Embed presentation
Download to read offline
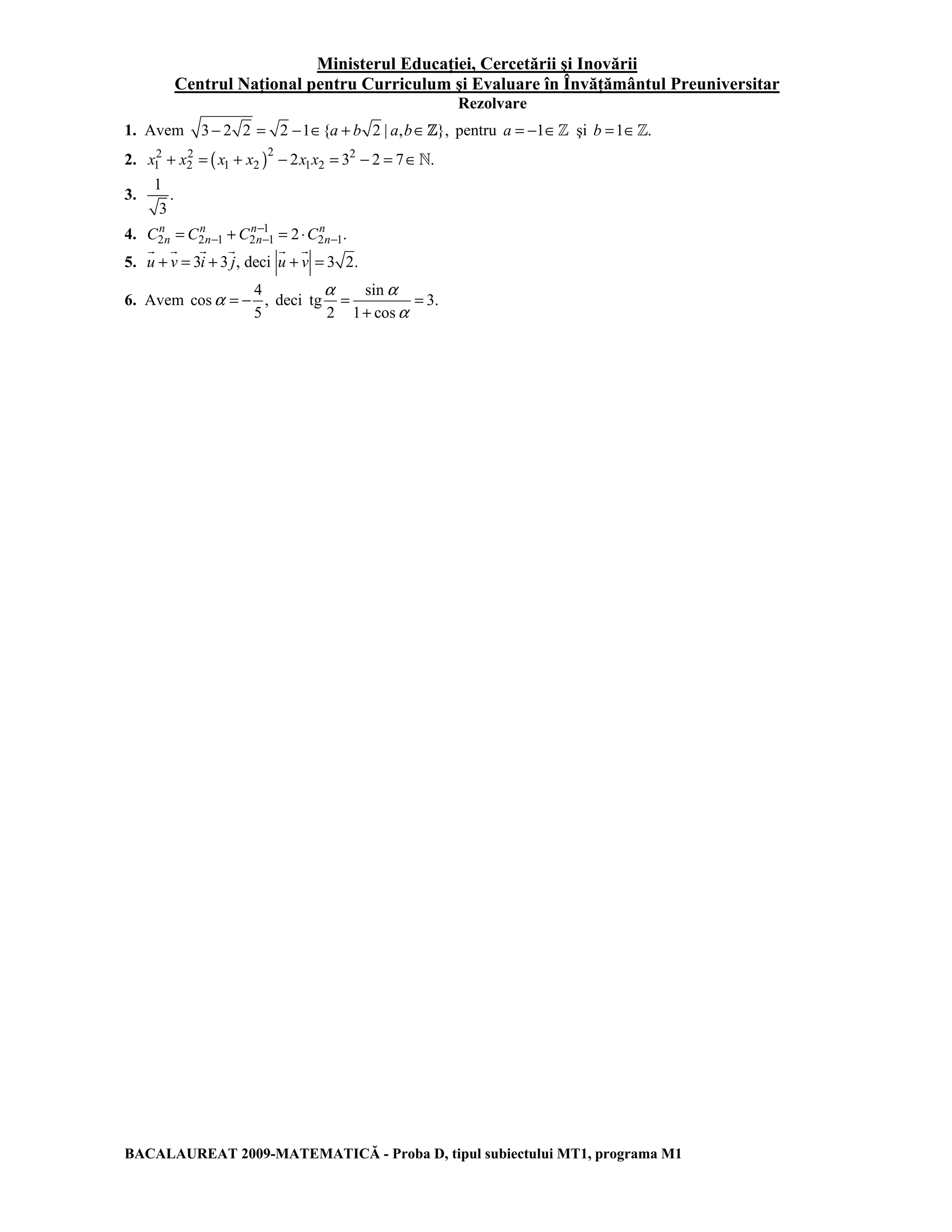
![Ministerul Educaţiei, Cercetării şi Inovării
Centrul Naţional pentru Curriculum şi Evaluare în Învăţământul Preuniversitar
Rezolvare
1. Avem 3 − 2 2 = 2 −1∈{a + b 2 | a,b∈Z}, pentru a = −1∈] şi b =1∈].
2. x1 2 + x2 2 = ( x1 + x2 )2 − 2x1x2 = 3 2
− 2 = 7∈`.
3.
1
.
3
C n C n C n C n −
4. 1
2 2 1 2 1 2 2 1. n n n n
= − + − = ⋅ −
G G G G G G
5. u + v = 3i + 3 j, deci u + v = 3 2.
6. Avem
4
α = − deci
cos ,
5
α sin
α
= =
tg 3.
2 1 cos
α
+
BACALAUREAT 2009-MATEMATICĂ - Proba D, tipul subiectului MT1, programa M1](https://image.slidesharecdn.com/dmt1i076-140904071639-phpapp01/75/D-mt1-i_076-1-2048.jpg)
Documentul conține exerciții și rezolvări de matematică din programa pentru bacalaureat, adresându-se elevilor de liceu. Se discută despre identități matematice, adunări de vectori și trigonometrică. Informațiile sunt prezentate în contextul evaluării și curriculumului pentru învățământul preuniversitar.
![Ministerul Educaţiei, Cercetării şi Inovării
Centrul Naţional pentru Curriculum şi Evaluare în Învăţământul Preuniversitar
Rezolvare
1. Avem 3 − 2 2 = 2 −1∈{a + b 2 | a,b∈Z}, pentru a = −1∈] şi b =1∈].
2. x1 2 + x2 2 = ( x1 + x2 )2 − 2x1x2 = 3 2
− 2 = 7∈`.
3.
1
.
3
C n C n C n C n −
4. 1
2 2 1 2 1 2 2 1. n n n n
= − + − = ⋅ −
G G G G G G
5. u + v = 3i + 3 j, deci u + v = 3 2.
6. Avem
4
α = − deci
cos ,
5
α sin
α
= =
tg 3.
2 1 cos
α
+
BACALAUREAT 2009-MATEMATICĂ - Proba D, tipul subiectului MT1, programa M1](https://image.slidesharecdn.com/dmt1i076-140904071639-phpapp01/75/D-mt1-i_076-1-2048.jpg)