College of Natural and Computational Sciences
Department of Mathematics
Compiled Mathematics Module for Natural Science
Pre-University Remedial students
Chapter Five
Vectors
• Definition: A physical quantity which has
magnitude but not direction is called a scalar.
Example: speed, distance, temperature, etc.
• Definition: A physical quantity which has both
magnitude and direction is called a vector.
• Example: velocity, acceleration, force, etc.
• Notation: Vectors are mostly denoted by bold
letters or arrow headed letters and in this chapter
they are denoted by bold letters like u, v and w.
Addition and Scalar Multiplication of Vectors
Definition: If u and v are vectors positioned so
that the initial point of v is at the terminal point
of u, then the sum u + v is the vector from the
initial point of u to the terminal point of v.
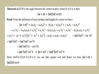
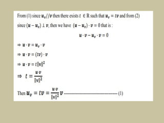
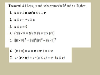
Dot (Scalar) Product
Cross product of vectors
Transformation of the plane (Reflection, Translation, Rotation)
Cont.
There are three types of rigid motions (transformations)
these are
I. Translations
II. Reflections
III. Rotations.
Translation
Definition If every point of a figure is moved along the same
direction through the same distance, then the transformation is
called a translation or parallel movement.
 If point P is translated to point P', then the vector PP‘ is said to be the
translation vector.
 If u = (h, k) is a translation vector, then the image of the point P(x, y) under
the translation will be the point P′(x + h, y + k).
Cont.
Cont.
Reflections
Cont.
Cont.
Reflection in the line y = mx, where m = tan θ
• Expanding (2 – ) and (2 – ). Now, using these
𝑐𝑜𝑠 𝜃 𝛼 𝑠𝑠𝑖𝑛 𝜃 𝛼
trigonometric identities, you obtain:
Cont.
Reflection in the line y = mx + b
Cont.
Cont.
Rotations
Cont.
Cont.
Cont.
Cont.
Cont.
Cont.
Cont.

CHAPTER-6 for Remedial Program (1).pptx of basic mathematics

  • 1.
    College of Naturaland Computational Sciences Department of Mathematics Compiled Mathematics Module for Natural Science Pre-University Remedial students
  • 2.
    Chapter Five Vectors • Definition:A physical quantity which has magnitude but not direction is called a scalar. Example: speed, distance, temperature, etc. • Definition: A physical quantity which has both magnitude and direction is called a vector. • Example: velocity, acceleration, force, etc. • Notation: Vectors are mostly denoted by bold letters or arrow headed letters and in this chapter they are denoted by bold letters like u, v and w.
  • 3.
    Addition and ScalarMultiplication of Vectors Definition: If u and v are vectors positioned so that the initial point of v is at the terminal point of u, then the sum u + v is the vector from the initial point of u to the terminal point of v.
  • 12.
  • 21.
  • 25.
    Transformation of theplane (Reflection, Translation, Rotation)
  • 26.
    Cont. There are threetypes of rigid motions (transformations) these are I. Translations II. Reflections III. Rotations.
  • 27.
    Translation Definition If everypoint of a figure is moved along the same direction through the same distance, then the transformation is called a translation or parallel movement.  If point P is translated to point P', then the vector PP‘ is said to be the translation vector.  If u = (h, k) is a translation vector, then the image of the point P(x, y) under the translation will be the point P′(x + h, y + k).
  • 28.
  • 29.
  • 30.
  • 31.
  • 32.
  • 33.
    Reflection in theline y = mx, where m = tan θ • Expanding (2 – ) and (2 – ). Now, using these 𝑐𝑜𝑠 𝜃 𝛼 𝑠𝑠𝑖𝑛 𝜃 𝛼 trigonometric identities, you obtain:
  • 34.
  • 35.
    Reflection in theline y = mx + b
  • 36.
  • 37.
  • 38.
  • 39.
  • 40.
  • 41.
  • 42.
  • 43.
  • 44.
  • 45.