FLUIDIZED BED COMBUSTIONS FOR
ENERGY CONVERSIONS
BY
Shravani Kasaragadda (W268D427)
Goutham Chinni (K474R658)
Gopi Krishna Mandadi(K353X443)
CONTENTS
• Introduction
• Literature review
• Experimental
• Results & discussions
• Conclusions
• Future work
• References
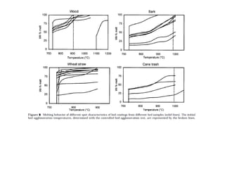
RESULTS AND DISCUSSIONS
• The examinations of the samples by using scanning
electron microscope for the bed materials have
shown that a thickness for the coating ranges from
10-50 µm was conformed to all bed particles.
Images of a polished wood bed samples on Back scattered electron
• The element corresponds for all fuels have a different
ratios for all the coatings from the elements like
Silicon (Si), Potassium (K), Sodium (Na), Iron (Fe),
Calcium (Ca) and Aluminum (Al) and it varies on all
the elements by differentiating silicates.
• By the analysis of the coatings from the results of
fuel ash elemental samples data, we can state that
the elements distribution varies significantly and also
based upon this distribution comparison the ash
analysis of the fuel doesn’t provide a good reliable as
the tendency of the element bed agglomeration may
differ from the actual coating.
• The Results of SEM/EDS analyses states that bed
particles which are covered using the layers are
homogeneous and the coatings of all the elements
vary because of using different fuels and samples for
bed.
From the chemical sub processes for the mechanism
of bed agglomeration, we can state that:
• The deposition of the ash on the material of the
bed is dominated by combining smaller particles or
elements on the bed particles surfaces.
• As the bed particles are followed by continuous
deposition then the inner layer becomes
strengthened by using sintering.
CONCLUSION
• The melting behavior of the layers by using the homogeneous layers is
controlled by using Adhesive forces. These forces are used to control the
final temperature in the agglomeration process.
• And we can conclude that the elements which are found in the fuel are
coated and this differentiates between coatings and the bed materials.
• The bed particles are coated by using ash layer which is homogeneous
and the main reason for the melting is the formation of sticky layer on
the coating material of the bed causes defluidization and this may result
in bed agglomeration.
• The characteristics of the elements depend on the coating type which
results in the melting behavior and from results we can say that the
melts (silicon) are the main reason for the process of agglomeration.

AE-ppt

  • 1.
    FLUIDIZED BED COMBUSTIONSFOR ENERGY CONVERSIONS BY Shravani Kasaragadda (W268D427) Goutham Chinni (K474R658) Gopi Krishna Mandadi(K353X443)
  • 2.
    CONTENTS • Introduction • Literaturereview • Experimental • Results & discussions • Conclusions • Future work • References
  • 3.
    RESULTS AND DISCUSSIONS •The examinations of the samples by using scanning electron microscope for the bed materials have shown that a thickness for the coating ranges from 10-50 µm was conformed to all bed particles. Images of a polished wood bed samples on Back scattered electron
  • 4.
    • The elementcorresponds for all fuels have a different ratios for all the coatings from the elements like Silicon (Si), Potassium (K), Sodium (Na), Iron (Fe), Calcium (Ca) and Aluminum (Al) and it varies on all the elements by differentiating silicates.
  • 5.
    • By theanalysis of the coatings from the results of fuel ash elemental samples data, we can state that the elements distribution varies significantly and also based upon this distribution comparison the ash analysis of the fuel doesn’t provide a good reliable as the tendency of the element bed agglomeration may differ from the actual coating. • The Results of SEM/EDS analyses states that bed particles which are covered using the layers are homogeneous and the coatings of all the elements vary because of using different fuels and samples for bed.
  • 7.
    From the chemicalsub processes for the mechanism of bed agglomeration, we can state that: • The deposition of the ash on the material of the bed is dominated by combining smaller particles or elements on the bed particles surfaces. • As the bed particles are followed by continuous deposition then the inner layer becomes strengthened by using sintering.
  • 8.
    CONCLUSION • The meltingbehavior of the layers by using the homogeneous layers is controlled by using Adhesive forces. These forces are used to control the final temperature in the agglomeration process. • And we can conclude that the elements which are found in the fuel are coated and this differentiates between coatings and the bed materials. • The bed particles are coated by using ash layer which is homogeneous and the main reason for the melting is the formation of sticky layer on the coating material of the bed causes defluidization and this may result in bed agglomeration. • The characteristics of the elements depend on the coating type which results in the melting behavior and from results we can say that the melts (silicon) are the main reason for the process of agglomeration.