Presented by
VIJAY S
RA1932008010033
Subject: Advanced Organic Chemistry
Subject code : 18PCY303
TOPIC : DAKIN REACTION
DEPARTMENT OF CHEMISTRY
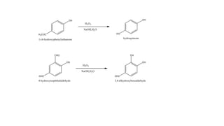
• The Dakin reaction is an organic redox reaction in which an ortho- or para-
hydroxylated phenyl aldehyde(2-hydroxybenzaldehyde or 4-hydroxybenzaldehyde)
or ketone reacts with hydrogen peroxide(H2O2) in base to form a benzenediol and
a carboxylate.
• Overall, the carbonyl group is oxidized, and the hydrogen peroxide is
reduced.
• The mechanism undergoes via aryl migration(rearrangement) , An electron-
releasing group is necessary for efficient migration of aryl group.
• The Dakin reaction, which is closely related to the Baeyer-Villiger oxidation, and
which are named after Henry Drysdale Dakin.
DAKIN REACTION
Reagents
Alkaline H2O2,
Acidic H2O2,
Peroxybenzoic
acid(C7H6O3),
Peroxyacetic
acid(C2H4O3),
Sodium percarbonate,
30% H2O2 with aryl
selenium,
Urea-H2O2 adduct.Mechanism:
Step:1
Dakin reaction
• Nucleophilic addition of a hydroperoxide anion to
the carbonyl carbon, forming a tetrahedral intermediate
2.Nucleophilic addition
3. 1,2 Shift
• The intermediate collapses,causing
[1,2] aryl migration, hydroxide elimination, and formation of a
phenyl ester
• The phenyl ester is subsequently hydrolyzed: nucleophilic
addition of hydroxide from solution to the ester carbonyl carbon
forms a second tetrahedral intermediate
4.Hydrolysis
5.Phenoxide Ion Formation
• which collapses, eliminating a carboxylic acid and
forming a phenoxide
6.Abstration of proton
Finally, the phenoxide extracts the acidic hydrogen from the
carboxylic acid, yielding the collected products
• The Dakin oxidation has two rate-limiting steps: nucleophilic addition of
hydroperoxide to the carbonyl carbon and [1,2]-aryl migration.
• Therefore, the overall rate of oxidation is dependent on the
nucleophilicity of hydroperoxide, the electrophilicity of the carbonyl
carbon, and the speed of [1,2]-aryl migration.
• The alkyl substituents on the carbonyl carbon, the relative positions of
the hydroxyl and carbonyl groups on the aryl ring, the presence of
other functional groups on the ring, and the reaction mixture pH are
four factors that affect these rate-limiting steps.
Factors affecting reaction kinetics
• In general, phenyl aldehydes are more reactive than
phenyl ketones because the ketone carbonyl carbon is
less electrophilic than the aldehyde carbonyl carbon.
Alkyl substituents
Relative positions of hydroxyl and carbonyl groups
• O-hydroxy phenyl aldehydes and ketones oxidize faster
than p-hydroxy phenyl aldehydes and ketones in weakly
basic conditions.
• In o-hydroxy compounds, when the hydroxyl group
is protonated, an intramolecular hydrogen bond can
form between the hydroxyl hydrogen and the
carbonyl oxygen, stabilizing a resonance
structure with positive charge on the carbonyl
carbon, thus increasing the carbonyl carbon’s
electrophilicity .
• Lacking this stabilization, the carbonyl carbon of
p-hydroxy compounds is less electrophilic.
• Therefore, o-hydroxy compounds are oxidized
faster than p-hydroxy compounds when the
hydroxyl group is protonated.
Other functional groups on the aryl ring
• Substitution of phenyl hydrogens with electron-donating
groups ortho or para to the carbonyl group increases
electron density at the migrating carbon, promotes [1,2]-aryl
migration, and accelerates oxidation.
• Substitution with electron-donating groups meta to the
carbonyl group does not change electron density at the
migrating carbon; because unsubstituted phenyl group
migratory aptitude is low, hydrogen migration dominates.
• Substitution with electron-withdrawing
groups ortho or para to the carbonyl decreases electron
density at the migrating carbon, inhibits [1,2]-aryl migration,
and favors hydrogen migration
APPLICATION
Thank You

Dakin rearrangemnt

  • 1.
    Presented by VIJAY S RA1932008010033 Subject:Advanced Organic Chemistry Subject code : 18PCY303 TOPIC : DAKIN REACTION DEPARTMENT OF CHEMISTRY
  • 2.
    • The Dakinreaction is an organic redox reaction in which an ortho- or para- hydroxylated phenyl aldehyde(2-hydroxybenzaldehyde or 4-hydroxybenzaldehyde) or ketone reacts with hydrogen peroxide(H2O2) in base to form a benzenediol and a carboxylate. • Overall, the carbonyl group is oxidized, and the hydrogen peroxide is reduced. • The mechanism undergoes via aryl migration(rearrangement) , An electron- releasing group is necessary for efficient migration of aryl group. • The Dakin reaction, which is closely related to the Baeyer-Villiger oxidation, and which are named after Henry Drysdale Dakin. DAKIN REACTION
  • 3.
    Reagents Alkaline H2O2, Acidic H2O2, Peroxybenzoic acid(C7H6O3), Peroxyacetic acid(C2H4O3), Sodiumpercarbonate, 30% H2O2 with aryl selenium, Urea-H2O2 adduct.Mechanism: Step:1 Dakin reaction
  • 4.
    • Nucleophilic additionof a hydroperoxide anion to the carbonyl carbon, forming a tetrahedral intermediate 2.Nucleophilic addition
  • 5.
    3. 1,2 Shift •The intermediate collapses,causing [1,2] aryl migration, hydroxide elimination, and formation of a phenyl ester
  • 6.
    • The phenylester is subsequently hydrolyzed: nucleophilic addition of hydroxide from solution to the ester carbonyl carbon forms a second tetrahedral intermediate 4.Hydrolysis
  • 7.
    5.Phenoxide Ion Formation •which collapses, eliminating a carboxylic acid and forming a phenoxide
  • 8.
    6.Abstration of proton Finally,the phenoxide extracts the acidic hydrogen from the carboxylic acid, yielding the collected products
  • 9.
    • The Dakinoxidation has two rate-limiting steps: nucleophilic addition of hydroperoxide to the carbonyl carbon and [1,2]-aryl migration. • Therefore, the overall rate of oxidation is dependent on the nucleophilicity of hydroperoxide, the electrophilicity of the carbonyl carbon, and the speed of [1,2]-aryl migration. • The alkyl substituents on the carbonyl carbon, the relative positions of the hydroxyl and carbonyl groups on the aryl ring, the presence of other functional groups on the ring, and the reaction mixture pH are four factors that affect these rate-limiting steps. Factors affecting reaction kinetics
  • 10.
    • In general,phenyl aldehydes are more reactive than phenyl ketones because the ketone carbonyl carbon is less electrophilic than the aldehyde carbonyl carbon. Alkyl substituents Relative positions of hydroxyl and carbonyl groups • O-hydroxy phenyl aldehydes and ketones oxidize faster than p-hydroxy phenyl aldehydes and ketones in weakly basic conditions.
  • 11.
    • In o-hydroxycompounds, when the hydroxyl group is protonated, an intramolecular hydrogen bond can form between the hydroxyl hydrogen and the carbonyl oxygen, stabilizing a resonance structure with positive charge on the carbonyl carbon, thus increasing the carbonyl carbon’s electrophilicity . • Lacking this stabilization, the carbonyl carbon of p-hydroxy compounds is less electrophilic. • Therefore, o-hydroxy compounds are oxidized faster than p-hydroxy compounds when the hydroxyl group is protonated.
  • 12.
    Other functional groupson the aryl ring • Substitution of phenyl hydrogens with electron-donating groups ortho or para to the carbonyl group increases electron density at the migrating carbon, promotes [1,2]-aryl migration, and accelerates oxidation. • Substitution with electron-donating groups meta to the carbonyl group does not change electron density at the migrating carbon; because unsubstituted phenyl group migratory aptitude is low, hydrogen migration dominates. • Substitution with electron-withdrawing groups ortho or para to the carbonyl decreases electron density at the migrating carbon, inhibits [1,2]-aryl migration, and favors hydrogen migration
  • 13.
  • 15.