Embed presentation
Download as PDF, PPTX










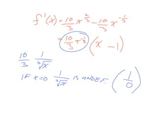
The document contains 5 practice questions about derivatives and calculus concepts. Question 1 asks about the interval on which a function is increasing. Question 2 asks about the number of inputs where a condition is true. Question 3 analyzes the concavity and behavior of a function based on its derivative values. Question 4 calculates the derivative of a related function. Question 5 determines the value of k if a function has a local minimum.








