Embed presentation
Download to read offline












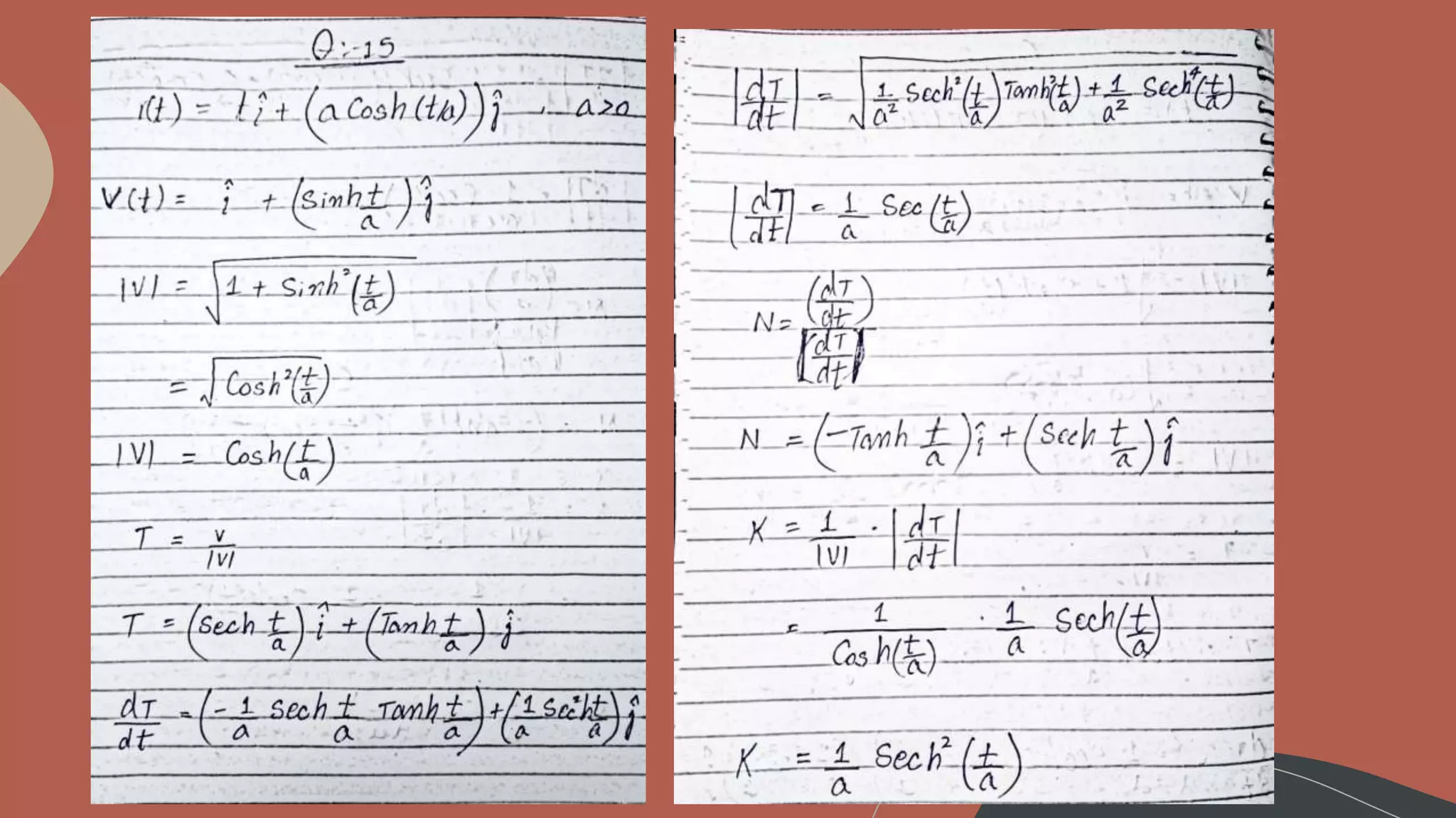
The document discusses the concept of curvature and normal vectors of a plane curve as a particle moves along it. It explains that the tangent vector, which is a unit vector, changes direction but not length during the motion along the curve. The curvature quantifies the rate of turning of the tangent vector per unit length of the curve.











