BENCHMARK CALCULATIONS OF ATOMIC DATA
             FOR MODELING APPLICATIONS
                     Klaus Bartschat, Drake University

                        DAMOP 2012 (GEC Session)
                                June 4-8, 2012
                               Special Thanks to:
                   Igor Bray, Dmitry Fursa, Arati Dasgupta,
                 Gustavo Garcia, Don Madison, Al Stauffer, ...
Michael Allan, Steve Buckman, Michael Brunger, Hartmut Hotop, Morty Khakoo,
          and many other experimentalists who are pushing us hard ...
Andreas Dinklage, Dirk Dodt, John Giuliani, George Petrov, Leanne Pitchford, ...
            Phil Burke, Charlotte Froese Fischer,   Oleg Zatsarinny
 National Science Foundation: PHY-0903818, PHY-1068140, TeraGrid/XSEDE
BENCHMARK CALCULATIONS OF ATOMIC DATA
            FOR MODELING APPLICATIONS
                                      OVERVIEW:
 I. Introduction: Production and Assessment of Atomic Collision Data
II. Numerical Methods
      • Special-Purpose Methods
      • Distorted-Wave Methods
      • The Close-Coupling Method: Recent Developments
        CCC, RMPS, IERM, TDCC,       BSR
III. Selected Results
      • Energy Levels
      • Oscillator Strengths
      • Cross Sections for Electron-Impact Excitation
IV. GEC Application: What We Can Learn from Modeling a Ne Discharge
 V. A Closer Look at Ionization
      • Basic Idea
      • Example Results
      • Solution of the Excitation Mystery in e-Ne Collisions
VI. Conclusions and Outlook
Production and Assessment of Atomic Data
• Data for electron collisions with atoms and ions are needed for modeling processes in
   • laboratory plasmas, such as discharges in lighting and lasers
   • astrophysical plasmas
   • planetary atmospheres

• The data are obtained through
    • experiments
      • valuable but expensive ($$$) benchmarks (often differential in energy, angle, spin, ...)
      • often problematic when absolute (cross section) normalization is required
    • calculations (Opacity Project, Iron Project, ...)
      • relatively cheap
      • almost any transition of interest is possible
      • often restricted to particular energy ranges:
           • high (→ Born-type methods)
           • low (→ close-coupling-type methods)
      • cross sections may peak at “intermediate energies” (→ ???)
    • good (or bad ?) guesses
• Sometimes the results are (obviously) wrong or (more often) inconsistent !

        Basic Question: WHO IS RIGHT ? (And WHY ???)
  For complete data sets, theory is often the "only game in town"!
Choice of Numerical Approaches
•   Which one is right for YOU?
     • Perturbative (Born-type) or Non-Perturbative (close-coupling, time-
       dependent, ...)?
     • Semi-empirical or fully ab initio?
     • How much input from experiment?
     • Do you trust that input?
     • Predictive power? (input ↔ output)
•   The answer depends on many aspects, such as:
     • How many transitions do you need? (elastic, momentum transfer, excitation,
       ionization, ... how much lumping?)
     • How complex is the target (H, He, Ar, W, H2 , H2 O, radical, DNA, ....)?
     • Do the calculation yourself or beg/pay somebody to do it for you?
     • What accuracy can you live with?
     • Are you interested in numbers or “correct” numbers?
     • Which numbers do really matter?
Who is Doing What?
The list is NOT Complete or Arranged – concentrates on “GEC folks”

   • “special purpose” elastic/total scattering: Stauffer, McEachran, Garcia, ...

   • inelastic (excitation and ionization): perturbative
       • Madison, Stauffer, McEachran, Dasgupta, Kim (NIST), ...

   • inelastic (excitation and ionization): non-perturbative
       • Fursa, Bray, Stelbovics, ... (CCC)
       • Burke, Badnell, Pindzola, Ballance, Griffin, ... (“Belfast” R-matrix)
       • Zatsarinny, Bartschat (B-spline R-matrix)
       • Colgan, Pindzola, ... (TDCC)
   • Molecules: Orel, McCurdy, Rescigno, Tennyson, McKoy, Winstead,
                Madison, Kim (NIST), ...
          These names are all I am going to say about molecules ...
Classification of Numerical Approaches
• Special Purpose (elastic/total): OMP (pot. scatt.); Polarized Orbital
• Born-type methods
     • PWBA, DWBA, FOMBT, PWBA2, DWBA2, ...
     • fast, easy to implement, flexible target description, test physical assumptions
     • two states at a time, no channel coupling, problems for low energies and optically
       forbidden transitions, results depend on the choice of potentials, unitarization
•   (Time-Independent) Close-coupling-type methods
     • CCn, CCO, CCC, RMn, IERM, RMPS, DARC, BSR, ...
     • Standard method of treating low-energy scattering; based upon the expansion
                                                                                1
              ΨLSπ (r1 , . . . , rN +1 ) = A
               E                                   ΦLSπ (r1 , . . . , rN , ˆ)
                                                    i                      r      F (r)
                                                                                r E,i
                                               i
     • simultaneous results for transitions between all states in the expansion;
       sophisticated, publicly available codes exist; results are internally consistent
                                   →
     • expansion must be cut off (→ CCC, RMPS, IERM)
     • usually, a single set of mutually orthogonal one-electron orbitals is used
                                            →
       for all states in the expansion (→ BSR with non-orthogonal orbitals)
•   Time-dependent and other direct methods
     • TDCC, ECS
     • solve the Schr¨dinger equation directly on a grid
                     o
     • very expensive, only possible for (quasi) one- and two-electron systems.
Inclusion of Target Continuum (Ionization)
• imaginary absorption potential (OMP)
• final continuum state in DWBA
• directly on the grid and projection to continuum states (TDCC, ECS)
• add square-integrable pseudo-states to the CC expansion (CCC, RMPS, ...)


                     Inclusion of Relativistic Effects
• Re-coupling of non-relativistic results (problematic near threshold)
• Perturbative (Breit-Pauli) approach; matrix elements calculated between non-
  relativistic wavefunctions
• Dirac-based approach
Optical Model Potential (Blanco, Garcia) – a "Special Purpose" Approach
                 Numerical Methods: OMP for Atoms
• For electron-atom scattering, we solve the partial-wave equation

                            d2     ℓ(ℓ + 1)
                                 −          − 2Vmp (k, r) uℓ (k, r) = k 2 uℓ (k, r).
                            dr 2      r2

• The local model potential is taken as

              Vmp (k, r) = Vstatic (r) + Vexchange (k, r) + Vpolarization (r) + iVabsorption (k, r)
  with
    • Vexchange (k, r) from Riley and Truhlar (J. Chem. Phys. 63 (1975) 2182);
    • Vpolarization (r) from Zhang et al. (J. Phys. B 25 (1992) 1893);
    • Vabsorption (k, r) from Staszewska et al. (Phys. Rev. A 28 (1983) 2740).

• Due to the imaginary absorption potential, the OMP method
    • yields a complex phase shift δℓ = λℓ + iµℓ
    • allows for the calculation of ICS and DCS for
         • elastic scattering
         • inelastic scattering (all states together)             It's great if this
         • the sum (total) of the two processes
                                                                  is all you want!
Comparison with "ab initio" Close-Coupling
                                   2 0 0

                                                        e + I (5 p 5 , J = 3 /2 )
                                                                                              PRA 83 (2011) 042702

                                   1 5 0
C r o s s s e c t i o n ( a 2o )




                                   1 0 0



                                                                                              B P R M           -C      C 2
                                                                                               D B S R         -C    C 2
                                     5 0
                                                                                                D B S R        -C     C 2 + p o l
                                                                                                 D A R C       -C      C 1 1 (W u & Y u a n )
                                                                                                  O M P

                                        0
                                            0       1            2           3           4                 5               6           7        8
                                                                           E le c tro n e n e rg y (e V )
Polarized Orbital – an "Ab Initio Special Purpose" Approach
Extension to account for inelastic effects:
       J. Phys. B 42 (2009) 075202
BEf-scaling; Plane-Wave Born with Experimental Optical
          Oscillator Strength and Empirical Energy Shift




      works well, but is limited to optically allowed transitions
Similar idea works even better for ionization of complex targets :=)
Semi-Relativistic DWBA




polarization and absorption potentials
         may also be included
Ar 3p54s –> 3p54p: DWBA vs. R-matrix
                              unitarization problem!
                                (can be fixed; e.g., Dasgupta's NRL code)




Theoretical results depend on
wavefunctions and potentials
Relativistic DWBA; Semi-Relativistic DWBA; Experiment
         Ar 3p6 –> 3p53d, PRA 81 (2010) 052707




      Key Message from this (unreadable) Graph:
     Sometimes BIG Differences between Theories
         and HUGE Experimental Error Bars!
Time-Independent Close-Coupling
              The (Time-Independent) Close-Coupling Expansion
• Standard method of treating low-energy scattering
• Based upon an expansion of the total wavefunction as
                                                                                                    HΨ=EΨ
                                                                                                    1
                           ΨLSπ (r1 , . . . , rN +1 ) = A
                            E                                         ΦLSπ (r1 , . . . , rN , ˆ)
                                                                       i                      r       F (r)
                                                                                                    r E,i
                                                                 i

• Target states Φi diagonalize the N -electron target Hamiltonian according to

                                                       N
                                                 Φi | HT | Φi = Ei δi i
                                                                                                    good start – remember
                                                                                                      your QM course?
• The unknown radial wavefunctions FE,i are determined from the solution of a system of coupled integro-
  differential equations given by

                   d2       i( i   + 1)
                       −                  + k 2 FE,i (r) = 2                 Vij (r) FE,j (r) + 2         Wij FE,j (r)
                   dr2         r2
                                                                         j                            j

  with the direct coupling potentials
                                                                     N
                                                  Z                                     1
                                       Vij (r) = − δij +                     Φi |            | Φj
                                                  r                                 |rk − r|
                                                                 k=1

  and the exchange terms
                                                    N
                                                                         1
                                   Wij FE,j (r) =         Φi |                | (A − 1) Φj FE,j
                                                                     |rk − r|
                                                    k=1


Close-coupling can yield complete data sets, and the results are
internally consistent (unitary theory that conserves total flux)!
Cross Section for Electron-Impact Excitation of He(1s2
                                              Total Cross Sections for Electron-Impact Excitation )of Helium
                                                          K. Bartschat, J. Phys. B 31 (1998) L469
                                                          K. Bartschat, J. Phys. B 31 (1998) L469

                                                       n=2                                                                                                     n=3
                           6                                 4                                                           2.0                                         1.0
                                          Trajmar                                                                                   3        experiment
                           5                  Hall                                                                              3S             CCC(75)                      31 S
                                                             3                                                                                                       0.8
                                         Donaldson                                                                       1.5                     RMPS
                           4              CCC(75)
                                            RMPS                                                                                                                     0.6
                           3                                 2                                                           1.0
cross section (10−18cm2)




                                                                                                                                                                     0.4
                           2
                                                             1                                                           0.5
                           1                                                                                                                                         0.2
                                          23 S                               21 S
                           0                                 0                                                           0.0                                         0.0
                           4                                 8




                                                                                              cross section (10−18cm2)
                                                                                                                         1.0                                         1.5
                                                                                                                                33 P                                        31 P
                           3                                 6                                                           0.8
                                                                                                                                                                     1.0
                                                                                                                         0.6
                           2                                 4
                                                                                                                         0.4
                                                                                                                                                                     0.5
                           1                                 2
                                                                                                                         0.2
                                          23 P                               21 P
                           0                                 0                                                           0.0                                         0.0
                               20   25   30      35    40        20    25   30      35   40
                                                                                                                         0.3
                                                  projectile energy (eV)                                                        33 D                                        31 D
                                                                                                                                                                     0.3

                                                                                                                         0.2
                                                                                                                                                                     0.2

                                                                                                                         0.1
                                                                                                                                                                     0.1


                                                                                                                         0.0                                         0.0
                                                                                                                               20       25   30      35        40          20      25   30   35   40
                                                                                                                                                          projectile energy (eV)


                               In 1998,1998, Heer recommends 0.5 x (CCC+RMPS) for uncertainty of! 10%
                                    In de deHeer recommends (CCC+RMPS)/2 for uncertainty of 10% or better
                                                      — independentof experiment)
                                                          (independent of experiment!
Metastable Excitation Function in Kr




                        Oops — maybe we need
                         to try a bit harder?
We have a great new program :):):)
General B-Spline R-Matrix (Close-Coupling) Programs (D)BSR
    • Key Ideas:
        • Use B-splines as universal
          basis set to represent the
          continuum orbitals
        • Allow non-orthogonal or-
          bital sets for bound and
          continuum radial functions
       not just the numerical basis!


   O. Zatsarinny, CPC 174 (2006) 273

    • Consequences:
       • Much improved target description possible with small CI expansions
       • Consistent description of the N -electron target and (N+1)-electron collision
         problems
       • No “Buttle correction” since B-spline basis is effectively complete
    • Complications:
       • Setting up the Hamiltonian matrix can be very complicated and lengthy record:150,000
       • Generalized eigenvalue problem needs to be solved                     to do 50-100 times;
       • Matrix size typically 50,000 and higher due to size of B-spline basis
                               10,000                                             100 - 200 kSU
       • Rescue: Excellent numerical properties of B-splines; use of (SCA)LAPACK et al.
    We also have to solve the problem outside the box for each energy (from 100's to 1,000,000's).
List of early calculations with the BSR code (rapidly growing)
              List of calculations with the BSR code (rapidly growing)
hv + Li                Zatsarinny O and Froese Fischer C J. Phys. B 33 313 (2000)
hv + He-               Zatsarinny O, Gorczyca T W and Froese Fischer C J. Phys. B. 35 4161 (2002)
hv + C-                Gibson N D et al. Phys. Rev. A 67, 030703 (2003)                           at least 60 more
hv + B-                Zatsarinny O and Gorczyca T W Abstracts of XXII ICPEAC (2003)
hv + O-                Zatsarinny O and Bartschat K Phys. Rev. A 73 022714 (2006)                     since 2006
hv + Ca-               Zatsarinny O et al. Phys. Rev. A 74 052708 (2006)
e + He                 Stepanovic et al. J. Phys. B 39 1547 (2006)
                       Lange M et al. J. Phys. B 39 4179 (2006)
e+C                    Zatsarinny O, Bartschat K, Bandurina L and Gedeon V Phys. Rev. A 71 042702 (2005)
e+O                    Zatsarinny O and Tayal S S J. Phys. B 34 1299 (2001)
                       Zatsarinny O and Tayal S S J. Phys. B 35 241 (2002)
                       Zatsarinny O and Tayal S S As. J. S. S. 148 575 (2003)
e + Ne                 Zatsarinny O and Bartschat K J. Phys. B 37 2173 (2004)
                       Bömmels J et al. Phys. Rev. A 71, 012704 (2005)
                       Allan M et al. J. Phys. B 39 L139 (2006)
e + Mg                 Bartschat K, Zatsarinny O, Bray I, Fursa D V and Stelbovics A T J. Phys. B 37 2617 (2004)
e+S                    Zatsarinny O and Tayal S S J. Phys. B 34 3383 (2001)
                       Zatsarinny O and Tayal S S J. Phys. B 35 2493 (2002)
e + Ar                 Zatsarinny O and Bartschat K J. Phys. B 37 4693 (2004)
e + K (inner-shell)    Borovik A A et al. Phys. Rev. A, 73 062701 (2006)
e + Zn                 Zatsarinny O and Bartschat K Phys. Rev. A 71 022716 (2005)
e + Fe+                Zatsarinny O and Bartschat K Phys. Rev. A 72 020702(R) (2005)
e + Kr                 Zatsarinny O and Bartschat K J. Phys. B 40 F43 (2007)
e + Xe                 Allan M, Zatsarinny O and Bartschat K Phys. Rev. A 030701(R) (2006)
Rydberg series in C    Zatsarinny O and Froese Fischer C J. Phys. B 35 4669 (2002)
osc. strengths in Ar   Zatsarinny O and Bartschat K J. Phys. B: At. Mol. Opt. Phys. 39 2145 (2006)
osc. strengths in S    Zatsarinny O and Bartschat K J. Phys. B: At. Mol. Opt. Phys. 39 2861 (2006)
osc. strengths in Xe   Dasgupta A et al. Phys. Rev. A 74 012509 (2006)
[One of] our apparatus ...




recently moved to Lonestar
Structure Calculations with the BSR Code




                         Phys. Scr. T134 (2009) 014009
Energy Levels in Heavy Noble Gases




                           This is VERY GOOD for a
                        subsequent collision calculation!
Oscillator Strengths in Neon
Summary of structure work
                         Conclusions
• The non-orthogonal orbital technique allows us account for term-dependence and
  relaxation effects practically to full extent. At the same time, this reduce the size of
  the configuration expansions, because we use specific non-orthogonal sets of
  correlation orbitals for different kinds of correlation effects.
• B-spline multi-channel models allow us to treat entire Rydberg series and can be
  used for accurate calculations of oscillator strengths for states with intermediate
  and high n-values. For such states, it is difficult to apply standard CI or MCHF
  methods.
• The accuracy obtained for the low-lying states is close to that reached in large-scale
  MCHF calculations.
• Good agreement with experiment was obtained for the transitions from the ground
  states and also for transitions between excited states.
• Calculations performed in this work: s-, p-, d-, and f-levels up to n = 12.
          Ne   –   299   states   –   11300    transitions
          Ar   –   359   states   –   19000    transitions
          Kr   –   212   states   –    6450    transitions
          Xe   –   125   states   –    2550    transitions

• All calculations are fully ab initio.
• The computer code BSR used in the present calculations and the results for Ar
  were recently published:
       BSR:     O. Zatsarinny, Comp. Phys. Commun. 174 (2006) 273
       Ar:      O. Zatsarinny and K. Bartschat, J. Phys. B 39 (2006) 2145
Move on to Collisions ...
                            Introduction
                       Metastable yield in e-Ne collisions
• Using our semi-relativistic B-spline R-matrix (BSR) method [Zatsarinny and
  Bartschat, J. Phys. B 37, 2173 (2004)], we achieved unprecendented agreement
  with experiment for angle-integrated cross sections in e−Ne collisions.
Resonances in the excitation of the Ne (2p53p) states
   Allan, Franz, Hotop, Zatsarinny, Bartschat (2009), J. Phys. B 42, 044009
                                                                                    f2
                                                                                                           1
                                3
                                                       expt.                                                S0
                                                                               f1
                                                      BSR31 n                                g1 g2        q = 135°
                                                    p        1                                                 p
                                2
                                                                          n2
       Cross Section (pm2/sr)




                                            3p2
                                1       }
                                        d1                                                                   it's looking
                                 0          e d2                                              4p2             good :):):)
                                                                                                           3




                                                                                             }
                                20                                                                          S1
                                                                                             g1 g2
                                                   3p 4s                       4s 4p
                                                                        4s2                               q = 180°
                                                    p




                                                                        }
                                                                                                               p




                                                                        }
                                                     1
                                                         S0            n1 n2 f1 f2
                                10
                                                                                                               4p
                                                                                                     3d
                                                                                       4s
                                0                     3p

                                     18.5           19.0               19.5                 20.0                   20.5
                                                              Electron Energy (eV)
Expanded view of the resonant features in selected cross sections for the excitation
of the 3p states. Experiment is shown by the more ragged red line, theory by the
smooth blue line. The present experimental energies, labels (using the notation
of Buckman et al. (1983), and configurations of the resonances are given above the
spectra. Threshold energies are indicated below the lower spectrum.
Metastable Excitation Function in Kr




                      Do you remember this one?
Metastable Excitation Function in Kr



                               JPB 43 (2010) 074031




                      What a difference :):):)

                              –> let's go to more detail!
excitation at fixed angle

                                    1 5 0                 e -K r     θ= 3 0 o                                        5 s ’[ 1 / 2 ] 1

                                    1 0 0

                                      5 0
                                                                                M. Allan, O. Zatsarinny, and K.B.,
                                            0                                      J. Phys. B 44 (2011) 065201
                                                                                 (selected as a JPB "highlight")
                                                                                                    5 s ’[ 1 / 2 ] 0
                                       1 5

                                       1 0
C ro s s S e c tio n (p m 2 /s r)




                                                    5

                                                    0
                                                                             Allan expt.
                                    2 0 0                                                   5 s [3 /2 ]1
                                                                           DBSR calculation

                                    1 0 0
                                                                                      P h illip s (1 9 8 2 )
                                                                                       A lla n (2 0 1 0 )
                                                                                        D B S R 6 9
                                                    0

                                                                                                                     5 s [3 /2 ]2
                                    1 0 0

                                       5 0

                                                0
                                                        1 0         1 1         1 2               1 3          1 4               1 5
                                                                          E le c tro n E n e rg y (e V )
excitation at fixed energy
                           15 eV                             5s[3/2]2                                                               5s'[1/2]0
            0 .0 4
                                                                                     0 .0 0 6
2/s r)
    o




                                                                                     0 .0 0 4
 D C S (a




            0 .0 2

                                                                                     0 .0 0 2



            0 .0 0                                                                   0 .0 0 0
                       0     3 0    6 0        9 0        1 2 0      1 5 0   1 8 0               0   3 0   6 0         9 0      1 2 0   1 5 0   1 8 0


                                                                  5s[3/2]1           now confirmed                                  5s'[1/2]1
                                   T ra jm a r e t a l. (1 9 8 1 )                                               B S R 4 9
                                    G u o e t a l. (2 0 0 0 ) × 0 .3 7
/s r)




                  -1                                                                  1 0   -1                    D B S R 6 9
            1 0                      A lla n (2 0 1 0 )
2
   o
D C S (a




                                                                                            -2
                                                                                      1 0
                  -2
            1 0

                       0     3 0    6 0        9 0        1 2 0      1 5 0   1 8 0               0   3 0   6 0         9 0      1 2 0   1 5 0   1 8 0
                               Scattering Angle (deg)                                                  Scattering Angle (deg)
A Classic GEC Application !!!
                                      Forward Model
Let's use these data in a real plasma model! (Dirk Dodt's PhD Thesis)


        EEDF                                               emission coefficient


                                                       Einstein's coefficients      line of sight
        collisional -                                                                integration
      radiative model                                   (radiation transport)
150 cross sections                                          350 Einstein
                        population densities                coefficients


                                                                                  radiance

                                                                                     line profile
                                   intensity calibration                          (aparatus width)

       spectrometer pixels                                 spectral radiance


   Dirk Dodt for the 5th Workshop on Data Validation                                                 5
Collisional Radiative Model




                                                    ●   Balance equation for each
                                                        excited state density
                                                    ●   Elementary processes:
                                                         –   Electron impact (de)excitation
                                                         –   Radiative transitions
                                                         –   Atom collisions
                                                         –   Wall losses
                                                    ●   Linear equation for
Dirk Dodt for the 5th Workshop on Data Validation                                         6
Results: Treatment of Various Processes in the Model
Although we are are [almost] perfect, let's allow for some uncertainty ...

         Uncertainty Estimate of Oscillator Strengths

    ∆ Aki / Aki   0.24
                  0.22
                   0.2
                  0.18
                  0.16
                  0.14
                  0.12
                    0.1
                  0.08
                  0.06
                  0.04
                  0.02
                     0 4
                      10   105   106      107       108
                                                      Aki [s-1]
Uncertainty Estimate of Cross Sections




                            hard to believe, but we
                             will see that this was
                             (FAR) too optimistic !
J. Phys. D 41 (2008) 205207
Modeled Spectrum With “Reasonable Uncertainty in Atomic Data”
  W ]




                                                                                             residual/σ
                                                                                        8
  sr m

            7                                                                           6
          10                                                                            4
                                                                                        2
    m2



            6                                                                           0
          10
   Lλ [




                                                                                        -2
            5                                                                           -4
          10                                                                            -6
                                                                                        -8
                560           580         600          620         640         λ [nm]
                            There are measured points behind the red line!
  W ]




                                                                                             residual/σ
                                                                                        8
  sr m




                                                                                        6
          107                                                                           4
                                                                                        2
    m2




            6                                                                           0
          10
   Lλ [




                                                                                        -2
            5                                                                           -4
          10                                                                            -6
                                                                                        -8
                 680           700         720           740        760        λ [nm]
    W ]




                                                                                             residual/σ
                                                                                        8
  m sr m




            7                                                                           6
          10                                                                            4
                                                                                        2
     2




            6                                                                           0
          10
   Lλ [




                                                                                        -2
            5                                                                           -4
          10                                                                            -6
                                                                                        -8
                      800           820         840          860         880   λ [nm]
This is the real check!
Results: Are the Atomic Data Consistent?
       3s3->3d8                               3s4->3d1
       3s3->3d9                               3s4->3d2
      3s3->3d10                               3s4->3d3
      3s3->3d11                               3s4->3d4
      3s3->3d12                               3s4->3d5
        3s3->4s1                              3s4->3d6
       3s3->4s2
       3s3->4s3
       3s3->4s4
                                              3s4->3d7
                                              3s4->3d8
                                              3s4->3d9
                                                                                    looks pretty good;
       3s1->3p1                              3s4->3d10
       3s1->3p2
       3s1->3p3
       3s1->3p4
                                             3s4->3d11
                                             3s4->3d12
                                               3s4->4s1
                                                                                    correction factors
       3s1->3p5
       3s1->3p6
       3s1->3p7
                                              3s4->4s2
                                              3s4->4s3
                                              3s4->4s4
                                                                                    mostly consistent
                                              2p1->3d1
       3s1->3p8
       3s1->3p9
      3s1->3p10
                                              2p1->3d2
                                              2p1->3d3
                                              2p1->3d4
                                                                                    with 1.0
       3s2->3p1                               2p1->3d5
       3s2->3p2                               2p1->3d6
       3s2->3p3                               2p1->3d7
       3s2->3p4                               2p1->3d8
       3s2->3p5                               2p1->3d9
       3s2->3p6                              2p1->3d10
       3s2->3p7                              2p1->3d11
       3s2->3p8                              2p1->3d12
       3s2->3p9                               2p1->4s1
      3s2->3p10                               2p1->4s2
       3s3->3p1                               2p1->4s3
       3s3->3p2                               2p1->4s4
       3s3->3p3                               3s1->3d1
       3s3->3p4                               3s1->3d2
       3s3->3p5                               3s1->3d3
       3s3->3p6                               3s1->3d4
       3s3->3p7                               3s1->3d5
       3s3->3p8                               3s1->3d6
       3s3->3p9                               3s1->3d7
      3s3->3p10                               3s1->3d8
        3s2->3s1                              3s1->3d9
        3s3->3s1                             3s1->3d10
       3s3->3s2                              3s1->3d11
        3s4->3s1                             3s1->3d12
       3s4->3s2                                3s1->4s1
       3s4->3s3                               3s1->4s2
       3s4->3p1                               3s1->4s3
       3s4->3p2                               3s1->4s4
       3s4->3p3                               3s2->3d1
       3s4->3p4                               3s2->3d2
       3s4->3p5                               3s2->3d3
       3s4->3p6                               3s2->3d4
       3s4->3p7                               3s2->3d5
                                              3s2->3d6
       3s4->3p8
       3s4->3p9                               3s2->3d7
                                              3s2->3d8
      3s4->3p10
                                              3s2->3d9
       2p1->3p1
                                             3s2->3d10
       2p1->3p2
                                             3s2->3d11
       2p1->3p3                              3s2->3d12
       2p1->3p4                                3s2->4s1
       2p1->3p5                               3s2->4s2
       2p1->3p6                               3s2->4s3
       2p1->3p7                               3s2->4s4
       2p1->3p8                               3s3->3d1
       2p1->3p9                               3s3->3d2
      2p1->3p10                               3s3->3d3
       2p1->3s1                               3s3->3d4
       2p1->3s2                               3s3->3d5
       2p1->3s3                               3s3->3d6
       2p1->3s4                               3s3->3d7
               0   0.5   1   1.5   2   2.5            0   0.5   1   1.5   2   2.5
New Journal of Physics 12 (2010) 073018
                            Let’s Zoom In ...
 3s4->3p2                                   3s4->3d1

 3s4->3p3                                   3s4->3d2
                                            3s4->3d3
 3s4->3p4
                                            3s4->3d4
 3s4->3p5                                   3s4->3d5
 3s4->3p6                                   3s4->3d6
                                            3s4->3d7
 3s4->3p7
                                            3s4->3d8
 3s4->3p8
                                            3s4->3d9
 3s4->3p9                                  3s4->3d10
3s4->3p10                                  3s4->3d11
                                           3s4->3d12
 2p1->3p1
                                            2p1->3d1
 2p1->3p2                                   2p1->3d2
 2p1->3p3                                  2p1->3d3
2p1->3p4                                   2p1->3d4
                                            2p1->3d5
 2p1->3p5
                                            2p1->3d6
 2p1->3p6                                   2p1->3d7
 2p1->3p7                                   2p1->3d8
                                            2p1->3d9
 2p1->3p8
                                           2p1->3d10
 2p1->3p9
                                           2p1->3d11
2p1->3p10                                  2p1->3d12

        0   0.5   1   1.5     2     2.5            0   0.5   1   1.5   2    2.5


                             OOPS ?!?!?!
Results: Significant Correction Factors for a Few Transitions




    Explanation: The results for these transitions are very
    sensitive to the inclusion of continuum coupling!
    (already suggested in 2004 by Ballance and Griffin)

                   So let's work on that ...
A very recent development [PRL 107 (2011) 023203]
Fully Nonperturbative Treatment of Ionization
and Ionization with Excitation of Noble Gases
                                  Overview:
   I. Motivation: Is Theory Really, Really, Really BAD?
  II. Theoretical Formulations
        • Perturbative Methods
          • Plane-Wave and Distorted-Wave Treatments of the Projectile
          • Second-Order Effects
          • Ejected-Electron−Residual-Ion Interaction: The Hybrid Approach

   You'll seeNon-Perturbative Methods
      • Fully in a minute how important this is for the
        • Time-Dependent Close-Coupling (TDCC), well! Complex Scaling (ECS)
               EXCITATION problem as Exterior
          • Convergent Close-Coupling (CCC)
          • Convergent B-Spline R-matrix with Pseudostates (BSRMPS)
  III. Example Results
        • Ionization of He(1s2 ) → He+ (1s), He+ (n = 2)
                                                  n
        • Ionization of Ne(2s2 2p6 ) → Ne+ (2s2 2p5 ), (2s2p6 )
        • Ionization of Ar(3s2 3p6 ) → Ar+ (3s2 3p5 ), (3s3p6 )
  IV. Conclusions and Outlook
Ionization in the Close-Coupling Formulation
             The “Straightforward” Close-Coupling Formalism
  • Recall: We are interested in the ionization process

           e0 (k0 , µ0 ) + A(L0 , M0 ; S0 , MS0 ) → e1 (k1 , µ1 ) + e2 (k2 , µ2 ) + A+ (Lf , Mf ; Sf , MSf )

  • We need the ionization amplitude

                                      f (L0 , M0 , S0 ; k0 → Lf , Mf , Sf ; k1 , k2 )

   • We employ the B-spline R-matrix method of Zatsarinny (CPC 174 (2006) 273)
     with a large number of pseudo-states:
        • These pseudo-states simulate the effect of the continuum.
        • The scattering amplitudes for excitation of these pseudo-states are used to
          form the ionization amplitude:         This is the essential idea – we'll
                                                 still have to work on the details.
                                         Ψk2 |Φ(L S ) f (L , M , S ; k → L , M , S ; k ).
                                            −
f (L , M , S ; k → L , M , S ; k , k ) =
   0   0     0   0      f     f   f    1    2            f          p p         0       0   0   0   p   p   p   1p
                                                   p
  • Both the true continuum state |Ψf    k2 − (with the appropriate multi-channel
    asymptotic boundary condition) and the pseudo-states |Φ(Lp Sp ) are consistently
 Total (ionization) cross sections are much easier to get – just
    calculated with the same close-coupling expansion.
 add up the results for all the (positive-energy) pseudo-states.
  • In contrast to single-channel problems, where the T -matrix elements can be
    interpolated, direct projection is essential to extract the information in multi-
    channel problems.      This is the essential idea – just do it!
  • For total ionization, we still add up all the excitation cross sections for the
    pseudo-states.
Total Cross Section in e-H Ionization
Total Cross Section and Spin Asymmetry in e−H Ionization
  K. Bartschat (from I. Bray, J. Phys. 1996) (1996) L577
               and Bartschat and Bray B 29




                   4
                   5
                   9
       T R Q PI & H % 1 G 0 # # # H 2 G
         S
           4
           69         79
                      4




                                                       E   ¥
                                                       D
                                                       F   §
                                                       B   ©¨
                                  89
                                  4




                                                           
                                                           
                                                           B
                                                           C
                                                           ¦
                   4
                   4
                   9

                                           8



                                                   7




                                                                         3
                                           4



                                                   4


                                                    6
                                                    4 


                                                                  5
                                                                  4



                                                                         4
                                                                         4
                                                      !
                                                      
                                                      
                                                      
                                                      
                                                       

                                                       
                   4
                   6
                   9




                                                        

                                                        

                                                        §¨
                                                        ¥
                                                        ¤
                                                        
                                                        ¤
                                                        ¡
                                                        

                                                         ¦
                                                         ©
                                                         
       4
       @
       9




                                          This is the proof-of-principle case,
                                                         £
                                                          



                                                         §¨
                                                         ¢
                                                         ¥
                                                         ¤
                                                         ¡

                                                          ¦
                                                          ©
         (2 10 ) ) (# '




                                                 so let's build on that.
             79
             4     4
                   A
                   9
       % $ #

       89
       4
              39
              4    4
                   4
                   9

                                           8



                                                   7




                                                                         3
                                           4



                                                   4


                                                    6
                                                    4 


                                                                  5
                                                                  4



                                                                         4
                                                                         4
                                                      !
Phys. Rev. Lett. 107 (2011) 023203
                                                           Total and Single-Differential Cross Section
                                       0.5

                                                                                                                          e - He             E=100 eV
                                                           correlation drops
                                cm )
                                  2




                                                e - He
                                                                                                            3
                                                          the theoretical ICS
                            -16




                                       0.4
                                                                                                                                Müller-Fiedler et al (1986)
Ionization Cross Section (10




                                                                                                 cm /eV)
                                                                                                                                BSR227 - interpolation

                                                                                                                                BSR227 - projection




                                                                                                2
                                       0.3
                                                                                                            2




                                                                                                -18
                                                                                                 SDCS (10
                                                                                                                         definitely looks o.k.
                                       0.2
                                                                Montague et al. (1984)

                                                                Rejoub et al. (2002)
                                                                                                            1
                                                                Sorokin et al. (2004)

                                       0.1                      BSR-525              That's a lot of states!
                                                                              2
                                                                BSR with 1s       correlation
                                                                              2
                                                                CCC with 1s       correlation

                                                                                                            0
                                       0.0
                                                30               100                 300
                                                                                                                0   10     20      30     40     50      60   70
                                                         Electron Energy (eV)                                               Secondary Energy (eV)


                                             • Including correlation in the ground state reduces the theoretical result.
                                             • Interpolation yields smoother result, but direct projection is acceptable.
                                             • DIRECT PROJECTION is NECESSARY for MULTI-CHANNEL cases!

                                                              So far, so good ... Let's go for more detail!
BSRMPS works great: PRL 107 (2011) 023203
                                                    Triple-Differential Cross Section Ratio
                                       experiment: Bellm, Lower, Weigold; measured directly
                                                                        150                                           150
                              150                                   o                                             o                                    o
                                                             = 24                                          = 36                                 = 48
                                                         1                                             1                                    1



                              100                                       100                                           100


                               50          expt.
                                                                         50     E =44 eV
                                                                                                                      50
                                                                                 1

                                           BSR
                                                                                E =44 eV
                                                                                 2
n=1/n=2 Cross Section Ratio




                                           DWB2-RMPS

                                0                                         0                                            0
                                 20   40       60   80       100 120       20    40        60    80        100 120      20   40   60   80       100 120
                                                                        150
                              150                                   o
                                                                                                                  o                                    o
                                                             = 28                                          = 40                                 = 52
                                                                                                       1
                                                                                                                      100
                                                         1                                                                                  1



                              100                                       100


                                                                         50                                           50
                               50

                                0DWB+RM hybrid method 0  not appropriate                                               0
                                 20 40 symmetric kinematics40 all! 80 100 120
                                     for 60 80 100 120 150
                                                         20   at 60                                                     20   40   60   80       100 120
                              150
                                                                                                                  o                                    o
                                                                                                                      100
                                                                    o
                                                             = 32                                          = 44                                 = 56
                                                         1                                             1                                    1


                              100                                       100

                                                                                                                       50
                               50                                        50


                                0                                         0                                             0
                                 20   40       60   80       100 120      20     40        60    80        100 120      20   40   60   80       100 120
                                                                                               (deg)
                                                                                           2
What about more complex targets?
                   Ren et al., Phys. Rev. A 83 (2011) 052714




... the magnitude [of the TDCS] appears to be the most significant problem.


       ... the physics behind the electron-impact ionization of many-
       electron systems needs to be treated more accurately by theory.
Electron Impact Ionization of Ar(3p) with E0 = 71 eV
                                 BSR at least gets the shape.
                                 Other methods are way off!

                                            Magnitude still
                                             problematic!

                                           There may be an
                                         experimental issue!
                                      (– PRA 85 (2012) 032708)
Back to a problem at the heart of the GEC community: e-Ne collisions
    Electron Impact Ionization of Neon (from ground state)
                            10
                                         -                -          +
                                     e       + Ne   -    2e   + Ne
        cm )


                            8
       2
       -17
        Cross section (10




                            6
                                                                                        Absolute experiments are tricky!


                            4

                                                                           Rejoub et al. (2002)

                                                                           Krishnakumar  Strivastava (1988)

                            2                                              Pindzola et al. (2000)TDCC; target description?
                                                                           BSR-679       That's again a lot of states!


                            0
                                 0           20     40        60      80   100    120     140     160   180    200
                                                                   Electron energy (eV)
Electron Impact Ionization of Neon (from metastable states)
                         80
                                           -           5     3                  -       +    5
                                       e       + Ne*(2p 3s       P)    -   2e       + Ne (2p )

                         70
     cm )
    2




                         60
    -17




                                                                       Johnston et al. (1996)

                         50
     Cross section (10




                                                                       RMPS-243, Ballance et al. (2004)

                                                                       BSR-679


                         40

                         30

                         20

                         10

                         0
                              0   20            40     60             80        100         120   140     160
                                                     Electron energy (eV)
Total Cross Section for Electron Impact Excitation of Neon
        RMPS calculations by Ballance and Griffin (2004)
                               3.0                   5   3         12                    5   1
                                                  (2p 3s) P                           (2p 3s) P




                               2.0                                  8
                                                                                             The Excitation Mystery!

                               1.0                                  4




                               0.0                                  0
                                  16       24       32        40     16        24       32        40
          cm )
         2




                                                     5   3         1.6                   5   3
                               0.6               (2p 3p) S                            (2p 3p) D
         -18
          Cross section (10




                                                                   1.2

                               0.4
                                                                                                    There is a BIG drop in the
                                                                   0.8
                                                                                                    cross sections due to the
                               0.2                                                                 coupling to pseudo-states!
                                                                   0.4




                               0.0                                 0.0
                                  16       24       32        40      16       24       32        40


                              0.16                                 2.0
                                                     5   3                               5   1
                                                  (2p 3d) P                          (2p 3d) P

                                                                   1.6
                              0.12

                                                                   1.2
                                                                                                       Here we (under)estimated
                              0.08                                                                     an error of only 60% !?!?!?
                                                                                        RM-61
                                                                   0.8
                                                                                        RMPS-243
                              0.04                                                      BSR-679
                                                                   0.4



                              0.00                                 0.0
                                  16       24       32        40      16       24       32        40

                                                                           Electron energy (eV)
                                       Electron energy (eV)
Total Cross Section for Electron Impact Excitation of Neon
                            Effect of Channel Coupling to Discrete and Continuum Spectrum
                      2.0                                                0.4

  cm )
2

                                                        3s[3/2]                                           3s'[1/2]
                                                                  2                                                   0


                      1.5                                                0.3
-18




                                                                                                          Khakoo et al.
                                                         BSR-457
  Cross Section (10




                                                                                                          Register et al.
                                                         BSR-31
                                                                                                          Phillips et al.
                      1.0                                BSR-5           0.2




                      0.5                                                0.1




                      0.0                                                0.0
                               20            40     60     80 100                20            40      60        80 100

                      2.0                                                 15
  cm )
2




                                                        3s[3/2]                                           3s'[1/2]
                                                                  1                                                   1
                                                                          12
                      1.5
-18
  Cross Section (10




                                                                           9

                      1.0

                                                                           6


                      0.5                                                                       Kato
                                                                           3
                                                                                                Suzuki et al.



                      0.0                                                  0
                              20        50        100             300          20         50        100                300

                                    Electron Energy (eV)                   BIG drop also in fine-structure-resolved
                                                                                     Electron Energy (eV)

                                                                        results, especially at intermediate energies.
Total Cross Section for Electron Impact Excitation of Neon
                                Effect of Channel Coupling to Discrete and Continuum Spectrum

  cm )
2
                           80                          3p[1/2]
                                                                         50                        3p'[1/2]
                                                                   1                                          1


                                                                         40
-20




                           60
                                                  BSR-31
  Cross Section (10




                                                  BSR-457

                                                  RMPS-235               30
                           40                     Chilton et al.

                                                                         20
                           20                                            10

                            0                                             0
                                                               Again, a BIG drop!

                          120
      cm )
2




                                                       3p[5/2]
                                                                   2
                                                                         300                       3p'[1/2]
                                                                                                           0
-20
      Cross Section (10




                          80                                             200


                          40                                             100


                                                                          0
                                20    40     60       80           100         20    40     60     80      100
                                     Electron Energy (eV)                           Electron Energy (eV)
Total Cross Section for Electron Impact Excitation of Neon
                              Effect of Channel Coupling to Discrete and Continuum Spectrum

  cm )
2

                                                        3d[1/2]                                     3d[3/2]
                         3                                       0
                                                                           12                               2
-20
  Cross Sction (10




                                                       BSR-31
                         2                             BSR-46              8
                                                       BSR-457

                                                       RMPS-235

                         1                                                 4


                         0                                              0
                              20              40     60    80 100          20            40       60    80 100
                                               The 2p53d states are really affected - factors of 5-10!!!
      cm )
2




                         30                            3d[1/2]
                                                                       80                            3d[3/2]
                                                                                                                1
                                                                 1
-20




                                                                           60
      Cross Sction (10




                         20
                                                                           40
                         10
                                                                           20

                         0                                                 0
                               20        40            100           200        20       40         100         200

                                    Electron Energy (eV)                             Electron Energy (eV)
Total Cross Section for Electron Impact Excitation of Metastable Neon
                                                           Effect of Cascades
                           3
    cm )
   2                                                                                                            3p[3/2]
                                                     3p'[3/2]                                                           2
                                                                                10
                                                                  2
   -16
    Cross Section (10



                           2                                                                              BSR-457

                                                                                                          + cascade

                                                                                                          Boffard et al.

                                                                                5
                           1


                           0                                                    0
                               0   50   100   150   200     250           300        0   50   100   150   200     250       300
                                                                                25
       cm )
   2




                           6                              3p[5/2]                                               3p[5/2]
                                                                                                                           3
                                                                      2
                                                                                20
   -16
       Cross Section (10




                           4                                                    15

                                                                                10
                           2
                                                                                 5

                           0                                                     0
                               0   50   100   150   200     250           300        0   50   100   150   200     250          300
                                    Electron Energy (eV)                                  Electron Energy (eV)
Total Cross Section for e-Ne Collisions
                           5


                                  e
                                   -
                                       + Ne            BSR-679 can do this as a SINGLE theory
                                                       for energies between 0.01 eV and 200 eV!
 cm )
2




                           4
-16




                                        Wagenaar  de Heer (1980)
 Total Cross Section (10




                                        Gulley et al. (1994)

                                        Szmitkowski et al. (1996)
                           3
                                        Baek  Grosswendt (2003)

                                        BSR-679, total

                                        elastic

                                        + excitation

                           2




                           1




                           0
                           0.01               0.1                1            10      100   1000

                                                               Electron Energy (eV)
Differential Cross Section for Electron Impact Excitation of Neon at 30 eV
                                                    Experiment: Khakoo group

                                                                           0.6
  cm /sr)

                                        30 eV         3s[3/2]                                                     3s'[1/2]
              3.0                                                2                                                           0
 2




                                                                           0.4
 -19




              2.0
  DCS (10




                                                                           0.2
              1.0




              0.0                                                          0.0
                        0   20     40   60     80    100   120       140            0   20     40   60    80    100   120        140



                   1                                                            2
                                                                           10
    cm /sr)




              10                                                                                                  3s'[1/2]
                                                     3s[3/2]                                                                1
                                                             1
  2




                                                                                                         Khakoo et al. x 0.55
                                             Here is the effect on angle-
                                                                                                         BSR-457
                                             differential cross sections.
  -19




                                                                        1
                   0                                                 10
              10                                                                                         BSR-31
    DCS (10




                                                                                                                  renormalize
                                                                                                               experimental DCS?
                                                                                0
                   -1                                                      10
              10



                        0   20     40   60     80    100   120       140            0   20     40   60    80    100   120        140

                                 Scattering Angle (deg)                                      Scattering Angle (deg)
Differential Cross Section for Electron Impact Excitation of Neon at 40 eV
                                                  Experiment: Khakoo group
  cm /sr)     3.0                                                         0.6

                                        40 eV       3s[3/2]                                                      3s'[1/2]
                                                                2                                                          0
 2




              2.0                                                         0.4
 -19
  DCS (10




              1.0                                                         0.2




              0.0                                                         0.0
                        0   20     40   60   80    100    120       140            0   20     40   60    80    100   120       140
    cm /sr)




                                                   3s[3/2]                                                     3s'[1/2]
                                                            1                                                              1
                   1                                                           2
              10                                                          10
  2




                                                                                                        Khakoo et al. x 0.7
  -19




                                                                                                        BSR-457

                                                                                                        BSR-31
    DCS (10




                   0                                                           1
              10                                                          10




                                                                               0
                   -1                                                     10
              10


                        0   20     40   60   80    100    120       140            0   20     40   60    80    100   120       140

                                 Scattering Angle (deg)                                     Scattering Angle (deg)
DCS Ratios for Electron Impact Excitation of Neon at 30 and 40 eV
                                      Experiment: Khakoo group
                  10                                          10

             r                         30 eV                                                40 eV
                   8                                           8



                   6                                           6



                   4                                           4


                                  BSR-31
                   2                                           2        3               3
                                  BSR-457                                   P       /       P
                                                                            2               0
                                  Khakoo et al.
                   0                                           0
                        0   20   40   60   80   100 120 140         0   20          40          60   80   100 120 140


                  0.8                                         0.5

                                                                        3               1
            r'                                                              P       /       P
                                                              0.4               1               1
                  0.6


                                                              0.3

                  0.4

                                                              0.2


                  0.2
                                                              0.1



                  0.0                                         0.0
                        0   20   40   60   80   100 120 140         0   20          40          60   80   100 120 140


                  2.0
                                                                                                                         This is our problem –
                                                                        3
                                                                            P
                                                                                2
                                                                                    /
                                                                                        3
                                                                                            P
                                                                                                1
                                                                                                                        oscillator strength for
            r''                                               1.5
                  1.5                                                                                                   3P is a bit too large in
                                                                                                                          1
                  1.0
                                                              1.0
                                                                                                                              this model!
                                                              0.5
                  0.5




                  0.0                                         0.0
                     0      20   40   60   80   100 120 140         0   20          40          60   80   100 120 140

                            Scattering Angle (deg)                      Scattering Angle (deg)
DCS Ratios for Electron Impact Excitation of Neon at 50 and 100 eV
                                      Experiment: Khakoo group
                   10                                         10

             r                         50 eV                                                    100 eV
                    8                                          8



                    6                                          6                                                        (5 x 0) / (1 x 0) is not
                    4                                          4                                                           easy to measure!
                    2                                          2
                                                                        3               3
                                                                            P       /       P
                                                                                2               0
                    0                                          0
                        0   20   40   60   80   100 120 140         0       20          40          60   80   100 120 140




                                                                        3               1
                  0.3                                         0.6           P       /       P
                                                                            1                1
             r'

                  0.2                                         0.4




                  0.1                  BSR-457                0.2

                                       Khakoo et al.


                  0.0                                         0.0
                        0   20   40   60   80   100 120 140         0       20          40          60   80   100 120 140




                                                                        3               3
                                                                            P       /       P
                  1.5                                                       2                   1
                                                              1.5
             r''
                  1.0
                                                              1.0




                  0.5
                                                              0.5




                  0.0                                         0.0
                     0      20   40   60   80   100 120 140         0       20          40          60   80   100 120 140

                            Scattering Angle (deg)                          Scattering Angle (deg)
Conclusions and Outlook
• Much progress has been made in calculating the structure of and electron-induced
  collision processes in noble gases — and other complex targets (C, O, F, ..., Cu,
  Zn, Cs, Au, Hg, Pb).
• Time-independent close-coupling (R-matrix) is the way to go for complete datasets.
• Other sophisticated methods (CCC, TDCC, ECS, ...) are still restricted to
  simple targets. These methods are have essentially solved the (quasi-)one- and
  (quasi-)two-electron problems for excitation and ionization.
• Special-Purpose and Perturbative (Born) methods are still being used, especially for
  complex targets!
• For complex, open-shell targets, the structure problem should not be ignored !
• For such complex targets, the BSR method with non-orthonal orbitals has achieved
  a breakthrough in the description of near-threshold phenomena. The major
  advantages are:
    • highly accurate target description
    • consistent description of the N -electron target and (N+1)-electron collision problems
    • ability to give “complete” datasets for atomic structure and electron collisions
• The most recent extension to an RMPS version allows for the treatment of ionization
  processes.
Conclusions and Outlook (continued)
• After setting up a detailed model of a Ne discharge with a large number of observed
  lines, we validated most atomic BSR input data (oscillator strengths and collision
  cross sections) – and we got hints about areas to improve!
• The validation method provides a valuable alternative for data assessment and
  detailed plasma diagnostics — especially when no absolute cross sections from beam
  experiments are available.
• This is a nice example of a very fruitful and mutually beneficial collaboration between
  data producers and data users.

• We   can provide atomic data for (almost) any system. Practical limitations are:
   •   expertise of the operator/developer
   •   continued code development (parallelization, new architectures)
   •   computational resources (Many Thanks to Teragrid/XSEDE!)
• We are currently preparing fully relativistic R-matrix with            pseudo-states
  calculations on massively parallel platforms (→ Xe, W, ...).
                                                →

• We don’t have a company (yet). If you really want/need specific data, you can
   • ask us really nicely and hope for the best (preferred by most colleagues)
   • give us $$$ and increase your priority on the list (preferred by us)

                                THANK YOU !

Benchmark Calculations of Atomic Data for Modelling Applications

  • 1.
    BENCHMARK CALCULATIONS OFATOMIC DATA FOR MODELING APPLICATIONS Klaus Bartschat, Drake University DAMOP 2012 (GEC Session) June 4-8, 2012 Special Thanks to: Igor Bray, Dmitry Fursa, Arati Dasgupta, Gustavo Garcia, Don Madison, Al Stauffer, ... Michael Allan, Steve Buckman, Michael Brunger, Hartmut Hotop, Morty Khakoo, and many other experimentalists who are pushing us hard ... Andreas Dinklage, Dirk Dodt, John Giuliani, George Petrov, Leanne Pitchford, ... Phil Burke, Charlotte Froese Fischer, Oleg Zatsarinny National Science Foundation: PHY-0903818, PHY-1068140, TeraGrid/XSEDE
  • 2.
    BENCHMARK CALCULATIONS OFATOMIC DATA FOR MODELING APPLICATIONS OVERVIEW: I. Introduction: Production and Assessment of Atomic Collision Data II. Numerical Methods • Special-Purpose Methods • Distorted-Wave Methods • The Close-Coupling Method: Recent Developments CCC, RMPS, IERM, TDCC, BSR III. Selected Results • Energy Levels • Oscillator Strengths • Cross Sections for Electron-Impact Excitation IV. GEC Application: What We Can Learn from Modeling a Ne Discharge V. A Closer Look at Ionization • Basic Idea • Example Results • Solution of the Excitation Mystery in e-Ne Collisions VI. Conclusions and Outlook
  • 3.
    Production and Assessmentof Atomic Data • Data for electron collisions with atoms and ions are needed for modeling processes in • laboratory plasmas, such as discharges in lighting and lasers • astrophysical plasmas • planetary atmospheres • The data are obtained through • experiments • valuable but expensive ($$$) benchmarks (often differential in energy, angle, spin, ...) • often problematic when absolute (cross section) normalization is required • calculations (Opacity Project, Iron Project, ...) • relatively cheap • almost any transition of interest is possible • often restricted to particular energy ranges: • high (→ Born-type methods) • low (→ close-coupling-type methods) • cross sections may peak at “intermediate energies” (→ ???) • good (or bad ?) guesses • Sometimes the results are (obviously) wrong or (more often) inconsistent ! Basic Question: WHO IS RIGHT ? (And WHY ???) For complete data sets, theory is often the "only game in town"!
  • 4.
    Choice of NumericalApproaches • Which one is right for YOU? • Perturbative (Born-type) or Non-Perturbative (close-coupling, time- dependent, ...)? • Semi-empirical or fully ab initio? • How much input from experiment? • Do you trust that input? • Predictive power? (input ↔ output) • The answer depends on many aspects, such as: • How many transitions do you need? (elastic, momentum transfer, excitation, ionization, ... how much lumping?) • How complex is the target (H, He, Ar, W, H2 , H2 O, radical, DNA, ....)? • Do the calculation yourself or beg/pay somebody to do it for you? • What accuracy can you live with? • Are you interested in numbers or “correct” numbers? • Which numbers do really matter?
  • 5.
    Who is DoingWhat? The list is NOT Complete or Arranged – concentrates on “GEC folks” • “special purpose” elastic/total scattering: Stauffer, McEachran, Garcia, ... • inelastic (excitation and ionization): perturbative • Madison, Stauffer, McEachran, Dasgupta, Kim (NIST), ... • inelastic (excitation and ionization): non-perturbative • Fursa, Bray, Stelbovics, ... (CCC) • Burke, Badnell, Pindzola, Ballance, Griffin, ... (“Belfast” R-matrix) • Zatsarinny, Bartschat (B-spline R-matrix) • Colgan, Pindzola, ... (TDCC) • Molecules: Orel, McCurdy, Rescigno, Tennyson, McKoy, Winstead, Madison, Kim (NIST), ... These names are all I am going to say about molecules ...
  • 6.
    Classification of NumericalApproaches • Special Purpose (elastic/total): OMP (pot. scatt.); Polarized Orbital • Born-type methods • PWBA, DWBA, FOMBT, PWBA2, DWBA2, ... • fast, easy to implement, flexible target description, test physical assumptions • two states at a time, no channel coupling, problems for low energies and optically forbidden transitions, results depend on the choice of potentials, unitarization • (Time-Independent) Close-coupling-type methods • CCn, CCO, CCC, RMn, IERM, RMPS, DARC, BSR, ... • Standard method of treating low-energy scattering; based upon the expansion 1 ΨLSπ (r1 , . . . , rN +1 ) = A E ΦLSπ (r1 , . . . , rN , ˆ) i r F (r) r E,i i • simultaneous results for transitions between all states in the expansion; sophisticated, publicly available codes exist; results are internally consistent → • expansion must be cut off (→ CCC, RMPS, IERM) • usually, a single set of mutually orthogonal one-electron orbitals is used → for all states in the expansion (→ BSR with non-orthogonal orbitals) • Time-dependent and other direct methods • TDCC, ECS • solve the Schr¨dinger equation directly on a grid o • very expensive, only possible for (quasi) one- and two-electron systems.
  • 7.
    Inclusion of TargetContinuum (Ionization) • imaginary absorption potential (OMP) • final continuum state in DWBA • directly on the grid and projection to continuum states (TDCC, ECS) • add square-integrable pseudo-states to the CC expansion (CCC, RMPS, ...) Inclusion of Relativistic Effects • Re-coupling of non-relativistic results (problematic near threshold) • Perturbative (Breit-Pauli) approach; matrix elements calculated between non- relativistic wavefunctions • Dirac-based approach
  • 8.
    Optical Model Potential(Blanco, Garcia) – a "Special Purpose" Approach Numerical Methods: OMP for Atoms • For electron-atom scattering, we solve the partial-wave equation d2 ℓ(ℓ + 1) − − 2Vmp (k, r) uℓ (k, r) = k 2 uℓ (k, r). dr 2 r2 • The local model potential is taken as Vmp (k, r) = Vstatic (r) + Vexchange (k, r) + Vpolarization (r) + iVabsorption (k, r) with • Vexchange (k, r) from Riley and Truhlar (J. Chem. Phys. 63 (1975) 2182); • Vpolarization (r) from Zhang et al. (J. Phys. B 25 (1992) 1893); • Vabsorption (k, r) from Staszewska et al. (Phys. Rev. A 28 (1983) 2740). • Due to the imaginary absorption potential, the OMP method • yields a complex phase shift δℓ = λℓ + iµℓ • allows for the calculation of ICS and DCS for • elastic scattering • inelastic scattering (all states together) It's great if this • the sum (total) of the two processes is all you want!
  • 9.
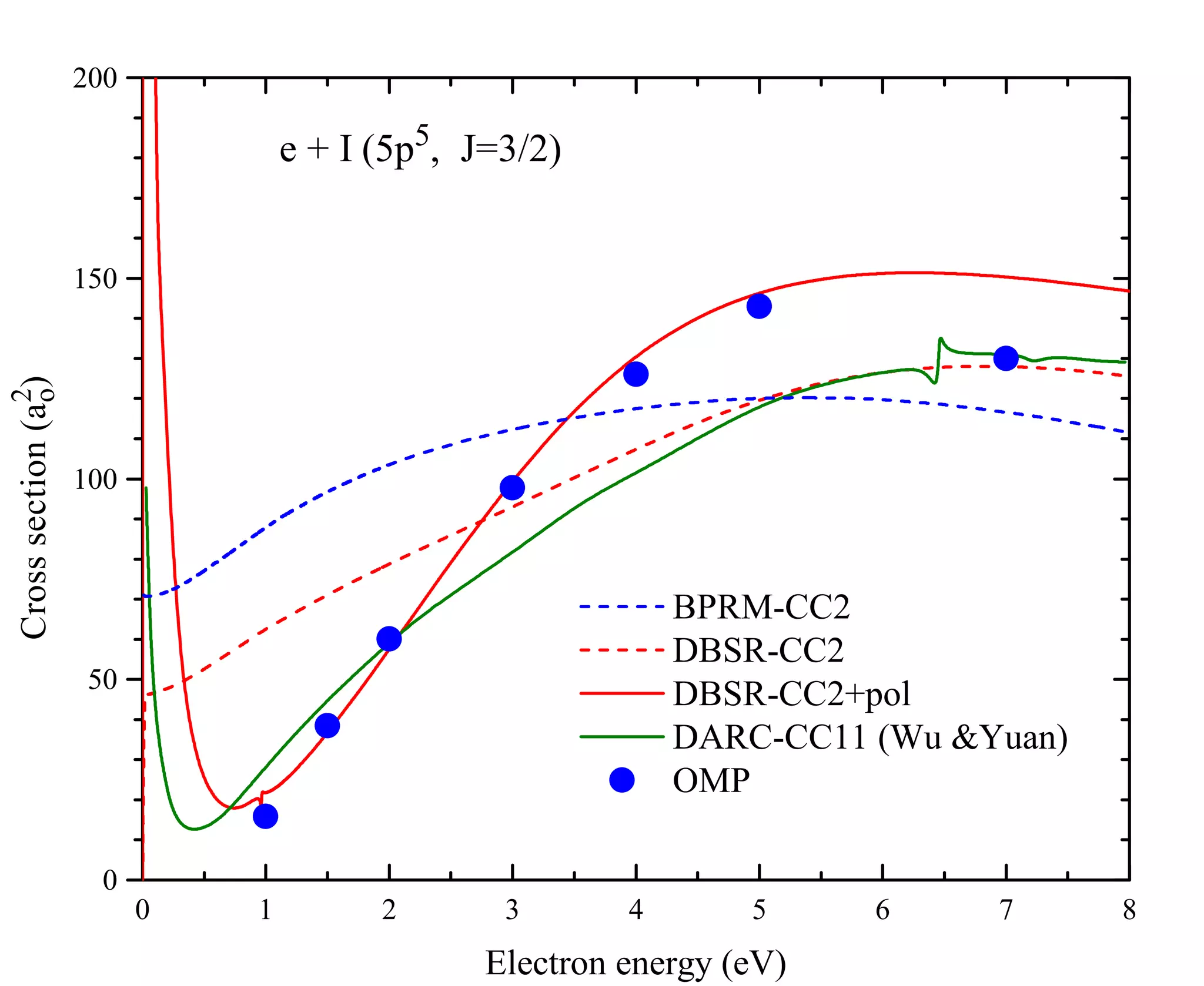
    Comparison with "abinitio" Close-Coupling 2 0 0 e + I (5 p 5 , J = 3 /2 ) PRA 83 (2011) 042702 1 5 0 C r o s s s e c t i o n ( a 2o ) 1 0 0 B P R M -C C 2 D B S R -C C 2 5 0 D B S R -C C 2 + p o l D A R C -C C 1 1 (W u & Y u a n ) O M P 0 0 1 2 3 4 5 6 7 8 E le c tro n e n e rg y (e V )
  • 10.
    Polarized Orbital –an "Ab Initio Special Purpose" Approach
  • 11.
    Extension to accountfor inelastic effects: J. Phys. B 42 (2009) 075202
  • 12.
    BEf-scaling; Plane-Wave Bornwith Experimental Optical Oscillator Strength and Empirical Energy Shift works well, but is limited to optically allowed transitions Similar idea works even better for ionization of complex targets :=)
  • 13.
    Semi-Relativistic DWBA polarization andabsorption potentials may also be included
  • 14.
    Ar 3p54s –>3p54p: DWBA vs. R-matrix unitarization problem! (can be fixed; e.g., Dasgupta's NRL code) Theoretical results depend on wavefunctions and potentials
  • 15.
    Relativistic DWBA; Semi-RelativisticDWBA; Experiment Ar 3p6 –> 3p53d, PRA 81 (2010) 052707 Key Message from this (unreadable) Graph: Sometimes BIG Differences between Theories and HUGE Experimental Error Bars!
  • 16.
    Time-Independent Close-Coupling The (Time-Independent) Close-Coupling Expansion • Standard method of treating low-energy scattering • Based upon an expansion of the total wavefunction as HΨ=EΨ 1 ΨLSπ (r1 , . . . , rN +1 ) = A E ΦLSπ (r1 , . . . , rN , ˆ) i r F (r) r E,i i • Target states Φi diagonalize the N -electron target Hamiltonian according to N Φi | HT | Φi = Ei δi i good start – remember your QM course? • The unknown radial wavefunctions FE,i are determined from the solution of a system of coupled integro- differential equations given by d2 i( i + 1) − + k 2 FE,i (r) = 2 Vij (r) FE,j (r) + 2 Wij FE,j (r) dr2 r2 j j with the direct coupling potentials N Z 1 Vij (r) = − δij + Φi | | Φj r |rk − r| k=1 and the exchange terms N 1 Wij FE,j (r) = Φi | | (A − 1) Φj FE,j |rk − r| k=1 Close-coupling can yield complete data sets, and the results are internally consistent (unitary theory that conserves total flux)!
  • 17.
    Cross Section forElectron-Impact Excitation of He(1s2 Total Cross Sections for Electron-Impact Excitation )of Helium K. Bartschat, J. Phys. B 31 (1998) L469 K. Bartschat, J. Phys. B 31 (1998) L469 n=2 n=3 6 4 2.0 1.0 Trajmar 3 experiment 5 Hall 3S CCC(75) 31 S 3 0.8 Donaldson 1.5 RMPS 4 CCC(75) RMPS 0.6 3 2 1.0 cross section (10−18cm2) 0.4 2 1 0.5 1 0.2 23 S 21 S 0 0 0.0 0.0 4 8 cross section (10−18cm2) 1.0 1.5 33 P 31 P 3 6 0.8 1.0 0.6 2 4 0.4 0.5 1 2 0.2 23 P 21 P 0 0 0.0 0.0 20 25 30 35 40 20 25 30 35 40 0.3 projectile energy (eV) 33 D 31 D 0.3 0.2 0.2 0.1 0.1 0.0 0.0 20 25 30 35 40 20 25 30 35 40 projectile energy (eV) In 1998,1998, Heer recommends 0.5 x (CCC+RMPS) for uncertainty of! 10% In de deHeer recommends (CCC+RMPS)/2 for uncertainty of 10% or better — independentof experiment) (independent of experiment!
  • 18.
    Metastable Excitation Functionin Kr Oops — maybe we need to try a bit harder?
  • 19.
    We have agreat new program :):):) General B-Spline R-Matrix (Close-Coupling) Programs (D)BSR • Key Ideas: • Use B-splines as universal basis set to represent the continuum orbitals • Allow non-orthogonal or- bital sets for bound and continuum radial functions not just the numerical basis! O. Zatsarinny, CPC 174 (2006) 273 • Consequences: • Much improved target description possible with small CI expansions • Consistent description of the N -electron target and (N+1)-electron collision problems • No “Buttle correction” since B-spline basis is effectively complete • Complications: • Setting up the Hamiltonian matrix can be very complicated and lengthy record:150,000 • Generalized eigenvalue problem needs to be solved to do 50-100 times; • Matrix size typically 50,000 and higher due to size of B-spline basis 10,000 100 - 200 kSU • Rescue: Excellent numerical properties of B-splines; use of (SCA)LAPACK et al. We also have to solve the problem outside the box for each energy (from 100's to 1,000,000's).
  • 20.
    List of earlycalculations with the BSR code (rapidly growing) List of calculations with the BSR code (rapidly growing) hv + Li Zatsarinny O and Froese Fischer C J. Phys. B 33 313 (2000) hv + He- Zatsarinny O, Gorczyca T W and Froese Fischer C J. Phys. B. 35 4161 (2002) hv + C- Gibson N D et al. Phys. Rev. A 67, 030703 (2003) at least 60 more hv + B- Zatsarinny O and Gorczyca T W Abstracts of XXII ICPEAC (2003) hv + O- Zatsarinny O and Bartschat K Phys. Rev. A 73 022714 (2006) since 2006 hv + Ca- Zatsarinny O et al. Phys. Rev. A 74 052708 (2006) e + He Stepanovic et al. J. Phys. B 39 1547 (2006) Lange M et al. J. Phys. B 39 4179 (2006) e+C Zatsarinny O, Bartschat K, Bandurina L and Gedeon V Phys. Rev. A 71 042702 (2005) e+O Zatsarinny O and Tayal S S J. Phys. B 34 1299 (2001) Zatsarinny O and Tayal S S J. Phys. B 35 241 (2002) Zatsarinny O and Tayal S S As. J. S. S. 148 575 (2003) e + Ne Zatsarinny O and Bartschat K J. Phys. B 37 2173 (2004) Bömmels J et al. Phys. Rev. A 71, 012704 (2005) Allan M et al. J. Phys. B 39 L139 (2006) e + Mg Bartschat K, Zatsarinny O, Bray I, Fursa D V and Stelbovics A T J. Phys. B 37 2617 (2004) e+S Zatsarinny O and Tayal S S J. Phys. B 34 3383 (2001) Zatsarinny O and Tayal S S J. Phys. B 35 2493 (2002) e + Ar Zatsarinny O and Bartschat K J. Phys. B 37 4693 (2004) e + K (inner-shell) Borovik A A et al. Phys. Rev. A, 73 062701 (2006) e + Zn Zatsarinny O and Bartschat K Phys. Rev. A 71 022716 (2005) e + Fe+ Zatsarinny O and Bartschat K Phys. Rev. A 72 020702(R) (2005) e + Kr Zatsarinny O and Bartschat K J. Phys. B 40 F43 (2007) e + Xe Allan M, Zatsarinny O and Bartschat K Phys. Rev. A 030701(R) (2006) Rydberg series in C Zatsarinny O and Froese Fischer C J. Phys. B 35 4669 (2002) osc. strengths in Ar Zatsarinny O and Bartschat K J. Phys. B: At. Mol. Opt. Phys. 39 2145 (2006) osc. strengths in S Zatsarinny O and Bartschat K J. Phys. B: At. Mol. Opt. Phys. 39 2861 (2006) osc. strengths in Xe Dasgupta A et al. Phys. Rev. A 74 012509 (2006)
  • 21.
    [One of] ourapparatus ... recently moved to Lonestar
  • 22.
    Structure Calculations withthe BSR Code Phys. Scr. T134 (2009) 014009
  • 23.
    Energy Levels inHeavy Noble Gases This is VERY GOOD for a subsequent collision calculation!
  • 24.
  • 25.
    Summary of structurework Conclusions • The non-orthogonal orbital technique allows us account for term-dependence and relaxation effects practically to full extent. At the same time, this reduce the size of the configuration expansions, because we use specific non-orthogonal sets of correlation orbitals for different kinds of correlation effects. • B-spline multi-channel models allow us to treat entire Rydberg series and can be used for accurate calculations of oscillator strengths for states with intermediate and high n-values. For such states, it is difficult to apply standard CI or MCHF methods. • The accuracy obtained for the low-lying states is close to that reached in large-scale MCHF calculations. • Good agreement with experiment was obtained for the transitions from the ground states and also for transitions between excited states. • Calculations performed in this work: s-, p-, d-, and f-levels up to n = 12. Ne – 299 states – 11300 transitions Ar – 359 states – 19000 transitions Kr – 212 states – 6450 transitions Xe – 125 states – 2550 transitions • All calculations are fully ab initio. • The computer code BSR used in the present calculations and the results for Ar were recently published: BSR: O. Zatsarinny, Comp. Phys. Commun. 174 (2006) 273 Ar: O. Zatsarinny and K. Bartschat, J. Phys. B 39 (2006) 2145
  • 26.
    Move on toCollisions ... Introduction Metastable yield in e-Ne collisions • Using our semi-relativistic B-spline R-matrix (BSR) method [Zatsarinny and Bartschat, J. Phys. B 37, 2173 (2004)], we achieved unprecendented agreement with experiment for angle-integrated cross sections in e−Ne collisions.
  • 27.
    Resonances in theexcitation of the Ne (2p53p) states Allan, Franz, Hotop, Zatsarinny, Bartschat (2009), J. Phys. B 42, 044009 f2 1 3 expt. S0 f1 BSR31 n g1 g2 q = 135° p 1 p 2 n2 Cross Section (pm2/sr) 3p2 1 } d1 it's looking 0 e d2 4p2 good :):):) 3 } 20 S1 g1 g2 3p 4s 4s 4p 4s2 q = 180° p } p } 1 S0 n1 n2 f1 f2 10 4p 3d 4s 0 3p 18.5 19.0 19.5 20.0 20.5 Electron Energy (eV) Expanded view of the resonant features in selected cross sections for the excitation of the 3p states. Experiment is shown by the more ragged red line, theory by the smooth blue line. The present experimental energies, labels (using the notation of Buckman et al. (1983), and configurations of the resonances are given above the spectra. Threshold energies are indicated below the lower spectrum.
  • 28.
    Metastable Excitation Functionin Kr Do you remember this one?
  • 29.
    Metastable Excitation Functionin Kr JPB 43 (2010) 074031 What a difference :):):) –> let's go to more detail!
  • 30.
    excitation at fixedangle 1 5 0 e -K r θ= 3 0 o 5 s ’[ 1 / 2 ] 1 1 0 0 5 0 M. Allan, O. Zatsarinny, and K.B., 0 J. Phys. B 44 (2011) 065201 (selected as a JPB "highlight") 5 s ’[ 1 / 2 ] 0 1 5 1 0 C ro s s S e c tio n (p m 2 /s r) 5 0 Allan expt. 2 0 0 5 s [3 /2 ]1 DBSR calculation 1 0 0 P h illip s (1 9 8 2 ) A lla n (2 0 1 0 ) D B S R 6 9 0 5 s [3 /2 ]2 1 0 0 5 0 0 1 0 1 1 1 2 1 3 1 4 1 5 E le c tro n E n e rg y (e V )
  • 31.
    excitation at fixedenergy 15 eV 5s[3/2]2 5s'[1/2]0 0 .0 4 0 .0 0 6 2/s r) o 0 .0 0 4 D C S (a 0 .0 2 0 .0 0 2 0 .0 0 0 .0 0 0 0 3 0 6 0 9 0 1 2 0 1 5 0 1 8 0 0 3 0 6 0 9 0 1 2 0 1 5 0 1 8 0 5s[3/2]1 now confirmed 5s'[1/2]1 T ra jm a r e t a l. (1 9 8 1 ) B S R 4 9 G u o e t a l. (2 0 0 0 ) × 0 .3 7 /s r) -1 1 0 -1 D B S R 6 9 1 0 A lla n (2 0 1 0 ) 2 o D C S (a -2 1 0 -2 1 0 0 3 0 6 0 9 0 1 2 0 1 5 0 1 8 0 0 3 0 6 0 9 0 1 2 0 1 5 0 1 8 0 Scattering Angle (deg) Scattering Angle (deg)
  • 32.
    A Classic GECApplication !!! Forward Model Let's use these data in a real plasma model! (Dirk Dodt's PhD Thesis) EEDF emission coefficient Einstein's coefficients line of sight collisional - integration radiative model (radiation transport) 150 cross sections 350 Einstein population densities coefficients radiance line profile intensity calibration (aparatus width) spectrometer pixels spectral radiance Dirk Dodt for the 5th Workshop on Data Validation 5
  • 33.
    Collisional Radiative Model ● Balance equation for each excited state density ● Elementary processes: – Electron impact (de)excitation – Radiative transitions – Atom collisions – Wall losses ● Linear equation for Dirk Dodt for the 5th Workshop on Data Validation 6
  • 34.
    Results: Treatment ofVarious Processes in the Model
  • 35.
    Although we areare [almost] perfect, let's allow for some uncertainty ... Uncertainty Estimate of Oscillator Strengths ∆ Aki / Aki 0.24 0.22 0.2 0.18 0.16 0.14 0.12 0.1 0.08 0.06 0.04 0.02 0 4 10 105 106 107 108 Aki [s-1]
  • 36.
    Uncertainty Estimate ofCross Sections hard to believe, but we will see that this was (FAR) too optimistic !
  • 37.
    J. Phys. D41 (2008) 205207 Modeled Spectrum With “Reasonable Uncertainty in Atomic Data” W ] residual/σ 8 sr m 7 6 10 4 2 m2 6 0 10 Lλ [ -2 5 -4 10 -6 -8 560 580 600 620 640 λ [nm] There are measured points behind the red line! W ] residual/σ 8 sr m 6 107 4 2 m2 6 0 10 Lλ [ -2 5 -4 10 -6 -8 680 700 720 740 760 λ [nm] W ] residual/σ 8 m sr m 7 6 10 4 2 2 6 0 10 Lλ [ -2 5 -4 10 -6 -8 800 820 840 860 880 λ [nm]
  • 38.
    This is thereal check! Results: Are the Atomic Data Consistent? 3s3->3d8 3s4->3d1 3s3->3d9 3s4->3d2 3s3->3d10 3s4->3d3 3s3->3d11 3s4->3d4 3s3->3d12 3s4->3d5 3s3->4s1 3s4->3d6 3s3->4s2 3s3->4s3 3s3->4s4 3s4->3d7 3s4->3d8 3s4->3d9 looks pretty good; 3s1->3p1 3s4->3d10 3s1->3p2 3s1->3p3 3s1->3p4 3s4->3d11 3s4->3d12 3s4->4s1 correction factors 3s1->3p5 3s1->3p6 3s1->3p7 3s4->4s2 3s4->4s3 3s4->4s4 mostly consistent 2p1->3d1 3s1->3p8 3s1->3p9 3s1->3p10 2p1->3d2 2p1->3d3 2p1->3d4 with 1.0 3s2->3p1 2p1->3d5 3s2->3p2 2p1->3d6 3s2->3p3 2p1->3d7 3s2->3p4 2p1->3d8 3s2->3p5 2p1->3d9 3s2->3p6 2p1->3d10 3s2->3p7 2p1->3d11 3s2->3p8 2p1->3d12 3s2->3p9 2p1->4s1 3s2->3p10 2p1->4s2 3s3->3p1 2p1->4s3 3s3->3p2 2p1->4s4 3s3->3p3 3s1->3d1 3s3->3p4 3s1->3d2 3s3->3p5 3s1->3d3 3s3->3p6 3s1->3d4 3s3->3p7 3s1->3d5 3s3->3p8 3s1->3d6 3s3->3p9 3s1->3d7 3s3->3p10 3s1->3d8 3s2->3s1 3s1->3d9 3s3->3s1 3s1->3d10 3s3->3s2 3s1->3d11 3s4->3s1 3s1->3d12 3s4->3s2 3s1->4s1 3s4->3s3 3s1->4s2 3s4->3p1 3s1->4s3 3s4->3p2 3s1->4s4 3s4->3p3 3s2->3d1 3s4->3p4 3s2->3d2 3s4->3p5 3s2->3d3 3s4->3p6 3s2->3d4 3s4->3p7 3s2->3d5 3s2->3d6 3s4->3p8 3s4->3p9 3s2->3d7 3s2->3d8 3s4->3p10 3s2->3d9 2p1->3p1 3s2->3d10 2p1->3p2 3s2->3d11 2p1->3p3 3s2->3d12 2p1->3p4 3s2->4s1 2p1->3p5 3s2->4s2 2p1->3p6 3s2->4s3 2p1->3p7 3s2->4s4 2p1->3p8 3s3->3d1 2p1->3p9 3s3->3d2 2p1->3p10 3s3->3d3 2p1->3s1 3s3->3d4 2p1->3s2 3s3->3d5 2p1->3s3 3s3->3d6 2p1->3s4 3s3->3d7 0 0.5 1 1.5 2 2.5 0 0.5 1 1.5 2 2.5
  • 39.
    New Journal ofPhysics 12 (2010) 073018 Let’s Zoom In ... 3s4->3p2 3s4->3d1 3s4->3p3 3s4->3d2 3s4->3d3 3s4->3p4 3s4->3d4 3s4->3p5 3s4->3d5 3s4->3p6 3s4->3d6 3s4->3d7 3s4->3p7 3s4->3d8 3s4->3p8 3s4->3d9 3s4->3p9 3s4->3d10 3s4->3p10 3s4->3d11 3s4->3d12 2p1->3p1 2p1->3d1 2p1->3p2 2p1->3d2 2p1->3p3 2p1->3d3 2p1->3p4 2p1->3d4 2p1->3d5 2p1->3p5 2p1->3d6 2p1->3p6 2p1->3d7 2p1->3p7 2p1->3d8 2p1->3d9 2p1->3p8 2p1->3d10 2p1->3p9 2p1->3d11 2p1->3p10 2p1->3d12 0 0.5 1 1.5 2 2.5 0 0.5 1 1.5 2 2.5 OOPS ?!?!?!
  • 40.
    Results: Significant CorrectionFactors for a Few Transitions Explanation: The results for these transitions are very sensitive to the inclusion of continuum coupling! (already suggested in 2004 by Ballance and Griffin) So let's work on that ...
  • 41.
    A very recentdevelopment [PRL 107 (2011) 023203] Fully Nonperturbative Treatment of Ionization and Ionization with Excitation of Noble Gases Overview: I. Motivation: Is Theory Really, Really, Really BAD? II. Theoretical Formulations • Perturbative Methods • Plane-Wave and Distorted-Wave Treatments of the Projectile • Second-Order Effects • Ejected-Electron−Residual-Ion Interaction: The Hybrid Approach You'll seeNon-Perturbative Methods • Fully in a minute how important this is for the • Time-Dependent Close-Coupling (TDCC), well! Complex Scaling (ECS) EXCITATION problem as Exterior • Convergent Close-Coupling (CCC) • Convergent B-Spline R-matrix with Pseudostates (BSRMPS) III. Example Results • Ionization of He(1s2 ) → He+ (1s), He+ (n = 2) n • Ionization of Ne(2s2 2p6 ) → Ne+ (2s2 2p5 ), (2s2p6 ) • Ionization of Ar(3s2 3p6 ) → Ar+ (3s2 3p5 ), (3s3p6 ) IV. Conclusions and Outlook
  • 42.
    Ionization in theClose-Coupling Formulation The “Straightforward” Close-Coupling Formalism • Recall: We are interested in the ionization process e0 (k0 , µ0 ) + A(L0 , M0 ; S0 , MS0 ) → e1 (k1 , µ1 ) + e2 (k2 , µ2 ) + A+ (Lf , Mf ; Sf , MSf ) • We need the ionization amplitude f (L0 , M0 , S0 ; k0 → Lf , Mf , Sf ; k1 , k2 ) • We employ the B-spline R-matrix method of Zatsarinny (CPC 174 (2006) 273) with a large number of pseudo-states: • These pseudo-states simulate the effect of the continuum. • The scattering amplitudes for excitation of these pseudo-states are used to form the ionization amplitude: This is the essential idea – we'll still have to work on the details. Ψk2 |Φ(L S ) f (L , M , S ; k → L , M , S ; k ). − f (L , M , S ; k → L , M , S ; k , k ) = 0 0 0 0 f f f 1 2 f p p 0 0 0 0 p p p 1p p • Both the true continuum state |Ψf k2 − (with the appropriate multi-channel asymptotic boundary condition) and the pseudo-states |Φ(Lp Sp ) are consistently Total (ionization) cross sections are much easier to get – just calculated with the same close-coupling expansion. add up the results for all the (positive-energy) pseudo-states. • In contrast to single-channel problems, where the T -matrix elements can be interpolated, direct projection is essential to extract the information in multi- channel problems. This is the essential idea – just do it! • For total ionization, we still add up all the excitation cross sections for the pseudo-states.
  • 43.
    Total Cross Sectionin e-H Ionization Total Cross Section and Spin Asymmetry in e−H Ionization K. Bartschat (from I. Bray, J. Phys. 1996) (1996) L577 and Bartschat and Bray B 29 4 5 9 T R Q PI & H % 1 G 0 # # # H 2 G S 4 69 79 4 E   ¥ D F   § B   ©¨ 89 4 B C ¦ 4 4 9 8 7 3 4 4 6 4 5 4 4 4 ! 4 6 9 §¨ ¥ ¤ ¤ ¡ ¦ © 4 @ 9 This is the proof-of-principle case, £   §¨ ¢ ¥ ¤ ¡ ¦ © (2 10 ) ) (# ' so let's build on that. 79 4 4 A 9 % $ # 89 4 39 4 4 4 9 8 7 3 4 4 6 4 5 4 4 4 !
  • 44.
    Phys. Rev. Lett.107 (2011) 023203 Total and Single-Differential Cross Section 0.5 e - He E=100 eV correlation drops cm ) 2 e - He 3 the theoretical ICS -16 0.4 Müller-Fiedler et al (1986) Ionization Cross Section (10 cm /eV) BSR227 - interpolation BSR227 - projection 2 0.3 2 -18 SDCS (10 definitely looks o.k. 0.2 Montague et al. (1984) Rejoub et al. (2002) 1 Sorokin et al. (2004) 0.1 BSR-525 That's a lot of states! 2 BSR with 1s correlation 2 CCC with 1s correlation 0 0.0 30 100 300 0 10 20 30 40 50 60 70 Electron Energy (eV) Secondary Energy (eV) • Including correlation in the ground state reduces the theoretical result. • Interpolation yields smoother result, but direct projection is acceptable. • DIRECT PROJECTION is NECESSARY for MULTI-CHANNEL cases! So far, so good ... Let's go for more detail!
  • 45.
    BSRMPS works great:PRL 107 (2011) 023203 Triple-Differential Cross Section Ratio experiment: Bellm, Lower, Weigold; measured directly 150 150 150 o o o = 24 = 36 = 48 1 1 1 100 100 100 50 expt. 50 E =44 eV 50 1 BSR E =44 eV 2 n=1/n=2 Cross Section Ratio DWB2-RMPS 0 0 0 20 40 60 80 100 120 20 40 60 80 100 120 20 40 60 80 100 120 150 150 o o o = 28 = 40 = 52 1 100 1 1 100 100 50 50 50 0DWB+RM hybrid method 0 not appropriate 0 20 40 symmetric kinematics40 all! 80 100 120 for 60 80 100 120 150 20 at 60 20 40 60 80 100 120 150 o o 100 o = 32 = 44 = 56 1 1 1 100 100 50 50 50 0 0 0 20 40 60 80 100 120 20 40 60 80 100 120 20 40 60 80 100 120 (deg) 2
  • 46.
    What about morecomplex targets? Ren et al., Phys. Rev. A 83 (2011) 052714 ... the magnitude [of the TDCS] appears to be the most significant problem. ... the physics behind the electron-impact ionization of many- electron systems needs to be treated more accurately by theory.
  • 47.
    Electron Impact Ionizationof Ar(3p) with E0 = 71 eV BSR at least gets the shape. Other methods are way off! Magnitude still problematic! There may be an experimental issue! (– PRA 85 (2012) 032708)
  • 48.
    Back to aproblem at the heart of the GEC community: e-Ne collisions Electron Impact Ionization of Neon (from ground state) 10 - - + e + Ne - 2e + Ne cm ) 8 2 -17 Cross section (10 6 Absolute experiments are tricky! 4 Rejoub et al. (2002) Krishnakumar Strivastava (1988) 2 Pindzola et al. (2000)TDCC; target description? BSR-679 That's again a lot of states! 0 0 20 40 60 80 100 120 140 160 180 200 Electron energy (eV)
  • 49.
    Electron Impact Ionizationof Neon (from metastable states) 80 - 5 3 - + 5 e + Ne*(2p 3s P) - 2e + Ne (2p ) 70 cm ) 2 60 -17 Johnston et al. (1996) 50 Cross section (10 RMPS-243, Ballance et al. (2004) BSR-679 40 30 20 10 0 0 20 40 60 80 100 120 140 160 Electron energy (eV)
  • 50.
    Total Cross Sectionfor Electron Impact Excitation of Neon RMPS calculations by Ballance and Griffin (2004) 3.0 5 3 12 5 1 (2p 3s) P (2p 3s) P 2.0 8 The Excitation Mystery! 1.0 4 0.0 0 16 24 32 40 16 24 32 40 cm ) 2 5 3 1.6 5 3 0.6 (2p 3p) S (2p 3p) D -18 Cross section (10 1.2 0.4 There is a BIG drop in the 0.8 cross sections due to the 0.2 coupling to pseudo-states! 0.4 0.0 0.0 16 24 32 40 16 24 32 40 0.16 2.0 5 3 5 1 (2p 3d) P (2p 3d) P 1.6 0.12 1.2 Here we (under)estimated 0.08 an error of only 60% !?!?!? RM-61 0.8 RMPS-243 0.04 BSR-679 0.4 0.00 0.0 16 24 32 40 16 24 32 40 Electron energy (eV) Electron energy (eV)
  • 51.
    Total Cross Sectionfor Electron Impact Excitation of Neon Effect of Channel Coupling to Discrete and Continuum Spectrum 2.0 0.4 cm ) 2 3s[3/2] 3s'[1/2] 2 0 1.5 0.3 -18 Khakoo et al. BSR-457 Cross Section (10 Register et al. BSR-31 Phillips et al. 1.0 BSR-5 0.2 0.5 0.1 0.0 0.0 20 40 60 80 100 20 40 60 80 100 2.0 15 cm ) 2 3s[3/2] 3s'[1/2] 1 1 12 1.5 -18 Cross Section (10 9 1.0 6 0.5 Kato 3 Suzuki et al. 0.0 0 20 50 100 300 20 50 100 300 Electron Energy (eV) BIG drop also in fine-structure-resolved Electron Energy (eV) results, especially at intermediate energies.
  • 52.
    Total Cross Sectionfor Electron Impact Excitation of Neon Effect of Channel Coupling to Discrete and Continuum Spectrum cm ) 2 80 3p[1/2] 50 3p'[1/2] 1 1 40 -20 60 BSR-31 Cross Section (10 BSR-457 RMPS-235 30 40 Chilton et al. 20 20 10 0 0 Again, a BIG drop! 120 cm ) 2 3p[5/2] 2 300 3p'[1/2] 0 -20 Cross Section (10 80 200 40 100 0 20 40 60 80 100 20 40 60 80 100 Electron Energy (eV) Electron Energy (eV)
  • 53.
    Total Cross Sectionfor Electron Impact Excitation of Neon Effect of Channel Coupling to Discrete and Continuum Spectrum cm ) 2 3d[1/2] 3d[3/2] 3 0 12 2 -20 Cross Sction (10 BSR-31 2 BSR-46 8 BSR-457 RMPS-235 1 4 0 0 20 40 60 80 100 20 40 60 80 100 The 2p53d states are really affected - factors of 5-10!!! cm ) 2 30 3d[1/2] 80 3d[3/2] 1 1 -20 60 Cross Sction (10 20 40 10 20 0 0 20 40 100 200 20 40 100 200 Electron Energy (eV) Electron Energy (eV)
  • 54.
    Total Cross Sectionfor Electron Impact Excitation of Metastable Neon Effect of Cascades 3 cm ) 2 3p[3/2] 3p'[3/2] 2 10 2 -16 Cross Section (10 2 BSR-457 + cascade Boffard et al. 5 1 0 0 0 50 100 150 200 250 300 0 50 100 150 200 250 300 25 cm ) 2 6 3p[5/2] 3p[5/2] 3 2 20 -16 Cross Section (10 4 15 10 2 5 0 0 0 50 100 150 200 250 300 0 50 100 150 200 250 300 Electron Energy (eV) Electron Energy (eV)
  • 55.
    Total Cross Sectionfor e-Ne Collisions 5 e - + Ne BSR-679 can do this as a SINGLE theory for energies between 0.01 eV and 200 eV! cm ) 2 4 -16 Wagenaar de Heer (1980) Total Cross Section (10 Gulley et al. (1994) Szmitkowski et al. (1996) 3 Baek Grosswendt (2003) BSR-679, total elastic + excitation 2 1 0 0.01 0.1 1 10 100 1000 Electron Energy (eV)
  • 56.
    Differential Cross Sectionfor Electron Impact Excitation of Neon at 30 eV Experiment: Khakoo group 0.6 cm /sr) 30 eV 3s[3/2] 3s'[1/2] 3.0 2 0 2 0.4 -19 2.0 DCS (10 0.2 1.0 0.0 0.0 0 20 40 60 80 100 120 140 0 20 40 60 80 100 120 140 1 2 10 cm /sr) 10 3s'[1/2] 3s[3/2] 1 1 2 Khakoo et al. x 0.55 Here is the effect on angle- BSR-457 differential cross sections. -19 1 0 10 10 BSR-31 DCS (10 renormalize experimental DCS? 0 -1 10 10 0 20 40 60 80 100 120 140 0 20 40 60 80 100 120 140 Scattering Angle (deg) Scattering Angle (deg)
  • 57.
    Differential Cross Sectionfor Electron Impact Excitation of Neon at 40 eV Experiment: Khakoo group cm /sr) 3.0 0.6 40 eV 3s[3/2] 3s'[1/2] 2 0 2 2.0 0.4 -19 DCS (10 1.0 0.2 0.0 0.0 0 20 40 60 80 100 120 140 0 20 40 60 80 100 120 140 cm /sr) 3s[3/2] 3s'[1/2] 1 1 1 2 10 10 2 Khakoo et al. x 0.7 -19 BSR-457 BSR-31 DCS (10 0 1 10 10 0 -1 10 10 0 20 40 60 80 100 120 140 0 20 40 60 80 100 120 140 Scattering Angle (deg) Scattering Angle (deg)
  • 58.
    DCS Ratios forElectron Impact Excitation of Neon at 30 and 40 eV Experiment: Khakoo group 10 10 r 30 eV 40 eV 8 8 6 6 4 4 BSR-31 2 2 3 3 BSR-457 P / P 2 0 Khakoo et al. 0 0 0 20 40 60 80 100 120 140 0 20 40 60 80 100 120 140 0.8 0.5 3 1 r' P / P 0.4 1 1 0.6 0.3 0.4 0.2 0.2 0.1 0.0 0.0 0 20 40 60 80 100 120 140 0 20 40 60 80 100 120 140 2.0 This is our problem – 3 P 2 / 3 P 1 oscillator strength for r'' 1.5 1.5 3P is a bit too large in 1 1.0 1.0 this model! 0.5 0.5 0.0 0.0 0 20 40 60 80 100 120 140 0 20 40 60 80 100 120 140 Scattering Angle (deg) Scattering Angle (deg)
  • 59.
    DCS Ratios forElectron Impact Excitation of Neon at 50 and 100 eV Experiment: Khakoo group 10 10 r 50 eV 100 eV 8 8 6 6 (5 x 0) / (1 x 0) is not 4 4 easy to measure! 2 2 3 3 P / P 2 0 0 0 0 20 40 60 80 100 120 140 0 20 40 60 80 100 120 140 3 1 0.3 0.6 P / P 1 1 r' 0.2 0.4 0.1 BSR-457 0.2 Khakoo et al. 0.0 0.0 0 20 40 60 80 100 120 140 0 20 40 60 80 100 120 140 3 3 P / P 1.5 2 1 1.5 r'' 1.0 1.0 0.5 0.5 0.0 0.0 0 20 40 60 80 100 120 140 0 20 40 60 80 100 120 140 Scattering Angle (deg) Scattering Angle (deg)
  • 60.
    Conclusions and Outlook •Much progress has been made in calculating the structure of and electron-induced collision processes in noble gases — and other complex targets (C, O, F, ..., Cu, Zn, Cs, Au, Hg, Pb). • Time-independent close-coupling (R-matrix) is the way to go for complete datasets. • Other sophisticated methods (CCC, TDCC, ECS, ...) are still restricted to simple targets. These methods are have essentially solved the (quasi-)one- and (quasi-)two-electron problems for excitation and ionization. • Special-Purpose and Perturbative (Born) methods are still being used, especially for complex targets! • For complex, open-shell targets, the structure problem should not be ignored ! • For such complex targets, the BSR method with non-orthonal orbitals has achieved a breakthrough in the description of near-threshold phenomena. The major advantages are: • highly accurate target description • consistent description of the N -electron target and (N+1)-electron collision problems • ability to give “complete” datasets for atomic structure and electron collisions • The most recent extension to an RMPS version allows for the treatment of ionization processes.
  • 61.
    Conclusions and Outlook(continued) • After setting up a detailed model of a Ne discharge with a large number of observed lines, we validated most atomic BSR input data (oscillator strengths and collision cross sections) – and we got hints about areas to improve! • The validation method provides a valuable alternative for data assessment and detailed plasma diagnostics — especially when no absolute cross sections from beam experiments are available. • This is a nice example of a very fruitful and mutually beneficial collaboration between data producers and data users. • We can provide atomic data for (almost) any system. Practical limitations are: • expertise of the operator/developer • continued code development (parallelization, new architectures) • computational resources (Many Thanks to Teragrid/XSEDE!) • We are currently preparing fully relativistic R-matrix with pseudo-states calculations on massively parallel platforms (→ Xe, W, ...). → • We don’t have a company (yet). If you really want/need specific data, you can • ask us really nicely and hope for the best (preferred by most colleagues) • give us $$$ and increase your priority on the list (preferred by us) THANK YOU !