CHROMIUM (Cr) BASED
OXIDIZING REAGENTS
ST. XAVIER’S COLLEGE AHMEDABAD
ROLL NO. – 24-PCH -105
TABLE OF CONTENT:
Types of reagents for oxidation of
alcohol
Cr based reagents :
Jones reagents
PCC pyridinium chloro chromate
Collins reagents
PDC pyridinium dichromate
OXIDATION OF ALCOHOL
C
H3 OH
H
H
C
H3 H
O
C
H3
OH
O
Controlled
oxidation
Increase in o.s
Increase in o.s
Removal of H
Removal of H
R
OH
H
R R
O
R
[O]
-2 +2 +3
+2
0
R OH
Uncontrolled
oxidation :
R
O
OH
Oxidation
Of Alcohol
Cr Based
Reagent
Jones
Reagent
Pcc
Collins
Reagent
Pdc
Mn Based
Reagents
Kmno4/Mno2
Corey Gilman -
Ganem Reagent
DMSO
Based
Swern
Oxidation
Selective
Oxidizing Agent
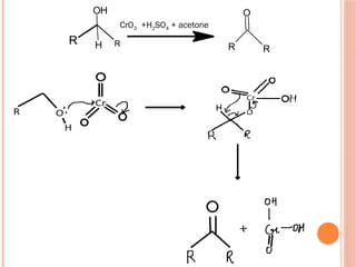
JONES REAGENT
 CrO3 +H2SO4 + acetone
 K2Cr2O7 + H2SO4 + acetone
 HCrO7 + H2SO4 + acetone
 Application
R
OH
H
R R
O
R
Jones reagent
Jones reagent
R OH R
O
OH
CrO3 +H2SO4 + acetone
R
OH
H
R R
O
R
CrO3 +H2SO4 + acetone
JONES REAGENT IS BEST IN FORMING
KETONE AND DOES NOT GIVES
ALDEHYDE
 Due to strong acidic conditions jones reagent is not
used in acid sensitive functional groups. –NBOC ,
acetal group
 It is uncontrolled reagent directly formed Acid from
alcohol.
DRAWBACK :
REACTIONS :
OH
CH3
C
H2 CH3
CH3
C
H2 CH3
O
Jones reagent
OH O
Jones reagent
OH O
Jones reagent
COLLINS REAGENT :
 CrO3 + Py CrO3Py
 In basic medium.
 Useful in acid sensitive functional group.
 It does controlled oxidation of primary alcohol and
forms aldehyde.
 Give ketone for secondary alcohol
 Applications :
R H
O
R OH
CrO3Py
R
OH
H
R R
O
R
CrO3Py
REACTIONS :
OH
CH3
CH3
3
3
3
3
3
3
3
3
3
3
3
3
3
3
3
3
3
3
3
3
3
CH3
3
3
3
3
3
3
3
3
3
3
3
3
3
3
3
3
3
3
3
3
3
C
H3
C
H2
O
CH3
OH
C
H3
O
CH3
O
C
H3
O
CH3
CH3
3
3
3
3
3
3
3
3
3
3
3
3
3
3
3
3
3
3
3
3
3
CH3
3
3
3
3
3
3
3
3
3
3
3
3
3
3
3
3
3
3
3
3
3
C
H3
C
H2
O
O
CH3
CH3
O
O
O
CH3
CH3
OH
PCC [ PYRIDINIUM CHLORO
CHROMATE ]
CrO3 + Py + HCl
Not moisture sensitive.
Excess reagent not required.
It is slight acidic but buffered by NaOAc.
Cr
O
O
Cl
O
–
N
+
H
PCC
APPLICATIONS :
R H
O
R OH
PCC
R
OH
H
R
PCC
EXAMPLES :
O
O
OH
C
H3
C
H3
C
H3
O
O
O
C
H3
C
H3
C
H3
BABBLER OXIDATION:
CH3
O
C
H3 OH
PCC can also oxidize tertiary alcohol
through [3,3] sigma tropic
rearrangement .
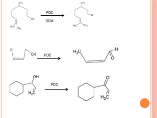
PDC PYRIDINIUM DICHROMATE
Cr
3–
O
O
O
O
H Cr
3–
O
O
OH
CrO3 + H2O
Dimer
Cr
3–
O
O
O
O
–
Cr
3–
O
O
O
–
N
+
H
N
+
H
APPLICATIONS :
 It is good oxidizing agent
 It gives clean reaction
 It shows solvent effect
 It is not acidic
PDC DCM
PDC DMF
C
H3
CH3
CH3
O
CH3
C
H3
OH
CH3
PDC
DCM
R
OH
C
H3
O
H
C
H2
OH
C
H2
O

Chromium (Cr) based oxidizing reagents.pptx