Current And Conductor
Department of Electrical Engineering
GC University, Lahore
Muhammad Salman 14-BSEE-15
Asim Hussain Farooqi 12-BSEE-15
Touseef Ahmed 09 -BSEE-15
Rana Nadeem 11-BSEE-15
Contents
1. Current
2. Current Density
3. D 5.1
4. Continuity Of Current
5. D 5.2
6. Metallic Conductor
7. D 5.3
8. D 5.4
Electric Current
• Electric current is defined as the rate of flow of electric charge
through any cross sectional area of the conductor.
• 𝑐𝑢𝑟𝑟𝑒𝑛𝑡 =
𝐶ℎ𝑎𝑟𝑔𝑒
𝑇𝑖𝑚𝑒
• Current is denoted by “I”
• 𝐼 =
𝑑𝑄
𝑑𝑡
Electric Current Unit
• The SI and base unit of electric current is Ampere’s
• 𝑎𝑚𝑝𝑒𝑟𝑒 =
𝑐𝑜𝑙𝑢𝑚𝑏
𝑠𝑒𝑐𝑜𝑛𝑑
• 1𝐴 =
1𝐶
1𝑠𝑒𝑐
• 𝐴 = 𝐶𝑠−1
• Ampere
• When one coulomb charge flow through any cross sectional area in
one second then electric will be one Ampere.
Conti…
• Electric current is taken as scalar
• Electric current is a SCALAR quantity! Sure it has magnitude and
direction, but it still is a scalar quantity!
• Confusing? Let us see why it is not a vector as Scalar Quantity .
• First let us define a vector! A physical quantity having both
magnitude and a specific direction is a vector quantity.
• Is that all? No! This definition is incomplete! A vector quantity also
follows the triangle law of vector addition.
Conti…
• For example
• What will be the total displacement ?
• 𝐴 + 𝐵 + 𝐶 = 0
• Because last vector head joined with first vector tail.
Home Uni
Market
Conti…
• Now consider a triangular loop in an electric circuit with vertices A,B
and C.
• The current flows from A→ B, B→C and C→A.
• Now had current been a vector quantity, following the triangle law of
vector addition, the net current in the loop should have been zero!
• But that is not the case, right? You wont be having a very pleasant
experience if you touch an exposed high current loop
Result
• So current does not follow triangular vector addition that’s why
current is a scalar quantity not a vector
Current Density
• Electric current density is electric current per unit cross sectional area
of the conductor.
• It is represented by “J”
• 𝐽 =
𝐼
𝐴
𝑐𝑢𝑟𝑟𝑒𝑛𝑡 𝑑𝑒𝑛𝑠𝑖𝑡𝑦 =
𝑐𝑢𝑟𝑟𝑒𝑛𝑡
𝑎𝑟𝑒𝑎
Magnitude
Unit
• Unit of electric current density is ampere per meter square.
• 𝐽 =
𝐴𝑚𝑝𝑒𝑟𝑒
𝑚𝑒𝑡𝑒𝑟2
• Electric current density is a vector quantity .
• Its direction is same as electric current.
• In vector form
• 𝐼 = 𝑱. 𝑨
• 𝐼 = 𝐽𝐴𝐶𝑂𝑆∅
J I
Conti..
• Current density, J, yields current in Amps when it is integrated over
a cross-sectional area. The assumption is that the direction of J is
normal to the surface, and so we would write:
Current Density as a Vector Field
n
In reality, the direction of current flow may not be normal to the surface
in question, so we treat
current density as a vector, and write the incremental surface through the
small surface in the usual way:
where S = n da
Then, the current through a large surface
is found through the integral:
Relation of Current to Charge Velocity
Consider a charge Q, occupying volume v, moving in the
positive x direction at velocity vx
In terms of the volume charge density, we may write:
Suppose that in time t, the charge moves through a distance x = L =
vx t
The motion of the charge represents a
current given by:
Relation of Current Density to Charge Velocity
The current density is then:
So in general form
Continuity of Current
Conservation of Charge:-
“The Principle of conservation of charge
states that Charge can be neither created nor
destroyed, Although equal amounts of positive and
negative charge may be simultaneously created,
obtained by separation, destroyed or lost by
recombination”.
•Equation of Continuity:-
“The total current flowing out of some volume is equal
to the rate of decrease of charge within that volume”.
• Let us consider a volume V bounded by a surface S. A net
charge Q exists within this region. If a net current I flows
across the surface out of this region, from the principle of
conservation of
charge this current can be equated to the time rate of
decrease of charge within this volume. Similarly, if a net
current flows into the region, the charge in the volume must
increase at a rate equal to the current. Thus we can write the
current through closed surface is
• This outward flow of positive charge must be balanced by a
decrease of positive charge( or perhaps an increase of
negative charge) within the closed surface.
• If the charge inside the closed surface is denoted by Qi, then
the rate of decrease is –dQi/dt and principle of conservation
of charge requires.
• The above equation is the integral form of the
continuity equation, and the differential, or point, form is
obtained by using the Divergence Theorem to change the
surface integral into volume integral:
• We next represent the enclosed charge Qi by the volume
integral of the charge density,
• If we agree to keep the surface constant, the derivative
becomes a partial derivative and may appear within the
integral,
• Since the expression is true for any volume, however small, it is
true for incremental volume,
• From which we have our point form of the continuity equation,
• This equation indicates that the current, or charge per second,
diverging from a small volume or per unit volume is equal to
the rate of decrease of charge per unit volume at every point.
•Numerical Example:
• Let us consider a current density that is radially outward and
decreases exponentially with time,
• The velocity is greater at r=6 than it is at r=5.
• We conclude that a current density that is inversely
proportional to r.
• A charge density that is inversely proportional to r².
• A velocity and total current that are proportional to r.All
quantities vary as e^-t.
Solution:-
METALLIC CONDUCTORS
• The behavior of the electrons surrounding the positive
atomic nucleus in terms of the total energy of the electron
with respect to a zero reference level for an electron at an
infinite distance from the nucleus.
• The total energy is the sum of the kinetic and potential
energies, it is convenient to associate these energy values
with orbits surrounding the nucleus, the more negative
energies corresponding to orbits of smaller radius.
• According to the quantum theory, only certain discrete
energy levels, or energy states, are permissible in a given
atom, and an electron must therefore absorb or emit
discrete amounts of energy, or quanta, in passing from one
level to another.
Cont……..
• In a crystalline solid, such as a metal or a diamond, atoms
are packed closely together, many more electrons are
present, and many more permissible energy levels are
available because of the interaction forces between adjacent
atoms.
• We find that the allowed energies of electrons are grouped
into broad ranges, or “bands,” each band consisting of very
numerous, closely spaced, discrete levels.
• At a temperature of absolute zero, the normal solid also has
every level occupied, starting with the lowest and
proceeding in order until all the electrons are located. The
electrons with the highest (least negative) energy levels, the
valence electrons, are located in the valence band.
Metallic conductor:
• If there are permissible higher-energy levels in the valence
band, or if the valence band merges smoothly into a
conduction band
• Additional kinetic energy may be given to the valence
electrons by an external field, resulting in an electron flow.
The solid is called a metallic conductor.
Insulator:
• If the electron with the greatest energy occupies the top
level in the valence band and a gap exists between the
valence band and the conduction band, then the electron
cannot accept additional energy in small amounts, and the
material is an insulator.
• Note that if a relatively large amount of energy can be
transferred to the electron, it may be sufficiently excited to
jump the gap into the next band where conduction can
occur easily. Here the insulator breaks down.
Semiconductors:
• An intermediate condition occurs when only a small
“forbidden region” separates the two bands, as
illustrated by Figure . Small amounts of energy in the
form of heat, light, or an electric field may raise the
energy of the electrons at the top of the filled band and
provide the basis for conduction.
• These materials are insulators which display many of
the properties of conductors and are called
semiconductors.
METALLIC CONDUCTORS
• In conductor valence electrons, or conduction, or free,
electrons, move under the influence of an electric field. With
a field E, an electron having a charge 𝑄 = −𝑒 will
experience a force
𝐹 = −𝑒𝐸
METALLIC CONDUCTORS
(cont.…)
• In free space electron move and continuously increase its
velocity.
The velocity is drift velocity which is related to the electric
field intensity by the mobility of the electron µ (mu)
𝑉𝑑= −𝜇 𝑒 𝐸
• The unit of mobility is square meter per volt-second
Mobility of Metallic Conductor
Metallic Conductor Value (
𝑚2
𝑣𝑠
)
Aluminum 0.0012
Copper 0.0032
Silver 0.0056
METALLIC CONDUCTORS
(cont.…)
• For these good conductors, a drift velocity of a few
centimeters per second is sufficient to produce a noticeable
temperature rise and can cause the wire to melt if the heat
cannot be quickly removed by thermal conduction or
radiation.
• As we know that
𝐽 = 𝜌 𝑣 𝑉𝑑 …….(1)
𝑉𝑑= −𝜇 𝑒 𝐸
Put value of 𝑉𝑑 in eq.1
𝐽 = −𝜌 𝑒 𝜇 𝑒 𝐸
Relationship between J and E
• The relationship between J and E for a metallic conductor,
however is specified by the conductivity 𝜎 (sigma)
𝐽 = 𝜎𝐸
Where 𝜎 is measured in Siemens per meter (
𝑆
𝑚
). One Siemens
is the basic unit of conductance in the SI system and is defined
as one ampere per volt. The unit of conductance was called the
mho and symbolized by an interval 𝛀 The reciprocal unit of
resistance, which we call the Ohm.
Conductivity of Metallic Conductor
Metallic Conductor Value (
𝑺
𝒎
)
Aluminum 3.82x107
Copper 5.80x107
Silver 6.17x107
METALLIC CONDUCTORS
(cont.…)
• Conductivity can be expressed in term of the charge density
and electric mobility as
• 𝜎 = 𝜌 𝑒 𝜇 𝑒
Higher temperature infers a greater crystalline lattice
vibration, more impeded electron progress for a given electric
field strength, lower drift velocity, lower mobility, lower
conductivity and higher resistivity.
Cylindrical Representation of conductor
Let J and E are in uniform, are as they are in
cylindrical region as shown in figure
𝐼 =
𝑆
𝐽. 𝑑𝑠
So 𝐼 = 𝐽𝑆
And 𝑉𝑎𝑏 = − 𝑏
𝑎
𝐸. 𝑑𝐿
= −𝐸
𝑏
𝑎
𝐸. 𝑑𝐿
= −𝐸. 𝐿 𝑏𝑎
= 𝐸. 𝐿 𝑎𝑏
As 𝑉 = 𝐸𝐿
𝐽 = 𝜎𝐸
𝐽 = 𝜎
𝑉
𝐿
𝑉 =
𝐿
𝜎𝑆
𝐼
Conti….
• According to ohm law
𝑉 = 𝐼𝑅
𝐼𝑅 =
𝐼𝐿
𝜎𝑆
𝑅 =
𝐿
𝜎𝑆
When field are non-uniform
𝑅 =
𝑉𝑎𝑏
𝐼
=
− 𝑏
𝑎
𝐸𝑑𝐿
𝑆
𝜎𝐸. 𝑑𝑠
Drill Questions
Thank You

Current And Conductor

  • 1.
    Current And Conductor Departmentof Electrical Engineering GC University, Lahore Muhammad Salman 14-BSEE-15 Asim Hussain Farooqi 12-BSEE-15 Touseef Ahmed 09 -BSEE-15 Rana Nadeem 11-BSEE-15
  • 2.
    Contents 1. Current 2. CurrentDensity 3. D 5.1 4. Continuity Of Current 5. D 5.2 6. Metallic Conductor 7. D 5.3 8. D 5.4
  • 3.
    Electric Current • Electriccurrent is defined as the rate of flow of electric charge through any cross sectional area of the conductor. • 𝑐𝑢𝑟𝑟𝑒𝑛𝑡 = 𝐶ℎ𝑎𝑟𝑔𝑒 𝑇𝑖𝑚𝑒 • Current is denoted by “I” • 𝐼 = 𝑑𝑄 𝑑𝑡
  • 4.
    Electric Current Unit •The SI and base unit of electric current is Ampere’s • 𝑎𝑚𝑝𝑒𝑟𝑒 = 𝑐𝑜𝑙𝑢𝑚𝑏 𝑠𝑒𝑐𝑜𝑛𝑑 • 1𝐴 = 1𝐶 1𝑠𝑒𝑐 • 𝐴 = 𝐶𝑠−1 • Ampere • When one coulomb charge flow through any cross sectional area in one second then electric will be one Ampere.
  • 5.
    Conti… • Electric currentis taken as scalar • Electric current is a SCALAR quantity! Sure it has magnitude and direction, but it still is a scalar quantity! • Confusing? Let us see why it is not a vector as Scalar Quantity . • First let us define a vector! A physical quantity having both magnitude and a specific direction is a vector quantity. • Is that all? No! This definition is incomplete! A vector quantity also follows the triangle law of vector addition.
  • 6.
    Conti… • For example •What will be the total displacement ? • 𝐴 + 𝐵 + 𝐶 = 0 • Because last vector head joined with first vector tail. Home Uni Market
  • 7.
    Conti… • Now considera triangular loop in an electric circuit with vertices A,B and C. • The current flows from A→ B, B→C and C→A. • Now had current been a vector quantity, following the triangle law of vector addition, the net current in the loop should have been zero! • But that is not the case, right? You wont be having a very pleasant experience if you touch an exposed high current loop
  • 8.
    Result • So currentdoes not follow triangular vector addition that’s why current is a scalar quantity not a vector
  • 9.
    Current Density • Electriccurrent density is electric current per unit cross sectional area of the conductor. • It is represented by “J” • 𝐽 = 𝐼 𝐴 𝑐𝑢𝑟𝑟𝑒𝑛𝑡 𝑑𝑒𝑛𝑠𝑖𝑡𝑦 = 𝑐𝑢𝑟𝑟𝑒𝑛𝑡 𝑎𝑟𝑒𝑎 Magnitude
  • 10.
    Unit • Unit ofelectric current density is ampere per meter square. • 𝐽 = 𝐴𝑚𝑝𝑒𝑟𝑒 𝑚𝑒𝑡𝑒𝑟2 • Electric current density is a vector quantity . • Its direction is same as electric current. • In vector form • 𝐼 = 𝑱. 𝑨 • 𝐼 = 𝐽𝐴𝐶𝑂𝑆∅ J I
  • 11.
    Conti.. • Current density,J, yields current in Amps when it is integrated over a cross-sectional area. The assumption is that the direction of J is normal to the surface, and so we would write:
  • 12.
    Current Density asa Vector Field n In reality, the direction of current flow may not be normal to the surface in question, so we treat current density as a vector, and write the incremental surface through the small surface in the usual way: where S = n da Then, the current through a large surface is found through the integral:
  • 13.
    Relation of Currentto Charge Velocity Consider a charge Q, occupying volume v, moving in the positive x direction at velocity vx In terms of the volume charge density, we may write: Suppose that in time t, the charge moves through a distance x = L = vx t The motion of the charge represents a current given by:
  • 14.
    Relation of CurrentDensity to Charge Velocity The current density is then: So in general form
  • 15.
    Continuity of Current Conservationof Charge:- “The Principle of conservation of charge states that Charge can be neither created nor destroyed, Although equal amounts of positive and negative charge may be simultaneously created, obtained by separation, destroyed or lost by recombination”.
  • 16.
    •Equation of Continuity:- “Thetotal current flowing out of some volume is equal to the rate of decrease of charge within that volume”. • Let us consider a volume V bounded by a surface S. A net charge Q exists within this region. If a net current I flows across the surface out of this region, from the principle of conservation of
  • 17.
    charge this currentcan be equated to the time rate of decrease of charge within this volume. Similarly, if a net current flows into the region, the charge in the volume must increase at a rate equal to the current. Thus we can write the current through closed surface is
  • 18.
    • This outwardflow of positive charge must be balanced by a decrease of positive charge( or perhaps an increase of negative charge) within the closed surface. • If the charge inside the closed surface is denoted by Qi, then the rate of decrease is –dQi/dt and principle of conservation of charge requires.
  • 19.
    • The aboveequation is the integral form of the continuity equation, and the differential, or point, form is obtained by using the Divergence Theorem to change the surface integral into volume integral:
  • 20.
    • We nextrepresent the enclosed charge Qi by the volume integral of the charge density, • If we agree to keep the surface constant, the derivative becomes a partial derivative and may appear within the integral,
  • 21.
    • Since theexpression is true for any volume, however small, it is true for incremental volume, • From which we have our point form of the continuity equation,
  • 22.
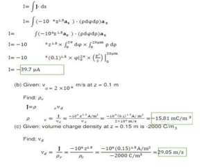
    • This equationindicates that the current, or charge per second, diverging from a small volume or per unit volume is equal to the rate of decrease of charge per unit volume at every point. •Numerical Example: • Let us consider a current density that is radially outward and decreases exponentially with time,
  • 24.
    • The velocityis greater at r=6 than it is at r=5. • We conclude that a current density that is inversely proportional to r. • A charge density that is inversely proportional to r². • A velocity and total current that are proportional to r.All quantities vary as e^-t.
  • 25.
  • 27.
    METALLIC CONDUCTORS • Thebehavior of the electrons surrounding the positive atomic nucleus in terms of the total energy of the electron with respect to a zero reference level for an electron at an infinite distance from the nucleus. • The total energy is the sum of the kinetic and potential energies, it is convenient to associate these energy values with orbits surrounding the nucleus, the more negative energies corresponding to orbits of smaller radius. • According to the quantum theory, only certain discrete energy levels, or energy states, are permissible in a given atom, and an electron must therefore absorb or emit discrete amounts of energy, or quanta, in passing from one level to another.
  • 28.
    Cont…….. • In acrystalline solid, such as a metal or a diamond, atoms are packed closely together, many more electrons are present, and many more permissible energy levels are available because of the interaction forces between adjacent atoms. • We find that the allowed energies of electrons are grouped into broad ranges, or “bands,” each band consisting of very numerous, closely spaced, discrete levels. • At a temperature of absolute zero, the normal solid also has every level occupied, starting with the lowest and proceeding in order until all the electrons are located. The electrons with the highest (least negative) energy levels, the valence electrons, are located in the valence band.
  • 30.
    Metallic conductor: • Ifthere are permissible higher-energy levels in the valence band, or if the valence band merges smoothly into a conduction band • Additional kinetic energy may be given to the valence electrons by an external field, resulting in an electron flow. The solid is called a metallic conductor.
  • 31.
    Insulator: • If theelectron with the greatest energy occupies the top level in the valence band and a gap exists between the valence band and the conduction band, then the electron cannot accept additional energy in small amounts, and the material is an insulator. • Note that if a relatively large amount of energy can be transferred to the electron, it may be sufficiently excited to jump the gap into the next band where conduction can occur easily. Here the insulator breaks down.
  • 32.
    Semiconductors: • An intermediatecondition occurs when only a small “forbidden region” separates the two bands, as illustrated by Figure . Small amounts of energy in the form of heat, light, or an electric field may raise the energy of the electrons at the top of the filled band and provide the basis for conduction. • These materials are insulators which display many of the properties of conductors and are called semiconductors.
  • 34.
    METALLIC CONDUCTORS • Inconductor valence electrons, or conduction, or free, electrons, move under the influence of an electric field. With a field E, an electron having a charge 𝑄 = −𝑒 will experience a force 𝐹 = −𝑒𝐸
  • 35.
    METALLIC CONDUCTORS (cont.…) • Infree space electron move and continuously increase its velocity. The velocity is drift velocity which is related to the electric field intensity by the mobility of the electron µ (mu) 𝑉𝑑= −𝜇 𝑒 𝐸 • The unit of mobility is square meter per volt-second
  • 36.
    Mobility of MetallicConductor Metallic Conductor Value ( 𝑚2 𝑣𝑠 ) Aluminum 0.0012 Copper 0.0032 Silver 0.0056
  • 37.
    METALLIC CONDUCTORS (cont.…) • Forthese good conductors, a drift velocity of a few centimeters per second is sufficient to produce a noticeable temperature rise and can cause the wire to melt if the heat cannot be quickly removed by thermal conduction or radiation. • As we know that 𝐽 = 𝜌 𝑣 𝑉𝑑 …….(1) 𝑉𝑑= −𝜇 𝑒 𝐸 Put value of 𝑉𝑑 in eq.1 𝐽 = −𝜌 𝑒 𝜇 𝑒 𝐸
  • 38.
    Relationship between Jand E • The relationship between J and E for a metallic conductor, however is specified by the conductivity 𝜎 (sigma) 𝐽 = 𝜎𝐸 Where 𝜎 is measured in Siemens per meter ( 𝑆 𝑚 ). One Siemens is the basic unit of conductance in the SI system and is defined as one ampere per volt. The unit of conductance was called the mho and symbolized by an interval 𝛀 The reciprocal unit of resistance, which we call the Ohm.
  • 39.
    Conductivity of MetallicConductor Metallic Conductor Value ( 𝑺 𝒎 ) Aluminum 3.82x107 Copper 5.80x107 Silver 6.17x107
  • 40.
    METALLIC CONDUCTORS (cont.…) • Conductivitycan be expressed in term of the charge density and electric mobility as • 𝜎 = 𝜌 𝑒 𝜇 𝑒 Higher temperature infers a greater crystalline lattice vibration, more impeded electron progress for a given electric field strength, lower drift velocity, lower mobility, lower conductivity and higher resistivity.
  • 41.
    Cylindrical Representation ofconductor Let J and E are in uniform, are as they are in cylindrical region as shown in figure 𝐼 = 𝑆 𝐽. 𝑑𝑠 So 𝐼 = 𝐽𝑆 And 𝑉𝑎𝑏 = − 𝑏 𝑎 𝐸. 𝑑𝐿 = −𝐸 𝑏 𝑎 𝐸. 𝑑𝐿 = −𝐸. 𝐿 𝑏𝑎 = 𝐸. 𝐿 𝑎𝑏 As 𝑉 = 𝐸𝐿 𝐽 = 𝜎𝐸 𝐽 = 𝜎 𝑉 𝐿 𝑉 = 𝐿 𝜎𝑆 𝐼
  • 42.
    Conti…. • According toohm law 𝑉 = 𝐼𝑅 𝐼𝑅 = 𝐼𝐿 𝜎𝑆 𝑅 = 𝐿 𝜎𝑆 When field are non-uniform 𝑅 = 𝑉𝑎𝑏 𝐼 = − 𝑏 𝑎 𝐸𝑑𝐿 𝑆 𝜎𝐸. 𝑑𝑠
  • 43.
  • 44.