ELIMINATION
REACTIONS
Presented by,
Sapna Sivanthie S.
M.Pharm (Pharmaceutical Chemistry)
Amrita School of Pharmacy
1
Introduction
• Elimination reactions are reverse of addition reactions.
• Two or four atoms or groups attached to the adjacent carbon atoms in the
substrate molecule are eliminated to form a multiple bond.
• Two σ bonds are lost and new π bond is formed.
• Saturated compounds become unsaturated compounds.
• Carbon changes from sp3 to sp2 hybridization.
2
C C
Br
Br
H
H
H
H + Zn
1,2-dibromoethane
Δ
C C
H
H
H H + ZnBr2
ethene
alcohol
Dehalogenation reaction
• β Elimination reactions- When two groups are lost from adjacent atoms, so
that a new double bonded or (triple bond) is formed.
• Also called 1, 2 elimination
• β elimination reactions can be divided into
1. Taking place in solutions
2. Taking place in gaseous phase (pyrolytic eliminations) 4
C C
H
OH
H
H
H
H
β α
ethanol
• In either cases, we have
a. Leaving group / nucleofuge : group that leaves with the electrons
A weakly basic anion/ molecule – readily releases a proton – good leaving
group
Eg: Very weakly basic halide group of alkyl halide in dehydrohalogenation
b. the group that leave without electrons or the group that is being pulled
off – usually H+
c. The reaction is brought about by means of a base.
electron rich reagents
strong basic anion : OH, OR, NH2
weak base : solvent can also act as base – alcohol or water
α Elimination reactions –
When two groups are lost from the same carbon to give a carbene (or nitrene).
Also called 1,1 elimination
6
Based on the molecularity, mechanism in the solution are mainly E2, E1,
and E1cB
E1 ELIMINATION
REACTION
7
• Unimolecular elimination reaction
• The reaction operates without an added base
• Rate of reaction depends only on the concentration substrate
• The reaction is in first order kinetics.
• The reaction takes place in two steps.
Step 1 : The substrate undergoes slow heterolysis to form halide ion and
a carbocation. The alkyl halide ionizes to give the carbonium ion.
8
9
• The rate-determining step
Step 2 : The carbocation rapidly loses a proton or a proton is abstracted
by the base from the adjacent β- carbon atom to give the alkene (rapid
step)
• Here, the breaking of C-X bond is complete before any reaction occurs
with the base to lose H and before C=C is formed.
• Only alkyl halide is involved in the rate determining step
• So, the rate of reaction can be expressed as:
Rate ∝ [ substrate concentration]
Rate = k[alkyl halide]
• In pure E1 reaction, the product should be completely non-
stereospecific. This is because bond rotation is possible in the
carbocation before deprotonation.
10
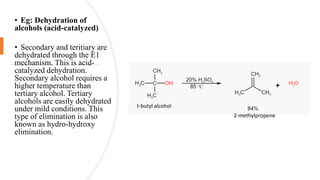
• Eg: Dehydration of
alcohols (acid-catalyzed)
• Secondary and teritiary are
dehydrated through the E1
mechanism. This is acid-
catalyzed dehydration.
Secondary alcohol requires a
higher temperature than
tertiary alcohol. Tertiary
alcohols are easily dehydrated
under mild conditions. This
type of elimination is also
known as hydro-hydroxy
elimination.
t-butyl alcohol
2-methylpropene
Influence of Stability of carbocation in E1
• Tertiary carbocations are the most stable whereas methyl carbocation
is the least stable.
• Their stability can be explained on the basis of hyperconjugation.
• Hyperconjugation involves the delocalization of electrons from the
filled bonding orbital to adjacent unfilled orbitals.
12
Stereochemistry of E1 Elimination reaction
• E1 reactions are stereoselective reactions.
• Carbocation forms have triagonal planar geometry.
• The base can remove any β-hydrogen from the second carbon atom.
We get a mixture of isomers in different ratios. One of the isomers is
produced in excess whereas the other is produced in smaller quantities.
• In these reactions, trans alkenes are favoured over cis alkenes to avoid
steric hindrance.
• The new pi(π) bond can only be formed if the vacant p-orbitals of the
carbocation and the breaking of the C-H bond are aligned parallel.
• But still, one of the isomers is produced in excess because it has less
steric crowding.
13
Regioselectivity
• E1 elimination reaction can also be regioselective.
• In regioisomerism, a functional group or other substituent changes
position on a parent structure. (position isomers)
• They may result in a mixture of regioisomers.
• These isomers produce in different ratios. One of the regioisomers will
produce in excess based on the stability of the product.
14
C
H3
CH3
CH3
OH
3-methylbutan-2-ol
H Br
H OH
C
H3
CH3
CH3
C
H3
CH2
CH3
+
2-methylbut-2-ene
3-methylbut-1-ene
(major) (minor)
Effect of Solvent
• Polar solvents also favor E1 elimination reactions. This is because polar
solvents stabilize the carbocation intermediate.
• E1 reactions can involve ion pairs
• This effect is naturally greater for nondissociating solvents
• It is least in water
• More in alcohol
• Even more in acetic acid.
Effect of Attacking base
External base is not required. Solvent acts as the base. If external bases are
added it shifts to E2 reaction.
Evidences of E1 elimination reactions
16
• The elimination reactions that
1. Follow first-order kinetics
2. Are not accompanied by a primary hydrogen isotope effect
3. Show the same effect of structure on reactivity as SN1 reactions
do
4. where the structure permits, are accompanied by rearrangement
5. Effect of the leaving group
17
Follow first-order kinetics
• Even if the solvent is involved in the rate determining step of the
reaction, it is not expected to appear in the rate equation.
• This can be checked by simply adding a conjugate base of the solvent .
The addition of solvent does not increase the rate of the reaction.
Are not accompanied by a primary hydrogen isotope effect
As the proton is lost in the second, fast step. Primary isotope effect is
not observed.
Show the same effect of structure on reactivity as SN1 reactions do
• Has exactly the same steps as that of SN1, ie, formation of carbocations
Reactivity : 30>20>10
• Reactivity is based on the stability of the carbocations
Accompanied by rearrangements.
Rearrangement can be in any of the following ways :
- The double bond appears in places remote from the C leaving group
- The carbon skeleton is changed
- Alkenes are even obtained from the substrates that do not contain β hydrogen.
- The double bond appears in places remote from the C leaving group
The carbon skeleton is changed
Alkenes are even obtained from the substrates that do not contain β hydrogen.
Orientation of E1
• Elimination E1 shows strong Saytzeff/Zaitsev’s orientation.
• Zaitsev's rule is an empirical rule used to predict the major products of
elimination reactions. It states that in an elimination reaction the major
product is the more stable alkene with the more highly substituted
double bond.
• Here, when more than one alkene can be formed, the more highly
branched – the more stable- alkene is the preferred product.
22
• Orientation and reactivity does not go hand in hand in this reaction
• Here orientation and reactivity are still determined by relative rates of
reaction – but of different steps.
• Step 1- determines how fast the substrate reacts
• Step 2 – determines which alkene is produced by which β proton is lost
faster from the carbocation.
• The product determining step has a transition state, where the C-H bond is
partly broken, and the double bond is partly formed, indicating the alkene
character.
• When rearrangement occurs in E1, we will still predict the orientation using
the Saytzeff rule. But, the loss of β protons from the rearranged cations as
well as from the cations initially formed.
23
Comparison between E1 & SN1
24
Similarities Differences
• Both are unimolecular
reactions.
• These are two-step
reactions.
• In both reactions,
carbocation is formed
in the first step.
• E1 and Sn1 have first-
order kinetics.
• Similarly, the rate of
reaction depends on
substrate
concentration.
• The tertiary substrate
is required for these
reactions.
SN1
Substitution reaction
The solvent acts as a base
No double bond formation
No involvement of β-
hydrogens in the.
Low temperature favors SN1
reaction whereas
E1
Elimination reaction
The solvent acts as a
nucleophile
Formation of a double bond
β-hydrogens are involved
High temperature leads to E1
reaction.
Competition of SN1 and E1 elimination reaction
• E1 reactions compete with SN1 reactions these reactions are taking place
side by side.
• E1 and SN1 reactions are taking place simultaneously.
• Both of the reactions are first-order reactions.
• Their rate of reaction depends upon the concentration of substrate. The first
step of the SN1 and E1 reactions is the same. It results in the formation of a
stable carbocation intermediate.
• The second step is an important step of the reaction. E1 reaction or
Sn1 depends upon this step.
• If a solvent act as a nucleophile then the reaction would proceed through the
SN1 pathway whereas, if the solvent behaves as a base then the reaction
would proceed through the E1 elimination pathway.
•High temperature
•Weak base
•Polar solvent
•Stable carbocation
•Bulky base
Factors favour E1 reactions over SN1 reactions
Characteristics of an E1 Reaction
• Kinetics – First order
• Mechanism – Two steps
• Identity of R group – More substituted halides react faster
Rate: R 3CX > R2CHX > RCH2X
• Strength of the base – Favoured by weaker bases such as H2O and ROH
• Leaving group – A better leaving group leads to faster reaction rates.
• The rate-determining step involves the C—X bond cleavage
• Type of solvent – Favoured by polar protic solvents, which can stabilize the
ionic intermediates better-leaving
27
Summary
References
• Organic Chemistry, Robert Thornton Morrison, Robert Neilson Boyd,
Saibal Kanti Bhattacharjee, Seventh edition
• March’s Advanced Organic Chemistry, Seventh Edition
• Advanced Organic Chemistry, Arun Bahl, B.S. Bahl
28
Thank You

Elimination reactions- E1 Elimination reaction

  • 1.
    ELIMINATION REACTIONS Presented by, Sapna SivanthieS. M.Pharm (Pharmaceutical Chemistry) Amrita School of Pharmacy 1
  • 2.
    Introduction • Elimination reactionsare reverse of addition reactions. • Two or four atoms or groups attached to the adjacent carbon atoms in the substrate molecule are eliminated to form a multiple bond. • Two σ bonds are lost and new π bond is formed. • Saturated compounds become unsaturated compounds. • Carbon changes from sp3 to sp2 hybridization. 2
  • 3.
    C C Br Br H H H H +Zn 1,2-dibromoethane Δ C C H H H H + ZnBr2 ethene alcohol Dehalogenation reaction
  • 4.
    • β Eliminationreactions- When two groups are lost from adjacent atoms, so that a new double bonded or (triple bond) is formed. • Also called 1, 2 elimination • β elimination reactions can be divided into 1. Taking place in solutions 2. Taking place in gaseous phase (pyrolytic eliminations) 4 C C H OH H H H H β α ethanol
  • 5.
    • In eithercases, we have a. Leaving group / nucleofuge : group that leaves with the electrons A weakly basic anion/ molecule – readily releases a proton – good leaving group Eg: Very weakly basic halide group of alkyl halide in dehydrohalogenation b. the group that leave without electrons or the group that is being pulled off – usually H+ c. The reaction is brought about by means of a base. electron rich reagents strong basic anion : OH, OR, NH2 weak base : solvent can also act as base – alcohol or water
  • 6.
    α Elimination reactions– When two groups are lost from the same carbon to give a carbene (or nitrene). Also called 1,1 elimination 6 Based on the molecularity, mechanism in the solution are mainly E2, E1, and E1cB
  • 7.
  • 8.
    • Unimolecular eliminationreaction • The reaction operates without an added base • Rate of reaction depends only on the concentration substrate • The reaction is in first order kinetics. • The reaction takes place in two steps. Step 1 : The substrate undergoes slow heterolysis to form halide ion and a carbocation. The alkyl halide ionizes to give the carbonium ion. 8
  • 9.
    9 • The rate-determiningstep Step 2 : The carbocation rapidly loses a proton or a proton is abstracted by the base from the adjacent β- carbon atom to give the alkene (rapid step)
  • 10.
    • Here, thebreaking of C-X bond is complete before any reaction occurs with the base to lose H and before C=C is formed. • Only alkyl halide is involved in the rate determining step • So, the rate of reaction can be expressed as: Rate ∝ [ substrate concentration] Rate = k[alkyl halide] • In pure E1 reaction, the product should be completely non- stereospecific. This is because bond rotation is possible in the carbocation before deprotonation. 10
  • 11.
    • Eg: Dehydrationof alcohols (acid-catalyzed) • Secondary and teritiary are dehydrated through the E1 mechanism. This is acid- catalyzed dehydration. Secondary alcohol requires a higher temperature than tertiary alcohol. Tertiary alcohols are easily dehydrated under mild conditions. This type of elimination is also known as hydro-hydroxy elimination. t-butyl alcohol 2-methylpropene
  • 12.
    Influence of Stabilityof carbocation in E1 • Tertiary carbocations are the most stable whereas methyl carbocation is the least stable. • Their stability can be explained on the basis of hyperconjugation. • Hyperconjugation involves the delocalization of electrons from the filled bonding orbital to adjacent unfilled orbitals. 12
  • 13.
    Stereochemistry of E1Elimination reaction • E1 reactions are stereoselective reactions. • Carbocation forms have triagonal planar geometry. • The base can remove any β-hydrogen from the second carbon atom. We get a mixture of isomers in different ratios. One of the isomers is produced in excess whereas the other is produced in smaller quantities. • In these reactions, trans alkenes are favoured over cis alkenes to avoid steric hindrance. • The new pi(π) bond can only be formed if the vacant p-orbitals of the carbocation and the breaking of the C-H bond are aligned parallel. • But still, one of the isomers is produced in excess because it has less steric crowding. 13
  • 14.
    Regioselectivity • E1 eliminationreaction can also be regioselective. • In regioisomerism, a functional group or other substituent changes position on a parent structure. (position isomers) • They may result in a mixture of regioisomers. • These isomers produce in different ratios. One of the regioisomers will produce in excess based on the stability of the product. 14 C H3 CH3 CH3 OH 3-methylbutan-2-ol H Br H OH C H3 CH3 CH3 C H3 CH2 CH3 + 2-methylbut-2-ene 3-methylbut-1-ene (major) (minor)
  • 15.
    Effect of Solvent •Polar solvents also favor E1 elimination reactions. This is because polar solvents stabilize the carbocation intermediate. • E1 reactions can involve ion pairs • This effect is naturally greater for nondissociating solvents • It is least in water • More in alcohol • Even more in acetic acid. Effect of Attacking base External base is not required. Solvent acts as the base. If external bases are added it shifts to E2 reaction.
  • 16.
    Evidences of E1elimination reactions 16 • The elimination reactions that 1. Follow first-order kinetics 2. Are not accompanied by a primary hydrogen isotope effect 3. Show the same effect of structure on reactivity as SN1 reactions do 4. where the structure permits, are accompanied by rearrangement 5. Effect of the leaving group
  • 17.
    17 Follow first-order kinetics •Even if the solvent is involved in the rate determining step of the reaction, it is not expected to appear in the rate equation. • This can be checked by simply adding a conjugate base of the solvent . The addition of solvent does not increase the rate of the reaction. Are not accompanied by a primary hydrogen isotope effect As the proton is lost in the second, fast step. Primary isotope effect is not observed.
  • 18.
    Show the sameeffect of structure on reactivity as SN1 reactions do • Has exactly the same steps as that of SN1, ie, formation of carbocations Reactivity : 30>20>10 • Reactivity is based on the stability of the carbocations Accompanied by rearrangements. Rearrangement can be in any of the following ways : - The double bond appears in places remote from the C leaving group - The carbon skeleton is changed - Alkenes are even obtained from the substrates that do not contain β hydrogen.
  • 19.
    - The doublebond appears in places remote from the C leaving group
  • 20.
  • 21.
    Alkenes are evenobtained from the substrates that do not contain β hydrogen.
  • 22.
    Orientation of E1 •Elimination E1 shows strong Saytzeff/Zaitsev’s orientation. • Zaitsev's rule is an empirical rule used to predict the major products of elimination reactions. It states that in an elimination reaction the major product is the more stable alkene with the more highly substituted double bond. • Here, when more than one alkene can be formed, the more highly branched – the more stable- alkene is the preferred product. 22
  • 23.
    • Orientation andreactivity does not go hand in hand in this reaction • Here orientation and reactivity are still determined by relative rates of reaction – but of different steps. • Step 1- determines how fast the substrate reacts • Step 2 – determines which alkene is produced by which β proton is lost faster from the carbocation. • The product determining step has a transition state, where the C-H bond is partly broken, and the double bond is partly formed, indicating the alkene character. • When rearrangement occurs in E1, we will still predict the orientation using the Saytzeff rule. But, the loss of β protons from the rearranged cations as well as from the cations initially formed. 23
  • 24.
    Comparison between E1& SN1 24 Similarities Differences • Both are unimolecular reactions. • These are two-step reactions. • In both reactions, carbocation is formed in the first step. • E1 and Sn1 have first- order kinetics. • Similarly, the rate of reaction depends on substrate concentration. • The tertiary substrate is required for these reactions. SN1 Substitution reaction The solvent acts as a base No double bond formation No involvement of β- hydrogens in the. Low temperature favors SN1 reaction whereas E1 Elimination reaction The solvent acts as a nucleophile Formation of a double bond β-hydrogens are involved High temperature leads to E1 reaction.
  • 25.
    Competition of SN1and E1 elimination reaction • E1 reactions compete with SN1 reactions these reactions are taking place side by side. • E1 and SN1 reactions are taking place simultaneously. • Both of the reactions are first-order reactions. • Their rate of reaction depends upon the concentration of substrate. The first step of the SN1 and E1 reactions is the same. It results in the formation of a stable carbocation intermediate. • The second step is an important step of the reaction. E1 reaction or Sn1 depends upon this step. • If a solvent act as a nucleophile then the reaction would proceed through the SN1 pathway whereas, if the solvent behaves as a base then the reaction would proceed through the E1 elimination pathway.
  • 26.
    •High temperature •Weak base •Polarsolvent •Stable carbocation •Bulky base Factors favour E1 reactions over SN1 reactions
  • 27.
    Characteristics of anE1 Reaction • Kinetics – First order • Mechanism – Two steps • Identity of R group – More substituted halides react faster Rate: R 3CX > R2CHX > RCH2X • Strength of the base – Favoured by weaker bases such as H2O and ROH • Leaving group – A better leaving group leads to faster reaction rates. • The rate-determining step involves the C—X bond cleavage • Type of solvent – Favoured by polar protic solvents, which can stabilize the ionic intermediates better-leaving 27 Summary
  • 28.
    References • Organic Chemistry,Robert Thornton Morrison, Robert Neilson Boyd, Saibal Kanti Bhattacharjee, Seventh edition • March’s Advanced Organic Chemistry, Seventh Edition • Advanced Organic Chemistry, Arun Bahl, B.S. Bahl 28
  • 29.