 3 samples of at least 200 mm long. ii) Grip the wire in the tensile test apparatus. iii) Stretch at the rate of 5mm/sec(300mm / minute) upto the breaking point of the conductor material. 4 EVALUATION AND REPORT The increase in length as a % of original length is indicated as Elongation of the copper wire sample. The mean of three measurements shall be reported as Elongation. 31.12.1997 No copying or Extraction from this Document without L&T’s Page 13 of 30 Permission
  • 15.
    LTS 3216 TABLE: DETAILSOF THE MANDREL Conductor dia Winding Diameter Dimensions Grooves SWG a b c d Depth (c) Width (f) 45-47 3.0 6.0 6.0 30 0.25 0.04 0.15 42-44 5.0 6.0 7.5 32 0.25 0.08 0.30 39-41 7.0 6.0 9.0 34 0.40 0.12 0.50 35-38 10.0 6.0 9.0 34 0.60 0.16 0.70 31-34 12.5 6.0 9.0 40 0.80 0.20 0.80 27-30 19.0 10.0 11.0 45 1.20 0.30 1.20 24-26 25.0 12.5 12.5 45 2.00 0.15 0.75 21-23 37.5 12.5 14.5 47 2.40 0.25 1.25 17-20 50.0 12.5 17.5 50 2.80 0.40 2.00 All dimensions are in mm 3. PROCEDURE a. Attach specified weight to one end of sample wire. Insert the other end through the transverse hole in the mandrel and hold firmly. b. Apply tension to wire by means of weight in such a manner that the mandrel is aligned with dial zero vertically downwards. c. Hold the free end of wire securely and rotate the mandrel counter clockwise until 5 complete turns of the wire have been wound. Leave about 2.5mm of wire beyond the end of fifth turn. d. Latch the winding head with dial zero vertically upwards. e. Bend this end in a vertical position in line with zero mark on the dial to act as a pointer. f. Unlatch the winding head & allow the coil to unwind slowly without jerking. g. Ensure that spring back is complete. h. Note the reading on the dial shown by the pointer. i. In the case of very springy wire, the pointer may rotate through more than one revolution. It is necessary to add 72 to the reading for each completed revolution. 4 EVALUATION AND REPORT The value of spring back shown on the dial shall be reported as Spring Back. The unit of measurement is degrees. The sample should pass the test satisfactorily. 31.12.1997 No copying or Extraction from this Document without L&T’s Page 15 of 30 Permission
  • 17.
    LTS 3216 APPENDIX -V HEATSHOCK TEST 1. SCOPE To evaluate quality of enamel when subjected to high temperature: 2. APPARATUS I) Polished Mandrel, ii) Stretch test apparatus 3. PROCEDURE Take 3 samples of at least 200 mm long. i) The wire shall be wound for 10 turns, touching one another, around a polished metal mandrel of diameter as given in the table below: Nominal Conductor Dia. (d) in mm Mandrel diameter in mm for Fine Cov. Med. Cov. <0.04 0.200 0.150* ≥0.04 < 0 .16 5d 3d* ≥0.16 < 0.25 5d 5d* ≥0.25 < 1.00 6d 2d ≥1.00 < 1.60 7d 3d ≥1.60 < 2.00 shall not be wound on mandrel The wires shall be pre-stretched to 20% or breaking, whichever is less, before winding on the mandrel. The pre- stretching shall be done between grips, placed 200mm to 250mm apart, at the rate of approximately 300 mm/minute. ii) Immerse the test specimen into a hot, electrically heated, forced air circulating oven having following temperatures for a period of 30 minutes: Polyester enamel 175-180°C Polyesterimide enamel 195-200°C Polyvinyl Acetate enamel155-160°C iii) Remove the sample from oven and allow it to be cooled to room temperature. 4 EVALUATION AND REPORT Check the sample for cracks on the covering as follows: a) Visual : Enamelled wire shall be examined for cracks, flaking off etc., after the test, under 10-15 magnification. b) Practical observation (for wire dia < 1.6 mm) 31.12.97 No Copying or Extraction from this Document without L&T’s Permission Page 17 of 30
  • 18.
    LTS 3216 4.1 TESTREPORT Condition of the enamel insulation Evaluation Not cracked or sticking at any point Good Cracked, flaking off or sticking Poor 31.12.97 No Copying or Extraction from this Document without L&T’s Permission Page 18 of 30
  • 19.
    LTS 3216 APPENDIX -VI FLEXIBILITY & ADHERENCE 1. SCOPE To evaluate quality of enamel 2. APPARATUS i) Polished mandrel. ii) Stretch terst apparatus. iii) Bath with NaCl solution. iv) 24 V DC supply. 3. PROCEDURE The testing includes: a) Mandrel winding test and stretch test. b) Jerk test and Peel test. c) Evaluation test: Test 3 samples each. d) Mandrel winding test & Stretch test. Mandrel winding test (for sizes up to and including 1.60mm) i) take a wire specimen of 200 to 250 mm long. ii) Wind the wires upto 10 continuous turns around a polished mandrel of following dia. Nominal Conductor Dia. (d) in mm Mandrel diameter in mm > 0.00 < 0.05 0.150 > 0.05 < 1.60 d iii) Rotate the mandrel between 1 & 3 turns per sec. Avoid twisitng on elongation on of wires. Stretch test (Applicable to sizes > 1.60mm) i) Grip the specimen in elongation testing fixtures and stretch steadily at a rate of 300 mm/ minute to the breaking point of the conductor material. 31.12.97 No Copying or Extraction from this Document without L&T’s Permission Page 19 of 30
  • 20.
    LTS 3216 b) Jerktest & peel test: Jerk test (Applicable to sizes ≤ 1.00mm) i) Take sample specimen of 250 mm and hold it in jerk testing machine as shown in the figure-1 (see next page) ii) Stretch it suddenly to breaking point or to an elongation as specified in the Table -1 of LTS3216. Discard the portion of 2 mm from the broken ends for calculating elongation. Peel test (Applicable to sizes > 1.00 mm) i) Take sample length of 600 mm and place it in jerk testing machine as shown in the figure-2 (See next page). ii) Remove the enamel by means of a scraper shown in the figure-3. (see next page). iii) The load as given in the Table on the next page shall be sufficient to remove the enamel and leave a smooth, clean surface without removing any significant quantity of conductor material. iv) The enamel removal shall be started approximately 10 mm away from fixing device. 4 EVALUATION AND REPORT The specimen shall be examined for: i) Enamel flexibility. ii) Adhesion of the enamel. The condition of enamel insulation can be examined by any one of the following methods: i) Visual examination : (For wire sizes ≥ 1.60 mm) Enamel wire shall be examined for cracks, flaking off etc., after the test under 10 - 15 magnification. ii) Evaluation by test: (For wire sizes ≤1.60 mm) Following test shall be done on the sample to examine for cracks : 31.12.97 No Copying or Extraction from this Document without L&T’s Permission Page 20 of 30
  • 23.
    LTS 3216 APPENDIX -VII STRETCH TEST (Applicable for conductor sizes > 1.60 mm) 1. SCOPE To evaluate quality of enamel when subjected to stretiching. 2. APPARATUS Tensile test equipment Take 3 samples of atleast 200 mm long. 3. PROCEDURE i) Grip the wire in the tensile test apparatus. ii) Stretch at the rate of 5 mm/sec. (300 mm/minute) upto the breaking point of the conductor material. 4. EVALUATION AND REPORT Subject to specimen to evaluation as per cl. 4 of Appendix VI and report. 31.12.97 No Copying or Extraction from this Document without L&T’s Permission Page 23 of 30
  • 25.
    LTS 3216 vi) Limitthe short circuit current to 20m A. vii) Clean the sample wire with cloth. viii) Apply load steadily and increase it until the conductor is exposed and the device stop. ix) Do not apply a initial force of more than 90% of the minimum force to failure as specified in Table-2 of LTS 3216. x) Read the value on the graduated scale when the device stops. xi) Repeat the test by turning the sample wire axially through approximately 120° and then through 240°. xii) Repeat the test on second sample wire. 4 EVALUATION AND REPORT i) The product of the value on the graduated scale and the initial load applied shall be recorded as a force of failure. ii) Evaluation by test: (For wire sizes < 1.60 mm) Following test shall be done on the sample to examine it for cracks. a) Immerse the sample to be evaluated in NaCL solution in the figure below: b) Apply 24V de between terminals A and B. c) For observation disregard 0.50mm distance from both ends of the sample. d) Establishes whether enamelled wire alone (unimpregnated) has satisfactory heat ageing. This has no significance for compatibility with impregnant. A ratio below 0.8 shows unsatisfactory wire, which is unsuitable for further impregnation and tests. 31.12.97 No Copying or Extraction from this Document without L&T’s Permission Page 25 of 30
  • 26.
    LTS 3216 APPENDIX -IX CUT - THROUGH TEST 1. SCOPE To evaluate the capacity of the enamel to withstand high temperature when underload. 2. APPARATUS i) Compression device for cut-through test, ii) Loading device, iii) Alternating voltage of 100 ± 10 V. 3 PROCEDURE i) Straighten two pieces of specimen by slight (max. 1%) elongation, ii) Insert these in pre-heated compression testing device. The temperatures shall be for Polyester enamel: 240°C for Polyesterimide enamel: 265°C iii) These two pieces shall be carefully inserted in the apparatus in such a manner that they cross each other at right angles. The crossing point shall lie centrally under the piston. In case of wire dia.less than 0.20mm two wires be placed side by side below the top wire. iv) Keep the specimen in the apparatus for time specified in the Table-1, prior to loading. v) Apply load given in the Table-2 gently to the upper wire by means of piston. the load includes weight of the piston. vi) Apply a voltage of 100 ± 10V between upper and lower wires. vii) Circuit shall be so designed that an indication is given when a current of approximately 5 m A flows between the wires. Excessive current (more than 50m A ) should be avoided. viii) Apply load and voltage for 120 sec. ix) Test three samples. 4. EVALUATION AND REPORT No cut-through shall occur due to thermoplastically of the enamel at the specified temperature. 31.12.97 No Copying or Extraction from this Document without L&T’s Permission Page 26 of 30
  • 27.
    LTS 3216 TABLE 1TIME OF INSERTION FOR CUT-THROUGH TEST NOMINAL DIAMETER (d) TIME FROM INSERTING UNTIL LOADING OVER (1) mm UPTO AND INCLUDING (2) mm (3) Minutes - 1.000 1 1.00 2.000 2 2.00 3.000 3 3.00 5 TABLE 2 LOADS FOR CUT-THROUGH TEST NOMINAL DIAMETER (d) LOAD OVER (1) mm UP TO AND INCLUDING (2) mm COPPER (3) Minutes - 0.032 0.25 0.032 0.050 0.40 0.050 0.080 0.70 0.080 0.125 1.25 0.125 0.315 2.20 0.315 0.500 4.50 0.500 0.800 9.00 0.800 1.250 18.00 1.250 2.000 36.00 2.000 70.00 31.12.97 No Copying or Extraction from this Document without L&T’s Permission Page 27 of 30
  • 28.
    LTS 3216 APPENDIX -X SOFTENING TEMPERATURE TEST 1. SCOPE To evaluate the temperature at which the enamel softens, when under load. This test is a corollary to Cut-Through Test. 2. APPARATUS i) Compression device for cut through test, ii) Loading device, iii) Alternating voltage of 100±10V. 3. PROCEDURE i) Straighten two pieces of specimen by slight (max.1%) elongation. ii) Insert these wires in compression device carefully in such a manner that the wires cross each other at right angles. The crossing point shall lie centrally under the piston. In case of wire dia. less than 0.20 mm two wires shall be placed side by side below the top wires. iii) Apply load as specified in the Table-2 of Appendix IX. iv) Start heating and increase the temperature at the rate of 15°C/minute. v) Continue the test till failure occurs. vi) Note down the temperature at which the sample fails . vii) Test three samples. 4. EVALUATION AND REPORT The minimum acceptable softening temperature shall be : i) Polyester enamel : 300°C ii) Polyesterimide enamel : 330°C 31.12.97 No Copying or Extraction from this Document without L&T’s Permission Page 28 of 30
  • 29.
    LTS 3216 APPENDIX -XI COMPATIBILITY TEST 1. SCOPE To determine the compatibility of enamel for copper wire with impregnation varnish used. 2. APPARATUS i) BDV Test voltage device, ii) Test Transformer 3. PROCEDURE I) Six sets of eleven specimens each shall be made. ii) BDV test, at room temperature shall be carried out as per method specified in Appendix A. Follow the chart given below for preparation of test specimen for the test : I Set II Set III Set IV Set V Set VI Set Impregnation, as per recommended method, with varnish to be tested NO IMPREGNATION IG 0 IG 1 IG 2 NIG 0 NIG 1 NIG 2 Heat ageing for 168 Hrs at T°C Heat ageing for next 168 Hrs. at T°C Heat ageing for next 168 Hrs. at T°C TEST FOR BDV ON SPECIMENS AT ROOM TEMP AND RECORD READINGS Temperature T shall be : 195°C for Polyester enamel, and 220°C for Polyesterimide enamel. 31.12.97 No Copying or Extraction from this Document without L&T’s Permission Page 29 of 30
  • 30.
    LTS 3216 4. EVALUATIONAND REPORT Calculate the average reading for each test and find out the following : IG 0 R0= NIG 0 IG 1 R1= NIG 1 IG 2 R2= NIG 2 NIG 2 & R3 = NIG 0 The performance compatibility between enameled copper wire and impregnating varnish is estimated from above ratios by means of following criteria: RATIO MINIMUM VALUE SIGNIFICANCE OF SPECIFIED RATIO VALUE R0 > 1 Measures immediate chemical action on varnish during impregnation and curing R1 > 0.65 Measures action of varnish after 168h heat aging. Wider dispersion in results is caused by non- stability. Value below 0.65 indicate unsatisfactory compatibility. R2 > 0.8 Measures action of varnish after 336h heat aging. This is most significant ratio R3 > 0.8 Establishes whether enameled wire alone (unimpregnated) has satisfactory heat ageing. This has no significance for compatibility with impregnant. A ratio below 0.8 shows unsatisfactory wire, which is unsuitable for further impregnation and tests. 31.12.97 No Copying or Extraction from this Document without L&T’s Permission Page 30 of 30