ATOMIC STRUCTURE
3
OBJECTIVE CHEMISTRY IA
ELITE SERIES for Sri Chaitanya Jr. ICON Students
D
D
D
D
1. ATOMIC STRUCTURE
h
h
h
h
SYNOPSIS
I. Atomic Number of an element :
Total number of protons present in the nucleus = Total Number of electrons in the atom
Mass number of an element = Number of protons + Number of neutrons
X
A
Z
Mass number
Atomic number
Symbol of the
element
e.g.,
23
Na
11
, 35
Cl
17
and so on.
Terms associated with element
v Isotopes: Atoms having same number of protons.
v Isobars: Elements having same mass number.
v Isotones: elements having same number of neutrons (A–Z).
v Isoelectronic: Species/elements having same number of electrons.
v Isosters: Species having same number of atoms and electrons.
v Isodiaphers: Elements having same number of N Z
 or A 2Z
 .
v Paramagnetic: Species having non-zero unpaired electron.
v Diamagnetic: Species having zero unpaired electron.
Rutherford’s Model :
v Electrons, Protons  neutrons are the most important fundamental particles of atoms of all elements
(Except hydrogen).
v A
Z X, Mass number (A) = Atomic number (Z) + number of neutrons (n)
v RN = R0(A)1/3, R0 = 1.33 × 10–13 cm; A = mass number, RN = Radius of nucleus
v 2 1 2
a a
q q
1
m v K ;
2 r
s

r = distance of closest approach
vB  Velocity of an B particle
ma = mass Bof particle
q1 = charge of Bparticle
q2 = charge on metal foil
Size of the Nucleus :
The volume of the nucleus is very small and is only a minute of the total volume of the atom.
Nucleus has a diameter of the order of 10–12 to 10–13 cm and the atom has a diameter of the order of
10–8 cm.
Contact  Whatsapp To buy Editable Material  More Information(Details) About Material…
1. 7905239992
2. 6397775276
4 ELITE SERIES for Sri Chaitanya Jr. ICON Students
OBJECTIVE CHEMISTRY IA
ATOMIC STRUCTURE
D
D
D
D
Table
Particles Symbol Mass Charge Discoverer
Electron –1e0 or C 9.10939 × 10–31 kg – 1.6022 × l0–19 J.J. Thomson
Coulombs
Stoney Lorentz 1887
0.00054 u – 4.803 × 10–10 esu
Proton 1H1 1.6722 × 10–27 kg + 1.6022 × 10–19 Goldstein
Coulombs
Rutherford 1907
1.00727 u + 4.803 × 10–10 esu
Neutron 0n1 1.67493 × 10–27 kg neutral James Chadwick 1932
1.00867 u 0
1 amu = u ≈1.66 × 10–27 kg
Thus, diameter (size) of the atom is 1,00,000 times the diameter of the nucleus.
Light :
v Photon is considered as massless bundle of energy.
v Energy of light E = mc2, m = where mass of light particle, c = speed of light
v   M  !
M
photon
1240eV
E hv hc / hcv
(nm)
h = where Planck constant, M  wavelength of v  photon, wave number.
Order of wavelength in Electromagnetic spectrum :
Cosmic rays  H –rays  X-rays  Ultraviolet rays  Visible  Infrared  Micro waves  Radio waves.
Photoelectric Effect :
v When radiation with certain minimum frequency (v0 called threshold frequency), strikes the surface
of a metal, electrons (called photoelectrons) are ejected from the surface.
v Kinetic energy of photoelectron 0
hv w hv hv
   
where w = work function; v0 = Threshold frequency
v If 0
v v
r , then photo electric effect take place.
v Accelerating potential 2
1
eV KE mv
2
  
v Electrostatic force 1 2
2
Kq q
r
 where 9 2 2
0
1
K 9 10 N m /C
4
  s 
QF
v Potential energy due to electrostatic force 1 2
Kq q
r
 ; q1 = charge of electron, q2 = charge of nucleus
v Potential due to (Q) charge of particle at a distance
KQ
(r)
r

Contact  Whatsapp To buy Editable Material  More Information(Details) About Material…
1. 7905239992
2. 6397775276
ATOMIC STRUCTURE
5
OBJECTIVE CHEMISTRY IA
ELITE SERIES for Sri Chaitanya Jr. ICON Students
D
D
D
D
v Bohr quantization rule  
Q
nh
mvr nh
2
v According to newton’s second law, in a uniform circular motion resultant of all the forces towards
centre must be equal to
2
mv
r
v
2
1 2
2
Kq q mv
r
r

where q1 = charge of electron, q2 = charge of nucleus, m = mass of electron, r = radius of Bohr’s orbit
v P.E. =
2
Ze
r
 ; K.E. =
2
Ze
2r
; Total energy =
2
Ze
2r

v Total energy of electron in nth Bohr orbit.
2 4 2 2 4 2 2
2 2
1
n 1
2 2 2 2
E 2 me K 2 me K Z
E Z Z ; E
n n h h
Q  Q
   
  s
2
n 2
z
E 13.6
n
eV/atom, z = where atomic number of single electron atoms/ion
= –2.18 × 10–11 ergatom–1 = –2.18 × 10–18 J atom–1 = –313.6 kcal mol–1
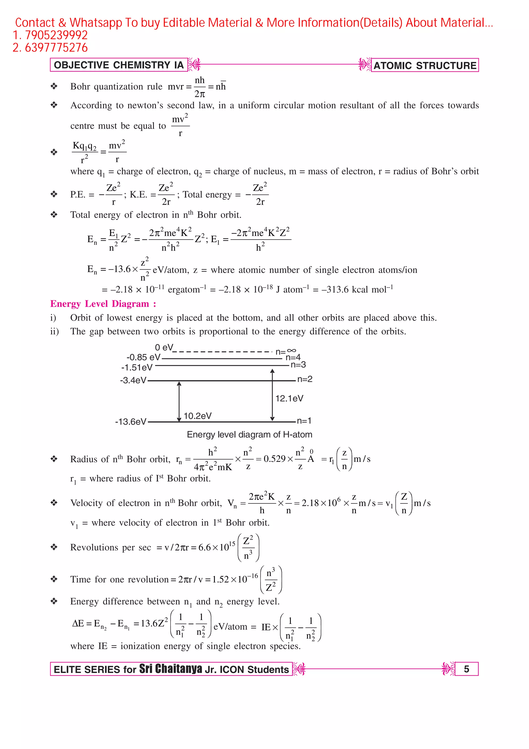
Energy Level Diagram :
i) Orbit of lowest energy is placed at the bottom, and all other orbits are placed above this.
ii) The gap between two orbits is proportional to the energy difference of the orbits.
-0.85 eV
-13.6eV
-3.4eV
-1.51eV
n=
n=4
n=3
n=2
n=1
10.2eV
12.1eV
Energy level diagram of H-atom
0 eV ∞
v Radius of nth Bohr orbit,
2 2 2 0
n 1
2 2
h n n z
r 0.529 A r m /s
z z n
4 e mK
¥ ´
 s  s  ¦ µ
§ ¶
Q
r1 = where radius of Ist Bohr orbit.
v Velocity of electron in nth Bohr orbit,
2
6
n 1
2 e K z z Z
V 2.18 10 m /s v m /s
h n n n
Q ¥ ´
 s  s s  ¦ µ
§ ¶
v1 = where velocity of electron in 1st Bohr orbit.
v Revolutions per sec
¥ ´
 Q  s ¦ µ
§ ¶
2
15
3
Z
v /2 r 6.6 10
n
v Time for one revolution
3
16
2
n
2 r / v 1.52 10
Z
 ¥ ´
 Q  s ¦ µ
§ ¶
v Energy difference between n1 and n2 energy level.
2 1
2
n n 2 2
1 2
1 1
E E E 13.6Z
n n
¥ ´
%    
¦ µ
§ ¶
eV/atom = 2 2
1 2
1 1
IE
n n
¥ ´
s 
¦ µ
§ ¶
where IE = ionization energy of single electron species.
Contact  Whatsapp To buy Editable Material  More Information(Details) About Material…
1. 7905239992
2. 6397775276
6 ELITE SERIES for Sri Chaitanya Jr. ICON Students
OBJECTIVE CHEMISTRY IA
ATOMIC STRUCTURE
D
D
D
D
v Ionization energy G.S. G.S. G.S.
E E E ;E
d
    Energy of electron in ground state.
v Total energy of electron in terms of kinetic energy (KE) and potential energy (PE)
n
PE
E KE PE KE
2
   
Revolution per second
2
15
3
Z
f 6.57 10
n
 s ; Time taken for one revolution t = 1.52 × 10–16
3
2
n
Sec
Z
v Mass of electron at high speed, 1
2
m
m
1 (V/ c)


II. Spectral Lines :
v Rydberg’s Equation
2 1
H H
2 2
1 2
1 1 1
v R Z ;R 109700cm
n n

¨ ·
   s ! 
© ¸
M ª ¹
Rydberg Constant
v
o
H
1
912A
R

v For First line of a series 2 1
n n 1

v Limiting spectral line (series limit) means 2
n  d
v HB line means n2 = n1 + 1; also known as line of longest M , shortest v, least E
v Similarly HC line means n2 = n1 + 2
v When electrons de-excite from higher energy level (n) to ground state in atomic sample, then
number of spectral lines observed in the spectrum
n(n 1)
2


v When electrons de-excite from higher energy level (n2) to lower energy level (n2) in atomic sample,
then number of spectral line observed in the spectrum
2 1 2 1
(n n )(n n 1)
2
 

v When electron de-excites from higher energy level (n2) to lower energy level (n1) in isolated atom,
then number of spectral line observed in the spectrum = (n2 – n1).
De-broglie Hypothesis :
v All material particles posses wave character as well as particle character.
v h / mv h / p
M  
v The circumference of the nth orbit is equal to ‘n’ times of wavelength of electron i.e., n
2 r n
Q  M .
Number of waves = n = principal quantum number.
v Wavelength of electron
0
150
( ) A
V(volts)
M !
0
12.3
A
V

v Wave nature of electron has been confirmed by Davisson and Germer experiment.
Heisenberg Uncertainty Principle :
v According to this principle, “it is impossible to measure simultaneously the position and momentum
of a microscopic particle with absolute accuracy”. If one of them is measured with greater accuracy,
the other becomes less accurate.
v x. p h / 4
% % r Q (or)
h
( x)( v)
4 m
% % r
Q
(or)
2
( x)( )
4
M
% %M r
Q
ATOMIC STRUCTURE
7
OBJECTIVE CHEMISTRY IA
ELITE SERIES for Sri Chaitanya Jr. ICON Students
D
D
D
D
where x
% = Uncertainty in position, p
%  uncertainty in momentum
v
%  Uncertainty in velocity, %M  Uncertainty in wavelength.
m = mass of microscopic particle, M  wavelength of microscopic particle
In terms of uncertainty in energy E
% , and uncertainty in time t
% , this principle is written as,
h
x. t
4
% % r
Q
.
v Heisenberg replaced the concept of orbit by that of orbital.
v Decreasing the wavelength of light used in experiment, decreases the uncertainty in position and
increases the uncertainty in momentum.
Schrodinger Equation :
v Schrodinger equation is central equation of wave mechanics
according to following equation,
2 2 2 2
2 2 2 2
8 m
E V 0
x y z h
u : u : u : Q
 : 
u u u
:wave function= f(x, y, z) ; E = Total energy of particle ; V = Potential energy of particle
For the motion of one particle in one (the x) direction, the Schrodinger wave equation is
2 2
2 2
h d
8 m dx
Z
Q
+ V := E :
v A solution to schrodinger equation leads to infinite solutions.
v Most of the solutions are not realistic (or acceptable). Only few solutions can be accepted.
v Each solution - (x,y,z)
: correspond to a definite energy state depends on quantum number n, l  m
By proper mathematical manipulation the main equation is broken in two parts and solved
separately.
(i) Radial part contain only ‘r’ depends on quantum number n  l.
(ii) Angular part contain R and G , depends on quantum number l  m.
Each :contain all the information about that particular quantum state.
III. v Atomic Orbital : This is a three dimensional space around the nucleus within which the
probability of finding the electron is maximum
v Degenerate Orbitals: Orbitals with same value of n and l of same sub shell are degenerate orbitals.
For Ex. 2px, 2py, 2pz, etc.,
v Radial Probability Density 2 2
4 r R (r)
 Q
It is the probability of finding electron in the region between r and r + dr
v Radial Node : It is a zero electron density region R2(r) = 0 or R (r) = 0
v Nodal Point : It is a point (r = 0) where electron density is zero.
v Nodal Plane : It is a plane by which two lobes are separated and electron density is zero here.
v Quantum Numbers : Four types of quantum numbers which are following :
v Principal quantum number (n) : It determines the size of an orbital. Each value of n represents a
shell of orbital. Possible values of n = 1, 2, 3, 4, ......
v Azimuthal quantum number (l) : It determines shape of an orbital. Each value of l represents a
subshell of an orbital. Possible values of l = 0, 1, 2, ....... (n–1)
v Magnetic quantum number (m) : It decides orientation of orbital in space.
Possible values of m = – l, ...... –1, 0, +1 ...... l. Total (2l + 1) values are possible.
8 ELITE SERIES for Sri Chaitanya Jr. ICON Students
OBJECTIVE CHEMISTRY IA
ATOMIC STRUCTURE
D
D
D
D
v Spin quantum number (s) : It is intrinsic property of any electron. The electron has two spin states.
Possible values of
1 1
s ,
2 2
 
Shell, sub-shells and orbitals present :
Shell (n) Sub-shells (l) Orbitals (m)
1. 0 0
2. 0
0
1 1, 0
p
3. 0 0
1 1, 0
2 2, 1, 0
p
p p
Important Points on Quantum Number :
v Azimuthal quantum number and magnetic quantum number are related to orbital angular
momentum. While l gives the total angular momentum ‘m’ gives the Z-component of orbital
angular momentum. z
h
(L m )
2

Q
.
v The angle between Z-axis and the Z-component of angular momentum vector
1 m
cos
( 1)
l l
 ¥ ´
R  ¦ µ
§ ¶
since m ( 1),
x l l so 0
R x .
v Orbital angular momentum
h
( 1)
2

Q
l l
v Spin angular momentum
h
S(S 1)
2

Q
v Spin Magnetic moment ( ) n(n 2)
N  B.M.
n = number of unpaired electrons
v Maximum number of electrons in a shell = 2n2
v Maximum number of electrons in a subshell = 2 (2l + 1)
v Maximum number of electrons in an orbital = 2
v Total number of orbitals in a subshell = 2l + 1
v Number of subshells in a shell = n
v Number of orbitals in a shell = n2
v Radial Nodes = (n – l – 1)
v Angular nodes = l
v Total nodes = (n – 1)
v Azimuthal quantum number 0 1 2 3 4
Name of sub-shell s p d f g
Contact  Whatsapp To buy Editable Material  More Information(Details) About Material…
1. 7905239992
2. 6397775276
ATOMIC STRUCTURE
9
OBJECTIVE CHEMISTRY IA
ELITE SERIES for Sri Chaitanya Jr. ICON Students
D
D
D
D
1234567890123456789012345678901212345678901
1234567890123456789012345678901212345678901
1234567890123456789012345678901212345678901
1234567890123456789012345678901212345678901
1234567890123456789012345678901212345678901
1234567890123456789012345678901212345678901
1234567890123456789012345678901212345678901
1234567890123456789012345678901212345678901
1234567890123456789012345678901212345678901
Pauli’s Exclusion Principle :
No two electrons in an atom can have the same set of all the four quantum numbers, i.e. an orbital
cannot have more than 2 electrons because three quantum numbers (principal, azimuthal and magnetic)
may be same but the fourth must be different, i.e., spins must be in opposite directions.
Aufbau Principle :
Electrons are filled in various sub shells in order of their increasing energies. An orbital of lowest
energy is filled first. The sequence of orbitals in order of their increasing energy is :
1s, 2s, 2p, 3s, 3p, 4s, 3d, 4p, 5s, 4d, 5p, 6s, 4f, 5d, 6p, 7s, 5f, 6d, ......
The energy of the orbitals is governed by (n + l) rule
Hund’s Rule :
No electron pairing takes place in the orbitals in a sub energy shell until each orbital is occupied by
an electron with parallel spin.
Exactly half filled and fully filled orbital make the atoms more stable, i.e., p3, p6, d5, d10, f7 and f14
configurations are more stable.
LECTURE SHEET
EXERCISE-I
(Introduction, fundamental particles, Atomic number, Mass number, Thomson’s Atomic
model, Ruther ford’s atomic model, Nature of light, EMR, Blackbody radiation, Photo electric
effect, Bohr’s theory, calculations of radius of orbit, velocity and energy of an electron)
LEVEL-I (MAIN)
Straight Objective Type Questions
1. Electron is a particle having a
1) negative charge of one unit and zero mass
2) positive charge of one unit and zero mass
3) negative charge of one unit and a mass of about 9.1 × 10–31 kg
4) negative charge of one unit and a mass of about 1.67 × 10–27 kg
2. The value of e/m for an electron is
1) 1.78 × 108 c/g 2) 1.6724 × 10–24 c/g 3) 0.005486 c/g 4) 1.00866 c/g
3. A and Z can be
1) negative 2) fractional 3) zero 4) whole number
4. The number of protons, electrons and neutrons in 35Br80 are respectively
1) 35, 35, 80 2) 35, 35, 45 3) 80, 80, 35 4) 45, 45, 35
5. The nucleus of tritium consists of
1) 1 proton + 1 neutron 2) 1 proton + 3 neutrons
3) 1 proton + zero neutrons 4) 1 proton + 2 neutrons
6. Sodium ion is isoelectronic with the atom
1) Mg2+ 2) Al3+ 3) Ne 4) N3–
K
K
10 ELITE SERIES for Sri Chaitanya Jr. ICON Students
OBJECTIVE CHEMISTRY IA
ATOMIC STRUCTURE
D
D
D
D
7. An atom differs from its ion in
1) Nuclear charge 2) Mass number
3) Number of electrons 4) Number of neutrons
8. In C14 isotope, the number of neutrons would be
1) 6 2) 14 3) 8 4) 10
9. The radius of the atom is of the order of
1) 10–10 cm 2) 10–13 cm 3) 10–15 cm 4) 10–8 cm
10. An oxide of nitrogen has a molecular weight of 30. Total number of electrons in one molecule of the
compound is
1) 15 2) 30 3) 45 4) 60
11. When alpha particles are sent through a thin metal foil, most of them go straight through the foil
because
1) Alpha particles are much heavier than electrons
2) Alpha particles are positively charged
3) Most part of the atom is empty
4) Alpha particles move with high velocity
12. Which of the following properties of a wave is independent of the other?
1) Wave number 2) Wave length 3) Frequency 4) Amplitude
13. Which of the following radiation following has highest wave number?
1) Microwaves 2) X - rays 3) I.R. - rays 4) Radiowaves
14. Which of the following relates a photon, both as a wave and as a stream of particles?
1) E = mc2 2) Photoelectric effect
3) Diffraction 4) E = hO
15. Kinetic energy of photoelectrons is independent of the ____ of incident radiation.
1) Wavelength 2) Wave number 3) Frequency 4) Intensity
16. The energy of a photon is 3×10–12 ergs. What is its wavelength in nm ? (h = 6.62 × 10–27 erg. sec;
c = 3×1010cm.s–1)
1) 662 2) 1324 3) 66.2 4) 6.62
17. The frequency associated with photon of radiation having a wavelength of 6000A0 is
1) 5 × 1014 Hz 2) 5 × 1010 Hz 3) 2 × 1014 Hz 4) 5 × 1015 Hz
18. Bohr’s theory is applicable to
1) Li+2 2) Li+ 3) He+ 4) Both 1 and 3
19. Bohr’s theory is not applicable to
1) H 2) He+ 3) Be3+ 4) H+
20. (A) : Bohr’s orbits are called stationary orbits
(R) : Electrons remain stationary in these orbits
1) Both (A) and (R) are true and (R) is the correct explanation of (A)
2) Both (A) and (R) are true and (R) is not the correct explanation of (A)
3) (A) is true but (R) is false 4) (A) is false but (R) is true
ATOMIC STRUCTURE
11
OBJECTIVE CHEMISTRY IA
ELITE SERIES for Sri Chaitanya Jr. ICON Students
D
D
D
D
21. Energy of an electron in nth Bohr orbit is given as
1)
2 2
2 2
n h
4 mZe

Q
2)
2 2 4
2 2
2 Z me
n h
Q
 3)
2
2 Ze
nh
Q
 4)
2 2
2 2 4
n h
2 Z me

Q
22. The energy of the electron when it is at an infinite distance from the nucleus is
1) Infinity 2) Zero
3) Minimum 4) Can not be predicted
23. According to Bohr’s theory, when ever the electron drops from a higher energy level to a lower
energy level, the frequency of radiation emitted is related to the energy change as
1)
h
m
M 
O
2)
nh
m r
2
O 
Q
3)
E
h
%
V  4)
h
E
V 
%
24. Radius of 3rd Bohr orbit of hydrogen atom
1) 6.529A° 2) 2.116A° 3) 4.761A° 4) 8.464A°
25. Velocity of the electron in the 1st Bohr orbit of H-atom is
1) 2.18 × 108 cm/sec 2) 2.18 × 108 m/sec
3) 2.18 × 1016 cm/se 4) 36559 × 108 cm/sec
LEVEL-II (ADVANCED)
Straight Objective Type Questions
1. An B – particle having kinetic energy 5 MeV falls on a Cu-foil. The shortest distance from the
nucleus of Cu to which B – particle reaches is (Atomic no. of Cu = 29, K = 9 × 109 Nm2/C2)
a) 2.35 × 10–13 m b) 1.67 × 10–14m c) 5.98 × 10–15m d) 1.67 × 10–16m
2. If the energy of H-atom in the ground state is –E, the velocity of photo-electron emitted when a
photon having energy Ep strikes a stationary Li2+ ion in ground state, is given by:
a)
p
2(E E)
v
m

 b)
p
2(E 9E)
v
m
 c)
p
2(E 9E)
v
m

 d)
p
2(E 3E)
v
m


3. The energy of a I, II and III energy levels of a certain atom are E,
4E
3
and 2E respectively A photon
of wavelength M is emitted during a transition from III to I. What will be the wavelength of emission
for transition II to I?
a)
2
M
b) M c) 2M d) 3M
4. The increasing order of e/m values for electron, proton, neutron and alpha particle is
a) e, p, n,B b) n, p, e, B c) n, p, B , e d) n, B , p, e
5. The constancy of e/m ratio for electron shows that
a) Electron’s mass is 1/1837th of the mass of proton
b) Electrons are universal particles of all matter
c) Electrons are produced in discharge tubes only
d) None of the above
6. The e/m of proton is
a) 1.78 × 108 c/g b) 9.57 × 104 c/g c) 19.14 × 104 c/g d) 0.478 × 104 c/g
K
K
Contact  Whatsapp To buy Editable Material  More Information(Details) About Material…
1. 7905239992
2. 6397775276
12 ELITE SERIES for Sri Chaitanya Jr. ICON Students
OBJECTIVE CHEMISTRY IA
ATOMIC STRUCTURE
D
D
D
D
7. Number of protons in the nucleus of carbon atom is
a) 7 b) 8 c) 4 d) 6
8. The number of nucleons present in chlorine–37 is
a) 17 b) 20 c) 54 d) 37
9. The number of neutrons in the dipositive zinc ion (Mass number of Zn = 65)
a) 35 b) 33 c) 65 d) 67
10. The charge of an electron is 1.6 × 10–19 coulombs. What will be the value of charge on Na+ ion
a) 1.6 × 10–19 C b) 3.2 × 10–19 C c) 2.4 × 10–19 C d) 11 × 1.6 × 10–19 C
11. Maximum sum of the number of neutrons and protons in an isotope of hydrogen
a) 6 b) 5 c) 4 d) 3
12. The incorrect statement regarding cathode rays is
a) They travel in straight line
b) They depend on the nature of the gas
c) They are deflected by magnetic as well as electric fields
d) They produce mechanical effects
13. According to Planck’s Quantum theory, the correct statements are
I) The vibrating particle in the black body does not emit continuously
II) Radiation is emitted in the form of small packets called Quanta
III) Energy associated with emitted radiations is inversely proportional to frequency.
IV) The emitted radiant energy is propagated in the form of waves.
a) I, II, III b) II, III c) I, II, IV d) II, IV, III
14. Which of the following statements is incorrect ?
a) Particle nature of radiations can be experimentally demonstrated by Compton effect
b) Wave nature of electrons can be experimentally demonstrated by diffraction experiment
c) The value of Planck’s constant, h is 
s 34
6.62 10 J.s
d) Intensity of light is directly proportional to its frequency.
15. As an electron is brought from an infinite distance close to nucleus of atom, the energy of electron
a) Increases to a greater +ve value b) Decreases to a smaller +ve value
c) Increases to a smaller –ve value d) Decreases to a greater –ve value
16. Rutherford’s alpha ray scattering experiment showed for the first time that the atom has
a) Nucleus b) Proton c) Electron d) Neutron
17. In electromagnetic radiation, which of the following has greater wavelength than visible light?
a) U.V-rays b) I.R-rays c) Gamma rays d) X-rays
18. Which of the following is not an electromagnetic radiation?
a) Gamma rays b) Alpha rays c) Radio waves d) X-rays
More than One correct answer Type Questions
19. In Rutherford’s gold leaf experiment, the scattering of B -particles takes place. In this process :
a) coulombic force is involved b) nuclear force is involved
c) path of B –particle is parabolic d) path of B – particle is hyperbolic
ATOMIC STRUCTURE
13
OBJECTIVE CHEMISTRY IA
ELITE SERIES for Sri Chaitanya Jr. ICON Students
D
D
D
D
20. According to Bohr’s model of atom
a) The radius of nth orbit B n2
b) The total energy of electron in nth orbit
1
n
B
c) The angular momentum electron is integral multiples of h /2Q
d) The magnitude of potential energy of an electron is an orbit greater than kinetic energy
21.
3
n =
2
n =
1
n =
1
2
3
For above transitions in hydrogen like atoms, select the incorrect relation(s).
a) V  V V
3 1 2 b)
V V
V 
V V
1 2
3
1 2
c) 3 1 2
M  M M d) 1 2
3
1 2
M M
M 
M M
22. If the electron of the hydrogen atom is replaced by another particle of same charge but of the double
mass, then :
a) radii of different shells will increase
b) energy gap between two levels will become double
c) ionization energy of the atom will be double
d) speed of new particle in a shell will be lesser than the speed of electron in the same shell
23. Let r, u and E are the radius of the orbit, speed of the electron and the total energy of the electron
respectively. Which of the following quantities are proportional to the quantum number ‘n’ ?
a) rE b) ur c)
u
E
d)
r
E
24. Select the correct statement(s):
a) An electron near the nucleus is attracted by the nucleus and has a low potential energy
b) According to Bohr’s theory, an electron continuously radiate energy if it stayed in out orbit
c) Bohr’s model could not explain the spectra of multielectron atoms
d) Bohr’s model was the first atomic model based on quantisation of energy
Linked Comprehension Type Questions
Passage-I :
A metal is irradiated with a radiation of wavelength 300 nm. Then photo electrons found to have
velocity of 3.7 × 105m/s. When a graph is drawn between K.E of photo electrons and frequency of
radiation a straight line is obtained cutting X-axis.
25. What is the K.E. of photo electrons
a) 6.23 × 10–20 J b) 6.25 × 10–22 J
c) 6.625 × 10–18 J d) 6.625 × 10–19 J
26. The value of X-intercept
a) 9 × 104 Hz b) 10.2 × 105 Hz c) 8.6 × 105 Hz d) 9 × 1014 Hz
27. Difference between incident frequency and threshold frequency is
a) 9.4 × 1013 Hz b) 8.5 × 1012 Hz c) 9.4 × 1012 Hz d) 8.4 × 1010 Hz
14 ELITE SERIES for Sri Chaitanya Jr. ICON Students
OBJECTIVE CHEMISTRY IA
ATOMIC STRUCTURE
D
D
D
D
Passage-II :
To explain the nature of radiations, James Clark Maxwell in 1864 put forward ‘Electromagnetic
wave theory’. This theory could explain the phenomena of interference and diffraction but could
not explain phenomena of black body radiation and photoelectric effect. Also, after the advent of
electromagnetic wave theory, Rutherford's model of atom suffered a serious drawback. To explain
the phenomena of black body radiation and photoelectric effect, Max planck in 1900 put forward
Planck’s quantum theory. Based on this theory, Neils Bohr in 1913 put forward Bohr’s model of
atom which could overcome the drawback of Rutherford's model and also explain the line spectra
of elements, especially the line spectra of hydrogen and hydrogen-like particles.
28. Which of the following statements is incorrect about electromagnetic wave theory ?
a) Energy is emitted continuously from the source
b) Radiations are associated with electric and magnetic fields
c) Radiations can travel even through vacuum
d) The velocity of any radiation depends upon the nature of the radiation.
29. Kinetic energy of the electron ejected when yellow light of frequency 5.2 × 1014 s–1 falls on the
surface of potassium metal (threshold frequency = 5 × 1014 s–1) is
a) 1.325 × 10–13 J b) 1.325 × 10–20 J c) 1.325 × 10–27 J d) 1.325 × 10–34 J
Matrix Matching Type Questions
30. Column-I Column-II
A) Isotopes P) Same no. of atoms and same no. of electrons
B) Isobars Q) Different no.of protons but same no.of
neutrons
C) Isotones R) Different no. of protons and different no.of
neutrons
D) Isosters S) Same no. of protons but different no.of
neutrons
31. Column-I Column-II
A) 0
+  + P) photoelectron emitted
B) 0
M  M Q) no photocurrent
C) 0
+  + R) K.E of photoelectron = 0
h( )
+  +
D) 0
M  M S) velocity of photo electron =
0
0
2ch
m
¥ ´
M  M
¦ µ
MM
§ ¶
32. Column-I Column-II
A) Radius of nth orbit P) inversely proportional to Z
B) Energy of electron in nth orbit Q) proportional to n2
C) Velocity of electron in nth orbit R) inversely proportional to n
D) Angular momentum of electron S) Proportional to n
ATOMIC STRUCTURE
15
OBJECTIVE CHEMISTRY IA
ELITE SERIES for Sri Chaitanya Jr. ICON Students
D
D
D
D
33. According to Bohr’s theory, En = total energy, Kn = kinetic energy, Vn = potential energy,
rn = radius of nth orbit. Match the following.
Column-I Column-II
A) Vn/Kn = ? P) 0
B) x
n n
r E ,x ?
t  Q) –1
C) Angular momentum in lowest orbital R) –2
D)
y
n
1
Z ,y ?
r
t  S) 1
Integer Type Questions
34. Find the ratio of energy of a photon of 2000A° wavelength radiation to that of 4000A° radiation.
35. A light source of wavelength M illuminates a metal and ejects photo-electrons with (K.E)max = 1eV.
Another light source of wave length
3
M
, ejects photo-electrons from same metal with (K.E)max = 4ev,
the value of work function is 0.1x. Then the value of x is ___
36. Assume that 2 × 10–17 J of light energy is needed by the interior of the human eye to see an object.
The number of photons of yellow light with M = 595.2nm are needed to generate this minimum
energy is 12x. Then the value of x is ___.
37. Number of photons of light with a wave length of 4000 pm necessary to provide one joule of
energy approximately x × 1016 Then x is _____
38. The velocity of an electron in a certain Bohr’s orbit of H-atom bears the ratio 1 : 275 to the velocity
of light. Then find the quantum number (n) of the orbit ?
39. When an electron is transisted from 2E to E energy level, the wavelength of resultant photon
produced is 1
M . If electronic transition involves
4
3
E to E level, the wavelength of resultant photon is
2
M . The correct relation between 1
M  2
M is 2 1
x
M  M . Then find the value of x ?
40. Given rn+1 – rn–1 = 2rn, where rn, rn–1, rn+1 are Bohr radius for hydrogen atom in nth, (n –1)th and (n+1)th
shell respectively. Calculate the value of n.
EXERCISE-II
(H- spectrum, Rydberg equation, de broglies concept of matter waves,
Heisenberg uncertainity principle, schrodinger wave equation, orbitals)
LEVEL-I (MAIN)
Straight Objective Type Questions
1. The equation corresponding to the wave number of spectral lines in Pfund series is
1)
¨ ·

© ¸
ª ¹
2 2
1 1
R
4 5
2)
¨ ·

© ¸
ª ¹
2 2
1 1
R
3 4
3)
¨ ·

© ¸
ª ¹
2 2
1 1
R
2 3
4)
¨ ·

© ¸
ª ¹
2 2
1 1
R
5 6
2. The value of Rydberg constant is
1) 109677 cm–1 2) 109700 cm–1 s–1
3) 10968 cm–1 4) 10970 m
K
K
16 ELITE SERIES for Sri Chaitanya Jr. ICON Students
OBJECTIVE CHEMISTRY IA
ATOMIC STRUCTURE
D
D
D
D
3. A spectral line of hydrogen with M = 4938A0 belongs to the series
1) Lyman 2) Balmer 3) Paschen 4) Pfund
4. Among the first lines of Lyman, Balmer, Paschen and Brackett series in hydrogen atomic spectra,
which has higher energy?
1) Lyman 2) Balmer 3) Paschen 4) Bracket
5. What are the values of n1 and n2 respectively for HC line in the Lyman series of hydrogen atomic
spectrum?
1) 3 and 5 2) 2 and 3 3) 1 and 3 4) 2 and 4
6. The fourth line of the Balmer series corresponds to the electronic transition between two orbits of the
H atom, Identify the orbits.
1) 3 and 1 2) 5 and 1 3) 5 and 2 4) 6 and 2
7. Total number of spectral lines when electron jumps from 8th orbit to 2nd orbit
1) 6 2) 36 3) 21 4) 38
8. Supposing the electron is present in the 4th energy level of H- atom. When the electron returns to
ground state the possible transitions would be :
1) 4 →1 2) 4 →2, 2 →1 3) 4 →3, 3 →2, 2 →1 4) All the above
9. The de-Broglie’s equation treats an electron to be
1) a particle 2) a wave 3) ray 4) both (1) and (2)
10. Wavelength of the wave associated with a moving electron
1) Decreases with increase in speed of electron
2) Increases with increase in speed of electron
3) Remains same irrespective of speed of electron 4) is zero
11. The uncertainity principle and the concept of wave nature of matter were proposed by _____ and
____ respectively
1) Pauli, Hund 2) Heisenberg, Aufbau
3) Heisenberg, de Broglie 4) Heisenberg, Planck
12. Bohr’s postulate that
nh
mvr
2

Q
is proved mathematically by
1) Pauli’s exclusion principle 2) de Broglie wave nature of the electron
3) Heisenberg’s uncertainity principle 4) Sommer feld theory
13. The momentum of a particle of wave length 1A° is
1) 6.625 × 10–27 g. cm.s–1 2) 6.625 × 10–19 g. cm.s–1
3) 6.625 × 10–16 g. cm.s–1 4) 6.625 × 10–23 g. cm.s–1
14. If uncertainty in position and velocity are equal then uncertainty in momentum will be:
1)
1 mh
2 Q
2)
1 h
2 m
Q
3)
h
4 m
Q
4)
mh
4Q
15. Be+3 and a proton are accelerated by the same potenatial, their de-Broglie wavelengths have the
ratio (assume mass of proton = mass of neutron)
1) 1:2 2) 1:4 3) 1:1 4) 2:1
ATOMIC STRUCTURE
17
OBJECTIVE CHEMISTRY IA
ELITE SERIES for Sri Chaitanya Jr. ICON Students
D
D
D
D
LEVEL-II (ADVANCED)
Straight Objective Type Questions
1. Which of the following statements regarding spectral series is correct?
a) The lines in the Balmer series correspond to the electronic transition from higher energy level to
n = 1 energy level.
b)Paschen series appears in the infra-red-region
c) The lines of Lyman series appear in the visible region
d)Transition from higher energy levels to 4th energy level produces Pfund series which fall in the
infrared region.
2. In a series in the line spectrum of hydrogen, the wavelength of radiation is 6,563A0. The name of
the series and the orbits in which electron transition takes place are
a) Balmer series, 3rd to 2nd orbit b) Lyman series, 2nd to 1st orbit
c) Pfund series, 6th to 5th orbit d) Paschen series, 4th to 3rd orbit
3. The frequency of the spectral line obtained when the electron in n = 3 of Hydrogen atom drops to
the ground state is
a) 2.925×1015 Hertz b) 2.925×1013 Hertz c) 2.925×1014 Hertz d) 36559×1010 Hertz
4. (A) : The energy of ultraviolet radiation is greater than the energy of infrared radiation
(R) : The velocity of ultraviolet radiation is greater than the velocity of infrared radiation
a) Both A and R are true and R is the correct explanation of A
b) Both A and R are true but R is not the correct explanation of A
c) A is true and R is false d) R is true and A is false
5. Which of the following transitions will have minimum wavelength ?
a) m
4 1
n n b) m
2 1
n n c) m
4 2
n n d) m
3 1
n n
6. A proton and an electron are accelerated by the same potential difference. If e
M and p
M denote the
De-broglie wavelength of electron and proton then
a) e
M = p
M b) e p
M  M
c) e p
M  M d) No releation between e
M and p
M
7. Velocity of helium atom at 300K is 2.40 × 102 meter per second. What is its wavelength? (He = 4)
a) 0.416 nm b) 0.83 nm c) 803 Å d) 8000Å
8. The graph between momentum p and de-Broglie wavelength M of photon is
a)
P
λ
b)
P
λ
c)
P
λ
d)
P
λ
9. The graph between energy of an electron and its de-Broglie wavelength M is
a)
logλ
log E
b)
logλ
log E
c)
logλ
log E
d)
logλ
log E
K
K
18 ELITE SERIES for Sri Chaitanya Jr. ICON Students
OBJECTIVE CHEMISTRY IA
ATOMIC STRUCTURE
D
D
D
D
10. A particle X moving with a certain velocity has a debroglie wave length of 1Å, If particle Y has a
mass of 25% that of X and velocity 75% that of X, debroglies wave length of Y will be
a) 3 Å b) 5.33 Å c) 6.88 Å d) 48 Å
11. Which of the following statement is incorrect ?
a) The third quantum shell can hold a maximum of 18 electrons
b) An electron falling to the same energy level from any higher level always emits the same quantum
of energy
c) The Balmer series of lines is in the visible region of the emission spectrum of hydrogen atom
d) The electron of hydrogen atom in its ground state remains in the first quantum shell
12. The schrodinger wave equation for hydrogen atom is

¥ ´ ¥ ´
:  
¦ µ ¦ µ
§ ¶ § ¶
Q
0
3/2
r /a
0
2s
0 0
1 1 r
2 e
a a
4 2
where a0
is Bohr’s radius. If the radial node in 2s be at r0 would be equal to:
a)
0
a
2
b) 2a0 c) 0
2a d)
0
a
2
13. The schrodinger wave equation for hydrogen atom is
:(radial)
3 / 2
2 / 2
0
1 z
[( 1)( 8 12)]e
a
16 4
T
¥ ´
 T  T  T
¦ µ
§ ¶
where a0 and z are the constant in which answer can be expressed and
0
2zr
a
T  minimum and
maximum position of radial nodes from nucleus are
a)
0 0
a 3a
,
Z Z
b)
0 0
a a
,
2Z Z
c)
0 0
a 3a
,
2Z Z
d)
0 0
a 4a
,
2Z Z
14. For a 3s – orbital
3/ 2
2 / 2
0
1 1
(3s) (6 6 )e ;
a
9 3
T
¥ ´
:   T T
¦ µ
§ ¶
where
0
2r.Z
3a
T  . What is the maximum
radial distance of node from nucleus?
a) 0
(3 3)a
z
b)
0
a
z
c) 0
(3 3)a
3
2 z
d)
0
2a
z
More than One correct answer Type Questions
15. Which of the following statements is/are correct ?
a) The absorption spectrum is formed due to absorbing radiant energy by the matter in lower energy
states
b) The emission spectrum is formed due to the emission of radiant energy by the excited matter
c) Hydrogen spectrum is an example of line spectrum
d) Li+ ion spectrum is equivalent to H atom spectrum
16. The electron in a hydrogen atom makes a transition n1 mn2 where n1 and n2 are the principal quantum
numbers of the two states. Assume the Bohr model to be valid, if the time period of the electron in
the initial state is eight times that in the final state, then the possible values of n1 and n2 are
a) n1 = 4, n2 = 2 b) n1 = 8, n2 = 2
c) n1 = 8, n2 = 1 d) n1 = 6, n2 = 3
ATOMIC STRUCTURE
19
OBJECTIVE CHEMISTRY IA
ELITE SERIES for Sri Chaitanya Jr. ICON Students
D
D
D
D
17. Whenever a hydrogen atom emits a quantum in the visible region of Balmer series :
a) it may emit another quantum in Balmer series again
b) it must emit another quantum in ultraviolet region of Lyman series
c) second quatum of wavelength 122nm will be emitted
d) second quantum will be emitted in Paschen series i.e., near infrared region
18. Which of the following species are expected to give the line spectrum similar to that of hydrogen atom?
a) He(g) b) Li2+(g)
c) He+(g) d) D(g)
19. Hydrogen atom has
a) half filled subshel b) half filled shell
c) one electron in valence shell d) half filled orbital
20. Select the correct statement(s)
a) The phenomena of diffraction of light can only be explained by assuming that light behaves as
waves
b)de-Broglie postulate the dual character existed with matter
c) In his atomic model Bohr considered electron as a particle
d)Wave nature of electrons was obtained when diffraction rings were observed protographically
when a street of protons was passed through a metal foil
21. False statement about the de-Broglie’s wavelength of an electron in the first Bohr’s orbit is
a) equal to the circumference of the first orbit
b) equal to twice the circumference of the first orbit
c) equal to half the circumference of the first orbit
d) equal to one fourth of the circumference of the first orbit
22. Which is correct in case of p-orbitals ?
a) They are spherically symmetrical
b) They have strong directional character
c) They are three fold degenerate orbitals
d) Their charge density along x, y and z-axes are zero.
Linked Comprehension Type Questions
Passage:
de–Broglie proposed the dual nature of electron and put forward his wave concept.
The wave length of electron in an orbit was given by
h
mv
M 
23. The de-Broglie’s wavelength ( )
M of the electron subjected to an accelerating potential of V volts is
given by
a)
eh
2mV
b)
h
2meV
c)
h
V
2me
s d)
mh
2eV
20 ELITE SERIES for Sri Chaitanya Jr. ICON Students
OBJECTIVE CHEMISTRY IA
ATOMIC STRUCTURE
D
D
D
D
24. The frequency of the matter wave of a particle is given by
a)
K.E
h
b)
2K.E
h
c)
K.E
2h
d)
h
2K.E
25. The circumference of 3rd Bohr orbit in H-atom is
a) 3 × 10–7 cm b) 3 × 10–8 cm
c) 3 × 10–6 cm d) 4.3 × 10–9 cm
26. The wavelength of moving electron in 3rd Bohr orbit of H-atom is
a) 1 × 10–9 m b) 2 × 10–7m
c) 1 × 10–7 m d) 1 × 10–8 m
Matrix Matching Type Questions
27. In case of hydrogen spectrum wave number is given by H 2 2
1 2
1 1
v R
n n
¨ ·
 
© ¸
ª ¹
where n1  n2
Column-I Column-II
A) Lyman series P) n2 = 2
B) Balmer series Q) n2 = 3
C) Pfund series R) n2 = 6
D) Brackett series S) n2 = 5
28. If the shortest wavelength of spectral line of H-atom in Lyman series is x, Then match the
following for Li2+
Column-I Column-II
A) Shortest wavelength in Lyman series P)
4x
5
B) Longest wavelength in Lyman series Q)
4x
9
C) Shortest wavelength in Balmer series R)
x
9
D) Longest Wavelength in Balmer series S)
4x
27
Integer Type Questions
29. The wavelength of a certain line in Balmer Series is observed to be 4329 A°. To what value of ‘n’
does this correspond ? (RH = 109678 cm–1) (Z = 1)
30. The ratio of wave number of the limiting line of Lyman series to the limiting line of Balmar series in
Hydrogen spectrums is ____
31. Calculate the number of waves made by a Bohr’s electron in one complete revolution in its 3rd orbit
of H-atom.
ATOMIC STRUCTURE
21
OBJECTIVE CHEMISTRY IA
ELITE SERIES for Sri Chaitanya Jr. ICON Students
D
D
D
D
EXERCISE-III
(Quantum numbers, electron probability graphs, Hunds rule, Aufbau principle,
Pauli’s principle, electronic configurations of atoms and ions,
abnoraml configurations of Cr, Mn, magnetic behavior)
LEVEL-I (MAIN)
Straight Objective Type Questions
1. The azimuthal quantum number indicates ____ of the orbital
1) Size 2) Shape 3) Orientation 4) Spin
2. Which of the following is indicated by the magnetic quantum number?
1) Size 2) Shape 3) Spatial orientation 4) Spin
3. The spin quantum number has a value of
1) 1/2 2) +1/2 3) –1/2 4) either +1/2 or –1/2
4. Which one of the following expressions represent the electron probability function (D)
1) 2
4 r dr
Q Z 2) 2
4 r dr
Q Z 3) 2 2
4 r dr
Q Z 4) 4 r dr
Q Z
5. Radial part of the wave function depends on quantum numbers
1) n and s 2) l and m 3) l and s 4) n and l
6. Which of the following is correct with respect to ‘p’ orbitals?
1) Spherical 2) Strong directional character
3) Five fold degenerate 4) No directional character
7. The maximum number of electrons accommodated in 5f orbitals
1) 5 2) 10 3) 14 4) 18
8. The maximum probability of finding an electron of a particular energy in an orbital is about
1) 80% 2) 85% 3) 95% 4) 99%
9. Number of nodal spaces in 4s orbital is
1) 0 2) 1 3) 3 4) 4
10. (A) : The p-orbital has dumb-bell shape
(R) : Electron present in p-orbital can have any one of the three values of magnetic quantum numbers
(0, +1, –1)
1) Both (A) and (R) are true and (R) is the correct explanation of (A)
2) Both (A) and (R) are true and (R) is not the correct explanation of (A)
3) (A) is true but (R) is false 4) (A) is false but (R) is true
11. No two electrons in an orbital can have parallel spin. This statement emerges from
1) Hund’s rule 2) Aufbau principle
3) Pauli’s exclusion principle 4) (n + l) rule
12. Electrons never pair, if there are empty orbitals in a given sub-shell. This is
1) Aufbau principle 2) Pauli’s exclusion principle
3) Hund’s rule of maximum multiplicity 4) Heisenberg’s uncertainity principle
K
K
22 ELITE SERIES for Sri Chaitanya Jr. ICON Students
OBJECTIVE CHEMISTRY IA
ATOMIC STRUCTURE
D
D
D
D
13. Which of the following explains the sequence of filling electrons in different subshells?
1) Hund’s rule 2) Aufbau principle 3) Pauli’s principle 4) All of these
14. Nitrogen atom has 3 unpaired electrons in its ground state. It can be explained by
1) Auf bau principle 2) Pauli’s principle 3) Hund’s rule 4) All of these
15. The electronic configuration of sodium is
1) [Ne]3s2 2) [Ne]3s1 3) [Ar]4s1 4) [Ar]4s2
16. Which of the following configuration may represent the ground state of nitrogen atom?
1) ↓↑ ↓↑ ↑ ↓ ↓ 2) ↓↑ ↓↑ ↑ ↑ ↑ 3) nl nl n n l 4) nl l n ln n
17. Electronic configuration of the element with atomic number 56 and mass number 138 is
1) [Xe]6s2 2) [Kr]5s2 3) [Xe]6s2 6p2 4) [Xe]3d2 5d2
18. In potassium the order of energy levels is
1) 4s  3d 2) 4s  3d 3) 4s  3p 4) 4s = 3d
19. The number of d-electrons retained in Fe2+ (At. no. of Fe = 26) ion is
1) 3 2) 4 3) 5 4) 6
20. Which of the following is the correct electronic configuration of Fe3+ ion ? (Z for Fe = 26)
1) 1s2, 2s2, 2p6, 3s2, 3p6, 3d4 4s1 2) 1s2, 2s2, 2p6, 3s2, 3p6, 3d3 4s2
3) 1s2, 2s2, 2p6, 3s2, 3p6, 3d5 4) 1s2, 2s2, 2p6, 3s2, 3p6, 3d5, 4s2, 4p3
21. Number of unpaired electrons in the electrmonic configuration 1s22s22p4 is
1) 2 2) 3 3) 4 4) 6
LEVEL-II (ADVANCED)
Straight Objective Type Questions
1. In a multi - electron atom, which of the following orbitals described by the three quantum numbers
will have the same energy in the absence of magnetic and electric field
i) n = 1, l = 0, m = 0 ii) n = 2, l = 0, m = 0 iii) n = 2, l = 1, m = 1
iv) n = 3, l = 2, m = 1 v) n = 3, l = 2, m = 0
a) i and ii b) ii and iii c) iii and iv d) iv and v
2. An electron has magnetic quantum number as ‘–3’. Its principal quantum number is
a) 3 b) 2 c) 1 d) 4
3. Match the following.
LIST-I LIST-II
a) n = 2, l = 1, m = –1 p) 2px or 2py
b) n = 4, l = 2, m = 0 q) 4dz2
c) n = 3, l = 1, m = p1 r) 3px or 3py
d) n = 4, l = 0, m = 0 s) 4s
e) n = 3, l = 2, m = p2 t) 3dx2 – y2 or 3dxy
a) a-q, b-r, c-p, d-s, e-t b) a-t, b-r, c-s, d-p, e-t c) a-p, b-q, c-r, d-s, e-t d) a-s, b-t, c-r, d-s, e-p
K
K
ATOMIC STRUCTURE
23
OBJECTIVE CHEMISTRY IA
ELITE SERIES for Sri Chaitanya Jr. ICON Students
D
D
D
D
4. The quantum numbers of four electrons (e1 to e4) are given below
n l m s n l m s
e1 3 0 0 +1/2 e2 4 0 1 1/2
e3 3 2 2 –1/2 e4 3 1 –1 1/2
The correct order of decreasing energy of these electrons is:
a) e4  e3  e2  e1 b) e2  e3  e4  e1 c) e3  e2  e4  e1 d) e1  e3  e4  e2
5. Which orbital gives an electron the greatest probability of closer to the nucleus ?
a) 3p b) 3d c) 3s d) equal
6. Which one of the following statements is correct ?
a) 2S orbital is spherical with two nodal planes
b) The de-Borglie wavelength of a particle of mass ‘m’ and velocity ‘v’ is equal to mv/h
c) The principal quantum number (n) indicates the shape of the orbital
d) The electronic configuration of phosphorus is given by [Ne]
2 1 1 1
x y z
3s 3p 3p p
7. The set of quantum numbers ‘n’ and ‘l’ possible for the orbital shown in the radial probability curve are
a) n = 3; l = 2
b) n = 4; l = 1 D
Ao
c) n = 2; l = 0
d) n = 3; l = 3
8. From the following observations predict the type of orbital :
Observation 1: x y plane acts as a nodal plane
Observation 2: The angular function of the orbital intersect the three axis at origin only.
Observation 3: R2(r) vs r curve is obtained for the orbital is
a) 5pz
b) 6dxy
c) 6 dx2–y2
d) 6 dyz
More than One correct answer Type Questions
9. Choose the correct statement.
a) Splitting of spectral lines in magnetic field is due to presence of degenerate orbitals
b) In the presence of electricfield, energy value of Px, Py  Pz of same orbit are different
c) Degenerate orbitals differs only in their orientation
d) degenerate orbitals have same shape, but different energy
10. Which of the following statements are not correct ?
a) The ionization energy of a hydrogen-like species in its ground state is equal to the magnitude of
energy of the orbit having n = 1
b) The ionization energy of a hydrogen-like species in its ground state increases in proportion to the
positive charge in its nucleus
c) According to the uncertainty principle, p x h / 4
% % b Q
d) The energy of an electron in an orbital of a multielectron atom depends only on the principal
quantum number n
24 ELITE SERIES for Sri Chaitanya Jr. ICON Students
OBJECTIVE CHEMISTRY IA
ATOMIC STRUCTURE
D
D
D
D
11. For the energy levels in an atom, which one of the following statement(s) is (are) correct?
a) There are seven principal electron energy levels
b) The second principal energy level can have four sub-energy levels and contain a maximum of
eight electrons
c) The M energy level can have a maximum of 32 electrons
d) The 4s sub-energy level is at a lower energy than the 3d sub-energy level.
12. Which of the following statements are correct ?
a) The angular momentum of an electron due to its spinning is given as
h
s(s 1)
2Q
(where s can
take the value of 1/2)
b) The angular momentum of an electron due to its spinning is given as ms(h/ 2 Q )where ms can
take the value of +1/2.
c) According to Pauli's exclusion principle, no two electrons in an atom can have the same values of
quantum numbers n, l and m
d) The azimuthal quantum number cannot have negative values.
13. The chlorine atom has
a) 6 electrons with l = 0 b) 11 electrons with l = 1
c) 5 orbitals with m = 0 d) 2 orbitals with m = +1
14. Which of the following sets of quantum numbers represents the orbitals of same shape and orientation
in external field.
a) n = 3, l = 2, m = +1, s = +1/2 b) n = 3, l = 2, m = –1, s = –1/2
c) n = 4, l = 2, m = +1, s = –1/2 d) n = 3, l = 2, m = 0, s = +1/2
15. Choose the correct statement(s):
a) The shape of an atomic orbital depends upon azimuthal quantum number
b) The orientation of an atomic orbital depends upon the magnetic quantum number
c) The energy of an electron in an atomic orbital of multi-elelctron atom depends on principal
quantum number only
d) The number of degenerate atomic orbitals of one type depends upon the value of azimuthal
quantum number
16. Select the correct configurations among the following
a) 5 1
Cr(Z 24):[Ar]3d ,4s
 b) 10 1
Cu(Z 29):[Ar]3d ,4s

c) 10 0
Pd(Z 46):[Kr]4d ,5s
 d) 10 2
Pt(Z 78):[Xe]4d 4s

Linked Comprehension Type Questions
Passage :
The substances which contain species with unpaired electrons in their orbitals behave as paramagnetic
substances. Such substances are weakly attracted by the magnetic field. The paramagnetism is
expressed in terms of magneticmoment The magnetic moment is related to the number of unpaired
electrons according to the following relation : Magnetic moment, n(n 2)
N  B.M .
Where ‘n’ = number of unpaired electrons. B.M stands for Bohr magneton, a unit of magnetic
moment.
17. Which of the following has the highest magnetic moment ?
a) Fe+2 b) Mn+2 c) Cr+3 d) V+3
ATOMIC STRUCTURE
25
OBJECTIVE CHEMISTRY IA
ELITE SERIES for Sri Chaitanya Jr. ICON Students
D
D
D
D
12345678901234567890123456789012123456789012345678901234567
12345678901234567890123456789012123456789012345678901234567
12345678901234567890123456789012123456789012345678901234567
12345678901234567890123456789012123456789012345678901234567
12345678901234567890123456789012123456789012345678901234567
12345678901234567890123456789012123456789012345678901234567
18. An ion of a d-block elements has magnetic moment 5.92 B.M. Select the ion among the following.
a) Zn+2 b) Sc+2 c) Mn+2 d) Cr3+
19. Which of the following is diamagnetic ?
a) He+2 b) Sc+3 c) Mg+2 d) O–2
Matrix Matching Type Questions
20. Column-I Column-II
A) Violation of Aufbau’s rule P) ↑↓ ↑
↑ ↑
B) Violation of Pauli’s exclusion principle Q) ↑↓ ↑ ↑
↓
C) Violation of Hund’s rule R) ↑↓ ↑
↑ ↑ ↑
D) Violation of both Pauli’s and Hund’s rule S) ↑ ↓
↑ ↑ ↑
Integer Type Questions
21. The number of electrons with m = 0 in an atom with atomic number 33 is 5x. Then the value of x is __
22. Find out the number of angular nodes in the orbital to which the last electron of Cr enter
23. The orbital angular momentum of 3p electron is
h
x
2Q
. Then the value of x is ___.
24. An ion Mna+ has the magnetic moment equal to 4.9 BM. What is the value of a ?
25. A compound of vanadium has magnetic moment of 1.73 BM. It suggests the vanadium oxidation
state in the compound is +x. Then the value of x is ___.
KEY SHEET (LECTURE SHEET)
EXERCISE-I
LEVEL-I 1) 3 2) 1 3) 4 4) 2 5) 4 6) 3 7) 3 8) 3
9) 4 10) 1 11) 3 12) 4 13) 2 14) 4 15) 4 16) 1
17) 1 18) 1 19) 4 20) 3 21) 2 22) 2 23) 3 24) 3
25) 1
LEVEL-II 1) b 2) c 3) d 4) d 5) b 6) b 7) d 8) d
9) a 10) a 11) d 12) b 13) c 14) d 15) d 16) a
17) b 18) b 19) ad 20) acd 21) bc 22) cd 23) bc 24) acd
25) a 26) d 27) a 28) d 29) b 30) A-S; B-R; C-Q; D-P
31) A-Q; B-PRS; C-PRS; D-Q 32) A-PQ; B-Q; C-R; D-S
33) A-R; B-Q; C-P; D-S 34) 2 35) 5 36) 5 37) 2 38) 2
39) 3 40) 2
J
J
26 ELITE SERIES for Sri Chaitanya Jr. ICON Students
OBJECTIVE CHEMISTRY IA
ATOMIC STRUCTURE
D
D
D
D
1234567890123456789012345678901212345678901
1234567890123456789012345678901212345678901
1234567890123456789012345678901212345678901
1234567890123456789012345678901212345678901
1234567890123456789012345678901212345678901
1234567890123456789012345678901212345678901
1234567890123456789012345678901212345678901
1234567890123456789012345678901212345678901
1234567890123456789012345678901212345678901
EXERCISE-II
LEVEL-I 1) 4 2) 1 3) 2 4) 1 5) 3 6) 4 7) 3 8) 4
9) 4 10) 1 11) 3 12) 2 13) 2 14) 1 15) 4
LEVEL-II 1) b 2) a 3) a 4) c 5) a 6) c 7) a 8) c
9) c 10) b 11) b 12) b 13) c 14) c 15) abc 16) ad
17) bc 18) bcd 19) abcd20) abc 21) bcd 22) bc 23) b 24) b
25) a 26) a 27) A-PQRS; B-QRS; C-R; D-RS
28) A-R; B-S; C-Q; D-P 29) 5 30) 4 31) 3
EXERCISE-III
LEVEL-I 1) 2 2) 3 3) 4 4) 3 5) 4 6) 2 7) 3 8) 3
9) 3 10) 2 11) 3 12) 3 13) 2 14) 3 15) 2 16) 2
17) 1 18) 2 19) 4 20) 3 21) 1
LEVEL-II 1) d 2) d 3) c 4) c 5) c 6) d 7) c 8) a
9) abc 10) bcd 11) ad 12) ad 13) abcd14) ac 15) abd 16) abc
17) b 18) c 19) b 20) A-S; B-PR; C-PQ; D-P 21) 3 22) 2
23) 2 24) 3 25) 4
PRACTICE SHEET
EXERCISE-I
(Introduction, fundamental particles, Atomic number, Mass number, Thomson’s Atomic
model, Ruther ford’s atomic model, Nature of light, EMR, Blackbody radiation, Photo eletric
effect, Bohr’s theory, calculations of radius of orbit, velocity and energy of an electron)
LEVEL-I (MAIN)
Straight Objective Type Questions
1. Energy of a photon with a wave length of 450 nm is
1) 4.36 × 10–12 ergs 2) 4.36 × 10–13 ergs
3) 4.36 × 10–20 ergs 4) 4.36 × 10–11 ergs
2. A wave has a frequency of 3 × 1015 sec–1. The energy of that photon is
1) 1.6 × 10–12 erg 2) 3.2 × 10–11 erg 3) 2.0 × 10–11 erg 4) 3 × 1015 erg
3. The wave length of light having wave number 4000 cm–1 is
1) 2.5 N m 2) 250 Nm 3) 25 Nm 4) 25nm
4. The energy of an electromagnetic radiation is 19.875×10–13 ergs. What is the wave number in cm–1?
(h = 6.625 × 10–27 erg.sec; c = 3 × 1010 cm.sec–1)
1) 1000 2) 106 3) 100 4) 10,000
K
K
ATOMIC STRUCTURE
27
OBJECTIVE CHEMISTRY IA
ELITE SERIES for Sri Chaitanya Jr. ICON Students
D
D
D
D
5. The ratio of energies of two photons of wavelengths 2000 and 4000 A0.
1) 1 : 4 2) 4 : 1 3) 1 : 2 4) 2 : 1
6. The energy of an electromagnetic radiation is 3 × 10–12ergs. What is its wavelength in nanometers?
(h = 6.625 × 10–27 erg. sec, C = 3 × 1010 cm. sec–1)
1) 400 2) 228.3 3) 3000 4) 662.5
7. Energy equal to the mass of one electron is
1) 8.2 × 10–7erg 2) 9.2 × 10–8erg 3) 8.2 × 10–10erg 4) 4.1 × 10–8erg
8. The work function of a metal is 4.2 eV. If radiations of 2000A0 fall on the metal, then the kinetic
energy of the fastest photoelectron is
1) 1.6 × 10–19 J 2) 1.6 × 1010 J 3) 6.4 × 10–10 J 4) 3.2 × 10–19 J
9. The ratio of slopes of Kmax vs. v and V0 vs. v curves in the photoelectric effect gives (v = frequency,
Kmax = maximum kinetic energy, V0 = stopping potential)
1) charge of electron 2) planck’s constant
3) work function 4) the ratio of Plank’s constant to charge on e–
10. If the electron of a hydrogen atom is present in the first orbit, the total energy of the electron is
1)
2
e
r

2)
2
2
e
r

3)
2
e
2r

4)
2
2
e
2r

11. The angular momentum of an electron present in the excited state of hydrogen is 1.5h/ Q . The
electron is present in
1) Third orbit 2) Second orbit 3) Fourth orbit 4) Fifth orbit
12. According to Bohr’s theory, the angular momentum of electron in 5th orbit is
1) 2.5
h
Q
2) 25
h
Q
3) 1.0
h
Q
4) 10
h
Q
13. When an electron with charge ‘e’ and mass ‘m’ moves with velocity ‘v’ around the nucleus having
nuclear charge ‘Z’ in a circular orbit of radius ‘r’, the potential energy of electron is
1)
2
Ze
r
2)
2
2
Ze
r
3)
2
Ze
r

4)
2
mv
r
14. The change in velocity when electron jumps from the first orbit to the second orbit is
1) Half its original velocity 2) Twice its original velocity
3) One fourth its original velocity 4) Equal to its original velocity
15. The ratio of the radii of the first three orbits in an atom of hydrogen is
1) 1 : 4 : 9 2) 9 : 4 : 1 3) 1 : 2 : 3 4) 3 : 2 : 1
16. The radius of hydrogen atom in the ground state is 0.53 Ao ,the radius of Li2+ in the similar state is
1) 1.06 Ao 2) 0.265 Ao 3) 0.175 Ao 4) 0.53 Ao
17. No of revolutions made by the electron in one sec in 2nd orbit of Be3+
1) 1.31 × 1016 2) 2.13 × 1016 3) 1.23 × 1015 4) 2.68 × 1014
18. An electron is revolving in the 2nd orbit of He+ ion. To this if 12.1 eV of energy supplied. Then to
which orbit it will be excited.
1) 6 2) 8 3) 4 4) 2
28 ELITE SERIES for Sri Chaitanya Jr. ICON Students
OBJECTIVE CHEMISTRY IA
ATOMIC STRUCTURE
D
D
D
D
LEVEL-II (ADVANCED)
Straight Objective Type Questions
1. A beam of specific kind of particles of velocity 2.1 × 107 m/s is scattered by a gold (z = 79) nucleli.
Find out specific charge (charge/mass) of this particle if the distance of closet approach is
2.5 × 10–14 m.
a) 4.84 × 107 C/kg b) 4.84 × 10–7 C/kg c)
2 4
2
3
64 me
K
9 h
Q
s d)
2 4
2
3
9 me
K
h
Q
2. Particle nature of electron is proved by
a) Radioactivity b) Cathode ray experiment
c) Rutherford’s B -scattering experiment d) Interference of electron beams
3. In photoelectric effect work function of any metal is 2.5 eV. The most energetic emitted electrons
are stopped by the potential of –1.5 volt then
a) energy of incident photons is 4eV
b) energy of incident photons is 1eV
c) photoelectric current increases when we use photons of high frequency
d) energy of incident photons is 3eV
4. Select the incorrect statement :
a) K.E. of photo-electron does not depend upon the wavelength of incident radiation
b) Photoelectric current depends on intensity of incident ratiation and on frequency
c) Stopping Potential depends on frequency of radiation and not on intensity
d) photoelectric current increases when we use photons of high frequency
5. If radiation correcsponding to second line of “Balmer series” of Li2+ ion, knocked out electron from
first excited state of H-atom, then kinetic energy of ejected electron would be :
a) 2.55 eV b) 4.25 eV c) 11.25 eV d) 19.55 eV
6. In a measurement of quantum efficiency of photosynthesis in green plants, it was found that
10 quanta of red light of wavelength 6850
o
A were needed to release one molecule of O2. The
average energy storage in this process for I mole O2 evloved is 112 kcal. What is the energy con-
version efficiency in this experiment? Given: 1 cal = 4.18 J; NA = 6 × 1023; h = 6.63 × 10–34
a) 23.5 b) 26.9 c) 66.37 d) 73.1
7. The number of photons of light wave number ‘x’ in 10 J of energy source is:
a) 10 hcx b)
hc
10x
c)
10
hcx
d)
hc
10
x
8. If radius of second stationary orbit (in Bohr’s atom) is R. Then radius of third orbit will be
a) R/3 b) 9R c) R/9 d) 2.25R
9. The radius of which of the following orbit is same as that of the first Bohr’s orbit of hydrogen atom?
a) He+ (n = 2) b) Li2+ (n = 2) c) Li2+ (n = 3) d) Be3+ (n = 2)
10. The energy of an electron in the first Bohr orbit of H atom is –13.6 eV . The possible energy value
of the excited state for electrons in Bohr orbits of hydrogen is:
a) –3.4 eV b) –4.2 eV c) –6.8 eV d) + 6.8 eV
11. What is the ninth ionization potential of fluorine atom ?
a) 13.6 eV b) 9 × 13.6 eV c) 81 × 13.6 eV d) 100 × 13.6 Ev
K
K
ATOMIC STRUCTURE
29
OBJECTIVE CHEMISTRY IA
ELITE SERIES for Sri Chaitanya Jr. ICON Students
D
D
D
D
12. Kinetic energy of electron in a mono electronic species is +1312kJ/mole. Then which of the following
statements are correct
I) The electron is present in the 2nd orbit of He+ ion
II) The electron is present in the 2nd orbit of H atom
III) The electron is present in the 3rd orbit of Li+2 ion
IV) The electron is present in the 4th orbit of He+ ion
a) I and II b) II and III c) I and III d) III and IV
13. Ionisation energy of He+ is 19.6 × 10–18J atom–1. The energy of the first stationary state of Li2+ is
a) – 4.41 × 10–18 J.atom–1 b) – 4.41 × 10–17 J.atom–1
c) – 44.1 × 10–16 J.atom–1 d) – 8.72 × 10–18 J.atom–1
14. The kinetic energy of an electron in an orbit of hydrogen atom is 3.4ev/atom. Then identify the
correctly matched set for that electron
LIST-1 LIST-2
A) Potential energy 1) 1.09×108 cm/sec
B) Total energy 2) 2.116×10–8 cm
C) Velocity 3) –6.8 ev/atom
D) Its distance from nucleus 4) –3.4 ev/atom
The correct match is
A B C D A B C D
a) 4 3 2 1 b) 3 4 1 2
c) 2 1 4 3 d) 3 4 2 1
15. The Ionisation potential of Hydrogen is 2.17 × 10–11 erg/atom. The energy of the electron in the
second orbit of the hydrogen atom is
a)
11
2.17 10
2

s
 erg/atom b)
11
2
2.17 10
2

s
 erg/atom
c)
17
2
2.17 10
2
s
 erg/atom d)
11
2
2.17 10
2
s
 erg/atom
16. (A) : In an atom the velocity of electron as it moves into higher orbits keeps on decreasing.
(R) : Velocity of electron is inversely proportional to the radius of orbit.
a) Both (A) and (R) are true and (R) is the correct explanation of (A)
b) Both (A) and (R) are true and (R) is not the correct explanation of (A)
c) (A) is true but (R) is false
d) (A) is false but (R) is true
17. If first ionization potential of an atom is 16 V, then the first excitation potential will be :
a) 10.2 V b) 12 V c) 14 V d) 16 V
18. In an atom, two electrons move round the nucleus in circular orbits of radii R and 4R. The ratio of
the time taken by them to complete one revolution is
a) 1 : 4 b) 4 : 1 c) 1 : 8 d) 8 : 1
19. In Bohr’s model of the hydrogen atom the ratio between the period of revolution of an electron in
the orbit of n = 1 to the period of the revolution of the electron in the orbit n = 2 is
a) 1 : 2 b) 2 : 1 c) 1 : 4 d) 1 : 8
30 ELITE SERIES for Sri Chaitanya Jr. ICON Students
OBJECTIVE CHEMISTRY IA
ATOMIC STRUCTURE
D
D
D
D
20. What is the ratio of time periods (T1/ T2) in second orbit of H atom to 3rd orbit of He+
a) 8/27 b) 32/27 c) 27/32 d) 27/8
21. For a hypothetical hydrogen like atom, the potential energy of the system is given by U(r) =
2
3
Ke
r

,
where r is the distance between the two particles, If Bohr’s model of quantization of angular
momentum is applicable then velocity of particle is given by:
a)
2 3
2 3 2
n h
v
Ke 8 m

Q
b)
3 3
2 3 2
n h
v
8Ke 8 m

Q
c)
3 3
2 3 2
n h
v
24Ke m

Q
d)
2 3
2 3 2
n h
v
24Ke m

Q
22. A small particle of mass ‘m’ moves in such a way that 2
1
P.E. mkr
2
  , where ‘k’ is a constant and ‘r’
is the distance of the particle from origin. Assuming Bohr’s model of quantization of angular
momentum and circular orbit, ‘r’ is directly proportional to :
a) n2 b) n c) n d)
1
n
23. The velocity of an electron in excited state of H-atom is 1.093 × 106 m/s. what is the circumference
of this orbit?
a) 3.32 × 10–10m b) 6.64 × 10–10m c) 13.30 × 10–10 d) 13.28 × 10–8m
24. A hydrogen like species (atomic number z) is present in a higher exited state of quantum number n.
This excited atom can make a transition to the first excited state by successive emission of two
photons of energies 10.20 eV and 17.0 eV respectively. Alternatively, the atom from the same
excited state can make a tranition to the second excited state by successive emission of two photons
of energy 4.25 eV and 5.95 eV respectively. Determine the value of Z,
a) 1 b) 2 c) 3 d) 4
25. If the lowest energy X-rays have M = 3.055 × 10–8m, estimate the minimum difference in energy
between two Bohr’s orbits such that an electronic transition would correspond to the emission of an
X-ray. Assuming that the electrons in other shells exert no influence, at what Z (minimum) would a
transition from the second energy level to the first result in the emission of an X-ray?
a) 1 b) 2 c) 3 d) 4
26. Choose the correct statement(s)
i) The energy of an electron in an atom is always negative, because it is negatively charged.
ii) The energy of an electron in an atom is positive
iii)When an electron is at an infinite distance from the nucleus so that there is no electrical interaction;
then orbitrarily the energy of electron is taken to be zero
iv)As the electron moves closer to the nucleus, energy is released and so its energy becomes less
than zero i.e, negative.
a) all are correct b) iii and iv are correct
c) ii is correct d) No statement is correct.
27. When an electron makes a transition from (n + 1) state to nth state, the frequency of emitted radia-
tions is related to ‘n’ according to (n  1) :
a)
2
3
2cRz
v
n
 b)
2
4
cRZ
v
n
 c)
2
2
cRZ
v
n
 d)
2
2
2cRZ
v
n
ATOMIC STRUCTURE
31
OBJECTIVE CHEMISTRY IA
ELITE SERIES for Sri Chaitanya Jr. ICON Students
D
D
D
D
More than One correct answer Type Questions
28. Which of the following graphs represents Moseley’s Law
a)
ϑ
(z - b)
slope = a
b)
(z - b)
1
M
a
slope
c

c)
z
+ a
slope
c

d) z
slope = a
Y = Intercept = ab
+
29. During the Rutherford’s B -particle scattering experiment
a) Distance of closest approach is of the order of 1014m
b)At the distance of closest approach, the kinetic energy of the B – particle is transformed into
electrostatic potential
c) The B – praticles moving towards the nucleus will stop and start retracing its path
d)Maximum number ofB – particles went straight through metal foil
30. The kinetic energy (KE) of photoelectron emitted on irradiating a metal surface with frequency ‘ + ’
is related by KE h IE
 +  . The plots of K.E vs incident frequency is a straight line which shows
a) slope equal to planck’s constant
b) intercept on x-axis equal to the product of threshold frequency  planck’s constant
c) with extrapolated on y-axis equal to IE
d) with intercept on x-axis equal to threshold frequency
Linked Comprehension Type Questions
Passage-I :
An electron in an excited state of hydrogen atom absorbs 2.5 times the energy needed to unbound
the electron and moves with a wavelength of 5.416 Å. (h = 6.6 × 10–34 Js)
31. The kinetic energy of the electron is
a) 3.4 eV b) 5.1 eV c) 13.6 eV d) 10.2 eV
32. The energy absorbed by the electron is
a) 8.5 eV b) 3.4 eV c) 68 eV d) 3.78 eV
33. The electron was originally in
a) n = 3 b) n = 4 c) n = 5 d) n = 2
Passage-II :
Atoms more complicated than hydrogen have more than one proton in their nucleus. Let Z stands
for the number of protons in a nucleus. Also imagine that an atom loses all but one of its electrons
so that it changes into a positively charged ion with just one electron. Bohr’s formula for the energy
levels of the hydrogen atom can easily be changed to apply to such ions. It becomes
2 4
e
n 2 2 2
0
Z e m
E
8 h n


F
, where m = mass of electron, e = charge of electron, n = orbit number.
32 ELITE SERIES for Sri Chaitanya Jr. ICON Students
OBJECTIVE CHEMISTRY IA
ATOMIC STRUCTURE
D
D
D
D
34. The ionization potential of He+ in ground state is
a) 2427 kJ mol–1 b) 5249 kJ mol–1
c) 7116 kJ mol–1 d) 9811 kJ mol–1
35. The potential energy of electron in the ground state of He+ ion is
a) 4.358 × 10–18 J/atom b) –7.112 × 10–18 J/atom
c) –1.743 × 10–17 J/atom d) –8.279 × 10–18 J/atom
36. What minimum amount of energy is required to bring an electron from ground state of Be3+ to in
infinity ?
a) 4.358 × 10–18J/atom b) 2.179 × 10–18J/atom
c) 3.4864 × 10–17J/atom d) 8.716 × 10–18J/atom
Matrix Matching Type Questions
37. If in Bohr’s model, for uni electronic atom following symbols are used :
rn,Z m Radius of nth orbit with atomic number z.
Un,Z m Potential energy of e–
Kn,Z m Kinetic energy of e–
Tn,Z m Time period of revolution
Column-I Column-II
A) U1,2 : K1,1 P) 1 : 8
B) r2,1 : r1,2 Q) –8 : 1
C) V1,3 : V3,1 R) 9 : 1
D) T1,2 : T2,2 S) 8 : 1
38. Column-I Column-II
A) Electron model of atom P) Electrons are present in extra nuclear region
B) Rutherford model of atom Q) Electron in the atom is described as wave
C) Bohr model of atom R) Positive charge is accumulated in the nucleus
D) Schrodinger model of hydrogen atom S) Uniform sphere of positive charge with
embedded electrons
39. Column-I Column-II
A)
K.E.
P.E.
P) 2
B) P.E. + 2K.E. Q)
1
2

C)
P.E
T.E.
R) –1
D)
K.E.
T.E.
S) 0
ATOMIC STRUCTURE
33
OBJECTIVE CHEMISTRY IA
ELITE SERIES for Sri Chaitanya Jr. ICON Students
D
D
D
D
Integer Type Questions
40. The frequency of a radiation having a wave number of 2 × 1014 cm–1 will be x × 1024 s–1. Then the
value of x is _______
41. Energy required to stop the ejection of electrons from Cu-plate 0.27 eV. Calculate the work function
(in eV) When radiation of M = 235nm strikes the plate.
42. Suppose 10–18J of light energy is needed by the interior of the human eye to see an object. How
many photon of green light ( M = 550nm) are needed to generate this amount of energy ?
43. If the lowest energy X-rays have M = 3.055 × 10–8m, estimate the minimum difference in energy
between two Bohr’s orbits such that an electronic transition would correspond to the emission of an
X-ray. Assuming that the electrons in other shells exert no influence, at what Z(minimum) would a
transition from the second energy level to the first result in the emission of an X-ray ?
44. The work function ( G ) of some metals is listed below. The number of metals which will show
photoelectric effect when light of 300nm wavelength falls on the metal is
Metal Li Na K Mg Cu Ag Fe Pt W
(eV) 2.4 2.3 2.2 3.7 4.8 4.3 4.7 6.3 4.75
G
45. The radius of the first orbit of hydrogen atom is 0.52 × 10–8cm. The radius of the first orbit of He+
ion is 0.26 × 10–x cm. Then the value of x is ______
46. Ratio of the number of waves made by a Bohr electron in one complete revolution in nth orbit and
2nd orbit is 1.5. The value of n is ___
47. 1 mole of photons, each of frequency 250s–1 would have approximately a total energy of __ erg.
48. If an electron in H–atom has an energy of –78.4 kcal/mole, the electron is present in ____ orbit.
EXERCISE-II
(H- spectrum, Rydberg equation, de broglies concept of matter waves,
Heisenberg uncertainity principle, schrodinger wave equation, orbitals)
LEVEL-I (MAIN)
Straight Objective Type Questions
1. Which of the following expressions represents the spectrum of Balmer series (If n is the principal
quantum number of higher energy level) in Hydrogen atom?
1) 2
R(n 1)(n 1)
n

V  2) 2
R(n 2)(n 2)
4n

V  3) 2
R(n 2)(n 2)
n

V  4) 2
R(n 1)(n 1)
4n

V 
2. (A) : Hydrogen has only one electron in its orbit but produces several spectral lines
(R) : There are many excited energy levels available in a sample of Hydrogen gas
1) Both (A) and (R) are true and (R) is the correct explanation of (A)
2) Both (A) and (R) are true and (R) is not the correct explanation of (A)
3) (A) is true but (R) is false 4) (A) is false but (R) is true
3. When electron jumps from 5th energy level to 1st energy level, to which series the spectral line
belongs?
1) Balmer 2) Lyman 3) Paschen 4) Pfund
K
K
34 ELITE SERIES for Sri Chaitanya Jr. ICON Students
OBJECTIVE CHEMISTRY IA
ATOMIC STRUCTURE
D
D
D
D
4. When the electron in the ‘H’ atom jumps from the fifth orbit to the second orbit, the spectral line
emitted is found in
1) Visible region 2) Ultraviolet region 3) Near IR region 4) Far IR region
5. A hydrogen atom in the ground state is excited by monochromatic ratiation of wavelength
o
A
M . The
resulting spectrum consists of maximum 15 different lines. What is the wavelength M ?
(RH = 109677.8 cm–1)
1) 937.3
o
A 2) 1025
o
A 3) 1236
o
A 4) 1120
o
A
6. Let v1 be the frequency of the series limit of the Lyman series, v2 be the frequency of the first line of
the Lyman series, and v3 be the frequency of the series limit of the Balmer series
1) v1 – v2 = v3 2) v2 – v1 = v3 3) v3 – ½(v1 + v2) 4) v1 + v2 = v3
7. An excited hydrogen atom emits a photon of wavelength M while returning to the ground state. If
R is the Rydberg’s constant, then the quantum number n of the excited state is
1) R
M 2) R 1
M  3)
R
R 1
M
M 
4) R( R 1)
M M 
8. The figure indicates the energy level diagram of an atom and the origin of six spectral lines in
emission (e.g. line no. 5 arises from the transition from level B to A). Which of the following
spectral lines will also occur in the absorption spectrum ?
X
A
B
C
1 2 3
4 5
6
1) 4, 5, 6 2) 1, 2, 3, 4, 5, 6 3) 1, 4, 6 4) 1, 2, 3
9. In hydrogen atom HB – line arises due to transition n = 3mn = 2. In the spectrum of singly ionised
helium there is a line having the same wavelength as the Ha line. This is due to the transition
1) n = 3 → n = 2 2) n = 2 → n = 1 3) n = 5 → n = 3 4) n = 6 → n = 4
10. A hydrogen atom in an excited state emits a photon which has the longest wavelength of the Paschen
series. Further emissions from the atom cannot include the
1) longest wavelength of the Lyman series
2) second longest wavelength of the Lyman series
3) longest wavelength of the Balmer series
4) second longest wavelength of the Balmer series
11. If L
M , M
M and N
M are the wave lengths of electron in L, M, N energy levels of H-atom respectively.
What is their decreasing order:
1) L M N
M  M  M 2) M  M  M
N M L
3) M  M  M
L M N
4) M  M  M
M N L
12. The de Broglie wavelength associated with a moving particle of fixed mass is inversely proportional to
1) Its kinetic energy 2) Square root of its kinetic energy
3) Square of its kinetic energy 4) Cube of its kinetic energy
13. The de Broglie wavelength of a particle with mass 1 g and velocity 100 m/s is
1) 6.63 × 10–33 m 2) 6.63 × 10–34 m 3) 6.63 × 10–35 m 4) 6.63 × 10–36 m
ATOMIC STRUCTURE
35
OBJECTIVE CHEMISTRY IA
ELITE SERIES for Sri Chaitanya Jr. ICON Students
D
D
D
D
14. The de Broglie wave length of a riffle bullet of mass 2 grams moving with a velocity of 2m/sec is
1)
34
6.6 10
2 2

s
s
m 2)
27
3
6.6 10
2 10 2


s
s s
cm 3)
34
3
6.6 10
2 10 2


s
s s
m 4)
27
6.6 10
2 2

s
s
m
15. A cricket ball of mass 0.5kg is moving with a velocity of 100 m.s–1, the wavelength associated with
its motion is
1) 13.25 × 10–26m 2) 13.25 × 10–34m 3) 13.25 × 10–36m 4) 6.6 × 10–34m
16. If the Planck’s constant h = 6.6 × 10–34 Js, the de-Broglie’s wave length of a particle having momentum
of 3.3 × 10–24 kg.ms–1 will be
1) 2 × 10–10m 2) 1 × 10–15 m 3) 10–5m 4) 4 × 10–10 m
17. If the wavelength of the electron is numerically equal to the distance travelled by it in one second,
then
1)
h
m
M  2) 2
h
p
M  3)
h
m
M  4)
h
p
M 
18. For an electron to have the same de broglie wave length as that of a Deutron, its velocity should be
times that of Deutron
1) 1836 2) 1/1836 3) 3672 4) 1/3672
19. A hydrogen molecule and helium atom are moving with the same velocity. Then the ratio of their
de Broglie wavelength is
1) 1 : 1 2) 1 : 27 3) 2 : 1 4) 2 : 3
20. Wavelength of an electron is 5Aº. Velocity of the electron is
1) 1.45 × 108 cm/s 2) 1.6 × 10–8cm/s 3) 3.2 × 10–27cm/s 4) 3.2 × 1027cm/s
21. The wavelength of radiation required to remove the electron of hydrogen atom (Ionisation energy
21.7 × 10–12erg) from n = 2 orbit to n = d is
1) 3.664×10–4 cm 2) 3.66×10–5 cm 3) 3.66×10–6 cm 4) 3.664×10–7 cm
22. An electron of velocity ‘x’ is found to associate with a wave. The velocity to be possessed by the
neutron to have half the de-Broglie wavelength possessed by electron is
1)
x
1840
2)
x
1480
3)
x
920
4) 1840 x
23. The wave-length of a moving electron
1) Increases with the increase of the velocity of the electron
2) Does not depend upon the velocity of the electron
3) Decreases with the increase of velocity of the electron
4) Is equal to zero
24. Choose the correct statement(s).
1) de-Broglie waves are not radiated into space
2) The wavelength of material particles decreases if value of ‘m’ increases
3) The circumference of Bohr’s orbit is equal to whole number multiple of the wavelength of the
electron wave
4) All are true
36 ELITE SERIES for Sri Chaitanya Jr. ICON Students
OBJECTIVE CHEMISTRY IA
ATOMIC STRUCTURE
D
D
D
D
25. Choose the incorrect statement(s) regarding to electron and light :
1) Light exhibit wave particle duality, but electron does not
2) Light - travels with speed of 3 × 108 m/s and photons have zero rest mass
3) Electrons always travel at speeds less than speed of light and have a non zero rest mass
4) Light and electron both exhibit wave-particle duality
26. A particle of mass one microgram is confined to move along one direction (x-axis) within a region
1 mm in extension. What is the uncertainity in its velocity?
1) 3.313 × 10–20 cm–1 2) 5.012 × 10–20 cm–1 3) 8.325 × 10–20 cm–1 4) 5.27 × 10–21 cm–1
27. Which of the following statement is wrong regarding to uncertainty principle ?
1) The product of uncertainty in postion and uncertainty in moments is greater than or equal to
h
4Q
2) If the position of a particle is measured accurately, there will be more error in measurement of
momentum
3) If the momentum of a particle is measured accurately, there will be more error in measurement
of position
4) The position and velocity of a particle can be simultaneously known with accuracy
28. According to Schrodinger model, nature of electron in an atom is as
1) Particles only 2) Wave only
3) Both simultaneously 4) Sometimes waves and sometimes particles
29. Choose the correct statement
1) Electronic energy is positive
2) 2
Z represents the probability of finding an electron per unit volume
3) Z represents the probability of finding an electron
4) none of the above is correct
30. For s-orbitals, since Z(orbital) is independent of angles, the probability ( 2
Z ) is
1) also independent of angles 2) spherically symmetric
3) both (1) and (2) are correct 4) both (1) and (2) are incorrect
31. The density of electron cloud of the orbital dxy in yz plane is
1) Zero 2) Maximum 3) Not determined 4) Infinite
32. The probability of finding an electron in py orbital along the x-axis is
1) Maximum 2) Zero 3) Not determined 4) Infinite
33. The number of nodes and nodal planes in 4p orbital are respectively
1) 2, 1 2) 1, 2 3) 2, 3 4) 3, 2
34. The number of nodal planes ‘d’ orbital has
1) Zero 2) one 3) two 4) three
LEVEL-II (ADVANCED)
Straight Objective Type Questions
1. What electronic transition in Li+2 produces the radiation of the same wave length as the first line in
the Lyman series of hydrogen?
a) n = 4 to n = 2 b) n = 9 to n = 6 c) n = 9 to n = 3 d) n = 6 to n = 3
K
K
ATOMIC STRUCTURE
37
OBJECTIVE CHEMISTRY IA
ELITE SERIES for Sri Chaitanya Jr. ICON Students
D
D
D
D
2. The wavelength of the spectral line, for the transition n = 2 to n = 1 in the hydrogen emission
spectrum is ‘X’. Which of the following spectral line also has a wavelength of X
a) ‘ B
H ’ line in the Balmer series of spectrum of ‘H’
b) ‘ C
H ’ line in the Balmer series of spectrum of ‘H’
c) ‘ B
H ’ line in the Balmer series of spectrum of ‘He+’
d) ‘ C
H ’ line in the Balmer series of spectrum of ‘He+’
3. The ratio of the wave lengths of the first line in the Lyman series of the spectrum of Hydorgen atom
and the first line in the Balmer series of the spectrum of He+ is
a) 20/27 b) 27/20 c) 27/5 d) 5/27
4. In Bohr series of lines of hydrogen spectrum, the third line from the red end corresponds to which
one of the following inter - orbit jumps of the electron for Bohr orbits in an atom of hydrogen ?
a) 3 m 2 b) 5 m 2 c) 4 m 1 d) 2 m 5
5. In a certain electronic transition from the quantum level, ‘n’ to the ground state in atomic hydrogen
in one or more steps, no line belonging to the Bracket series is observed. What wave numbers may
be observed in the Balmer series? (R = Rydberg Constant)
a)
8R 5R
,
9 36
b)
3R 8R
,
16 9
c)
5R 3R
,
36 16
d)
3R 3R
,
4 16
6. The minimum and maximum values of wavelength in the Lyman series of a H atom are, respectively
a) 364.3 nm and 653.4 nm b) 91.2 nm and 121.5 nm
c) 41.2 nm and 102.6 nm d) 9.12 nm and 121.5 nm
7. The ratio of wavelength values of series limit lines (n2 = d) of Balmer series and Paschen serie are
a) 4 : 9 b) 9 : 4 c) 2 : 3 d) 3 : 2
8. The wavelength of the first member of the Balmer series in hydrogen spectrum is x A0.Then the
wave length (in A0) of the first member of Lyman series in the same spectrum is
a)
5
27
x b)
4
3
x c)
27
5
x d)
5
36
x
9. A hydrogen sample is prepared in a particular excited state A. Photons of energy 2.55 eV/atom get
absorbed into the sample to take some of the electrons to a further excited state B. Determine the
number of photons when an electron in the higher excited state B returns to the ground state.
a) 15 b) 10 c) 6 d) 3
10. If
2
2 2 2
n
C
n 2
¨ ·
M  © ¸

ª ¹
for Balmer series, what is the value of C2 ?
a)
H
2
R
b) 2RH c) 4RH d)
H
4
R
11. The ratio of difference in wavelengths of 1st and 2nd lines of Lyman series in H–like atom to difference
in wavelength for 2nd and 3rd lines of same series approximately, is
a) 2.5 : 1 b) 3.5 : 1 c) 4.5 : 1 d) 5.5 : 1
38 ELITE SERIES for Sri Chaitanya Jr. ICON Students
OBJECTIVE CHEMISTRY IA
ATOMIC STRUCTURE
D
D
D
D
12. Three energy levels P, Q, R of a certain atom are such that EP  EQ  ER. If 1
M , 2
M and 3
M are the
wave length of radiation corresponding to transition R → Q ; Q → P and R→ P respectively. The
correct relationship between 1
M , 2
M and 3
M is
a) 1 2 3
M M  M b)
3 1 2
1 1 1

M M M
c) 3 1 2
M  M M d)
3 1 2
2 1 1

M M M
13. The value of (n2 + n1) and (n2
2 – n1
2) for He+ ion in atomic spectrum are 4 and 8 respectively. The
wavelength of emitted photon when electron jump from n2 to n1 is
a)
32
9
RH b)
9
32
RH c)
H
9
32R
d)
H
32
9R
14. Number of possible spectral lines which may be emitted in Brackett series in H atom, if electrons
present in 9th excited level returns to ground level, are
a) 21 b) 6 c) 45 d) 5
15. If radiation correcsponding to second line of “Balmer series” of Li2+ ion, knocked out electron from
first excited state of H-atom, then kinetic energy of ejected electron would be:
a) 2.55 eV b) 4.25 eV c) 11.25 eV d) 19.55 eV
16. In a collection of H-atoms, all the elctrons jump from n = 5 to ground level finally (directly or
indirectly). without emitting any line in Balmer series. The number of possible different photons are
a) 10 b) 8 c) 7 d) 6
17. Balmer gave an equation for wavelength of visible region of H-spectrum as
2
2
n 4
Kn

O  where
n = principal quantum number of energy level, K = constant terms of R (Rydberg constant). The
value of K in terms of R is:
a) R b)
R
2
c)
4
R
d)
5
R
18. Two particles A and B are in motion. If the wavelength associated with particle A is 8 × 10–7m,
calculate the wavelength associated with particle B if its momentum is 1/4 of A.
a) 32 × 10–7m b) 2 × 10–7m c) 4 × 10–7m d) 0.5 × 10–8m
19. A proton and an B -particle are accelerated through the same potential difference. The ratio of the
de-Broglie wave length of proton and B - particle is
a) 2 b)
1
2
c) 2 2 d) 2
20. If 1
M and 2
M denote the de-Broglie wavelength of two particles with same masses but charges in
the ratio of 1 : 2 after they are accelerated from rest through the same potential difference, then
a) 1 2
M  M b) 1 2
M  M c) 1 2
M  M d) none of these
21. An electron, a proton and an alpha particle have kinetic energies of 16E, 4E and E respectively.
What is the qualitative order of their de Broglie wavelengths?
a) e p a
M  M  M b) p a e
M  M  M c) p e a
M  M  M d) a e p
M  M  M
22. In the light of Heisenburg uncertainty principle, which radiation photon can locate the position of
electron in an atom most precisely?
a) H -ray b) Visible light c) X-ray d) Microwave
ATOMIC STRUCTURE
39
OBJECTIVE CHEMISTRY IA
ELITE SERIES for Sri Chaitanya Jr. ICON Students
D
D
D
D
23. Angular momentum of an orbit of a H like species in which the electron revolving is
4.2197 × 10–34 JS. The number of waves made by the electron in that orbit.
a) 6 b) 4 c) 8 d) 2
24. The speed of an electron that has been accelerated by a potential difference of 500V is
a) 5.5 × 10–11 m/sec b) 4.5 × 10–11 m/sec c) 3.5 × 10–11 m/sec d) 6.5 × 10–11 m/sec
25. V of two particles A and B are plotted against de-Broglie wavelengths. where V is the potential on
the particles. Which of the following relation is correct about the mass of particles?
↑
B
A
λ
V
a) mA = mB b) mA  mB c) mA  mB d) mA  mB
26. The de-Broglie wavelength of an electron accelerated by an elelctric field of ‘V’ volts is given by:
a)
1.23
m
M  b)
1.23
m
h
M  c)
1.23
nm
V
M  d)
1.23
V
M 
27. The engergy of separation of an electron in a Hydrogen like atom in excited state is 3.4 eV. The
de-Broglie wave length (in A°) associated with the electron is:
a) 3.33 b) 6.66 c) 13.31 d) 16.65
28. The size of a mircorscopic particle is 1 micron and its mass is 6 × 10–13g. If its position may be
measured to within 0.1% of its size, the uncertainity in velocity (in cm–1) is approximately
a)
7
10
4

Q
b)
5
10
4

Q
c) 10–5 d) 10–8
29. The uncertainities in the velocities of two particles A and B are 0.05 and 0.02m.sec–1 respectively.
The mass of B is five times to that of mass A. What is the ratio of uncertainities
A
B
x
x
¥ ´
%
¦ µ
%
§ ¶
in their
positions
a) 2 b) 0.25 c) 4 d) 1
30. The uncertainity in the position of an electron (mass 9.1 × 10–28g) moving with a velocity of
3.0 × 104 cm.s–1 accurate up to 0.011%, will be
a) 0.192cm b) 7.68cm c) 0.175cm d) 3.84 cm
31. If 1.0 g body is travelling along the x-axis at 100 cm s–1 within 1 cm s–1, what is the unertainty in its
position?
a) 3 × 10–30 m b) 2 × 10–30 m c) 4 × 10–30 m d) 5 × 10–30 m
32. The mass of a praticle is 10–10g and its radius is 2 × 10–4 cm. If its velocity is 10–6 cm sec–1 with
0.0001% uncetrainty in measurement, the uncertainty in its position is:
a) 5.2 × 10–8m b) 5.2 × 10–7m c) 5.2 × 10–6m d) 5.2 × 10–9m
40 ELITE SERIES for Sri Chaitanya Jr. ICON Students
OBJECTIVE CHEMISTRY IA
ATOMIC STRUCTURE
D
D
D
D
33. An electron is allowed to move freely in a closed cubic box of length of side 10 cm. The uncertainty
in its velocity will be :
a) 3.35 × 10–4m sec–1 b) 5.8 × 10–4 m sec–1
c) 4 × 10–5m sec–1 d) 4 × 10–6 m sec–1
34. For an e– in a hydrogen atom, the wave function Z is proportional to 0
(r / a )
e
where a0 as Bohr’s
radius; what is the ratio of probability of finding the e– at the nucleus to the probability of finding it
at a0, the wave function is 0
3 / 2
r / a
0
1 1
e
a

¥ ´
Z 
¦ µ
§ ¶
Q
a) e b) e2 c) 1/e2 d) Zero
More than One correct answer Type Questions
35. Which of the following transitions are allowed in the normal electronic emission spectrum of
an atom?
a) 2s → 1s b) 2p → 1s c) 3d → 2p d) 5d → 2s
36. Which of the following are wrong ?
a) de Broglie relation is applicable only to microscopic particles
b) The uncertainities in measurements are due to the imperfections of the techniques used to mea-
sure them.
c) The wave function Zalways has positive values.
d) There is some probability of finding the electron even outside the boundary of the orbital.
37. According to deBroglie
a) a moving electron possess wave character
b) light posses particle character
c) a moving proton posess wave character
d) all moving particles possess wave charcter
38. In which of the following conditions the de Broglie wavelength of particle A will be less than that of
particle B (mA  mB) ?
a) Linear momentum of these particles are same
b) Move with same speed
c) Move with same kinetic energy
d) Have fallen through same height
39. Select the correct statements about the wave function Z
a) Zmust be real
b) Z must be single values, continuous
c) Z has no physical significance
d) 2
Z gives the probability of finding the electrons
40. The probability of finding an electron in the px orbital is
a) zero at nucleus
b) the same on all the sides around nucleus
c) zero on the z-axis
d) maximum on the two opposite sides of the nucleus along the x-axis
ATOMIC STRUCTURE
41
OBJECTIVE CHEMISTRY IA
ELITE SERIES for Sri Chaitanya Jr. ICON Students
D
D
D
D
Linked Comprehension Type Questions
Passage-I :
Excited atoms emit radiations consisting of only certain discrete frequencies or wavelengths. In
spectroscopy it is often more convenient to use frequencies or wave numbers than wavelength
because frequencies and wave numbers are proportional to energy and spectroscopy involves
transitions between different energy levels. The line spectrum shown by a mono electronic excited
atom (a finger print of an atom) is called atomic spectrum.
2
2 2
1 2
1 1 1
Z R
n n
¨ ·
 
© ¸
M ª ¹
41. The ratio of wavelength for II line of Balmer series and I line of Lyman series is
a) 1 b) 2 c) 3 d) 4
42. The given diagram indicates the energy levels of certain atom. When an electron moves from 2E
level to E level, a photon of wavelength M is emitted. The wavelength of photon emitted during its
transition from 4E
3
level to E level is
a)
3
M
b)
3
4
M
2E
E
4E
3
c)
4
3
M
d) 3M
Passage-II :
The only e– in the H–atom resides under ordinary conditions on the first orbit when energy is
supplied, the e–moves to higher energy shells depending upon the amount of energy absorbed.
When an e– emits energy i.e., the e– returns to the lowest energy state, from this Lyman, Balmer,
Paschen, Bracket, Pfund series are there; so different spectral lines in the spectra of atoms correspond
to different transitions of e– s from higher to lower energy levels:
43. If the shortest wavelength of H atom in Lyman series x, then longest wavelength in Balmer series
of He+ is
a)
36
5
x
b)
4
x
c)
9
5
x
d)
5
9
x
44. The ratio of number of spectral lines obtained when an e– jumps from 7th to ground to 6th to 3rd
a) 7 b) 3.5 c) 10 d) 2.5
45. In an hydrogen atom which of the following transition should be associated with highest absorption
of energy
a) n = 1 to n = 4 b) n = 2 to n = 3
c) n = 4 to n = 1 d) n = 3 to n = 2
Passage-III :
It is not possible to determine precisely both the position and the momentum ((or velocity) of a
small moving particle (e.g., electron, proton, etc)
46. The above statement is known as :
a) de-Broglie’s principle b) Pauli’s exclusion principle
c) Heisenberg’s Uncertainity principle d) Aufbau principle
42 ELITE SERIES for Sri Chaitanya Jr. ICON Students
OBJECTIVE CHEMISTRY IA
ATOMIC STRUCTURE
D
D
D
D
47. The uncertainity in position and velocity of a particle are 10–10m and 5.27 × 10–24ms–1 respectively,
Calculate the mass of the particle. (h = 6.625 × 10–34 J–s)
a) 0.099kg b) 1kg c) 2kg d) 10kg
48. Calculate the uncertainity in velocity of a cricket ball of mass 150 g if the uncertainity in its position
is of the order of
o
1A (h = 6.6 × 10–34 kgm2s–1)
a) 3.8 × 10–25ms–1 b) 3.499 × 10–24 ms–1
c) 3.8 × 10–30 ms–1 d) 3.449 × 10–30 ms–1
Passage-IV :
Hiesenberg’s uncertainty principle states that it is impossible to determine simultaneously the position
and momentum of a particle. He considered the limits of how precisely we can measure properties
of an e– (or)other microscopic particles like electron. The more accurately we measure the
momentum of a particle, less accurately we can determine its position.
49. If uncertainty in position and velocity are same, then uncertainty in momentum will be ?
a)
Q
1 h
m 4
b)
Q
h
m
4
c)
Q
h
4 m
d)
Q
hm
4
50. The police are monitoring an automobile of mass 2.0 tons speeding along a high way. They are
certain about location of the vehicle only to with in 1m; what is the minimum uncertainty in the
speed of the vehicle ?
a) 3.9 × 10–38ms–1 b) 12.4 × 10–38 ms–1
c) 2.63 × 10–38 ms–1 d) 0.62 × 10–38 ms–1
51. If uncertainty in measurement of position and momentum are equal calculate the uncertainty in
velocity
a)
p
m
%
b)
m
p
% c) m p
% d)
1
m p
%
Matrix Matching Type Questions
52. Column-I Column-II
A) Decreasing order of masses P) e–  p  n
B) Decreasing order of e/m values Q) p  e–  n
C) Decreasing order of de-Broglie’s R) n  p  e–
wavelength with same velocities
D) Decreasing order of S) n  e–  p
uncertainity in velocity when % x is same
53. Column-I Column-II
A) Bohr’s atomic model P) Fine spectrum of Hydrogen
B) de-Broglie’s concept Q) Atomic orbital
C) Sommer field atomic model R) Dual nature of any particle in motion
D) Schrodinger wave equation S) Quantisation of angular momentum
ATOMIC STRUCTURE
43
OBJECTIVE CHEMISTRY IA
ELITE SERIES for Sri Chaitanya Jr. ICON Students
D
D
D
D
54. Column-I Column-II
A) d
m
1
n n in H atoms P) Visibile radiations
B) m
4 1
n n in H atoms Q) Energy numerically equal to Rydberg energy
C) d m 1
n n in „
He ion R) Energy numerically equal to ionisation energy
D) m
4 2
n n in H atoms S) Ultraviolet radiations
55. Column-I Column-II
A) Number of electrons present in an orbit P) 2
B) Number of orbitals in an orbit Q) n
C) Number of electrons in an orbital R) n2
D) Number of subshells in an orbit S) 2n2
Integer Type Questions
56. The electron in the ground state for a single H – atom absorbs a photon of wavelength 97.28nm and
it reaches to maximum level ‘n’ then when it returns from this level to ground state. Maximum
numbers of lines can be obtained in its spectrum?
57. A transition for H-atom from II to I orbit has same wavelength as from nth orbit to 2nd orbit for He+
ion. The value of ‘n’ is ______
58. The wavelength of mth line Balmer series for an orbital is 4103A°. What is the value of m ?
59. The electron in Li2+ ions are excited from ground state by absorbing 8.4375 RH energy/electron.
How many emission lines are expected during de-excitation of electrons to ground state ?
60. How many Balmer lines in the spectrum will be observed when electrons return from 7th shell to 2nd
shell ?
61. H-atoms in ground state (13.6 eV) are excited by monochromatic radiations of photon of energy
12.1 eV. Find the number of spectral lines emitted in H-atom.
62. At 200°C the velocity of hydrogen molecule is 2.0 × 105cm/sec. In this case, the de-Broglie
wavelength is about _______
o
A .
63. The de Broglie wavelength of neutron at 27°C is M . The wavelength at 927°C will be
x
M
the value
of x is
64. If uncertainty in position is
0
25
A
4Q
. Find uncertainty in measurement of de-Broglie wavelength (in
0
A )
is x . The value of x/5 =
65. For 3s orbital of hydrogen atom, the normalised wave function is
0
r
3/ 2 2
3a
3s 2
0 0 0
1 1 18r 2r
27 e
a a a
81 3

¨ ·
¥ ´
:  
© ¸
¦ µ
§ ¶
Q © ¸
ª ¹
If distance between the radial nodes is d. Calculate the
value of
0
d
1.73a
44 ELITE SERIES for Sri Chaitanya Jr. ICON Students
OBJECTIVE CHEMISTRY IA
ATOMIC STRUCTURE
D
D
D
D
EXERCISE-III
(Quantum numbers, electron probability graphs, Hunds rule, Aufbau principle,
Pauli’s principle, electronic configurations of atoms and ions, abnoraml configurations of
Cr, Mn, magnetic behavior)
LEVEL-I (MAIN)
Straight Objective Type Questions
1. When there are two electrons in the same orbital they have the spins
1) +
1
2
, +
1
2
2) –
1
2
, –
1
2
3) +
1
2
, –
1
2
4) 0, 0
2. The values of quantum numbers n, l and m for the fifth electron of boron is
1) n = 2, l = 1, m = –1 2) n = 2, l = 0, m = –1
3) n = 2, l = 2, m = –1 4) n = 1, l = 2, m = –1
3. l = 3, then the values of magnetic quantum numbers are
1) ± 1, ± 2, ± 3 2) 0, ± 1, ± 2, ± 3
3) –1, –2, –3 4) 0, +1, +2, +3
4. The impossible set of quantum numbers is
1) n = 2, l = 0, m = 0, s = +1/2 2) n = 2, l = 1, m = 0, s = +1/2
3) n = 2, l = 0, m = 1, s = –1/2 4) n = 3, l = 1, m = –1, s = –1/2
5. Which of the following quantum numbers are not possible ?
1) n = 2, l = 1, m = –1, s = –1/2 2) n = 3, l = 2, m = –3, s = + 1/2
3) n = 2, l = 0, m = 0, s = +1/2 4) n = 3, l = 2, m = –2, s = +1/2
6. The correct set of quantum numbers for the unpaired electron of chlorine atom is
n l m n l m
1) 2 1 0 2) 2 1 1
3) 3 1 0 4) 3 0 0
7. The two electrons occupying an orbital are distinguished by
1) Principal quantum number 2) Azimuthal quantum number
3) Magnetic quantum number 4) Spin quantum number
8. Which of the following sets of quantum numbers is correct for an electron in 4 f orbital ?
1) n = 4, l = 3, m = + 4, s = +1/2 2) n = 3, l = 2, m = –2, s = +1/2
3) n = 4, l = 3, m = +1, s = +1/2 4) n = 4, l = 4, m = – 4, s = – 1/2
9. The number of nodes possible in radial probability distribution curve of 3d orbital is
1) 1 2) 2 3) 3 4) 0
10. In the radial probability distribution curve for the 2s orbital of the hydrogen atom, the minor maximum,
the node and the major maximum occur at the following distances from the nucleus respectively
1) o o o
1.1A ,0.53A ,2.6A 2) o o o
0.53A ,1.1A ,2.6A
3)
o o o
2.6A ,1.1A ,0.53A 4)
o o o
0.53A ,2.116A ,2.6A
K
K
ATOMIC STRUCTURE
45
OBJECTIVE CHEMISTRY IA
ELITE SERIES for Sri Chaitanya Jr. ICON Students
D
D
D
D
11. When n = 3 and l = 1, the designation given to the orbital is
1) 4s 2) 4p 3) 3s 4) 3p
12. Which of the following designation is impossible?
1) 4f 2) 5g 3) 2d 4) 6p
13. The correct valence electronic configuration for Cu(Z = 29) is
1) 3d9 4s2 2) 3d10 4s1 3) 3d10 4s2 4) 3d8 4s2
14. Which one of the following pairs of ions have the same electronic configuration
1) Cr3+, Fe3+ 2) Fe3+, Mn2+ 3) Fe3+, Co3+ 4) Sc3+, Cr3+
15. The (n + l) value for 4f-sub shell is
1) 4 2) 5 3) 6 4) 7
16. The energy of the electron in the hydrogen atom depends on
1) The principal quantum number only
2) All the quantum numbers
3) The Azimuthal quantum number
4) The principal and azimuthal quantum numbers
17. After 3d-sub level is completely filled the differentiating electron enters into ____ sub level.
1) 4s 2) 4p 3) 4f 4) 5s
18. The correct ground state electronic configuration of chromium atom is
1) [Ar] 3d5 4s1 2) [Ar] 3d4 4s2 3) [Ar] 3d6 4) [Ar] 3d5 4s2
19. Consider the following pairs of ions
i) Sc+3 and Ti+4 ii) Mn+2 and Fe+2 iii) Fe+2 and Co+3 iv) Cu+ and Zn+2
Among these pairs of ions, isoelectronic pairs would include
1) ii, iii and iv 2) i, iii and iv 3) i, ii and iv 4) i, ii and iii
LEVEL-II (ADVANCED)
Straight Objective Type Questions
1. The number of sub levles in the quantum level n = 3 is
a) 1 b) 2 c) 3 d) 4
2. The number of different spatial arrangements for the orbital with l = 2 is
a) 1 b) 3 c) 5 d) 7
3. An electron in an atom has m = –2 value. Then
I) its ‘n’ value should be greater than 2 II) its ‘s’ value should be + 1/2
III) its ‘l’ value should be 2 IV) its ‘l’ value should be greater than 1
a) I and II are correct b) II and III are correct
c) III and IV are correct d) I and IV are correct
4. How many electrons in an atom with atomic number 105 can have (n + l) = 8?
a) 30 b) 15 c) 17 d) 16
K
K
46 ELITE SERIES for Sri Chaitanya Jr. ICON Students
OBJECTIVE CHEMISTRY IA
ATOMIC STRUCTURE
D
D
D
D
5. The maximum number of electrons with s = +1/2 in an orbital for which l = 2 is
a) 1 b) 3 c) 5 d) 7
6. (A) : The energy of electron is largerly determined by its principal quantum number.
(R) : The principal quantum number is a measure of most probable distance of finding the electron
around the nucleus.
a) Both (A) and (R) are true and (R) is the correct explanation of (A)
b) Both (A) and (R) are true and (R) is not the correct explanation of (A)
c) (A) is true but (R) is false
d) (A) is false but (R) is true
7. If the value of principal quantum number is 3, the total possible values for magnetic quantum
number will be
a) 5 b) 9 c) 8 d) 10
8. For a particular value of azimuthal quantum number (l), the total number of magnetic quantum
number values (m) is given by
a) l =
m 1
2
b) l =
m 1
2

c) l =
2m 1
2
d) n =
2 1
2
l
9. The electrons, identified by n  l ; (i) n = 4, l = 1(ii) n = 4, l = 0 (iii) n = 3, l = 2 (iv) n = 3, l = 1
can be placed in order of increasing energy, from the lowest to highest as :
a) (iv)  (ii)  (iii)  (i) b) (ii)  (iv)  (i)  (iii)
c) (i)  (iii)  (ii)  (iv) d) (iii)  (i)  (iv)  (ii)
10. The quantum numbers +1/2 and –1/2 for the electron spin represent:
a) rotation of the electron in clockwise and anticlockwise direction respectively.
b) rotation of the electron in anticlockwise and clockwise direction respectively.
c) magnetic moment of the electron pointing up and down respectively.
d) two quantum mechanical spin states which have no classical analogue.
11. For similar orbitals having different values of ‘n’:
a) the most probable distance increases with increse in ‘n’
b) the most probable distance decreases with increase in ‘n’
c) the most probable distance remains constant with increase in‘n’
d) the most probable distance increases with increse in ‘n2’
12. If n and l are principle and azimuhtal quantum numbers respectively, then the expression for calcu-
lating the total number of electrons in any energy level is
a)
n
0
2(2 1)


¤
l
l
l b)
n
1
2(2 1)


¤
l
l
l c)
n
0
(2 1)


¤
l
l
l d)
n 1
0
2(2 1)
 

¤
l
l
l
13. Which of the following sets of quantum numbers describes the electron which is removed most
easily fom a potassium atom in its ground state ?
a) n = 3, l = 1, m1 = 1, ms =
1
2
 b) n = 2, l = 1, m1 = 0, ms =
1
2

c) n = 4, l = 0, m1 = 1, ms =
1
2
d) n = 4, l = 0, m1 = 0, ms =
1
2
ATOMIC STRUCTURE
47
OBJECTIVE CHEMISTRY IA
ELITE SERIES for Sri Chaitanya Jr. ICON Students
D
D
D
D
14. There is no difference between a 2p and a 3p orbital regarding
a) Value of n b) Size c) Energy d) Shape
15. The probability of finding electron in XY plane for PZ– orbital is
a) 100% b) 50% c) 99.9% d) 0%
16. How many electrons maximum can have n + l = 4 in an atom.
a) 8 b) 2 c) 6 d) 18
17. In which of the following Aufbau principle is violated ?
a) n
l n
l l l
2s 2p
b) l n
l l l
2s 2p
c) n
l l l l
2s 2p
d) n
l n
l l l
2s 2s
n
18. Which of the following electronic configuration is not possible?
a) 1s2 2s2 2p6 b) 1s2 2s2 2p7 c) 1s2 2s2 d) 1s2 2s2 2p5
19. The configuration 1s2 2s2 2p5 3s1 shows
a) Ground state of fluorine b) Excited state of fluorine
c) Exited state of neon atom d) Excited state of argon
20. Which of the following has maximum unpaired d-electrons?
a) Zn+ b) Fe2+ c) Ni3+ d) Cu+
21. The number of electrons in the ground state of atom (z = 24) with the quantum numbers l = 1 and
l = 2 are, respectively
a) 12, 4 b) 12, 5 c) 16, 4 d) 16, 5
22. For H-atom, the energy required for the removal of electron from various sub-shells is given as
under:
The order of the energies would be :
a) E1  E2  E3 b) E3  E2  E1 c) E1 = E2 = E3 d) E1  E3  E2
23. Among the following representations of excited states of atoms which is impossible ?
a) 1s1 2s1 b) 3s2 3p3 4s1 c) 1s2 2s2 2p4 3s2 d) [Ne] 3s2 3p6 3d2 4s3
24. Consider the following six electronic configurations (remaining inner orbitals are completely filled)
and mark the incorrect option.
I) ↑ ↑ ↑ ↑ II) ↑ ↑ ↑
↓
III) ↑ ↑ ↑ ↑
↓ ↑ IV) ↑ ↑ ↑ ↑ ↑ ↑
V) ↑ ↑ ↑ ↑↑ VI) ↑ ↑ ↑
↓
a) Stability order : IV  II  III b) Order of spin multiplicity : IV  III = I  II
c) V does not violate all the three rules of electronic configuration
d) If IV represents A+ when kept near a magnet, acts as diamagnetic substance.
48 ELITE SERIES for Sri Chaitanya Jr. ICON Students
OBJECTIVE CHEMISTRY IA
ATOMIC STRUCTURE
D
D
D
D
25. How many electrons in an atom can have n = 4, l = 2, m = –2 and
1
s
2
 ?
a) 1 b) 2 c) 5 d) 10
26. The electronic comfigurations of 24Cr and 29Cu are abnormal
a) Due to extra stability of exactly half filled and exactly filled sub shells
b) Because they belong to d-block c) Both of the above
d) due to the presence of unpaired d-electrons
27. Among the following series of transition metal ions, the one where all metal ions have same 3d
electronic configuration is:
a) 2 3 4 5
Ti ,V ,Cr ,Mn b) 3 2 3 4
Ti ,V ,Cr ,Mn
c) 4 6 7
Ti ,V ,Cr ,Mn d) 4 3 2 3
Ti ,V ,Cr ,Mn
More than One correct answer Type Questions
28. Which of the following statement(s) is (are) not correct?
a) The shape of an atomic orbital depends on the azimuthal quantum number
b) The orientation of an atomic orbital depends on the magnetic quantum number
c) The energy of an electron in an atomic orbtial of multi electron atom depends on principal
quantum number
d) The number of degenerate atomic orbitals of one type depends on the values of principal, azimuthal
and magnetic quantum numbers.
29. Which one of the statement of quantum numbers is false?
a) Quantum number were proposed out of necessity in Bohr model of the atom.
b) Knowing n and l it is possible to designate a subshell.
c) The principal quantum number alone can give the complete energy of an electron in any
atom.
d) Azimutal quantum number refers to the subshell to which an electron belongs and describes
the motion of the electron.
30. The spin of the electron
a) increases the angular momentum
b) decreases the angular momentum
c) can be forward (clockwise) relative to the direction of the path of the electron
d) can be backward (anti-clockwise) relative to the direction of the path of the electron
31. When an atom is placed in the magnetic field, then due to the presence of electrons in it
a) the orbitals do not orient themselves relative to the magnetic field
b) the orbitals orient themselves relative to the magnetic field
c) there are (2l + 1) different values of m for each value of l
d) there are (2) different values of m for each value of l
32. For radial probability curves, which of the following is/are correct?
a) The number of maxima in 2s orbital are two
b) The number of spherical or radial nodes is equal to n – l – 1
c) The number of angular nodes are ‘l’
d) 3dz
2 has 3 angular nodes
ATOMIC STRUCTURE
49
OBJECTIVE CHEMISTRY IA
ELITE SERIES for Sri Chaitanya Jr. ICON Students
D
D
D
D
33. Choose the correct statement(s):
a) for a particular orbital in hydrogen atom, the wave function may have negative value
b) Radial probability distribution function may have zero value but can never have negative value
c) 2 2
x y
3d 
orbital has two angular nodes and one radial node
d) yz and xz planes are nodal planes for dxy orbital
34. Which of the following statements are correct for an electron that has n = 4 and m = –2?
a) The electron may be in a d-orbital
b) The electron is in the fourth principal electronic shell
c) The electron may be in a p-orbital
d) The electron must have the spin quantum number = +1/2.
35. Which of the following statements are correct ?
a) The number of orbitals for a given value of l is equal to 2l + 1
b) The number of orbitals for a given value of n is equal to n2
c) An atom having unpaired electrons is diamagnetic is nature
d) The half-filled and fully-filled electronic configurations are less stable than the other configura-
tion having the same number of electrons.
36. Select the correct statement(s):
a) Radial distribution function indicates that there is a higher probability of finding the 3s electron
close to the nucleus than in case of 3p and 3d orbitals
b) Energy of 3s orbital is less than for the 3p and 3d orbitals
c) At the node, the value of the radial function changes from positive to negative
d) The radial function depends upon the quantum numbers n and l
37. A neutral atom has 2K, 8L and 5M electrons, choose correct one
a) Atomic number is 15
b) Total number of p-electrons = 9
c) Valency of element is 2
d) It is a representative element.
38. Which of the following are correct ?
a) All s-orbitals have the same orbital angular momentum.
b) The angular momentum of the electron in 4th orbit is 2h/ Q
c) The magnetic moment of Cu2+ ion = 1.732 B.M.
d) All d-orbitals have two nodal planes.
39. The configuration [Ar]3d54s1 in the first excited states exists for
a) Fe2+ b) Co3+ c) Mn+ d) Cr
40. The following electronic configuration violates
↑ ↑ ↑ ↑ ↑
↑
↑ ↑ ↑↑
a) Hund’s rule b) Pauli’s principle
c) Aufbau principle d) Heisenberg’s principle
50 ELITE SERIES for Sri Chaitanya Jr. ICON Students
OBJECTIVE CHEMISTRY IA
ATOMIC STRUCTURE
D
D
D
D
41. Ground state electronic configuration of p atom can be represented as
a)
3s 3p
↑n ↑ ↑ ↑
[Ne] b)
3s 3p
↑n ↑ ↑
[Ne] n c)
3s 3p
↑n ↑
[Ne] n n d)
3s 3p
↑n
[Ne] n n
n
42. Which of the following statement is/are wrong?
a) If the value of l = 0, the electron distribution is spherical
b) The shape of the orbital is given by magnetic quantum no.
c) Angular moment of 1s, 2s, 3s electrons are equal
d) In an atom, all electrons travel with the same velocity
43. Gaseous state electronic configuration of Nitrogen atom can be represented as:
a) ln ln l l l b) ln ln l n l c) ln ln l n n d) ln ln n n n
44. The electronic configuration of an element is 1s2 2s2 2p6 3s2 3p6 3d5 4s1. This represents its:
a) excited state b) ground state c) cationic form d) anionic form
Linked Comprehension Type Questions
Passage-I :
It is tempting to think that all possible transitions are permissible, and that an atomic spectrum arises
from the transition of the electron from any initial orbital to any other orbital. However, this is not so,
because a photon has an intrinsic spin angular momentum of
h
2
2Q
corresponding to S = 1 although
it has no charge and no rest mass. On the other hand, an electron has got two types of angular
momentum :
Orbital angular momentum,
h
L ( 1)
2

Q
l l and spin angular momentum, arising from orbital motion
and spin motion of electron respectively. The change in angular momentum of the electron during
any electronic transition mush compensate for the angular momentum carries away by the photon.
to satisfy this condition the difference between the aziuthal quantum numbers of the orbital within
which transition takes place must differ by one. Thus, an electron in a d-orbital (1 = 2) cannot make
a transition into an s = orbital (I = 0) because the photon cannot carry away enough angular
momentum. An electron as is well known, possess four quantum numbers n, I, m and s. Out of
these four I determines the magnitude of orbital angular momentum (mentioned above) while
m determines its z-components as
h
m
2
¥ ´
¦ µ
§ ¶
Q
The permissible values of only integers right from
–1 to + l. While those for I are also integers starting from 0 to (n – 1). The values of I denotes the sub-
shell. For I = 0, 1, 2, 3, 4,….. the sub-shells are denoted by the symbols s, p, d, f, g, …. respectively
45. The maximum orbital angular momentum of an electron with n = 5 is
a)
h
6
2Q
b)
h
12
2Q
c)
h
42
2Q
d)
h
20
2Q
46. The orbital angular momentum of an electron in p-orbital makes an angle of 45° from Z-axis.
Hence Z-component of orbital angular momentum of electron is :
a)
h
Q
b)
h
2
¥ ´
¦ µ
§ ¶
Q
c)
h

Q
d)
h
2
¥ ´
¦ µ
§ ¶
Q
47. The spin-only magnetic moment of free ion is 8 B.M. The spin angular momentum of electron
will be
a)
h
2
2Q
b)
h
8
2Q
c)
h
6
2Q
d)
3 h
4 2Q
ATOMIC STRUCTURE
51
OBJECTIVE CHEMISTRY IA
ELITE SERIES for Sri Chaitanya Jr. ICON Students
D
D
D
D
Passage-II :
When Schrodinger wave equation in polar coordinates is solved the solution for Z is of the form
(r, , ) R(r).Y( , )
Z R G  R G . Here R(r) is radial part of wave function and Y( , )
R G is angular part of the
wave function. The region or space where probability of finding electron is zero is called nodal
surface. If the probability of finding electron is zero then 2
(r, , ) 0
Z R G  (r, , ) 0
Z R G 
If the radial wave function is equal to zero we get radial node and if angular part is equal to zero we
get angular nodes. Total no. of nodes for any orbital = n – 1. Where ‘n’ is principal quantum number.
48. The d-orbital with out two nodal surfaces formed one is
a) 2 2
x y
3d  b) 2
z
3d c) 3dxy d) 4dxy
49.
R
r
represents
a) 4s b) 5p c) 3s d) 6dxy
50. Number of radial nodes for 4f orbital
a) 3 b) 2 c) 1 d) zero
Passage-III :
In an universe other than earth all the quantum numbers have same value as on earth except ‘l’ and
‘s’. Azimuthal quantum number can have values from 0 to (n + 1) in integral step and s (spin
quantum no.) has values of
1 1
,0 
2 2
¥ ´

¦ µ
§ ¶
. If all rules like Aaufbau rule, Hund’s rule and Paulis
exclusion rule follow in other universe also.
51. No. of element in third period of another universe will be
a) 27 b) 32 c) 36 d) 42
52. Configuration of element with atomic number 29 will be
a)1s3, 1p9, 2s3, 1d14 b)1s3, 2s3, 2p9, 3s3, 3p9, 4s2
c)1s2, 1p6, 2s2, 1d10, 2p9 d) 1s3, 1p6, 2p9, 2s2, 1d10
53. Atomic number of element in 4th period and 5th column will be
a) 89 b) 71 c) 73 d) 75
Matrix Matching Type Questions
54. Column-I Column-II
A) Orbital angular momentum of the P) Principal quantum number
electron in a hydrogen-like atomic orbital.
B) A hydrogen-like one-electron wave Q) Azimuthal quantum number
function obeying Pauli’s principle.
C) Shape, size and orientation of hydrogen- R) Magnetic quantum number
like atomic orbitals.
D) Probability density of electron at the S) Electron spin quantum number
nucleus in hydrogen-like atom
52 ELITE SERIES for Sri Chaitanya Jr. ICON Students
OBJECTIVE CHEMISTRY IA
ATOMIC STRUCTURE
D
D
D
D
12345678901234567890123456789012123456789012345678901234567
12345678901234567890123456789012123456789012345678901234567
12345678901234567890123456789012123456789012345678901234567
12345678901234567890123456789012123456789012345678901234567
12345678901234567890123456789012123456789012345678901234567
12345678901234567890123456789012123456789012345678901234567
55. Column-I Column-II
A) 4s P)
4
Q
r
2
R
2
Distance from nucleus
B) 3p Q)
4
Q
r
2
R
2
Distance from nucleus
C) 3d R)
4
Q
r
2
R
2
Distance from nucleus
D) 2p S)
4Q
r
2
R
2
Distance from nucleus
56. Column-I Column-II
A) Cr P) 4s1 configuration state
B) Cu Q) Unpaired electron in 4s-orbital
C) K R) Unpaired electron in 3d-orbital
D) Fe S) Ferromagnetic
Integer Type Questions
57. For how many orbitals, the quantum numbers n = 3, l = 2, m = +2 are possible ?
58. Find out the different in number of angular nodes and number of radial nodes in the orbital to which
last electron of chromium present.
59. What is the total number of radial and angular nodes present in 5f orbital?
60. The atomic mass of an element is 19. The second shell of its atom contains 7 electrons. The number
of neutrons in its nucleus is 2x. The value of x is _____ .
KEY SHEET (PRACTICE SHEET)
EXERCISE-I
LEVEL-I 1) 1 2) 3 3) 1 4) 4 5) 4 6) 4 7) 1 8) 4
9) 1 10) 3 11) 1 12) 1 13) 3 14) 1 15) 1 16) 3
17) 1 18) 1
LEVEL-II 1) a 2) b 3) a 4) a 5) d 6) b 7) c 8) d
9) d 10) a 11) c 12) c 13) b 14) b 15) b 16) c
17) b 18) c 19) d 20) b 21) c 22) c 23) c 24) c
J
J
ATOMIC STRUCTURE
53
OBJECTIVE CHEMISTRY IA
ELITE SERIES for Sri Chaitanya Jr. ICON Students
D
D
D
D
25) b 26) b 27) a 28) abd 29) abcd30) acd 31) b 32) a
33) d 34) a 35) c 36) c 37) A-Q;B-S;C-R;D-P
38) A-S; B-PR; C-PR; D-PQR 39) A-Q; B-S; C-P; D-R 40) 6
41) 5 42) 3 43) 2 44) 4 45) 8 46) 3 47) 1 48) 2
EXERCISE-II
LEVEL-I 1) 2 2) 1 3) 2 4) 1 5) 1 6) 1 7) 3 8) 2
9) 4 10) 4 11) 2 12) 2 13) 1 14) 3 15) 3 16) 1
17) 1 18) 3 19) 3 20) 1 21) 2 22) 3 23) 3 24) 2
25) 1 26) 4 27) 4 28) 3 29) 2 30) 3 31) 1 32) 2
33) 1 34) 3
LEVEL-II 1) d 2) d 3) a 4) b 5) c 6) b 7) a 8) a
9) c 10) d 11) a 12) b 13) c 14) b 15) d 16) d
17) c 18) a 19) c 20) c 21) a 22) a 23) b 24) a
25) b 26) c 27) b 28) a 29) a 30) c 31) a 32) a
33) a 34) b 35) abcd36) abc 37) acd 38) bd 39) abcd 40) acd
41) d 42) d 43) c 44) b 45) a 46) c 47) a 48) b
49) d 50) c 51) a 52) A-R; B-P; C-P; D-P
53) A-S; B-R; C-Q; D-P 54) A-RS; B-S; C-RS; D-P
55) A-S;B-R;C-P;D-Q 56) 4 57) 2 58) 4 59) 3 60) 5
61) 3 62) 1 63) 2 64) 4 65) 3
EXERCISE-III
LEVEL-I 1) 3 2) 1 3) 2 4) 3 5) 2 6) 3 7) 4 8) 3
9) 4 10) 2 11) 4 12) 3 13) 2 14) 2 15) 4 16) 4
17) 1 18) 1 19) 2
LEVEL-II 1) c 2) c 3) b 4) c 5) a 6) a 7) b 8) b
9) a 10) d 11) a 12) d 13) d 14) d 15) d 16) a
17) b 18) b 19) c 20) b 21) b 22) c 23) d 24) d
25) a 26) a 27) a 28) cd 29) acd 30) cd 31) bc 32) abc
33) abd 34) ab 35) ab 36) abcd37) abd 38) abc 39) ab 40) abc
41) ad 42) bd 43) ad 44) bc 45) d 46) b 47) a 48) b
49) a 50) d 51) a 52) a 53) b
54) A-Q; B-PQRS; C-PQR; D-PQR 55) A-Q; B-R; C-S; D-P
56) A-PQR; B-PQ; C-PQ; D-R,S 57) 1 58) 2 59) 4 60) 5
54 ELITE SERIES for Sri Chaitanya Jr. ICON Students
OBJECTIVE CHEMISTRY IA
ATOMIC STRUCTURE
D
D
D
D
1234567890123456789012345678901212345678901234567890123456789012123456789012345
1234567890123456789012345678901212345678901234567890123456789012123456789012345
1234567890123456789012345678901212345678901234567890123456789012123456789012345
1234567890123456789012345678901212345678901234567890123456789012123456789012345
1234567890123456789012345678901212345678901234567890123456789012123456789012345
1234567890123456789012345678901212345678901234567890123456789012123456789012345
1234567890123456789012345678901212345678901234567890123456789012123456789012345
1234567890123456789012345678901212345678901234567890123456789012123456789012345
K
K
ADDITIONAL PRACTICE EXERCISE
LEVEL-I (MAIN)
Straight Objective Type Questions
1. Ratio of masses of proton and electron is
1) 1.8 2) 1.8 × 103 3) Infinite 4) 1.8 × 102
2. The ratio between the neutrons present in carbon atom and silicon atoms with mass numbers 12 and
28 is
1) 7 : 3 2) 3 : 7 3) 1 : 2 4) 2 : 1
3. The number of nucleons in the isotope of an atom zXm are
1) m 2) Z 3) m + Z 4) m – Z
4. The total energy of electron in an atom is a combination of potential energy (P.E) and kinetic energy
(K.E). If total energy is –E for an electron in an atom, then its (K.E) and (P.E) respectively are
1) 2E, –E 2) 2E, E 3) E, –2E 4) E, –E
5. The radius of which of the following orbit is same as radius of 1st orbit of H
1) He (n 2)
 2) 2
Li (n 2)
 3) 2
Li (n 3)
 4) 3
Be (n 2)

6. In hydrogen atom the kinetic energy of electron is 3.4 eV. The distance of that electron from the
nucleus
1) 2.11A° 2) 0.529A° 3) 1.587A° 4) 21.16A°
7. The radius of first Bohr’s orbit for hydrogen is 0.53 A0. The radius of third Bohr’s orbit would be
1) 0.79 A0 2) 1.59 A0 3) 3.18 A0 4) 4.77 A0
8. The energy of second Bohr orbit of hydrogen atom is –328 kJ. mol–1, hence energy of fourth Bohr
orbit would be
1) –41 kJ mol–1 2) –82 kJ mol–1
3) –164 kJ mol–1 4) –1312 kJ mol–1
9. Which of the following transistions in hydrogen atom will require the highest amount of energy
1) n = 1 to n = 2 2) n = 1 to n = 3 3) n = 2 to n = 1 4) n = 3 to n = 4
10. The energy of an electron in the first Bohr’s orbit of a hydrogen atom is –2.18 × 10–18J. Its energy in
the second orbit would be
1) –1.09 × 10–18 J 2) –4.36 × 10–18 J
3) –5.45 × 10–19 J 4) –8.72 × 10–18 J
11. (A) : For n = 3, l may be 0, 1, 2 and ‘m’ may be 0; (+1 and 0); (+ 2, + 1 and 0).
(R) : For each value of n there are 0 to (n–1) possible values of 1 and for each value of l values of ‘m’
are –l .....0.....+l.
1) Both (A) and (R) are true and (R) is the correct explanation of (A)
2) Both (A) and (R) are true and (R) is not the correct explanation of (A)
3) (A) is true but (R) is false
4) (A) is false but (R) is true
ATOMIC STRUCTURE
55
OBJECTIVE CHEMISTRY IA
ELITE SERIES for Sri Chaitanya Jr. ICON Students
D
D
D
D
12. If magnetic quantum number of a given electron is represented –3, then what will be its principal
quantum number ?
1) 2 2) 3 3) 4 4) 1
13. The configuration of 1s2 2s2 2p6 3s1 3p1 shows
1) Ground state of fluorine atom 2) Excited state of fluorine atom
3) Excited state of magnesium atom 4) Excited state of oxygen atom
14. The incorrect electronic arrangement is
1) 2, 8, 13, 1 2) 2, 8, 12, 2 3) 2, 8, 8, 1 4) 2, 8, 8, 2
15. Given this set of quantum numbers for a multi-electron atom 2, 0, 0, and –1/2. The next higher
allowed set of n and l for this atom in its ground state
1) n = 2, l = 0 2) n = 2, l = 1 3) n = 3, l = 0 4) n = 3, l = 1
16. Which one of the following pairs of atoms/ions have identical ground state configurations?
1) Li+ and He+ 2) Cl– and Ar 3) Na and K 4) F+ and Ne
17. The atomic number of an element ‘M’ is 26. How many electrons are present in the M-shell of the
element in its M3+ state ?
1) 11 2) 15 3) 14 3) 13
18. Consider the ground state of Cr atom (Z = 24). The numbers of electrons with the azimuthal quantum
numbers, l = 1 and 2 are, respectively
1) 12 and 4 2) 16 and 5 3) 16 and 4 4) 12 and 5
19. Which is the first element to have 4d-electron in its electronic configurations
1) Ca 2) Sc 3) Y 4) La
20. In the ground state, an element has 13 electrons in its “M - shell”. The element is
1) Copper 2) Chromium 3) Nickel 4) Iron
21. (A) : The electronic configuration of Cr is [Ar]3d54s1 but not [Ar]3d44s2.
(R) : Lowering energy with configuration [Ar]3d54s1 is more than that with configuration [Ar]3d44s2.
1) Both (A) and (R) are true and (R) is the correct explanation of (A)
2) Both (A) and (R) are true and (R) is not the correct explanation of (A)
3) (A) is true but (R) is false 4) (A) is false but (R) is true
22. The electrons identified by quantum numbers n and l are
I) n = 4, l = 1 II) n = 4, l = 0 III) n = 3, l = 2 IV) n = 3, l = 1
can be placed in order of increasing energy as
1) IV  II  III  I 2) II  IV  I  III 3) I  III  II  IV 4) III  I  IV  II
23. Which of the following statement(s) is/are consistent with the Bohr theory of the atom (and no
others) ?
A) An electron can remain in a praticular orbit as long as it continuously absorbs radiation of a
definite frequency.
B) The lowest energy orbits are those closest to the nucleus.
C) All electrons can jump from the K shell to the M shell by emitting ratiation of a definite
frequency.
1) A,B,C 2) B Only 3) C Only 4) A,B
56 ELITE SERIES for Sri Chaitanya Jr. ICON Students
OBJECTIVE CHEMISTRY IA
ATOMIC STRUCTURE
D
D
D
D
24. Give the correct order of initials T (True) or F (False) for following statements.
(I) If electron has zero magnetic quantum number, then it must be present in s-orbital.
(II) In orbital diagram, pauli’s exclusion principle is violated.
(III) Bohr’s model can explain spectrum of the hydrogen atom.
(IV) A d-orbital can accommodate maximum 10 electrons only.
1) TTFF 2) FFTF 3) TFTT 4) FFTT
25. The orbital diagram in which the Aufbau principle is violated is
1) ↑ ↑↓ ↑ ↑ 2) ↑ ↑↓ ↑
↓
3) ↑ ↑ ↑
↑
↓ 4) ↑ ↑ ↑
↑
↓ ↓
↓
26. The number of angular nodal planes are same in the orbitals:
1) 3p and 4p 2) 3s and 4d 3) 4s and 3p 4) 4s and 3d
27. The wave length of first member of Balmer series of a hydrogen atom is nearly (The value of
Rydberg constant is 1.08 × 107m–1)
1) 4400A° 2) 5500A° 3) 6600A° 4) 7700A°
28. The wave length of E
H line of Balmer series of a hydrogen atom is nearly (R = 1.08 × 107m–1)
1) 4090A° 2) 5400A° 3) 6800A° 4) 7200A°
29. The first emission line of hydrogen atomic spectrum in the Balmer series with respect to the Rydberg
constant, R is
1)
1
5R
cm
36
2)
1
3R
cm
4
3)
1
7R
cm
144
4)
1
9R
cm
400
30. What is the wave length of Hb line in Balmer series of hydrogen spectrum? (R = Rydberg constant)
1) 36/5R 2) 5R/36 3) 3R/16 4) 16/3R
31. Uncertainity in position of a minute particle of mass 25g in space is 10–5 m. What is the uncertainity
in its velocity (in ms–1) ? (h = 6.6 × 10–34 Js)
1) 2.1 × 10–34 2) 0.5 × 19–34 3) 2.1 × 10–28 4) 0.5 × 10–23
32. The uncertainity in momentum of an electron is 1 × 10–5 kg.m/s. The uncertainity in its position will
be (h = 6.62 × 10–34 kg.m/s)
1) 1.05 × 10–28 m 2) 1.05 × 10–26 m 3) 5.27 × 10–30 m 4) 5.27 × 10–28 m
33. The uncertainity in the momentum of a particle is 3.31 × 10–2 kgms–1. The uncertainity in its position
is (in metres)
1) 1.59 × 10–33 2) 0.33 × 10–30 3) 0.4 × 10–20 4) 3.3 × 10–24
34. The shape of orbital for which l = 1 is
1) Spherical 2) Dumb-bell
3) Double dumb-bell 4) Circular
ATOMIC STRUCTURE
57
OBJECTIVE CHEMISTRY IA
ELITE SERIES for Sri Chaitanya Jr. ICON Students
D
D
D
D
35. The maximum number of electrons in a sub-shell is given by the expression.
1) (l + 2) 2) (2l + 2) 3) (4l + 2) 4) (l + 1)
36. The magnetic quantum number, m for the outermost electron in the sodium atom is
1) 1 2) 0 3) 2 4) –1
37. For the configuration 1s22s1, the quantum numbers for the outermost electron are
1) 2,1,0, –1/2 2) 2,0,0,+1/2 3) 2,1,0,+1/2 4) 2,0,1,+1/2
38. The maximum number of electrons that a p-orbital can accomodate is
1) 6 2) 2 3) 10 4) 14
39. The number of orbitals in the quantum level n = 4 is
1) 4 2) 9 3) 16 4) 18
40. The quantum number which is equal for all the d-electrons in an atom is
1) l 2) m 3) s 4) n
41. Correct set of four quantum numbers for the valence electron of Rubidium (Z = 37) is
1) 5, 0, 0, +1/2 2) 5, 1, 0, +1/2 3) 5, 1, 1, +1/2 4) 6, 0, 0, +1/2
42. n, l and m values of the 2pz orbital are
1) 3,2,1 2) 2,1,0 3) 1,2,0 4) 2,0,1
43. The azimuthal quantum number for the last electron in sodium atom is
1) 1 2) 2 3) 0 4) 3
44. Which of the following electronic cofiguration corresponds to an inert gas ?
1) 1s22s22p5 2) 1s22s22p6 3) 1s22s22p63s1 4) 1s22s2
45. The reason for chromium to have [Ar]3d54s1 configuration instead of [Ar]3d44s2 is
1) Pauli’s exclusion principle 2) Aufbau principle
3) more exchange energy 4) Heisenberg’s principle
46. Which of the following configuration is not possible?
1) 2p2 2) 3f7 3) 3d5 4) 4p6
47. Which of the following ions is not isoelectronic with O2–
1) N3– 2) F– 3) Ti+ 4) Na+
48. Number of valence electrons in carbon is
1) 3 2) 1 3) 4 4) 0
49. The orbital diagram in which both the Pauli’s exclusing principle and Hund’s rule are violated, is:
1) ↓ ↓ ↓
↑↓ 2) ↑↓ ↑↓ ↑↓ ↑
3) ↑↓ ↑↓ ↑↓ 4) ↑↓ ↑ ↑↓
↑
50. The ratio of magnetic moments of Fe (III) and Co (II) is:
1) 5 : 7 2) 35 : 15 3) 7 : 3 4) 24 : 15
58 ELITE SERIES for Sri Chaitanya Jr. ICON Students
OBJECTIVE CHEMISTRY IA
ATOMIC STRUCTURE
D
D
D
D
51. If the electronic structure of oxygen atom is written as 1s2, 2s2 ↓
↑ ↑↓
2p
→ ←
it would violate
1) Hund’s rule 2) Paulis exclusion principle
3) Both Hund’s and Pauli’s principles 4) Aufbau’s principle
LEVEL-II
LECTURE SHEET (ADVANCED)
More than One correct answer Type Questions
1. According to Bohr’s atomic theory, which of the following relation(s) is (are) correct ?
a) Kinetic energy of electron
2
2
Z
n
t
b) The product of velocity of electron and the principal quantum number 2
Z
t
c) Frequency of revolution of the electron in an orbit
2
3
Z
n
t
d) Coulombic force of attraction on the electron
3
4
Z
n
t .
2. The radius of certain orbit of H-atom is 2.12 A. Then the energy of that energy level is
a)
13.6
eV /atom
4

b)
18
2.18 10
J /atom
4

s
c)
1312
KJ /atom
4

d)
1313.6
KCal /mole
4

3. The incorrect relation (s) about the velocity of photon is(are)
a) Dependent on its wavelength b) Depend on its intensity
c) equal to cube of its amplitude d) Independent of its wavelength
4. Choose the correct statements among the following
a) A node is a point in space where the wave-funtion Z has zero amplitude
b) The number of maximum (peaks) in radial probability distribution function is (n–l)
c) Radial probability density is 2 2
n,
4 r R (r)
Q l
d) 2
Z represents probability of finding electron
5. Select the correct statement(s):
a) An orbital with l = 0 is symmetrical about the nucleus
b) an orbital with l = 1 is spherically symmetrical about the nucleus
c) 2
z
3d is spherically symmetrical about the z-axis
d) All are correct
6. How do the energy gaps between successive electron energy levels in an atom vary from low to
high n values?
a) all energy gaps are not similar
b) the energy gap decreases as n increases
c) the energy gap increases as n incareases
d) the energy gap change unpredictably as n increases
K
K
ATOMIC STRUCTURE
59
OBJECTIVE CHEMISTRY IA
ELITE SERIES for Sri Chaitanya Jr. ICON Students
D
D
D
D
7. According to Einstein photoelectic equation, the incorrect graph between kinetic energy of
photolectrons ejected and the frequency of the incident radiation is:
a)
. .
K E
v →
↑
b)
. .
K E
v →
↑
c)
. .
K E
v →
↑
0
v
d)
. .
K E
v →
↑
8. Which arrangement of the orbitals of H-atom of their energy is correct?
a) x y z xy
2s 3s 3p 3p 4s 4p 4d
      b) 2s  3s  4s
c) x y s xy
2s 3s 3p 3p 4s 4p 4d
      d) x y s xy
2s 3s 3p 3p 4s 4p 4d
     
9. The radii of maximum probability for 3s, 3p and 3d electrons is/are not in the order:
a) max 3d max 3p max 3s
(r ) (r ) (r )
  b) max 3d max 3s max 3p
(r ) (r ) (r )
 
c) max 3s max 3p max 3d
(r ) (r ) (r )
  d) max 3d max 3s max 3p
(r ) (r ) (r )
 
10. Pauli’s exclusion principle does not says that:
a) Nucleus of an atom contains no negative charge
b) Electrons move in circular orbits around the nucleus
c) Electrons occupy orbitals of lowes energy
d) All the four quantum numbers of two electrons in an atom cannot be equal
11. Which of the following statements is correct ?
a) The concepts of “penetration” and “shielding” are important in deciding the energetic ordering or
orbitals in multi-electron atoms
b) A wave-function can have positive and negative values
c) “Radial nodes” can appear in radial probability distribution functions
d) The absolute size of an orbital is given by the principal quantum number.
12. If ‘RH’ is the Rydberg constant, then which of the following will not represent the energy of an
electron in the ground state of hydrogen atom is
a)
H
R C
h
b)
H
1
R Ch c)
H
hC
R
d) H
R hC

13. For which of the following species, the expression for the energy of electron in nth orbit
2 1
n 2
13.6
E Z eVatom
n

¨ ·
  s
© ¸
ª ¹
has the validity ?
a) Tritium b) Li2+ c) Deuterium d) He2+
60 ELITE SERIES for Sri Chaitanya Jr. ICON Students
OBJECTIVE CHEMISTRY IA
ATOMIC STRUCTURE
D
D
D
D
14. Which of the following sets of quantum numbers is/are not possible?
n l ml ms n l ml ms
a) 4 4 –2 +1/2 b) 3 0 3 –1/2
c) 3 2 –3 –1/2 d) 5 3 0 +1/2
15. Whenever a hydrogen atom emits a quantum in the visible region of Balmer series:
a) it may emit another quantum in Balmer series again
b) it must emit another quantum in ultraviolet region of Lyman series
c) second quatum of wavelength 122nm will be emitted
d) second quantum will be emitted in Paschen series i.e., near infrared region
16. In which of the following conditions the de Broglie wavelength of particle A will be less than that of
particle B(mA  mB) ?
a) Linear momentum of these particles are same
b) Move with same speed
c) Move with same kinetic energy
d) Have fallen through same height
17. Which of the following sets of quantum numbers are allowed ?
a) n = 1, l = 0 and m = 0 b) n = 2, l = 1 and m = + 1
c) n = 1, l = 0 and m = + 1 d) n = 2, l = 2 and m = 0
18. Which of the following radius of orbits in hydrogen atom are possible?
a) 52.9 pm b) 182 pm
c) 211 pm d) 364 pm
19. Which of the following is/are correct about the radial probability curves ?
a) 2
z
3d has three angular nodes
b) The number of angular nodes are l
c) The number of radial nodes is equal to n–l–1
d) The number of maxima in 2s – orbitals are two
20. Which among the following is/are correct about chromium?
a) Its electronic configuration is 5 1
3 4
d s
b) Total spin of chromium = 3
c) Spin multiplicity of 3d-subshell of chromium = 6
d) Magnetic moment of chromium is 48
21. Select the correct statement(s):
a) In wave mechanical model the energy of e– in the orbital remains same
b) dxy orbital is lies in yz plane
c) Nodal planes are yz and xy in 2 2
x y
d  orbital
d) Rest mass of photon is zero and increases with it’s velocity
ATOMIC STRUCTURE
61
OBJECTIVE CHEMISTRY IA
ELITE SERIES for Sri Chaitanya Jr. ICON Students
D
D
D
D
Linked Comprehension Type Questions
Passage-I :
When a beam of photons of a suitable frequency strikes the metal surface, electrons are emitted
from metal. This process is called photoelectric effect. The effect occurs when energy of incident
beam is greater than that of the work function
22. Which of the following graphs represents photoelectric effect
a)
ϑ
K.E
b)
ϑ
K.E
c)
ϑ
K.E
d)
ϑ
K.E
→
23. The graph between photo electron current (c) and intensity of photon (I)
a)
C
I
b)
C
I
c)
C
I
d)
C
I
24. The kinetic energy of the photoelectrons does not depend upon
a) Intensity of incident radiation b) Frequency of incident radiation
c) Wavelength of incident radiation d) Wave number of the incident radiation
Passage-II :
The letters n, l and m proposed by Bohr, Sommerfeld and Zeeman respectively for quantization of
angular momentum in classical physics were later on obtained as the results of solution of Schrodinger
wave equation based on quantum mechanics. The term n, l, m were named as principal quantum
number, azimuthal quantum number and magnetic quantum number respectively. The fourth quantum
number i.e., spin quantum number(s) was given by Uhlenback on the basis of two spins of electrons.
The first two quantum numbers also decides the nodes of an orbital.
25. The numerical value 4,3,0
Z denotes
a) 3d-orbital b) 4f-orbital c) 2s-orbital d) 4d-orbital
26. The angular momentum of 3p-orbitals in terms of
h
h h
2
¥ ´

¦ µ
§ ¶
Q
is
a) 2h b) 2h c)
h
2
d)
h
2Q
27. Which statement about energy level in H-atom is correct ?
a) Only n and l decide energy level
b) Only l decides energy level
c) Only n decides energy level
d) n, l and m decide energy level
62 ELITE SERIES for Sri Chaitanya Jr. ICON Students
OBJECTIVE CHEMISTRY IA
ATOMIC STRUCTURE
D
D
D
D
Passage-III :
The behaviour of an electron in an atom is described mathematically by a wave function, or orbital.
It turns out that each wave function contains three variables, called quantum numbers, which are
represented as n, l and ml. These quantum numbers describe the energy level of an orbital and
define the shape and orientation of the region in space where the electron will be found.
28. Which quantum number determines orientation of the electron ?
a) Principal b) Secondary
c) Magnetic d) Spin
29. Radial nodes are maximum in
a) 4s b) 4p c) 3d d) 5f
30. Consider following statements
i) Splitting of spectral line occurs when placed in a magnetic field or in an electric field
ii) In case of 1s-orbital, the density of the charge cloud is the greatest at the nucleus and falls off
with the distance. The density (at a particular distance) is uniform
iii) Electron-density is concentrated along a particular direction in case of 2p-orbital.
iv) A p-orbital can take maximum of six electrons.
Select the correct option
a) i, ii, iv b) i, ii, iii c) ii, iii, iv d) i, iii, iv
Passage-IV :
The behaviour of an electron in an atom is described mathematically by a wave function, or orbital.
Spin of the electron produce angular momentum equal to
h
S s s 1
2

Q
where
1
S
2
 .
Total spin of an atom
n n
or
2 2
 ; Where n is the number of unpaired electron.
The substance which contain species with unpaired electrons in their orbitals behave as paramagnetic
substances. The paramagnetism is expressed in terms of magnetic moment the magnetic moment of
an atom
s
eh n n eh n
s(s 1) 1 ; s
2 mc 2 2 2 mc 2
¥ ´
N  
¦ µ
§ ¶
Q Q
s n(n 2)
N  B.M
n = number of unpaired electrons
1 B.M. (Bohr magneton)
eh
4 mc

Q
If magnetic moment is zero the substances is di-magnetic.
31. Which of the following ion has lowest magnetic moement.
a) Fe2+ b) Mn2+ c) Cr3+ d) V3+
32. If an ion of 25Mn has a magnetic of 3.873 B.M. Then Mn is in which state.
a) + 2 b) + 3 c) + 4 d) + 5
ATOMIC STRUCTURE
63
OBJECTIVE CHEMISTRY IA
ELITE SERIES for Sri Chaitanya Jr. ICON Students
D
D
D
D
Matrix Matching Type Questions
33. Column-I Column-II
A) Electron moving in 2nd orbit in He+ ion P) Radius of orbit in which electron is moving is
0.529Å
B) Electron moving in 3rd orbit in H-atom Q) Total energy of electron is (–)13.6 × 9eV
C) Electron moving in 1st orbit in Li+2 ion R) Velocity of electron is
6
2.188 10
3
s
m/sec
D) Electron moving in 2nd orbit is Be+3 ion S) De-broglie wavelength of electron is
150
13.6
Å
34. Column-I  Column-II contain data on Schrondinger Wave–Mechanical model, where symbols
have their usual meanings. Match the columns.
Column-I Column-II (Type of orbital)
A) P) 4s
B) Q) 5px
C) Y(q, f) = K (independent of q  f) R) 3s
D) atleast one angular node is present S) 6dxy
35. Column-I Column-II
A) Orbital angular momentum of an Electron P)
h
s(s 1)
2Q
B) Angular momentum of an electron in an orbit Q) n(n 2)
C) Spin angular momentum of an electron R)
nh
2Q
D) Magnetic moment of atom S)
h
( 1)
2Q
l l
36. Match Column-I with Column-II and select the correct answer:
Column-I Column-II
(‘l’ and ‘m’ are respectively the azimuthal and magnetic quantum numbers)
A) Number of values of (l) for an energy level P) 0, 1, 2, ....(n–1)
B) Actual values of (l) for an energy level Q) +l, ...+2, +1, 0, –1, –2, .....–l
C) Number of ‘m’ values for a particular
type of orbital R) (2l + 1)
D) Actual values of ‘m’ for a particular
type of orbital S) n
64 ELITE SERIES for Sri Chaitanya Jr. ICON Students
OBJECTIVE CHEMISTRY IA
ATOMIC STRUCTURE
D
D
D
D
37. Column-I Column-II
A) 2s P) n = 4, l = 2, m = 0
B) 2pz Q) n = 4, l = 2, m = – 2 or + 2
C) 2 2
x y
4d  R) n = 2, l = 0, m = 0
D) 2
z
4d S) n = 2, l = 0, m = 0
Integer Type Questions
38. In a sample of excited hydrogen atoms electrons make transition from n = 2 to n = 1. Emitted
photons strike on a metal of work function ( )
G 4.2 eV. Calcualte the wavelength (in A°) associated
with ejected electrons having maximum kinetic energy.
39. If the electron in hydrogen atom jumps from the third orbit to second orbit, the wavelength of the
emitted radiation is given by
36
xR
M  . The value of x is
40. Which state of the triply ionized Beryllium (Be3+) has the same orbit radius as that of the ground
state of hydrogen atom ?
41. Difference between the wave length of 1st line of Balmer series and last line of Paschen series for
Li+2 ion is
H
1
xR then ‘x’ is
42. The amount of energy required to remove the electron from a Li+2 ion in its ground state is
x times that of the amount of energy required to remove the electron from an H-atom in its ground
state find ‘x’
43. If each hydrogen atom in the ground state, 1.0 mole of H atoms are excited by absrobing photons
of energy 8.4 eV, 12.09 eV and 15.0 eV of energy, then the number of spectral lines emitted is
equal to
44. For 1s orbital Hydrogen atom radial wave function is given as: 0
3/2
r /a
0
1 1
R(r) e
a

¥ ´

¦ µ
§ ¶
Q
(where
a0 = 0.529A°). The ratio of radial probability density of finding electron at r = a0 to the radial
probability density of finding electron at the nucleus is given as (x.e–y). Calculate the value of
(x + y).
PRACTICE SHEET (ADVANCED)
More than One correct answer Type Questions
1. The aufbau principle implies that a new electron will enter an orbital for which
a) (n + l) is minimum
b) l has a lower value
c) (n + l) value is maximum
d) if (n + l) value is same then lower n value is preferable
2. Equal number of total nodes is present in
a) 5s b) 5p c) 5d d) 4f
3. Which electronic level would allow the hydrogen atom to emit a photon but not to absorb a photon?
a) 3 b) 2 c) 1 d) 4
ATOMIC STRUCTURE
65
OBJECTIVE CHEMISTRY IA
ELITE SERIES for Sri Chaitanya Jr. ICON Students
D
D
D
D
4. A hydrogen sample is prepared in a particular excited state A. Photons of energy 2.55eV/atom get
absorbed into the sample to take some of the electrons to a further excited state B. As per the
number of photons when an electron in the higher excited state returns to the ground state, which of
the following are may not be possible?
a) 15 b) 10 c) 6 d) 3
5. Radius of 3rd orbit of Li2+ ion is x cm then which is not the de Broglie wavelength of electrons in the
first orbit is (in cm)
a) 6 x
Q b)
2 x
9
Q
c)
2 x
3
Q
d)
8 x
3
Q
6. In an oil drop experiment, the following charges (in arbitrary units) were found on a series of oil
droplets : 2.30×10–15, 6.90 × 10–15, 1.38 × 10–14, 5.75 × 10–15, 3.45 × 10–15, 1.96 × 10–14. The
experimental value suggests not possible magnitude of the charge on the electron is (in the same
arbitrary unit)
a) 2.30 × 10–15 b) 1.38 × 10–14 c) 6.90 × 10–15 d) 1.15 × 10–15
7. Which of the following is not the ratio of frequency of revolution of electron in the 2nd excited state
of He+ and 2nd state of hydrogen is:
a)
27
32
b)
32
27
c)
1
54
d)
27
2
8. A photon with a wavelength of 4000A° is used to break the iodine molecule, then the % of energy
converted to the K.E. of iodine atoms if bond dissociation energy of I2 molecule is 246.5 kJ/mol
a) 8% b) 12% c) 17% d) 25%
9. When lithium is irradiated with light, one finds a stopping potential of 1.83V for M = 3000A° and
0.80V for M = 4000A°. With the known charge on the electron, the work function of lithium is
a) 4.6eV b) 3.68 × 10–19 J c) 2.3 eV d) 1.2 eV
10. The correct Schordinger’s wave equation for a electron with total energy E and potential energy V is
not correctly given by
a)
2 2 2 2
2 2 2 2
8
(E V) 0
x z z mh
u : u : u : Q
 : 
u u u
b)
2 2 2
2 2 2 2
8 m
(E V) 0
x y z h
u : u : u : Q
 : 
u u u
c)
2 2 2 2
2 2 2 2
8 m
(E V) 0
x y z h
u : u : u : Q
 : 
u u u
d) 2
0
 Z 
11. 2
(r, , )
: R G represents (for schrodinger wave mechanical model)
a) Amplitude of electron wave
b) Probability density of electron
c) product with 2
4 r dr
Q givesTotal probability density of electron
d) Orbit
12. For 4py orbital There is/are
a) 1 nodal plane b) 2 nodal planes
c) 1 radial node d) 2 radial nodes
66 ELITE SERIES for Sri Chaitanya Jr. ICON Students
OBJECTIVE CHEMISTRY IA
ATOMIC STRUCTURE
D
D
D
D
13. Select the correct statement(s) regarding 3pyorbital
a) Total no. of nodes are 2
b) Number of maximuma in the curve 2 2
4 r R
Q vs r are two
c) Quantum no. n, l and m for orbital may be 3,1,–1 respectively
d) The magnetic quantum number may have a positive value
14. Select the correct statement(s):
a) Radial function [R(r)] a part of wave function is dependent on quantum number n only
b) angular function depends only on the direction, and is dependent to the distance from the nucleus
c) 2
(r, , )
: R G is the probability density of finding the electron at a particular point in space
d) Radial distribution function 2
(4 r )
Q gives the probability of the electron being present at a
distance r from the nucleus
15. For which of the following orbital, the radial as well as number of nodal planes have all the same
value ?
a) 3px b) 4py c) 3s d) 5d xy
16. A proton and an B -particle are accelerated through the same potential difference. The incorrect
ratio of the de-Broglie wave length of proton and B -particle is
a) 2 b)
1
2
c) 2 2 d) 2
17. Incorrect Wave number of the second line of Paschen series for H is (R = 109700 cm–1)
a) 18750 Å b) 3452 Å c) 7801 Å d) 1542656 Å
18. Photoelectric emission is observed from a surface for frequencies n1 and n2 of the incident radiation
(n1  n2). If the maximum K.E. of the photoelectrons in two cases are in ratio 1 : K, then the incorrect
expression for threshold frequency is
a)
2 1
K 1
V  V

b)
1 2
K
K 1
V  V

c)
2 1
K
K 1
V  V

d)
2 1
K
V  V
19. A particle A moving with a certain velocity has a de-Broglie wavelength of 1 Å. If particle B has
mass 25% of that A and velocity 75% of that of A, the l of B will not be
a) 1 Å b) 5.3 Å c) 0.2 Å d) 3 Å
20. The radius of first Bohr orbit is x, then de-Broglie wavelength of electron in 3rd orbit is not
a) 2 x
Q b) 6 x
Q c) 9 x
Q d) x /3
Q
21. If E1, E2 and E3 represent respectively the kinetic energies of an electron, an alpha particle and a
proton respectively each having same deBroblie wavelength then which is incorrect relation?
a) E1  E3  E2 b) E2  E3  E1
c) E1  E2  E3 d) E1 = E2 = E3
22. Electronic transition in He ion takes from n2 to n1 shell such that :
2n2 + 3n1 = 18 ; 2n2 – 3n1 = 6
What will be the total number of photons emitted when electrons transit to n1 shell ?
a) 21 b) 15 c) 20 d) 10
ATOMIC STRUCTURE
67
OBJECTIVE CHEMISTRY IA
ELITE SERIES for Sri Chaitanya Jr. ICON Students
D
D
D
D
23. For which of the following sets of quantum numbers, an electron will have the highest energy ?
n l m s n l m s
a) 3 2 1 –1/2 b) 4 3 –1 +1/2
c) 4 1 –1 +1/2 d) 5 0 0 –1/2
24. Which of the following statements concerning the four quantum numbers is true?
a) n gives idea of the size of an orbit
b) l gives the shape of an orbital
c) m gives the energy of the electron in the orbital
d) s gives the direction of spin of the electron in an orbital
25. d6 configuration will not result in total spin of:
a)
3
2
b)
1
2
c) 2 d) 4
26. The probability of finding electrons in dxy orbital is:
a) zero along X-and Y-axis
b) maximum along X-and Z-axis
c) maximum along Y-and Z-axis
d) maximum at an angle of 45° with X-axis
27. In a hydrogen like atom, electron is in 2nd excited state, the binding energy of fourth state of this
atom is 13.6 eV, then
a) A 25 eV photon can set free the electron from the second excited state of this sample.
b) 3 different types of photon will be observed if electrons make transition up to ground state from
the second excited state
c) If 23 eV photon is used then K.E. of the ejected electron is 1eV.
d) 2nd line of balmer series of this sample has same energy value as 1st excitation energy of
H-atoms
28. In which of the following situations the heavier of two particles will have smaller de-Broglie wave
length. When the two particles:
a) move with same speed b) move with same linear momentum
c) move with same kinetic energy d) have fallen from same height
29. A hydrogen-like atom (atomic number Z) is in a higher excited state of quantum number n. This
excited atom can make a transition to the first excited state by successively emitting two photons of
energies 10.20 eV and 17.00 eV Respectively. Alternatively, the atom from the same excited state
can make a transition to the second excited state by successively emitting two photons of energy
4.25 eV and 5.95 eV respectively. Determine the values of n and Z.
a) n = 5 b) z = 2 c) n = 6 d) z = 3
30. In an electron transition of hydrogen atom, orbital angular momentum may change by :
a) h b)
h
Q
c)
h
2Q
d)
h
4Q
68 ELITE SERIES for Sri Chaitanya Jr. ICON Students
OBJECTIVE CHEMISTRY IA
ATOMIC STRUCTURE
D
D
D
D
31.
3
n =
2
n =
1
n =
1
2
3
For above transitions in hydrogen like atoms, select the correct relation(s).
a) 3 1 2
v v v
 b)
1 2
3
1 2
v v
v
v v
 c) 3 1 2
M  M M d) 1 2
3
1 2
M M
M 
M M
32. If the electron of the hydrogen atom is replaced by another particle of same charge but of the double
mass, then :
a) radii of different shells will increase
b) energy gap between two levels will become double
c) ionization energy of the atom will be double
d) speed of new particle in a shell will be lesser than the speed of electron in the same shell
33. The radial distribution function [P(r)] is used to determine the most probable radius, which is used to
find the electron in a given orgital
dP(r)
dr
for 1s– orbital of hydrogen like atom having atomic num-
ber Z, is
0
3 2
2Zr /a
3
0
0
dP 4Z 2Zr
2r e
dr a
a

¥ ´
 
¦ µ
§ ¶
: Then which is the following statements is/are correct ?
a) At the point of maximum value of radial distribution function
dP(r)
0
dr
 ; one anti-node is present
b) Most probable radius of Li2+ is
0
a
3
pm
c) Most probable radius of He+ is
0
a
2
d) Most probable radius of He+ is
0
a
2
Linked Comprehension Type Questions
Passage :
When electron jumps from higher orbit to lower orbit, then energy is radiated in the form of electro-
magnetic radiation and these radiations are used to record the emission spectrum
Energy of electron may be calculated as
2 2 4
e
2 2
2 m Z e
E
n h
Q
 
where, me = rest mass of electron 2 1
2
n n 2 2
1 2
1 1
E (E E ) 13.6 Z eV
n n
¨ ·
%    s s 
© ¸
ª ¹
per atom
This equation was also used by Rydberg to calculate the wave number of a particular line in the
spectrum.
2 1
H 2 2
1 2
1 1 1
R Z m
n n

¨ ·
V   
© ¸
M ª ¹
ATOMIC STRUCTURE
69
OBJECTIVE CHEMISTRY IA
ELITE SERIES for Sri Chaitanya Jr. ICON Students
D
D
D
D
where, RH = 1.1 × 107 m–1 (Rydberg constant)
For Lyman, Balmer, Paschen, Brackett and Pfund series the value of n1 = 1,2,3,4,5 respectively and
2
n  d for series limit, If an electron jumps from higher orbit n to ground state than number of
spectral line will be nC2. Ritz modified the Rydberg equation by replacing the rest mass of electron
with reduced mass ( )
N .
N e
1 1 1
m m

N ; Here, mN = mass of nucleus, me = mass of electron.
34. The emission spectrum of He+ involves transition of electron from n1 mn2 such that n2 + n1 = 8 and
n2 – n1 = 4. What will be the total number of lines in the spectrum?
a) 10 b) 15 c) 20 d) 21
35. What will be the value of modified Rydberg’s constant, if the nucleus having mass mN and the
electron having mass merevolve around the centrer of the mass?
a)
N
H
e
m
R
m
s b)
e
H
N
m
R
m
s c)
e
H
N e
m
R
m m
s d)
N
H
N e
m
R
m m
s
36. The ratio of the wavelength of the first line to that of second line of Paschen series of H-atom is:
a) 256 : 175 b) 175 : 256 c) 15 : 16 d) 16 : 15
Matrix Matching Type Questions
37. Column-I Column-II
A) Cathode rays P) Helium nuclei
B) Dumb-bell Q) Uncertainty principle
C) Alpha particles R) Electromagnetic radiation
D) Moseley S) p-orbital
E) Heisenberg T) Atomic number
F) X-rays U) Electrons
Integer Type Questions
38. Photon having energy equivalent to the binding energy of 4th state of He+ atom is used to eject
an electron from the metal surface of work function 1.4 eV. If electrons are further accelerated
through the potential difference of 4V then the minimum value of De–broglie wavelength
associated with the electron is :
39. Principal quantum number of the shell to which the g-subshell first arise is _____.
40. Spin multiplicity of p-subshell with configuration is ____.
41. When 4f level is completely filled with electrons, the next electron will enter into a subshell whose
(n + l) is equal to ——
42. The maximum number of electrons that can have principal quantum number, n = 3 and spin quan-
tum number ms = – 1/2 is ___.
43. The number of waves make by a Bohr electron in an orbit of maximum magnetic quantum number
+2 is :
70 ELITE SERIES for Sri Chaitanya Jr. ICON Students
OBJECTIVE CHEMISTRY IA
ATOMIC STRUCTURE
D
D
D
D
1234567890123456789012345678901212345678901234567890123456789012123456789012345678901
1234567890123456789012345678901212345678901234567890123456789012123456789012345678901
1234567890123456789012345678901212345678901234567890123456789012123456789012345678901
1234567890123456789012345678901212345678901234567890123456789012123456789012345678901
1234567890123456789012345678901212345678901234567890123456789012123456789012345678901
1234567890123456789012345678901212345678901234567890123456789012123456789012345678901
44.
+
(Distance from nucleus)
r
Radi
al
Proba
bility
function
R
- Number of nodes in above plot is:
45. Calculate the value of A.
1,2
2,1
E
A
2E
 where n,z
E  Energy of electron in nth orbit, Z = atomic number of hydrogen like specie.
KEY SHEET (ADDITIONAL PRACTICE EXERCISE)
LEVEL-I (MAIN)
1) 2 2) 2 3) 1 4) 3 5) 4 6) 1 7) 4 8) 2 9) 2 10) 3
11) 1 12) 3 13) 3 14) 2 15) 2 16) 2 17) 4 18) 4 19) 3 20) 2
21) 1 22) 1 23) 4 24) 2 25) 1 26) 1 27) 3 28) 1 29) 1 30) 4
31) 3 32) 3 33) 1 34) 2 35) 3 36) 2 37) 2 38) 2 39) 3 40) 1
41) 1 42) 2 43) 3 44) 2 45) 3 46) 2 47) 3 48) 3 49) 4 50) 2
51) 1
LEVEL-II
LECTURE SHEET (ADVANCED)
1) acd 2) abd 3) abc 4) abcd 5) ac 6) ab 7) abd 8) ab 9) abd 10) abc
11) abc 12) abc 13) abc 14) ac 15) bc 16) bd 17) ab 18) ac 19) bcd 20) abcd
21) ad 22) c 23) a 24) a 25) b 26) a 27) c 28) c 29) a 30) b
31) d 32) c 33) A-S; B-R; C-Q; D-P 34) A-P; B-PQS; C-PR, D-QS
35) A-S; B-R; C-P; D-Q 36) A-S; B-P; C-Q; D-R 37) A-S; B-R; C-Q; D-P
38) 5 39) 5 40) 2 41) 5 42) 9 43) 3 44) 3
PRACTICE SHEET (ADVANCED)
1) ad 2) abc 3) abd 4) abd 5) abc 6) abc 7) acd 8) c 9) bc 10) ab
11) bc 12) ad 13) abcd 14) bcd 15) ad 16) abd 17) abd 18) acd 19) acd 20) acd
21) bcd 22) d 23) b 24) abd 25) abd 26) ad 27) ab 28) acd 29) cd 30) bc
31) ad 32) cd 33) abcd 34) a 35) d 36) b
37) A-U; B-S; C-R; D-S; E-Q; F-R 38) 5 39) 5 40) 4 41) 7 42) 9 43) 3
44) 1 45) 8
NNN
J
J

Atomic Structure ( sri chaitanya).pdf

  • 1.
    ATOMIC STRUCTURE 3 OBJECTIVE CHEMISTRYIA ELITE SERIES for Sri Chaitanya Jr. ICON Students D D D D 1. ATOMIC STRUCTURE h h h h SYNOPSIS I. Atomic Number of an element : Total number of protons present in the nucleus = Total Number of electrons in the atom Mass number of an element = Number of protons + Number of neutrons X A Z Mass number Atomic number Symbol of the element e.g., 23 Na 11 , 35 Cl 17 and so on. Terms associated with element v Isotopes: Atoms having same number of protons. v Isobars: Elements having same mass number. v Isotones: elements having same number of neutrons (A–Z). v Isoelectronic: Species/elements having same number of electrons. v Isosters: Species having same number of atoms and electrons. v Isodiaphers: Elements having same number of N Z or A 2Z . v Paramagnetic: Species having non-zero unpaired electron. v Diamagnetic: Species having zero unpaired electron. Rutherford’s Model : v Electrons, Protons neutrons are the most important fundamental particles of atoms of all elements (Except hydrogen). v A Z X, Mass number (A) = Atomic number (Z) + number of neutrons (n) v RN = R0(A)1/3, R0 = 1.33 × 10–13 cm; A = mass number, RN = Radius of nucleus v 2 1 2 a a q q 1 m v K ; 2 r s r = distance of closest approach vB Velocity of an B particle ma = mass Bof particle q1 = charge of Bparticle q2 = charge on metal foil Size of the Nucleus : The volume of the nucleus is very small and is only a minute of the total volume of the atom. Nucleus has a diameter of the order of 10–12 to 10–13 cm and the atom has a diameter of the order of 10–8 cm. Contact Whatsapp To buy Editable Material More Information(Details) About Material… 1. 7905239992 2. 6397775276
  • 2.
    4 ELITE SERIESfor Sri Chaitanya Jr. ICON Students OBJECTIVE CHEMISTRY IA ATOMIC STRUCTURE D D D D Table Particles Symbol Mass Charge Discoverer Electron –1e0 or C 9.10939 × 10–31 kg – 1.6022 × l0–19 J.J. Thomson Coulombs Stoney Lorentz 1887 0.00054 u – 4.803 × 10–10 esu Proton 1H1 1.6722 × 10–27 kg + 1.6022 × 10–19 Goldstein Coulombs Rutherford 1907 1.00727 u + 4.803 × 10–10 esu Neutron 0n1 1.67493 × 10–27 kg neutral James Chadwick 1932 1.00867 u 0 1 amu = u ≈1.66 × 10–27 kg Thus, diameter (size) of the atom is 1,00,000 times the diameter of the nucleus. Light : v Photon is considered as massless bundle of energy. v Energy of light E = mc2, m = where mass of light particle, c = speed of light v M ! M photon 1240eV E hv hc / hcv (nm) h = where Planck constant, M wavelength of v photon, wave number. Order of wavelength in Electromagnetic spectrum : Cosmic rays H –rays X-rays Ultraviolet rays Visible Infrared Micro waves Radio waves. Photoelectric Effect : v When radiation with certain minimum frequency (v0 called threshold frequency), strikes the surface of a metal, electrons (called photoelectrons) are ejected from the surface. v Kinetic energy of photoelectron 0 hv w hv hv where w = work function; v0 = Threshold frequency v If 0 v v r , then photo electric effect take place. v Accelerating potential 2 1 eV KE mv 2 v Electrostatic force 1 2 2 Kq q r where 9 2 2 0 1 K 9 10 N m /C 4 s QF v Potential energy due to electrostatic force 1 2 Kq q r ; q1 = charge of electron, q2 = charge of nucleus v Potential due to (Q) charge of particle at a distance KQ (r) r Contact Whatsapp To buy Editable Material More Information(Details) About Material… 1. 7905239992 2. 6397775276
  • 3.
    ATOMIC STRUCTURE 5 OBJECTIVE CHEMISTRYIA ELITE SERIES for Sri Chaitanya Jr. ICON Students D D D D v Bohr quantization rule Q nh mvr nh 2 v According to newton’s second law, in a uniform circular motion resultant of all the forces towards centre must be equal to 2 mv r v 2 1 2 2 Kq q mv r r where q1 = charge of electron, q2 = charge of nucleus, m = mass of electron, r = radius of Bohr’s orbit v P.E. = 2 Ze r ; K.E. = 2 Ze 2r ; Total energy = 2 Ze 2r v Total energy of electron in nth Bohr orbit. 2 4 2 2 4 2 2 2 2 1 n 1 2 2 2 2 E 2 me K 2 me K Z E Z Z ; E n n h h Q Q s 2 n 2 z E 13.6 n eV/atom, z = where atomic number of single electron atoms/ion = –2.18 × 10–11 ergatom–1 = –2.18 × 10–18 J atom–1 = –313.6 kcal mol–1 Energy Level Diagram : i) Orbit of lowest energy is placed at the bottom, and all other orbits are placed above this. ii) The gap between two orbits is proportional to the energy difference of the orbits. -0.85 eV -13.6eV -3.4eV -1.51eV n= n=4 n=3 n=2 n=1 10.2eV 12.1eV Energy level diagram of H-atom 0 eV ∞ v Radius of nth Bohr orbit, 2 2 2 0 n 1 2 2 h n n z r 0.529 A r m /s z z n 4 e mK ¥ ´ s s ¦ µ § ¶ Q r1 = where radius of Ist Bohr orbit. v Velocity of electron in nth Bohr orbit, 2 6 n 1 2 e K z z Z V 2.18 10 m /s v m /s h n n n Q ¥ ´ s s s ¦ µ § ¶ v1 = where velocity of electron in 1st Bohr orbit. v Revolutions per sec ¥ ´ Q s ¦ µ § ¶ 2 15 3 Z v /2 r 6.6 10 n v Time for one revolution 3 16 2 n 2 r / v 1.52 10 Z ¥ ´ Q s ¦ µ § ¶ v Energy difference between n1 and n2 energy level. 2 1 2 n n 2 2 1 2 1 1 E E E 13.6Z n n ¥ ´ % ¦ µ § ¶ eV/atom = 2 2 1 2 1 1 IE n n ¥ ´ s ¦ µ § ¶ where IE = ionization energy of single electron species. Contact Whatsapp To buy Editable Material More Information(Details) About Material… 1. 7905239992 2. 6397775276
  • 4.
    6 ELITE SERIESfor Sri Chaitanya Jr. ICON Students OBJECTIVE CHEMISTRY IA ATOMIC STRUCTURE D D D D v Ionization energy G.S. G.S. G.S. E E E ;E d Energy of electron in ground state. v Total energy of electron in terms of kinetic energy (KE) and potential energy (PE) n PE E KE PE KE 2 Revolution per second 2 15 3 Z f 6.57 10 n s ; Time taken for one revolution t = 1.52 × 10–16 3 2 n Sec Z v Mass of electron at high speed, 1 2 m m 1 (V/ c) II. Spectral Lines : v Rydberg’s Equation 2 1 H H 2 2 1 2 1 1 1 v R Z ;R 109700cm n n ¨ · s ! © ¸ M ª ¹ Rydberg Constant v o H 1 912A R v For First line of a series 2 1 n n 1 v Limiting spectral line (series limit) means 2 n d v HB line means n2 = n1 + 1; also known as line of longest M , shortest v, least E v Similarly HC line means n2 = n1 + 2 v When electrons de-excite from higher energy level (n) to ground state in atomic sample, then number of spectral lines observed in the spectrum n(n 1) 2 v When electrons de-excite from higher energy level (n2) to lower energy level (n2) in atomic sample, then number of spectral line observed in the spectrum 2 1 2 1 (n n )(n n 1) 2 v When electron de-excites from higher energy level (n2) to lower energy level (n1) in isolated atom, then number of spectral line observed in the spectrum = (n2 – n1). De-broglie Hypothesis : v All material particles posses wave character as well as particle character. v h / mv h / p M v The circumference of the nth orbit is equal to ‘n’ times of wavelength of electron i.e., n 2 r n Q M . Number of waves = n = principal quantum number. v Wavelength of electron 0 150 ( ) A V(volts) M ! 0 12.3 A V v Wave nature of electron has been confirmed by Davisson and Germer experiment. Heisenberg Uncertainty Principle : v According to this principle, “it is impossible to measure simultaneously the position and momentum of a microscopic particle with absolute accuracy”. If one of them is measured with greater accuracy, the other becomes less accurate. v x. p h / 4 % % r Q (or) h ( x)( v) 4 m % % r Q (or) 2 ( x)( ) 4 M % %M r Q
  • 5.
    ATOMIC STRUCTURE 7 OBJECTIVE CHEMISTRYIA ELITE SERIES for Sri Chaitanya Jr. ICON Students D D D D where x % = Uncertainty in position, p % uncertainty in momentum v % Uncertainty in velocity, %M Uncertainty in wavelength. m = mass of microscopic particle, M wavelength of microscopic particle In terms of uncertainty in energy E % , and uncertainty in time t % , this principle is written as, h x. t 4 % % r Q . v Heisenberg replaced the concept of orbit by that of orbital. v Decreasing the wavelength of light used in experiment, decreases the uncertainty in position and increases the uncertainty in momentum. Schrodinger Equation : v Schrodinger equation is central equation of wave mechanics according to following equation, 2 2 2 2 2 2 2 2 8 m E V 0 x y z h u : u : u : Q : u u u :wave function= f(x, y, z) ; E = Total energy of particle ; V = Potential energy of particle For the motion of one particle in one (the x) direction, the Schrodinger wave equation is 2 2 2 2 h d 8 m dx Z Q + V := E : v A solution to schrodinger equation leads to infinite solutions. v Most of the solutions are not realistic (or acceptable). Only few solutions can be accepted. v Each solution - (x,y,z) : correspond to a definite energy state depends on quantum number n, l m By proper mathematical manipulation the main equation is broken in two parts and solved separately. (i) Radial part contain only ‘r’ depends on quantum number n l. (ii) Angular part contain R and G , depends on quantum number l m. Each :contain all the information about that particular quantum state. III. v Atomic Orbital : This is a three dimensional space around the nucleus within which the probability of finding the electron is maximum v Degenerate Orbitals: Orbitals with same value of n and l of same sub shell are degenerate orbitals. For Ex. 2px, 2py, 2pz, etc., v Radial Probability Density 2 2 4 r R (r) Q It is the probability of finding electron in the region between r and r + dr v Radial Node : It is a zero electron density region R2(r) = 0 or R (r) = 0 v Nodal Point : It is a point (r = 0) where electron density is zero. v Nodal Plane : It is a plane by which two lobes are separated and electron density is zero here. v Quantum Numbers : Four types of quantum numbers which are following : v Principal quantum number (n) : It determines the size of an orbital. Each value of n represents a shell of orbital. Possible values of n = 1, 2, 3, 4, ...... v Azimuthal quantum number (l) : It determines shape of an orbital. Each value of l represents a subshell of an orbital. Possible values of l = 0, 1, 2, ....... (n–1) v Magnetic quantum number (m) : It decides orientation of orbital in space. Possible values of m = – l, ...... –1, 0, +1 ...... l. Total (2l + 1) values are possible.
  • 6.
    8 ELITE SERIESfor Sri Chaitanya Jr. ICON Students OBJECTIVE CHEMISTRY IA ATOMIC STRUCTURE D D D D v Spin quantum number (s) : It is intrinsic property of any electron. The electron has two spin states. Possible values of 1 1 s , 2 2 Shell, sub-shells and orbitals present : Shell (n) Sub-shells (l) Orbitals (m) 1. 0 0 2. 0 0 1 1, 0 p 3. 0 0 1 1, 0 2 2, 1, 0 p p p Important Points on Quantum Number : v Azimuthal quantum number and magnetic quantum number are related to orbital angular momentum. While l gives the total angular momentum ‘m’ gives the Z-component of orbital angular momentum. z h (L m ) 2 Q . v The angle between Z-axis and the Z-component of angular momentum vector 1 m cos ( 1) l l ¥ ´ R ¦ µ § ¶ since m ( 1), x l l so 0 R x . v Orbital angular momentum h ( 1) 2 Q l l v Spin angular momentum h S(S 1) 2 Q v Spin Magnetic moment ( ) n(n 2) N B.M. n = number of unpaired electrons v Maximum number of electrons in a shell = 2n2 v Maximum number of electrons in a subshell = 2 (2l + 1) v Maximum number of electrons in an orbital = 2 v Total number of orbitals in a subshell = 2l + 1 v Number of subshells in a shell = n v Number of orbitals in a shell = n2 v Radial Nodes = (n – l – 1) v Angular nodes = l v Total nodes = (n – 1) v Azimuthal quantum number 0 1 2 3 4 Name of sub-shell s p d f g Contact Whatsapp To buy Editable Material More Information(Details) About Material… 1. 7905239992 2. 6397775276
  • 7.
    ATOMIC STRUCTURE 9 OBJECTIVE CHEMISTRYIA ELITE SERIES for Sri Chaitanya Jr. ICON Students D D D D 1234567890123456789012345678901212345678901 1234567890123456789012345678901212345678901 1234567890123456789012345678901212345678901 1234567890123456789012345678901212345678901 1234567890123456789012345678901212345678901 1234567890123456789012345678901212345678901 1234567890123456789012345678901212345678901 1234567890123456789012345678901212345678901 1234567890123456789012345678901212345678901 Pauli’s Exclusion Principle : No two electrons in an atom can have the same set of all the four quantum numbers, i.e. an orbital cannot have more than 2 electrons because three quantum numbers (principal, azimuthal and magnetic) may be same but the fourth must be different, i.e., spins must be in opposite directions. Aufbau Principle : Electrons are filled in various sub shells in order of their increasing energies. An orbital of lowest energy is filled first. The sequence of orbitals in order of their increasing energy is : 1s, 2s, 2p, 3s, 3p, 4s, 3d, 4p, 5s, 4d, 5p, 6s, 4f, 5d, 6p, 7s, 5f, 6d, ...... The energy of the orbitals is governed by (n + l) rule Hund’s Rule : No electron pairing takes place in the orbitals in a sub energy shell until each orbital is occupied by an electron with parallel spin. Exactly half filled and fully filled orbital make the atoms more stable, i.e., p3, p6, d5, d10, f7 and f14 configurations are more stable. LECTURE SHEET EXERCISE-I (Introduction, fundamental particles, Atomic number, Mass number, Thomson’s Atomic model, Ruther ford’s atomic model, Nature of light, EMR, Blackbody radiation, Photo electric effect, Bohr’s theory, calculations of radius of orbit, velocity and energy of an electron) LEVEL-I (MAIN) Straight Objective Type Questions 1. Electron is a particle having a 1) negative charge of one unit and zero mass 2) positive charge of one unit and zero mass 3) negative charge of one unit and a mass of about 9.1 × 10–31 kg 4) negative charge of one unit and a mass of about 1.67 × 10–27 kg 2. The value of e/m for an electron is 1) 1.78 × 108 c/g 2) 1.6724 × 10–24 c/g 3) 0.005486 c/g 4) 1.00866 c/g 3. A and Z can be 1) negative 2) fractional 3) zero 4) whole number 4. The number of protons, electrons and neutrons in 35Br80 are respectively 1) 35, 35, 80 2) 35, 35, 45 3) 80, 80, 35 4) 45, 45, 35 5. The nucleus of tritium consists of 1) 1 proton + 1 neutron 2) 1 proton + 3 neutrons 3) 1 proton + zero neutrons 4) 1 proton + 2 neutrons 6. Sodium ion is isoelectronic with the atom 1) Mg2+ 2) Al3+ 3) Ne 4) N3– K K
  • 8.
    10 ELITE SERIESfor Sri Chaitanya Jr. ICON Students OBJECTIVE CHEMISTRY IA ATOMIC STRUCTURE D D D D 7. An atom differs from its ion in 1) Nuclear charge 2) Mass number 3) Number of electrons 4) Number of neutrons 8. In C14 isotope, the number of neutrons would be 1) 6 2) 14 3) 8 4) 10 9. The radius of the atom is of the order of 1) 10–10 cm 2) 10–13 cm 3) 10–15 cm 4) 10–8 cm 10. An oxide of nitrogen has a molecular weight of 30. Total number of electrons in one molecule of the compound is 1) 15 2) 30 3) 45 4) 60 11. When alpha particles are sent through a thin metal foil, most of them go straight through the foil because 1) Alpha particles are much heavier than electrons 2) Alpha particles are positively charged 3) Most part of the atom is empty 4) Alpha particles move with high velocity 12. Which of the following properties of a wave is independent of the other? 1) Wave number 2) Wave length 3) Frequency 4) Amplitude 13. Which of the following radiation following has highest wave number? 1) Microwaves 2) X - rays 3) I.R. - rays 4) Radiowaves 14. Which of the following relates a photon, both as a wave and as a stream of particles? 1) E = mc2 2) Photoelectric effect 3) Diffraction 4) E = hO 15. Kinetic energy of photoelectrons is independent of the ____ of incident radiation. 1) Wavelength 2) Wave number 3) Frequency 4) Intensity 16. The energy of a photon is 3×10–12 ergs. What is its wavelength in nm ? (h = 6.62 × 10–27 erg. sec; c = 3×1010cm.s–1) 1) 662 2) 1324 3) 66.2 4) 6.62 17. The frequency associated with photon of radiation having a wavelength of 6000A0 is 1) 5 × 1014 Hz 2) 5 × 1010 Hz 3) 2 × 1014 Hz 4) 5 × 1015 Hz 18. Bohr’s theory is applicable to 1) Li+2 2) Li+ 3) He+ 4) Both 1 and 3 19. Bohr’s theory is not applicable to 1) H 2) He+ 3) Be3+ 4) H+ 20. (A) : Bohr’s orbits are called stationary orbits (R) : Electrons remain stationary in these orbits 1) Both (A) and (R) are true and (R) is the correct explanation of (A) 2) Both (A) and (R) are true and (R) is not the correct explanation of (A) 3) (A) is true but (R) is false 4) (A) is false but (R) is true
  • 9.
    ATOMIC STRUCTURE 11 OBJECTIVE CHEMISTRYIA ELITE SERIES for Sri Chaitanya Jr. ICON Students D D D D 21. Energy of an electron in nth Bohr orbit is given as 1) 2 2 2 2 n h 4 mZe Q 2) 2 2 4 2 2 2 Z me n h Q 3) 2 2 Ze nh Q 4) 2 2 2 2 4 n h 2 Z me Q 22. The energy of the electron when it is at an infinite distance from the nucleus is 1) Infinity 2) Zero 3) Minimum 4) Can not be predicted 23. According to Bohr’s theory, when ever the electron drops from a higher energy level to a lower energy level, the frequency of radiation emitted is related to the energy change as 1) h m M O 2) nh m r 2 O Q 3) E h % V 4) h E V % 24. Radius of 3rd Bohr orbit of hydrogen atom 1) 6.529A° 2) 2.116A° 3) 4.761A° 4) 8.464A° 25. Velocity of the electron in the 1st Bohr orbit of H-atom is 1) 2.18 × 108 cm/sec 2) 2.18 × 108 m/sec 3) 2.18 × 1016 cm/se 4) 36559 × 108 cm/sec LEVEL-II (ADVANCED) Straight Objective Type Questions 1. An B – particle having kinetic energy 5 MeV falls on a Cu-foil. The shortest distance from the nucleus of Cu to which B – particle reaches is (Atomic no. of Cu = 29, K = 9 × 109 Nm2/C2) a) 2.35 × 10–13 m b) 1.67 × 10–14m c) 5.98 × 10–15m d) 1.67 × 10–16m 2. If the energy of H-atom in the ground state is –E, the velocity of photo-electron emitted when a photon having energy Ep strikes a stationary Li2+ ion in ground state, is given by: a) p 2(E E) v m b) p 2(E 9E) v m c) p 2(E 9E) v m d) p 2(E 3E) v m 3. The energy of a I, II and III energy levels of a certain atom are E, 4E 3 and 2E respectively A photon of wavelength M is emitted during a transition from III to I. What will be the wavelength of emission for transition II to I? a) 2 M b) M c) 2M d) 3M 4. The increasing order of e/m values for electron, proton, neutron and alpha particle is a) e, p, n,B b) n, p, e, B c) n, p, B , e d) n, B , p, e 5. The constancy of e/m ratio for electron shows that a) Electron’s mass is 1/1837th of the mass of proton b) Electrons are universal particles of all matter c) Electrons are produced in discharge tubes only d) None of the above 6. The e/m of proton is a) 1.78 × 108 c/g b) 9.57 × 104 c/g c) 19.14 × 104 c/g d) 0.478 × 104 c/g K K Contact Whatsapp To buy Editable Material More Information(Details) About Material… 1. 7905239992 2. 6397775276
  • 10.
    12 ELITE SERIESfor Sri Chaitanya Jr. ICON Students OBJECTIVE CHEMISTRY IA ATOMIC STRUCTURE D D D D 7. Number of protons in the nucleus of carbon atom is a) 7 b) 8 c) 4 d) 6 8. The number of nucleons present in chlorine–37 is a) 17 b) 20 c) 54 d) 37 9. The number of neutrons in the dipositive zinc ion (Mass number of Zn = 65) a) 35 b) 33 c) 65 d) 67 10. The charge of an electron is 1.6 × 10–19 coulombs. What will be the value of charge on Na+ ion a) 1.6 × 10–19 C b) 3.2 × 10–19 C c) 2.4 × 10–19 C d) 11 × 1.6 × 10–19 C 11. Maximum sum of the number of neutrons and protons in an isotope of hydrogen a) 6 b) 5 c) 4 d) 3 12. The incorrect statement regarding cathode rays is a) They travel in straight line b) They depend on the nature of the gas c) They are deflected by magnetic as well as electric fields d) They produce mechanical effects 13. According to Planck’s Quantum theory, the correct statements are I) The vibrating particle in the black body does not emit continuously II) Radiation is emitted in the form of small packets called Quanta III) Energy associated with emitted radiations is inversely proportional to frequency. IV) The emitted radiant energy is propagated in the form of waves. a) I, II, III b) II, III c) I, II, IV d) II, IV, III 14. Which of the following statements is incorrect ? a) Particle nature of radiations can be experimentally demonstrated by Compton effect b) Wave nature of electrons can be experimentally demonstrated by diffraction experiment c) The value of Planck’s constant, h is s 34 6.62 10 J.s d) Intensity of light is directly proportional to its frequency. 15. As an electron is brought from an infinite distance close to nucleus of atom, the energy of electron a) Increases to a greater +ve value b) Decreases to a smaller +ve value c) Increases to a smaller –ve value d) Decreases to a greater –ve value 16. Rutherford’s alpha ray scattering experiment showed for the first time that the atom has a) Nucleus b) Proton c) Electron d) Neutron 17. In electromagnetic radiation, which of the following has greater wavelength than visible light? a) U.V-rays b) I.R-rays c) Gamma rays d) X-rays 18. Which of the following is not an electromagnetic radiation? a) Gamma rays b) Alpha rays c) Radio waves d) X-rays More than One correct answer Type Questions 19. In Rutherford’s gold leaf experiment, the scattering of B -particles takes place. In this process : a) coulombic force is involved b) nuclear force is involved c) path of B –particle is parabolic d) path of B – particle is hyperbolic
  • 11.
    ATOMIC STRUCTURE 13 OBJECTIVE CHEMISTRYIA ELITE SERIES for Sri Chaitanya Jr. ICON Students D D D D 20. According to Bohr’s model of atom a) The radius of nth orbit B n2 b) The total energy of electron in nth orbit 1 n B c) The angular momentum electron is integral multiples of h /2Q d) The magnitude of potential energy of an electron is an orbit greater than kinetic energy 21. 3 n = 2 n = 1 n = 1 2 3 For above transitions in hydrogen like atoms, select the incorrect relation(s). a) V V V 3 1 2 b) V V V V V 1 2 3 1 2 c) 3 1 2 M M M d) 1 2 3 1 2 M M M M M 22. If the electron of the hydrogen atom is replaced by another particle of same charge but of the double mass, then : a) radii of different shells will increase b) energy gap between two levels will become double c) ionization energy of the atom will be double d) speed of new particle in a shell will be lesser than the speed of electron in the same shell 23. Let r, u and E are the radius of the orbit, speed of the electron and the total energy of the electron respectively. Which of the following quantities are proportional to the quantum number ‘n’ ? a) rE b) ur c) u E d) r E 24. Select the correct statement(s): a) An electron near the nucleus is attracted by the nucleus and has a low potential energy b) According to Bohr’s theory, an electron continuously radiate energy if it stayed in out orbit c) Bohr’s model could not explain the spectra of multielectron atoms d) Bohr’s model was the first atomic model based on quantisation of energy Linked Comprehension Type Questions Passage-I : A metal is irradiated with a radiation of wavelength 300 nm. Then photo electrons found to have velocity of 3.7 × 105m/s. When a graph is drawn between K.E of photo electrons and frequency of radiation a straight line is obtained cutting X-axis. 25. What is the K.E. of photo electrons a) 6.23 × 10–20 J b) 6.25 × 10–22 J c) 6.625 × 10–18 J d) 6.625 × 10–19 J 26. The value of X-intercept a) 9 × 104 Hz b) 10.2 × 105 Hz c) 8.6 × 105 Hz d) 9 × 1014 Hz 27. Difference between incident frequency and threshold frequency is a) 9.4 × 1013 Hz b) 8.5 × 1012 Hz c) 9.4 × 1012 Hz d) 8.4 × 1010 Hz
  • 12.
    14 ELITE SERIESfor Sri Chaitanya Jr. ICON Students OBJECTIVE CHEMISTRY IA ATOMIC STRUCTURE D D D D Passage-II : To explain the nature of radiations, James Clark Maxwell in 1864 put forward ‘Electromagnetic wave theory’. This theory could explain the phenomena of interference and diffraction but could not explain phenomena of black body radiation and photoelectric effect. Also, after the advent of electromagnetic wave theory, Rutherford's model of atom suffered a serious drawback. To explain the phenomena of black body radiation and photoelectric effect, Max planck in 1900 put forward Planck’s quantum theory. Based on this theory, Neils Bohr in 1913 put forward Bohr’s model of atom which could overcome the drawback of Rutherford's model and also explain the line spectra of elements, especially the line spectra of hydrogen and hydrogen-like particles. 28. Which of the following statements is incorrect about electromagnetic wave theory ? a) Energy is emitted continuously from the source b) Radiations are associated with electric and magnetic fields c) Radiations can travel even through vacuum d) The velocity of any radiation depends upon the nature of the radiation. 29. Kinetic energy of the electron ejected when yellow light of frequency 5.2 × 1014 s–1 falls on the surface of potassium metal (threshold frequency = 5 × 1014 s–1) is a) 1.325 × 10–13 J b) 1.325 × 10–20 J c) 1.325 × 10–27 J d) 1.325 × 10–34 J Matrix Matching Type Questions 30. Column-I Column-II A) Isotopes P) Same no. of atoms and same no. of electrons B) Isobars Q) Different no.of protons but same no.of neutrons C) Isotones R) Different no. of protons and different no.of neutrons D) Isosters S) Same no. of protons but different no.of neutrons 31. Column-I Column-II A) 0 + + P) photoelectron emitted B) 0 M M Q) no photocurrent C) 0 + + R) K.E of photoelectron = 0 h( ) + + D) 0 M M S) velocity of photo electron = 0 0 2ch m ¥ ´ M M ¦ µ MM § ¶ 32. Column-I Column-II A) Radius of nth orbit P) inversely proportional to Z B) Energy of electron in nth orbit Q) proportional to n2 C) Velocity of electron in nth orbit R) inversely proportional to n D) Angular momentum of electron S) Proportional to n
  • 13.
    ATOMIC STRUCTURE 15 OBJECTIVE CHEMISTRYIA ELITE SERIES for Sri Chaitanya Jr. ICON Students D D D D 33. According to Bohr’s theory, En = total energy, Kn = kinetic energy, Vn = potential energy, rn = radius of nth orbit. Match the following. Column-I Column-II A) Vn/Kn = ? P) 0 B) x n n r E ,x ? t Q) –1 C) Angular momentum in lowest orbital R) –2 D) y n 1 Z ,y ? r t S) 1 Integer Type Questions 34. Find the ratio of energy of a photon of 2000A° wavelength radiation to that of 4000A° radiation. 35. A light source of wavelength M illuminates a metal and ejects photo-electrons with (K.E)max = 1eV. Another light source of wave length 3 M , ejects photo-electrons from same metal with (K.E)max = 4ev, the value of work function is 0.1x. Then the value of x is ___ 36. Assume that 2 × 10–17 J of light energy is needed by the interior of the human eye to see an object. The number of photons of yellow light with M = 595.2nm are needed to generate this minimum energy is 12x. Then the value of x is ___. 37. Number of photons of light with a wave length of 4000 pm necessary to provide one joule of energy approximately x × 1016 Then x is _____ 38. The velocity of an electron in a certain Bohr’s orbit of H-atom bears the ratio 1 : 275 to the velocity of light. Then find the quantum number (n) of the orbit ? 39. When an electron is transisted from 2E to E energy level, the wavelength of resultant photon produced is 1 M . If electronic transition involves 4 3 E to E level, the wavelength of resultant photon is 2 M . The correct relation between 1 M 2 M is 2 1 x M M . Then find the value of x ? 40. Given rn+1 – rn–1 = 2rn, where rn, rn–1, rn+1 are Bohr radius for hydrogen atom in nth, (n –1)th and (n+1)th shell respectively. Calculate the value of n. EXERCISE-II (H- spectrum, Rydberg equation, de broglies concept of matter waves, Heisenberg uncertainity principle, schrodinger wave equation, orbitals) LEVEL-I (MAIN) Straight Objective Type Questions 1. The equation corresponding to the wave number of spectral lines in Pfund series is 1) ¨ · © ¸ ª ¹ 2 2 1 1 R 4 5 2) ¨ · © ¸ ª ¹ 2 2 1 1 R 3 4 3) ¨ · © ¸ ª ¹ 2 2 1 1 R 2 3 4) ¨ · © ¸ ª ¹ 2 2 1 1 R 5 6 2. The value of Rydberg constant is 1) 109677 cm–1 2) 109700 cm–1 s–1 3) 10968 cm–1 4) 10970 m K K
  • 14.
    16 ELITE SERIESfor Sri Chaitanya Jr. ICON Students OBJECTIVE CHEMISTRY IA ATOMIC STRUCTURE D D D D 3. A spectral line of hydrogen with M = 4938A0 belongs to the series 1) Lyman 2) Balmer 3) Paschen 4) Pfund 4. Among the first lines of Lyman, Balmer, Paschen and Brackett series in hydrogen atomic spectra, which has higher energy? 1) Lyman 2) Balmer 3) Paschen 4) Bracket 5. What are the values of n1 and n2 respectively for HC line in the Lyman series of hydrogen atomic spectrum? 1) 3 and 5 2) 2 and 3 3) 1 and 3 4) 2 and 4 6. The fourth line of the Balmer series corresponds to the electronic transition between two orbits of the H atom, Identify the orbits. 1) 3 and 1 2) 5 and 1 3) 5 and 2 4) 6 and 2 7. Total number of spectral lines when electron jumps from 8th orbit to 2nd orbit 1) 6 2) 36 3) 21 4) 38 8. Supposing the electron is present in the 4th energy level of H- atom. When the electron returns to ground state the possible transitions would be : 1) 4 →1 2) 4 →2, 2 →1 3) 4 →3, 3 →2, 2 →1 4) All the above 9. The de-Broglie’s equation treats an electron to be 1) a particle 2) a wave 3) ray 4) both (1) and (2) 10. Wavelength of the wave associated with a moving electron 1) Decreases with increase in speed of electron 2) Increases with increase in speed of electron 3) Remains same irrespective of speed of electron 4) is zero 11. The uncertainity principle and the concept of wave nature of matter were proposed by _____ and ____ respectively 1) Pauli, Hund 2) Heisenberg, Aufbau 3) Heisenberg, de Broglie 4) Heisenberg, Planck 12. Bohr’s postulate that nh mvr 2 Q is proved mathematically by 1) Pauli’s exclusion principle 2) de Broglie wave nature of the electron 3) Heisenberg’s uncertainity principle 4) Sommer feld theory 13. The momentum of a particle of wave length 1A° is 1) 6.625 × 10–27 g. cm.s–1 2) 6.625 × 10–19 g. cm.s–1 3) 6.625 × 10–16 g. cm.s–1 4) 6.625 × 10–23 g. cm.s–1 14. If uncertainty in position and velocity are equal then uncertainty in momentum will be: 1) 1 mh 2 Q 2) 1 h 2 m Q 3) h 4 m Q 4) mh 4Q 15. Be+3 and a proton are accelerated by the same potenatial, their de-Broglie wavelengths have the ratio (assume mass of proton = mass of neutron) 1) 1:2 2) 1:4 3) 1:1 4) 2:1
  • 15.
    ATOMIC STRUCTURE 17 OBJECTIVE CHEMISTRYIA ELITE SERIES for Sri Chaitanya Jr. ICON Students D D D D LEVEL-II (ADVANCED) Straight Objective Type Questions 1. Which of the following statements regarding spectral series is correct? a) The lines in the Balmer series correspond to the electronic transition from higher energy level to n = 1 energy level. b)Paschen series appears in the infra-red-region c) The lines of Lyman series appear in the visible region d)Transition from higher energy levels to 4th energy level produces Pfund series which fall in the infrared region. 2. In a series in the line spectrum of hydrogen, the wavelength of radiation is 6,563A0. The name of the series and the orbits in which electron transition takes place are a) Balmer series, 3rd to 2nd orbit b) Lyman series, 2nd to 1st orbit c) Pfund series, 6th to 5th orbit d) Paschen series, 4th to 3rd orbit 3. The frequency of the spectral line obtained when the electron in n = 3 of Hydrogen atom drops to the ground state is a) 2.925×1015 Hertz b) 2.925×1013 Hertz c) 2.925×1014 Hertz d) 36559×1010 Hertz 4. (A) : The energy of ultraviolet radiation is greater than the energy of infrared radiation (R) : The velocity of ultraviolet radiation is greater than the velocity of infrared radiation a) Both A and R are true and R is the correct explanation of A b) Both A and R are true but R is not the correct explanation of A c) A is true and R is false d) R is true and A is false 5. Which of the following transitions will have minimum wavelength ? a) m 4 1 n n b) m 2 1 n n c) m 4 2 n n d) m 3 1 n n 6. A proton and an electron are accelerated by the same potential difference. If e M and p M denote the De-broglie wavelength of electron and proton then a) e M = p M b) e p M M c) e p M M d) No releation between e M and p M 7. Velocity of helium atom at 300K is 2.40 × 102 meter per second. What is its wavelength? (He = 4) a) 0.416 nm b) 0.83 nm c) 803 Å d) 8000Å 8. The graph between momentum p and de-Broglie wavelength M of photon is a) P λ b) P λ c) P λ d) P λ 9. The graph between energy of an electron and its de-Broglie wavelength M is a) logλ log E b) logλ log E c) logλ log E d) logλ log E K K
  • 16.
    18 ELITE SERIESfor Sri Chaitanya Jr. ICON Students OBJECTIVE CHEMISTRY IA ATOMIC STRUCTURE D D D D 10. A particle X moving with a certain velocity has a debroglie wave length of 1Å, If particle Y has a mass of 25% that of X and velocity 75% that of X, debroglies wave length of Y will be a) 3 Å b) 5.33 Å c) 6.88 Å d) 48 Å 11. Which of the following statement is incorrect ? a) The third quantum shell can hold a maximum of 18 electrons b) An electron falling to the same energy level from any higher level always emits the same quantum of energy c) The Balmer series of lines is in the visible region of the emission spectrum of hydrogen atom d) The electron of hydrogen atom in its ground state remains in the first quantum shell 12. The schrodinger wave equation for hydrogen atom is ¥ ´ ¥ ´ : ¦ µ ¦ µ § ¶ § ¶ Q 0 3/2 r /a 0 2s 0 0 1 1 r 2 e a a 4 2 where a0 is Bohr’s radius. If the radial node in 2s be at r0 would be equal to: a) 0 a 2 b) 2a0 c) 0 2a d) 0 a 2 13. The schrodinger wave equation for hydrogen atom is :(radial) 3 / 2 2 / 2 0 1 z [( 1)( 8 12)]e a 16 4 T ¥ ´ T T T ¦ µ § ¶ where a0 and z are the constant in which answer can be expressed and 0 2zr a T minimum and maximum position of radial nodes from nucleus are a) 0 0 a 3a , Z Z b) 0 0 a a , 2Z Z c) 0 0 a 3a , 2Z Z d) 0 0 a 4a , 2Z Z 14. For a 3s – orbital 3/ 2 2 / 2 0 1 1 (3s) (6 6 )e ; a 9 3 T ¥ ´ : T T ¦ µ § ¶ where 0 2r.Z 3a T . What is the maximum radial distance of node from nucleus? a) 0 (3 3)a z b) 0 a z c) 0 (3 3)a 3 2 z d) 0 2a z More than One correct answer Type Questions 15. Which of the following statements is/are correct ? a) The absorption spectrum is formed due to absorbing radiant energy by the matter in lower energy states b) The emission spectrum is formed due to the emission of radiant energy by the excited matter c) Hydrogen spectrum is an example of line spectrum d) Li+ ion spectrum is equivalent to H atom spectrum 16. The electron in a hydrogen atom makes a transition n1 mn2 where n1 and n2 are the principal quantum numbers of the two states. Assume the Bohr model to be valid, if the time period of the electron in the initial state is eight times that in the final state, then the possible values of n1 and n2 are a) n1 = 4, n2 = 2 b) n1 = 8, n2 = 2 c) n1 = 8, n2 = 1 d) n1 = 6, n2 = 3
  • 17.
    ATOMIC STRUCTURE 19 OBJECTIVE CHEMISTRYIA ELITE SERIES for Sri Chaitanya Jr. ICON Students D D D D 17. Whenever a hydrogen atom emits a quantum in the visible region of Balmer series : a) it may emit another quantum in Balmer series again b) it must emit another quantum in ultraviolet region of Lyman series c) second quatum of wavelength 122nm will be emitted d) second quantum will be emitted in Paschen series i.e., near infrared region 18. Which of the following species are expected to give the line spectrum similar to that of hydrogen atom? a) He(g) b) Li2+(g) c) He+(g) d) D(g) 19. Hydrogen atom has a) half filled subshel b) half filled shell c) one electron in valence shell d) half filled orbital 20. Select the correct statement(s) a) The phenomena of diffraction of light can only be explained by assuming that light behaves as waves b)de-Broglie postulate the dual character existed with matter c) In his atomic model Bohr considered electron as a particle d)Wave nature of electrons was obtained when diffraction rings were observed protographically when a street of protons was passed through a metal foil 21. False statement about the de-Broglie’s wavelength of an electron in the first Bohr’s orbit is a) equal to the circumference of the first orbit b) equal to twice the circumference of the first orbit c) equal to half the circumference of the first orbit d) equal to one fourth of the circumference of the first orbit 22. Which is correct in case of p-orbitals ? a) They are spherically symmetrical b) They have strong directional character c) They are three fold degenerate orbitals d) Their charge density along x, y and z-axes are zero. Linked Comprehension Type Questions Passage: de–Broglie proposed the dual nature of electron and put forward his wave concept. The wave length of electron in an orbit was given by h mv M 23. The de-Broglie’s wavelength ( ) M of the electron subjected to an accelerating potential of V volts is given by a) eh 2mV b) h 2meV c) h V 2me s d) mh 2eV
  • 18.
    20 ELITE SERIESfor Sri Chaitanya Jr. ICON Students OBJECTIVE CHEMISTRY IA ATOMIC STRUCTURE D D D D 24. The frequency of the matter wave of a particle is given by a) K.E h b) 2K.E h c) K.E 2h d) h 2K.E 25. The circumference of 3rd Bohr orbit in H-atom is a) 3 × 10–7 cm b) 3 × 10–8 cm c) 3 × 10–6 cm d) 4.3 × 10–9 cm 26. The wavelength of moving electron in 3rd Bohr orbit of H-atom is a) 1 × 10–9 m b) 2 × 10–7m c) 1 × 10–7 m d) 1 × 10–8 m Matrix Matching Type Questions 27. In case of hydrogen spectrum wave number is given by H 2 2 1 2 1 1 v R n n ¨ · © ¸ ª ¹ where n1 n2 Column-I Column-II A) Lyman series P) n2 = 2 B) Balmer series Q) n2 = 3 C) Pfund series R) n2 = 6 D) Brackett series S) n2 = 5 28. If the shortest wavelength of spectral line of H-atom in Lyman series is x, Then match the following for Li2+ Column-I Column-II A) Shortest wavelength in Lyman series P) 4x 5 B) Longest wavelength in Lyman series Q) 4x 9 C) Shortest wavelength in Balmer series R) x 9 D) Longest Wavelength in Balmer series S) 4x 27 Integer Type Questions 29. The wavelength of a certain line in Balmer Series is observed to be 4329 A°. To what value of ‘n’ does this correspond ? (RH = 109678 cm–1) (Z = 1) 30. The ratio of wave number of the limiting line of Lyman series to the limiting line of Balmar series in Hydrogen spectrums is ____ 31. Calculate the number of waves made by a Bohr’s electron in one complete revolution in its 3rd orbit of H-atom.
  • 19.
    ATOMIC STRUCTURE 21 OBJECTIVE CHEMISTRYIA ELITE SERIES for Sri Chaitanya Jr. ICON Students D D D D EXERCISE-III (Quantum numbers, electron probability graphs, Hunds rule, Aufbau principle, Pauli’s principle, electronic configurations of atoms and ions, abnoraml configurations of Cr, Mn, magnetic behavior) LEVEL-I (MAIN) Straight Objective Type Questions 1. The azimuthal quantum number indicates ____ of the orbital 1) Size 2) Shape 3) Orientation 4) Spin 2. Which of the following is indicated by the magnetic quantum number? 1) Size 2) Shape 3) Spatial orientation 4) Spin 3. The spin quantum number has a value of 1) 1/2 2) +1/2 3) –1/2 4) either +1/2 or –1/2 4. Which one of the following expressions represent the electron probability function (D) 1) 2 4 r dr Q Z 2) 2 4 r dr Q Z 3) 2 2 4 r dr Q Z 4) 4 r dr Q Z 5. Radial part of the wave function depends on quantum numbers 1) n and s 2) l and m 3) l and s 4) n and l 6. Which of the following is correct with respect to ‘p’ orbitals? 1) Spherical 2) Strong directional character 3) Five fold degenerate 4) No directional character 7. The maximum number of electrons accommodated in 5f orbitals 1) 5 2) 10 3) 14 4) 18 8. The maximum probability of finding an electron of a particular energy in an orbital is about 1) 80% 2) 85% 3) 95% 4) 99% 9. Number of nodal spaces in 4s orbital is 1) 0 2) 1 3) 3 4) 4 10. (A) : The p-orbital has dumb-bell shape (R) : Electron present in p-orbital can have any one of the three values of magnetic quantum numbers (0, +1, –1) 1) Both (A) and (R) are true and (R) is the correct explanation of (A) 2) Both (A) and (R) are true and (R) is not the correct explanation of (A) 3) (A) is true but (R) is false 4) (A) is false but (R) is true 11. No two electrons in an orbital can have parallel spin. This statement emerges from 1) Hund’s rule 2) Aufbau principle 3) Pauli’s exclusion principle 4) (n + l) rule 12. Electrons never pair, if there are empty orbitals in a given sub-shell. This is 1) Aufbau principle 2) Pauli’s exclusion principle 3) Hund’s rule of maximum multiplicity 4) Heisenberg’s uncertainity principle K K
  • 20.
    22 ELITE SERIESfor Sri Chaitanya Jr. ICON Students OBJECTIVE CHEMISTRY IA ATOMIC STRUCTURE D D D D 13. Which of the following explains the sequence of filling electrons in different subshells? 1) Hund’s rule 2) Aufbau principle 3) Pauli’s principle 4) All of these 14. Nitrogen atom has 3 unpaired electrons in its ground state. It can be explained by 1) Auf bau principle 2) Pauli’s principle 3) Hund’s rule 4) All of these 15. The electronic configuration of sodium is 1) [Ne]3s2 2) [Ne]3s1 3) [Ar]4s1 4) [Ar]4s2 16. Which of the following configuration may represent the ground state of nitrogen atom? 1) ↓↑ ↓↑ ↑ ↓ ↓ 2) ↓↑ ↓↑ ↑ ↑ ↑ 3) nl nl n n l 4) nl l n ln n 17. Electronic configuration of the element with atomic number 56 and mass number 138 is 1) [Xe]6s2 2) [Kr]5s2 3) [Xe]6s2 6p2 4) [Xe]3d2 5d2 18. In potassium the order of energy levels is 1) 4s 3d 2) 4s 3d 3) 4s 3p 4) 4s = 3d 19. The number of d-electrons retained in Fe2+ (At. no. of Fe = 26) ion is 1) 3 2) 4 3) 5 4) 6 20. Which of the following is the correct electronic configuration of Fe3+ ion ? (Z for Fe = 26) 1) 1s2, 2s2, 2p6, 3s2, 3p6, 3d4 4s1 2) 1s2, 2s2, 2p6, 3s2, 3p6, 3d3 4s2 3) 1s2, 2s2, 2p6, 3s2, 3p6, 3d5 4) 1s2, 2s2, 2p6, 3s2, 3p6, 3d5, 4s2, 4p3 21. Number of unpaired electrons in the electrmonic configuration 1s22s22p4 is 1) 2 2) 3 3) 4 4) 6 LEVEL-II (ADVANCED) Straight Objective Type Questions 1. In a multi - electron atom, which of the following orbitals described by the three quantum numbers will have the same energy in the absence of magnetic and electric field i) n = 1, l = 0, m = 0 ii) n = 2, l = 0, m = 0 iii) n = 2, l = 1, m = 1 iv) n = 3, l = 2, m = 1 v) n = 3, l = 2, m = 0 a) i and ii b) ii and iii c) iii and iv d) iv and v 2. An electron has magnetic quantum number as ‘–3’. Its principal quantum number is a) 3 b) 2 c) 1 d) 4 3. Match the following. LIST-I LIST-II a) n = 2, l = 1, m = –1 p) 2px or 2py b) n = 4, l = 2, m = 0 q) 4dz2 c) n = 3, l = 1, m = p1 r) 3px or 3py d) n = 4, l = 0, m = 0 s) 4s e) n = 3, l = 2, m = p2 t) 3dx2 – y2 or 3dxy a) a-q, b-r, c-p, d-s, e-t b) a-t, b-r, c-s, d-p, e-t c) a-p, b-q, c-r, d-s, e-t d) a-s, b-t, c-r, d-s, e-p K K
  • 21.
    ATOMIC STRUCTURE 23 OBJECTIVE CHEMISTRYIA ELITE SERIES for Sri Chaitanya Jr. ICON Students D D D D 4. The quantum numbers of four electrons (e1 to e4) are given below n l m s n l m s e1 3 0 0 +1/2 e2 4 0 1 1/2 e3 3 2 2 –1/2 e4 3 1 –1 1/2 The correct order of decreasing energy of these electrons is: a) e4 e3 e2 e1 b) e2 e3 e4 e1 c) e3 e2 e4 e1 d) e1 e3 e4 e2 5. Which orbital gives an electron the greatest probability of closer to the nucleus ? a) 3p b) 3d c) 3s d) equal 6. Which one of the following statements is correct ? a) 2S orbital is spherical with two nodal planes b) The de-Borglie wavelength of a particle of mass ‘m’ and velocity ‘v’ is equal to mv/h c) The principal quantum number (n) indicates the shape of the orbital d) The electronic configuration of phosphorus is given by [Ne] 2 1 1 1 x y z 3s 3p 3p p 7. The set of quantum numbers ‘n’ and ‘l’ possible for the orbital shown in the radial probability curve are a) n = 3; l = 2 b) n = 4; l = 1 D Ao c) n = 2; l = 0 d) n = 3; l = 3 8. From the following observations predict the type of orbital : Observation 1: x y plane acts as a nodal plane Observation 2: The angular function of the orbital intersect the three axis at origin only. Observation 3: R2(r) vs r curve is obtained for the orbital is a) 5pz b) 6dxy c) 6 dx2–y2 d) 6 dyz More than One correct answer Type Questions 9. Choose the correct statement. a) Splitting of spectral lines in magnetic field is due to presence of degenerate orbitals b) In the presence of electricfield, energy value of Px, Py Pz of same orbit are different c) Degenerate orbitals differs only in their orientation d) degenerate orbitals have same shape, but different energy 10. Which of the following statements are not correct ? a) The ionization energy of a hydrogen-like species in its ground state is equal to the magnitude of energy of the orbit having n = 1 b) The ionization energy of a hydrogen-like species in its ground state increases in proportion to the positive charge in its nucleus c) According to the uncertainty principle, p x h / 4 % % b Q d) The energy of an electron in an orbital of a multielectron atom depends only on the principal quantum number n
  • 22.
    24 ELITE SERIESfor Sri Chaitanya Jr. ICON Students OBJECTIVE CHEMISTRY IA ATOMIC STRUCTURE D D D D 11. For the energy levels in an atom, which one of the following statement(s) is (are) correct? a) There are seven principal electron energy levels b) The second principal energy level can have four sub-energy levels and contain a maximum of eight electrons c) The M energy level can have a maximum of 32 electrons d) The 4s sub-energy level is at a lower energy than the 3d sub-energy level. 12. Which of the following statements are correct ? a) The angular momentum of an electron due to its spinning is given as h s(s 1) 2Q (where s can take the value of 1/2) b) The angular momentum of an electron due to its spinning is given as ms(h/ 2 Q )where ms can take the value of +1/2. c) According to Pauli's exclusion principle, no two electrons in an atom can have the same values of quantum numbers n, l and m d) The azimuthal quantum number cannot have negative values. 13. The chlorine atom has a) 6 electrons with l = 0 b) 11 electrons with l = 1 c) 5 orbitals with m = 0 d) 2 orbitals with m = +1 14. Which of the following sets of quantum numbers represents the orbitals of same shape and orientation in external field. a) n = 3, l = 2, m = +1, s = +1/2 b) n = 3, l = 2, m = –1, s = –1/2 c) n = 4, l = 2, m = +1, s = –1/2 d) n = 3, l = 2, m = 0, s = +1/2 15. Choose the correct statement(s): a) The shape of an atomic orbital depends upon azimuthal quantum number b) The orientation of an atomic orbital depends upon the magnetic quantum number c) The energy of an electron in an atomic orbital of multi-elelctron atom depends on principal quantum number only d) The number of degenerate atomic orbitals of one type depends upon the value of azimuthal quantum number 16. Select the correct configurations among the following a) 5 1 Cr(Z 24):[Ar]3d ,4s b) 10 1 Cu(Z 29):[Ar]3d ,4s c) 10 0 Pd(Z 46):[Kr]4d ,5s d) 10 2 Pt(Z 78):[Xe]4d 4s Linked Comprehension Type Questions Passage : The substances which contain species with unpaired electrons in their orbitals behave as paramagnetic substances. Such substances are weakly attracted by the magnetic field. The paramagnetism is expressed in terms of magneticmoment The magnetic moment is related to the number of unpaired electrons according to the following relation : Magnetic moment, n(n 2) N B.M . Where ‘n’ = number of unpaired electrons. B.M stands for Bohr magneton, a unit of magnetic moment. 17. Which of the following has the highest magnetic moment ? a) Fe+2 b) Mn+2 c) Cr+3 d) V+3
  • 23.
    ATOMIC STRUCTURE 25 OBJECTIVE CHEMISTRYIA ELITE SERIES for Sri Chaitanya Jr. ICON Students D D D D 12345678901234567890123456789012123456789012345678901234567 12345678901234567890123456789012123456789012345678901234567 12345678901234567890123456789012123456789012345678901234567 12345678901234567890123456789012123456789012345678901234567 12345678901234567890123456789012123456789012345678901234567 12345678901234567890123456789012123456789012345678901234567 18. An ion of a d-block elements has magnetic moment 5.92 B.M. Select the ion among the following. a) Zn+2 b) Sc+2 c) Mn+2 d) Cr3+ 19. Which of the following is diamagnetic ? a) He+2 b) Sc+3 c) Mg+2 d) O–2 Matrix Matching Type Questions 20. Column-I Column-II A) Violation of Aufbau’s rule P) ↑↓ ↑ ↑ ↑ B) Violation of Pauli’s exclusion principle Q) ↑↓ ↑ ↑ ↓ C) Violation of Hund’s rule R) ↑↓ ↑ ↑ ↑ ↑ D) Violation of both Pauli’s and Hund’s rule S) ↑ ↓ ↑ ↑ ↑ Integer Type Questions 21. The number of electrons with m = 0 in an atom with atomic number 33 is 5x. Then the value of x is __ 22. Find out the number of angular nodes in the orbital to which the last electron of Cr enter 23. The orbital angular momentum of 3p electron is h x 2Q . Then the value of x is ___. 24. An ion Mna+ has the magnetic moment equal to 4.9 BM. What is the value of a ? 25. A compound of vanadium has magnetic moment of 1.73 BM. It suggests the vanadium oxidation state in the compound is +x. Then the value of x is ___. KEY SHEET (LECTURE SHEET) EXERCISE-I LEVEL-I 1) 3 2) 1 3) 4 4) 2 5) 4 6) 3 7) 3 8) 3 9) 4 10) 1 11) 3 12) 4 13) 2 14) 4 15) 4 16) 1 17) 1 18) 1 19) 4 20) 3 21) 2 22) 2 23) 3 24) 3 25) 1 LEVEL-II 1) b 2) c 3) d 4) d 5) b 6) b 7) d 8) d 9) a 10) a 11) d 12) b 13) c 14) d 15) d 16) a 17) b 18) b 19) ad 20) acd 21) bc 22) cd 23) bc 24) acd 25) a 26) d 27) a 28) d 29) b 30) A-S; B-R; C-Q; D-P 31) A-Q; B-PRS; C-PRS; D-Q 32) A-PQ; B-Q; C-R; D-S 33) A-R; B-Q; C-P; D-S 34) 2 35) 5 36) 5 37) 2 38) 2 39) 3 40) 2 J J
  • 24.
    26 ELITE SERIESfor Sri Chaitanya Jr. ICON Students OBJECTIVE CHEMISTRY IA ATOMIC STRUCTURE D D D D 1234567890123456789012345678901212345678901 1234567890123456789012345678901212345678901 1234567890123456789012345678901212345678901 1234567890123456789012345678901212345678901 1234567890123456789012345678901212345678901 1234567890123456789012345678901212345678901 1234567890123456789012345678901212345678901 1234567890123456789012345678901212345678901 1234567890123456789012345678901212345678901 EXERCISE-II LEVEL-I 1) 4 2) 1 3) 2 4) 1 5) 3 6) 4 7) 3 8) 4 9) 4 10) 1 11) 3 12) 2 13) 2 14) 1 15) 4 LEVEL-II 1) b 2) a 3) a 4) c 5) a 6) c 7) a 8) c 9) c 10) b 11) b 12) b 13) c 14) c 15) abc 16) ad 17) bc 18) bcd 19) abcd20) abc 21) bcd 22) bc 23) b 24) b 25) a 26) a 27) A-PQRS; B-QRS; C-R; D-RS 28) A-R; B-S; C-Q; D-P 29) 5 30) 4 31) 3 EXERCISE-III LEVEL-I 1) 2 2) 3 3) 4 4) 3 5) 4 6) 2 7) 3 8) 3 9) 3 10) 2 11) 3 12) 3 13) 2 14) 3 15) 2 16) 2 17) 1 18) 2 19) 4 20) 3 21) 1 LEVEL-II 1) d 2) d 3) c 4) c 5) c 6) d 7) c 8) a 9) abc 10) bcd 11) ad 12) ad 13) abcd14) ac 15) abd 16) abc 17) b 18) c 19) b 20) A-S; B-PR; C-PQ; D-P 21) 3 22) 2 23) 2 24) 3 25) 4 PRACTICE SHEET EXERCISE-I (Introduction, fundamental particles, Atomic number, Mass number, Thomson’s Atomic model, Ruther ford’s atomic model, Nature of light, EMR, Blackbody radiation, Photo eletric effect, Bohr’s theory, calculations of radius of orbit, velocity and energy of an electron) LEVEL-I (MAIN) Straight Objective Type Questions 1. Energy of a photon with a wave length of 450 nm is 1) 4.36 × 10–12 ergs 2) 4.36 × 10–13 ergs 3) 4.36 × 10–20 ergs 4) 4.36 × 10–11 ergs 2. A wave has a frequency of 3 × 1015 sec–1. The energy of that photon is 1) 1.6 × 10–12 erg 2) 3.2 × 10–11 erg 3) 2.0 × 10–11 erg 4) 3 × 1015 erg 3. The wave length of light having wave number 4000 cm–1 is 1) 2.5 N m 2) 250 Nm 3) 25 Nm 4) 25nm 4. The energy of an electromagnetic radiation is 19.875×10–13 ergs. What is the wave number in cm–1? (h = 6.625 × 10–27 erg.sec; c = 3 × 1010 cm.sec–1) 1) 1000 2) 106 3) 100 4) 10,000 K K
  • 25.
    ATOMIC STRUCTURE 27 OBJECTIVE CHEMISTRYIA ELITE SERIES for Sri Chaitanya Jr. ICON Students D D D D 5. The ratio of energies of two photons of wavelengths 2000 and 4000 A0. 1) 1 : 4 2) 4 : 1 3) 1 : 2 4) 2 : 1 6. The energy of an electromagnetic radiation is 3 × 10–12ergs. What is its wavelength in nanometers? (h = 6.625 × 10–27 erg. sec, C = 3 × 1010 cm. sec–1) 1) 400 2) 228.3 3) 3000 4) 662.5 7. Energy equal to the mass of one electron is 1) 8.2 × 10–7erg 2) 9.2 × 10–8erg 3) 8.2 × 10–10erg 4) 4.1 × 10–8erg 8. The work function of a metal is 4.2 eV. If radiations of 2000A0 fall on the metal, then the kinetic energy of the fastest photoelectron is 1) 1.6 × 10–19 J 2) 1.6 × 1010 J 3) 6.4 × 10–10 J 4) 3.2 × 10–19 J 9. The ratio of slopes of Kmax vs. v and V0 vs. v curves in the photoelectric effect gives (v = frequency, Kmax = maximum kinetic energy, V0 = stopping potential) 1) charge of electron 2) planck’s constant 3) work function 4) the ratio of Plank’s constant to charge on e– 10. If the electron of a hydrogen atom is present in the first orbit, the total energy of the electron is 1) 2 e r 2) 2 2 e r 3) 2 e 2r 4) 2 2 e 2r 11. The angular momentum of an electron present in the excited state of hydrogen is 1.5h/ Q . The electron is present in 1) Third orbit 2) Second orbit 3) Fourth orbit 4) Fifth orbit 12. According to Bohr’s theory, the angular momentum of electron in 5th orbit is 1) 2.5 h Q 2) 25 h Q 3) 1.0 h Q 4) 10 h Q 13. When an electron with charge ‘e’ and mass ‘m’ moves with velocity ‘v’ around the nucleus having nuclear charge ‘Z’ in a circular orbit of radius ‘r’, the potential energy of electron is 1) 2 Ze r 2) 2 2 Ze r 3) 2 Ze r 4) 2 mv r 14. The change in velocity when electron jumps from the first orbit to the second orbit is 1) Half its original velocity 2) Twice its original velocity 3) One fourth its original velocity 4) Equal to its original velocity 15. The ratio of the radii of the first three orbits in an atom of hydrogen is 1) 1 : 4 : 9 2) 9 : 4 : 1 3) 1 : 2 : 3 4) 3 : 2 : 1 16. The radius of hydrogen atom in the ground state is 0.53 Ao ,the radius of Li2+ in the similar state is 1) 1.06 Ao 2) 0.265 Ao 3) 0.175 Ao 4) 0.53 Ao 17. No of revolutions made by the electron in one sec in 2nd orbit of Be3+ 1) 1.31 × 1016 2) 2.13 × 1016 3) 1.23 × 1015 4) 2.68 × 1014 18. An electron is revolving in the 2nd orbit of He+ ion. To this if 12.1 eV of energy supplied. Then to which orbit it will be excited. 1) 6 2) 8 3) 4 4) 2
  • 26.
    28 ELITE SERIESfor Sri Chaitanya Jr. ICON Students OBJECTIVE CHEMISTRY IA ATOMIC STRUCTURE D D D D LEVEL-II (ADVANCED) Straight Objective Type Questions 1. A beam of specific kind of particles of velocity 2.1 × 107 m/s is scattered by a gold (z = 79) nucleli. Find out specific charge (charge/mass) of this particle if the distance of closet approach is 2.5 × 10–14 m. a) 4.84 × 107 C/kg b) 4.84 × 10–7 C/kg c) 2 4 2 3 64 me K 9 h Q s d) 2 4 2 3 9 me K h Q 2. Particle nature of electron is proved by a) Radioactivity b) Cathode ray experiment c) Rutherford’s B -scattering experiment d) Interference of electron beams 3. In photoelectric effect work function of any metal is 2.5 eV. The most energetic emitted electrons are stopped by the potential of –1.5 volt then a) energy of incident photons is 4eV b) energy of incident photons is 1eV c) photoelectric current increases when we use photons of high frequency d) energy of incident photons is 3eV 4. Select the incorrect statement : a) K.E. of photo-electron does not depend upon the wavelength of incident radiation b) Photoelectric current depends on intensity of incident ratiation and on frequency c) Stopping Potential depends on frequency of radiation and not on intensity d) photoelectric current increases when we use photons of high frequency 5. If radiation correcsponding to second line of “Balmer series” of Li2+ ion, knocked out electron from first excited state of H-atom, then kinetic energy of ejected electron would be : a) 2.55 eV b) 4.25 eV c) 11.25 eV d) 19.55 eV 6. In a measurement of quantum efficiency of photosynthesis in green plants, it was found that 10 quanta of red light of wavelength 6850 o A were needed to release one molecule of O2. The average energy storage in this process for I mole O2 evloved is 112 kcal. What is the energy con- version efficiency in this experiment? Given: 1 cal = 4.18 J; NA = 6 × 1023; h = 6.63 × 10–34 a) 23.5 b) 26.9 c) 66.37 d) 73.1 7. The number of photons of light wave number ‘x’ in 10 J of energy source is: a) 10 hcx b) hc 10x c) 10 hcx d) hc 10 x 8. If radius of second stationary orbit (in Bohr’s atom) is R. Then radius of third orbit will be a) R/3 b) 9R c) R/9 d) 2.25R 9. The radius of which of the following orbit is same as that of the first Bohr’s orbit of hydrogen atom? a) He+ (n = 2) b) Li2+ (n = 2) c) Li2+ (n = 3) d) Be3+ (n = 2) 10. The energy of an electron in the first Bohr orbit of H atom is –13.6 eV . The possible energy value of the excited state for electrons in Bohr orbits of hydrogen is: a) –3.4 eV b) –4.2 eV c) –6.8 eV d) + 6.8 eV 11. What is the ninth ionization potential of fluorine atom ? a) 13.6 eV b) 9 × 13.6 eV c) 81 × 13.6 eV d) 100 × 13.6 Ev K K
  • 27.
    ATOMIC STRUCTURE 29 OBJECTIVE CHEMISTRYIA ELITE SERIES for Sri Chaitanya Jr. ICON Students D D D D 12. Kinetic energy of electron in a mono electronic species is +1312kJ/mole. Then which of the following statements are correct I) The electron is present in the 2nd orbit of He+ ion II) The electron is present in the 2nd orbit of H atom III) The electron is present in the 3rd orbit of Li+2 ion IV) The electron is present in the 4th orbit of He+ ion a) I and II b) II and III c) I and III d) III and IV 13. Ionisation energy of He+ is 19.6 × 10–18J atom–1. The energy of the first stationary state of Li2+ is a) – 4.41 × 10–18 J.atom–1 b) – 4.41 × 10–17 J.atom–1 c) – 44.1 × 10–16 J.atom–1 d) – 8.72 × 10–18 J.atom–1 14. The kinetic energy of an electron in an orbit of hydrogen atom is 3.4ev/atom. Then identify the correctly matched set for that electron LIST-1 LIST-2 A) Potential energy 1) 1.09×108 cm/sec B) Total energy 2) 2.116×10–8 cm C) Velocity 3) –6.8 ev/atom D) Its distance from nucleus 4) –3.4 ev/atom The correct match is A B C D A B C D a) 4 3 2 1 b) 3 4 1 2 c) 2 1 4 3 d) 3 4 2 1 15. The Ionisation potential of Hydrogen is 2.17 × 10–11 erg/atom. The energy of the electron in the second orbit of the hydrogen atom is a) 11 2.17 10 2 s erg/atom b) 11 2 2.17 10 2 s erg/atom c) 17 2 2.17 10 2 s erg/atom d) 11 2 2.17 10 2 s erg/atom 16. (A) : In an atom the velocity of electron as it moves into higher orbits keeps on decreasing. (R) : Velocity of electron is inversely proportional to the radius of orbit. a) Both (A) and (R) are true and (R) is the correct explanation of (A) b) Both (A) and (R) are true and (R) is not the correct explanation of (A) c) (A) is true but (R) is false d) (A) is false but (R) is true 17. If first ionization potential of an atom is 16 V, then the first excitation potential will be : a) 10.2 V b) 12 V c) 14 V d) 16 V 18. In an atom, two electrons move round the nucleus in circular orbits of radii R and 4R. The ratio of the time taken by them to complete one revolution is a) 1 : 4 b) 4 : 1 c) 1 : 8 d) 8 : 1 19. In Bohr’s model of the hydrogen atom the ratio between the period of revolution of an electron in the orbit of n = 1 to the period of the revolution of the electron in the orbit n = 2 is a) 1 : 2 b) 2 : 1 c) 1 : 4 d) 1 : 8
  • 28.
    30 ELITE SERIESfor Sri Chaitanya Jr. ICON Students OBJECTIVE CHEMISTRY IA ATOMIC STRUCTURE D D D D 20. What is the ratio of time periods (T1/ T2) in second orbit of H atom to 3rd orbit of He+ a) 8/27 b) 32/27 c) 27/32 d) 27/8 21. For a hypothetical hydrogen like atom, the potential energy of the system is given by U(r) = 2 3 Ke r , where r is the distance between the two particles, If Bohr’s model of quantization of angular momentum is applicable then velocity of particle is given by: a) 2 3 2 3 2 n h v Ke 8 m Q b) 3 3 2 3 2 n h v 8Ke 8 m Q c) 3 3 2 3 2 n h v 24Ke m Q d) 2 3 2 3 2 n h v 24Ke m Q 22. A small particle of mass ‘m’ moves in such a way that 2 1 P.E. mkr 2 , where ‘k’ is a constant and ‘r’ is the distance of the particle from origin. Assuming Bohr’s model of quantization of angular momentum and circular orbit, ‘r’ is directly proportional to : a) n2 b) n c) n d) 1 n 23. The velocity of an electron in excited state of H-atom is 1.093 × 106 m/s. what is the circumference of this orbit? a) 3.32 × 10–10m b) 6.64 × 10–10m c) 13.30 × 10–10 d) 13.28 × 10–8m 24. A hydrogen like species (atomic number z) is present in a higher exited state of quantum number n. This excited atom can make a transition to the first excited state by successive emission of two photons of energies 10.20 eV and 17.0 eV respectively. Alternatively, the atom from the same excited state can make a tranition to the second excited state by successive emission of two photons of energy 4.25 eV and 5.95 eV respectively. Determine the value of Z, a) 1 b) 2 c) 3 d) 4 25. If the lowest energy X-rays have M = 3.055 × 10–8m, estimate the minimum difference in energy between two Bohr’s orbits such that an electronic transition would correspond to the emission of an X-ray. Assuming that the electrons in other shells exert no influence, at what Z (minimum) would a transition from the second energy level to the first result in the emission of an X-ray? a) 1 b) 2 c) 3 d) 4 26. Choose the correct statement(s) i) The energy of an electron in an atom is always negative, because it is negatively charged. ii) The energy of an electron in an atom is positive iii)When an electron is at an infinite distance from the nucleus so that there is no electrical interaction; then orbitrarily the energy of electron is taken to be zero iv)As the electron moves closer to the nucleus, energy is released and so its energy becomes less than zero i.e, negative. a) all are correct b) iii and iv are correct c) ii is correct d) No statement is correct. 27. When an electron makes a transition from (n + 1) state to nth state, the frequency of emitted radia- tions is related to ‘n’ according to (n 1) : a) 2 3 2cRz v n b) 2 4 cRZ v n c) 2 2 cRZ v n d) 2 2 2cRZ v n
  • 29.
    ATOMIC STRUCTURE 31 OBJECTIVE CHEMISTRYIA ELITE SERIES for Sri Chaitanya Jr. ICON Students D D D D More than One correct answer Type Questions 28. Which of the following graphs represents Moseley’s Law a) ϑ (z - b) slope = a b) (z - b) 1 M a slope c c) z + a slope c d) z slope = a Y = Intercept = ab + 29. During the Rutherford’s B -particle scattering experiment a) Distance of closest approach is of the order of 1014m b)At the distance of closest approach, the kinetic energy of the B – particle is transformed into electrostatic potential c) The B – praticles moving towards the nucleus will stop and start retracing its path d)Maximum number ofB – particles went straight through metal foil 30. The kinetic energy (KE) of photoelectron emitted on irradiating a metal surface with frequency ‘ + ’ is related by KE h IE + . The plots of K.E vs incident frequency is a straight line which shows a) slope equal to planck’s constant b) intercept on x-axis equal to the product of threshold frequency planck’s constant c) with extrapolated on y-axis equal to IE d) with intercept on x-axis equal to threshold frequency Linked Comprehension Type Questions Passage-I : An electron in an excited state of hydrogen atom absorbs 2.5 times the energy needed to unbound the electron and moves with a wavelength of 5.416 Å. (h = 6.6 × 10–34 Js) 31. The kinetic energy of the electron is a) 3.4 eV b) 5.1 eV c) 13.6 eV d) 10.2 eV 32. The energy absorbed by the electron is a) 8.5 eV b) 3.4 eV c) 68 eV d) 3.78 eV 33. The electron was originally in a) n = 3 b) n = 4 c) n = 5 d) n = 2 Passage-II : Atoms more complicated than hydrogen have more than one proton in their nucleus. Let Z stands for the number of protons in a nucleus. Also imagine that an atom loses all but one of its electrons so that it changes into a positively charged ion with just one electron. Bohr’s formula for the energy levels of the hydrogen atom can easily be changed to apply to such ions. It becomes 2 4 e n 2 2 2 0 Z e m E 8 h n F , where m = mass of electron, e = charge of electron, n = orbit number.
  • 30.
    32 ELITE SERIESfor Sri Chaitanya Jr. ICON Students OBJECTIVE CHEMISTRY IA ATOMIC STRUCTURE D D D D 34. The ionization potential of He+ in ground state is a) 2427 kJ mol–1 b) 5249 kJ mol–1 c) 7116 kJ mol–1 d) 9811 kJ mol–1 35. The potential energy of electron in the ground state of He+ ion is a) 4.358 × 10–18 J/atom b) –7.112 × 10–18 J/atom c) –1.743 × 10–17 J/atom d) –8.279 × 10–18 J/atom 36. What minimum amount of energy is required to bring an electron from ground state of Be3+ to in infinity ? a) 4.358 × 10–18J/atom b) 2.179 × 10–18J/atom c) 3.4864 × 10–17J/atom d) 8.716 × 10–18J/atom Matrix Matching Type Questions 37. If in Bohr’s model, for uni electronic atom following symbols are used : rn,Z m Radius of nth orbit with atomic number z. Un,Z m Potential energy of e– Kn,Z m Kinetic energy of e– Tn,Z m Time period of revolution Column-I Column-II A) U1,2 : K1,1 P) 1 : 8 B) r2,1 : r1,2 Q) –8 : 1 C) V1,3 : V3,1 R) 9 : 1 D) T1,2 : T2,2 S) 8 : 1 38. Column-I Column-II A) Electron model of atom P) Electrons are present in extra nuclear region B) Rutherford model of atom Q) Electron in the atom is described as wave C) Bohr model of atom R) Positive charge is accumulated in the nucleus D) Schrodinger model of hydrogen atom S) Uniform sphere of positive charge with embedded electrons 39. Column-I Column-II A) K.E. P.E. P) 2 B) P.E. + 2K.E. Q) 1 2 C) P.E T.E. R) –1 D) K.E. T.E. S) 0
  • 31.
    ATOMIC STRUCTURE 33 OBJECTIVE CHEMISTRYIA ELITE SERIES for Sri Chaitanya Jr. ICON Students D D D D Integer Type Questions 40. The frequency of a radiation having a wave number of 2 × 1014 cm–1 will be x × 1024 s–1. Then the value of x is _______ 41. Energy required to stop the ejection of electrons from Cu-plate 0.27 eV. Calculate the work function (in eV) When radiation of M = 235nm strikes the plate. 42. Suppose 10–18J of light energy is needed by the interior of the human eye to see an object. How many photon of green light ( M = 550nm) are needed to generate this amount of energy ? 43. If the lowest energy X-rays have M = 3.055 × 10–8m, estimate the minimum difference in energy between two Bohr’s orbits such that an electronic transition would correspond to the emission of an X-ray. Assuming that the electrons in other shells exert no influence, at what Z(minimum) would a transition from the second energy level to the first result in the emission of an X-ray ? 44. The work function ( G ) of some metals is listed below. The number of metals which will show photoelectric effect when light of 300nm wavelength falls on the metal is Metal Li Na K Mg Cu Ag Fe Pt W (eV) 2.4 2.3 2.2 3.7 4.8 4.3 4.7 6.3 4.75 G 45. The radius of the first orbit of hydrogen atom is 0.52 × 10–8cm. The radius of the first orbit of He+ ion is 0.26 × 10–x cm. Then the value of x is ______ 46. Ratio of the number of waves made by a Bohr electron in one complete revolution in nth orbit and 2nd orbit is 1.5. The value of n is ___ 47. 1 mole of photons, each of frequency 250s–1 would have approximately a total energy of __ erg. 48. If an electron in H–atom has an energy of –78.4 kcal/mole, the electron is present in ____ orbit. EXERCISE-II (H- spectrum, Rydberg equation, de broglies concept of matter waves, Heisenberg uncertainity principle, schrodinger wave equation, orbitals) LEVEL-I (MAIN) Straight Objective Type Questions 1. Which of the following expressions represents the spectrum of Balmer series (If n is the principal quantum number of higher energy level) in Hydrogen atom? 1) 2 R(n 1)(n 1) n V 2) 2 R(n 2)(n 2) 4n V 3) 2 R(n 2)(n 2) n V 4) 2 R(n 1)(n 1) 4n V 2. (A) : Hydrogen has only one electron in its orbit but produces several spectral lines (R) : There are many excited energy levels available in a sample of Hydrogen gas 1) Both (A) and (R) are true and (R) is the correct explanation of (A) 2) Both (A) and (R) are true and (R) is not the correct explanation of (A) 3) (A) is true but (R) is false 4) (A) is false but (R) is true 3. When electron jumps from 5th energy level to 1st energy level, to which series the spectral line belongs? 1) Balmer 2) Lyman 3) Paschen 4) Pfund K K
  • 32.
    34 ELITE SERIESfor Sri Chaitanya Jr. ICON Students OBJECTIVE CHEMISTRY IA ATOMIC STRUCTURE D D D D 4. When the electron in the ‘H’ atom jumps from the fifth orbit to the second orbit, the spectral line emitted is found in 1) Visible region 2) Ultraviolet region 3) Near IR region 4) Far IR region 5. A hydrogen atom in the ground state is excited by monochromatic ratiation of wavelength o A M . The resulting spectrum consists of maximum 15 different lines. What is the wavelength M ? (RH = 109677.8 cm–1) 1) 937.3 o A 2) 1025 o A 3) 1236 o A 4) 1120 o A 6. Let v1 be the frequency of the series limit of the Lyman series, v2 be the frequency of the first line of the Lyman series, and v3 be the frequency of the series limit of the Balmer series 1) v1 – v2 = v3 2) v2 – v1 = v3 3) v3 – ½(v1 + v2) 4) v1 + v2 = v3 7. An excited hydrogen atom emits a photon of wavelength M while returning to the ground state. If R is the Rydberg’s constant, then the quantum number n of the excited state is 1) R M 2) R 1 M 3) R R 1 M M 4) R( R 1) M M 8. The figure indicates the energy level diagram of an atom and the origin of six spectral lines in emission (e.g. line no. 5 arises from the transition from level B to A). Which of the following spectral lines will also occur in the absorption spectrum ? X A B C 1 2 3 4 5 6 1) 4, 5, 6 2) 1, 2, 3, 4, 5, 6 3) 1, 4, 6 4) 1, 2, 3 9. In hydrogen atom HB – line arises due to transition n = 3mn = 2. In the spectrum of singly ionised helium there is a line having the same wavelength as the Ha line. This is due to the transition 1) n = 3 → n = 2 2) n = 2 → n = 1 3) n = 5 → n = 3 4) n = 6 → n = 4 10. A hydrogen atom in an excited state emits a photon which has the longest wavelength of the Paschen series. Further emissions from the atom cannot include the 1) longest wavelength of the Lyman series 2) second longest wavelength of the Lyman series 3) longest wavelength of the Balmer series 4) second longest wavelength of the Balmer series 11. If L M , M M and N M are the wave lengths of electron in L, M, N energy levels of H-atom respectively. What is their decreasing order: 1) L M N M M M 2) M M M N M L 3) M M M L M N 4) M M M M N L 12. The de Broglie wavelength associated with a moving particle of fixed mass is inversely proportional to 1) Its kinetic energy 2) Square root of its kinetic energy 3) Square of its kinetic energy 4) Cube of its kinetic energy 13. The de Broglie wavelength of a particle with mass 1 g and velocity 100 m/s is 1) 6.63 × 10–33 m 2) 6.63 × 10–34 m 3) 6.63 × 10–35 m 4) 6.63 × 10–36 m
  • 33.
    ATOMIC STRUCTURE 35 OBJECTIVE CHEMISTRYIA ELITE SERIES for Sri Chaitanya Jr. ICON Students D D D D 14. The de Broglie wave length of a riffle bullet of mass 2 grams moving with a velocity of 2m/sec is 1) 34 6.6 10 2 2 s s m 2) 27 3 6.6 10 2 10 2 s s s cm 3) 34 3 6.6 10 2 10 2 s s s m 4) 27 6.6 10 2 2 s s m 15. A cricket ball of mass 0.5kg is moving with a velocity of 100 m.s–1, the wavelength associated with its motion is 1) 13.25 × 10–26m 2) 13.25 × 10–34m 3) 13.25 × 10–36m 4) 6.6 × 10–34m 16. If the Planck’s constant h = 6.6 × 10–34 Js, the de-Broglie’s wave length of a particle having momentum of 3.3 × 10–24 kg.ms–1 will be 1) 2 × 10–10m 2) 1 × 10–15 m 3) 10–5m 4) 4 × 10–10 m 17. If the wavelength of the electron is numerically equal to the distance travelled by it in one second, then 1) h m M 2) 2 h p M 3) h m M 4) h p M 18. For an electron to have the same de broglie wave length as that of a Deutron, its velocity should be times that of Deutron 1) 1836 2) 1/1836 3) 3672 4) 1/3672 19. A hydrogen molecule and helium atom are moving with the same velocity. Then the ratio of their de Broglie wavelength is 1) 1 : 1 2) 1 : 27 3) 2 : 1 4) 2 : 3 20. Wavelength of an electron is 5Aº. Velocity of the electron is 1) 1.45 × 108 cm/s 2) 1.6 × 10–8cm/s 3) 3.2 × 10–27cm/s 4) 3.2 × 1027cm/s 21. The wavelength of radiation required to remove the electron of hydrogen atom (Ionisation energy 21.7 × 10–12erg) from n = 2 orbit to n = d is 1) 3.664×10–4 cm 2) 3.66×10–5 cm 3) 3.66×10–6 cm 4) 3.664×10–7 cm 22. An electron of velocity ‘x’ is found to associate with a wave. The velocity to be possessed by the neutron to have half the de-Broglie wavelength possessed by electron is 1) x 1840 2) x 1480 3) x 920 4) 1840 x 23. The wave-length of a moving electron 1) Increases with the increase of the velocity of the electron 2) Does not depend upon the velocity of the electron 3) Decreases with the increase of velocity of the electron 4) Is equal to zero 24. Choose the correct statement(s). 1) de-Broglie waves are not radiated into space 2) The wavelength of material particles decreases if value of ‘m’ increases 3) The circumference of Bohr’s orbit is equal to whole number multiple of the wavelength of the electron wave 4) All are true
  • 34.
    36 ELITE SERIESfor Sri Chaitanya Jr. ICON Students OBJECTIVE CHEMISTRY IA ATOMIC STRUCTURE D D D D 25. Choose the incorrect statement(s) regarding to electron and light : 1) Light exhibit wave particle duality, but electron does not 2) Light - travels with speed of 3 × 108 m/s and photons have zero rest mass 3) Electrons always travel at speeds less than speed of light and have a non zero rest mass 4) Light and electron both exhibit wave-particle duality 26. A particle of mass one microgram is confined to move along one direction (x-axis) within a region 1 mm in extension. What is the uncertainity in its velocity? 1) 3.313 × 10–20 cm–1 2) 5.012 × 10–20 cm–1 3) 8.325 × 10–20 cm–1 4) 5.27 × 10–21 cm–1 27. Which of the following statement is wrong regarding to uncertainty principle ? 1) The product of uncertainty in postion and uncertainty in moments is greater than or equal to h 4Q 2) If the position of a particle is measured accurately, there will be more error in measurement of momentum 3) If the momentum of a particle is measured accurately, there will be more error in measurement of position 4) The position and velocity of a particle can be simultaneously known with accuracy 28. According to Schrodinger model, nature of electron in an atom is as 1) Particles only 2) Wave only 3) Both simultaneously 4) Sometimes waves and sometimes particles 29. Choose the correct statement 1) Electronic energy is positive 2) 2 Z represents the probability of finding an electron per unit volume 3) Z represents the probability of finding an electron 4) none of the above is correct 30. For s-orbitals, since Z(orbital) is independent of angles, the probability ( 2 Z ) is 1) also independent of angles 2) spherically symmetric 3) both (1) and (2) are correct 4) both (1) and (2) are incorrect 31. The density of electron cloud of the orbital dxy in yz plane is 1) Zero 2) Maximum 3) Not determined 4) Infinite 32. The probability of finding an electron in py orbital along the x-axis is 1) Maximum 2) Zero 3) Not determined 4) Infinite 33. The number of nodes and nodal planes in 4p orbital are respectively 1) 2, 1 2) 1, 2 3) 2, 3 4) 3, 2 34. The number of nodal planes ‘d’ orbital has 1) Zero 2) one 3) two 4) three LEVEL-II (ADVANCED) Straight Objective Type Questions 1. What electronic transition in Li+2 produces the radiation of the same wave length as the first line in the Lyman series of hydrogen? a) n = 4 to n = 2 b) n = 9 to n = 6 c) n = 9 to n = 3 d) n = 6 to n = 3 K K
  • 35.
    ATOMIC STRUCTURE 37 OBJECTIVE CHEMISTRYIA ELITE SERIES for Sri Chaitanya Jr. ICON Students D D D D 2. The wavelength of the spectral line, for the transition n = 2 to n = 1 in the hydrogen emission spectrum is ‘X’. Which of the following spectral line also has a wavelength of X a) ‘ B H ’ line in the Balmer series of spectrum of ‘H’ b) ‘ C H ’ line in the Balmer series of spectrum of ‘H’ c) ‘ B H ’ line in the Balmer series of spectrum of ‘He+’ d) ‘ C H ’ line in the Balmer series of spectrum of ‘He+’ 3. The ratio of the wave lengths of the first line in the Lyman series of the spectrum of Hydorgen atom and the first line in the Balmer series of the spectrum of He+ is a) 20/27 b) 27/20 c) 27/5 d) 5/27 4. In Bohr series of lines of hydrogen spectrum, the third line from the red end corresponds to which one of the following inter - orbit jumps of the electron for Bohr orbits in an atom of hydrogen ? a) 3 m 2 b) 5 m 2 c) 4 m 1 d) 2 m 5 5. In a certain electronic transition from the quantum level, ‘n’ to the ground state in atomic hydrogen in one or more steps, no line belonging to the Bracket series is observed. What wave numbers may be observed in the Balmer series? (R = Rydberg Constant) a) 8R 5R , 9 36 b) 3R 8R , 16 9 c) 5R 3R , 36 16 d) 3R 3R , 4 16 6. The minimum and maximum values of wavelength in the Lyman series of a H atom are, respectively a) 364.3 nm and 653.4 nm b) 91.2 nm and 121.5 nm c) 41.2 nm and 102.6 nm d) 9.12 nm and 121.5 nm 7. The ratio of wavelength values of series limit lines (n2 = d) of Balmer series and Paschen serie are a) 4 : 9 b) 9 : 4 c) 2 : 3 d) 3 : 2 8. The wavelength of the first member of the Balmer series in hydrogen spectrum is x A0.Then the wave length (in A0) of the first member of Lyman series in the same spectrum is a) 5 27 x b) 4 3 x c) 27 5 x d) 5 36 x 9. A hydrogen sample is prepared in a particular excited state A. Photons of energy 2.55 eV/atom get absorbed into the sample to take some of the electrons to a further excited state B. Determine the number of photons when an electron in the higher excited state B returns to the ground state. a) 15 b) 10 c) 6 d) 3 10. If 2 2 2 2 n C n 2 ¨ · M © ¸ ª ¹ for Balmer series, what is the value of C2 ? a) H 2 R b) 2RH c) 4RH d) H 4 R 11. The ratio of difference in wavelengths of 1st and 2nd lines of Lyman series in H–like atom to difference in wavelength for 2nd and 3rd lines of same series approximately, is a) 2.5 : 1 b) 3.5 : 1 c) 4.5 : 1 d) 5.5 : 1
  • 36.
    38 ELITE SERIESfor Sri Chaitanya Jr. ICON Students OBJECTIVE CHEMISTRY IA ATOMIC STRUCTURE D D D D 12. Three energy levels P, Q, R of a certain atom are such that EP EQ ER. If 1 M , 2 M and 3 M are the wave length of radiation corresponding to transition R → Q ; Q → P and R→ P respectively. The correct relationship between 1 M , 2 M and 3 M is a) 1 2 3 M M M b) 3 1 2 1 1 1 M M M c) 3 1 2 M M M d) 3 1 2 2 1 1 M M M 13. The value of (n2 + n1) and (n2 2 – n1 2) for He+ ion in atomic spectrum are 4 and 8 respectively. The wavelength of emitted photon when electron jump from n2 to n1 is a) 32 9 RH b) 9 32 RH c) H 9 32R d) H 32 9R 14. Number of possible spectral lines which may be emitted in Brackett series in H atom, if electrons present in 9th excited level returns to ground level, are a) 21 b) 6 c) 45 d) 5 15. If radiation correcsponding to second line of “Balmer series” of Li2+ ion, knocked out electron from first excited state of H-atom, then kinetic energy of ejected electron would be: a) 2.55 eV b) 4.25 eV c) 11.25 eV d) 19.55 eV 16. In a collection of H-atoms, all the elctrons jump from n = 5 to ground level finally (directly or indirectly). without emitting any line in Balmer series. The number of possible different photons are a) 10 b) 8 c) 7 d) 6 17. Balmer gave an equation for wavelength of visible region of H-spectrum as 2 2 n 4 Kn O where n = principal quantum number of energy level, K = constant terms of R (Rydberg constant). The value of K in terms of R is: a) R b) R 2 c) 4 R d) 5 R 18. Two particles A and B are in motion. If the wavelength associated with particle A is 8 × 10–7m, calculate the wavelength associated with particle B if its momentum is 1/4 of A. a) 32 × 10–7m b) 2 × 10–7m c) 4 × 10–7m d) 0.5 × 10–8m 19. A proton and an B -particle are accelerated through the same potential difference. The ratio of the de-Broglie wave length of proton and B - particle is a) 2 b) 1 2 c) 2 2 d) 2 20. If 1 M and 2 M denote the de-Broglie wavelength of two particles with same masses but charges in the ratio of 1 : 2 after they are accelerated from rest through the same potential difference, then a) 1 2 M M b) 1 2 M M c) 1 2 M M d) none of these 21. An electron, a proton and an alpha particle have kinetic energies of 16E, 4E and E respectively. What is the qualitative order of their de Broglie wavelengths? a) e p a M M M b) p a e M M M c) p e a M M M d) a e p M M M 22. In the light of Heisenburg uncertainty principle, which radiation photon can locate the position of electron in an atom most precisely? a) H -ray b) Visible light c) X-ray d) Microwave
  • 37.
    ATOMIC STRUCTURE 39 OBJECTIVE CHEMISTRYIA ELITE SERIES for Sri Chaitanya Jr. ICON Students D D D D 23. Angular momentum of an orbit of a H like species in which the electron revolving is 4.2197 × 10–34 JS. The number of waves made by the electron in that orbit. a) 6 b) 4 c) 8 d) 2 24. The speed of an electron that has been accelerated by a potential difference of 500V is a) 5.5 × 10–11 m/sec b) 4.5 × 10–11 m/sec c) 3.5 × 10–11 m/sec d) 6.5 × 10–11 m/sec 25. V of two particles A and B are plotted against de-Broglie wavelengths. where V is the potential on the particles. Which of the following relation is correct about the mass of particles? ↑ B A λ V a) mA = mB b) mA mB c) mA mB d) mA mB 26. The de-Broglie wavelength of an electron accelerated by an elelctric field of ‘V’ volts is given by: a) 1.23 m M b) 1.23 m h M c) 1.23 nm V M d) 1.23 V M 27. The engergy of separation of an electron in a Hydrogen like atom in excited state is 3.4 eV. The de-Broglie wave length (in A°) associated with the electron is: a) 3.33 b) 6.66 c) 13.31 d) 16.65 28. The size of a mircorscopic particle is 1 micron and its mass is 6 × 10–13g. If its position may be measured to within 0.1% of its size, the uncertainity in velocity (in cm–1) is approximately a) 7 10 4 Q b) 5 10 4 Q c) 10–5 d) 10–8 29. The uncertainities in the velocities of two particles A and B are 0.05 and 0.02m.sec–1 respectively. The mass of B is five times to that of mass A. What is the ratio of uncertainities A B x x ¥ ´ % ¦ µ % § ¶ in their positions a) 2 b) 0.25 c) 4 d) 1 30. The uncertainity in the position of an electron (mass 9.1 × 10–28g) moving with a velocity of 3.0 × 104 cm.s–1 accurate up to 0.011%, will be a) 0.192cm b) 7.68cm c) 0.175cm d) 3.84 cm 31. If 1.0 g body is travelling along the x-axis at 100 cm s–1 within 1 cm s–1, what is the unertainty in its position? a) 3 × 10–30 m b) 2 × 10–30 m c) 4 × 10–30 m d) 5 × 10–30 m 32. The mass of a praticle is 10–10g and its radius is 2 × 10–4 cm. If its velocity is 10–6 cm sec–1 with 0.0001% uncetrainty in measurement, the uncertainty in its position is: a) 5.2 × 10–8m b) 5.2 × 10–7m c) 5.2 × 10–6m d) 5.2 × 10–9m
  • 38.
    40 ELITE SERIESfor Sri Chaitanya Jr. ICON Students OBJECTIVE CHEMISTRY IA ATOMIC STRUCTURE D D D D 33. An electron is allowed to move freely in a closed cubic box of length of side 10 cm. The uncertainty in its velocity will be : a) 3.35 × 10–4m sec–1 b) 5.8 × 10–4 m sec–1 c) 4 × 10–5m sec–1 d) 4 × 10–6 m sec–1 34. For an e– in a hydrogen atom, the wave function Z is proportional to 0 (r / a ) e where a0 as Bohr’s radius; what is the ratio of probability of finding the e– at the nucleus to the probability of finding it at a0, the wave function is 0 3 / 2 r / a 0 1 1 e a ¥ ´ Z ¦ µ § ¶ Q a) e b) e2 c) 1/e2 d) Zero More than One correct answer Type Questions 35. Which of the following transitions are allowed in the normal electronic emission spectrum of an atom? a) 2s → 1s b) 2p → 1s c) 3d → 2p d) 5d → 2s 36. Which of the following are wrong ? a) de Broglie relation is applicable only to microscopic particles b) The uncertainities in measurements are due to the imperfections of the techniques used to mea- sure them. c) The wave function Zalways has positive values. d) There is some probability of finding the electron even outside the boundary of the orbital. 37. According to deBroglie a) a moving electron possess wave character b) light posses particle character c) a moving proton posess wave character d) all moving particles possess wave charcter 38. In which of the following conditions the de Broglie wavelength of particle A will be less than that of particle B (mA mB) ? a) Linear momentum of these particles are same b) Move with same speed c) Move with same kinetic energy d) Have fallen through same height 39. Select the correct statements about the wave function Z a) Zmust be real b) Z must be single values, continuous c) Z has no physical significance d) 2 Z gives the probability of finding the electrons 40. The probability of finding an electron in the px orbital is a) zero at nucleus b) the same on all the sides around nucleus c) zero on the z-axis d) maximum on the two opposite sides of the nucleus along the x-axis
  • 39.
    ATOMIC STRUCTURE 41 OBJECTIVE CHEMISTRYIA ELITE SERIES for Sri Chaitanya Jr. ICON Students D D D D Linked Comprehension Type Questions Passage-I : Excited atoms emit radiations consisting of only certain discrete frequencies or wavelengths. In spectroscopy it is often more convenient to use frequencies or wave numbers than wavelength because frequencies and wave numbers are proportional to energy and spectroscopy involves transitions between different energy levels. The line spectrum shown by a mono electronic excited atom (a finger print of an atom) is called atomic spectrum. 2 2 2 1 2 1 1 1 Z R n n ¨ · © ¸ M ª ¹ 41. The ratio of wavelength for II line of Balmer series and I line of Lyman series is a) 1 b) 2 c) 3 d) 4 42. The given diagram indicates the energy levels of certain atom. When an electron moves from 2E level to E level, a photon of wavelength M is emitted. The wavelength of photon emitted during its transition from 4E 3 level to E level is a) 3 M b) 3 4 M 2E E 4E 3 c) 4 3 M d) 3M Passage-II : The only e– in the H–atom resides under ordinary conditions on the first orbit when energy is supplied, the e–moves to higher energy shells depending upon the amount of energy absorbed. When an e– emits energy i.e., the e– returns to the lowest energy state, from this Lyman, Balmer, Paschen, Bracket, Pfund series are there; so different spectral lines in the spectra of atoms correspond to different transitions of e– s from higher to lower energy levels: 43. If the shortest wavelength of H atom in Lyman series x, then longest wavelength in Balmer series of He+ is a) 36 5 x b) 4 x c) 9 5 x d) 5 9 x 44. The ratio of number of spectral lines obtained when an e– jumps from 7th to ground to 6th to 3rd a) 7 b) 3.5 c) 10 d) 2.5 45. In an hydrogen atom which of the following transition should be associated with highest absorption of energy a) n = 1 to n = 4 b) n = 2 to n = 3 c) n = 4 to n = 1 d) n = 3 to n = 2 Passage-III : It is not possible to determine precisely both the position and the momentum ((or velocity) of a small moving particle (e.g., electron, proton, etc) 46. The above statement is known as : a) de-Broglie’s principle b) Pauli’s exclusion principle c) Heisenberg’s Uncertainity principle d) Aufbau principle
  • 40.
    42 ELITE SERIESfor Sri Chaitanya Jr. ICON Students OBJECTIVE CHEMISTRY IA ATOMIC STRUCTURE D D D D 47. The uncertainity in position and velocity of a particle are 10–10m and 5.27 × 10–24ms–1 respectively, Calculate the mass of the particle. (h = 6.625 × 10–34 J–s) a) 0.099kg b) 1kg c) 2kg d) 10kg 48. Calculate the uncertainity in velocity of a cricket ball of mass 150 g if the uncertainity in its position is of the order of o 1A (h = 6.6 × 10–34 kgm2s–1) a) 3.8 × 10–25ms–1 b) 3.499 × 10–24 ms–1 c) 3.8 × 10–30 ms–1 d) 3.449 × 10–30 ms–1 Passage-IV : Hiesenberg’s uncertainty principle states that it is impossible to determine simultaneously the position and momentum of a particle. He considered the limits of how precisely we can measure properties of an e– (or)other microscopic particles like electron. The more accurately we measure the momentum of a particle, less accurately we can determine its position. 49. If uncertainty in position and velocity are same, then uncertainty in momentum will be ? a) Q 1 h m 4 b) Q h m 4 c) Q h 4 m d) Q hm 4 50. The police are monitoring an automobile of mass 2.0 tons speeding along a high way. They are certain about location of the vehicle only to with in 1m; what is the minimum uncertainty in the speed of the vehicle ? a) 3.9 × 10–38ms–1 b) 12.4 × 10–38 ms–1 c) 2.63 × 10–38 ms–1 d) 0.62 × 10–38 ms–1 51. If uncertainty in measurement of position and momentum are equal calculate the uncertainty in velocity a) p m % b) m p % c) m p % d) 1 m p % Matrix Matching Type Questions 52. Column-I Column-II A) Decreasing order of masses P) e– p n B) Decreasing order of e/m values Q) p e– n C) Decreasing order of de-Broglie’s R) n p e– wavelength with same velocities D) Decreasing order of S) n e– p uncertainity in velocity when % x is same 53. Column-I Column-II A) Bohr’s atomic model P) Fine spectrum of Hydrogen B) de-Broglie’s concept Q) Atomic orbital C) Sommer field atomic model R) Dual nature of any particle in motion D) Schrodinger wave equation S) Quantisation of angular momentum
  • 41.
    ATOMIC STRUCTURE 43 OBJECTIVE CHEMISTRYIA ELITE SERIES for Sri Chaitanya Jr. ICON Students D D D D 54. Column-I Column-II A) d m 1 n n in H atoms P) Visibile radiations B) m 4 1 n n in H atoms Q) Energy numerically equal to Rydberg energy C) d m 1 n n in „ He ion R) Energy numerically equal to ionisation energy D) m 4 2 n n in H atoms S) Ultraviolet radiations 55. Column-I Column-II A) Number of electrons present in an orbit P) 2 B) Number of orbitals in an orbit Q) n C) Number of electrons in an orbital R) n2 D) Number of subshells in an orbit S) 2n2 Integer Type Questions 56. The electron in the ground state for a single H – atom absorbs a photon of wavelength 97.28nm and it reaches to maximum level ‘n’ then when it returns from this level to ground state. Maximum numbers of lines can be obtained in its spectrum? 57. A transition for H-atom from II to I orbit has same wavelength as from nth orbit to 2nd orbit for He+ ion. The value of ‘n’ is ______ 58. The wavelength of mth line Balmer series for an orbital is 4103A°. What is the value of m ? 59. The electron in Li2+ ions are excited from ground state by absorbing 8.4375 RH energy/electron. How many emission lines are expected during de-excitation of electrons to ground state ? 60. How many Balmer lines in the spectrum will be observed when electrons return from 7th shell to 2nd shell ? 61. H-atoms in ground state (13.6 eV) are excited by monochromatic radiations of photon of energy 12.1 eV. Find the number of spectral lines emitted in H-atom. 62. At 200°C the velocity of hydrogen molecule is 2.0 × 105cm/sec. In this case, the de-Broglie wavelength is about _______ o A . 63. The de Broglie wavelength of neutron at 27°C is M . The wavelength at 927°C will be x M the value of x is 64. If uncertainty in position is 0 25 A 4Q . Find uncertainty in measurement of de-Broglie wavelength (in 0 A ) is x . The value of x/5 = 65. For 3s orbital of hydrogen atom, the normalised wave function is 0 r 3/ 2 2 3a 3s 2 0 0 0 1 1 18r 2r 27 e a a a 81 3 ¨ · ¥ ´ : © ¸ ¦ µ § ¶ Q © ¸ ª ¹ If distance between the radial nodes is d. Calculate the value of 0 d 1.73a
  • 42.
    44 ELITE SERIESfor Sri Chaitanya Jr. ICON Students OBJECTIVE CHEMISTRY IA ATOMIC STRUCTURE D D D D EXERCISE-III (Quantum numbers, electron probability graphs, Hunds rule, Aufbau principle, Pauli’s principle, electronic configurations of atoms and ions, abnoraml configurations of Cr, Mn, magnetic behavior) LEVEL-I (MAIN) Straight Objective Type Questions 1. When there are two electrons in the same orbital they have the spins 1) + 1 2 , + 1 2 2) – 1 2 , – 1 2 3) + 1 2 , – 1 2 4) 0, 0 2. The values of quantum numbers n, l and m for the fifth electron of boron is 1) n = 2, l = 1, m = –1 2) n = 2, l = 0, m = –1 3) n = 2, l = 2, m = –1 4) n = 1, l = 2, m = –1 3. l = 3, then the values of magnetic quantum numbers are 1) ± 1, ± 2, ± 3 2) 0, ± 1, ± 2, ± 3 3) –1, –2, –3 4) 0, +1, +2, +3 4. The impossible set of quantum numbers is 1) n = 2, l = 0, m = 0, s = +1/2 2) n = 2, l = 1, m = 0, s = +1/2 3) n = 2, l = 0, m = 1, s = –1/2 4) n = 3, l = 1, m = –1, s = –1/2 5. Which of the following quantum numbers are not possible ? 1) n = 2, l = 1, m = –1, s = –1/2 2) n = 3, l = 2, m = –3, s = + 1/2 3) n = 2, l = 0, m = 0, s = +1/2 4) n = 3, l = 2, m = –2, s = +1/2 6. The correct set of quantum numbers for the unpaired electron of chlorine atom is n l m n l m 1) 2 1 0 2) 2 1 1 3) 3 1 0 4) 3 0 0 7. The two electrons occupying an orbital are distinguished by 1) Principal quantum number 2) Azimuthal quantum number 3) Magnetic quantum number 4) Spin quantum number 8. Which of the following sets of quantum numbers is correct for an electron in 4 f orbital ? 1) n = 4, l = 3, m = + 4, s = +1/2 2) n = 3, l = 2, m = –2, s = +1/2 3) n = 4, l = 3, m = +1, s = +1/2 4) n = 4, l = 4, m = – 4, s = – 1/2 9. The number of nodes possible in radial probability distribution curve of 3d orbital is 1) 1 2) 2 3) 3 4) 0 10. In the radial probability distribution curve for the 2s orbital of the hydrogen atom, the minor maximum, the node and the major maximum occur at the following distances from the nucleus respectively 1) o o o 1.1A ,0.53A ,2.6A 2) o o o 0.53A ,1.1A ,2.6A 3) o o o 2.6A ,1.1A ,0.53A 4) o o o 0.53A ,2.116A ,2.6A K K
  • 43.
    ATOMIC STRUCTURE 45 OBJECTIVE CHEMISTRYIA ELITE SERIES for Sri Chaitanya Jr. ICON Students D D D D 11. When n = 3 and l = 1, the designation given to the orbital is 1) 4s 2) 4p 3) 3s 4) 3p 12. Which of the following designation is impossible? 1) 4f 2) 5g 3) 2d 4) 6p 13. The correct valence electronic configuration for Cu(Z = 29) is 1) 3d9 4s2 2) 3d10 4s1 3) 3d10 4s2 4) 3d8 4s2 14. Which one of the following pairs of ions have the same electronic configuration 1) Cr3+, Fe3+ 2) Fe3+, Mn2+ 3) Fe3+, Co3+ 4) Sc3+, Cr3+ 15. The (n + l) value for 4f-sub shell is 1) 4 2) 5 3) 6 4) 7 16. The energy of the electron in the hydrogen atom depends on 1) The principal quantum number only 2) All the quantum numbers 3) The Azimuthal quantum number 4) The principal and azimuthal quantum numbers 17. After 3d-sub level is completely filled the differentiating electron enters into ____ sub level. 1) 4s 2) 4p 3) 4f 4) 5s 18. The correct ground state electronic configuration of chromium atom is 1) [Ar] 3d5 4s1 2) [Ar] 3d4 4s2 3) [Ar] 3d6 4) [Ar] 3d5 4s2 19. Consider the following pairs of ions i) Sc+3 and Ti+4 ii) Mn+2 and Fe+2 iii) Fe+2 and Co+3 iv) Cu+ and Zn+2 Among these pairs of ions, isoelectronic pairs would include 1) ii, iii and iv 2) i, iii and iv 3) i, ii and iv 4) i, ii and iii LEVEL-II (ADVANCED) Straight Objective Type Questions 1. The number of sub levles in the quantum level n = 3 is a) 1 b) 2 c) 3 d) 4 2. The number of different spatial arrangements for the orbital with l = 2 is a) 1 b) 3 c) 5 d) 7 3. An electron in an atom has m = –2 value. Then I) its ‘n’ value should be greater than 2 II) its ‘s’ value should be + 1/2 III) its ‘l’ value should be 2 IV) its ‘l’ value should be greater than 1 a) I and II are correct b) II and III are correct c) III and IV are correct d) I and IV are correct 4. How many electrons in an atom with atomic number 105 can have (n + l) = 8? a) 30 b) 15 c) 17 d) 16 K K
  • 44.
    46 ELITE SERIESfor Sri Chaitanya Jr. ICON Students OBJECTIVE CHEMISTRY IA ATOMIC STRUCTURE D D D D 5. The maximum number of electrons with s = +1/2 in an orbital for which l = 2 is a) 1 b) 3 c) 5 d) 7 6. (A) : The energy of electron is largerly determined by its principal quantum number. (R) : The principal quantum number is a measure of most probable distance of finding the electron around the nucleus. a) Both (A) and (R) are true and (R) is the correct explanation of (A) b) Both (A) and (R) are true and (R) is not the correct explanation of (A) c) (A) is true but (R) is false d) (A) is false but (R) is true 7. If the value of principal quantum number is 3, the total possible values for magnetic quantum number will be a) 5 b) 9 c) 8 d) 10 8. For a particular value of azimuthal quantum number (l), the total number of magnetic quantum number values (m) is given by a) l = m 1 2 b) l = m 1 2 c) l = 2m 1 2 d) n = 2 1 2 l 9. The electrons, identified by n l ; (i) n = 4, l = 1(ii) n = 4, l = 0 (iii) n = 3, l = 2 (iv) n = 3, l = 1 can be placed in order of increasing energy, from the lowest to highest as : a) (iv) (ii) (iii) (i) b) (ii) (iv) (i) (iii) c) (i) (iii) (ii) (iv) d) (iii) (i) (iv) (ii) 10. The quantum numbers +1/2 and –1/2 for the electron spin represent: a) rotation of the electron in clockwise and anticlockwise direction respectively. b) rotation of the electron in anticlockwise and clockwise direction respectively. c) magnetic moment of the electron pointing up and down respectively. d) two quantum mechanical spin states which have no classical analogue. 11. For similar orbitals having different values of ‘n’: a) the most probable distance increases with increse in ‘n’ b) the most probable distance decreases with increase in ‘n’ c) the most probable distance remains constant with increase in‘n’ d) the most probable distance increases with increse in ‘n2’ 12. If n and l are principle and azimuhtal quantum numbers respectively, then the expression for calcu- lating the total number of electrons in any energy level is a) n 0 2(2 1) ¤ l l l b) n 1 2(2 1) ¤ l l l c) n 0 (2 1) ¤ l l l d) n 1 0 2(2 1) ¤ l l l 13. Which of the following sets of quantum numbers describes the electron which is removed most easily fom a potassium atom in its ground state ? a) n = 3, l = 1, m1 = 1, ms = 1 2 b) n = 2, l = 1, m1 = 0, ms = 1 2 c) n = 4, l = 0, m1 = 1, ms = 1 2 d) n = 4, l = 0, m1 = 0, ms = 1 2
  • 45.
    ATOMIC STRUCTURE 47 OBJECTIVE CHEMISTRYIA ELITE SERIES for Sri Chaitanya Jr. ICON Students D D D D 14. There is no difference between a 2p and a 3p orbital regarding a) Value of n b) Size c) Energy d) Shape 15. The probability of finding electron in XY plane for PZ– orbital is a) 100% b) 50% c) 99.9% d) 0% 16. How many electrons maximum can have n + l = 4 in an atom. a) 8 b) 2 c) 6 d) 18 17. In which of the following Aufbau principle is violated ? a) n l n l l l 2s 2p b) l n l l l 2s 2p c) n l l l l 2s 2p d) n l n l l l 2s 2s n 18. Which of the following electronic configuration is not possible? a) 1s2 2s2 2p6 b) 1s2 2s2 2p7 c) 1s2 2s2 d) 1s2 2s2 2p5 19. The configuration 1s2 2s2 2p5 3s1 shows a) Ground state of fluorine b) Excited state of fluorine c) Exited state of neon atom d) Excited state of argon 20. Which of the following has maximum unpaired d-electrons? a) Zn+ b) Fe2+ c) Ni3+ d) Cu+ 21. The number of electrons in the ground state of atom (z = 24) with the quantum numbers l = 1 and l = 2 are, respectively a) 12, 4 b) 12, 5 c) 16, 4 d) 16, 5 22. For H-atom, the energy required for the removal of electron from various sub-shells is given as under: The order of the energies would be : a) E1 E2 E3 b) E3 E2 E1 c) E1 = E2 = E3 d) E1 E3 E2 23. Among the following representations of excited states of atoms which is impossible ? a) 1s1 2s1 b) 3s2 3p3 4s1 c) 1s2 2s2 2p4 3s2 d) [Ne] 3s2 3p6 3d2 4s3 24. Consider the following six electronic configurations (remaining inner orbitals are completely filled) and mark the incorrect option. I) ↑ ↑ ↑ ↑ II) ↑ ↑ ↑ ↓ III) ↑ ↑ ↑ ↑ ↓ ↑ IV) ↑ ↑ ↑ ↑ ↑ ↑ V) ↑ ↑ ↑ ↑↑ VI) ↑ ↑ ↑ ↓ a) Stability order : IV II III b) Order of spin multiplicity : IV III = I II c) V does not violate all the three rules of electronic configuration d) If IV represents A+ when kept near a magnet, acts as diamagnetic substance.
  • 46.
    48 ELITE SERIESfor Sri Chaitanya Jr. ICON Students OBJECTIVE CHEMISTRY IA ATOMIC STRUCTURE D D D D 25. How many electrons in an atom can have n = 4, l = 2, m = –2 and 1 s 2 ? a) 1 b) 2 c) 5 d) 10 26. The electronic comfigurations of 24Cr and 29Cu are abnormal a) Due to extra stability of exactly half filled and exactly filled sub shells b) Because they belong to d-block c) Both of the above d) due to the presence of unpaired d-electrons 27. Among the following series of transition metal ions, the one where all metal ions have same 3d electronic configuration is: a) 2 3 4 5 Ti ,V ,Cr ,Mn b) 3 2 3 4 Ti ,V ,Cr ,Mn c) 4 6 7 Ti ,V ,Cr ,Mn d) 4 3 2 3 Ti ,V ,Cr ,Mn More than One correct answer Type Questions 28. Which of the following statement(s) is (are) not correct? a) The shape of an atomic orbital depends on the azimuthal quantum number b) The orientation of an atomic orbital depends on the magnetic quantum number c) The energy of an electron in an atomic orbtial of multi electron atom depends on principal quantum number d) The number of degenerate atomic orbitals of one type depends on the values of principal, azimuthal and magnetic quantum numbers. 29. Which one of the statement of quantum numbers is false? a) Quantum number were proposed out of necessity in Bohr model of the atom. b) Knowing n and l it is possible to designate a subshell. c) The principal quantum number alone can give the complete energy of an electron in any atom. d) Azimutal quantum number refers to the subshell to which an electron belongs and describes the motion of the electron. 30. The spin of the electron a) increases the angular momentum b) decreases the angular momentum c) can be forward (clockwise) relative to the direction of the path of the electron d) can be backward (anti-clockwise) relative to the direction of the path of the electron 31. When an atom is placed in the magnetic field, then due to the presence of electrons in it a) the orbitals do not orient themselves relative to the magnetic field b) the orbitals orient themselves relative to the magnetic field c) there are (2l + 1) different values of m for each value of l d) there are (2) different values of m for each value of l 32. For radial probability curves, which of the following is/are correct? a) The number of maxima in 2s orbital are two b) The number of spherical or radial nodes is equal to n – l – 1 c) The number of angular nodes are ‘l’ d) 3dz 2 has 3 angular nodes
  • 47.
    ATOMIC STRUCTURE 49 OBJECTIVE CHEMISTRYIA ELITE SERIES for Sri Chaitanya Jr. ICON Students D D D D 33. Choose the correct statement(s): a) for a particular orbital in hydrogen atom, the wave function may have negative value b) Radial probability distribution function may have zero value but can never have negative value c) 2 2 x y 3d orbital has two angular nodes and one radial node d) yz and xz planes are nodal planes for dxy orbital 34. Which of the following statements are correct for an electron that has n = 4 and m = –2? a) The electron may be in a d-orbital b) The electron is in the fourth principal electronic shell c) The electron may be in a p-orbital d) The electron must have the spin quantum number = +1/2. 35. Which of the following statements are correct ? a) The number of orbitals for a given value of l is equal to 2l + 1 b) The number of orbitals for a given value of n is equal to n2 c) An atom having unpaired electrons is diamagnetic is nature d) The half-filled and fully-filled electronic configurations are less stable than the other configura- tion having the same number of electrons. 36. Select the correct statement(s): a) Radial distribution function indicates that there is a higher probability of finding the 3s electron close to the nucleus than in case of 3p and 3d orbitals b) Energy of 3s orbital is less than for the 3p and 3d orbitals c) At the node, the value of the radial function changes from positive to negative d) The radial function depends upon the quantum numbers n and l 37. A neutral atom has 2K, 8L and 5M electrons, choose correct one a) Atomic number is 15 b) Total number of p-electrons = 9 c) Valency of element is 2 d) It is a representative element. 38. Which of the following are correct ? a) All s-orbitals have the same orbital angular momentum. b) The angular momentum of the electron in 4th orbit is 2h/ Q c) The magnetic moment of Cu2+ ion = 1.732 B.M. d) All d-orbitals have two nodal planes. 39. The configuration [Ar]3d54s1 in the first excited states exists for a) Fe2+ b) Co3+ c) Mn+ d) Cr 40. The following electronic configuration violates ↑ ↑ ↑ ↑ ↑ ↑ ↑ ↑ ↑↑ a) Hund’s rule b) Pauli’s principle c) Aufbau principle d) Heisenberg’s principle
  • 48.
    50 ELITE SERIESfor Sri Chaitanya Jr. ICON Students OBJECTIVE CHEMISTRY IA ATOMIC STRUCTURE D D D D 41. Ground state electronic configuration of p atom can be represented as a) 3s 3p ↑n ↑ ↑ ↑ [Ne] b) 3s 3p ↑n ↑ ↑ [Ne] n c) 3s 3p ↑n ↑ [Ne] n n d) 3s 3p ↑n [Ne] n n n 42. Which of the following statement is/are wrong? a) If the value of l = 0, the electron distribution is spherical b) The shape of the orbital is given by magnetic quantum no. c) Angular moment of 1s, 2s, 3s electrons are equal d) In an atom, all electrons travel with the same velocity 43. Gaseous state electronic configuration of Nitrogen atom can be represented as: a) ln ln l l l b) ln ln l n l c) ln ln l n n d) ln ln n n n 44. The electronic configuration of an element is 1s2 2s2 2p6 3s2 3p6 3d5 4s1. This represents its: a) excited state b) ground state c) cationic form d) anionic form Linked Comprehension Type Questions Passage-I : It is tempting to think that all possible transitions are permissible, and that an atomic spectrum arises from the transition of the electron from any initial orbital to any other orbital. However, this is not so, because a photon has an intrinsic spin angular momentum of h 2 2Q corresponding to S = 1 although it has no charge and no rest mass. On the other hand, an electron has got two types of angular momentum : Orbital angular momentum, h L ( 1) 2 Q l l and spin angular momentum, arising from orbital motion and spin motion of electron respectively. The change in angular momentum of the electron during any electronic transition mush compensate for the angular momentum carries away by the photon. to satisfy this condition the difference between the aziuthal quantum numbers of the orbital within which transition takes place must differ by one. Thus, an electron in a d-orbital (1 = 2) cannot make a transition into an s = orbital (I = 0) because the photon cannot carry away enough angular momentum. An electron as is well known, possess four quantum numbers n, I, m and s. Out of these four I determines the magnitude of orbital angular momentum (mentioned above) while m determines its z-components as h m 2 ¥ ´ ¦ µ § ¶ Q The permissible values of only integers right from –1 to + l. While those for I are also integers starting from 0 to (n – 1). The values of I denotes the sub- shell. For I = 0, 1, 2, 3, 4,….. the sub-shells are denoted by the symbols s, p, d, f, g, …. respectively 45. The maximum orbital angular momentum of an electron with n = 5 is a) h 6 2Q b) h 12 2Q c) h 42 2Q d) h 20 2Q 46. The orbital angular momentum of an electron in p-orbital makes an angle of 45° from Z-axis. Hence Z-component of orbital angular momentum of electron is : a) h Q b) h 2 ¥ ´ ¦ µ § ¶ Q c) h Q d) h 2 ¥ ´ ¦ µ § ¶ Q 47. The spin-only magnetic moment of free ion is 8 B.M. The spin angular momentum of electron will be a) h 2 2Q b) h 8 2Q c) h 6 2Q d) 3 h 4 2Q
  • 49.
    ATOMIC STRUCTURE 51 OBJECTIVE CHEMISTRYIA ELITE SERIES for Sri Chaitanya Jr. ICON Students D D D D Passage-II : When Schrodinger wave equation in polar coordinates is solved the solution for Z is of the form (r, , ) R(r).Y( , ) Z R G R G . Here R(r) is radial part of wave function and Y( , ) R G is angular part of the wave function. The region or space where probability of finding electron is zero is called nodal surface. If the probability of finding electron is zero then 2 (r, , ) 0 Z R G (r, , ) 0 Z R G If the radial wave function is equal to zero we get radial node and if angular part is equal to zero we get angular nodes. Total no. of nodes for any orbital = n – 1. Where ‘n’ is principal quantum number. 48. The d-orbital with out two nodal surfaces formed one is a) 2 2 x y 3d b) 2 z 3d c) 3dxy d) 4dxy 49. R r represents a) 4s b) 5p c) 3s d) 6dxy 50. Number of radial nodes for 4f orbital a) 3 b) 2 c) 1 d) zero Passage-III : In an universe other than earth all the quantum numbers have same value as on earth except ‘l’ and ‘s’. Azimuthal quantum number can have values from 0 to (n + 1) in integral step and s (spin quantum no.) has values of 1 1 ,0 2 2 ¥ ´ ¦ µ § ¶ . If all rules like Aaufbau rule, Hund’s rule and Paulis exclusion rule follow in other universe also. 51. No. of element in third period of another universe will be a) 27 b) 32 c) 36 d) 42 52. Configuration of element with atomic number 29 will be a)1s3, 1p9, 2s3, 1d14 b)1s3, 2s3, 2p9, 3s3, 3p9, 4s2 c)1s2, 1p6, 2s2, 1d10, 2p9 d) 1s3, 1p6, 2p9, 2s2, 1d10 53. Atomic number of element in 4th period and 5th column will be a) 89 b) 71 c) 73 d) 75 Matrix Matching Type Questions 54. Column-I Column-II A) Orbital angular momentum of the P) Principal quantum number electron in a hydrogen-like atomic orbital. B) A hydrogen-like one-electron wave Q) Azimuthal quantum number function obeying Pauli’s principle. C) Shape, size and orientation of hydrogen- R) Magnetic quantum number like atomic orbitals. D) Probability density of electron at the S) Electron spin quantum number nucleus in hydrogen-like atom
  • 50.
    52 ELITE SERIESfor Sri Chaitanya Jr. ICON Students OBJECTIVE CHEMISTRY IA ATOMIC STRUCTURE D D D D 12345678901234567890123456789012123456789012345678901234567 12345678901234567890123456789012123456789012345678901234567 12345678901234567890123456789012123456789012345678901234567 12345678901234567890123456789012123456789012345678901234567 12345678901234567890123456789012123456789012345678901234567 12345678901234567890123456789012123456789012345678901234567 55. Column-I Column-II A) 4s P) 4 Q r 2 R 2 Distance from nucleus B) 3p Q) 4 Q r 2 R 2 Distance from nucleus C) 3d R) 4 Q r 2 R 2 Distance from nucleus D) 2p S) 4Q r 2 R 2 Distance from nucleus 56. Column-I Column-II A) Cr P) 4s1 configuration state B) Cu Q) Unpaired electron in 4s-orbital C) K R) Unpaired electron in 3d-orbital D) Fe S) Ferromagnetic Integer Type Questions 57. For how many orbitals, the quantum numbers n = 3, l = 2, m = +2 are possible ? 58. Find out the different in number of angular nodes and number of radial nodes in the orbital to which last electron of chromium present. 59. What is the total number of radial and angular nodes present in 5f orbital? 60. The atomic mass of an element is 19. The second shell of its atom contains 7 electrons. The number of neutrons in its nucleus is 2x. The value of x is _____ . KEY SHEET (PRACTICE SHEET) EXERCISE-I LEVEL-I 1) 1 2) 3 3) 1 4) 4 5) 4 6) 4 7) 1 8) 4 9) 1 10) 3 11) 1 12) 1 13) 3 14) 1 15) 1 16) 3 17) 1 18) 1 LEVEL-II 1) a 2) b 3) a 4) a 5) d 6) b 7) c 8) d 9) d 10) a 11) c 12) c 13) b 14) b 15) b 16) c 17) b 18) c 19) d 20) b 21) c 22) c 23) c 24) c J J
  • 51.
    ATOMIC STRUCTURE 53 OBJECTIVE CHEMISTRYIA ELITE SERIES for Sri Chaitanya Jr. ICON Students D D D D 25) b 26) b 27) a 28) abd 29) abcd30) acd 31) b 32) a 33) d 34) a 35) c 36) c 37) A-Q;B-S;C-R;D-P 38) A-S; B-PR; C-PR; D-PQR 39) A-Q; B-S; C-P; D-R 40) 6 41) 5 42) 3 43) 2 44) 4 45) 8 46) 3 47) 1 48) 2 EXERCISE-II LEVEL-I 1) 2 2) 1 3) 2 4) 1 5) 1 6) 1 7) 3 8) 2 9) 4 10) 4 11) 2 12) 2 13) 1 14) 3 15) 3 16) 1 17) 1 18) 3 19) 3 20) 1 21) 2 22) 3 23) 3 24) 2 25) 1 26) 4 27) 4 28) 3 29) 2 30) 3 31) 1 32) 2 33) 1 34) 3 LEVEL-II 1) d 2) d 3) a 4) b 5) c 6) b 7) a 8) a 9) c 10) d 11) a 12) b 13) c 14) b 15) d 16) d 17) c 18) a 19) c 20) c 21) a 22) a 23) b 24) a 25) b 26) c 27) b 28) a 29) a 30) c 31) a 32) a 33) a 34) b 35) abcd36) abc 37) acd 38) bd 39) abcd 40) acd 41) d 42) d 43) c 44) b 45) a 46) c 47) a 48) b 49) d 50) c 51) a 52) A-R; B-P; C-P; D-P 53) A-S; B-R; C-Q; D-P 54) A-RS; B-S; C-RS; D-P 55) A-S;B-R;C-P;D-Q 56) 4 57) 2 58) 4 59) 3 60) 5 61) 3 62) 1 63) 2 64) 4 65) 3 EXERCISE-III LEVEL-I 1) 3 2) 1 3) 2 4) 3 5) 2 6) 3 7) 4 8) 3 9) 4 10) 2 11) 4 12) 3 13) 2 14) 2 15) 4 16) 4 17) 1 18) 1 19) 2 LEVEL-II 1) c 2) c 3) b 4) c 5) a 6) a 7) b 8) b 9) a 10) d 11) a 12) d 13) d 14) d 15) d 16) a 17) b 18) b 19) c 20) b 21) b 22) c 23) d 24) d 25) a 26) a 27) a 28) cd 29) acd 30) cd 31) bc 32) abc 33) abd 34) ab 35) ab 36) abcd37) abd 38) abc 39) ab 40) abc 41) ad 42) bd 43) ad 44) bc 45) d 46) b 47) a 48) b 49) a 50) d 51) a 52) a 53) b 54) A-Q; B-PQRS; C-PQR; D-PQR 55) A-Q; B-R; C-S; D-P 56) A-PQR; B-PQ; C-PQ; D-R,S 57) 1 58) 2 59) 4 60) 5
  • 52.
    54 ELITE SERIESfor Sri Chaitanya Jr. ICON Students OBJECTIVE CHEMISTRY IA ATOMIC STRUCTURE D D D D 1234567890123456789012345678901212345678901234567890123456789012123456789012345 1234567890123456789012345678901212345678901234567890123456789012123456789012345 1234567890123456789012345678901212345678901234567890123456789012123456789012345 1234567890123456789012345678901212345678901234567890123456789012123456789012345 1234567890123456789012345678901212345678901234567890123456789012123456789012345 1234567890123456789012345678901212345678901234567890123456789012123456789012345 1234567890123456789012345678901212345678901234567890123456789012123456789012345 1234567890123456789012345678901212345678901234567890123456789012123456789012345 K K ADDITIONAL PRACTICE EXERCISE LEVEL-I (MAIN) Straight Objective Type Questions 1. Ratio of masses of proton and electron is 1) 1.8 2) 1.8 × 103 3) Infinite 4) 1.8 × 102 2. The ratio between the neutrons present in carbon atom and silicon atoms with mass numbers 12 and 28 is 1) 7 : 3 2) 3 : 7 3) 1 : 2 4) 2 : 1 3. The number of nucleons in the isotope of an atom zXm are 1) m 2) Z 3) m + Z 4) m – Z 4. The total energy of electron in an atom is a combination of potential energy (P.E) and kinetic energy (K.E). If total energy is –E for an electron in an atom, then its (K.E) and (P.E) respectively are 1) 2E, –E 2) 2E, E 3) E, –2E 4) E, –E 5. The radius of which of the following orbit is same as radius of 1st orbit of H 1) He (n 2) 2) 2 Li (n 2) 3) 2 Li (n 3) 4) 3 Be (n 2) 6. In hydrogen atom the kinetic energy of electron is 3.4 eV. The distance of that electron from the nucleus 1) 2.11A° 2) 0.529A° 3) 1.587A° 4) 21.16A° 7. The radius of first Bohr’s orbit for hydrogen is 0.53 A0. The radius of third Bohr’s orbit would be 1) 0.79 A0 2) 1.59 A0 3) 3.18 A0 4) 4.77 A0 8. The energy of second Bohr orbit of hydrogen atom is –328 kJ. mol–1, hence energy of fourth Bohr orbit would be 1) –41 kJ mol–1 2) –82 kJ mol–1 3) –164 kJ mol–1 4) –1312 kJ mol–1 9. Which of the following transistions in hydrogen atom will require the highest amount of energy 1) n = 1 to n = 2 2) n = 1 to n = 3 3) n = 2 to n = 1 4) n = 3 to n = 4 10. The energy of an electron in the first Bohr’s orbit of a hydrogen atom is –2.18 × 10–18J. Its energy in the second orbit would be 1) –1.09 × 10–18 J 2) –4.36 × 10–18 J 3) –5.45 × 10–19 J 4) –8.72 × 10–18 J 11. (A) : For n = 3, l may be 0, 1, 2 and ‘m’ may be 0; (+1 and 0); (+ 2, + 1 and 0). (R) : For each value of n there are 0 to (n–1) possible values of 1 and for each value of l values of ‘m’ are –l .....0.....+l. 1) Both (A) and (R) are true and (R) is the correct explanation of (A) 2) Both (A) and (R) are true and (R) is not the correct explanation of (A) 3) (A) is true but (R) is false 4) (A) is false but (R) is true
  • 53.
    ATOMIC STRUCTURE 55 OBJECTIVE CHEMISTRYIA ELITE SERIES for Sri Chaitanya Jr. ICON Students D D D D 12. If magnetic quantum number of a given electron is represented –3, then what will be its principal quantum number ? 1) 2 2) 3 3) 4 4) 1 13. The configuration of 1s2 2s2 2p6 3s1 3p1 shows 1) Ground state of fluorine atom 2) Excited state of fluorine atom 3) Excited state of magnesium atom 4) Excited state of oxygen atom 14. The incorrect electronic arrangement is 1) 2, 8, 13, 1 2) 2, 8, 12, 2 3) 2, 8, 8, 1 4) 2, 8, 8, 2 15. Given this set of quantum numbers for a multi-electron atom 2, 0, 0, and –1/2. The next higher allowed set of n and l for this atom in its ground state 1) n = 2, l = 0 2) n = 2, l = 1 3) n = 3, l = 0 4) n = 3, l = 1 16. Which one of the following pairs of atoms/ions have identical ground state configurations? 1) Li+ and He+ 2) Cl– and Ar 3) Na and K 4) F+ and Ne 17. The atomic number of an element ‘M’ is 26. How many electrons are present in the M-shell of the element in its M3+ state ? 1) 11 2) 15 3) 14 3) 13 18. Consider the ground state of Cr atom (Z = 24). The numbers of electrons with the azimuthal quantum numbers, l = 1 and 2 are, respectively 1) 12 and 4 2) 16 and 5 3) 16 and 4 4) 12 and 5 19. Which is the first element to have 4d-electron in its electronic configurations 1) Ca 2) Sc 3) Y 4) La 20. In the ground state, an element has 13 electrons in its “M - shell”. The element is 1) Copper 2) Chromium 3) Nickel 4) Iron 21. (A) : The electronic configuration of Cr is [Ar]3d54s1 but not [Ar]3d44s2. (R) : Lowering energy with configuration [Ar]3d54s1 is more than that with configuration [Ar]3d44s2. 1) Both (A) and (R) are true and (R) is the correct explanation of (A) 2) Both (A) and (R) are true and (R) is not the correct explanation of (A) 3) (A) is true but (R) is false 4) (A) is false but (R) is true 22. The electrons identified by quantum numbers n and l are I) n = 4, l = 1 II) n = 4, l = 0 III) n = 3, l = 2 IV) n = 3, l = 1 can be placed in order of increasing energy as 1) IV II III I 2) II IV I III 3) I III II IV 4) III I IV II 23. Which of the following statement(s) is/are consistent with the Bohr theory of the atom (and no others) ? A) An electron can remain in a praticular orbit as long as it continuously absorbs radiation of a definite frequency. B) The lowest energy orbits are those closest to the nucleus. C) All electrons can jump from the K shell to the M shell by emitting ratiation of a definite frequency. 1) A,B,C 2) B Only 3) C Only 4) A,B
  • 54.
    56 ELITE SERIESfor Sri Chaitanya Jr. ICON Students OBJECTIVE CHEMISTRY IA ATOMIC STRUCTURE D D D D 24. Give the correct order of initials T (True) or F (False) for following statements. (I) If electron has zero magnetic quantum number, then it must be present in s-orbital. (II) In orbital diagram, pauli’s exclusion principle is violated. (III) Bohr’s model can explain spectrum of the hydrogen atom. (IV) A d-orbital can accommodate maximum 10 electrons only. 1) TTFF 2) FFTF 3) TFTT 4) FFTT 25. The orbital diagram in which the Aufbau principle is violated is 1) ↑ ↑↓ ↑ ↑ 2) ↑ ↑↓ ↑ ↓ 3) ↑ ↑ ↑ ↑ ↓ 4) ↑ ↑ ↑ ↑ ↓ ↓ ↓ 26. The number of angular nodal planes are same in the orbitals: 1) 3p and 4p 2) 3s and 4d 3) 4s and 3p 4) 4s and 3d 27. The wave length of first member of Balmer series of a hydrogen atom is nearly (The value of Rydberg constant is 1.08 × 107m–1) 1) 4400A° 2) 5500A° 3) 6600A° 4) 7700A° 28. The wave length of E H line of Balmer series of a hydrogen atom is nearly (R = 1.08 × 107m–1) 1) 4090A° 2) 5400A° 3) 6800A° 4) 7200A° 29. The first emission line of hydrogen atomic spectrum in the Balmer series with respect to the Rydberg constant, R is 1) 1 5R cm 36 2) 1 3R cm 4 3) 1 7R cm 144 4) 1 9R cm 400 30. What is the wave length of Hb line in Balmer series of hydrogen spectrum? (R = Rydberg constant) 1) 36/5R 2) 5R/36 3) 3R/16 4) 16/3R 31. Uncertainity in position of a minute particle of mass 25g in space is 10–5 m. What is the uncertainity in its velocity (in ms–1) ? (h = 6.6 × 10–34 Js) 1) 2.1 × 10–34 2) 0.5 × 19–34 3) 2.1 × 10–28 4) 0.5 × 10–23 32. The uncertainity in momentum of an electron is 1 × 10–5 kg.m/s. The uncertainity in its position will be (h = 6.62 × 10–34 kg.m/s) 1) 1.05 × 10–28 m 2) 1.05 × 10–26 m 3) 5.27 × 10–30 m 4) 5.27 × 10–28 m 33. The uncertainity in the momentum of a particle is 3.31 × 10–2 kgms–1. The uncertainity in its position is (in metres) 1) 1.59 × 10–33 2) 0.33 × 10–30 3) 0.4 × 10–20 4) 3.3 × 10–24 34. The shape of orbital for which l = 1 is 1) Spherical 2) Dumb-bell 3) Double dumb-bell 4) Circular
  • 55.
    ATOMIC STRUCTURE 57 OBJECTIVE CHEMISTRYIA ELITE SERIES for Sri Chaitanya Jr. ICON Students D D D D 35. The maximum number of electrons in a sub-shell is given by the expression. 1) (l + 2) 2) (2l + 2) 3) (4l + 2) 4) (l + 1) 36. The magnetic quantum number, m for the outermost electron in the sodium atom is 1) 1 2) 0 3) 2 4) –1 37. For the configuration 1s22s1, the quantum numbers for the outermost electron are 1) 2,1,0, –1/2 2) 2,0,0,+1/2 3) 2,1,0,+1/2 4) 2,0,1,+1/2 38. The maximum number of electrons that a p-orbital can accomodate is 1) 6 2) 2 3) 10 4) 14 39. The number of orbitals in the quantum level n = 4 is 1) 4 2) 9 3) 16 4) 18 40. The quantum number which is equal for all the d-electrons in an atom is 1) l 2) m 3) s 4) n 41. Correct set of four quantum numbers for the valence electron of Rubidium (Z = 37) is 1) 5, 0, 0, +1/2 2) 5, 1, 0, +1/2 3) 5, 1, 1, +1/2 4) 6, 0, 0, +1/2 42. n, l and m values of the 2pz orbital are 1) 3,2,1 2) 2,1,0 3) 1,2,0 4) 2,0,1 43. The azimuthal quantum number for the last electron in sodium atom is 1) 1 2) 2 3) 0 4) 3 44. Which of the following electronic cofiguration corresponds to an inert gas ? 1) 1s22s22p5 2) 1s22s22p6 3) 1s22s22p63s1 4) 1s22s2 45. The reason for chromium to have [Ar]3d54s1 configuration instead of [Ar]3d44s2 is 1) Pauli’s exclusion principle 2) Aufbau principle 3) more exchange energy 4) Heisenberg’s principle 46. Which of the following configuration is not possible? 1) 2p2 2) 3f7 3) 3d5 4) 4p6 47. Which of the following ions is not isoelectronic with O2– 1) N3– 2) F– 3) Ti+ 4) Na+ 48. Number of valence electrons in carbon is 1) 3 2) 1 3) 4 4) 0 49. The orbital diagram in which both the Pauli’s exclusing principle and Hund’s rule are violated, is: 1) ↓ ↓ ↓ ↑↓ 2) ↑↓ ↑↓ ↑↓ ↑ 3) ↑↓ ↑↓ ↑↓ 4) ↑↓ ↑ ↑↓ ↑ 50. The ratio of magnetic moments of Fe (III) and Co (II) is: 1) 5 : 7 2) 35 : 15 3) 7 : 3 4) 24 : 15
  • 56.
    58 ELITE SERIESfor Sri Chaitanya Jr. ICON Students OBJECTIVE CHEMISTRY IA ATOMIC STRUCTURE D D D D 51. If the electronic structure of oxygen atom is written as 1s2, 2s2 ↓ ↑ ↑↓ 2p → ← it would violate 1) Hund’s rule 2) Paulis exclusion principle 3) Both Hund’s and Pauli’s principles 4) Aufbau’s principle LEVEL-II LECTURE SHEET (ADVANCED) More than One correct answer Type Questions 1. According to Bohr’s atomic theory, which of the following relation(s) is (are) correct ? a) Kinetic energy of electron 2 2 Z n t b) The product of velocity of electron and the principal quantum number 2 Z t c) Frequency of revolution of the electron in an orbit 2 3 Z n t d) Coulombic force of attraction on the electron 3 4 Z n t . 2. The radius of certain orbit of H-atom is 2.12 A. Then the energy of that energy level is a) 13.6 eV /atom 4 b) 18 2.18 10 J /atom 4 s c) 1312 KJ /atom 4 d) 1313.6 KCal /mole 4 3. The incorrect relation (s) about the velocity of photon is(are) a) Dependent on its wavelength b) Depend on its intensity c) equal to cube of its amplitude d) Independent of its wavelength 4. Choose the correct statements among the following a) A node is a point in space where the wave-funtion Z has zero amplitude b) The number of maximum (peaks) in radial probability distribution function is (n–l) c) Radial probability density is 2 2 n, 4 r R (r) Q l d) 2 Z represents probability of finding electron 5. Select the correct statement(s): a) An orbital with l = 0 is symmetrical about the nucleus b) an orbital with l = 1 is spherically symmetrical about the nucleus c) 2 z 3d is spherically symmetrical about the z-axis d) All are correct 6. How do the energy gaps between successive electron energy levels in an atom vary from low to high n values? a) all energy gaps are not similar b) the energy gap decreases as n increases c) the energy gap increases as n incareases d) the energy gap change unpredictably as n increases K K
  • 57.
    ATOMIC STRUCTURE 59 OBJECTIVE CHEMISTRYIA ELITE SERIES for Sri Chaitanya Jr. ICON Students D D D D 7. According to Einstein photoelectic equation, the incorrect graph between kinetic energy of photolectrons ejected and the frequency of the incident radiation is: a) . . K E v → ↑ b) . . K E v → ↑ c) . . K E v → ↑ 0 v d) . . K E v → ↑ 8. Which arrangement of the orbitals of H-atom of their energy is correct? a) x y z xy 2s 3s 3p 3p 4s 4p 4d b) 2s 3s 4s c) x y s xy 2s 3s 3p 3p 4s 4p 4d d) x y s xy 2s 3s 3p 3p 4s 4p 4d 9. The radii of maximum probability for 3s, 3p and 3d electrons is/are not in the order: a) max 3d max 3p max 3s (r ) (r ) (r ) b) max 3d max 3s max 3p (r ) (r ) (r ) c) max 3s max 3p max 3d (r ) (r ) (r ) d) max 3d max 3s max 3p (r ) (r ) (r ) 10. Pauli’s exclusion principle does not says that: a) Nucleus of an atom contains no negative charge b) Electrons move in circular orbits around the nucleus c) Electrons occupy orbitals of lowes energy d) All the four quantum numbers of two electrons in an atom cannot be equal 11. Which of the following statements is correct ? a) The concepts of “penetration” and “shielding” are important in deciding the energetic ordering or orbitals in multi-electron atoms b) A wave-function can have positive and negative values c) “Radial nodes” can appear in radial probability distribution functions d) The absolute size of an orbital is given by the principal quantum number. 12. If ‘RH’ is the Rydberg constant, then which of the following will not represent the energy of an electron in the ground state of hydrogen atom is a) H R C h b) H 1 R Ch c) H hC R d) H R hC 13. For which of the following species, the expression for the energy of electron in nth orbit 2 1 n 2 13.6 E Z eVatom n ¨ · s © ¸ ª ¹ has the validity ? a) Tritium b) Li2+ c) Deuterium d) He2+
  • 58.
    60 ELITE SERIESfor Sri Chaitanya Jr. ICON Students OBJECTIVE CHEMISTRY IA ATOMIC STRUCTURE D D D D 14. Which of the following sets of quantum numbers is/are not possible? n l ml ms n l ml ms a) 4 4 –2 +1/2 b) 3 0 3 –1/2 c) 3 2 –3 –1/2 d) 5 3 0 +1/2 15. Whenever a hydrogen atom emits a quantum in the visible region of Balmer series: a) it may emit another quantum in Balmer series again b) it must emit another quantum in ultraviolet region of Lyman series c) second quatum of wavelength 122nm will be emitted d) second quantum will be emitted in Paschen series i.e., near infrared region 16. In which of the following conditions the de Broglie wavelength of particle A will be less than that of particle B(mA mB) ? a) Linear momentum of these particles are same b) Move with same speed c) Move with same kinetic energy d) Have fallen through same height 17. Which of the following sets of quantum numbers are allowed ? a) n = 1, l = 0 and m = 0 b) n = 2, l = 1 and m = + 1 c) n = 1, l = 0 and m = + 1 d) n = 2, l = 2 and m = 0 18. Which of the following radius of orbits in hydrogen atom are possible? a) 52.9 pm b) 182 pm c) 211 pm d) 364 pm 19. Which of the following is/are correct about the radial probability curves ? a) 2 z 3d has three angular nodes b) The number of angular nodes are l c) The number of radial nodes is equal to n–l–1 d) The number of maxima in 2s – orbitals are two 20. Which among the following is/are correct about chromium? a) Its electronic configuration is 5 1 3 4 d s b) Total spin of chromium = 3 c) Spin multiplicity of 3d-subshell of chromium = 6 d) Magnetic moment of chromium is 48 21. Select the correct statement(s): a) In wave mechanical model the energy of e– in the orbital remains same b) dxy orbital is lies in yz plane c) Nodal planes are yz and xy in 2 2 x y d orbital d) Rest mass of photon is zero and increases with it’s velocity
  • 59.
    ATOMIC STRUCTURE 61 OBJECTIVE CHEMISTRYIA ELITE SERIES for Sri Chaitanya Jr. ICON Students D D D D Linked Comprehension Type Questions Passage-I : When a beam of photons of a suitable frequency strikes the metal surface, electrons are emitted from metal. This process is called photoelectric effect. The effect occurs when energy of incident beam is greater than that of the work function 22. Which of the following graphs represents photoelectric effect a) ϑ K.E b) ϑ K.E c) ϑ K.E d) ϑ K.E → 23. The graph between photo electron current (c) and intensity of photon (I) a) C I b) C I c) C I d) C I 24. The kinetic energy of the photoelectrons does not depend upon a) Intensity of incident radiation b) Frequency of incident radiation c) Wavelength of incident radiation d) Wave number of the incident radiation Passage-II : The letters n, l and m proposed by Bohr, Sommerfeld and Zeeman respectively for quantization of angular momentum in classical physics were later on obtained as the results of solution of Schrodinger wave equation based on quantum mechanics. The term n, l, m were named as principal quantum number, azimuthal quantum number and magnetic quantum number respectively. The fourth quantum number i.e., spin quantum number(s) was given by Uhlenback on the basis of two spins of electrons. The first two quantum numbers also decides the nodes of an orbital. 25. The numerical value 4,3,0 Z denotes a) 3d-orbital b) 4f-orbital c) 2s-orbital d) 4d-orbital 26. The angular momentum of 3p-orbitals in terms of h h h 2 ¥ ´ ¦ µ § ¶ Q is a) 2h b) 2h c) h 2 d) h 2Q 27. Which statement about energy level in H-atom is correct ? a) Only n and l decide energy level b) Only l decides energy level c) Only n decides energy level d) n, l and m decide energy level
  • 60.
    62 ELITE SERIESfor Sri Chaitanya Jr. ICON Students OBJECTIVE CHEMISTRY IA ATOMIC STRUCTURE D D D D Passage-III : The behaviour of an electron in an atom is described mathematically by a wave function, or orbital. It turns out that each wave function contains three variables, called quantum numbers, which are represented as n, l and ml. These quantum numbers describe the energy level of an orbital and define the shape and orientation of the region in space where the electron will be found. 28. Which quantum number determines orientation of the electron ? a) Principal b) Secondary c) Magnetic d) Spin 29. Radial nodes are maximum in a) 4s b) 4p c) 3d d) 5f 30. Consider following statements i) Splitting of spectral line occurs when placed in a magnetic field or in an electric field ii) In case of 1s-orbital, the density of the charge cloud is the greatest at the nucleus and falls off with the distance. The density (at a particular distance) is uniform iii) Electron-density is concentrated along a particular direction in case of 2p-orbital. iv) A p-orbital can take maximum of six electrons. Select the correct option a) i, ii, iv b) i, ii, iii c) ii, iii, iv d) i, iii, iv Passage-IV : The behaviour of an electron in an atom is described mathematically by a wave function, or orbital. Spin of the electron produce angular momentum equal to h S s s 1 2 Q where 1 S 2 . Total spin of an atom n n or 2 2 ; Where n is the number of unpaired electron. The substance which contain species with unpaired electrons in their orbitals behave as paramagnetic substances. The paramagnetism is expressed in terms of magnetic moment the magnetic moment of an atom s eh n n eh n s(s 1) 1 ; s 2 mc 2 2 2 mc 2 ¥ ´ N ¦ µ § ¶ Q Q s n(n 2) N B.M n = number of unpaired electrons 1 B.M. (Bohr magneton) eh 4 mc Q If magnetic moment is zero the substances is di-magnetic. 31. Which of the following ion has lowest magnetic moement. a) Fe2+ b) Mn2+ c) Cr3+ d) V3+ 32. If an ion of 25Mn has a magnetic of 3.873 B.M. Then Mn is in which state. a) + 2 b) + 3 c) + 4 d) + 5
  • 61.
    ATOMIC STRUCTURE 63 OBJECTIVE CHEMISTRYIA ELITE SERIES for Sri Chaitanya Jr. ICON Students D D D D Matrix Matching Type Questions 33. Column-I Column-II A) Electron moving in 2nd orbit in He+ ion P) Radius of orbit in which electron is moving is 0.529Å B) Electron moving in 3rd orbit in H-atom Q) Total energy of electron is (–)13.6 × 9eV C) Electron moving in 1st orbit in Li+2 ion R) Velocity of electron is 6 2.188 10 3 s m/sec D) Electron moving in 2nd orbit is Be+3 ion S) De-broglie wavelength of electron is 150 13.6 Å 34. Column-I Column-II contain data on Schrondinger Wave–Mechanical model, where symbols have their usual meanings. Match the columns. Column-I Column-II (Type of orbital) A) P) 4s B) Q) 5px C) Y(q, f) = K (independent of q f) R) 3s D) atleast one angular node is present S) 6dxy 35. Column-I Column-II A) Orbital angular momentum of an Electron P) h s(s 1) 2Q B) Angular momentum of an electron in an orbit Q) n(n 2) C) Spin angular momentum of an electron R) nh 2Q D) Magnetic moment of atom S) h ( 1) 2Q l l 36. Match Column-I with Column-II and select the correct answer: Column-I Column-II (‘l’ and ‘m’ are respectively the azimuthal and magnetic quantum numbers) A) Number of values of (l) for an energy level P) 0, 1, 2, ....(n–1) B) Actual values of (l) for an energy level Q) +l, ...+2, +1, 0, –1, –2, .....–l C) Number of ‘m’ values for a particular type of orbital R) (2l + 1) D) Actual values of ‘m’ for a particular type of orbital S) n
  • 62.
    64 ELITE SERIESfor Sri Chaitanya Jr. ICON Students OBJECTIVE CHEMISTRY IA ATOMIC STRUCTURE D D D D 37. Column-I Column-II A) 2s P) n = 4, l = 2, m = 0 B) 2pz Q) n = 4, l = 2, m = – 2 or + 2 C) 2 2 x y 4d R) n = 2, l = 0, m = 0 D) 2 z 4d S) n = 2, l = 0, m = 0 Integer Type Questions 38. In a sample of excited hydrogen atoms electrons make transition from n = 2 to n = 1. Emitted photons strike on a metal of work function ( ) G 4.2 eV. Calcualte the wavelength (in A°) associated with ejected electrons having maximum kinetic energy. 39. If the electron in hydrogen atom jumps from the third orbit to second orbit, the wavelength of the emitted radiation is given by 36 xR M . The value of x is 40. Which state of the triply ionized Beryllium (Be3+) has the same orbit radius as that of the ground state of hydrogen atom ? 41. Difference between the wave length of 1st line of Balmer series and last line of Paschen series for Li+2 ion is H 1 xR then ‘x’ is 42. The amount of energy required to remove the electron from a Li+2 ion in its ground state is x times that of the amount of energy required to remove the electron from an H-atom in its ground state find ‘x’ 43. If each hydrogen atom in the ground state, 1.0 mole of H atoms are excited by absrobing photons of energy 8.4 eV, 12.09 eV and 15.0 eV of energy, then the number of spectral lines emitted is equal to 44. For 1s orbital Hydrogen atom radial wave function is given as: 0 3/2 r /a 0 1 1 R(r) e a ¥ ´ ¦ µ § ¶ Q (where a0 = 0.529A°). The ratio of radial probability density of finding electron at r = a0 to the radial probability density of finding electron at the nucleus is given as (x.e–y). Calculate the value of (x + y). PRACTICE SHEET (ADVANCED) More than One correct answer Type Questions 1. The aufbau principle implies that a new electron will enter an orbital for which a) (n + l) is minimum b) l has a lower value c) (n + l) value is maximum d) if (n + l) value is same then lower n value is preferable 2. Equal number of total nodes is present in a) 5s b) 5p c) 5d d) 4f 3. Which electronic level would allow the hydrogen atom to emit a photon but not to absorb a photon? a) 3 b) 2 c) 1 d) 4
  • 63.
    ATOMIC STRUCTURE 65 OBJECTIVE CHEMISTRYIA ELITE SERIES for Sri Chaitanya Jr. ICON Students D D D D 4. A hydrogen sample is prepared in a particular excited state A. Photons of energy 2.55eV/atom get absorbed into the sample to take some of the electrons to a further excited state B. As per the number of photons when an electron in the higher excited state returns to the ground state, which of the following are may not be possible? a) 15 b) 10 c) 6 d) 3 5. Radius of 3rd orbit of Li2+ ion is x cm then which is not the de Broglie wavelength of electrons in the first orbit is (in cm) a) 6 x Q b) 2 x 9 Q c) 2 x 3 Q d) 8 x 3 Q 6. In an oil drop experiment, the following charges (in arbitrary units) were found on a series of oil droplets : 2.30×10–15, 6.90 × 10–15, 1.38 × 10–14, 5.75 × 10–15, 3.45 × 10–15, 1.96 × 10–14. The experimental value suggests not possible magnitude of the charge on the electron is (in the same arbitrary unit) a) 2.30 × 10–15 b) 1.38 × 10–14 c) 6.90 × 10–15 d) 1.15 × 10–15 7. Which of the following is not the ratio of frequency of revolution of electron in the 2nd excited state of He+ and 2nd state of hydrogen is: a) 27 32 b) 32 27 c) 1 54 d) 27 2 8. A photon with a wavelength of 4000A° is used to break the iodine molecule, then the % of energy converted to the K.E. of iodine atoms if bond dissociation energy of I2 molecule is 246.5 kJ/mol a) 8% b) 12% c) 17% d) 25% 9. When lithium is irradiated with light, one finds a stopping potential of 1.83V for M = 3000A° and 0.80V for M = 4000A°. With the known charge on the electron, the work function of lithium is a) 4.6eV b) 3.68 × 10–19 J c) 2.3 eV d) 1.2 eV 10. The correct Schordinger’s wave equation for a electron with total energy E and potential energy V is not correctly given by a) 2 2 2 2 2 2 2 2 8 (E V) 0 x z z mh u : u : u : Q : u u u b) 2 2 2 2 2 2 2 8 m (E V) 0 x y z h u : u : u : Q : u u u c) 2 2 2 2 2 2 2 2 8 m (E V) 0 x y z h u : u : u : Q : u u u d) 2 0  Z 11. 2 (r, , ) : R G represents (for schrodinger wave mechanical model) a) Amplitude of electron wave b) Probability density of electron c) product with 2 4 r dr Q givesTotal probability density of electron d) Orbit 12. For 4py orbital There is/are a) 1 nodal plane b) 2 nodal planes c) 1 radial node d) 2 radial nodes
  • 64.
    66 ELITE SERIESfor Sri Chaitanya Jr. ICON Students OBJECTIVE CHEMISTRY IA ATOMIC STRUCTURE D D D D 13. Select the correct statement(s) regarding 3pyorbital a) Total no. of nodes are 2 b) Number of maximuma in the curve 2 2 4 r R Q vs r are two c) Quantum no. n, l and m for orbital may be 3,1,–1 respectively d) The magnetic quantum number may have a positive value 14. Select the correct statement(s): a) Radial function [R(r)] a part of wave function is dependent on quantum number n only b) angular function depends only on the direction, and is dependent to the distance from the nucleus c) 2 (r, , ) : R G is the probability density of finding the electron at a particular point in space d) Radial distribution function 2 (4 r ) Q gives the probability of the electron being present at a distance r from the nucleus 15. For which of the following orbital, the radial as well as number of nodal planes have all the same value ? a) 3px b) 4py c) 3s d) 5d xy 16. A proton and an B -particle are accelerated through the same potential difference. The incorrect ratio of the de-Broglie wave length of proton and B -particle is a) 2 b) 1 2 c) 2 2 d) 2 17. Incorrect Wave number of the second line of Paschen series for H is (R = 109700 cm–1) a) 18750 Å b) 3452 Å c) 7801 Å d) 1542656 Å 18. Photoelectric emission is observed from a surface for frequencies n1 and n2 of the incident radiation (n1 n2). If the maximum K.E. of the photoelectrons in two cases are in ratio 1 : K, then the incorrect expression for threshold frequency is a) 2 1 K 1 V V b) 1 2 K K 1 V V c) 2 1 K K 1 V V d) 2 1 K V V 19. A particle A moving with a certain velocity has a de-Broglie wavelength of 1 Å. If particle B has mass 25% of that A and velocity 75% of that of A, the l of B will not be a) 1 Å b) 5.3 Å c) 0.2 Å d) 3 Å 20. The radius of first Bohr orbit is x, then de-Broglie wavelength of electron in 3rd orbit is not a) 2 x Q b) 6 x Q c) 9 x Q d) x /3 Q 21. If E1, E2 and E3 represent respectively the kinetic energies of an electron, an alpha particle and a proton respectively each having same deBroblie wavelength then which is incorrect relation? a) E1 E3 E2 b) E2 E3 E1 c) E1 E2 E3 d) E1 = E2 = E3 22. Electronic transition in He ion takes from n2 to n1 shell such that : 2n2 + 3n1 = 18 ; 2n2 – 3n1 = 6 What will be the total number of photons emitted when electrons transit to n1 shell ? a) 21 b) 15 c) 20 d) 10
  • 65.
    ATOMIC STRUCTURE 67 OBJECTIVE CHEMISTRYIA ELITE SERIES for Sri Chaitanya Jr. ICON Students D D D D 23. For which of the following sets of quantum numbers, an electron will have the highest energy ? n l m s n l m s a) 3 2 1 –1/2 b) 4 3 –1 +1/2 c) 4 1 –1 +1/2 d) 5 0 0 –1/2 24. Which of the following statements concerning the four quantum numbers is true? a) n gives idea of the size of an orbit b) l gives the shape of an orbital c) m gives the energy of the electron in the orbital d) s gives the direction of spin of the electron in an orbital 25. d6 configuration will not result in total spin of: a) 3 2 b) 1 2 c) 2 d) 4 26. The probability of finding electrons in dxy orbital is: a) zero along X-and Y-axis b) maximum along X-and Z-axis c) maximum along Y-and Z-axis d) maximum at an angle of 45° with X-axis 27. In a hydrogen like atom, electron is in 2nd excited state, the binding energy of fourth state of this atom is 13.6 eV, then a) A 25 eV photon can set free the electron from the second excited state of this sample. b) 3 different types of photon will be observed if electrons make transition up to ground state from the second excited state c) If 23 eV photon is used then K.E. of the ejected electron is 1eV. d) 2nd line of balmer series of this sample has same energy value as 1st excitation energy of H-atoms 28. In which of the following situations the heavier of two particles will have smaller de-Broglie wave length. When the two particles: a) move with same speed b) move with same linear momentum c) move with same kinetic energy d) have fallen from same height 29. A hydrogen-like atom (atomic number Z) is in a higher excited state of quantum number n. This excited atom can make a transition to the first excited state by successively emitting two photons of energies 10.20 eV and 17.00 eV Respectively. Alternatively, the atom from the same excited state can make a transition to the second excited state by successively emitting two photons of energy 4.25 eV and 5.95 eV respectively. Determine the values of n and Z. a) n = 5 b) z = 2 c) n = 6 d) z = 3 30. In an electron transition of hydrogen atom, orbital angular momentum may change by : a) h b) h Q c) h 2Q d) h 4Q
  • 66.
    68 ELITE SERIESfor Sri Chaitanya Jr. ICON Students OBJECTIVE CHEMISTRY IA ATOMIC STRUCTURE D D D D 31. 3 n = 2 n = 1 n = 1 2 3 For above transitions in hydrogen like atoms, select the correct relation(s). a) 3 1 2 v v v b) 1 2 3 1 2 v v v v v c) 3 1 2 M M M d) 1 2 3 1 2 M M M M M 32. If the electron of the hydrogen atom is replaced by another particle of same charge but of the double mass, then : a) radii of different shells will increase b) energy gap between two levels will become double c) ionization energy of the atom will be double d) speed of new particle in a shell will be lesser than the speed of electron in the same shell 33. The radial distribution function [P(r)] is used to determine the most probable radius, which is used to find the electron in a given orgital dP(r) dr for 1s– orbital of hydrogen like atom having atomic num- ber Z, is 0 3 2 2Zr /a 3 0 0 dP 4Z 2Zr 2r e dr a a ¥ ´ ¦ µ § ¶ : Then which is the following statements is/are correct ? a) At the point of maximum value of radial distribution function dP(r) 0 dr ; one anti-node is present b) Most probable radius of Li2+ is 0 a 3 pm c) Most probable radius of He+ is 0 a 2 d) Most probable radius of He+ is 0 a 2 Linked Comprehension Type Questions Passage : When electron jumps from higher orbit to lower orbit, then energy is radiated in the form of electro- magnetic radiation and these radiations are used to record the emission spectrum Energy of electron may be calculated as 2 2 4 e 2 2 2 m Z e E n h Q where, me = rest mass of electron 2 1 2 n n 2 2 1 2 1 1 E (E E ) 13.6 Z eV n n ¨ · % s s © ¸ ª ¹ per atom This equation was also used by Rydberg to calculate the wave number of a particular line in the spectrum. 2 1 H 2 2 1 2 1 1 1 R Z m n n ¨ · V © ¸ M ª ¹
  • 67.
    ATOMIC STRUCTURE 69 OBJECTIVE CHEMISTRYIA ELITE SERIES for Sri Chaitanya Jr. ICON Students D D D D where, RH = 1.1 × 107 m–1 (Rydberg constant) For Lyman, Balmer, Paschen, Brackett and Pfund series the value of n1 = 1,2,3,4,5 respectively and 2 n d for series limit, If an electron jumps from higher orbit n to ground state than number of spectral line will be nC2. Ritz modified the Rydberg equation by replacing the rest mass of electron with reduced mass ( ) N . N e 1 1 1 m m N ; Here, mN = mass of nucleus, me = mass of electron. 34. The emission spectrum of He+ involves transition of electron from n1 mn2 such that n2 + n1 = 8 and n2 – n1 = 4. What will be the total number of lines in the spectrum? a) 10 b) 15 c) 20 d) 21 35. What will be the value of modified Rydberg’s constant, if the nucleus having mass mN and the electron having mass merevolve around the centrer of the mass? a) N H e m R m s b) e H N m R m s c) e H N e m R m m s d) N H N e m R m m s 36. The ratio of the wavelength of the first line to that of second line of Paschen series of H-atom is: a) 256 : 175 b) 175 : 256 c) 15 : 16 d) 16 : 15 Matrix Matching Type Questions 37. Column-I Column-II A) Cathode rays P) Helium nuclei B) Dumb-bell Q) Uncertainty principle C) Alpha particles R) Electromagnetic radiation D) Moseley S) p-orbital E) Heisenberg T) Atomic number F) X-rays U) Electrons Integer Type Questions 38. Photon having energy equivalent to the binding energy of 4th state of He+ atom is used to eject an electron from the metal surface of work function 1.4 eV. If electrons are further accelerated through the potential difference of 4V then the minimum value of De–broglie wavelength associated with the electron is : 39. Principal quantum number of the shell to which the g-subshell first arise is _____. 40. Spin multiplicity of p-subshell with configuration is ____. 41. When 4f level is completely filled with electrons, the next electron will enter into a subshell whose (n + l) is equal to —— 42. The maximum number of electrons that can have principal quantum number, n = 3 and spin quan- tum number ms = – 1/2 is ___. 43. The number of waves make by a Bohr electron in an orbit of maximum magnetic quantum number +2 is :
  • 68.
    70 ELITE SERIESfor Sri Chaitanya Jr. ICON Students OBJECTIVE CHEMISTRY IA ATOMIC STRUCTURE D D D D 1234567890123456789012345678901212345678901234567890123456789012123456789012345678901 1234567890123456789012345678901212345678901234567890123456789012123456789012345678901 1234567890123456789012345678901212345678901234567890123456789012123456789012345678901 1234567890123456789012345678901212345678901234567890123456789012123456789012345678901 1234567890123456789012345678901212345678901234567890123456789012123456789012345678901 1234567890123456789012345678901212345678901234567890123456789012123456789012345678901 44. + (Distance from nucleus) r Radi al Proba bility function R - Number of nodes in above plot is: 45. Calculate the value of A. 1,2 2,1 E A 2E where n,z E Energy of electron in nth orbit, Z = atomic number of hydrogen like specie. KEY SHEET (ADDITIONAL PRACTICE EXERCISE) LEVEL-I (MAIN) 1) 2 2) 2 3) 1 4) 3 5) 4 6) 1 7) 4 8) 2 9) 2 10) 3 11) 1 12) 3 13) 3 14) 2 15) 2 16) 2 17) 4 18) 4 19) 3 20) 2 21) 1 22) 1 23) 4 24) 2 25) 1 26) 1 27) 3 28) 1 29) 1 30) 4 31) 3 32) 3 33) 1 34) 2 35) 3 36) 2 37) 2 38) 2 39) 3 40) 1 41) 1 42) 2 43) 3 44) 2 45) 3 46) 2 47) 3 48) 3 49) 4 50) 2 51) 1 LEVEL-II LECTURE SHEET (ADVANCED) 1) acd 2) abd 3) abc 4) abcd 5) ac 6) ab 7) abd 8) ab 9) abd 10) abc 11) abc 12) abc 13) abc 14) ac 15) bc 16) bd 17) ab 18) ac 19) bcd 20) abcd 21) ad 22) c 23) a 24) a 25) b 26) a 27) c 28) c 29) a 30) b 31) d 32) c 33) A-S; B-R; C-Q; D-P 34) A-P; B-PQS; C-PR, D-QS 35) A-S; B-R; C-P; D-Q 36) A-S; B-P; C-Q; D-R 37) A-S; B-R; C-Q; D-P 38) 5 39) 5 40) 2 41) 5 42) 9 43) 3 44) 3 PRACTICE SHEET (ADVANCED) 1) ad 2) abc 3) abd 4) abd 5) abc 6) abc 7) acd 8) c 9) bc 10) ab 11) bc 12) ad 13) abcd 14) bcd 15) ad 16) abd 17) abd 18) acd 19) acd 20) acd 21) bcd 22) d 23) b 24) abd 25) abd 26) ad 27) ab 28) acd 29) cd 30) bc 31) ad 32) cd 33) abcd 34) a 35) d 36) b 37) A-U; B-S; C-R; D-S; E-Q; F-R 38) 5 39) 5 40) 4 41) 7 42) 9 43) 3 44) 1 45) 8 NNN J J