VeinsReservoir function60% blood in veinsSpecific reservoirs in spleen, liver, skin, lungs and heart!Effect of gravityVenous pumpValves (varicose veins)Abdominal pumpThorax pumpCentral venous pressure (CVP) – Right Atrial PressureAbility of the heart to pumpVenous returnValues: normal is 0 mmHgIncreased (straining, heart failure, massive transfusion)Decreased (extraordinary heart contractions, haemorrhage)
VeinsMeasuring CVPNoninvasive:Height to which external jugular veins are distended when the subject lies in recumbent positionVertical distance b/w rt. atrium and the place the vein collapses (the place where the pressure =0) =venous pressure (in mm of Hg)Invasive:Inserting a catheter into the thoracic great veinsDirect pressure reading
MicrocirculationCapillaries Arterial endVenous endFiltration across capillaries: Starling ForcesCapillary pressure (Pc)Interstitial fluid pressure (Pif)Plasma colloid osmotic pressure (πp)Interstitial colloid osmotic pressure (πif)NFP = Pc – Pif – πp + πifFiltration = NFP x KfWhere, Kf  is Capillary filtration coefficient
Starling’s Forces
EdemaAccumulation of interstitial fluid in abnormally large amountsCauses:Increased filtration pressure    Arteriolar dilationVenular constriction  Increased venous pressure (heart failure, incompetent valves, venous obstruction, increased total ECF volume, effect of gravity, etc)Decreased osmotic pressure gradient across capillary    Decreased plasma protein level Severe liver failure, Protein malnutrition, Nephrotic syndrome   Accumulation of osmotically active substances in interstitial space
EdemaIncreased capillary permeability    Substance P  Histamine and related substances   Kinins, etcInadequate lymph flow (lymphedema)Elephantiasis (In filariasis, parasitic worms migrate into lymphatics & obstruct them)
LymphaticsNormal 24-h lymph flow is 2 - 4 LLymphatic vessels divided into 2 types:Initial lymphaticsLack valves Lack smooth muscleFound in regions such as intestine or skeletal muscleFluid enters thru loose junctionsDrain into collecting lymphaticsCollecting lymphatics
LymphaticsReturn of filtered proteinsVery important fnamount of protein returned in 1 day = 25–50% of the total circulating plasma proteinTransport of absorbed long-chain fatty acids and cholesterol from the intestine
Local Control of Blood FlowWhy control blood flow?Blood flow is variable between one organ and another, Depends on overall demands of each organ systemThese inter-organ differences in blood flow are the result of differences in vascular resistance
Local Control of Blood Flow:MechanismsLocal:Matching blood flow to metabolic needsExerted through direct action of local metabolites on arteriolar resistanceAcute: rapid changes in local vasoconstriction/ dilation of arterioles, metarterioles, precap-sphinctersLong-term: slow, controlled (days, weeks & months) – increase in physical size, numberNervous / Hormonal:SNSHistamine, bradykinin, & prostaglandins
Acute MechanismsAutoregulationReactive hyperemiaActive hyperemia
Acute Mechanisms:AutoregulationMaintenance of constant blood flow to an organ in the face of changing arterial pressureKidneys, brain, heart, & skeletal muscle + others exhibit autoregulation
Acute Mechanisms:Active hyperemiaBlood flow to an organ is proportional to its metabolic activityExample:Metabolic activity in skeletal muscle increases as a result of strenuous exerciseBlood flow to muscle will increase proportionately to meet the increased metabolic demand
Acute Mechanisms:Reactive hyperemiaIncrease in blood flow in response to or reacting to a prior period of decreased blood flowExample:Arterial occlusion to an organ occursDuring the occlusion, an O2 debt is accumulatedLonger the period of occlusion, the greater the O2 debt Greater the subsequent increase in blood flow above the preocclusion levels. The increase in blood flow continues until the O2 debt is "repaid."
Explanation Myogenic hypothesisExplains autoregulationNot active or reactive hyperemiaIf arterial pressure - suddenly increased - arterioles are stretched - vascular smooth muscle - contracts in response to this stretch*Metabolic hypothesisO2 demand theoryVasodilator theoryCO2, H+, K+ lactate, and adenosine
Long-term Mechanisms for Blood Flow ControlVascularity changed – acc. to metabolic profile Role of oxygenRole of vascular endothelial growth factorsVEGFFibroblast growth factorAngiogeninVascularity is determined by max. tissue need (not average)Collateral circulation
Humoral control of Blood FlowVasocontrictor agents (NE, epinephrine, Angiotensin-II)Vasodilatory agents (bradykinin, histamine)Ions & other agentsIncrease in Ca++: vasoconstrictionIncrease in K+: vasodilationIncrease in Mg++: powerful vasodialtionIncrease in H+: vasodilationAcetate and citrate: vasodilationIncrease in CO2: vasodilation
	ARTERIAL BLOOD PRESSURE CONTROL
GeneralThe ‘large water tower’ exampleMAP is maintained – hence tissues can ‘tap into’ the general blood flowCVS needs to maintain just MAP !Nervous and hormonal factors play major rolesTimeline: AcuteIntermediateLong term
CNS areas controlling BP
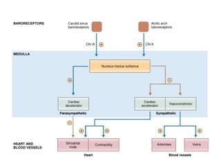
Baroreceptor Reflex
Baroreceptor Features: SensitivityCarotid sinus baroR are not stimulated at all by pressures between 0 and 50 to 60 mm HgAbove these levels, they respond rapidly and reach a maximum at ~180 mm HgAround 100 mmHg – very sensitiveResponses of the aortic baroR – similarBut they operate about 30 mm Hg higher
Baroreceptor Features: SpeedRespond extremely rapidly to BP changesIncreases in the fraction of a second during each systoleDecreases again during diastoleBaroRs respond much more to rapidly changing pressure than to a stationary pressure
Baroreceptor Features: Posture Standing – BP in head and upper body falls Marked reduction may cause cause loss of consciousness. Normally, Falling BP at the baroreceptors elicits – BaroR reflexResulting in strong sympathetic discharge Maintenance of BP!
Baroreceptor Features: Buffer ControlBaroR reflex is a pressure buffer system
Baroreceptor Features: AccomodationRole in long-term regulation of BP‘Resets’ in 1-2 days to ‘new’ pressure
Baroreceptors are more sensitive to pulsatile pressure than to constant pressure*Especially at lower pressures
CNS Ischemic ResponseCerebral ischemiaVasoconstrictor & cardioaccelerator neurons in the vasomotor center b/c strongly excited Accumulating local concentration of CO2Causes strong neuronal +++This BP elevation in response to cerebral ischemia is known as the CNS ischemic response*Emergency pressure control system onlyKicks in only when BP falls 60 mm Hg and belowCushing’s reaction
Intermediate Control MechanismsFluid shift Stress relaxationRenin-angiotensin vasoconstrictor mechanismBiogenic aminesVasoconstrictors (Epinephrine via α1, Serotonin etc) Vasodilators (Epinephrine via β2, Histamine, ANP etc)
Long-term BP Control MechanismPressure natriuresisPressure diuresisRenin-Angiotensin-Aldosterone
Long-term BP Control Mechanism
Cardiac OutputQuantity of blood pumped into the aorta each minute by the left ventricleNormal values: 5.6 L/min (males), 4.9 L/min (females)Cardiac index: C.O./min/m2Average: 3.2 L (@ rest)Maximum value @ age 10 – then decreases
Cardiac Output
Cardiac OutputMean circulatory filling pressure
CO Regulation: Conceptual OverviewCardiac Heart rate Contractibility Coupling factors* PreloadAfterloadAncillary factorsAll factors affecting venous return
CO Regulation: DetailedCO = SV x HRStroke VolumeSV = EDV – ESV= 120 – 50 = 70 mlEDVPreload (Myocardial fiber length)Affected by VRFilling time of diastoleRapid HR – diastole time decreases – EDV decreasesAtrial contraction Inadequate contraction affects EDVVentricular distensibilityif decreases – EDV decreasesESVAfterload (Aortic pressure – arterial BP)Affects myocardial fiber shortening abilityContractility SNS (NE via β1)Heart RateHR and SV are inversely proportionalANS
CO Regulation: Another angle
Conditions affecting CONo changeSleepModerate changes in temperatureIncreased Anxiety/ExcitementExerciseIncreased temperaturePregnancyEpinephrine/histamineAnemia & hyperthyroidismDecreased Sitting/standingRapid arrhythmiasHeart disease
Mean Circulatory Filling PressureWith heart stopped – after pressure equilibrates – pressure throughout CVS – MCFPMSFP Vs MCFP*Factors affecting:BV (more raises MCFP)Sympathetic +++ (raises MCFP)Directly proportional to VR
Venous ReturnVR = MSFP* – Rt. Atrial Pressure /        		    Resistance in venous returnVR = 7 – 0/1.4 = 5 litresVR is affected by:Blood volumeSkeletal muscle contractionVenous valvesThoracoabdominal pumpMyocardial contractibility
Coupling of Cardiac & Vascular FunctionCharacteristics of arteries and veins (vascular compliance, BV & vascular resistance) affect heart fn & its other variables However, it is also true that performance of the heart influences volumes and pressures within the vasculatureSo vasculature affects heart & vice versaEquilibrium must exist between cardiac and vascular function
Changes in Arterial Compliance Change Cardiac WorkOne of the more important consequences of the elastic nature of large arteries is that it reduces cardiac work*Increased arterial compliance (increase in arterial elasticity / afterload reduction) Reduces cardiac work Decreased compliance Increases cardiac workMyocardial O2 demand will be increased by any factor that reduces arterial compliance**
Relationship b/w Venous filling P. & CO : Tricky!*CVP - key determinant of filling of the right heart - key determinant of cardiac output Starling's LawHowever!Increased cardiac output into the arterial segment should result in ‘depletion’ in venous pressure & volumeQ(1) How are values of cardiac output above or below the resting level ever achieved or maintained, Q(2) What determines the resting equilibrium between cardiac output and central venous pressure?
Cardiac & Vascular fn CurvesCardiac fn Curveplots CO as a function of CVPAn extension of Starling's lawPosition and slope depends on ‘cardiac’ factorsVascular fn Curveshows how CVP changes as a function of VRPosition and slope depends on ‘vascular’ factors (BV,SVR,compliance)
Cardiac & Vascular fn CurvesCombining the curves provides a useful tool for predicting the changes in CO That will occur when various CVS parameters are alteredCO can be altered by:Changes in the cardiac function curve By changes in the vascular function curve By simultaneous changes in both curves
Inotropic agents alter cardiac fn curveVice versaCO is increased and CVP is decreased
Changes in BV* alter MSP : alter vascular fn curveCO is increased and CVP is increasedVice versa
Changes in TPR alter both curvesCardiac fn curve shifts downward (increased afterload)Counterclockwise rotation of vascular fn curveVice versa
CO MeasurementPrinciple of mass balanceIntroducing a known conc. of a dye (A) into an unknown volume of a fluid (V)By calculating conc. of dye in fluid (C) along with A – V can be calculated via:C1V1=C2V2A=CxVC=A/V
CO MeasurementIndicator dilution methodKnown amount of indicator (Indocyanine green – Cardiogreen) injected into venous circulation (A)Blood sampled serially from distal arteryConcentration of dye (C) in serial samples:RisesPeaksDeclinesC is then averaged between T1 (time of appearance of dye in blood) and T2 (time of appearance of dye in blood) - Cave
CO MeasurementThermodilution methodVariation of indicator dilution methodMore used in clinical practiceSwan-Ganz catheter placed via vein – threaded to the pulmonary arteryCatheter releases ice-cold saline into right heart via a side portSaline changes temperature of the blood coming in contact with it – reflected by CO – to be measured by thermistor on catheter tip (placed downstream into pulmonary artery)Equations similar to indicator dilution technique employed here
CO MeasurementFick’s principle – principle of mass balance taking into account oxygen entry/exit1 liter blood can take 40 ml O2How many 1-liter ‘units’ will it take to carry 200 ml in a min? – 5 L This much needs to supplied by heart – CO!
Energetics of Cardiac FunctionOxidative phosphorylation of either carbohydrates or fatty acidsSteady supply of O2 required (via coronary blood flow)Cardiac energy consumption = cardiac O2 consumptionWork done by heartExternal: ejection of blood from the ventricles (Volume work)Internal: stretching elastic tissue, overcoming internal viscosity, rearranging muscular architecture of heart as it contracts (Pressure work)
“Pressure Work” Vs “Volume Work”Ventricles have to do external & internal work:If the external work of the heart is raised by increasing SV, but not MAP, the O2 consumption of heart increases very littleAlternatively, if MAP is increased, O2 consumption/beat goes up much morePressure work by the heart is far more expensive in terms of O2 consumption than volume workIn other words, an increase in afterload causes greater increase in cardiac O2 consumption than does an increase in preload
“Pressure Work” Vs “Volume Work”Which one would produce angina due to less O2 delivery to myocardium?Aortic stenosis or Aortic regurgitation
“Pressure Work” Vs “Volume Work”Increase in O2 consumption produced by increased SV (when myocardial fibers are stretched) – preload increaseAn example of operation of law of LaplaceMore the stretch – bigger the radium – more the tension developed – more the O2 consumptionIn comparison, SNS induced increase in cardiac performanceVia intracellular Ca++ manipulation – not so much to do with radius – less O2 consumption

circulation2

  • 2.
    VeinsReservoir function60% bloodin veinsSpecific reservoirs in spleen, liver, skin, lungs and heart!Effect of gravityVenous pumpValves (varicose veins)Abdominal pumpThorax pumpCentral venous pressure (CVP) – Right Atrial PressureAbility of the heart to pumpVenous returnValues: normal is 0 mmHgIncreased (straining, heart failure, massive transfusion)Decreased (extraordinary heart contractions, haemorrhage)
  • 3.
    VeinsMeasuring CVPNoninvasive:Height towhich external jugular veins are distended when the subject lies in recumbent positionVertical distance b/w rt. atrium and the place the vein collapses (the place where the pressure =0) =venous pressure (in mm of Hg)Invasive:Inserting a catheter into the thoracic great veinsDirect pressure reading
  • 4.
    MicrocirculationCapillaries Arterial endVenousendFiltration across capillaries: Starling ForcesCapillary pressure (Pc)Interstitial fluid pressure (Pif)Plasma colloid osmotic pressure (πp)Interstitial colloid osmotic pressure (πif)NFP = Pc – Pif – πp + πifFiltration = NFP x KfWhere, Kf is Capillary filtration coefficient
  • 5.
  • 6.
    EdemaAccumulation of interstitialfluid in abnormally large amountsCauses:Increased filtration pressure    Arteriolar dilationVenular constriction  Increased venous pressure (heart failure, incompetent valves, venous obstruction, increased total ECF volume, effect of gravity, etc)Decreased osmotic pressure gradient across capillary    Decreased plasma protein level Severe liver failure, Protein malnutrition, Nephrotic syndrome   Accumulation of osmotically active substances in interstitial space
  • 7.
    EdemaIncreased capillary permeability   Substance P  Histamine and related substances   Kinins, etcInadequate lymph flow (lymphedema)Elephantiasis (In filariasis, parasitic worms migrate into lymphatics & obstruct them)
  • 8.
    LymphaticsNormal 24-h lymphflow is 2 - 4 LLymphatic vessels divided into 2 types:Initial lymphaticsLack valves Lack smooth muscleFound in regions such as intestine or skeletal muscleFluid enters thru loose junctionsDrain into collecting lymphaticsCollecting lymphatics
  • 9.
    LymphaticsReturn of filteredproteinsVery important fnamount of protein returned in 1 day = 25–50% of the total circulating plasma proteinTransport of absorbed long-chain fatty acids and cholesterol from the intestine
  • 10.
    Local Control ofBlood FlowWhy control blood flow?Blood flow is variable between one organ and another, Depends on overall demands of each organ systemThese inter-organ differences in blood flow are the result of differences in vascular resistance
  • 11.
    Local Control ofBlood Flow:MechanismsLocal:Matching blood flow to metabolic needsExerted through direct action of local metabolites on arteriolar resistanceAcute: rapid changes in local vasoconstriction/ dilation of arterioles, metarterioles, precap-sphinctersLong-term: slow, controlled (days, weeks & months) – increase in physical size, numberNervous / Hormonal:SNSHistamine, bradykinin, & prostaglandins
  • 12.
  • 13.
    Acute Mechanisms:AutoregulationMaintenance ofconstant blood flow to an organ in the face of changing arterial pressureKidneys, brain, heart, & skeletal muscle + others exhibit autoregulation
  • 14.
    Acute Mechanisms:Active hyperemiaBloodflow to an organ is proportional to its metabolic activityExample:Metabolic activity in skeletal muscle increases as a result of strenuous exerciseBlood flow to muscle will increase proportionately to meet the increased metabolic demand
  • 15.
    Acute Mechanisms:Reactive hyperemiaIncreasein blood flow in response to or reacting to a prior period of decreased blood flowExample:Arterial occlusion to an organ occursDuring the occlusion, an O2 debt is accumulatedLonger the period of occlusion, the greater the O2 debt Greater the subsequent increase in blood flow above the preocclusion levels. The increase in blood flow continues until the O2 debt is "repaid."
  • 16.
    Explanation Myogenic hypothesisExplainsautoregulationNot active or reactive hyperemiaIf arterial pressure - suddenly increased - arterioles are stretched - vascular smooth muscle - contracts in response to this stretch*Metabolic hypothesisO2 demand theoryVasodilator theoryCO2, H+, K+ lactate, and adenosine
  • 17.
    Long-term Mechanisms forBlood Flow ControlVascularity changed – acc. to metabolic profile Role of oxygenRole of vascular endothelial growth factorsVEGFFibroblast growth factorAngiogeninVascularity is determined by max. tissue need (not average)Collateral circulation
  • 18.
    Humoral control ofBlood FlowVasocontrictor agents (NE, epinephrine, Angiotensin-II)Vasodilatory agents (bradykinin, histamine)Ions & other agentsIncrease in Ca++: vasoconstrictionIncrease in K+: vasodilationIncrease in Mg++: powerful vasodialtionIncrease in H+: vasodilationAcetate and citrate: vasodilationIncrease in CO2: vasodilation
  • 19.
  • 20.
    GeneralThe ‘large watertower’ exampleMAP is maintained – hence tissues can ‘tap into’ the general blood flowCVS needs to maintain just MAP !Nervous and hormonal factors play major rolesTimeline: AcuteIntermediateLong term
  • 21.
  • 27.
  • 28.
    Baroreceptor Features: SensitivityCarotidsinus baroR are not stimulated at all by pressures between 0 and 50 to 60 mm HgAbove these levels, they respond rapidly and reach a maximum at ~180 mm HgAround 100 mmHg – very sensitiveResponses of the aortic baroR – similarBut they operate about 30 mm Hg higher
  • 29.
    Baroreceptor Features: SpeedRespondextremely rapidly to BP changesIncreases in the fraction of a second during each systoleDecreases again during diastoleBaroRs respond much more to rapidly changing pressure than to a stationary pressure
  • 30.
    Baroreceptor Features: PostureStanding – BP in head and upper body falls Marked reduction may cause cause loss of consciousness. Normally, Falling BP at the baroreceptors elicits – BaroR reflexResulting in strong sympathetic discharge Maintenance of BP!
  • 31.
    Baroreceptor Features: BufferControlBaroR reflex is a pressure buffer system
  • 32.
    Baroreceptor Features: AccomodationRolein long-term regulation of BP‘Resets’ in 1-2 days to ‘new’ pressure
  • 34.
    Baroreceptors are moresensitive to pulsatile pressure than to constant pressure*Especially at lower pressures
  • 35.
    CNS Ischemic ResponseCerebralischemiaVasoconstrictor & cardioaccelerator neurons in the vasomotor center b/c strongly excited Accumulating local concentration of CO2Causes strong neuronal +++This BP elevation in response to cerebral ischemia is known as the CNS ischemic response*Emergency pressure control system onlyKicks in only when BP falls 60 mm Hg and belowCushing’s reaction
  • 36.
    Intermediate Control MechanismsFluidshift Stress relaxationRenin-angiotensin vasoconstrictor mechanismBiogenic aminesVasoconstrictors (Epinephrine via α1, Serotonin etc) Vasodilators (Epinephrine via β2, Histamine, ANP etc)
  • 37.
    Long-term BP ControlMechanismPressure natriuresisPressure diuresisRenin-Angiotensin-Aldosterone
  • 38.
  • 39.
    Cardiac OutputQuantity ofblood pumped into the aorta each minute by the left ventricleNormal values: 5.6 L/min (males), 4.9 L/min (females)Cardiac index: C.O./min/m2Average: 3.2 L (@ rest)Maximum value @ age 10 – then decreases
  • 40.
  • 41.
  • 42.
    CO Regulation: ConceptualOverviewCardiac Heart rate Contractibility Coupling factors* PreloadAfterloadAncillary factorsAll factors affecting venous return
  • 43.
    CO Regulation: DetailedCO= SV x HRStroke VolumeSV = EDV – ESV= 120 – 50 = 70 mlEDVPreload (Myocardial fiber length)Affected by VRFilling time of diastoleRapid HR – diastole time decreases – EDV decreasesAtrial contraction Inadequate contraction affects EDVVentricular distensibilityif decreases – EDV decreasesESVAfterload (Aortic pressure – arterial BP)Affects myocardial fiber shortening abilityContractility SNS (NE via β1)Heart RateHR and SV are inversely proportionalANS
  • 44.
  • 45.
    Conditions affecting CONochangeSleepModerate changes in temperatureIncreased Anxiety/ExcitementExerciseIncreased temperaturePregnancyEpinephrine/histamineAnemia & hyperthyroidismDecreased Sitting/standingRapid arrhythmiasHeart disease
  • 46.
    Mean Circulatory FillingPressureWith heart stopped – after pressure equilibrates – pressure throughout CVS – MCFPMSFP Vs MCFP*Factors affecting:BV (more raises MCFP)Sympathetic +++ (raises MCFP)Directly proportional to VR
  • 47.
    Venous ReturnVR =MSFP* – Rt. Atrial Pressure / Resistance in venous returnVR = 7 – 0/1.4 = 5 litresVR is affected by:Blood volumeSkeletal muscle contractionVenous valvesThoracoabdominal pumpMyocardial contractibility
  • 48.
    Coupling of Cardiac& Vascular FunctionCharacteristics of arteries and veins (vascular compliance, BV & vascular resistance) affect heart fn & its other variables However, it is also true that performance of the heart influences volumes and pressures within the vasculatureSo vasculature affects heart & vice versaEquilibrium must exist between cardiac and vascular function
  • 49.
    Changes in ArterialCompliance Change Cardiac WorkOne of the more important consequences of the elastic nature of large arteries is that it reduces cardiac work*Increased arterial compliance (increase in arterial elasticity / afterload reduction) Reduces cardiac work Decreased compliance Increases cardiac workMyocardial O2 demand will be increased by any factor that reduces arterial compliance**
  • 50.
    Relationship b/w Venousfilling P. & CO : Tricky!*CVP - key determinant of filling of the right heart - key determinant of cardiac output Starling's LawHowever!Increased cardiac output into the arterial segment should result in ‘depletion’ in venous pressure & volumeQ(1) How are values of cardiac output above or below the resting level ever achieved or maintained, Q(2) What determines the resting equilibrium between cardiac output and central venous pressure?
  • 51.
    Cardiac & Vascularfn CurvesCardiac fn Curveplots CO as a function of CVPAn extension of Starling's lawPosition and slope depends on ‘cardiac’ factorsVascular fn Curveshows how CVP changes as a function of VRPosition and slope depends on ‘vascular’ factors (BV,SVR,compliance)
  • 52.
    Cardiac & Vascularfn CurvesCombining the curves provides a useful tool for predicting the changes in CO That will occur when various CVS parameters are alteredCO can be altered by:Changes in the cardiac function curve By changes in the vascular function curve By simultaneous changes in both curves
  • 53.
    Inotropic agents altercardiac fn curveVice versaCO is increased and CVP is decreased
  • 54.
    Changes in BV*alter MSP : alter vascular fn curveCO is increased and CVP is increasedVice versa
  • 55.
    Changes in TPRalter both curvesCardiac fn curve shifts downward (increased afterload)Counterclockwise rotation of vascular fn curveVice versa
  • 56.
    CO MeasurementPrinciple ofmass balanceIntroducing a known conc. of a dye (A) into an unknown volume of a fluid (V)By calculating conc. of dye in fluid (C) along with A – V can be calculated via:C1V1=C2V2A=CxVC=A/V
  • 57.
    CO MeasurementIndicator dilutionmethodKnown amount of indicator (Indocyanine green – Cardiogreen) injected into venous circulation (A)Blood sampled serially from distal arteryConcentration of dye (C) in serial samples:RisesPeaksDeclinesC is then averaged between T1 (time of appearance of dye in blood) and T2 (time of appearance of dye in blood) - Cave
  • 58.
    CO MeasurementThermodilution methodVariationof indicator dilution methodMore used in clinical practiceSwan-Ganz catheter placed via vein – threaded to the pulmonary arteryCatheter releases ice-cold saline into right heart via a side portSaline changes temperature of the blood coming in contact with it – reflected by CO – to be measured by thermistor on catheter tip (placed downstream into pulmonary artery)Equations similar to indicator dilution technique employed here
  • 59.
    CO MeasurementFick’s principle– principle of mass balance taking into account oxygen entry/exit1 liter blood can take 40 ml O2How many 1-liter ‘units’ will it take to carry 200 ml in a min? – 5 L This much needs to supplied by heart – CO!
  • 60.
    Energetics of CardiacFunctionOxidative phosphorylation of either carbohydrates or fatty acidsSteady supply of O2 required (via coronary blood flow)Cardiac energy consumption = cardiac O2 consumptionWork done by heartExternal: ejection of blood from the ventricles (Volume work)Internal: stretching elastic tissue, overcoming internal viscosity, rearranging muscular architecture of heart as it contracts (Pressure work)
  • 61.
    “Pressure Work” Vs“Volume Work”Ventricles have to do external & internal work:If the external work of the heart is raised by increasing SV, but not MAP, the O2 consumption of heart increases very littleAlternatively, if MAP is increased, O2 consumption/beat goes up much morePressure work by the heart is far more expensive in terms of O2 consumption than volume workIn other words, an increase in afterload causes greater increase in cardiac O2 consumption than does an increase in preload
  • 62.
    “Pressure Work” Vs“Volume Work”Which one would produce angina due to less O2 delivery to myocardium?Aortic stenosis or Aortic regurgitation
  • 63.
    “Pressure Work” Vs“Volume Work”Increase in O2 consumption produced by increased SV (when myocardial fibers are stretched) – preload increaseAn example of operation of law of LaplaceMore the stretch – bigger the radium – more the tension developed – more the O2 consumptionIn comparison, SNS induced increase in cardiac performanceVia intracellular Ca++ manipulation – not so much to do with radius – less O2 consumption

Editor's Notes

  • #5 Capillary filtration coefficient: number & size of pores in each capillary + number of capillaries
  • #17 *in response to the stretch, arteriolar vascular smooth muscle contracts, decreasing the arteriolar radius and returning wall tension back to normal. This relationship is explained by the law of Laplace, which states that T = P × r. If pressure (P) increases and radius (r) decreases, then wall tension (T) can remain constant. (Of course, the other consequence of the decreased radius, discussed previously, is increased arteriolar resistance; in the face of increased pressure, increased resistance allows blood flow to be maintained constant, i.e., autoregulation.)
  • #26 Normally SNS is active…..baroR mechanism increases parasympathetic NS and ‘snubs’ SNS
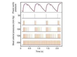
  • #35 Discharges (vertical lines) in a single afferent nerve fiber from the carotid sinus at various levels of mean arterial pressures, plotted against changes in aortic pressure with time.Baroreceptors are very sensitive to changes in pulse pressure as shown by the record of phasic aortic pressure.*esp at lower pressures….at higher pressures they seem to respond during both systolic and diastolic pressure phases
  • #36 *The degree of sympathetic vasoconstriction caused by intense cerebral ischemia is often so greatthat some of the peripheral vessels become totally or almost totally occluded.
  • #43 *discussed in detail later
  • #47 * Nearly equal due to low compliance of pulmonary tree
  • #50 Coupling of heart & circulation: corollary-1*Consider a situation in which the heart pumps blood at a constant flow of 100 mL/sec (6 L/min) into rigid arteries with a resistance of 16.6 peripheral resistance units (PRUs) for 4 seconds. This would then generate a constant pressure of 100 mm Hg, and cardiac work over the 4 seconds would be simply pressure (P) × volume (V) or 100 mm Hg × 400 mL = 40,000. If the heart pumped intermittently and ejected blood at 100 mL/sec into noncompliant arteries during the first half-second of the cycle only (i.e., 200 mL/sec for 0.5 seconds), pressure would rise to 200 mm Hg during each ejection and drop to 0 mm Hg during relaxation. Although no work would be done during relaxation, work done during the contraction would be 80,000. If this same intermittent flow was ejected into arteries with infinite compliance (flexibility), pressure would not rise during systole or fall during diastole and would remain at an average of 100 mm Hg. Work in this situation would then again equal 40,000. In reality, arteries are neither totally rigid nor infinitely compliant. **even if all other factors, such as arterial pressure, stroke volume, and heart rate, do not change. For this reason, the heart of an older person is confronted by increased oxygen demand from the simple fact that arterial compliance decreases with aging.
  • #51 *CO Is Increased by an Increase in Venous Filling Pressure, but Venous Filling Pressure Is Decreased by an Increase in CO
  • #53 Normal equilibrium point
  • #55 *Changes in venous compliance produce effects similar to those produced by changes in blood volume. Decreases in venous compliance cause a shift of blood out of the unstressed volume and into the stressed volume and produce changes similar to those caused by increases in blood volume, a parallel shift to the right. Likewise, increases in venous compliance cause a shift of blood into the unstressed volume and out of the stressed volume and produce changes similar to those caused by decreased blood volume, a parallel shift to the left.
  • #60 In applying this Fick procedure for measuring cardiac output in the human being, mixed venous blood is usually obtained through a catheter inserted up the brachial vein of the forearm, through the subclavian vein, down to the right atrium, and, finally, into the right ventricle or pulmonary artery. And systemic arterial blood can then be obtained from any systemic artery in the body. The rate of oxygen absorption by the lungs is measured by the rate of disappearance of oxygen from the respired air, using any type of oxygen meter.
  • #63 This is why angina pectoris due to deficient delivery of O2 to the myocardium is more common in aortic stenosis than in aortic insufficiency
  • #64 Difference between loading-induced enhanced contraction Vs contractibility (inotropism)!