TRINITYCOLLEGE OFENGINEERING
&TECHNOLOGY
ELECTRICAL&ELECTRONICS ENGINEERING
DEPARTMENT of ELECTRICAL ENGINEERING
LECTURE ON :- DC MACHINES
By BALRAM.G 1
Out lines
 Introduction
 Construction
Principle operation of DC machines
 Armature reaction
 Commutation
 Characteristics of D.C. motors
2
DC MACHINES
4.1. INTRODUCTION
 Dc machines are one part of electrical machines used for energy conversions systems.
 it is versatile and extensively used in industry.
 DC machines can work as generators and motors.
I. DC Generator
 Converts mechanical energy to electrical energy
 diesel engine
 Turbine (steam) source of mechanical power (prime mover)
 AC motor
 Means of supplying electrical power to industrial and domestic consumers
 But there is almost no modern use of DC machines as generators
 Presently all the land based electrical power networks are AC systems of generation, transmission and
distribution.
3
Cont…
DC Generators are still being used to produce power in small back up and
stand by generating plants driven by wind mill and mountain streams (mini
hydro electric plants) to provide uninterrupted power supply
II. DC Motors
Convert electrical energy to mechanical energy
Drives a mechanical load
Are finding increasing applications, especially where large magnitude and
precisely controlled torque is required.
Used in :
 Rolling mills in overhead cranes & for traction purposes, linked fork lift
trucks, electric vehicles and electric trains.
4
Cont..
 In portable machine tools supplied from batteries in automotive vehicles as
stator motors, blower motors and in many control applications as actuators
and as speed and position sensing devise ( taco generators for speed sensing
and servomotors for positioning traction systems).
Advantages
 It can meet the demand of loads requiring high starting torque
 High accelerating and decelerating torque
 Speed can be controlled in a wide range
 Provides quick reversal
5
Cont…
Disadvantages
 The complexity of the construction, mainly due to the use of carbon brush
with comutater segments contact.
 Arcing and sparking due to comutater segments that reduces the reliability
of the machine.
4.2. Construction
The basic parts of DC machines are:
A. Stator (stationary part)
B. Rotor (Rotating part )
6
7
1. shaft
2. end-bearings
3. Commutator
4. brushes
5. armature
6. main-pole
7. main-pole field winding
8. frame
9. end-shield
10. ventilator
11. basement
12. bearings 8
Stator consists of
 Stator Frame (name plate, terminal box, basement):
provides support for the machines, provides for the pole flux & carries half
of it.
Stator core ( yoke mechanical, support)
Stator pole
Field winding ( produce stator magnetic flux i.e. main flux)
Commutating poles( inter poles (improving commutation )), avoids spark
b/n brush & comutater
Compensating windings:- in large DC machines only, placed in the slots
connected in series with armature windings, cancels armature reaction and
flux weakening.
Brush:- attached to stator end covers made up of Carbone, graphite & to
collect the current from the comutater
9
B. Rotor
The rotating part of the machine where electromechanical energy
conversion takes place.
It consists of :
Rotor core
Armature winding:- consists of large no. of coils, each coil having
one or more turns, embedded in rotor slots. each side of the turn is
called conductor.
Rotor shaft
Bearings to support the rotor shaft
Comutater :- mounted on the shaft, insulated each other.
Convert AC to DC (mechanical rectification )
Keeps the rotor MMf stationary in space
10
4.3. Principle operation of DC machines
DC machines can work as a motor and a generator
a. Generator action
Requirements are
 Magnetic flux density(ß)
 Conductor with length(l)
 Relative motion between flux density and length(ß &l)
The energy conversion is based on the principle of dynamically induced emf,
whenever a conductor cut magnetic flux, dynamically induced emf is
produced in it by faraday’s law.
This emf cause a current flow if the conductor is closed.
Generated voltage = BlVsinø 11
Cont…
the figure below shows the schematic diagram of a simple machine consists
of a coil ABCD rotating in the magnetic field of a strong permanent magnet
or powerful electromagnet. The magnetic lines in the space between N and S
poles are directed from the North Pole N to the South Pole S. The ends of the
coil ABCD are connected to two copper rings R1 and R2, fixed on the shaft.
Two brushes B1 and B2 connected to the external load circuit make contact
with the copper rings R1 and R2 respectively.
12
Cont…
Therefore, there will be an induced voltage in the coil side (conductor)
according to faraday's law of electromagnetic induction.
e=
𝑁𝑑ø
𝑑𝑡
and known as induction by motion.
The voltage is known as motional emf. The direction of the induced
voltage is determined by Flemings right hand rule. It is called
generator rule which can be stated as follows.
Putting the fore finger, the thumb & the middle fingers of the right
hand mutually perpendicular and if the fore finger show the direction
of flux and the thumb shows the direction of speed then the middle
finger will point at in the direction of the induced voltage. The
magnitude of induced voltage is proportional to ß, V & l (e=ßlVsinø)
13
The nature of emf induced in the DC machine is Alternative
To change AC to DC in DC machines , we must provide many coils segment
in the armature i.e. comutater segment to be used.
The emf equation of a generator is
Eg =
ø𝑵𝒛𝑷
𝟔𝟎𝒂
Ø= flux /pole
Z= total number of armature conductor
P= number of poles
a= number of parallel paths in armature
N=armature rotation in revolution
Eg=emf generated
The positive brush always collects the positive current, and the negative brush
also collect negative current.AS a result of this a pulsating DC voltage is
supplied to the external load.
14
Example 4.1
A lap wound DC shunt generator having 80 slots with 10 conductors per slot
generates at no load an emf of 400 volt, when running at 1000 r.p.m.. at what
speed should be rotated to generate a voltage of 220 volt on open circuit.
Solution Z = no. of slot x conductor / slot = 80 x 10 =800
conductors For lap winding a = p
let assume that Ø of the system remains constant
Optional
15
1
1
2
2
80
/ 10
400
1000 . .
220
?
given
slot
conductor slot
E V
N r p m
E volt
requiredN






1
1
60 60
60 400 60
0.03
1000 800
p NZ NZ
E
a
E
wb
NZ
 

 

  

2
2
2
2
60
60 220 60
550 . .
800 0.03
N Z
E
E v
N r p m
Z




  

1 1
2
2
220 100
550 . .
2 400
E N
N r p m
E N

   
motor Action
The two main conditions are :-
 Magnetic field (flux )
 Current carrying conductor
To analysis the motor action consider current carrying conductor in side a
constant magnetic field produced by the main poles.
The direction of the induced force is determined by the so called Fleming's left
hand rule which can be stated as follows.
Putting the thumb, the fore finger and the middle finger of our left hand to be
mutually perpendicular and if the fore finger shows the direction of flux and
the middle finger show the direction of current in the conductor, then the
thumb will point out in the direction of induced force.
16
The magnitude of the induced force in the conductor is proportional to
Magnetic flux density, conductor current, effective length of conductor
F= BLI sinø
Where, F= Ampere's force
B= Magnetic flux
I= conductor current
L= Effective length of conductor
ø = position of the coil inside the magnetic field
17
Equivalent circuit of DC machines
 Equivalent circuit is the model of the given machines.
 It is the circuit model of the actual electrical machine.
Equivalent circuit of DC generator
DC generators are dc machines used as generators. There is no real difference between a generator and a
motor except for the direction of power flow.
There are five major types of dc generators, classified according to the manner in which their field flux is
produced( Separately & self Excited)
I. Separately excited generator. In a separately excited generator, the field flux is derived from a
separate power source independent of the generator itself.
2. Shunt generator. In a shunt generator, the field flux is derived by connecting the field circuit directly
across the terminals of the generator.
3. Series generator. In a series generator, the field flux is produced by connecting the field circuit in
series with the armature of the generator.
4. Cumulatively compounded generator. In a cumulatively compounded generator, both a shunt and a
series field are present, and their effects are additive.
5. Differentially compounded generator. In a differentially compounded generator, both a shunt and a
series field are present, but their effects are subtractive .
18
1. Separately Excited Generator
A separately excited dc generator is a generator whose field current is supplied by a separate external dc voltage source.
2. Shunt DC Generator
A shunt dc generator is a dc generator that supplies its own field current by having its field connected directly across the
terminals of the machine. the armature current of the machine supplies both the field circuit and the load attached to the
machine:
•
•
•
•
F ig. The equivalent circuit of a shunt dc generator.
19
3. series dc generator
A series dc generator is a generator whose field is connected in series with its
armature. Since the armature has a much higher current than a shunt field, the
series field in a generator of this sort will have only a very few turns of wire,
and the wire used will be much thicker than the wire in a shunt field.
• Fig The equivalent circuit of a series dc generator.
20
Equivalent circuit of DC motor
 Separately excited
For the field circuit
(a)
For armature circuit
(b)
fig(a) The equivalent circuit of a dc motor. (b) A simplified equivalent circuit eliminating the
brush voltage drop and combining R..., with the field resistance.
Multiplying both sides by
f f
f
m
I N
mmf
Rm R
  
21
t A A A
V E I R
 
A
I
2
t A A A A A
V I E I I R
 
60
A
N ZP
E
a


t f f
V I R

= the gross electrical power input
= net electrical power input which is converted in to the
gross mechanical power
Net mechanical power out put= - mechanical loss due to F& W(shaft
power
 Internal generated voltage: Tools for analyzing the behavior and
performance of DC motor
Induce Torque:
 = machine constant
a= 2 for wave winding
a= p for lap winding
22
A A
E I
t A
V I
A A
E I
60.
a
Zp
K
a

A a
E K N


ind a A
k I
 

Their field and the armature windings are connected, according to the
field arrangement there are three types dc motors namely;
1. Series Wound
2. Shunt Wound
3. Compound Wound
23
 Self excited
1. Series wound motor
A series motor is one in which the field winding is connected in
series with the armature so that the whole current drawn by the
motor passes through the field winding as well as armature.
Figure connection diagram of series-wound motor
Used in applications requiring very high torques
starter motors in car
elevator motors
 tractor motors in locomotives
24
1. Shunt wound motor
A shunt wound motor is one in which the field winding is connected in
parallel with armature.
The current supplied to the motor is divided into two paths, one
through the shunt field winding and second through the armature.
25
3. Compound wound motor
A compound wound motor has both series and shunt windings
which can be connected as short-shunt or long shunt with armature
winding
26
Examples 4.2
1). A 50 hp, 250 V, 1200 rpm dc shunt motor with compensating
winding has an armature resistance (including the brushes,
compensating windings, and interpoles) of 0.06 Ω. Its filed
circuit has a total resistance Rdaj+RF of 50Ω, which produces a
no-load speed of 1200 rpm. There are 1200 turns per pole on the
shunt field winding.
(a) Find the speed of this motor when its input current is 100 A.
27
Solution
28
the speed of this motorwhen its input current is 100A.
• Internal voltage 250V( ), get motor’s speed ( =1200rpm)
• Internal voltage =244.3V ( ), get motor’s speed ( )
29
1
A
E 1
m
n
2
A
E 2
m
n
Inducedelectromagnetic torque equationof DC machines
The torque on the armature of areal DC machine is equal to the number of z
conductors times the torque on each conductor
= total induced torque
= conductor torque
Z = total number of conductors
The conductor torque is given by,
= conductor force
• r = Armature distance( radius perpendicular)
e conductor
T T Z
 
e
T
conductor
T
conductor
T Fconductor r
 
30
Fconductor
Cont…
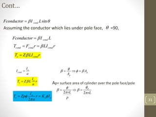
Assuming the conductor which lies under pole face, =90,
Ap= surface area of cylinder over the pole face/pole
sin
cond
Fconductor I L
 


cond
Fconductor I L


cond cond cond
T F r LI r

 
e cond
T Z LI r


a
cond
I
I
a

a
e
I
T Z L r
a


2
a
e a a
I
T Zp r K I
a
 

 
p
p
A
A

  
  
2 2
p
rL rL
p


 
 
  
31
Example 4.3
A 220 V separately excited dc machine has an armature resistance of
0.5 Ω. If the full load armature current is 20 A. find the induced
armature emf when the machine is operated
i. as a generator
ii. as a motor
Solution
i. Ea= Vt+IaRa ii. Ea = Vt -IaRa
= 220+20x0.5 = 220 -20x 0.5
Ea = 230V Ea= 210V
32
4.4. Armature Reaction
 Armature reaction in Dc machines can be defined as the effect of magnetic
field set up by armature current on the distribution of the main field flux
when the machine is loaded.
The armature reaction has two bad effects on the distribution of the main
magnetic field.
1. Demagnetizing effect:- it demagnetizes (weakness) the main field flux.
As a result of it, the net flux per pole decreases.
For generator,
For motor ,
, , ,
a t o
E V P
 
    
33
,
c o
T P
 
    
Cont…
2. Cross magnetizing effect :- it cross magnetizes (distorts)the distribution
of the main field flux (øf). This leads to the load commutation process. The
commutation process will takes place with sparking ( flash over) the so
called rotational fire.
So the armature reaction strengthens the main field flux at one pole and
weakness on the other pole end.
Methods of minimizing armature reaction effects
Generally there are four possible types of methods. These are,
 High reluctance pole tips
 During the design of machine (calculation )
 Inter poles (commutating poles)
 Compensating winding
34
1. High reluctance pole tips
The reluctance pole tips can be increased by increasing the length of the air
gap which can be accomplished by using the so called chambered pole tips.
2. During the design of the machine
It could be seen in the design stage that the field mmf is sufficiently stronger
than in comparison with the armature mmf at full load condition.
this leads to less armature reaction.
.
poletips
poletips poletip a
L
R R A R
A


    
,
1
field armature f f a a
f f
a a
mmf mmf I N I N
I N
I N
35
3. Inter poles
The effect of armature reaction in the inter polar zone (commutating zone) can
be minimized by using inter poles which are placed exactly mid way between
the main poles.
Inter poles are narrow poles not to affect the main field flux.to avoid saturation
of the inter poles the air gap distance under them is made to be large.
In order to achieve automatic regulation of the armature reaction in the inter
polar zone, the inter pole winding must be connecting in series with the
armature winding.
36
4.Compensatingwinding
The inter pole winding mmf is effective only in the commutating zone
in other words the A.R effect in the inter polar zone over come. This
means the flux will be weakening still there. To overcome this
problem compensating winding is applied located in the slots in the
pole faces.
To achieve automatic regulation with loading condition, the
compensating winding also connected in series with armature
winding.
A.R effect in the inter polar zone improves the commutation process.
37
4.5. Commutation
When conductors come under the influence of south pole, from the influence
of north pole the direction of current flow in them is reversed. This reversal of
current in a coil will take place when the two comutater segment to which the
coil is connected are being short circuited by brush. The process of reversal
current in a coil is known as commutation. The main cause of sparking in
DC machine is the self induced emf in the coli which under goes in the
process of current reversal.
Methods of Improving Commutation
The two methods are,
1. Resistance Commutation:- Replacing low resistance copper
brush comparatively high
resistance carbon brush's
2. Emf commutation (reversing emf):-most effective by inter poles.
 Commutation
 Armature Reaction are undesired effects in DC machines
38
4.6. Dc MotorCharacteristics
The three Important characteristic curves of dc motors are:
1. Torque-Armature Current Characteristic:-
This characteristic curve gives relation between mechanical torque T
and armature current Ia. This is known as electrical characteristic.
2. Speed-Armature Current Characteristic:-
This characteristic curve gives relation between speed N and armature
current Ia
3. Speed-Torque Characteristic:-
This characteristic curve gives relation between speed N and
mechanical torque T. This is also known as mechanical characteristics.
This curve can be derived from the above two curves.
39
4.7.1. Characteristicsof Dc Series Motors
a. Magnetic characteristic
In case of dc series motors the flux varies with the variation in line or
armature current as the field is in series with the armature. The flux
increase following a linear law with the increase in load current,
becomes maximum at saturation point and finally become constant.
40
b. Torque-Armature Current Characteristics
Torque equation
Or mechanical power developed = EbIa, watts then from the two
equations,
And
41
Cont…
Therefore,
For a particular dc motor; P, Z & a are fixed. Hence, it is obv
For dc series motor, the flux per pole is directly proportional to Ia hence the torque
developed is directly proportion to the square of the armature current, i.e.
Figure Speed- current and Torque-current characteristics of DC series motors
42
Speed-CurrentCharacteristic
If the applied voltage remains constant, speed is inversely proportional to
flux per pole. So, if a curve is drawn between reciprocal of flux and current I,
the speed current characteristic is obtained which is a rectangular
hyperbola in shape as represented in Figure above
43
Speed-Torque Characteristic
The speed- torque characteristic shows that as the torque increases,
speed decreases. Hence series motors are best suited for the services
where the motor is directly coupled to load such as fans whose speed
falls with the increase in torque. It should be noted that series motor is
a variable speed motor.
Figure Speed-Torque characteristics of dc series motor
44
Characteristics of Dc Shunt Motors
a). Speed-Current Characteristics
a)
From expression of speed N is directly proportional to back emf Eb or (V-IaRa)
and inversely proportional to the flux Ø. Since flux is considered to be constant
so with the increase in load current the speed slightly falls due to increase in
voltage drop in armature IaRa. Since voltage drop in armature at full-load is
very small as compared to applied voltage so drop in speed from no-load to
full-load is very small and for all practical purposes the shunt motor is taken as
a constant speed motor. Therefore, shunt motors being constant speed motors
are best suited for driving of line shafts, machine lathes, milling machines,
conveyors, fans and for all purposes where constant speed is required.
45
Torque- Current Characteristic
From the expression for the torque of a dc motor, torque is directly
proportional to the product of flux and armature current. Since in case of
dc shunt motors the flux is constant therefore torque increase with the
increase in load current following linear law i.e. torque-armature current
characteristics is a straight line passing through origin.
•
46
Speed-Torque Characteristic
The characteristic curve can be drawn from the above two
characteristics.
47
CharacteristicsofCompoundWouldMotor
I. Cumulative compound wound motor
As the load is increased, the flux due to series field winding increase and
causes the torque greater than it would have with shunt field winding alone
for a given machine and for given current. The increase in flux due to series
field winding on account of increase in load cause the speed to fall more
rapidly than it would have done in shunt motor. The cumulative compound
motor develops a high torque with increase of load. It also has a definite
speed of no load, so does not run away when the load is removed .
Cumulative compound wound motors are used in driving machines which
subject to sudden applications of heavy loads, such as occur in rolling mills,
shears or punches.
This type of motor is used also where a large starting torque is regard but
series motor cannot be used conveniently such as in cranes and elevator.
48
ii. Differential compound wound motor
Since the flux decrease with the increase in load, so the speed remains nearly constant
as the load is increased and in some cases the speed will increase even. The decrease in
flux with the increase in load causes the torque to be less than that of a shunt motor.
The characteristics are similar to those of a shunt motor. Since the shunt motor
develops a good torque and almost constant speed, therefore differential compound
motor is seldom used. The characteristics are shown in Figure 1 and 2.
(1)Speed- current and Torque-current characteristics of dc shunt motor
(2 ) Speed-Torque characteristics of dc shunt motor
•
49
Example 4.4
A dc shunt generator supplies a load of 10 kW at 220 V through feeders
of resistance 0.1Ω. The resistance of armature and shunt field windings
is 0.05 Ω and 100 Ω respectively. Calculate,
(i) terminal voltage,
(ii) (ii) shunt field current and
(iii) (iii) generated emf.
Solution
50
51
Example 4.5
A 4-pole dc shunt generator with lap-connected armature supplies a
load of 100 A at 200 V. The armature resistance is 0.1Ω and the shunt
field resistance is 80 Ω. Find
(i) total armature current,
(ii) current per armature path,
(iii) emf generated. Assume a brush contact drop of 2V.
Solution
52
53
Exercise
1. A 4 pole 500 V shunt motor takes 7A on no load, the no load
speed of the motor if it takes 122A at full load. Armature
resistance is 0.2Ω, contact drop/brush is 1V, Armature
reaction weakness the field by 40% on full load. Find the
full load speed of the motor.
2. A 250 V dc shunt motor draws 5A from the line on no load
and runs at 1000r.p.m. the armature resistance and shunt
field resistance are 0.2 Ω and 250 Ω respectively. What will
be the speed of the motor when it is loaded and talk
current of 50A. (Armature reaction weakness the field by
3%).
54

DC machines PPT.pptx

  • 1.
    TRINITYCOLLEGE OFENGINEERING &TECHNOLOGY ELECTRICAL&ELECTRONICS ENGINEERING DEPARTMENTof ELECTRICAL ENGINEERING LECTURE ON :- DC MACHINES By BALRAM.G 1
  • 2.
    Out lines  Introduction Construction Principle operation of DC machines  Armature reaction  Commutation  Characteristics of D.C. motors 2
  • 3.
    DC MACHINES 4.1. INTRODUCTION Dc machines are one part of electrical machines used for energy conversions systems.  it is versatile and extensively used in industry.  DC machines can work as generators and motors. I. DC Generator  Converts mechanical energy to electrical energy  diesel engine  Turbine (steam) source of mechanical power (prime mover)  AC motor  Means of supplying electrical power to industrial and domestic consumers  But there is almost no modern use of DC machines as generators  Presently all the land based electrical power networks are AC systems of generation, transmission and distribution. 3
  • 4.
    Cont… DC Generators arestill being used to produce power in small back up and stand by generating plants driven by wind mill and mountain streams (mini hydro electric plants) to provide uninterrupted power supply II. DC Motors Convert electrical energy to mechanical energy Drives a mechanical load Are finding increasing applications, especially where large magnitude and precisely controlled torque is required. Used in :  Rolling mills in overhead cranes & for traction purposes, linked fork lift trucks, electric vehicles and electric trains. 4
  • 5.
    Cont..  In portablemachine tools supplied from batteries in automotive vehicles as stator motors, blower motors and in many control applications as actuators and as speed and position sensing devise ( taco generators for speed sensing and servomotors for positioning traction systems). Advantages  It can meet the demand of loads requiring high starting torque  High accelerating and decelerating torque  Speed can be controlled in a wide range  Provides quick reversal 5
  • 6.
    Cont… Disadvantages  The complexityof the construction, mainly due to the use of carbon brush with comutater segments contact.  Arcing and sparking due to comutater segments that reduces the reliability of the machine. 4.2. Construction The basic parts of DC machines are: A. Stator (stationary part) B. Rotor (Rotating part ) 6
  • 7.
  • 8.
    1. shaft 2. end-bearings 3.Commutator 4. brushes 5. armature 6. main-pole 7. main-pole field winding 8. frame 9. end-shield 10. ventilator 11. basement 12. bearings 8
  • 9.
    Stator consists of Stator Frame (name plate, terminal box, basement): provides support for the machines, provides for the pole flux & carries half of it. Stator core ( yoke mechanical, support) Stator pole Field winding ( produce stator magnetic flux i.e. main flux) Commutating poles( inter poles (improving commutation )), avoids spark b/n brush & comutater Compensating windings:- in large DC machines only, placed in the slots connected in series with armature windings, cancels armature reaction and flux weakening. Brush:- attached to stator end covers made up of Carbone, graphite & to collect the current from the comutater 9
  • 10.
    B. Rotor The rotatingpart of the machine where electromechanical energy conversion takes place. It consists of : Rotor core Armature winding:- consists of large no. of coils, each coil having one or more turns, embedded in rotor slots. each side of the turn is called conductor. Rotor shaft Bearings to support the rotor shaft Comutater :- mounted on the shaft, insulated each other. Convert AC to DC (mechanical rectification ) Keeps the rotor MMf stationary in space 10
  • 11.
    4.3. Principle operationof DC machines DC machines can work as a motor and a generator a. Generator action Requirements are  Magnetic flux density(ß)  Conductor with length(l)  Relative motion between flux density and length(ß &l) The energy conversion is based on the principle of dynamically induced emf, whenever a conductor cut magnetic flux, dynamically induced emf is produced in it by faraday’s law. This emf cause a current flow if the conductor is closed. Generated voltage = BlVsinø 11
  • 12.
    Cont… the figure belowshows the schematic diagram of a simple machine consists of a coil ABCD rotating in the magnetic field of a strong permanent magnet or powerful electromagnet. The magnetic lines in the space between N and S poles are directed from the North Pole N to the South Pole S. The ends of the coil ABCD are connected to two copper rings R1 and R2, fixed on the shaft. Two brushes B1 and B2 connected to the external load circuit make contact with the copper rings R1 and R2 respectively. 12
  • 13.
    Cont… Therefore, there willbe an induced voltage in the coil side (conductor) according to faraday's law of electromagnetic induction. e= 𝑁𝑑ø 𝑑𝑡 and known as induction by motion. The voltage is known as motional emf. The direction of the induced voltage is determined by Flemings right hand rule. It is called generator rule which can be stated as follows. Putting the fore finger, the thumb & the middle fingers of the right hand mutually perpendicular and if the fore finger show the direction of flux and the thumb shows the direction of speed then the middle finger will point at in the direction of the induced voltage. The magnitude of induced voltage is proportional to ß, V & l (e=ßlVsinø) 13
  • 14.
    The nature ofemf induced in the DC machine is Alternative To change AC to DC in DC machines , we must provide many coils segment in the armature i.e. comutater segment to be used. The emf equation of a generator is Eg = ø𝑵𝒛𝑷 𝟔𝟎𝒂 Ø= flux /pole Z= total number of armature conductor P= number of poles a= number of parallel paths in armature N=armature rotation in revolution Eg=emf generated The positive brush always collects the positive current, and the negative brush also collect negative current.AS a result of this a pulsating DC voltage is supplied to the external load. 14
  • 15.
    Example 4.1 A lapwound DC shunt generator having 80 slots with 10 conductors per slot generates at no load an emf of 400 volt, when running at 1000 r.p.m.. at what speed should be rotated to generate a voltage of 220 volt on open circuit. Solution Z = no. of slot x conductor / slot = 80 x 10 =800 conductors For lap winding a = p let assume that Ø of the system remains constant Optional 15 1 1 2 2 80 / 10 400 1000 . . 220 ? given slot conductor slot E V N r p m E volt requiredN       1 1 60 60 60 400 60 0.03 1000 800 p NZ NZ E a E wb NZ           2 2 2 2 60 60 220 60 550 . . 800 0.03 N Z E E v N r p m Z         1 1 2 2 220 100 550 . . 2 400 E N N r p m E N     
  • 16.
    motor Action The twomain conditions are :-  Magnetic field (flux )  Current carrying conductor To analysis the motor action consider current carrying conductor in side a constant magnetic field produced by the main poles. The direction of the induced force is determined by the so called Fleming's left hand rule which can be stated as follows. Putting the thumb, the fore finger and the middle finger of our left hand to be mutually perpendicular and if the fore finger shows the direction of flux and the middle finger show the direction of current in the conductor, then the thumb will point out in the direction of induced force. 16
  • 17.
    The magnitude ofthe induced force in the conductor is proportional to Magnetic flux density, conductor current, effective length of conductor F= BLI sinø Where, F= Ampere's force B= Magnetic flux I= conductor current L= Effective length of conductor ø = position of the coil inside the magnetic field 17
  • 18.
    Equivalent circuit ofDC machines  Equivalent circuit is the model of the given machines.  It is the circuit model of the actual electrical machine. Equivalent circuit of DC generator DC generators are dc machines used as generators. There is no real difference between a generator and a motor except for the direction of power flow. There are five major types of dc generators, classified according to the manner in which their field flux is produced( Separately & self Excited) I. Separately excited generator. In a separately excited generator, the field flux is derived from a separate power source independent of the generator itself. 2. Shunt generator. In a shunt generator, the field flux is derived by connecting the field circuit directly across the terminals of the generator. 3. Series generator. In a series generator, the field flux is produced by connecting the field circuit in series with the armature of the generator. 4. Cumulatively compounded generator. In a cumulatively compounded generator, both a shunt and a series field are present, and their effects are additive. 5. Differentially compounded generator. In a differentially compounded generator, both a shunt and a series field are present, but their effects are subtractive . 18
  • 19.
    1. Separately ExcitedGenerator A separately excited dc generator is a generator whose field current is supplied by a separate external dc voltage source. 2. Shunt DC Generator A shunt dc generator is a dc generator that supplies its own field current by having its field connected directly across the terminals of the machine. the armature current of the machine supplies both the field circuit and the load attached to the machine: • • • • F ig. The equivalent circuit of a shunt dc generator. 19
  • 20.
    3. series dcgenerator A series dc generator is a generator whose field is connected in series with its armature. Since the armature has a much higher current than a shunt field, the series field in a generator of this sort will have only a very few turns of wire, and the wire used will be much thicker than the wire in a shunt field. • Fig The equivalent circuit of a series dc generator. 20
  • 21.
    Equivalent circuit ofDC motor  Separately excited For the field circuit (a) For armature circuit (b) fig(a) The equivalent circuit of a dc motor. (b) A simplified equivalent circuit eliminating the brush voltage drop and combining R..., with the field resistance. Multiplying both sides by f f f m I N mmf Rm R    21 t A A A V E I R   A I 2 t A A A A A V I E I I R   60 A N ZP E a   t f f V I R 
  • 22.
    = the grosselectrical power input = net electrical power input which is converted in to the gross mechanical power Net mechanical power out put= - mechanical loss due to F& W(shaft power  Internal generated voltage: Tools for analyzing the behavior and performance of DC motor Induce Torque:  = machine constant a= 2 for wave winding a= p for lap winding 22 A A E I t A V I A A E I 60. a Zp K a  A a E K N   ind a A k I   
  • 23.
    Their field andthe armature windings are connected, according to the field arrangement there are three types dc motors namely; 1. Series Wound 2. Shunt Wound 3. Compound Wound 23  Self excited
  • 24.
    1. Series woundmotor A series motor is one in which the field winding is connected in series with the armature so that the whole current drawn by the motor passes through the field winding as well as armature. Figure connection diagram of series-wound motor Used in applications requiring very high torques starter motors in car elevator motors  tractor motors in locomotives 24
  • 25.
    1. Shunt woundmotor A shunt wound motor is one in which the field winding is connected in parallel with armature. The current supplied to the motor is divided into two paths, one through the shunt field winding and second through the armature. 25
  • 26.
    3. Compound woundmotor A compound wound motor has both series and shunt windings which can be connected as short-shunt or long shunt with armature winding 26
  • 27.
    Examples 4.2 1). A50 hp, 250 V, 1200 rpm dc shunt motor with compensating winding has an armature resistance (including the brushes, compensating windings, and interpoles) of 0.06 Ω. Its filed circuit has a total resistance Rdaj+RF of 50Ω, which produces a no-load speed of 1200 rpm. There are 1200 turns per pole on the shunt field winding. (a) Find the speed of this motor when its input current is 100 A. 27
  • 28.
  • 29.
    the speed ofthis motorwhen its input current is 100A. • Internal voltage 250V( ), get motor’s speed ( =1200rpm) • Internal voltage =244.3V ( ), get motor’s speed ( ) 29 1 A E 1 m n 2 A E 2 m n
  • 30.
    Inducedelectromagnetic torque equationofDC machines The torque on the armature of areal DC machine is equal to the number of z conductors times the torque on each conductor = total induced torque = conductor torque Z = total number of conductors The conductor torque is given by, = conductor force • r = Armature distance( radius perpendicular) e conductor T T Z   e T conductor T conductor T Fconductor r   30 Fconductor
  • 31.
    Cont… Assuming the conductorwhich lies under pole face, =90, Ap= surface area of cylinder over the pole face/pole sin cond Fconductor I L     cond Fconductor I L   cond cond cond T F r LI r    e cond T Z LI r   a cond I I a  a e I T Z L r a   2 a e a a I T Zp r K I a      p p A A        2 2 p rL rL p          31
  • 32.
    Example 4.3 A 220V separately excited dc machine has an armature resistance of 0.5 Ω. If the full load armature current is 20 A. find the induced armature emf when the machine is operated i. as a generator ii. as a motor Solution i. Ea= Vt+IaRa ii. Ea = Vt -IaRa = 220+20x0.5 = 220 -20x 0.5 Ea = 230V Ea= 210V 32
  • 33.
    4.4. Armature Reaction Armature reaction in Dc machines can be defined as the effect of magnetic field set up by armature current on the distribution of the main field flux when the machine is loaded. The armature reaction has two bad effects on the distribution of the main magnetic field. 1. Demagnetizing effect:- it demagnetizes (weakness) the main field flux. As a result of it, the net flux per pole decreases. For generator, For motor , , , , a t o E V P        33 , c o T P       
  • 34.
    Cont… 2. Cross magnetizingeffect :- it cross magnetizes (distorts)the distribution of the main field flux (øf). This leads to the load commutation process. The commutation process will takes place with sparking ( flash over) the so called rotational fire. So the armature reaction strengthens the main field flux at one pole and weakness on the other pole end. Methods of minimizing armature reaction effects Generally there are four possible types of methods. These are,  High reluctance pole tips  During the design of machine (calculation )  Inter poles (commutating poles)  Compensating winding 34
  • 35.
    1. High reluctancepole tips The reluctance pole tips can be increased by increasing the length of the air gap which can be accomplished by using the so called chambered pole tips. 2. During the design of the machine It could be seen in the design stage that the field mmf is sufficiently stronger than in comparison with the armature mmf at full load condition. this leads to less armature reaction. . poletips poletips poletip a L R R A R A        , 1 field armature f f a a f f a a mmf mmf I N I N I N I N 35
  • 36.
    3. Inter poles Theeffect of armature reaction in the inter polar zone (commutating zone) can be minimized by using inter poles which are placed exactly mid way between the main poles. Inter poles are narrow poles not to affect the main field flux.to avoid saturation of the inter poles the air gap distance under them is made to be large. In order to achieve automatic regulation of the armature reaction in the inter polar zone, the inter pole winding must be connecting in series with the armature winding. 36
  • 37.
    4.Compensatingwinding The inter polewinding mmf is effective only in the commutating zone in other words the A.R effect in the inter polar zone over come. This means the flux will be weakening still there. To overcome this problem compensating winding is applied located in the slots in the pole faces. To achieve automatic regulation with loading condition, the compensating winding also connected in series with armature winding. A.R effect in the inter polar zone improves the commutation process. 37
  • 38.
    4.5. Commutation When conductorscome under the influence of south pole, from the influence of north pole the direction of current flow in them is reversed. This reversal of current in a coil will take place when the two comutater segment to which the coil is connected are being short circuited by brush. The process of reversal current in a coil is known as commutation. The main cause of sparking in DC machine is the self induced emf in the coli which under goes in the process of current reversal. Methods of Improving Commutation The two methods are, 1. Resistance Commutation:- Replacing low resistance copper brush comparatively high resistance carbon brush's 2. Emf commutation (reversing emf):-most effective by inter poles.  Commutation  Armature Reaction are undesired effects in DC machines 38
  • 39.
    4.6. Dc MotorCharacteristics Thethree Important characteristic curves of dc motors are: 1. Torque-Armature Current Characteristic:- This characteristic curve gives relation between mechanical torque T and armature current Ia. This is known as electrical characteristic. 2. Speed-Armature Current Characteristic:- This characteristic curve gives relation between speed N and armature current Ia 3. Speed-Torque Characteristic:- This characteristic curve gives relation between speed N and mechanical torque T. This is also known as mechanical characteristics. This curve can be derived from the above two curves. 39
  • 40.
    4.7.1. Characteristicsof DcSeries Motors a. Magnetic characteristic In case of dc series motors the flux varies with the variation in line or armature current as the field is in series with the armature. The flux increase following a linear law with the increase in load current, becomes maximum at saturation point and finally become constant. 40
  • 41.
    b. Torque-Armature CurrentCharacteristics Torque equation Or mechanical power developed = EbIa, watts then from the two equations, And 41
  • 42.
    Cont… Therefore, For a particulardc motor; P, Z & a are fixed. Hence, it is obv For dc series motor, the flux per pole is directly proportional to Ia hence the torque developed is directly proportion to the square of the armature current, i.e. Figure Speed- current and Torque-current characteristics of DC series motors 42
  • 43.
    Speed-CurrentCharacteristic If the appliedvoltage remains constant, speed is inversely proportional to flux per pole. So, if a curve is drawn between reciprocal of flux and current I, the speed current characteristic is obtained which is a rectangular hyperbola in shape as represented in Figure above 43
  • 44.
    Speed-Torque Characteristic The speed-torque characteristic shows that as the torque increases, speed decreases. Hence series motors are best suited for the services where the motor is directly coupled to load such as fans whose speed falls with the increase in torque. It should be noted that series motor is a variable speed motor. Figure Speed-Torque characteristics of dc series motor 44
  • 45.
    Characteristics of DcShunt Motors a). Speed-Current Characteristics a) From expression of speed N is directly proportional to back emf Eb or (V-IaRa) and inversely proportional to the flux Ø. Since flux is considered to be constant so with the increase in load current the speed slightly falls due to increase in voltage drop in armature IaRa. Since voltage drop in armature at full-load is very small as compared to applied voltage so drop in speed from no-load to full-load is very small and for all practical purposes the shunt motor is taken as a constant speed motor. Therefore, shunt motors being constant speed motors are best suited for driving of line shafts, machine lathes, milling machines, conveyors, fans and for all purposes where constant speed is required. 45
  • 46.
    Torque- Current Characteristic Fromthe expression for the torque of a dc motor, torque is directly proportional to the product of flux and armature current. Since in case of dc shunt motors the flux is constant therefore torque increase with the increase in load current following linear law i.e. torque-armature current characteristics is a straight line passing through origin. • 46
  • 47.
    Speed-Torque Characteristic The characteristiccurve can be drawn from the above two characteristics. 47
  • 48.
    CharacteristicsofCompoundWouldMotor I. Cumulative compoundwound motor As the load is increased, the flux due to series field winding increase and causes the torque greater than it would have with shunt field winding alone for a given machine and for given current. The increase in flux due to series field winding on account of increase in load cause the speed to fall more rapidly than it would have done in shunt motor. The cumulative compound motor develops a high torque with increase of load. It also has a definite speed of no load, so does not run away when the load is removed . Cumulative compound wound motors are used in driving machines which subject to sudden applications of heavy loads, such as occur in rolling mills, shears or punches. This type of motor is used also where a large starting torque is regard but series motor cannot be used conveniently such as in cranes and elevator. 48
  • 49.
    ii. Differential compoundwound motor Since the flux decrease with the increase in load, so the speed remains nearly constant as the load is increased and in some cases the speed will increase even. The decrease in flux with the increase in load causes the torque to be less than that of a shunt motor. The characteristics are similar to those of a shunt motor. Since the shunt motor develops a good torque and almost constant speed, therefore differential compound motor is seldom used. The characteristics are shown in Figure 1 and 2. (1)Speed- current and Torque-current characteristics of dc shunt motor (2 ) Speed-Torque characteristics of dc shunt motor • 49
  • 50.
    Example 4.4 A dcshunt generator supplies a load of 10 kW at 220 V through feeders of resistance 0.1Ω. The resistance of armature and shunt field windings is 0.05 Ω and 100 Ω respectively. Calculate, (i) terminal voltage, (ii) (ii) shunt field current and (iii) (iii) generated emf. Solution 50
  • 51.
  • 52.
    Example 4.5 A 4-poledc shunt generator with lap-connected armature supplies a load of 100 A at 200 V. The armature resistance is 0.1Ω and the shunt field resistance is 80 Ω. Find (i) total armature current, (ii) current per armature path, (iii) emf generated. Assume a brush contact drop of 2V. Solution 52
  • 53.
  • 54.
    Exercise 1. A 4pole 500 V shunt motor takes 7A on no load, the no load speed of the motor if it takes 122A at full load. Armature resistance is 0.2Ω, contact drop/brush is 1V, Armature reaction weakness the field by 40% on full load. Find the full load speed of the motor. 2. A 250 V dc shunt motor draws 5A from the line on no load and runs at 1000r.p.m. the armature resistance and shunt field resistance are 0.2 Ω and 250 Ω respectively. What will be the speed of the motor when it is loaded and talk current of 50A. (Armature reaction weakness the field by 3%). 54