Embed presentation
Download to read offline








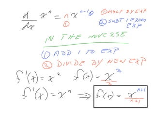
The document discusses rules for taking derivatives, including power rule, product rule, quotient rule, and chain rule. It asks the reader to find derivatives of functions, identify parent functions from derivatives, list derivative rules, and apply the chain rule to identify inner and outer functions of composite functions.






