A BASE QUÍMICA DA VIDA (II): OS GLÍCIDOS
Profesor: Adán Gonçalves
BIOMOLÉCULAS ORGÁNICAS: OS GLÍCIDOS
Os glícidos, tamén denominados hidratos de carbono ou, en xeral,
“azúcares” son biomoléculas orgánicas formadas fundamentalmente por
C,H e O.
Están constituídos por unha cadea de C aos que se unen H e grupos OH.
Ademais en todos os glícidos sempre hai un grupo carbonilo (cetona ou
aldehído, pero nunca os dous ao mesmo tempo).
Aldehido
Cetona
Alcohol
CLASIFICACIÓN DOS GLÍCIDOS
 MONOSACÁRIDOS OU OSAS: son polihidroxialdehídos ou
polihidroxicetonas. Son os máis sinxelos e a partir deles fórmanse os
demais glícidos. Por exemplo: glicosa, galactosa…
 OLIGOSACÁRIDOS: formados pola unión de 2 a 10 monosacáridos.
Os máis importantes son os DISACÁRIDOS formados pola unión de
dous monosacáridos. Por exemplo: maltosa, lactosa…
 POLISACÁRIDOS: constituidos pola unión de máis de 10
monosacáridos. Por exemplo: celulosa, amidón…
Os oligosacáridos e os polisacáridos pódense hidrolizar, é dicir romper
nos seus monosacáridos constituintes pola acción dunha enzimas
chamadas hidrolasas ou por ácidos.
CLASIFICACIÓN COMPLETA DOS GLÍCIDOS
 MONOSACÁRIDOS:
Son os glícidos máis sinxelos e as unidades a partir das cales se forman os
demais hidratos de carbono.
Son polihidroxialdehídos ou polihidroxicetonas.
Noméanse coa terminación –osa e o prefixo que indica o seu nº de C:
triosas (3), tetrosas (4), pentosas (5), hexosas (6)…
Teñen un mínimo de tres C (Triosas), pero os máis frecuentes son de 5
(Pentosas) ou de 6 (Hexosas).
Os máis importantes son:
 Aldopentosas: ribosa (ARN e ATP) e desoxirribosa (ADN).
 Aldohexosas: glicosa (enerxía inmediata) e galactosa.
 Cetopentosa: ribulosa (a ela se une o CO2 durante a fotosíntese).
 Cetohexosas: fructosa (azucre da froita).
ALDOSAS
CETOSAS
FÓRMULAS LINEAIS DALGÚNS MONOSACÁRIDOS
(Proxección de Fischer)
PROPIEDADES DOS MONOSACÁRIDOS
 FÍSICAS:
Teñen sabor doce, son incoloros ou de cor branca, cristalizables e
solubles en auga. Ademais teñen isomería óptica como veremos.
 QUÍMICAS:
Posúen poder redutor, é dicir son capaces de oxidarse (ceder e-) en
presenza doutras subtancias que ao aceptar eses e- redúcense. Esta
propiedade pode comprobarse mediante a proba da reacción co reactivo de
Fehling.
Ademais son capacaces de aminarse, reaccionar con ácidos, incorporar
fosfatos (-H2PO4) e sulfatos (-H2SO4) e unirse a outros monosacáridos.
ISOMERÍA ESPACIAL
É a configuración espacial que poden ter os átomos ou
radicais (grupos de átomos) respecto a un átomo dado,
neste caso o C.
Hai distintos tipos de isomería, pero aquí só trataremos
a isomería óptica: hai moléculas que son iguais física e
químicamente (mesma fórmula empírica), pero que
desvían a luz polarizada cara a dereita (dextróxiro) ou
cara a esquerda (levóxiro).
Para que unha molécula teña isomería óptica é
necesario que teña un C asimétrico (que está rodeado
por catro radicais distintos).
A excepción da dihidroxiacetona (a cetotriosa), todos os
monosacáridos teñen un ou máis C asimétricos. Por
exemplo o gliceraldehído (a aldotriosa) que da lugar a
dúas formas diferentes.
Dúas formas do
gliceraldehído
Dihidroxiacetona.
Non ten C asimétrico.
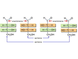
Estas dúas moléculas son isómeros (estereoisómeros) que son ademais
imaxe especular unha da outra e por iso se lles denomina
enantiómeros (ou isómeros quirais) , ademais unha é levóxira e outra
dextróxira. Porén, se a molécula ten máis dun C asimétrico pode haber
varios isómeros e só serán enantiómeros dous a dous. Aos isómeros que
non son enantiómeros chámaselles diestereoisómeros. O número de
estereoisómeros dun monosacárido pode calcularse mediante a sinxela
fórmula: 2n , onde n = nº de C asimétricos.
Por outra banda, para nomear aos monosacáridos adoitase empregar a
nomenclatura D- e L-. Esto non ten nada que ver con se é dextróxiro ou
levóxiro, senón coa posición do grupo –OH no último C asimétrico que
está máis alonxado do grupo carbonilo (aldehído ou cetona, segundo o
caso). Se o –OH está a dereita é D- e se está a esquerda é L-. Por último
se difiren somente na disposición dun C específico fálase de epímeros
(exemplo D-glicosa e D-galactosa).
CICLACIÓN DOS MONOSACÁRIDOS
En disolución moitos monosacáridos atópanse en forma cíclica
(proxección de Haworth) e non lineal. As ciclacións máis estables son as
de 5 ou 6 vértices. Para ciclar unha molécula prodúcese unha ponte ou
enlace de osíxeno entre o grupo carbonilo e o –OH do último carbono
asimétrico da molécula.
Ciclación da glicosa
CICLACIÓN DE HAWORTH
A este enlace se lle denomina hemicetal (nas cetosas) ou hemiacetal (nas
aldosas). Como consecuencia deste novo enlace hai un novo C asimétrico (o
do grupo carbonilo) que se chama C anomérico. Dependendo se o –OH está
por riba ou por baixo fálase de forma β (encima) ou forma α (debaixo).
Ademais, como se mostra na figura, se o anel é de seis vértices
engádese a terminación –piranosa e se é de cinco a terminación –
furanosa.
As aldohexosas forman aneis de seis, e as cetohexosas e as
aldopentosas forman aneis de cinco. As demais teñen formas lineais.
Non todos os monosacáridos orixinan enlaces hemiacetales ou
hemicetales intramoleculares. Para que se formen precísase que os
grupos carbonilo e hidroxilo se achegen o suficiente e isto só ocorre cando
a cadea carbonada é o bastante longa para permitir a libre rotación dos
enlaces. Por esta razón os monosacáridos de 3 e 4 átomos de C atópanse
sempre de xeito lineal.
Por outra banda, cando hai formas cíclicas as cetosas precisan maior
lonxitude de cadea, dado que o seu C carbonílico non é extremo na cadea.
Aldohexosa Cetohexosa
C2C1
α-D fructofuranosa
Actividade:
Debes tentar agora na túa libreta partindo da forma lineal obter esta
forma ciclada segundo a proxección de Haworth.
Fórmula cíclica da glicosaGlicosa
Ribosa forma parte do ARN
Desoxirribosa
forma parte do ADN
Aínda que as fórmulas de Haworth proporciónanos unha idea da
estrutura cíclica dos monosacáridos, o certo é que, así como o anel de
furanosa é case plano (axústase ben a estas proxeccións), o de
piranosa, debido as restriccións que impón a xeometría dos orbitais de
C tende a adoptar as seguintes dúas conformacións: tipo “cadeira
(silla)” e tipo “nave”.
DERIVADOS DOS MONOSACÁRIDOS
1. Desoxiazúcares: algún C non ten o grupo –OH que é substituido só por
un –H. Exemplo: desoxirribosa (deriva da ribosa)
2. Aminoazúcares: o –OH é substituido por un grupo amino (-NH2).
Exemplo: glicosamina (deriva da glicosa e forma parte da estrutura do
peptidoglicano e da quitina). O enlace denomínase N-glicosídico.
3. Ácidos urónicos: proceden da oxidación do grupo –OH do C6 a grupo
ácido. Exemplo: ácido glicurónico (deriva da glicosa e forma parte por
exemplo de mucílagos)
4. Polialcoholes: o grupo aldehído ou cetona redúcese a alcohol. Exemplo:
glicerina ou glicerol (deriva do gliceraldehído).
5. Monosacáridos fosforados: o grupo fosfato (ácido ortofosfórico)
substitúe a algún –OH. Exemplo: glicosa-6-fosfato.
O ENLACE O-GLICOSÍDICO
Os monosacáridos poden unirse entre sí mediante enlaces O-glicosídicos
que consisten na unión entre o C carbonílico dun monosacárido e o grupo
alcohol (-OH) doutro coa liberación dunha molécula de auga. Loxicamente
neste segundo monosacárido pode quedar libre o grupo carbonílico
permitindo de un nº ilimitado de monosacáridos.
ÓSIDOS HOLÓSIDOS: OLIGOSACÁRIDOS E POLISACÁRIDOS
Os ósidos son hidrolizables
porque están formados por
unións de monosacáridos
mediante enlaces O-
glicosídicos.
Os ósidos holósidos son
aqueles nos que só hai
substancias glicídicas na súa
composición.
Poden ser de dous tipos:
oligosacáridos (2-10
monosacáridos) e polisacáridos
( máis de 10).
OLIGOSACÁRIDOS
Formados pola unión mediante enlaces O-glicosídicos de 2 ata 10
monosacáridos.
Os oligosacáridos máis importantes son os disacáridos.
Entre os disacáridos destacamos:
 Lactosa: é o azucre do leite, formada pola unión dunha molécula de β-
D-galactopiranosa con outra de α-D-glicopiranosa. Enlace
monocarbonílico β (1-4).
 Celobiosa: constituida por dúas moléculas de β-D-glicopiranosa
mediante enlaces β (1-4) monocarbonílico.
 Maltosa: é o azucre de malta, formada pola unión de 2 moléculas de α-
D-glicopiranosa. Enlace α(1-4) monocarbonílico.
 Sacarosa: é o azucre de mesa (caña e remolacha), constituida pola
unión dunha molécula de α-D-glicopiranosa con outra de β-D-
fructofuranosa. Enlace dicarbonílico α(1-2).
NOMENCLATURA DISACÁRIDOS
Para nomealos colócase primeiro o C que aporta o grupo carbonilo coa
terminación –osil e despois a outra molécula coa terminación –osa, se
aporta ao enlace un C que non é carbonílico (por exemplo a lactosa sería β-
D-galactopiranosil (1-4) α-D-glicopiranosa; nestre caso só a galactosa aporta o
C carbonílico), ou a terminación –ósido, se aporta o C carbonílico (por
exemplo a sacarosa que sería α-D-glicopiranosil (1-2)β-D-fructofuranósido;
neste caso os dous monosacáridos aportan os C carbonílicos).
PROPIEDADES DOS DISACÁRIDOS
Teñen sabor doce, son solubles en auga e cristalizables igual que os monosacáridos,
pero a diferenza destes algúns disacáridos, como a sacarosa, non teñen poder redutor.
 Lactosa: atópase libre na leite de mamíferos. Durante a dixestión, a enzima lactasa
permite hidrolizala, pero moita xente despois da lactancia deixan de producir
lactasa. Deste xeito na luz do tubo dixestivo acumúlase lactosa que provoca a
entrada de auga por ósmose orixinando diarreas, vómitos… A intolerancia á lactosa
parece herdarse nun xene autosómico recesivo.
 Celobiosa: Non existe libre e obténse por hidrólese da celulosa.
 Maltosa: encóntrase no gran xerminado de cebada e outras sementes produto da
hidrólese de amidón. A cebada emprégase na produción de cervexa e de malta
(substituto do café).
 Sacarosa: obténse da caña de azucre ou da remolacha azucarera. Non ten poder
redutor. É dextróxira, pero a súa hidrólese en D-glicosa e D-fructosa é levóxira, de
aí que se lle chame azucre invertido (no mel das abellas).
REACCIÓN DE FEHLING (O PODER REDUTOR)
O C1 das aldosas e o C2 das cetosas se están en presenza dunha substancia que
poida aceptar electróns oxídanse (liberan e-). Polo tanto, a substancia quedará
reducida. Esta capacidade ponse de manifesto cando empregamos o reactivo de
Fehling que é unha mestura de dúas solucións, unha das cales ten CuSO4 (sulfato de
cobre); sal que en medio acuoso disóciase en Cu+2 e SO4
-2. Os ións Cu+2 son os que
lle confiren cor azul ao reactivo.
Se nun tubo de ensaio temos un monosacárido disolto en auga e engadimos reactivo
de Fehling e quentamos a mestura no fondo aparecerá un precipitado vermello
ladrillo. Esta cor débese a o Cu.
O monosacárido se oxida liberando e- que son captados polo Cu+2 que se reduce a
Cu+ e éste precipita en forma de Cu2O (óxido cuproso)que é de cor vermello.
Ese cambio de cor (de azul a vermello) reflicte a presenza de glícidos reductores na
solución.
“Toca Pensar”: tras esta explicación sobre o poder reductor dos monosacáridos e a
reacción de Fehling; por qué cres que algúns disacáridos como a sacarosa perden o
poder reductor?
POLISACÁRIDOS
Son os glícidos constituidos pola unión mediante enlaces O-glicosídicos de
máis de 10 monosacáridos. Hai dous tipos:
 Homopolisacáridos: compostos por un só tipo de monosacárido. Son
exemplos o amidón, o glicóxeno, a celulosa e a quitina.
 Heteropolisacáridos: formados por máis de un tipo de monosacáridos.
Son exemplos a pectina (nas paredes vexetais), o agar (obténse das
algas vermellas e emprégase como medio de cultivo en laboratorios), e a
goma arábiga (con función defensiva nos vexetais).
Ampliaremos agora a información dos homopolisacáridos por ser os máis
relevantes.
HOMOPOLISACÁRIDOS
 Amidón: é o polisacárido de reserva enerxética a longo prazo dos vexetais. Esta
formado pola mestura de dous compoñentes:
- Amilosa: polímero de maltosas unidas mediante enlaces α (1-4)
formando longas cadeas sen ramificación (ata 300 glicosas) e en
disposición helicoidal (6 por volta). En auga é unha disolución coloidal.
Tínguese con iodo (azul). Hidrolízase pola acción das amilasas orixina
primeiro polisacáridos máis pequenos chamados dextrinas e despois
maltosas que por acción da maltasa producen D-glicosas libres. Constitúe o
30% do amidón.
- Amilopectina: polímero de maltosas mediante enlaces α (1-4) formando
longas cadeas (ata 3000 glicosas) con ramificacións α (1-6) cada 25-30
glicosas. Tínguese con iodo (azul violeta). Por hidrólese con amilasas xera
maltosa e núcleos de ramificación inatacables polas enzimas (dextrinas
límite poden ser degradadas pola R-desramificante). As maltosas son
degradadas por maltasas. Supón o 70% do amidón.
A partir do amidón as plantas poden obter enerxía sen necesidade de luz
(reserva a longo prazo) esencial durante a noite e na xerminación e
desenvolvemento da semente. Localízase en plastos das células de
tubérculos, froitos, raíces…
Os grans de amidón son insolubles en auga fría. En auga quente os
polímeros máis pequenos dispérsanse (amidón soluble) o resto continúa
en grans (amidón insoluble).
HOMOPOLISACÁRIDOS
 Glicóxeno: é o polisacárido de reserva enerxética dos animais. Acumúlase
principalmente no fígado e nos músculos e como a amilopectina é un
polímero de maltosas unidas mediante enlaces α (1-4) e ramificacións α (1-
6), pero éstas son moito máis numerosas o que fai que sexa máis
compacto que o amidón. É moi grande, ata 120000 glicosas e tínguese con
iodo de vermello. Hidrolízase pola acción da glicóxeno fosforilasa que
xeran maltosa e dextrinas límite que posteriormente son degradas polas
maltasas e as 1,6 glucosidasas respectivamente.
As moléculas de glicóxeno presentan un núcleo de natureza proteica, a
glicoxenina, unha proteína enzimática que cataliza a unión glicosídica das
primeiras moléculas de glicosa que quedan unidas covalentemente á
propia proteína formando un núcleo arredor do cal crecen e se ramifican
as cadeas de glicóxeno por acción da enzima glicóxeno sintetasa.
HOMOPOLISACÁRIDOS
 Celulosa: é un polisacárido estrutural dos vexetais; forma parte das
paredes vexetais ás que confire resistencia e rixidez. Esta constituida
pola unión de moléculas de β-D-glicosa mediante enlaces β (1-4)
formando cadeas lineais sen ramificacións. Cada parella destas glicosa
denomínase celobiosa, cada polímero está formado por entre 150-5000
moléculas de celobiosa.
A disposición en paralelo destas cadeas que quedan unidan por enlaces
de hidróxeno conforma as fibras de celulosa das paredes vexetais.
As enzimas que hidrolizan os β (1-4) chámanse celulasas.
Esta enzima é producida fundamentalmente por fungos e bacterias. A
maioría dos animais non a posuímos, e por iso non é para nós unha
substancia nutritiva. Os herbívoros, e en especial os rumiantes,
desenvolveron no seu tracto dixestivo “cámaras fermentativas” con estes
microorganismos para podela dixerir.
Polisacárido estrutural
dos vexetais nos que
constitúe a parede
celular.
É o compoñente
principal da madeira (o
50% é celulosa) algodón,
cáñamo etc. O 50 % da
materia orgánica da
Biosfera é celulosa, e
polo tanto é a
biomolécula máis
abundante do planeta.
CELULOSA
HOMOPOLISACÁRIDOS
 Quitina: é un polisacárido estrutural que podemos atopar na parede
celular de fungos e formando parte do exoesqueleto de artrópodos. Está
formado por unidades repetidas dun derivado dun monosacárido, a N-
acetil-glicosamina unidas mediante enlaces β(1-4). Cada parella de
moléculas chámase quitobiosa.
HETERÓSIDOS
Son substancias que teñen unha parte glicídica e outra que non o é
(aglucón).
En sentido estricto emprégase este termo para falar da unión dun
monosacárido ou oligosacárido a outra molécula non glicídica de
baixo peso molecular. Por exemplo heterósidos antocianósidos (dan
cor as flores), tanósidos (das árbores) e algún antibiótico.
 Glucolípidos: adoitan ser receptores de membrana no tecido
nervioso. Hai cerebrósidos e gangliósidos formados por
monosacáridos ou oligosacáridos unidos a lípidos respectivamente.
 Peptidoglicanos ou mureínas: forman as paredes bacterianas.
Constituidos por cadeas de N-acetil-murámico e N-acetil-
glicosamina que están unidas por péptidos.
N-acetil murámico. Se o R é un –OH é a N-acetil-
glicosamina
HETERÓSIDOS
 Proteoglicanos: moléculas cunha alta proporción de polisacáridos e
unha pequena proporción proteica. Os máis importantes son:
- Ácido hialurónico e sulfatos de condroitina: cunha
importante función estrutural nos tecidos conectivos.
- Heparina: un anticoagulante.
 Glicoproteínas: cunha pequena proporción glicídica. As máis
importantes son as glicoproteínas de membrana nas que o
oligosacárido actúa como receptor específico desempeñando funcións
de marcadores biolóxicos, anclaxe de bacterias e determinantes
antixénicos.
FUNCIÓNS DOS GLICIDOS
 Función enerxética: o primeiro que empregan as células para obter enerxía
é a glicosa (a máis importante), fructosa e galactosa. Os disacáridos como
a sacarosa ou a lactosa son reservas a medio plazo. Por último, os
polisacáridos (glicóxeno en animais e amidón en vexetais) son a reserva a
longo prazo.
 Función estrutural: a celulosa é o compoñente principal da parede vexetal,
o peptidoglicano o é na parede bacteriana, a ribosa forma parte da
estrutura do ARN e do ATP e a desoxirribosa do ADN. A pectina intervén
na cohesión das células vexetais e o ácido hialurónico e a condroitina
forman parte da substancia intercelular dos tecidos conectivos nos
animais
 Outras funcións: algúns heteropolisacáridos teñen funcións defensivas, e
hai heterósidos que son antibióticos (estreptomicina), antíxenos ou
anticoagulantes.
GRAZAS POR ATENDERME
©ytuquetecreessoybiologo
WEBGRAFÍA
 http://www.bionova.org.es/biocast/tema07.htm
 http://dermas.info/?farma=dihidroxiacetona-dha
 https://www.facebook.com/biologo2015/?hc_ref=NEWSFEED
 https://lidiaconlaquimica.wordpress.com/tag/glucidos/
 http://med.se-todo.com/biolog/6274/index.html
 http://recursos.cnice.mec.es/biosfera/alumno/2bachillerato/biomol/imagenes/glucid
o/aglucosas.jpg

Base química da vida ii glicidos

  • 1.
    A BASE QUÍMICADA VIDA (II): OS GLÍCIDOS Profesor: Adán Gonçalves
  • 2.
    BIOMOLÉCULAS ORGÁNICAS: OSGLÍCIDOS Os glícidos, tamén denominados hidratos de carbono ou, en xeral, “azúcares” son biomoléculas orgánicas formadas fundamentalmente por C,H e O. Están constituídos por unha cadea de C aos que se unen H e grupos OH. Ademais en todos os glícidos sempre hai un grupo carbonilo (cetona ou aldehído, pero nunca os dous ao mesmo tempo). Aldehido Cetona Alcohol
  • 3.
    CLASIFICACIÓN DOS GLÍCIDOS MONOSACÁRIDOS OU OSAS: son polihidroxialdehídos ou polihidroxicetonas. Son os máis sinxelos e a partir deles fórmanse os demais glícidos. Por exemplo: glicosa, galactosa…  OLIGOSACÁRIDOS: formados pola unión de 2 a 10 monosacáridos. Os máis importantes son os DISACÁRIDOS formados pola unión de dous monosacáridos. Por exemplo: maltosa, lactosa…  POLISACÁRIDOS: constituidos pola unión de máis de 10 monosacáridos. Por exemplo: celulosa, amidón… Os oligosacáridos e os polisacáridos pódense hidrolizar, é dicir romper nos seus monosacáridos constituintes pola acción dunha enzimas chamadas hidrolasas ou por ácidos.
  • 4.
  • 5.
     MONOSACÁRIDOS: Son osglícidos máis sinxelos e as unidades a partir das cales se forman os demais hidratos de carbono. Son polihidroxialdehídos ou polihidroxicetonas. Noméanse coa terminación –osa e o prefixo que indica o seu nº de C: triosas (3), tetrosas (4), pentosas (5), hexosas (6)… Teñen un mínimo de tres C (Triosas), pero os máis frecuentes son de 5 (Pentosas) ou de 6 (Hexosas). Os máis importantes son:  Aldopentosas: ribosa (ARN e ATP) e desoxirribosa (ADN).  Aldohexosas: glicosa (enerxía inmediata) e galactosa.  Cetopentosa: ribulosa (a ela se une o CO2 durante a fotosíntese).  Cetohexosas: fructosa (azucre da froita).
  • 6.
  • 7.
  • 8.
    FÓRMULAS LINEAIS DALGÚNSMONOSACÁRIDOS (Proxección de Fischer)
  • 9.
    PROPIEDADES DOS MONOSACÁRIDOS FÍSICAS: Teñen sabor doce, son incoloros ou de cor branca, cristalizables e solubles en auga. Ademais teñen isomería óptica como veremos.  QUÍMICAS: Posúen poder redutor, é dicir son capaces de oxidarse (ceder e-) en presenza doutras subtancias que ao aceptar eses e- redúcense. Esta propiedade pode comprobarse mediante a proba da reacción co reactivo de Fehling. Ademais son capacaces de aminarse, reaccionar con ácidos, incorporar fosfatos (-H2PO4) e sulfatos (-H2SO4) e unirse a outros monosacáridos.
  • 10.
    ISOMERÍA ESPACIAL É aconfiguración espacial que poden ter os átomos ou radicais (grupos de átomos) respecto a un átomo dado, neste caso o C. Hai distintos tipos de isomería, pero aquí só trataremos a isomería óptica: hai moléculas que son iguais física e químicamente (mesma fórmula empírica), pero que desvían a luz polarizada cara a dereita (dextróxiro) ou cara a esquerda (levóxiro). Para que unha molécula teña isomería óptica é necesario que teña un C asimétrico (que está rodeado por catro radicais distintos). A excepción da dihidroxiacetona (a cetotriosa), todos os monosacáridos teñen un ou máis C asimétricos. Por exemplo o gliceraldehído (a aldotriosa) que da lugar a dúas formas diferentes. Dúas formas do gliceraldehído Dihidroxiacetona. Non ten C asimétrico.
  • 11.
    Estas dúas moléculasson isómeros (estereoisómeros) que son ademais imaxe especular unha da outra e por iso se lles denomina enantiómeros (ou isómeros quirais) , ademais unha é levóxira e outra dextróxira. Porén, se a molécula ten máis dun C asimétrico pode haber varios isómeros e só serán enantiómeros dous a dous. Aos isómeros que non son enantiómeros chámaselles diestereoisómeros. O número de estereoisómeros dun monosacárido pode calcularse mediante a sinxela fórmula: 2n , onde n = nº de C asimétricos. Por outra banda, para nomear aos monosacáridos adoitase empregar a nomenclatura D- e L-. Esto non ten nada que ver con se é dextróxiro ou levóxiro, senón coa posición do grupo –OH no último C asimétrico que está máis alonxado do grupo carbonilo (aldehído ou cetona, segundo o caso). Se o –OH está a dereita é D- e se está a esquerda é L-. Por último se difiren somente na disposición dun C específico fálase de epímeros (exemplo D-glicosa e D-galactosa).
  • 14.
    CICLACIÓN DOS MONOSACÁRIDOS Endisolución moitos monosacáridos atópanse en forma cíclica (proxección de Haworth) e non lineal. As ciclacións máis estables son as de 5 ou 6 vértices. Para ciclar unha molécula prodúcese unha ponte ou enlace de osíxeno entre o grupo carbonilo e o –OH do último carbono asimétrico da molécula. Ciclación da glicosa
  • 15.
    CICLACIÓN DE HAWORTH Aeste enlace se lle denomina hemicetal (nas cetosas) ou hemiacetal (nas aldosas). Como consecuencia deste novo enlace hai un novo C asimétrico (o do grupo carbonilo) que se chama C anomérico. Dependendo se o –OH está por riba ou por baixo fálase de forma β (encima) ou forma α (debaixo).
  • 16.
    Ademais, como semostra na figura, se o anel é de seis vértices engádese a terminación –piranosa e se é de cinco a terminación – furanosa. As aldohexosas forman aneis de seis, e as cetohexosas e as aldopentosas forman aneis de cinco. As demais teñen formas lineais.
  • 17.
    Non todos osmonosacáridos orixinan enlaces hemiacetales ou hemicetales intramoleculares. Para que se formen precísase que os grupos carbonilo e hidroxilo se achegen o suficiente e isto só ocorre cando a cadea carbonada é o bastante longa para permitir a libre rotación dos enlaces. Por esta razón os monosacáridos de 3 e 4 átomos de C atópanse sempre de xeito lineal. Por outra banda, cando hai formas cíclicas as cetosas precisan maior lonxitude de cadea, dado que o seu C carbonílico non é extremo na cadea. Aldohexosa Cetohexosa C2C1
  • 18.
    α-D fructofuranosa Actividade: Debes tentaragora na túa libreta partindo da forma lineal obter esta forma ciclada segundo a proxección de Haworth.
  • 19.
    Fórmula cíclica daglicosaGlicosa
  • 20.
  • 21.
  • 22.
    Aínda que asfórmulas de Haworth proporciónanos unha idea da estrutura cíclica dos monosacáridos, o certo é que, así como o anel de furanosa é case plano (axústase ben a estas proxeccións), o de piranosa, debido as restriccións que impón a xeometría dos orbitais de C tende a adoptar as seguintes dúas conformacións: tipo “cadeira (silla)” e tipo “nave”.
  • 23.
    DERIVADOS DOS MONOSACÁRIDOS 1.Desoxiazúcares: algún C non ten o grupo –OH que é substituido só por un –H. Exemplo: desoxirribosa (deriva da ribosa) 2. Aminoazúcares: o –OH é substituido por un grupo amino (-NH2). Exemplo: glicosamina (deriva da glicosa e forma parte da estrutura do peptidoglicano e da quitina). O enlace denomínase N-glicosídico. 3. Ácidos urónicos: proceden da oxidación do grupo –OH do C6 a grupo ácido. Exemplo: ácido glicurónico (deriva da glicosa e forma parte por exemplo de mucílagos) 4. Polialcoholes: o grupo aldehído ou cetona redúcese a alcohol. Exemplo: glicerina ou glicerol (deriva do gliceraldehído). 5. Monosacáridos fosforados: o grupo fosfato (ácido ortofosfórico) substitúe a algún –OH. Exemplo: glicosa-6-fosfato.
  • 25.
    O ENLACE O-GLICOSÍDICO Osmonosacáridos poden unirse entre sí mediante enlaces O-glicosídicos que consisten na unión entre o C carbonílico dun monosacárido e o grupo alcohol (-OH) doutro coa liberación dunha molécula de auga. Loxicamente neste segundo monosacárido pode quedar libre o grupo carbonílico permitindo de un nº ilimitado de monosacáridos.
  • 26.
    ÓSIDOS HOLÓSIDOS: OLIGOSACÁRIDOSE POLISACÁRIDOS Os ósidos son hidrolizables porque están formados por unións de monosacáridos mediante enlaces O- glicosídicos. Os ósidos holósidos son aqueles nos que só hai substancias glicídicas na súa composición. Poden ser de dous tipos: oligosacáridos (2-10 monosacáridos) e polisacáridos ( máis de 10).
  • 27.
    OLIGOSACÁRIDOS Formados pola uniónmediante enlaces O-glicosídicos de 2 ata 10 monosacáridos. Os oligosacáridos máis importantes son os disacáridos. Entre os disacáridos destacamos:  Lactosa: é o azucre do leite, formada pola unión dunha molécula de β- D-galactopiranosa con outra de α-D-glicopiranosa. Enlace monocarbonílico β (1-4).  Celobiosa: constituida por dúas moléculas de β-D-glicopiranosa mediante enlaces β (1-4) monocarbonílico.  Maltosa: é o azucre de malta, formada pola unión de 2 moléculas de α- D-glicopiranosa. Enlace α(1-4) monocarbonílico.  Sacarosa: é o azucre de mesa (caña e remolacha), constituida pola unión dunha molécula de α-D-glicopiranosa con outra de β-D- fructofuranosa. Enlace dicarbonílico α(1-2).
  • 28.
    NOMENCLATURA DISACÁRIDOS Para nomealoscolócase primeiro o C que aporta o grupo carbonilo coa terminación –osil e despois a outra molécula coa terminación –osa, se aporta ao enlace un C que non é carbonílico (por exemplo a lactosa sería β- D-galactopiranosil (1-4) α-D-glicopiranosa; nestre caso só a galactosa aporta o C carbonílico), ou a terminación –ósido, se aporta o C carbonílico (por exemplo a sacarosa que sería α-D-glicopiranosil (1-2)β-D-fructofuranósido; neste caso os dous monosacáridos aportan os C carbonílicos).
  • 29.
    PROPIEDADES DOS DISACÁRIDOS Teñensabor doce, son solubles en auga e cristalizables igual que os monosacáridos, pero a diferenza destes algúns disacáridos, como a sacarosa, non teñen poder redutor.  Lactosa: atópase libre na leite de mamíferos. Durante a dixestión, a enzima lactasa permite hidrolizala, pero moita xente despois da lactancia deixan de producir lactasa. Deste xeito na luz do tubo dixestivo acumúlase lactosa que provoca a entrada de auga por ósmose orixinando diarreas, vómitos… A intolerancia á lactosa parece herdarse nun xene autosómico recesivo.  Celobiosa: Non existe libre e obténse por hidrólese da celulosa.  Maltosa: encóntrase no gran xerminado de cebada e outras sementes produto da hidrólese de amidón. A cebada emprégase na produción de cervexa e de malta (substituto do café).  Sacarosa: obténse da caña de azucre ou da remolacha azucarera. Non ten poder redutor. É dextróxira, pero a súa hidrólese en D-glicosa e D-fructosa é levóxira, de aí que se lle chame azucre invertido (no mel das abellas).
  • 30.
    REACCIÓN DE FEHLING(O PODER REDUTOR) O C1 das aldosas e o C2 das cetosas se están en presenza dunha substancia que poida aceptar electróns oxídanse (liberan e-). Polo tanto, a substancia quedará reducida. Esta capacidade ponse de manifesto cando empregamos o reactivo de Fehling que é unha mestura de dúas solucións, unha das cales ten CuSO4 (sulfato de cobre); sal que en medio acuoso disóciase en Cu+2 e SO4 -2. Os ións Cu+2 son os que lle confiren cor azul ao reactivo. Se nun tubo de ensaio temos un monosacárido disolto en auga e engadimos reactivo de Fehling e quentamos a mestura no fondo aparecerá un precipitado vermello ladrillo. Esta cor débese a o Cu. O monosacárido se oxida liberando e- que son captados polo Cu+2 que se reduce a Cu+ e éste precipita en forma de Cu2O (óxido cuproso)que é de cor vermello. Ese cambio de cor (de azul a vermello) reflicte a presenza de glícidos reductores na solución. “Toca Pensar”: tras esta explicación sobre o poder reductor dos monosacáridos e a reacción de Fehling; por qué cres que algúns disacáridos como a sacarosa perden o poder reductor?
  • 31.
    POLISACÁRIDOS Son os glícidosconstituidos pola unión mediante enlaces O-glicosídicos de máis de 10 monosacáridos. Hai dous tipos:  Homopolisacáridos: compostos por un só tipo de monosacárido. Son exemplos o amidón, o glicóxeno, a celulosa e a quitina.  Heteropolisacáridos: formados por máis de un tipo de monosacáridos. Son exemplos a pectina (nas paredes vexetais), o agar (obténse das algas vermellas e emprégase como medio de cultivo en laboratorios), e a goma arábiga (con función defensiva nos vexetais). Ampliaremos agora a información dos homopolisacáridos por ser os máis relevantes.
  • 32.
    HOMOPOLISACÁRIDOS  Amidón: éo polisacárido de reserva enerxética a longo prazo dos vexetais. Esta formado pola mestura de dous compoñentes: - Amilosa: polímero de maltosas unidas mediante enlaces α (1-4) formando longas cadeas sen ramificación (ata 300 glicosas) e en disposición helicoidal (6 por volta). En auga é unha disolución coloidal. Tínguese con iodo (azul). Hidrolízase pola acción das amilasas orixina primeiro polisacáridos máis pequenos chamados dextrinas e despois maltosas que por acción da maltasa producen D-glicosas libres. Constitúe o 30% do amidón. - Amilopectina: polímero de maltosas mediante enlaces α (1-4) formando longas cadeas (ata 3000 glicosas) con ramificacións α (1-6) cada 25-30 glicosas. Tínguese con iodo (azul violeta). Por hidrólese con amilasas xera maltosa e núcleos de ramificación inatacables polas enzimas (dextrinas límite poden ser degradadas pola R-desramificante). As maltosas son degradadas por maltasas. Supón o 70% do amidón.
  • 33.
    A partir doamidón as plantas poden obter enerxía sen necesidade de luz (reserva a longo prazo) esencial durante a noite e na xerminación e desenvolvemento da semente. Localízase en plastos das células de tubérculos, froitos, raíces… Os grans de amidón son insolubles en auga fría. En auga quente os polímeros máis pequenos dispérsanse (amidón soluble) o resto continúa en grans (amidón insoluble).
  • 34.
    HOMOPOLISACÁRIDOS  Glicóxeno: éo polisacárido de reserva enerxética dos animais. Acumúlase principalmente no fígado e nos músculos e como a amilopectina é un polímero de maltosas unidas mediante enlaces α (1-4) e ramificacións α (1- 6), pero éstas son moito máis numerosas o que fai que sexa máis compacto que o amidón. É moi grande, ata 120000 glicosas e tínguese con iodo de vermello. Hidrolízase pola acción da glicóxeno fosforilasa que xeran maltosa e dextrinas límite que posteriormente son degradas polas maltasas e as 1,6 glucosidasas respectivamente.
  • 35.
    As moléculas deglicóxeno presentan un núcleo de natureza proteica, a glicoxenina, unha proteína enzimática que cataliza a unión glicosídica das primeiras moléculas de glicosa que quedan unidas covalentemente á propia proteína formando un núcleo arredor do cal crecen e se ramifican as cadeas de glicóxeno por acción da enzima glicóxeno sintetasa.
  • 36.
    HOMOPOLISACÁRIDOS  Celulosa: éun polisacárido estrutural dos vexetais; forma parte das paredes vexetais ás que confire resistencia e rixidez. Esta constituida pola unión de moléculas de β-D-glicosa mediante enlaces β (1-4) formando cadeas lineais sen ramificacións. Cada parella destas glicosa denomínase celobiosa, cada polímero está formado por entre 150-5000 moléculas de celobiosa. A disposición en paralelo destas cadeas que quedan unidan por enlaces de hidróxeno conforma as fibras de celulosa das paredes vexetais. As enzimas que hidrolizan os β (1-4) chámanse celulasas. Esta enzima é producida fundamentalmente por fungos e bacterias. A maioría dos animais non a posuímos, e por iso non é para nós unha substancia nutritiva. Os herbívoros, e en especial os rumiantes, desenvolveron no seu tracto dixestivo “cámaras fermentativas” con estes microorganismos para podela dixerir.
  • 37.
    Polisacárido estrutural dos vexetaisnos que constitúe a parede celular. É o compoñente principal da madeira (o 50% é celulosa) algodón, cáñamo etc. O 50 % da materia orgánica da Biosfera é celulosa, e polo tanto é a biomolécula máis abundante do planeta. CELULOSA
  • 38.
    HOMOPOLISACÁRIDOS  Quitina: éun polisacárido estrutural que podemos atopar na parede celular de fungos e formando parte do exoesqueleto de artrópodos. Está formado por unidades repetidas dun derivado dun monosacárido, a N- acetil-glicosamina unidas mediante enlaces β(1-4). Cada parella de moléculas chámase quitobiosa.
  • 39.
    HETERÓSIDOS Son substancias queteñen unha parte glicídica e outra que non o é (aglucón). En sentido estricto emprégase este termo para falar da unión dun monosacárido ou oligosacárido a outra molécula non glicídica de baixo peso molecular. Por exemplo heterósidos antocianósidos (dan cor as flores), tanósidos (das árbores) e algún antibiótico.  Glucolípidos: adoitan ser receptores de membrana no tecido nervioso. Hai cerebrósidos e gangliósidos formados por monosacáridos ou oligosacáridos unidos a lípidos respectivamente.  Peptidoglicanos ou mureínas: forman as paredes bacterianas. Constituidos por cadeas de N-acetil-murámico e N-acetil- glicosamina que están unidas por péptidos.
  • 40.
    N-acetil murámico. Seo R é un –OH é a N-acetil- glicosamina
  • 41.
    HETERÓSIDOS  Proteoglicanos: moléculascunha alta proporción de polisacáridos e unha pequena proporción proteica. Os máis importantes son: - Ácido hialurónico e sulfatos de condroitina: cunha importante función estrutural nos tecidos conectivos. - Heparina: un anticoagulante.  Glicoproteínas: cunha pequena proporción glicídica. As máis importantes son as glicoproteínas de membrana nas que o oligosacárido actúa como receptor específico desempeñando funcións de marcadores biolóxicos, anclaxe de bacterias e determinantes antixénicos.
  • 42.
    FUNCIÓNS DOS GLICIDOS Función enerxética: o primeiro que empregan as células para obter enerxía é a glicosa (a máis importante), fructosa e galactosa. Os disacáridos como a sacarosa ou a lactosa son reservas a medio plazo. Por último, os polisacáridos (glicóxeno en animais e amidón en vexetais) son a reserva a longo prazo.  Función estrutural: a celulosa é o compoñente principal da parede vexetal, o peptidoglicano o é na parede bacteriana, a ribosa forma parte da estrutura do ARN e do ATP e a desoxirribosa do ADN. A pectina intervén na cohesión das células vexetais e o ácido hialurónico e a condroitina forman parte da substancia intercelular dos tecidos conectivos nos animais  Outras funcións: algúns heteropolisacáridos teñen funcións defensivas, e hai heterósidos que son antibióticos (estreptomicina), antíxenos ou anticoagulantes.
  • 43.
  • 44.
    WEBGRAFÍA  http://www.bionova.org.es/biocast/tema07.htm  http://dermas.info/?farma=dihidroxiacetona-dha https://www.facebook.com/biologo2015/?hc_ref=NEWSFEED  https://lidiaconlaquimica.wordpress.com/tag/glucidos/  http://med.se-todo.com/biolog/6274/index.html  http://recursos.cnice.mec.es/biosfera/alumno/2bachillerato/biomol/imagenes/glucid o/aglucosas.jpg