Embed presentation
Download to read offline








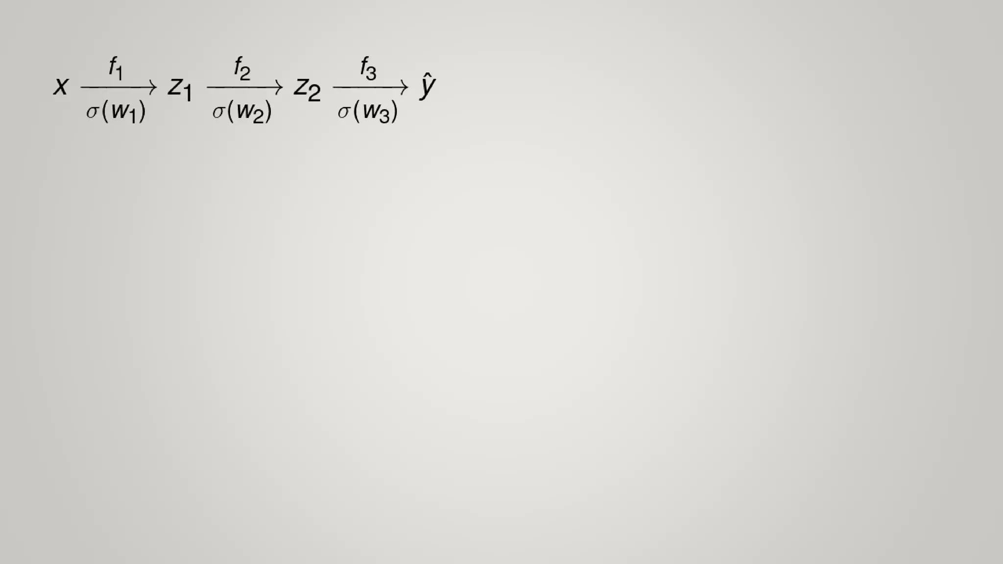
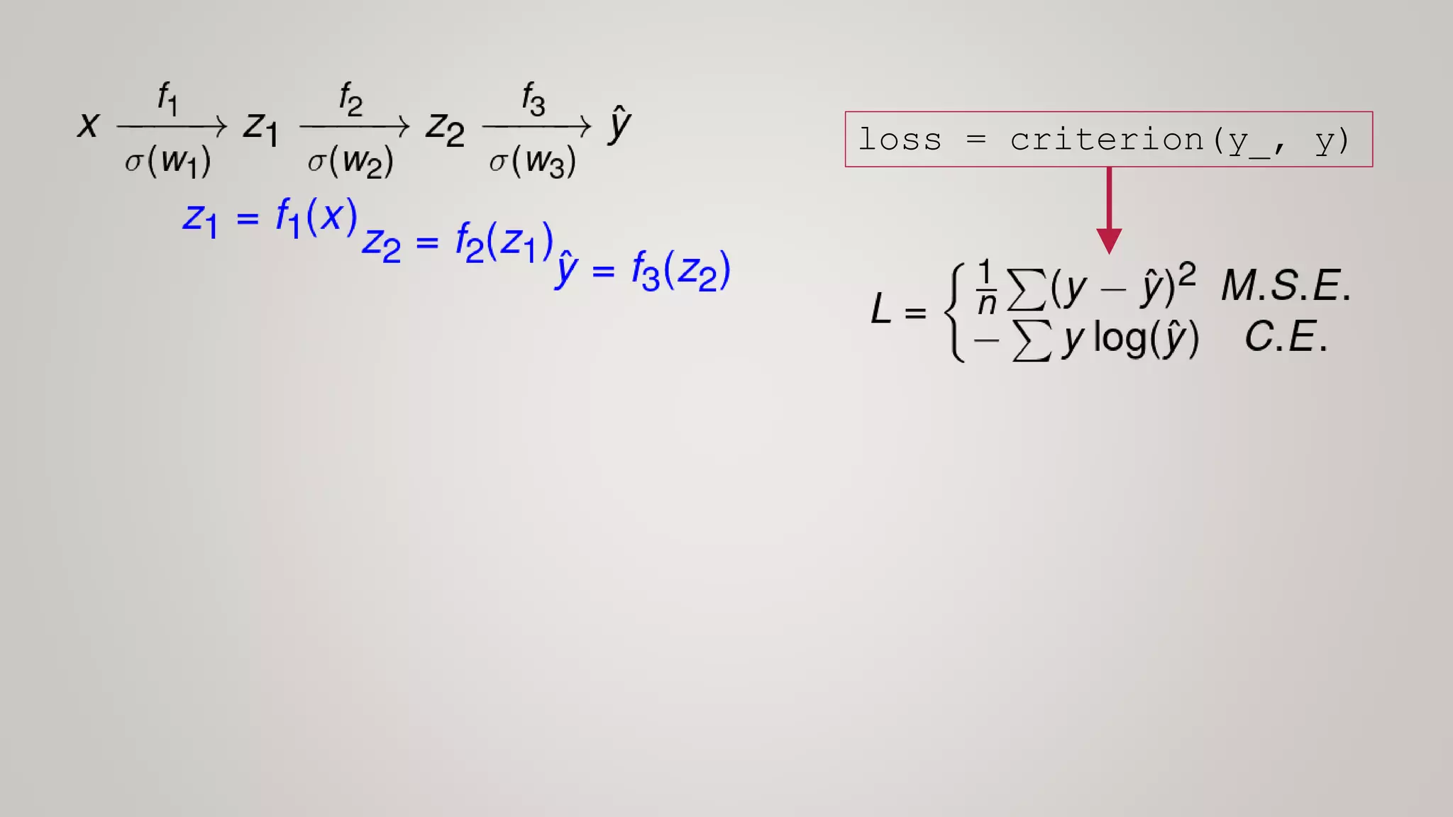
This document describes the backpropagation process for training a deep learning model using PyTorch. The model takes an input x and produces an output y_, which is compared to the actual output y using a criterion like cross entropy to calculate the loss. This loss is then propagated back through the model using loss.backward(), and the optimizer uses this gradient to update the model parameters with optimizer.step(). This process of forward and backward passing is repeated to iteratively minimize the loss and improve the model.






