1
Unit III: Planning and Budgeting - The Planning Process – Project identification, Project
formulation and preparation : Market and demand estimation technical factors- Material inputs,
technology, production, plant capacity, location and site, civil works, charts, layouts, work
schedule– Role of Multidisciplinary teams. Project appraisal: Technical ,Economic, Financial,
Legal and Social appraisal of the Industrial Projects, Problems arising due to rate of discount,
wage–rate, exchange rates, treatment of taxes, social cost-benefits, treatment of risk and
uncertainty, sensitivity analysis - Project Budgeting Methods - Cost Estimating and Improvement –
Budget uncertainty and risk management - Application of Project Management software
PROJECT PLANNING
Project planning is important for business decisions. Project Planning is foreseeing with blue print
towards some predicted goals or ends. Project plan is a skeleton which consists of bundle of
activities with its future prospects; it is a guided activity. It is a plan for which resources are
allocated and efforts are being made to commence the project with great amount of preplanning,
project is a way of defining what we are hoping to do about certain issue. The project alone is not
responsible for what happens during the course of a planning. Project is a final form of written
documents that guides us as to what steps need to be taken next.
Project planning is part of project management, which relates to the use of schedules such as Gantt
charts to plan and subsequently report progress within the project environment. Initially, the project
scope is defined and the appropriate methods for completing the project are determined. Following
this step, the durations for the various tasks necessary to complete the work are listed and grouped
into a work breakdown structure. The logical dependencies between tasks are defined using an
activity network diagram that enables identification of the critical path. Float or slack time in the
schedule can be calculated using project management software. Then the necessary resources can
be estimated and costs for each activity can be allocated to each resource, giving the total project
cost. At this stage, the project plan may be optimized to achieve the appropriate balance between
resource usage and project duration to comply with the project objectives. Once established and
agreed, the plan becomes what is known as the baseline. Progress will be measured against the
baseline throughout the life of the project. Analyzing progress compared to the baseline is known as
earned value management.
 NATURE OF PROJECT PLANNING
One cannot conceive a project in a linear manner. It involves few activities, resources, constrains
and interrelationships which can be visualized easily by the human mind and planned informally.
However, when a project crosses a certain threshold level of size and complexities, informal
planning has to be substituted by formal planning. Besides that it is an open system oriented
planned change attempt which has certain parameters and dimension. So that, the need for formal
planning is indeed much greater for project work than for normal operations. The pre-defined and
outlined in detail plan of action helps than managers to perform their task more effectively and
efficiently.
There are always competing demands on the resources available in a region or a country because of
the limited availability and ever expanding human needs. Planning for the optimum utilization of
2
available resources becomes a pre-requisite for rapid economic development of a country or a
region. Project planning makes a possible to list out the priorities and promising projects with a
view to exercising national choice among various alternatives available. It is a tool by which a
planner can identify a good project and to make sound investment decisions.
 NEED FOR PROJECT PLANNING
One of the objectives of project planning is to completely define all work requested so that it will be
readily identifiable to each project participant. Besides that there are four basic reasons for project
planning.
 To eliminate or reduce uncertainty.
 To improve efficiency of the operation.
 To obtain a better understanding of the objectives.
 To provide a basis for monitoring and controlling work.
 FUNCTIONS OF PROJECT PLANNING
The following functions are to be performed carefully in the Project Planning process.
· It should provide a basis for organizing the work on the project and allocating responsibilities to
individuals.
· It is a means of communication and co-ordination between all those involved in the project.
· It induces the people to look ahead.
· It instills a sense of urgency and time consciousness
· It establishes the basis for monitoring and control.
In planning a project, the project manner must structure the work into small elements that are:
Manageable, independent, Integratable and also measurable in terms of progress. Project planning
must be systematic and flexible enough to handle unique activities, disciplined through reviews and
control and capable of accepting multifunctional inputs.
PLANNING PROCESS
Managing the Planning Process
Mainly includes
1. Project identification
2. Project formulation
3. Project preparation
1. What, for how much, and by when?
Define the project objectives, project scope, and system requirements. These specify the project
deliverables, end-items, and other sought results, as well as the time, cost, and performance targets.
The scope and requirements include criteria the customer will use to determine the acceptability of
deliverables or end-items at project completion.
2. How?
Define the specific work activities, tasks, or jobs to be done to achieve the objectives and
requirements. The activities must include everything necessary to create and deliver the promised
3
end-item or deliverables, including activities for planning, control, and administration of the
project.
3. Who?
Create the project organization that will perform and manage the work. This involves identifying
the departments, subcontractors, and managers that will comprise the project, and specifying their
responsibilities.
4. When, in what order?
Prepare a schedule showing the timing of work activities, including deadlines and milestone dates.
5. How much and when?
Prepare a budget and resource plan that allocates funding and other resources to support work
activities as necessary according to the project schedule.
6. How well?
Prepare a plan to review and control work performance after the project has begun to keep the
project on track, i.e., to ensure that it conforms to schedule, budget, and user and system
requirements.
7. Repeat: How Much, When, and How Well?
As needed, revise and fill in aspects of the plan to reflect recent information, current project
progress, and updated estimates of the time and cost to complete the project.
Project Planning Structure
The various activities involved in Project planning is given in the following chart as Project
Planning Structure.
Work Description Network
And Instruction Scheduling
Project Objectives Master Schedules
Management
Decision making Budgets
Reports
Time/Cost
Performance
THE PROJECT MASTER PLAN
Planning for the project begins early in the project life cycle—even before the project is authorized.
In most cases it begins with preparation of the proposal, during which a rudimentary project team is
organized and major decisions about the necessary resources are made. The team prepares a project
4
summary plan for inclusion in the proposal using the same will be used later to develop a more-
elaborate and more-detailed master plan. The difference between the summary plan in the proposal
and the project master plan is that the former is intended for the customer, the latter for the project
team.
The purpose of preparing the project master plan is to work out the details of the project and create
a roadmap that will guide the project team throughout the execution of the project.
 Contents of Master Plans
Elements of a project master plan
I. Scope, charter, or statement or work
Overview description of the project oriented toward management, customer, and stakeholders,
includes a brief description of the project, objectives, overall requirements, constraints, risks,
problem areas, and solutions, master schedule showing major events and milestones.
II. Management and organization section
Project organization, management, and personnel requirements:
A. Project management and organization: key personnel and authority relationships.
B. Manpower: workforce requirements estimates—skills, expertise, and strategies for locating and
recruiting qualified people.
C. Training and development: executive development and personnel training necessary to support
the project.
III. Technical section
Major project activities, timing, and cost:
A. High-level user requirements and system requirements.
B. Work breakdown structure: Work packages and detailed description of each, including
resources, costs, schedules, and risks. The WBS is one of the key scope management tools used to
subdivide the scope of into manageable work packages that can be estimated, planned, assigned and
controlled
C. Responsibility assignments: List of key personnel and their responsibilities for work packages
and other areas of the project.
D. Project schedules: Generalized project and task schedules showing major events, milestones,
and points of critical action or decision.
E. Budget, cost accounts, and sources of financial support: Estimates and timing of all capital and
development expenses.
F. Quality plan: Measures for monitoring quality and accepting results for individual work tasks,
components, and end-item assemblies.
G. Areas of uncertainty, and risk plan: Risk strategies, contingency and mitigation plans for areas
posing greatest risk.
H. Work review plan: Procedures for periodic review of work, what is to be reviewed, by whom,
when, and according to what standards.
I. Testing plan (may be included in work review plan): Listing of items to be tested, test procedures,
timing, and persons responsible.
5
J. Change control plan: Procedures for review and handling of requests for changes or de facto
changes to any aspect of the project.
K. Documentation policy/plan: List of documents to be produced, format, timing, and how they will
be organized and maintained.
L. Procurement policy/plan: The policy, budget, schedule, plan, and controls for all goods, work,
and services to be procured externally.
M. Implementation plan: Procedures to guide customer conversion to or adoption of project
deliverables.
 Planning and decentralizing:
The different way of allocating the activities of a project are important means of delineating various
degrees of decentralization. These are three main ways in which project planning can be
decentralized into manageable divisions viz.,
Project planning by subject
Project Planning by type of plan and
Planning in phases.
Planning by subject is a simplest way of dividing the powers of planning. The planner takes
decision on related operation and planning by subject. He plans, decides and directs the part of a
plan. He is the sale in charge of the plan from beginning to final completion.
Planning to type of plan broadly defines premises and assumptions leaving the detailing to be done
by persons at the grass root level of planning. Generally such cases involve decisions which are
rather routine and involve a lower degree of professional and financial risk.
Planning in phases is designed to several individuals who participate at the formulation stage. The
level of people involved is directly related to the phase and the degree of risk involved.
 AREAS OF PROJECT PLANNING
Comprehensive project planning covers the following:
i. Planning the project work:
The activities relating to the project must be spelt out in detail. They should be properly scheduled
and sequenced.
ii. Planning the manpower and organizations:
The manpower required for the project must be estimated and the responsibility for carrying out the
project work must be allocated.
iii. Planning the money:
The expenditure of money in a time-phased manner must be budgeted.
iv. Planning the information system:
The information required for monitoring the project must be defined.
 TYPES OF PROJECT PLAN
a) One shot or Single use plans and
b) Standing or Standard use plans.
Single use Plans: It includes programmes schedules and special ways of operating under particular
circumstances. Single Plans are meant as objectives which centre on focused and desired results. It
6
can also be known as short term plans to deal with the specific problem for specific place with
prescribed time limit.
Standing Plans: Standing plans are those plans which include policies, standard methods and
standard operation, procedures. They are designed to deal with recurring problems. It may be
treated as standard document to be used in different plans to deal with a set of problems. The design
procedure and steps are already described. It may require adjustments considering the unit of
operation.
 Different Tools of Project Planning
There are various tools of project planning
1) Work break down structure
2) Work packages
3) Project scheduling
4) Responsibility matrix
5) Budgeting
6) Forecasting
Market and demand Analysis
The exercise of project appraisal often begins with an estimation of the size of the market. Before a
detailed study of a project is undertaken, it is necessary to know, at least roughly, the size of the
market because the viability of the project depends critically on whether the anticipated level of
sales exceeds a certain volume. Many a project has been abandoned because preliminary appraisal
revealed a market of inadequate size.
Information Required For Market and Demand Analysis
The principal types of information required for market and demand analysis relate to-
(i)Effective demand in the past and present
To gauge the effective demand in the past and present, the starting point typically is apparent
consumption which is defined as-
Production + Imports – exports – changes in stock level
In a competitive market, effective demand and apparent consumption are equal.
However, in most of the developing countries, where competitive markets do not exist for a variety
of products due to exchange restrictions and controls on production and distribution, the figure of
apparent consumption may have to be adjusted for market imperfections.
(ii) Breakdown of demand
To get a deeper insight into the nature of demand, the aggregate (total) market demand may be
broken down into demand for different segments of the market. Market segments may be defined
by
(i) Nature of product,
(ii) Consumer group, and
(iii) Geographical division.
(iii) Price
7
Price statistics must be gathered along with statistics pertaining to physical quantities. It may be
helpful to distinguish the following types of prices: (i) manufacturer‘s price quoted as FOB (free on
board) price or CIF (cost, insurance, and freight) price, (ii) landed price for imported goods, (iii)
average wholesale price, and (iv) average retail price.
(iv) Methods of distribution and sales promotion
The method of distribution may vary with the nature of product. Capital goods, industrial raw
materials or intermediates, and consumer products tend to have differing distribution channels.
Further, for a given product, distribution methods may vary. Likewise, methods used for sales
promotion (advertising, discounts, gift schemes, etc.) may vary from product to product.
The methods of distribution and sales promotion employed presently and their rationale must be
studied carefully. Such a study may explain certain patterns of consumption and highlight the
difficulties that may be encountered in marketing the proposed products.
(v) Consumers
Two categories of information about the consumers may be required: demographic and sociological
information, and attitudinal information.
Under the first category, information on the following is required: age, sex, income, avocation,
residence, religion, customs, beliefs, and social background. Under the second category,
information on the following is required- preferences, intentions, attitudes, habits, and responses.
(vi) Governmental policy
The role of government in influencing the demand and market for a product may be significant.
Governmental plans, policies, legislations, and fiats which have a bearing on the market and
demand of the product under examination should be studied. These are reflected in: production
targets in national plans, import and export trade controls, import duties, export incentives, excise
duties, sales tax, industrial licensing, preferential purchases, credit controls, financial regulations,
and subsidies/penalties of various kinds.
(vii) Supply and competition
It is necessary to know the existing sources of supply and whether they are foreign or domestic. For
domestic sources of supply information along the following lines may be gathered: location, present
production capacity, planned expansion, capacity utilization level, bottlenecks in production, and
cost structure.
MARKET SURVEY
Secondary information, though useful, often does not provide a comprehensive basis for demand
and market analysis. It needs to be supplemented with primary information gathered through a
market survey, specific for the project being appraised.
The market survey may be a census survey or a sample survey. In a census survey the entire
population is covered. The information sought in a market survey may relate to one or more of the
following
(i) Total demand and rate of growth of demand; (ii) Demand in different segments of the market;
(iii) Income and price elasticity of demand; (iv) Motives for buying; (v) Purchasing plans and
intentions; (vi) Satisfaction with existing products; (vii) Unsatisfied needs; (viii) Attitudes toward
8
various products (ix) Distributive trade practices and preferences; (x) Socio-economic
characteristics of buyers.
DEMAND FORECASTING
After gathering information about various aspects of the market and demand from primary and
secondary sources, an attempt may be made to estimate future demand. Several methods are
available for demand forecasting. The important ones are—
(i) Trend projection method
(ii) Consumption level method
(iii) End use method
(iv) Leading Indicator Method
(v) Econometric method
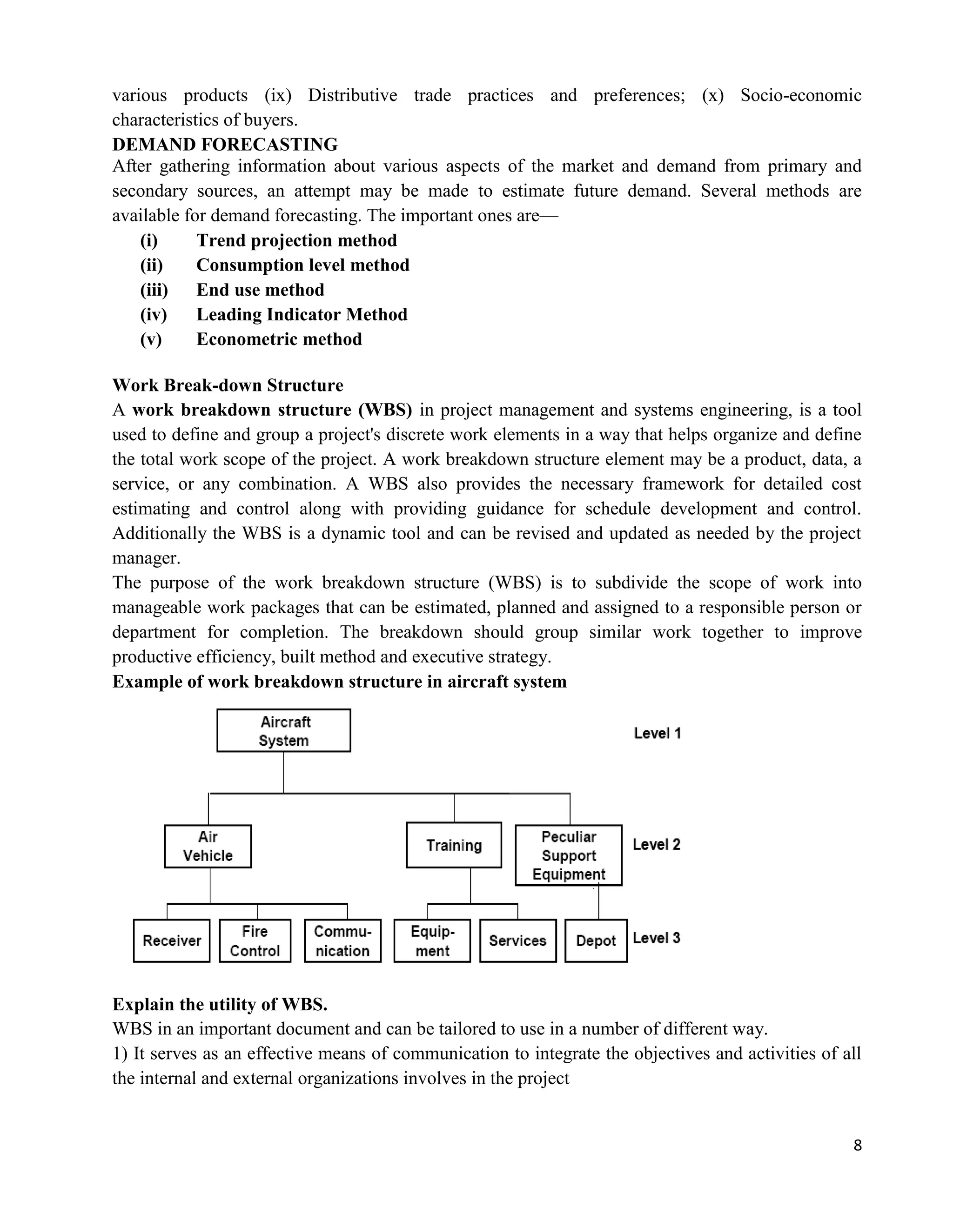
Work Break-down Structure
A work breakdown structure (WBS) in project management and systems engineering, is a tool
used to define and group a project's discrete work elements in a way that helps organize and define
the total work scope of the project. A work breakdown structure element may be a product, data, a
service, or any combination. A WBS also provides the necessary framework for detailed cost
estimating and control along with providing guidance for schedule development and control.
Additionally the WBS is a dynamic tool and can be revised and updated as needed by the project
manager.
The purpose of the work breakdown structure (WBS) is to subdivide the scope of work into
manageable work packages that can be estimated, planned and assigned to a responsible person or
department for completion. The breakdown should group similar work together to improve
productive efficiency, built method and executive strategy.
Example of work breakdown structure in aircraft system
Explain the utility of WBS.
WBS in an important document and can be tailored to use in a number of different way.
1) It serves as an effective means of communication to integrate the objectives and activities of all
the internal and external organizations involves in the project
9
2) It represent separate sequential and parallel activities assigned to different groups who will
schedule, measure and control their own performance
3) It reflects the procurement strategy during the various stages of the project life cycle.
4) It may illustrate how each piece of the project contributes to the whole in terms of performance.
Notes:
 Explain the market analysis in project management.
Ans. Market and demand analysis is an integrated approach to generate market power by critical analysis
of the market logistically. Although the terms "marketing" and "marketing analysis" can both be described
as games of information, they are not to be confused. Marketing encompasses all of the activities that go
into promoting a product or service. A marketing analysis is the actual assessment of the target population,
competition and needs for marketing that product or service. The marketing analysis process can be broken
down into six steps:
1. Defining the problem
2. Analysis of the situation
3. Obtaining data that is specific to the problem
4. Analysis and interpreting the data
5. Fostering ideas and problem solving
6. Designing a plan
 Explain briefly the whole process of market analysis.
Ans.
1) .Defining The Problem defining the problem is crucial to conducting a successful marketing analysis. This
may require a great deal of time but it is well worth the time and energy expended. Defining the objectives
is tantamount to a successful marketing campaign. Many individuals waste valuable time performing good
research on the wrong problem.
2) Analysis Of The Situation An analysis of the situation is an informal survey of what information is
available in the problem area. The analysis will help define the problem and ascertain the need for
additional information. This process entails informal talks with informed people. Informed individuals can
be others in the company or outsiders with knowledge about the industry or product. In some instances,
customers are contacted to provide information.
3) Obtaining Data Specific To The Problem The next step requires gathering primary research and
performing a formal research project. Many approaches can be used to collect primary data. The purpose is
for the research to identify what customers think about some topic or behavior patterns. Research can be
done in person or through a survey. Questioning can be qualitative or quantitative. Another research
option is to use observation of customers and their purchases or utilization of a product or service.
4) Data Analysis and Interpretation Data analysis and interpretation is critical in analyzing the market.
What does this information mean? Can one use the data in a constructive way to define the problem and
then establish a plan? In quantitative research, this step most often involves statistics. In the marketplace
one can find many statistical packages (computer-based) to analyze the data.
5) Fostering Ideas and Problem Solving In this step, the research results are used to make marketing
decisions. The findings should be applied in marketing planning. If the research doesn't provide the
information necessary to make these decisions, the company, whether small or large, has wasted its time,
money and manpower on unnecessary data. The final step must be anticipated throughout the entire
process
6) Marketing Plan This six-step process of market analysis is critical in designing a marketing plan that is
tailored to your specific product or service. The process can be extremely helpful in disclosing a significant
but previously unrecognized problem. By finding and focusing on the real problem, the researcher and
business owner can move quickly to a useful solution. A marketing plan shows the specifics of how you will
10
market or attempt to sell your product or service. To reiterate the purpose of this discussion, the marketing
plan is to provide you with guidance in analyzing your market.
 What are the different methods to collect market information?
Ans. There are two methods to collect market information
1) Primary sources
2) Secondary sources
1) Primary sources: primary data is the data which is collected by the researcher directly from his own
observations and experiences. For example, if the researcher conducts a survey for the collected of data
then it is known as primary data Sources are:
questionnaire
interview
2) Secondary sources: There are various sources of secondary data like research papers, periodicals,
encyclopedias, published researches, database companies etc. The four major sources of secondary data
collection include International Data source, which provides data related to economics and politics.
 Explain the different methods of Demand Forecasting.
Ans. Demand forecasting is the activity of estimating the quantity of a product or service that consumers
will purchase. Demand forecasting involves techniques including both informal methods, such as educated
guesses, and quantitative methods, such as the use of historical sales data or current data from test
markets
Methods that rely on qualitative assessment
Forecasting demand based on expert opinion. Some of the types in this method are,
Unaided judgment
Delphi Technique
Game theory
Judgmental bootstrapping
Simulated interaction
Intentions and expectations surveys
Methods that rely on quantitative data Project Management
Discrete Event Simulation
Extrapolation
Quantitative analogies
Rule-based forecasting
Segmentation
 Explain Delphi Technique in Demand Forecasting.
Ans. The Delphi method is a structured communication technique, originally developed as a systematic,
interactive forecasting method which relies on a panel of experts. In the standard version, the experts
answer questionnaires in two or more rounds. After each round, a facilitator provides an anonymous
summary of the experts’ forecasts from the previous round as well as the reasons they provided for their
judgments. Thus, experts are encouraged to revise their earlier answers in light of the replies of other
members of their panel. It is believed that during this process the range of the answers will decrease and
the group will converge towards the "correct" answer. Finally, the process is stopped after a pre-defined
stop criterion (e.g. number of rounds, achievement of consensus, and stability of results) and the mean or
median scores of the final rounds determine the results
WORK SCHEDULE
11
An employee's work schedule includes the days and times that he or she is expected to be working.
In most cases, this will be a set number of days and hours.
 The “9-5” Work Schedule: The "9-5" schedule is the most common work schedule,
requiring employees to work Monday through Friday, from 9 a.m. to 5 p.m. However, many
jobs differ slightly in their schedules. For example, some ―9-5‖ jobs are Wednesday through
Sunday, rather than Monday through Friday. Others require employees work from 8 a.m. to 6
p.m. or some other slightly different set of hours.
The variations in a work schedule are the result of the type of job and company. A restaurant
hostess might have to work from 4 pm to midnight, for example, or a security guard might have to
work overnight.
 Shift Work Schedule: Shift work schedules happen when a company divides the day into
shifts and assigns employees to work set periods of time. Sometimes these shifts vary day to
day or week to week (these are known as rotating schedules), while other times an employee
is hired to work a specific shift (these are known as fixed schedules).
There are also modified shift schedules, in which companies do not run 24/7, but instead open early
and close late. Employees take shifts throughout the day to cover these hours. For example,
someone might have a shift from 7 a.m. to 4 p.m., while another person might have a shift from 1
p.m. to 10 p.m.
Shift work is particularly common in medicine, where many doctors and nurses work on a rotating
shift schedule. Other careers that typically have shift schedules are law enforcement, security, the
military, transportation, and retail, among others. Shift schedules might involve alternating day and
night shifts, working four days of shifts and then having three days off, working four twelve-hour
shifts a week, or some other combination of shifts.
 Flexible Work Schedule: Other work schedules are flexible. Flexible schedules allow
employees to vary their arrival and departure, and sometimes even choose the days that they
work. For example, a company might allow employees to come in any time they want, as
long as they complete 8 hours of work every day.
Other companies have slightly stricter, but still flexible, schedules. For example, an organization
might let employees arrive any time between 9 a.m. and 11 a.m., and leave any time between 5 p.m.
and 7 p.m. They might also be allowed to take a day off during the workweek, as long as they come
in on a weekend day.
 Part-Time and Full-Time Schedules: A standard definition of a full-time employee is
someone who works a 40-hour week, but there is no official, legal guideline. Similarly, there
is no legal guideline for the number of hours worked by part-time employees in a week – it's
simply defined as someone who works fewer hours per week than a full-time employee at the
same company.
A common difference between full- and part-time employees is schedule: full-time employees often
have a set schedule, which does not vary from week-to-week. Often, they do not have to clock in or
clock out. While this can also be the case for part-time employees, a part-time employee‘s schedule
often varies greatly based on seasonality, the business of the company, and other factors.
12
Another common difference is that full-time employees are more likely to receive benefits such as
health insurance, paid vacation time, and sick time. These are often not given to part-time
employees.
PROJECT APPRAISAL
Project appraisal management is an essential stage of any project, regardless of its nature, type and
size. This stage represents the first point of the pre-planning or initiation phase. Without having
appraised a project, it is financial and technically unreasonable to proceed with further planning and
development. No matter whether you are going to purchase a new car, constructing a building,
improving a business process, updating a network system, conducting a marketing campaign,
building a garage, or any other initiative, you should make a preliminary assessment and appraisal
of your undertaking in order to be sure that that you will do a required and necessary change to your
environment.
Project appraisal means the assessment of a project. Project appraisal is made for both
proposed and executed projects. In case of former project appraisal is called ex-ante analysis and in
case of letter ‗post-ante analysis‘.
Project appraisal is a cost and benefits analysis of different aspects of proposed project with an
objective to adjudge its viability. A project involves employment of scarce resources. An
entrepreneur needs to appraise various alternative projects before allocating the scarce resources for
the best project. Thus project appraisal helps select the best project among available alternative
projects. For appraising projects its economic, financial, technical market, managerial and social
aspects are analyzed. Financial institutions carry out project appraisal to assess its creditworthiness
before extending finance to a project.
Method of Project Appraisal
Appraisal of a proposed project includes the following analysis:
1 Economic analysis
2 Financial analysis
3 Market analysis
4 Technical analysis
5 Managerial competence
6 Ecological analysis
Economic Analysis :
Under economic analysis the aspects highlighted include
Requirements for raw material
Level of capacity utilization
Anticipated sales
Anticipated expenses
Proposed profits
Estimated demand
13
It is said that a business should have always a volume of profit clearly in view which will govern
other economic variable like sales, purchase, expenses and alike.
Financial Analysis
Finance is one of the most important prerequisites to establish an enterprise. It is finance only that
facilitates an entrepreneur to bring together the labour, machines and raw materials to combine
them to produce goods. In order to adjudge the financial viability of the project, the following
aspects need to be carefully analyzed :
Cost of capital
Means of finance
Estimates of sales and production
Cost of production
Working capital requirement and its financing
Estimates of working results
Break-even point
Projected cash flow
Projected balance sheet.
The activity level of an enterprise expressed as capacity utilization needs to be well spelled out.
However the enterprise sometimes fails to achieve the targeted level of capacity due to various
business vicissitudes like unforeseen shortage of raw material, unexpected disruption in power
supply, instability to penetrate the market mechanism etc.
The primary objective of any project is to earn reasonable returns for the investment made.
The project manager must examine the financial feasibility of projects when selecting a project for
implementation. In this process, the project manager first estimates the total cost of the project and
then identifies various means for financing the project. Share capital, term loans, debenture capital,
deferred credit are some of the means for financing a project. Then the project manager identifies
the working capital needs of the project and the means for financing the needs. Steps in financial
analysis
1) To identify project cost
2) Identify means of project financing i.e. a) share capital b) term loan c) debenture capital etc,
3) Working capital requirement and financing.
Market Analysis
Before the production actually starts, the entrepreneur needs to anticipate the possible market for
the product. He has to anticipate who will be the possible customer for his product and where his
product will be sold. This is because production has no value for the producer unless it is sold. In
fact, the potential of the market constitutes the determinant of possible reward from entrepreneurial
career. Thus knowing the anticipated market for the product to be produced become an important
element in business plan. The commonly used methods to estimate the demand for a product are as
follows. :
1 Opinion polling method
14
In this method, the opinion of the ultimate users. This may be attempted with the help of either a
complete survey of all customers or by selecting a few consuming units out of the relevant
population.
2. Life Cycle Segmentation Analysis
It is well established that like a man, every product has its own life span. In practice, a product sells
slowly in the beginning. Barked by sales promotion strategies over period its sales pick up. In the
due course of time the peak sale is reached. After that point the sales begins to decline. After
sometime, the product loses its demand and dies. This is natural death of a product. Thus, every
product passes through its life cycle. The product life cycle has been divided into the following five
stages: Introduction, Growth, Maturity, Saturation and Decline.
The sales of the product varies from stage to stage as shown in figure No. 1.4
Time Period
Fig. 1.4 Product Life Cycle
Considering the above five stages of a product life cycle, the sale at different stages can be
anticipated.
Technical Analysis
Technical analysis implies the adequacy of the proposed plant and equipment to prescribed norms.
It should be ensured whether the required know how is available with the entrepreneur. The
following inputs concerned in the project should also be taken into consideration.
�Availability of Land and site
�Availability of Water, Power, transport, communication facilities.
�Availability of servicing facilities like machine shop, electric repair shop etc.
�Coping with anti pollution law
�Availability of work force
�Availability of required raw material as per quantity and quality.
Technical analysis of a project idea includes designing the various processes, installing equipment,
specifying material and prototype testing. The project manager has to be careful in finalizing the
technical aspects of the project as the decision is irreversible and the investments involved may be
high. The project manager has to select the technology required in consultation with technical
experts and consultants.
A project is considered to be technically feasible, if it is found to be ‗sound‘ from technical and
engineering point can be met which location would be most suitable and what the size of plant and
machinery should be.
Objectives of technological appraisal
15
The fundamental objective of appraising a project from the technology point of view is to justify the
present choice and provide an insight into future technological developments. Other objectives are:
 To justify the goal compatibility of a project with the preferred technology;
 To seek a better available alternative technology which is both cost effective and efficiently
manageable;
 To seek such a technology that can go with existing skill levels of team members or requires
little orientation and training programmers;
 To seek a better technology that is not detrimental to the overall environment.
 The technology that is used in projects can be classifies on the basis of:
 Purpose for which it is applied;
 Level at which it is used;
 Nature of skills applied while using the technology.
 On the basis of purpose, the technology can be:
 Manufacturing technology which is generally used in manufacturing industries like textiles
industries like textile industries, steel industries, etc.,
 Extraction technology which is used in extraction of basic raw materials such as oils,
petroleum products, coal and pig iron, etc.,
 Conversion technology which is used in process industries like cement sugar, etc.
 Pre-fabricated technology which is used in construction industries like roads, bridges, and
buildings, sheds etc
Essentials of technological appraisal
While performing a technological appraisal some of the vital ingredients that need attention are:
· The state of existing the available technology
· Training needs of personnel for the present technology and for the new technology
· Availability of technical know-how;
· Input base for the technology or its compatibility with the input substitutes;
· Future progressive integration of the technology for modifications or refinements;
· Wider product-mix and its by-products;
· Minimization of waste, loss or scrap in the process or its development;
· Factor intensity
· Stability to changes and its relative obsolescence rate;
· Other techno-economic considerations (side effects of technology transfers on the labour lay-off
etc.)
· Generally, while appraising technical feasibility of any project, the following points are carefully
considered
1. Availability of critical inputs
The critical inputs mean all the basic location and operational requirements which make the project
viable. These include:
 Raw materials. For instance, sugar factories are situated near sugarcane producing areas.
 Availability of land.
16
 Nearness to market for finished product. The units producing heavy bulk finished goods are
always situated near the regional market.
 Availability of essential utilities like water, power and fuel.
 Availability of skilled/unskilled labour in the proximity.
 Facility for disposal of effluents
 Availability of suitable technical and administrative personnel.
 Adequacy of arrangements for pollution control and for environment protection.
2. The capacity of the plant and manufacturing process and suitability of the technology employed
These call for careful consideration regarding choosing right size of the plant, proper layout and
correct technical design. The capacity of the plant should be neither too low rendering it
uneconomic nor too high to keep it idle. This has assumed tremendous importance especially in
view of the fact that Indian industry has a tendency to have cost and high capital output ratio.
3. Plant the Machinery
In this regard careful consideration should be given to the following aspects. Suitability of plant and
machinery for the manufacturing process to be adopted: Name and reputation of the supplier of
plant and machinery: Their availability in time so as to avoid any time and cost overrun:
Reasonableness of their cost:
Provision for performance guarantee the after sale service y the suppliers.
4. Project planning and scheduling
Planning should be pragmatic and proper so that the construction and gestation period are estimated
properly and there are not time and cost over-run. Of late, many f the projects have failed because
of faulty planning at the initial stage and subsequent delay in sanction/release of more funds by
banks/financial institutions.
Generally, the CPM techniques are used for net-work scheduling.
Management Competence
Management ability or competence plays an important role in making an enterprise a success. In the
absence of Managerial Competence the project which are otherwise feasible may fail. On the
contrary, even a poor project may become a successful one with good managerial ability. Hence,
while doing project appraisal, the managerial competence or talent of the promoter should be taken
into consideration.
Ecological Analysis
In recent years, environmental concerns have assumed great deal of significance. Ecological
analysis should also be done particularly for major projects which have significant implication like
power plant and irrigation schemes, and environmental pollution industries like bulk-drugs,
chemical and leather processing. The key factors considered for ecological analysis are :
�Environmental damage
�Restoration measure
SOCIAL COST BENEFIT ANALYSIS (SCBA)
It is a methodology for evaluating investment projects from social point of view. SCBA seeks to
assess the utility of a project to society as a whole. It attempts to separate all the expected changes
17
viz. economic, social and environmental likely to arise as a result of implementing the project.
These can be represented as inputs and outputs of a project and a price can be put to each of these
input and output. Since both inputs and outputs are spread over a number of years, it is necessary to
combine the costs and benefits stream that arise over the economic life of the project.
ORIGIN: Methodological guidelines of SCBA have been developed by international agencies like
OECD and UNIDO, Planning commission issued in 1975 guidelines for the preparation of
feasibility reports for industrial reports.
In case of public projects like irrigation projects, power projects, transport projects or other
infrastructural projects or social overhead projects, national profitability (i.e. the net socio economic
benefits) considerations are as important as, and sometimes more important than commercial
profitability consideration. Even in respect of projects sponsored by private entrepreneurs, national
profitability analysis is important, particularly in developing countries, because of the need to
optimize the utilization of scarce resource from the societal point of view.
The national profitability of a project is measured by assessing the extent to which it makes a net
contribution to meeting the socioeconomic objectives of development.
National profitability analysis essentially involves a socio economic cost-benefit analysis.
Every project entails some cost to the nation and produces certain benefits. There are both direct
and indirect costs and benefits, although the distinction between ‗direct‘ and ‗indirect‘ is not
sometimes clear out.
Calculation of national profitability of a project is based on its net contribution to the socio-
economic objectives of the development policy of the nation. Therefore, in the Indian context, the
social and economic viability of a project will be judged on the basis of its net contribution to:
· Aggregate consumption and economic growth
· Generation of employment
· Income distribution
· Foreign exchange earnings/savings
· Self-reliance
· Development of backward regions
· Development of small-scale and ancillary industries
· Backward and forward linkages and development of other industries/sectors
· Developments of infrastructure
· Development/Improvement and transfer to technology
· Improvement of quality and productivity
· Improvement in the quality of life and national well-being.
Opportunity cost
In the social cost-benefit analysis the relevant cost is the opportunity cost. The opportunity cost is
the (i.e. the benefit) of the cost alternative foregone due to a particular course of action.
It is implied from the above definition of opportunity cost that there is no opportunity cost when
there is no alternative. For example, the opportunity cost of self-employment is the salary for the
best job he could have obtained. But if he does not have any job opportunity other than the self-
employment, there is no opportunity cost for the self-employment.
18
Resources have opportunity costs when they have alternative uses. When there scarcity of
resources, decisions about resources allocation should be base on a careful assessment of the
opportunity costs of the alternatives.
Shadow prices
In the social cost benefit analysis or in the national profitability analysis, the prices of inputs and
outputs of the project should be suitability corrected to reflect the real cost if the market prices are
characterized by distortions of any type. Shadow price, also known as accounting price, refers to
such adjusted price of the input/output so as to reflect its real cost of value.
The accounting price of an input, such as capital, labour or foreign exchange represents its
opportunity cost or the loss to the economy that would result from a reduction in its supply by one
unit. A factor that is expected to be in short supply should have an accounting price higher than its
market price, while one that is surplus should have a valuation that is lower than its market price.
Socio-Economic Appraisal
Social cost benefit analysis (SCBA) is a perfect necropsy where the identification and
determination of the best among project alternatives is made with reference to a country‘s economic
and social prerogatives. It is a systematic procedure for comprehensive review of all the costs,
benefits, and effects of a project. Such appraisal is preformed for development and infrastructure
projects usually by emphasizing the economic, technical, operational, institutional, and financial
factors to ensure that the selected project meets all necessary requirements and is implementable.
SCBA focuses on the following objectives:
· To contribute effectively to GDP of an economy;
· To aid in economic development;
· To justify the utilization of economy‘s scare of growth;
· To maintain and protect environment from pollution;
· To educate new lines of functioning that is simple and cost effective;
· To benefit the rural poor and reduce regional imbalances;
· To justify the risks undertaken to implement and the sacrifices made in the process.
What is Sensitivity analysis?
Ans. Sensitivity analysis (SA) is the study of how the variation (uncertainty) in the output of a
mathematical model can be apportioned, qualitatively or quantitatively, to different sources of
variation in the input of the model.. Put another way, it is a technique for systematically changing
parameters in a model to determine the effects of such changes. In more general terms uncertainty
and sensitivity analysis investigate the robustness of a study when the study includes some form of
mathematical modeling. Sensitivity analysis can be useful to computer modelers for a range of
purposes, including: support decision making or the development of recommendations for decision
makers (e.g. testing the robustness of a result); enhancing communication from modelers to
decision makers (e.g. by making recommendations more credible, understandable, compelling or
persuasive); increased understanding or quantification of the system (e.g. understanding
relationships between input and output variables); and Model development (e.g. searching for
errors in the model).
19
Explain the procedure in sensitivity analysis.
Ans.
1) Selling and listing of key variable: list all the basic underlying variable which has an impact on
project’s profitability.
2) Estimating the range of variation: estimate the range of variation and the most likely values of
each of the basic underlying variable and predict the most likely level of profit
3) Studying the effect of variation on NPV
4) Drawing Conclusion
Where Sensitivity analysis can be used?
Ans. Sensitivity analysis can be used
 To simplify models
 To investigate the robustness of the model predictions
 To play what-if analysis exploring the impact of varying input assumptions and scenarios
 As an element of quality assurance (unexpected factors sensitivities may be associated to
coding errors or misspecifications).
 It provides as well information on:
Factors that mostly contribute to the output variability
The region in the space of input factors for which the model output is either maximum or
minimum or within pre-defined bounds
What is simulation Analysis ?
Ans. In simulation analysis, we create a mathematical model or a system or process, usually on a
computer, and we explore the behavior of the model by running a simulation. A simulation consists of
many -- often thousands of -- trials. Each trial is an experiment where we supply numerical values for
input variables, evaluate the model to compute numerical values for outcomes of interest, and collect
these values for later analysis.
APPLICATION OF PROJECT MANAGEMENT SOFTWARE
Project management software is software used for project planning, scheduling, resource allocation
and change management. It allows project managers (PMs), stakeholders and users to control costs
and manage budgeting, quality management and documentation and also may be used as an
administration system. Project management software is also used for collaboration and
communication between project stakeholders.
Although project management software is used is a variety of ways, its main purpose is to facilitate
the planning and tracking of project components, stakeholders and resources.
Project management software caters to the following primary functions:
 Project planning: To define a project schedule, a project manager (PM) may use the
software to map project tasks and visually describe task interactions.
 Task management: Allows for the creation and assignment of tasks, deadlines and status
reports.
 Document sharing and collaboration: Productivity is increased via a central document
repository accessed by project stakeholders.
20
 Calendar and contact sharing: Project timelines include scheduled meetings, activity dates
and contacts that should automatically update across all PM and stakeholder calendars.
 Bug and error management: Project management software facilitates bug and error
reporting, viewing, notifying and updating for stakeholders.
 Time tracking: Software must have the ability to track time for all tasks maintain records
for third-party consultants
 Benefits of Project Management Software
 Help with planning
 Assist with scheduling
 Be used to assign resources
 Be used to manage risk and other issues
 Help to control change
 Act as a collaboration tool to make communication between project team members and
stakeholders easier and clearer
 Provide a way to determine dependent events in the project and how the dependencies
interact
 Predict what would happen if things change
 Examples of Project Management Software
1. Wrike
Award-winning online project management software built for speed and efficiency to help
distributed and co-located teams. The platform enables multifunctional groups to collaborate and get
things done effectively from a single location and allows users to schedule, prioritize, discuss, and
keep track of both work and progress in real time. Its user-friendly navigation lets teams do all their
work with just one hub with access to data and information stored in an online database.
2. Zoho Projects.
A popular project management system that assists in making business projects more productive and
finishing them in time. It is loaded with functions to improve team collaboration, making project
monitoring easy and enhancing productivity and output. The software features milestones, tasks, and
task lists to plan your work in advance, and divides large and complex projects into manageable
units, scheduling recurring tasks, dependencies, and subtasks according to set deadlines.
3. Clarizen
4. Asana
5. Trello
6. Tiemchart
 Types of Project Management Software
Generally, project management software falls into four categories, regardless of the capabilities
included. The categories are based on how the software is deployed and used by the project team.
 Desktop
21
With a desktop system, the software is installed on each user's desktop or laptop. This software has
the most responsive and graphic interface.
 Client Server
For a client server set up, the software is installed on a company's server and allows multiple users
to be logged into the application at once. This software type allows for centralized data storage to
make collaboration easier.
 Web-based
A web-based system uses software that is accessed through the internet, allowing access from any
computer and any location. The software is updated and maintained by the provider, which is often
less expensive the outright purchasing software. Web-based software allows easier collaboration
and central data storage.
 Integrated
Integrated project management software combines project management functions with other aspects
of a company's business, such as invoicing. Integrated software applications are either installed on
the company's server or are accessed through the internet.

Advanced project management mod 3

  • 1.
    1 Unit III: Planningand Budgeting - The Planning Process – Project identification, Project formulation and preparation : Market and demand estimation technical factors- Material inputs, technology, production, plant capacity, location and site, civil works, charts, layouts, work schedule– Role of Multidisciplinary teams. Project appraisal: Technical ,Economic, Financial, Legal and Social appraisal of the Industrial Projects, Problems arising due to rate of discount, wage–rate, exchange rates, treatment of taxes, social cost-benefits, treatment of risk and uncertainty, sensitivity analysis - Project Budgeting Methods - Cost Estimating and Improvement – Budget uncertainty and risk management - Application of Project Management software PROJECT PLANNING Project planning is important for business decisions. Project Planning is foreseeing with blue print towards some predicted goals or ends. Project plan is a skeleton which consists of bundle of activities with its future prospects; it is a guided activity. It is a plan for which resources are allocated and efforts are being made to commence the project with great amount of preplanning, project is a way of defining what we are hoping to do about certain issue. The project alone is not responsible for what happens during the course of a planning. Project is a final form of written documents that guides us as to what steps need to be taken next. Project planning is part of project management, which relates to the use of schedules such as Gantt charts to plan and subsequently report progress within the project environment. Initially, the project scope is defined and the appropriate methods for completing the project are determined. Following this step, the durations for the various tasks necessary to complete the work are listed and grouped into a work breakdown structure. The logical dependencies between tasks are defined using an activity network diagram that enables identification of the critical path. Float or slack time in the schedule can be calculated using project management software. Then the necessary resources can be estimated and costs for each activity can be allocated to each resource, giving the total project cost. At this stage, the project plan may be optimized to achieve the appropriate balance between resource usage and project duration to comply with the project objectives. Once established and agreed, the plan becomes what is known as the baseline. Progress will be measured against the baseline throughout the life of the project. Analyzing progress compared to the baseline is known as earned value management.  NATURE OF PROJECT PLANNING One cannot conceive a project in a linear manner. It involves few activities, resources, constrains and interrelationships which can be visualized easily by the human mind and planned informally. However, when a project crosses a certain threshold level of size and complexities, informal planning has to be substituted by formal planning. Besides that it is an open system oriented planned change attempt which has certain parameters and dimension. So that, the need for formal planning is indeed much greater for project work than for normal operations. The pre-defined and outlined in detail plan of action helps than managers to perform their task more effectively and efficiently. There are always competing demands on the resources available in a region or a country because of the limited availability and ever expanding human needs. Planning for the optimum utilization of
  • 2.
    2 available resources becomesa pre-requisite for rapid economic development of a country or a region. Project planning makes a possible to list out the priorities and promising projects with a view to exercising national choice among various alternatives available. It is a tool by which a planner can identify a good project and to make sound investment decisions.  NEED FOR PROJECT PLANNING One of the objectives of project planning is to completely define all work requested so that it will be readily identifiable to each project participant. Besides that there are four basic reasons for project planning.  To eliminate or reduce uncertainty.  To improve efficiency of the operation.  To obtain a better understanding of the objectives.  To provide a basis for monitoring and controlling work.  FUNCTIONS OF PROJECT PLANNING The following functions are to be performed carefully in the Project Planning process. · It should provide a basis for organizing the work on the project and allocating responsibilities to individuals. · It is a means of communication and co-ordination between all those involved in the project. · It induces the people to look ahead. · It instills a sense of urgency and time consciousness · It establishes the basis for monitoring and control. In planning a project, the project manner must structure the work into small elements that are: Manageable, independent, Integratable and also measurable in terms of progress. Project planning must be systematic and flexible enough to handle unique activities, disciplined through reviews and control and capable of accepting multifunctional inputs. PLANNING PROCESS Managing the Planning Process Mainly includes 1. Project identification 2. Project formulation 3. Project preparation 1. What, for how much, and by when? Define the project objectives, project scope, and system requirements. These specify the project deliverables, end-items, and other sought results, as well as the time, cost, and performance targets. The scope and requirements include criteria the customer will use to determine the acceptability of deliverables or end-items at project completion. 2. How? Define the specific work activities, tasks, or jobs to be done to achieve the objectives and requirements. The activities must include everything necessary to create and deliver the promised
  • 3.
    3 end-item or deliverables,including activities for planning, control, and administration of the project. 3. Who? Create the project organization that will perform and manage the work. This involves identifying the departments, subcontractors, and managers that will comprise the project, and specifying their responsibilities. 4. When, in what order? Prepare a schedule showing the timing of work activities, including deadlines and milestone dates. 5. How much and when? Prepare a budget and resource plan that allocates funding and other resources to support work activities as necessary according to the project schedule. 6. How well? Prepare a plan to review and control work performance after the project has begun to keep the project on track, i.e., to ensure that it conforms to schedule, budget, and user and system requirements. 7. Repeat: How Much, When, and How Well? As needed, revise and fill in aspects of the plan to reflect recent information, current project progress, and updated estimates of the time and cost to complete the project. Project Planning Structure The various activities involved in Project planning is given in the following chart as Project Planning Structure. Work Description Network And Instruction Scheduling Project Objectives Master Schedules Management Decision making Budgets Reports Time/Cost Performance THE PROJECT MASTER PLAN Planning for the project begins early in the project life cycle—even before the project is authorized. In most cases it begins with preparation of the proposal, during which a rudimentary project team is organized and major decisions about the necessary resources are made. The team prepares a project
  • 4.
    4 summary plan forinclusion in the proposal using the same will be used later to develop a more- elaborate and more-detailed master plan. The difference between the summary plan in the proposal and the project master plan is that the former is intended for the customer, the latter for the project team. The purpose of preparing the project master plan is to work out the details of the project and create a roadmap that will guide the project team throughout the execution of the project.  Contents of Master Plans Elements of a project master plan I. Scope, charter, or statement or work Overview description of the project oriented toward management, customer, and stakeholders, includes a brief description of the project, objectives, overall requirements, constraints, risks, problem areas, and solutions, master schedule showing major events and milestones. II. Management and organization section Project organization, management, and personnel requirements: A. Project management and organization: key personnel and authority relationships. B. Manpower: workforce requirements estimates—skills, expertise, and strategies for locating and recruiting qualified people. C. Training and development: executive development and personnel training necessary to support the project. III. Technical section Major project activities, timing, and cost: A. High-level user requirements and system requirements. B. Work breakdown structure: Work packages and detailed description of each, including resources, costs, schedules, and risks. The WBS is one of the key scope management tools used to subdivide the scope of into manageable work packages that can be estimated, planned, assigned and controlled C. Responsibility assignments: List of key personnel and their responsibilities for work packages and other areas of the project. D. Project schedules: Generalized project and task schedules showing major events, milestones, and points of critical action or decision. E. Budget, cost accounts, and sources of financial support: Estimates and timing of all capital and development expenses. F. Quality plan: Measures for monitoring quality and accepting results for individual work tasks, components, and end-item assemblies. G. Areas of uncertainty, and risk plan: Risk strategies, contingency and mitigation plans for areas posing greatest risk. H. Work review plan: Procedures for periodic review of work, what is to be reviewed, by whom, when, and according to what standards. I. Testing plan (may be included in work review plan): Listing of items to be tested, test procedures, timing, and persons responsible.
  • 5.
    5 J. Change controlplan: Procedures for review and handling of requests for changes or de facto changes to any aspect of the project. K. Documentation policy/plan: List of documents to be produced, format, timing, and how they will be organized and maintained. L. Procurement policy/plan: The policy, budget, schedule, plan, and controls for all goods, work, and services to be procured externally. M. Implementation plan: Procedures to guide customer conversion to or adoption of project deliverables.  Planning and decentralizing: The different way of allocating the activities of a project are important means of delineating various degrees of decentralization. These are three main ways in which project planning can be decentralized into manageable divisions viz., Project planning by subject Project Planning by type of plan and Planning in phases. Planning by subject is a simplest way of dividing the powers of planning. The planner takes decision on related operation and planning by subject. He plans, decides and directs the part of a plan. He is the sale in charge of the plan from beginning to final completion. Planning to type of plan broadly defines premises and assumptions leaving the detailing to be done by persons at the grass root level of planning. Generally such cases involve decisions which are rather routine and involve a lower degree of professional and financial risk. Planning in phases is designed to several individuals who participate at the formulation stage. The level of people involved is directly related to the phase and the degree of risk involved.  AREAS OF PROJECT PLANNING Comprehensive project planning covers the following: i. Planning the project work: The activities relating to the project must be spelt out in detail. They should be properly scheduled and sequenced. ii. Planning the manpower and organizations: The manpower required for the project must be estimated and the responsibility for carrying out the project work must be allocated. iii. Planning the money: The expenditure of money in a time-phased manner must be budgeted. iv. Planning the information system: The information required for monitoring the project must be defined.  TYPES OF PROJECT PLAN a) One shot or Single use plans and b) Standing or Standard use plans. Single use Plans: It includes programmes schedules and special ways of operating under particular circumstances. Single Plans are meant as objectives which centre on focused and desired results. It
  • 6.
    6 can also beknown as short term plans to deal with the specific problem for specific place with prescribed time limit. Standing Plans: Standing plans are those plans which include policies, standard methods and standard operation, procedures. They are designed to deal with recurring problems. It may be treated as standard document to be used in different plans to deal with a set of problems. The design procedure and steps are already described. It may require adjustments considering the unit of operation.  Different Tools of Project Planning There are various tools of project planning 1) Work break down structure 2) Work packages 3) Project scheduling 4) Responsibility matrix 5) Budgeting 6) Forecasting Market and demand Analysis The exercise of project appraisal often begins with an estimation of the size of the market. Before a detailed study of a project is undertaken, it is necessary to know, at least roughly, the size of the market because the viability of the project depends critically on whether the anticipated level of sales exceeds a certain volume. Many a project has been abandoned because preliminary appraisal revealed a market of inadequate size. Information Required For Market and Demand Analysis The principal types of information required for market and demand analysis relate to- (i)Effective demand in the past and present To gauge the effective demand in the past and present, the starting point typically is apparent consumption which is defined as- Production + Imports – exports – changes in stock level In a competitive market, effective demand and apparent consumption are equal. However, in most of the developing countries, where competitive markets do not exist for a variety of products due to exchange restrictions and controls on production and distribution, the figure of apparent consumption may have to be adjusted for market imperfections. (ii) Breakdown of demand To get a deeper insight into the nature of demand, the aggregate (total) market demand may be broken down into demand for different segments of the market. Market segments may be defined by (i) Nature of product, (ii) Consumer group, and (iii) Geographical division. (iii) Price
  • 7.
    7 Price statistics mustbe gathered along with statistics pertaining to physical quantities. It may be helpful to distinguish the following types of prices: (i) manufacturer‘s price quoted as FOB (free on board) price or CIF (cost, insurance, and freight) price, (ii) landed price for imported goods, (iii) average wholesale price, and (iv) average retail price. (iv) Methods of distribution and sales promotion The method of distribution may vary with the nature of product. Capital goods, industrial raw materials or intermediates, and consumer products tend to have differing distribution channels. Further, for a given product, distribution methods may vary. Likewise, methods used for sales promotion (advertising, discounts, gift schemes, etc.) may vary from product to product. The methods of distribution and sales promotion employed presently and their rationale must be studied carefully. Such a study may explain certain patterns of consumption and highlight the difficulties that may be encountered in marketing the proposed products. (v) Consumers Two categories of information about the consumers may be required: demographic and sociological information, and attitudinal information. Under the first category, information on the following is required: age, sex, income, avocation, residence, religion, customs, beliefs, and social background. Under the second category, information on the following is required- preferences, intentions, attitudes, habits, and responses. (vi) Governmental policy The role of government in influencing the demand and market for a product may be significant. Governmental plans, policies, legislations, and fiats which have a bearing on the market and demand of the product under examination should be studied. These are reflected in: production targets in national plans, import and export trade controls, import duties, export incentives, excise duties, sales tax, industrial licensing, preferential purchases, credit controls, financial regulations, and subsidies/penalties of various kinds. (vii) Supply and competition It is necessary to know the existing sources of supply and whether they are foreign or domestic. For domestic sources of supply information along the following lines may be gathered: location, present production capacity, planned expansion, capacity utilization level, bottlenecks in production, and cost structure. MARKET SURVEY Secondary information, though useful, often does not provide a comprehensive basis for demand and market analysis. It needs to be supplemented with primary information gathered through a market survey, specific for the project being appraised. The market survey may be a census survey or a sample survey. In a census survey the entire population is covered. The information sought in a market survey may relate to one or more of the following (i) Total demand and rate of growth of demand; (ii) Demand in different segments of the market; (iii) Income and price elasticity of demand; (iv) Motives for buying; (v) Purchasing plans and intentions; (vi) Satisfaction with existing products; (vii) Unsatisfied needs; (viii) Attitudes toward
  • 8.
    8 various products (ix)Distributive trade practices and preferences; (x) Socio-economic characteristics of buyers. DEMAND FORECASTING After gathering information about various aspects of the market and demand from primary and secondary sources, an attempt may be made to estimate future demand. Several methods are available for demand forecasting. The important ones are— (i) Trend projection method (ii) Consumption level method (iii) End use method (iv) Leading Indicator Method (v) Econometric method Work Break-down Structure A work breakdown structure (WBS) in project management and systems engineering, is a tool used to define and group a project's discrete work elements in a way that helps organize and define the total work scope of the project. A work breakdown structure element may be a product, data, a service, or any combination. A WBS also provides the necessary framework for detailed cost estimating and control along with providing guidance for schedule development and control. Additionally the WBS is a dynamic tool and can be revised and updated as needed by the project manager. The purpose of the work breakdown structure (WBS) is to subdivide the scope of work into manageable work packages that can be estimated, planned and assigned to a responsible person or department for completion. The breakdown should group similar work together to improve productive efficiency, built method and executive strategy. Example of work breakdown structure in aircraft system Explain the utility of WBS. WBS in an important document and can be tailored to use in a number of different way. 1) It serves as an effective means of communication to integrate the objectives and activities of all the internal and external organizations involves in the project
  • 9.
    9 2) It representseparate sequential and parallel activities assigned to different groups who will schedule, measure and control their own performance 3) It reflects the procurement strategy during the various stages of the project life cycle. 4) It may illustrate how each piece of the project contributes to the whole in terms of performance. Notes:  Explain the market analysis in project management. Ans. Market and demand analysis is an integrated approach to generate market power by critical analysis of the market logistically. Although the terms "marketing" and "marketing analysis" can both be described as games of information, they are not to be confused. Marketing encompasses all of the activities that go into promoting a product or service. A marketing analysis is the actual assessment of the target population, competition and needs for marketing that product or service. The marketing analysis process can be broken down into six steps: 1. Defining the problem 2. Analysis of the situation 3. Obtaining data that is specific to the problem 4. Analysis and interpreting the data 5. Fostering ideas and problem solving 6. Designing a plan  Explain briefly the whole process of market analysis. Ans. 1) .Defining The Problem defining the problem is crucial to conducting a successful marketing analysis. This may require a great deal of time but it is well worth the time and energy expended. Defining the objectives is tantamount to a successful marketing campaign. Many individuals waste valuable time performing good research on the wrong problem. 2) Analysis Of The Situation An analysis of the situation is an informal survey of what information is available in the problem area. The analysis will help define the problem and ascertain the need for additional information. This process entails informal talks with informed people. Informed individuals can be others in the company or outsiders with knowledge about the industry or product. In some instances, customers are contacted to provide information. 3) Obtaining Data Specific To The Problem The next step requires gathering primary research and performing a formal research project. Many approaches can be used to collect primary data. The purpose is for the research to identify what customers think about some topic or behavior patterns. Research can be done in person or through a survey. Questioning can be qualitative or quantitative. Another research option is to use observation of customers and their purchases or utilization of a product or service. 4) Data Analysis and Interpretation Data analysis and interpretation is critical in analyzing the market. What does this information mean? Can one use the data in a constructive way to define the problem and then establish a plan? In quantitative research, this step most often involves statistics. In the marketplace one can find many statistical packages (computer-based) to analyze the data. 5) Fostering Ideas and Problem Solving In this step, the research results are used to make marketing decisions. The findings should be applied in marketing planning. If the research doesn't provide the information necessary to make these decisions, the company, whether small or large, has wasted its time, money and manpower on unnecessary data. The final step must be anticipated throughout the entire process 6) Marketing Plan This six-step process of market analysis is critical in designing a marketing plan that is tailored to your specific product or service. The process can be extremely helpful in disclosing a significant but previously unrecognized problem. By finding and focusing on the real problem, the researcher and business owner can move quickly to a useful solution. A marketing plan shows the specifics of how you will
  • 10.
    10 market or attemptto sell your product or service. To reiterate the purpose of this discussion, the marketing plan is to provide you with guidance in analyzing your market.  What are the different methods to collect market information? Ans. There are two methods to collect market information 1) Primary sources 2) Secondary sources 1) Primary sources: primary data is the data which is collected by the researcher directly from his own observations and experiences. For example, if the researcher conducts a survey for the collected of data then it is known as primary data Sources are: questionnaire interview 2) Secondary sources: There are various sources of secondary data like research papers, periodicals, encyclopedias, published researches, database companies etc. The four major sources of secondary data collection include International Data source, which provides data related to economics and politics.  Explain the different methods of Demand Forecasting. Ans. Demand forecasting is the activity of estimating the quantity of a product or service that consumers will purchase. Demand forecasting involves techniques including both informal methods, such as educated guesses, and quantitative methods, such as the use of historical sales data or current data from test markets Methods that rely on qualitative assessment Forecasting demand based on expert opinion. Some of the types in this method are, Unaided judgment Delphi Technique Game theory Judgmental bootstrapping Simulated interaction Intentions and expectations surveys Methods that rely on quantitative data Project Management Discrete Event Simulation Extrapolation Quantitative analogies Rule-based forecasting Segmentation  Explain Delphi Technique in Demand Forecasting. Ans. The Delphi method is a structured communication technique, originally developed as a systematic, interactive forecasting method which relies on a panel of experts. In the standard version, the experts answer questionnaires in two or more rounds. After each round, a facilitator provides an anonymous summary of the experts’ forecasts from the previous round as well as the reasons they provided for their judgments. Thus, experts are encouraged to revise their earlier answers in light of the replies of other members of their panel. It is believed that during this process the range of the answers will decrease and the group will converge towards the "correct" answer. Finally, the process is stopped after a pre-defined stop criterion (e.g. number of rounds, achievement of consensus, and stability of results) and the mean or median scores of the final rounds determine the results WORK SCHEDULE
  • 11.
    11 An employee's workschedule includes the days and times that he or she is expected to be working. In most cases, this will be a set number of days and hours.  The “9-5” Work Schedule: The "9-5" schedule is the most common work schedule, requiring employees to work Monday through Friday, from 9 a.m. to 5 p.m. However, many jobs differ slightly in their schedules. For example, some ―9-5‖ jobs are Wednesday through Sunday, rather than Monday through Friday. Others require employees work from 8 a.m. to 6 p.m. or some other slightly different set of hours. The variations in a work schedule are the result of the type of job and company. A restaurant hostess might have to work from 4 pm to midnight, for example, or a security guard might have to work overnight.  Shift Work Schedule: Shift work schedules happen when a company divides the day into shifts and assigns employees to work set periods of time. Sometimes these shifts vary day to day or week to week (these are known as rotating schedules), while other times an employee is hired to work a specific shift (these are known as fixed schedules). There are also modified shift schedules, in which companies do not run 24/7, but instead open early and close late. Employees take shifts throughout the day to cover these hours. For example, someone might have a shift from 7 a.m. to 4 p.m., while another person might have a shift from 1 p.m. to 10 p.m. Shift work is particularly common in medicine, where many doctors and nurses work on a rotating shift schedule. Other careers that typically have shift schedules are law enforcement, security, the military, transportation, and retail, among others. Shift schedules might involve alternating day and night shifts, working four days of shifts and then having three days off, working four twelve-hour shifts a week, or some other combination of shifts.  Flexible Work Schedule: Other work schedules are flexible. Flexible schedules allow employees to vary their arrival and departure, and sometimes even choose the days that they work. For example, a company might allow employees to come in any time they want, as long as they complete 8 hours of work every day. Other companies have slightly stricter, but still flexible, schedules. For example, an organization might let employees arrive any time between 9 a.m. and 11 a.m., and leave any time between 5 p.m. and 7 p.m. They might also be allowed to take a day off during the workweek, as long as they come in on a weekend day.  Part-Time and Full-Time Schedules: A standard definition of a full-time employee is someone who works a 40-hour week, but there is no official, legal guideline. Similarly, there is no legal guideline for the number of hours worked by part-time employees in a week – it's simply defined as someone who works fewer hours per week than a full-time employee at the same company. A common difference between full- and part-time employees is schedule: full-time employees often have a set schedule, which does not vary from week-to-week. Often, they do not have to clock in or clock out. While this can also be the case for part-time employees, a part-time employee‘s schedule often varies greatly based on seasonality, the business of the company, and other factors.
  • 12.
    12 Another common differenceis that full-time employees are more likely to receive benefits such as health insurance, paid vacation time, and sick time. These are often not given to part-time employees. PROJECT APPRAISAL Project appraisal management is an essential stage of any project, regardless of its nature, type and size. This stage represents the first point of the pre-planning or initiation phase. Without having appraised a project, it is financial and technically unreasonable to proceed with further planning and development. No matter whether you are going to purchase a new car, constructing a building, improving a business process, updating a network system, conducting a marketing campaign, building a garage, or any other initiative, you should make a preliminary assessment and appraisal of your undertaking in order to be sure that that you will do a required and necessary change to your environment. Project appraisal means the assessment of a project. Project appraisal is made for both proposed and executed projects. In case of former project appraisal is called ex-ante analysis and in case of letter ‗post-ante analysis‘. Project appraisal is a cost and benefits analysis of different aspects of proposed project with an objective to adjudge its viability. A project involves employment of scarce resources. An entrepreneur needs to appraise various alternative projects before allocating the scarce resources for the best project. Thus project appraisal helps select the best project among available alternative projects. For appraising projects its economic, financial, technical market, managerial and social aspects are analyzed. Financial institutions carry out project appraisal to assess its creditworthiness before extending finance to a project. Method of Project Appraisal Appraisal of a proposed project includes the following analysis: 1 Economic analysis 2 Financial analysis 3 Market analysis 4 Technical analysis 5 Managerial competence 6 Ecological analysis Economic Analysis : Under economic analysis the aspects highlighted include Requirements for raw material Level of capacity utilization Anticipated sales Anticipated expenses Proposed profits Estimated demand
  • 13.
    13 It is saidthat a business should have always a volume of profit clearly in view which will govern other economic variable like sales, purchase, expenses and alike. Financial Analysis Finance is one of the most important prerequisites to establish an enterprise. It is finance only that facilitates an entrepreneur to bring together the labour, machines and raw materials to combine them to produce goods. In order to adjudge the financial viability of the project, the following aspects need to be carefully analyzed : Cost of capital Means of finance Estimates of sales and production Cost of production Working capital requirement and its financing Estimates of working results Break-even point Projected cash flow Projected balance sheet. The activity level of an enterprise expressed as capacity utilization needs to be well spelled out. However the enterprise sometimes fails to achieve the targeted level of capacity due to various business vicissitudes like unforeseen shortage of raw material, unexpected disruption in power supply, instability to penetrate the market mechanism etc. The primary objective of any project is to earn reasonable returns for the investment made. The project manager must examine the financial feasibility of projects when selecting a project for implementation. In this process, the project manager first estimates the total cost of the project and then identifies various means for financing the project. Share capital, term loans, debenture capital, deferred credit are some of the means for financing a project. Then the project manager identifies the working capital needs of the project and the means for financing the needs. Steps in financial analysis 1) To identify project cost 2) Identify means of project financing i.e. a) share capital b) term loan c) debenture capital etc, 3) Working capital requirement and financing. Market Analysis Before the production actually starts, the entrepreneur needs to anticipate the possible market for the product. He has to anticipate who will be the possible customer for his product and where his product will be sold. This is because production has no value for the producer unless it is sold. In fact, the potential of the market constitutes the determinant of possible reward from entrepreneurial career. Thus knowing the anticipated market for the product to be produced become an important element in business plan. The commonly used methods to estimate the demand for a product are as follows. : 1 Opinion polling method
  • 14.
    14 In this method,the opinion of the ultimate users. This may be attempted with the help of either a complete survey of all customers or by selecting a few consuming units out of the relevant population. 2. Life Cycle Segmentation Analysis It is well established that like a man, every product has its own life span. In practice, a product sells slowly in the beginning. Barked by sales promotion strategies over period its sales pick up. In the due course of time the peak sale is reached. After that point the sales begins to decline. After sometime, the product loses its demand and dies. This is natural death of a product. Thus, every product passes through its life cycle. The product life cycle has been divided into the following five stages: Introduction, Growth, Maturity, Saturation and Decline. The sales of the product varies from stage to stage as shown in figure No. 1.4 Time Period Fig. 1.4 Product Life Cycle Considering the above five stages of a product life cycle, the sale at different stages can be anticipated. Technical Analysis Technical analysis implies the adequacy of the proposed plant and equipment to prescribed norms. It should be ensured whether the required know how is available with the entrepreneur. The following inputs concerned in the project should also be taken into consideration. �Availability of Land and site �Availability of Water, Power, transport, communication facilities. �Availability of servicing facilities like machine shop, electric repair shop etc. �Coping with anti pollution law �Availability of work force �Availability of required raw material as per quantity and quality. Technical analysis of a project idea includes designing the various processes, installing equipment, specifying material and prototype testing. The project manager has to be careful in finalizing the technical aspects of the project as the decision is irreversible and the investments involved may be high. The project manager has to select the technology required in consultation with technical experts and consultants. A project is considered to be technically feasible, if it is found to be ‗sound‘ from technical and engineering point can be met which location would be most suitable and what the size of plant and machinery should be. Objectives of technological appraisal
  • 15.
    15 The fundamental objectiveof appraising a project from the technology point of view is to justify the present choice and provide an insight into future technological developments. Other objectives are:  To justify the goal compatibility of a project with the preferred technology;  To seek a better available alternative technology which is both cost effective and efficiently manageable;  To seek such a technology that can go with existing skill levels of team members or requires little orientation and training programmers;  To seek a better technology that is not detrimental to the overall environment.  The technology that is used in projects can be classifies on the basis of:  Purpose for which it is applied;  Level at which it is used;  Nature of skills applied while using the technology.  On the basis of purpose, the technology can be:  Manufacturing technology which is generally used in manufacturing industries like textiles industries like textile industries, steel industries, etc.,  Extraction technology which is used in extraction of basic raw materials such as oils, petroleum products, coal and pig iron, etc.,  Conversion technology which is used in process industries like cement sugar, etc.  Pre-fabricated technology which is used in construction industries like roads, bridges, and buildings, sheds etc Essentials of technological appraisal While performing a technological appraisal some of the vital ingredients that need attention are: · The state of existing the available technology · Training needs of personnel for the present technology and for the new technology · Availability of technical know-how; · Input base for the technology or its compatibility with the input substitutes; · Future progressive integration of the technology for modifications or refinements; · Wider product-mix and its by-products; · Minimization of waste, loss or scrap in the process or its development; · Factor intensity · Stability to changes and its relative obsolescence rate; · Other techno-economic considerations (side effects of technology transfers on the labour lay-off etc.) · Generally, while appraising technical feasibility of any project, the following points are carefully considered 1. Availability of critical inputs The critical inputs mean all the basic location and operational requirements which make the project viable. These include:  Raw materials. For instance, sugar factories are situated near sugarcane producing areas.  Availability of land.
  • 16.
    16  Nearness tomarket for finished product. The units producing heavy bulk finished goods are always situated near the regional market.  Availability of essential utilities like water, power and fuel.  Availability of skilled/unskilled labour in the proximity.  Facility for disposal of effluents  Availability of suitable technical and administrative personnel.  Adequacy of arrangements for pollution control and for environment protection. 2. The capacity of the plant and manufacturing process and suitability of the technology employed These call for careful consideration regarding choosing right size of the plant, proper layout and correct technical design. The capacity of the plant should be neither too low rendering it uneconomic nor too high to keep it idle. This has assumed tremendous importance especially in view of the fact that Indian industry has a tendency to have cost and high capital output ratio. 3. Plant the Machinery In this regard careful consideration should be given to the following aspects. Suitability of plant and machinery for the manufacturing process to be adopted: Name and reputation of the supplier of plant and machinery: Their availability in time so as to avoid any time and cost overrun: Reasonableness of their cost: Provision for performance guarantee the after sale service y the suppliers. 4. Project planning and scheduling Planning should be pragmatic and proper so that the construction and gestation period are estimated properly and there are not time and cost over-run. Of late, many f the projects have failed because of faulty planning at the initial stage and subsequent delay in sanction/release of more funds by banks/financial institutions. Generally, the CPM techniques are used for net-work scheduling. Management Competence Management ability or competence plays an important role in making an enterprise a success. In the absence of Managerial Competence the project which are otherwise feasible may fail. On the contrary, even a poor project may become a successful one with good managerial ability. Hence, while doing project appraisal, the managerial competence or talent of the promoter should be taken into consideration. Ecological Analysis In recent years, environmental concerns have assumed great deal of significance. Ecological analysis should also be done particularly for major projects which have significant implication like power plant and irrigation schemes, and environmental pollution industries like bulk-drugs, chemical and leather processing. The key factors considered for ecological analysis are : �Environmental damage �Restoration measure SOCIAL COST BENEFIT ANALYSIS (SCBA) It is a methodology for evaluating investment projects from social point of view. SCBA seeks to assess the utility of a project to society as a whole. It attempts to separate all the expected changes
  • 17.
    17 viz. economic, socialand environmental likely to arise as a result of implementing the project. These can be represented as inputs and outputs of a project and a price can be put to each of these input and output. Since both inputs and outputs are spread over a number of years, it is necessary to combine the costs and benefits stream that arise over the economic life of the project. ORIGIN: Methodological guidelines of SCBA have been developed by international agencies like OECD and UNIDO, Planning commission issued in 1975 guidelines for the preparation of feasibility reports for industrial reports. In case of public projects like irrigation projects, power projects, transport projects or other infrastructural projects or social overhead projects, national profitability (i.e. the net socio economic benefits) considerations are as important as, and sometimes more important than commercial profitability consideration. Even in respect of projects sponsored by private entrepreneurs, national profitability analysis is important, particularly in developing countries, because of the need to optimize the utilization of scarce resource from the societal point of view. The national profitability of a project is measured by assessing the extent to which it makes a net contribution to meeting the socioeconomic objectives of development. National profitability analysis essentially involves a socio economic cost-benefit analysis. Every project entails some cost to the nation and produces certain benefits. There are both direct and indirect costs and benefits, although the distinction between ‗direct‘ and ‗indirect‘ is not sometimes clear out. Calculation of national profitability of a project is based on its net contribution to the socio- economic objectives of the development policy of the nation. Therefore, in the Indian context, the social and economic viability of a project will be judged on the basis of its net contribution to: · Aggregate consumption and economic growth · Generation of employment · Income distribution · Foreign exchange earnings/savings · Self-reliance · Development of backward regions · Development of small-scale and ancillary industries · Backward and forward linkages and development of other industries/sectors · Developments of infrastructure · Development/Improvement and transfer to technology · Improvement of quality and productivity · Improvement in the quality of life and national well-being. Opportunity cost In the social cost-benefit analysis the relevant cost is the opportunity cost. The opportunity cost is the (i.e. the benefit) of the cost alternative foregone due to a particular course of action. It is implied from the above definition of opportunity cost that there is no opportunity cost when there is no alternative. For example, the opportunity cost of self-employment is the salary for the best job he could have obtained. But if he does not have any job opportunity other than the self- employment, there is no opportunity cost for the self-employment.
  • 18.
    18 Resources have opportunitycosts when they have alternative uses. When there scarcity of resources, decisions about resources allocation should be base on a careful assessment of the opportunity costs of the alternatives. Shadow prices In the social cost benefit analysis or in the national profitability analysis, the prices of inputs and outputs of the project should be suitability corrected to reflect the real cost if the market prices are characterized by distortions of any type. Shadow price, also known as accounting price, refers to such adjusted price of the input/output so as to reflect its real cost of value. The accounting price of an input, such as capital, labour or foreign exchange represents its opportunity cost or the loss to the economy that would result from a reduction in its supply by one unit. A factor that is expected to be in short supply should have an accounting price higher than its market price, while one that is surplus should have a valuation that is lower than its market price. Socio-Economic Appraisal Social cost benefit analysis (SCBA) is a perfect necropsy where the identification and determination of the best among project alternatives is made with reference to a country‘s economic and social prerogatives. It is a systematic procedure for comprehensive review of all the costs, benefits, and effects of a project. Such appraisal is preformed for development and infrastructure projects usually by emphasizing the economic, technical, operational, institutional, and financial factors to ensure that the selected project meets all necessary requirements and is implementable. SCBA focuses on the following objectives: · To contribute effectively to GDP of an economy; · To aid in economic development; · To justify the utilization of economy‘s scare of growth; · To maintain and protect environment from pollution; · To educate new lines of functioning that is simple and cost effective; · To benefit the rural poor and reduce regional imbalances; · To justify the risks undertaken to implement and the sacrifices made in the process. What is Sensitivity analysis? Ans. Sensitivity analysis (SA) is the study of how the variation (uncertainty) in the output of a mathematical model can be apportioned, qualitatively or quantitatively, to different sources of variation in the input of the model.. Put another way, it is a technique for systematically changing parameters in a model to determine the effects of such changes. In more general terms uncertainty and sensitivity analysis investigate the robustness of a study when the study includes some form of mathematical modeling. Sensitivity analysis can be useful to computer modelers for a range of purposes, including: support decision making or the development of recommendations for decision makers (e.g. testing the robustness of a result); enhancing communication from modelers to decision makers (e.g. by making recommendations more credible, understandable, compelling or persuasive); increased understanding or quantification of the system (e.g. understanding relationships between input and output variables); and Model development (e.g. searching for errors in the model).
  • 19.
    19 Explain the procedurein sensitivity analysis. Ans. 1) Selling and listing of key variable: list all the basic underlying variable which has an impact on project’s profitability. 2) Estimating the range of variation: estimate the range of variation and the most likely values of each of the basic underlying variable and predict the most likely level of profit 3) Studying the effect of variation on NPV 4) Drawing Conclusion Where Sensitivity analysis can be used? Ans. Sensitivity analysis can be used  To simplify models  To investigate the robustness of the model predictions  To play what-if analysis exploring the impact of varying input assumptions and scenarios  As an element of quality assurance (unexpected factors sensitivities may be associated to coding errors or misspecifications).  It provides as well information on: Factors that mostly contribute to the output variability The region in the space of input factors for which the model output is either maximum or minimum or within pre-defined bounds What is simulation Analysis ? Ans. In simulation analysis, we create a mathematical model or a system or process, usually on a computer, and we explore the behavior of the model by running a simulation. A simulation consists of many -- often thousands of -- trials. Each trial is an experiment where we supply numerical values for input variables, evaluate the model to compute numerical values for outcomes of interest, and collect these values for later analysis. APPLICATION OF PROJECT MANAGEMENT SOFTWARE Project management software is software used for project planning, scheduling, resource allocation and change management. It allows project managers (PMs), stakeholders and users to control costs and manage budgeting, quality management and documentation and also may be used as an administration system. Project management software is also used for collaboration and communication between project stakeholders. Although project management software is used is a variety of ways, its main purpose is to facilitate the planning and tracking of project components, stakeholders and resources. Project management software caters to the following primary functions:  Project planning: To define a project schedule, a project manager (PM) may use the software to map project tasks and visually describe task interactions.  Task management: Allows for the creation and assignment of tasks, deadlines and status reports.  Document sharing and collaboration: Productivity is increased via a central document repository accessed by project stakeholders.
  • 20.
    20  Calendar andcontact sharing: Project timelines include scheduled meetings, activity dates and contacts that should automatically update across all PM and stakeholder calendars.  Bug and error management: Project management software facilitates bug and error reporting, viewing, notifying and updating for stakeholders.  Time tracking: Software must have the ability to track time for all tasks maintain records for third-party consultants  Benefits of Project Management Software  Help with planning  Assist with scheduling  Be used to assign resources  Be used to manage risk and other issues  Help to control change  Act as a collaboration tool to make communication between project team members and stakeholders easier and clearer  Provide a way to determine dependent events in the project and how the dependencies interact  Predict what would happen if things change  Examples of Project Management Software 1. Wrike Award-winning online project management software built for speed and efficiency to help distributed and co-located teams. The platform enables multifunctional groups to collaborate and get things done effectively from a single location and allows users to schedule, prioritize, discuss, and keep track of both work and progress in real time. Its user-friendly navigation lets teams do all their work with just one hub with access to data and information stored in an online database. 2. Zoho Projects. A popular project management system that assists in making business projects more productive and finishing them in time. It is loaded with functions to improve team collaboration, making project monitoring easy and enhancing productivity and output. The software features milestones, tasks, and task lists to plan your work in advance, and divides large and complex projects into manageable units, scheduling recurring tasks, dependencies, and subtasks according to set deadlines. 3. Clarizen 4. Asana 5. Trello 6. Tiemchart  Types of Project Management Software Generally, project management software falls into four categories, regardless of the capabilities included. The categories are based on how the software is deployed and used by the project team.  Desktop
  • 21.
    21 With a desktopsystem, the software is installed on each user's desktop or laptop. This software has the most responsive and graphic interface.  Client Server For a client server set up, the software is installed on a company's server and allows multiple users to be logged into the application at once. This software type allows for centralized data storage to make collaboration easier.  Web-based A web-based system uses software that is accessed through the internet, allowing access from any computer and any location. The software is updated and maintained by the provider, which is often less expensive the outright purchasing software. Web-based software allows easier collaboration and central data storage.  Integrated Integrated project management software combines project management functions with other aspects of a company's business, such as invoicing. Integrated software applications are either installed on the company's server or are accessed through the internet.