8th Grade Math Curriculum Map

                                        8th Grade Math Curriculum 


                                                                      Introduction
This document contains all mandated 2010 Arizona Mathematical Standards for 8th                                      standards have been organized into
units and clusters. The units represent the major domain under which the identifi                                        represents the collection of similar
concepts within the larger domain. Within these units and clusters the np.rfnrIT                                           to represent a logical progression
of the content knowledge. It is expected that all teachers follow the                                                          the following document.

                                                                    Organiza
Approximate Time
Approximate times are based on a 60-minute instructional sessio,n for grades 6-8.
                                                                   ,).;'-,,"
                                                                                                           clusters must be taught prior to the 2013 AIMS
assessment.

Essential Questions
Essential Questions are to be posed to the students at the beginning 0                                             the cluster. They are designed to facilitate
conceptual development of the content and can be used as a tool for                                      order thinking and inquiry. The students should be
able to answer these on their own by the end of

Bi2 Ideas
Big Ideas are the essential understandings                                                These are the enduring understandings we want students to carry
with them from grade level to grade level.                                                indicative of a student mastering the Big Idea, however they are not
always synonymous. Thus, in cases that the                                             does not include all components of the Big Idea, the Big Idea (for
teacher use) has been provided in


                                                                               process. Being aware of such misconceptions allows us to plan for them during



This document has been organized o~~~nt s . d s and mathematical practices. The content standards are those that represent knowledge
specific to the mathematical standard (~,,~~~ffiains). The mathematical practices describe varieties of expertise that mathematics educators at
   levels should seek to develop in their st'fDl These practices rest on important "processes and proficiencies" with longstanding importance in
mathematics education. The content standar&r' and mathematical standards have been paired to represent possible combinations of content standards
with mathematical practices. As described in the Arizona state standards, the content standards are not intended to be taught in isolation; thus, the

8/13/2012                                                                                                        Isaac Elementary School District
8 th Grade Math Curriculum Map
pairing of these standards provides a possible context for teaching these standards. Each time, the performance objective should be taught to a deeper
level of understanding and/or should be connected to the other standards in the cluster.

Common Core/Cross Curricular
The standards in the Common Core/Cross Curricular column represent possible reading,                               language standards that can be reinforced
or taught through the mathematical content standards with which they are paired.

Priority
With input from grade level teachers, standards have been prioritized in two                                                   prioritized using a three-point
scale. Essential standards represent those that are heavily weighted on state In                                               icable in multiple contexts.
Important standards are those that are applicable in many contexts and less                             state/national exa:rns. Useful standards are those
     the least weight on state/national exams and are likely only useful in a c""Pf'iti                   is denoted in the priority column with the codes E
(essential), I (important) and U (useful). This label applies to the content "Lan"'"1                 he skill/process standards that are a priority for this
grade level are highlighted in blue and are expected to be maste~Jlat this grade level.

Key Vocabulary
The key vocabulary that should be taught for each of the pertormane~~~                                         vocabulary. These vocabulary words are coded
as tier one (1), tier two (2) or tier three (3). Tier one words are those t~:~rp    !er.V,:;oofft~:~'should       not be explicitly taught. Tier two words are
high utilitv words that can be used across content                                              l'f'~t;"nt specific words.

Resources
The two types of resources listed are the W                                             Resources. All are suggestions that teachers may use to support
instruction. They are aligned to the standards                                          resources are useful Internet links that can be used for the teacher's
edification prior to instruction or as a tool during                                    are suggested pages from the adopted texts.

Unit/Cluster Project
The Unit/Cluster Projects                                                 to support students in making connections, critical thinking, higher order
thinking, andlor spiral'                                                    from all clusters within a unit while cluster project support the standards in a
particular cluster. While                                      do a project with every unit or cluster these resources will support project-based instruction
and practice should the ."'.......,,,...,.

Assessment
The assessment section of the map                           for teachers to plan the dates that they will give a formative assessment for the cluster. It is
expected that each cluster be assessed                 ""''I1""ln formative assessment.




    3/2012                                                                      2                               Isaac Elementary School District
8th Grade Math Curriculum Map
Other
Standards may appear more than once. Each time they should be taught within the context of th~~~ter and/or revisited to a deeper level of
knowledge. Underlined segments of a standard indicate an additional piece of the standard that ~~litelY not covered in previous clusters.
[Brackets] will occasionally appear though out the document and indicate clarification of the~~)J~rd. Bracketed information is not a part of the
standard itself.


 Unit: Number Sense
 Cluster: The Real Number System

                 nate Time: 1week
   .......... v ..


                                       Essential Questions                                                Big Ideas

        •      t'hat are real numbers?                                               i1~~J;s   are classified as either rational or irrational




        •      What is a rational number and irra .                           •   Rational numbers include all integers and non-integers

                                                                                  (decimal numbers) that either repeat or terminate.



        •      How do we   {,{"'In"1'l>r                                    •   Irrational numbers can be estimated to the nearest integer or to

                                                                                  a given place value to increase accuracy of the approximation.




8113/2012                                                               3                              Isaac Elementary School District
8th Grade Math Curriculum
   Priority I         Standard                     Mathematical    Common                                       Resources
                                                     Practices    Core/Cross                         Web Resources               Core
                                                                  Curricular
            *SIC I PO I Compare and order real                                                                               MC: Lesson 2-2
            numbers including very large and
            small integers and decimals and
            fractions close to zero.


                                                                                                                                          --­

            *SICIP04 Model and solve                                                                                         MC: Lesson 1-3
            problems involving absolute value.

            8.NS.I. Know that numbers that are     8.MP.2                                           KA: Converting­
            not rational are called irrational.    8.MP.6                                           repeating-decimals-to­
            Understand informally that every       8.MP.7                                           fractions-l
            number has a decimal expansion; for
            rational numbers show that the                                                          KA: Converting­
            decimal expansion repeats                                                               repeating-decimals-to­
            eventually, and convert a decimal                                                       fractions-2
            expansion which repeats eventually
            into a rational number.                                            Scientific notation
                                                                               Square
                                                                               Square root
                                                                               Standard notation
            8.NS.2. Use rational approximations
                                                                                                 .. -~--~~~~--~~-----r-
                                                                               Decimal                  KA: Estimating Square
            of irrational numbers to compare the                               Fraction                 Roots to the
            size of irrational numbers, locate                                 Non-Perfect Square       Hundredths
            them approximately on a                                            Percent
            line diagram, and                                                  Perfect Square
            of expressions                                                     Pi
            example.                                                           Repeating Decimal
                                                                               Repetend
                                                                               Terminating Decimal
                                                                               Truncate


 Unit
 Project:




8/13/2012                                                            4                         Isaac Elementary School District
8th Grade Math Curriculum Map

 Unit: Number Sense
 Cluster: Numerical Operations

               Time: 1 week
                    Essential Questions

     •   Describe how multiplying or dividing a number by less   •

         than one affects the number?

                                                                 •       solve problems, radical, decimal, fraction, and percents .




8/13/2012                                                            5            Isaac Elementary School District
8th Grade Math Curriculum Map

  Priority                     Standard                 Mathematical    Common                                        Resources
                                                          Practices    Core/Cross                          Web Resources            Core
                                                                       Curricular
                  *S I C2PO I Solve problems with
                  factors, multiples, divisibility or
                  remainders, prime numbers and
                  composite numbers.


                *S IC2P02 Describe the effect of
                mUltiplying and dividing a rational
               number by:
              •     A number less than zero
              •     A number between zero and one
              •      One
              •      A number greater than one

               *S IC2P05 Simplify numerical
               expressions using the order of
               operations that include grouping
                         square roots, cube roots,
               absolute values and positive
               exponents.
                                                                                    expressions
                                                                                    Order of operations
                                                                                    Radican
                                                                                    Simplify
                                                                                           root
                                                                                                                                MC: Lesson 1-7

                                                                                                                                MC: Lesson 8-3


 Unit
 Project:

 Asses... rn~n,.!




8/13/2012                                                                 6                           Isaac Elementary School District
8th Grade Math Curriculum Map

 Unit: Expressions & Equations
 Cluster: Exponents and Radicals

        roximate Time: 1.5 week
                                  Essential Questions                               Big Ideas

    •     How do I evaluate an expression?                                             on substitute in values for

                                                                                            order of operations.



    •     When do we use the laws of exponents?                       of exponents are utilized to simplify

                                                                            when base numbers or variables are the



    •     What are the laws of exponents?

                                                            •   There are three laws of exponents: product property,

                                                                the quotient property and the power property.

    •     How do exponents

                                                            •   Exponents and radicals are inverse operations.




8/13/2012                                               7                 Isaac Elementary School District
8th Grade Math Curriculum
   Priority I         Standard                     Mathematical    Common                                                  Resources
                                                     Practices    Core/Cross                                    Web Resources           Core
                                                                  CurricuJar
            *S3C3P02 Evaluate an expression                                                                                           MC: Lesson 1-2
            containing variables by substituting
            rational numbers for the variables.

            8.EE.1. Know and apply the             8.MP.2                                                                             MC: Lesson 2-9
            properties of integer exponents to     8.MP.5
            generate equivalent numerical          8.MP.6
            expressions. For example, 3'x3 =3­     8.MP.7
            3=1/3 3 =1/27
                                                                               ':.;."
            8.EE.2. Use square root and cube       8.MP.2                                                                             MC: Lesson 3-1
            root symbols to represent solutions    8.MP.5
            to equations of the form x' p and x'   8.MP.6                                                                             MC: Lesson 3-2
            = p, where p is a positive rational    8.MP.7
            number. Evaluate square roots of
            small perfect squares and cube roots
            of small perfect cubes. Know that
            '>/2 is irrational.
                                                                                        Simpliest form
                                                                                        Simplified expression
                                                                                        Solution
                                                                                        Square root
                                                                                        Rational number
 Unit
 Project:




8113/2012                                                            8                                    Isaac Elementary School District
8 th Grade Math Curriculum Map

 Unit: Expression and Equations
 Cluster: Scientific Notation

               Time: 1 week
                         Essential Questions

    •   What is scientific notation used for?                                                express the value of very large or




    •   How do we use scientific notation to express equivalent   1O~~;t,       standard notation to scientific notation and

        rational numbers?




8/13/2012                                                                   9      Isaac Elementary School District
8th Grade Math Curriculum
   Priority I         Standard                       Mathematical    Common                                        Resources
                                                       Practices    Core/Cross                          Web Resources            Core
                                                                    Curricular
            8.EE.3. Use numbers expressed in         8.MP.2                                                                  Me: Lesson 2-10
            the form of a single digit times an      8.MP.5
            integer power of 10 to estimate very     8.MP.6
            large or very small quantities, and to
            express how many times as much
            one is than the other. For example,
            estimate the population ofthe
            United States as 3xIa' and the
            population olthe world as 7xJO and
            determine that the world
            populations is more than 20 times
            larger.

            8.EEA. Perform operations with           8.MP.2
            numbers expressed in scientific          8.MP.5
            notation, including problems where       8.MP.6
            both decimal and scientific notation
            are used. Use scientific notation and
            choose units of appropriate size for                                 operations
            measurements of very large or very                                   Negative Exponent
            small quantities (e.g., use                                          Positive Exponent
            millimeters per year for seafloor                                    Power of 10
            spreading). Interpret scientific                                     Scientific Notation
            notation that has been generated                                     Standard Notation

 Unit
 Project:




8/13/2012                                                              10                          Isaac Elementary School District
8th Grade Math Curriculum Map

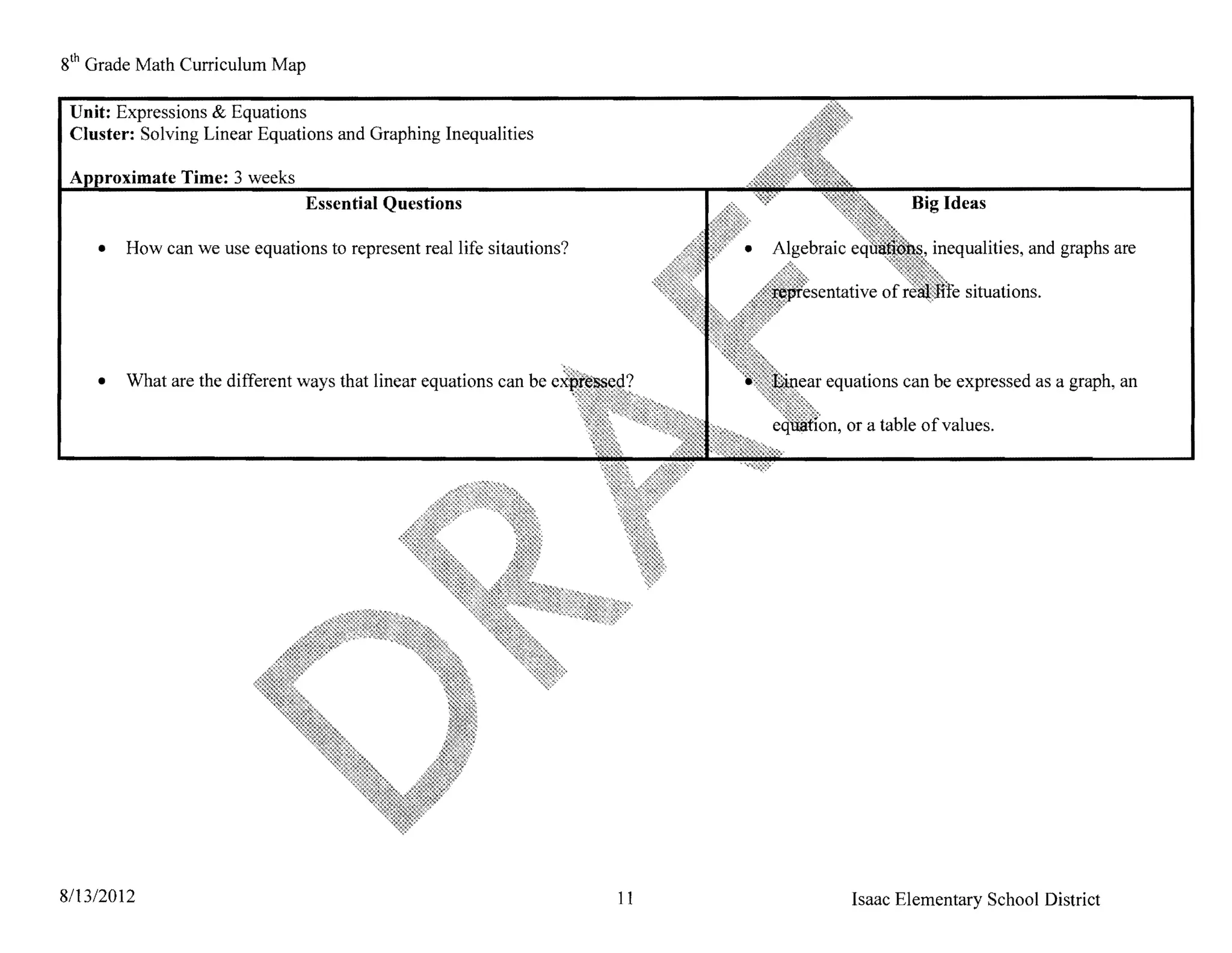
 Unit: Expressions & Equations
 Cluster: Solving Linear Equations and Graphing Inequalities

                Time: 3 weeks
                                Essential Questions                                                 Big Ideas

     • 	 How can we use equations to represent real life sitautions?                                   inequalities, and graphs are

                                                                                                           situations.



     • 	 What are the different ways that linear equations can be           .:~~);Oear   equations can be expressed as a graph, an

                                                                                           or a table of values.




8113/2012 	                                                            11                   Isaac Elementary School District
8th Grade Math Curriculum
   Priority I         Standard                     Mathematical    Common                                         Resources
                                                     Practices    Core/Cross                           Web Resources                Core
                                                                  Curricular
            *S4C4P02 Solve geometric
            problems using ratios and
            proportions.


            *S3C4P02 Solve problems
            involving simple interest rates.


            *SIC2P03 Solve problems
            involving percent increase, percent
            decrease and simple interest rates.                                                        KA: Solving Percent
                                                                                                       Problems

                                                                                                       KA: Finding Unit Price

                                                                                                       KA: Solving Percent
                                                                                                       Problems 2

                                                                                                       KA: Finding a Percent
                                                                                                       ofa Number

            8.EE.7 Solve linear equations in one                               Algebraic Expression                             MC: Lesson 1-9
            variable.                                                          Balance
                                                                               Coefficient             sides.
            a. Give examples of                                                Combine Like Terms                               MC: Lesson I-I 0
            in one variable with                                               Constant                KA: Solving two step
            infinitely many                                                    Distributive property   equations
            solutions.                                                         Equation                                         MC: Lesson 8-1:
            possibilities is                                                   Equivalent                                       Simplifying
            transforming the                                                   Inverse operations                               expressions
            simpler forms, until                                               Isolate
            equation of the form x                                             Like Terms
            a = b results (where a                                             Linear equations                                 MC: Lesson 8-2:
            different numbers).                                                Multi-Step equation                              Two Step
                                                                               Non-Linear                                       Equations
                                                                               Solution
                                                                               Term
                                                                                                                                MC: Lesson 8-4:
                                                                                                                                         with
8113/2012                                                            12                          Isaac Elementary School District
8 th Grade Math Curriculum
    Priority I 
       Standard                 Mathematical    Common                      Resources
                                                  Practices    Core/Cross        Web Resources             Core 

                                                               Curricular
            the distributive property and                                                             variables on both
            collecting like terms.                                                                    sides


            *S3C3P05 Graph an inequality on a
            number line.




 Unit
 Project:

 Asse




8113/2012                                                         13        Isaac Elementary School District
sth   Grade Math Curriculum Map

 U nit: Geometry
 Cluster: Pythagorean Theorem

                  Time: 1 week
                                  Essential Questions                                                               Big Ideas

        • 	 How do we apply the Pythagorean Theorem to calculate the distance of                                     '''''''""....... can be used to calculate 


           line segment?



                                                                                   1';'::~~J~e   Pythagorean Theorem can be used to find the

                                                                                        U'''1.'011.-",   between two points in two-dimensional

                                                                                                      and three-dimensional objects.



       • 	 How can the Pythagorean Theorem                                         • 	 The Pythagorean Theorem can be used to find the

                                                                                        missing side of a right triangle



       • 	 What is a                                                               • 	 A Pythagorean Triple is set of three positive integers

                                                                                        that satisfy the Pythagorean Theorem.




S/13/2012                                                                14 	                               Isaac Elementary School District
8 th Grade Math Curriculum
    Priority I         Standard                     Mathematica I        Common                                         Resources
                                                      Practices         Core/Cross                            Web Resources               Core
                                                                        Curricular
            8.G.6 Explain a proof of the 	         8.MP.3           6-8.WHST.2a-f                             KA: Introduction to
            Pythagorean Theorem and its 	          8.MPA            ET08-S1C2-01                              the Pythagorean
            converse. 	                            8.MP.6 
                                                   Theorem
                                                   8.MP.7 





            8.G.7 Apply the Pythagorean 
                                                                     KA: Pythagorean       MC: Lesson 3-5,
            Theorem to determine unknown 
                                                                    Theorem Example       3-6
            side lengths in right triangles in 

            real-world and mathematical 
                                                                     KA: More
            problems in two and three 
                                                                       Pythagorean Theorem
            dimensions. 
                                                            Leg                      Examples
                                                                                     Perfect Square
                                                                                     Pythagorean triples
                                                                                     Radical Sign
                                                                                     Radican
                                                                                     Right triangle
                                                                                     Square Root
                                                                                     Square root
                                                                                     Substituation
                                                                                     Three-dimension object
                                                                                     Two-dimensions
                                                                                     Converse                 KA: Midpoint          MC: Lesson 3-7
                                                                                     Coordinate plan          Formula
                                                                                     Distance
                                                                                     Midpoint
                                                                                     Origin
                                                                                     Pythagorean triples
                                                                                     Quadrants
                                                                                     Right triangle
                                                                                     SI
            *S4C3 PO I: Make and test a                                              Midpoint
                       about how to find the                                         Coordinate olane
8/13/2012                                                                   15 	                      Isaac Elementary School District
8th Grade Math Curriculum
   Priority I         Standard                   Mathematical    Common                        Resources
                                                   Practices    Core/Cross          Web Resources               Core
                                                                Curricular
            midpoint between any two points in
            the coordinate plane.

 Unit
 Project:

 Assessment:




8113/2012                                                          16        Isaac Elementary School District
8th Grade Math Curriculum Map

 Unit: Expressions and Equations
 Cluster: Graphing linear equations

               Time: 3 weeks
                                Essential Questions                                Big Ideas

     •   How do we use linear equations in real life?                                     to represent a situation and

                                                                                  h~rp~~pti     graphically, as a table




     •   What is slope?                                                    is a change in the independent variable. In

                                                                                                             ily
                                                                 math, it can be recognized as rise/run or   ax.



     •   What are the four types of                          •   We recognize the slope by examing the relationship

                                                                 between the independent and dependent variable.



                                                             •   We can use slope to make conjectures about
     •
                                                                 geometric figures as well as similarity of equations.




8113/2012                                               17                 Isaac Elementary School District
8th Grade Math Curriculum
   Priority I         Standard                       Mathematical        Common                                        Resources
                                                       Practices        Core/Cross                          Web Resources            Core
                                                                        Curricular
            8.EE.5. Graph proportional               8.MP.l         8.F.2                                   KA: Plotting Ordered
            relationships, interpreting the unit     8.MP.2         8.F.3                                   Pairs
            rate as the slope of the graph.          8.MP.3         6-8. RST,7
            Compare two different proportional       8.MPA          6- 8.WHST,2b
            relationships represented in different   8.MP.5         SC08-S5C2-01
            ways. For example. compare a             8.MP.6         SC08-S5C2-05
            distance-time graph to a distance­       8.MP.7
            time equation to determine which of      8.MP.8
            two moving objects has greater
            speed.




            8.EE.6. Use similar triangles to                                                     plane
            explain why the slope m is the same                                      Equivalence
            between any two distinct points on a                                     Orgin
            non-vertical line in the coordinate                                      Quadrant
            plane; derive the equation y mx for                                      Rate of change
            a line through the origin and the                                        Similar triangles
            equation y = mx + b for a line                                           Slope
            intercepting the vertical axis at b.                                     Slope-Intercept fonn
                                                                                     X-intercept
                                                                                     Y-intercept


 Unit
 Project:

 Assessment:




8/13/2012                                                                   18                         Isaac Elementary School District
sth   Grade Math Curriculum Map

 Unit: Functions
 Cluster: Evaluating Functions

              ate Time: 3 weeks
                                   Essential Questions                                                        Big Ideas

        • 	 What is a function? How do you       if a graph represents a function?                            4o1vu.,..ip bctwcen variables where

                                                                                                                      one Y (output). We can



                                                                                                 line test.



        •   What are the different ways to represent a function?                           function can bc represented with a table, a graph, a

                                                                                         verbal description, or an equation.




        •                                                                            •   A function can be utilized to make conjectures about

                                                                                         predicted outcomes.




Sl13/2012 	                                                                  ]9                    Isaac Elementary School District
8th Grade Math Curriculum
 Priority I            Standard                              Mathematica I        Common 
                                        Resources
                                                               Practices         Core/Cross 
                          Web Resources                 Core
                                                                                 Curricular 

            8.F.l Understand that a function is a rule       8.MP.l          SC08-SSC2-0S                             KA: Testing if a             MC: Lesson 9-2:
            that assigns to each input exactly one           8.MP.2                                                   relationship is a function I Functions
            output. The graph of a function is the set of    8.MP.6
            ordered pairs consisting of an input and the
            corresponding output (Function notation is                                                                                           MC: Lesson 9-3:
            not required in Grade 8).                                                                                                            Graphing
                                                                                                                                                 functions


             8.F.3 Interpret the equation y mx + b as        8.MP.2          8.EE.S; 8.EE.7a                                                     MC: Lesson 10­
             defining a linear function, whose graph is a    8.MP.4          6-8.WHST.1 b                             slope intercept fonn       I: Linear &
            straight line; give examples of functions        8.MP.5              8-S6C1-03                                                       Nonlinear
            that are not linear. For example. the            8.MP.6                                                                              Functions
            function A s giving the area ofa square          8.MP.7
             as a function ofits side length is not linear
             because its graph contains the points (1, J).
             (2.4) and (3.9). which are not on a straight
            line.
                                                                                                    Intprf'pnt  fonn
            8.F.2 Compare properties of two functions                                           Algebraic expression
            each represented in a different way                                                 Domain
            (algebraically, graphically, numerically                                            Function
            tables, or by verbal descriptions). For                                             Function table
            example. given a linearfimction                                                     Linear equation
            represented by a table ofvalues and a                                               Linear function
            linear function represente                                                          Non-Linear function
            expression, determine                                                               Point-Slope fonn
            the greater rate                                                                    Proportional
                                                                                                Quadratic function
                                                                                                Range
                                                                                                Rate of change
                                                                                                Slope-Intercept fonn

                                                                             8.EE.S
                                                                                                Standard ~=.~----~------
                                                                                                Function
                                                                                                                             .......
            linear relationship between two                                  8.SP2              Function table
            Determine the rate of change and                                 8.SP.3             Initial value
            value of the function from a                                     ET08-S1C2-01       Intercept
            relationship or from two (x, y) values,                          SC08-SSC2-01       Interpret
            including reading these from a table or                          SC08-S1C3-02       Linear relationship
                                                                                                Ordered
811312012                                                                           20                           Isaac Elementary School District
8th Grade Math Curriculum
 Priority I            Standard                             Mathematical        Common                       Resources
                                                              Practices        Core/Cross         Web Resources                Core
                                                                               Curricular
            and initial value of a linear function in       8.MP.8
            terms of the situation it models, and in
            terms of its graph or a table of values.

            8.F.5. Describe qualitatively the functional    8.MP.2         6-8.WHST.2a-f                                MC: Lesson 9-6:
            relationship between two quantities by          8.MPJ          ET08-S1 C2-01                                Graphing in
            analyzing a graph (e.g., where the function     8.MP.4         SC08-S5C                                     slope-intercept
            is increasing or decreasing, linear or          8.MP.5                                                      form
            nonlinear). Sketch a graph that exhibits the    8.MP.6
            qualitative features of a function that has     8.MP.7
            been described verbally.

            8.SP.3. Use the equation of a linear model      8.MP.2                                                      MC: Lesson 9-4:
            to solve problems in the context of bivariate   8.MP.4                                                      Slope
            measurement data, interpreting the slope        8.MP.5
            and intercept. For example, in a linear         8.MP.6
            model for a biology experiment, interpret a     8.MP.7                                                      MC: Extend 9-5
            slope of 1.5 cmlhr as meaning that an
            additional hour ofsunlight each day is
            associated with an additional 1.5 em in
            mature
 Unit
 Project:

 As




8/13/2012                                                                        21         Isaac Elementary School District
8th Grade Math Curriculum Map

 Unit: Expressions & Equations
 Cluster: System of Equations

     roximate Time: 2 weeks
                                Essential Questions                                Big Ideas

     •   What is a system of equations?                                                   is a collection of equations

                                                                                              variables-we use systems

                                                                 of equations to find a solution whose answer will

                                                                        each condition.



     •   What are the ways to solve systems of equations?              are three methods for solving system of

                                                                 equations: Graphing, Substitution and Elimination.




8/13/2012                                                   22             Isaac Elementary School District
8th Grade Math Curriculum
   Priority I         Standard                         Mathematical        Common                                        Resources
                                                         Practices        Core/Cross                          Web Resources             Core
                                                                          Curricular
            8.EE.8. Analyze and solve pairs of         8.MP.1         6-S.RST.?                               KA: Graphing system   Me: Lesson 9-7:
            simultaneous linear equations.             8.MP.2         ETOS-S1C2-01                            of equations word     Solving by
                                                       8.MP.3         ETOS-S1C2-02                            problems              graphing
            a. Understand that solutions to a          8.MP.4
            system of two linear equations in two      8.MP.5
            variables correspond to points of          8.MP.6
            intersection of their graphs, because      8.MP.7
            points of intersection satisfy both
                                                       8.MP.8
            equations simultaneously.

            b. Solve systems of two linear
            equations in two variables
            algebraically, and estimate solutions
            by graphing the equations. Solve
            simple cases by inspection. For
                                =
            example, 3x + 2y 5 and 3x + 2y
            =  6 have no solution because 3x +
            2y cannot simultaneously be 5 and 6.

            c. Solve real-world and                                                    Simultaneous
            mathematical problems leading to                                           Slope
            two linear equations in two                                                Slope-Intercept form
            variables. For example, given                                              Solution
            coordinates for two pairs of points,                                       Standard form
            determine whether the line through the                                     Variable
            first pair of points intersects the line
                                                                                       X-intercept
            through the second pair.
                                                                                       Y -intercept

 Unit
 Project:




8113/2012                                                                     23                         Isaac Elementary School District
8th Grade Math Curriculum Map

 Unit: Geometry
 Cluster: Surface Area & Volume

              Time: 1.5 weeks
                             Essential Questions                                                      Big Ideas

    • 	 What is volume?                                                                                    of 3 dimensional space inside

                                                                                                              x height)



    • 	 What is the difference between volume and surface area?            '~;'.;'Wl.nH'"   is labeled with units cubed and surface area




                                                                         • 	 Composite shapes can be decomposed into several

                                                                             different figures (such as circles or any polygon).




8113/2012                                                         24 	                        Isaac Elementary School District
8th Grade Math Curriculum
   Priority I         Standard                      Mathematical         Common                                          Resources
                                                      Practices         Core/Cross                            Web Resources            Core
                                                                        Curricular
            *S4C 1PO 1 Identify the attributes of
            circles: radius, diameter, chords,
            tangents, secants, inscribed angles,
            central angles, intercepted arcs,
            circumference, and area.




            *S4C4P03 Calculate the surface                                                                                         MC: Lesson 7-7,
            area and volume of rectangular                                                                                         7-8: Surface Area
            prisms, right triangular prisms and
            cylinders.



                                                                                     Radius
                                                                                     Rectangular Prism
                                                                                     Right Triangle
                                                                                     Surface Area
                                                                                     Triangular prism
                                                                                     Vertex
                                                                                     Volume
                                                                                     Area
            combining,                                                               Composite shapes
            changing                                                                 Diameter
            and solids.                                                              Pi
                                                                                     Plane figures
                                                                                     Radius
                                                                                     Solids                                                    --­

                                                                   6-8.RST.3         Base                    KA: Volume ofa        MC: Lesson 7-5:
            volumes of cones, cylinders,                           6-8. RST.7        Combine                 sphere                Volume of
            spheres and use them to solve                          ET08-S2C2-01      Cones                                         Cylinder
            world and mathematical problems.                       ET08-S1 C4-01     Edge                    KA:
                                                                                     Face                    Volume ofa cylinder
                                                                                     Height                                        MC: Lesson 7-6:
                                                                                     Pi                                            Volume of Cone
8113/2012                                                                  25                            Isaac Elementary School District
8th Grade Math Curriculum
   Priority I         Standard   Mathematical    Common                      Resources
                                   Practices    Core/Cross        Web Resources            Core
                                                Curricular
                                 8.MP.8




 Unit
 Project:




8/13/2012                                          26        Isaac Elementary School District
8 th Grade Math Curriculum Map

 Unit: Geometry
 Cluster: Congruence, Similarity and Transformations

     ~~~:-~te   Time: 2 weeks
                                Essential Questions                                           Big Ideas

     •   What is the difference between similarity and congruence?                                  the same shape and same

                                                                                                             When two figures

                                                                           have the same shape, but different dimensions, they




     •   What are the different types of geometric transformations?                   transiormations will never change a

                                                                           shape's dimensions. There are congruent

                                                                           transformations (reflection, rotations, translations)

                                                                           and similar transformations (dilations).




8/13/2012                                                             27              Isaac Elementary School District
8th Grade Math Curriculum
   Priority I         Standard                           Mathematical         Common                                             Resources
                                                           Practices         Core/Cross 
                             Web Resources              Core
                                                                             Curricular 

              8.G.2. Understand that a two­             8.MP.2          6-8.WHST.2b,f                                KA: Congruent           MC: Lesson 6-4
              dimensional figure is congruent to        8.MPA           ETOS-S6C1-03                                 Triangles 

              another if the second can be 
            8.MP.6 

              obtained from the first by a 
            8.MP.7 

              sequence of rotations, reflections, 

              and translations; given two 

              congruent figures, describe a 

              sequence that exhibits the 

              congruence between them. 




              8.G.3. Describe the effect of             8.MP.3                                                                               MC: Lesson 4-7,
              dilations, translations, rotations, and   8.MPA                                                                                4-8: Similarity
              reflections on two-dimensional            8.MP.5 

              figures using coordinates. 
              8.MP.6                                                                               MC: Lesson 6-6:
                                                        8.MP.7                                                                               Reflections


                                                                                                                                             MC: Lesson 6-7:
                                                                                                                                             Translations

              a.G.l. Verify experimentally the                                              Angle 

              properties of rotations, reflections,                                         Line segment 

              and translations:                                                             Parallel lines 

                                                                                            Quadrant
              a. Lines are taken to                                                         Reflection
              segments to line
                                                                                            Rotation
              same length.
                                                                                            Transformations
                                                                                            Translation
              b. Angles are
                                                                                            Verify
              same measure.

            c. Parallel lines are 

            lines. 

            S.GA. Understand that a two-                                S.EE.6              Coordinate plane 
       KA: Similar Triangles
            dimensional figure is similar to                            6-S.WHST.2b,f       Dilations 

            another if the second can be                                ET08-S6C1-03        Orgin 

            obtained from the first by a                                ETOS-S1C 1-01       Quadrants 

"--_ _ _ _1 sequence of!ota!iQ(1s,reflections,                                              Reflections

8113/2012                                                                        28                              Isaac Elementary School District
8th Grade Math Curriculum
   Priority I         Standard                       Mathematical    Common                      Resources
                                                       Practices    Core/Cross        Web Resources            Core
                                                                    Curricular
            translations, and dilations; given two
            similar two-dimensional figures,
            describe a sequence that exhibits the
            similarity between them.



            *S4C2P03 IdentifY lines of
            symmetry in plane figures or
            classifY types or symmetries of2
            dimensional
 Unit
 Project:

  ssessment:




8/13/2012                                                              29        Isaac Elementary School District
8th Grade Math Curriculum

 Unit: Geometry
 Cluster: Geometric arguments

     roximate Time: 1.5 weeks 

                             Essential Questions 
                                                      Big Ideas

     •   What are the types of angle relationships?                                                                          are vertical,

                                                                                                            iSWpn1-o:>"",   alternate interior,




     •   How can you use angle relationships to solve real world   IJlU"'lii.;l·J1~             have one or more pieces of information

                                                                                      about an angle relationship, you can deduce an

                                                                                      unknown angle measure.




811312012                                                                       30              Isaac Elementary School District
8th Grade Math Curriculum
   Priority I         Standard                       Mathematical        Common                      Resources
                                                       Practices        Core/Cross        Web Resources                      Core
                                                                        Curricular
            8.G.S. Use informal arguments to         8.MP.3         6-8.WHST.2b,f
            establish facts about the angle sum      8.MPA          6-8.WHST.1 b
            and exterior angle of triangles, about   8.MP.S         ET08-S6C 1-03
            the angles created when parallel         8.MP.6         ET08-S1 C1-01
            lines are cut by a transversal, and      8.MP.7         ET08-S1C3-03
            the angle-angle criterion for
            similarity of triangles. For example,
            arrange three copies ofthe same
            triangle so that the sum qfthe three
            angles appears to form a line, and
            give an argument in terms
            transversals why this is so.                                                 KA:'-'!.!.I~'--'-"'''-'-''-''''''
                                                                                         Between Transversals
                                                                                         and Parallel Lines

                                                                                         KA: Angles at the
                                                                                         Intersection of Two
                                                                                         Lines


                                                                                         a Triangle with Exterior
                                                                                         Angles

                                                                                         KA: Finding Angles in
                                                                                         a Triangle

 Unit
 Project:




8/13/2012                                                                   31       Isaac Elementary School District
8th Grade Math Curriculum Map

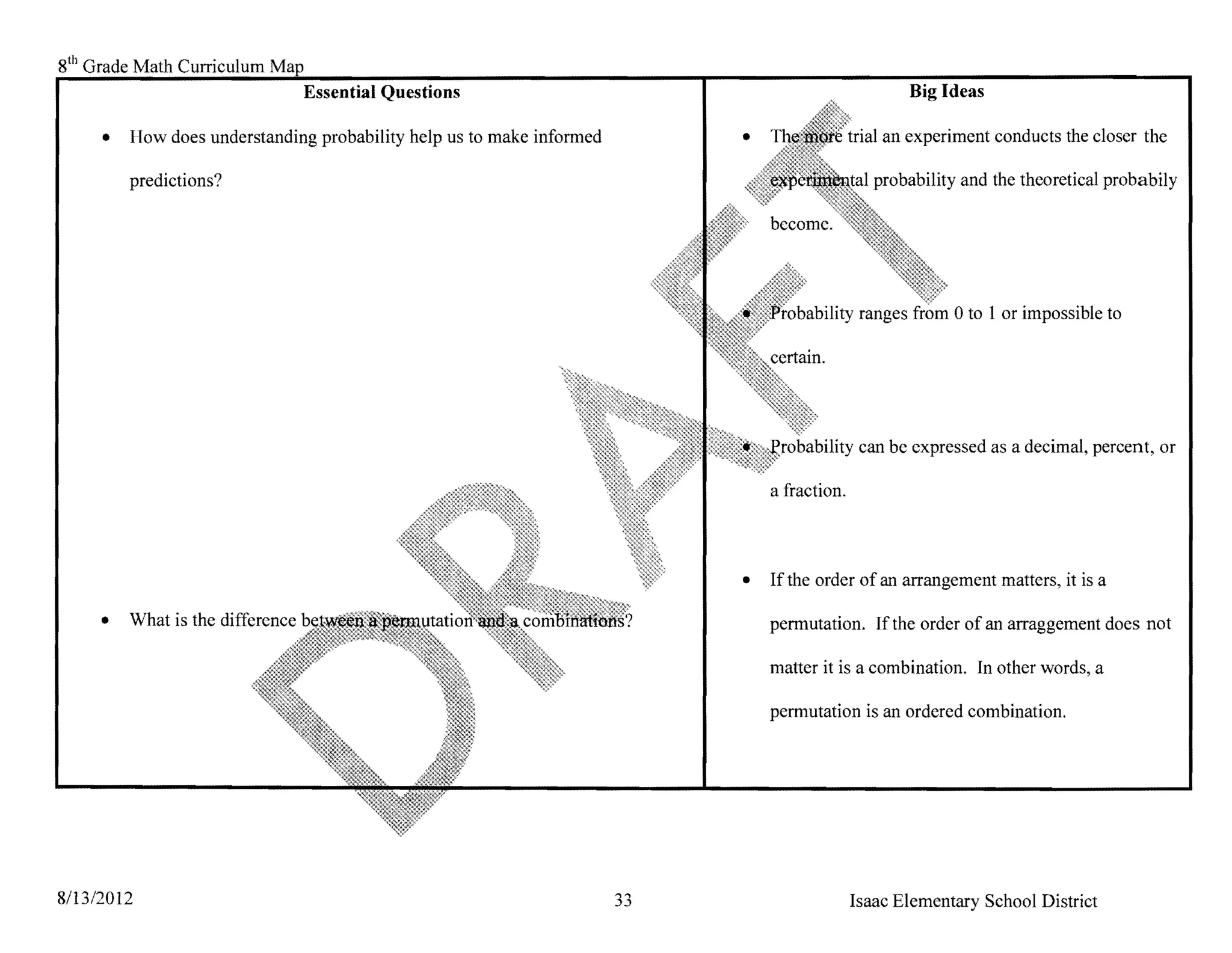
 Unit: Statistics & Probability
 Cluster: Compound Probabilities and Combinations

              Time: 2 weeks




8113/2012                                           32   Isaac Elementary School District
8 th Grade Math Curriculum
                                  Essential Questions                                                 Big Ideas

     •   How does understanding probability help us to make informed        •                 trial an experiment conducts the closer the

         predictions?                                                                            probability and the theoretical probabily




                                                                                               ranges from 0 to 1 or impossible to




                                                                                               can be expressed as a decimal, percent, or

                                                                                a fraction.




                                                                            •   If the order of an arrangement matters, it is a

     •   What is the difference                                                 permutation. If the order of an arraggement does not

                                                                                matter it is a combination. In other words, a

                                                                                permutation is an ordered combination.




8113/2012                                                              33                     Isaac Elementary School District
8 th Grade Math Curriculum
    Priority I         Standard                   Mathematical    Common                                       Resources
                                                    Practices    Core/Cross                         Web Resources            Core
                                                                 Curricular
            *S2C2PO I Determine theoretical
            and experimental conditional
            probabilities in compound
            probabilities in compound
            probability experiments.




            *S2C2P02 Interpret probabilities
            within a given context and compare
            the outcome of an experiment to the
            predictions made prior to
            performing the experiment.


            *S2C2P03 Use all possible                                         Dependent events
            outcomes (sample space) to                                        Independent events
            determine the probability of                                      Possible outcomes
            dependent and independent events.                                 Probability
                                                                              Sample Space
                                                                              Tree
                                                                              Combinations
                                                                              Factorial noation
                                                                              Fundamental
                                                                              counting principle
                                                                              Perm utati ons
            *S2C3P02 Solve                                                    Combinations
            problems and represent                                            Factorial notation
            principles algebraically                                          Permutations
            factorial notation.
 Unit
 Project:



8/1312012                                                           34                         Isaac Elementary School District
8 th Grade Math Curriculum Map




8/13/2012                        35   Isaac Elementary School District
8th Grade Math Curriculum Map

 Unit: Statistics & Probability
 Cluster: Graphical Displays of Data

      roximate Time: Two weeks
                            Essential Questions 	                                                            Big Ideas

     • 	 At what benchmarks do associations become strong and very strong                                       to show the assocations

        associations?                                                                                                  !-,'-'''''''-'lU   variable and the

     • 	 How can different data representations be used to manipulate data?



                                                                                    llJ'-'lCHH.Hli:>   can be seen in bivariate categorical data

                                                                                    displaying frequency in a two-way table.



                                                                              • 	 Directed graphs are created to represent the

                                                                                 reletionship between items.




8113/2012 	                                                             36                       Isaac Elementary School District
8th Grade Math Curriculum
   Priority I         Standard                        Mathematical        Common                                         Resources
                                                        Practices        Core/Cross                           Web Resources            Core
                                                                         Curricular
            8.SP.l. Construct and interpret           8.MP.2         6-S.WHST.2b,f                                                MC: Lesson 9-9:
            scatter plots for bivariate               8.MP.4         ETOS-S 1C3-01                                                Interpreting scatter
            measurement data to investigate           8.MP.5         ETOS-S 1C3-02                                                plots/line of fit
            patterns of association between two       8.MP.6         ETOS-S6C 1-03
            quantities. Describe patterns such as     8.MP.7         SSOS-S4C 1-01
            clustering, outliers, positive or                        SSOS-S4C2-03
            negative association, linear                             SSOS-S4C1-05
            association, and nonlinear                               SCOS-S1
            association.                                             SCOS-S1C3-03




            8.SP.2. Know that straight lines are
            widely used to model relationships
            between two quantitative variables.
            For scatter plots that suggest a linear                                   Linear relationship
            association, informally fit a straight                                    Negative association
            line, and informally assess the                                           No association
            model fit by jUdging the closeness                                        Nonlinear
            of the data points to the line.                                           relationship
                                                                                      Positive association
                                                                                      Scatter
                                                                                      Associations
                                                                                      Bivariate categorical
                                                                                      data
                                                                                      Dependent variable
                                                                                      Independent variable
                                                                                      Line of best fit
                                                                                      Linear            .
            categorical variables col                                                 Negative association
            the same subjects. Use re                                                 No association
            frequencies calculated for rows                                           Nonlinear
            columns to describe possible                                              relationship
            association between the two                                               Positive association
            variables. For example. collect data                                      Scatter plots
                  students in vour class on
8/13/2012                                                                    37                         Isaac Elementary School District
8th Grade Math Curriculum
   Priority I         Standard                       Mathematical    Common                                         Resources
                                                       Practices    Core/Cross                           Web Resources            Core
                                                                    Curricular
            whether or not they have a curfew
            on school nights and whether or not
            they have assigned chores at home.
            Is there evidence that those who
            have a curfew also tend to have
            chores?
            *S2CIPOISolve problems
            selecting, constructing, interpreting,
            and calculating with displays of
            data, including box and whicker
            plots and scatter plots.




                                                                                        extreme
            *S2C4POI Use directed graphs to                                      Directed graph
            solve problems.                                                      Eulter circuit
                                                                                 Eulter path
                                                                                 Hamilton circuit
                                                                                 Hamilton
 Unit
 Project:

 ASSAccrnA nt·




8113/2012                                                              38                           Isaac Elementary School District
8th Grade Math Curriculum Map

 Unit: Statistics & Probability
 Cluster: Evaluation of Experimental Design

              Time: 1 week
                              Essential Questions                                        Big Ideas

     • 	 How can the design of a survey be biased?                                         "f"rirrlf"nt   is important to obtain




     • 	 Why would someone want to design a biased survey?                      can be biased or unbiased based on their




                                                                    • 	 Data displays can be manipulated to avance an

                                                                       argument or a particular view point.




8113/2012                                                    39 	                Isaac Elementary School District
8th Grade Math Curriculum
   Priority I         Standard                      Mathematical    Common                      Resources
                                                      Practices    Core/Cross        Web Resources            Core
                                                                   Curricular
            *S2CIP03 Describe how summary
            statistics relate to the shape of the
            distribution.




            *S2CIP04 Determine whether
            information is represented
                      . and appropriately given a
            graph or a set of data by identifYing
            sources of bias and compare and
            contrast the effectiveness of
            different representations of data.




            *S2C I POS Evaluate the design of
            an experiment.




 Unit
 Project:




8/13/2012                                                             40        Isaac Elementary School District

8th Grade Math Curriculum Map

  • 1.
    8th Grade MathCurriculum Map 8th Grade Math Curriculum Introduction This document contains all mandated 2010 Arizona Mathematical Standards for 8th standards have been organized into units and clusters. The units represent the major domain under which the identifi represents the collection of similar concepts within the larger domain. Within these units and clusters the np.rfnrIT to represent a logical progression of the content knowledge. It is expected that all teachers follow the the following document. Organiza Approximate Time Approximate times are based on a 60-minute instructional sessio,n for grades 6-8. ,).;'-,," clusters must be taught prior to the 2013 AIMS assessment. Essential Questions Essential Questions are to be posed to the students at the beginning 0 the cluster. They are designed to facilitate conceptual development of the content and can be used as a tool for order thinking and inquiry. The students should be able to answer these on their own by the end of Bi2 Ideas Big Ideas are the essential understandings These are the enduring understandings we want students to carry with them from grade level to grade level. indicative of a student mastering the Big Idea, however they are not always synonymous. Thus, in cases that the does not include all components of the Big Idea, the Big Idea (for teacher use) has been provided in process. Being aware of such misconceptions allows us to plan for them during This document has been organized o~~~nt s . d s and mathematical practices. The content standards are those that represent knowledge specific to the mathematical standard (~,,~~~ffiains). The mathematical practices describe varieties of expertise that mathematics educators at levels should seek to develop in their st'fDl These practices rest on important "processes and proficiencies" with longstanding importance in mathematics education. The content standar&r' and mathematical standards have been paired to represent possible combinations of content standards with mathematical practices. As described in the Arizona state standards, the content standards are not intended to be taught in isolation; thus, the 8/13/2012 Isaac Elementary School District
  • 2.
    8 th GradeMath Curriculum Map pairing of these standards provides a possible context for teaching these standards. Each time, the performance objective should be taught to a deeper level of understanding and/or should be connected to the other standards in the cluster. Common Core/Cross Curricular The standards in the Common Core/Cross Curricular column represent possible reading, language standards that can be reinforced or taught through the mathematical content standards with which they are paired. Priority With input from grade level teachers, standards have been prioritized in two prioritized using a three-point scale. Essential standards represent those that are heavily weighted on state In icable in multiple contexts. Important standards are those that are applicable in many contexts and less state/national exa:rns. Useful standards are those the least weight on state/national exams and are likely only useful in a c""Pf'iti is denoted in the priority column with the codes E (essential), I (important) and U (useful). This label applies to the content "Lan"'"1 he skill/process standards that are a priority for this grade level are highlighted in blue and are expected to be maste~Jlat this grade level. Key Vocabulary The key vocabulary that should be taught for each of the pertormane~~~ vocabulary. These vocabulary words are coded as tier one (1), tier two (2) or tier three (3). Tier one words are those t~:~rp !er.V,:;oofft~:~'should not be explicitly taught. Tier two words are high utilitv words that can be used across content l'f'~t;"nt specific words. Resources The two types of resources listed are the W Resources. All are suggestions that teachers may use to support instruction. They are aligned to the standards resources are useful Internet links that can be used for the teacher's edification prior to instruction or as a tool during are suggested pages from the adopted texts. Unit/Cluster Project The Unit/Cluster Projects to support students in making connections, critical thinking, higher order thinking, andlor spiral' from all clusters within a unit while cluster project support the standards in a particular cluster. While do a project with every unit or cluster these resources will support project-based instruction and practice should the ."'.......,,,...,. Assessment The assessment section of the map for teachers to plan the dates that they will give a formative assessment for the cluster. It is expected that each cluster be assessed ""''I1""ln formative assessment. 3/2012 2 Isaac Elementary School District
  • 3.
    8th Grade MathCurriculum Map Other Standards may appear more than once. Each time they should be taught within the context of th~~~ter and/or revisited to a deeper level of knowledge. Underlined segments of a standard indicate an additional piece of the standard that ~~litelY not covered in previous clusters. [Brackets] will occasionally appear though out the document and indicate clarification of the~~)J~rd. Bracketed information is not a part of the standard itself. Unit: Number Sense Cluster: The Real Number System nate Time: 1week .......... v .. Essential Questions Big Ideas • t'hat are real numbers? i1~~J;s are classified as either rational or irrational • What is a rational number and irra . • Rational numbers include all integers and non-integers (decimal numbers) that either repeat or terminate. • How do we {,{"'In"1'l>r • Irrational numbers can be estimated to the nearest integer or to a given place value to increase accuracy of the approximation. 8113/2012 3 Isaac Elementary School District
  • 4.
    8th Grade MathCurriculum Priority I Standard Mathematical Common Resources Practices Core/Cross Web Resources Core Curricular *SIC I PO I Compare and order real MC: Lesson 2-2 numbers including very large and small integers and decimals and fractions close to zero. --­ *SICIP04 Model and solve MC: Lesson 1-3 problems involving absolute value. 8.NS.I. Know that numbers that are 8.MP.2 KA: Converting­ not rational are called irrational. 8.MP.6 repeating-decimals-to­ Understand informally that every 8.MP.7 fractions-l number has a decimal expansion; for rational numbers show that the KA: Converting­ decimal expansion repeats repeating-decimals-to­ eventually, and convert a decimal fractions-2 expansion which repeats eventually into a rational number. Scientific notation Square Square root Standard notation 8.NS.2. Use rational approximations .. -~--~~~~--~~-----r- Decimal KA: Estimating Square of irrational numbers to compare the Fraction Roots to the size of irrational numbers, locate Non-Perfect Square Hundredths them approximately on a Percent line diagram, and Perfect Square of expressions Pi example. Repeating Decimal Repetend Terminating Decimal Truncate Unit Project: 8/13/2012 4 Isaac Elementary School District
  • 5.
    8th Grade MathCurriculum Map Unit: Number Sense Cluster: Numerical Operations Time: 1 week Essential Questions • Describe how multiplying or dividing a number by less • than one affects the number? • solve problems, radical, decimal, fraction, and percents . 8/13/2012 5 Isaac Elementary School District
  • 6.
    8th Grade MathCurriculum Map Priority Standard Mathematical Common Resources Practices Core/Cross Web Resources Core Curricular *S I C2PO I Solve problems with factors, multiples, divisibility or remainders, prime numbers and composite numbers. *S IC2P02 Describe the effect of mUltiplying and dividing a rational number by: • A number less than zero • A number between zero and one • One • A number greater than one *S IC2P05 Simplify numerical expressions using the order of operations that include grouping square roots, cube roots, absolute values and positive exponents. expressions Order of operations Radican Simplify root MC: Lesson 1-7 MC: Lesson 8-3 Unit Project: Asses... rn~n,.! 8/13/2012 6 Isaac Elementary School District
  • 7.
    8th Grade MathCurriculum Map Unit: Expressions & Equations Cluster: Exponents and Radicals roximate Time: 1.5 week Essential Questions Big Ideas • How do I evaluate an expression? on substitute in values for order of operations. • When do we use the laws of exponents? of exponents are utilized to simplify when base numbers or variables are the • What are the laws of exponents? • There are three laws of exponents: product property, the quotient property and the power property. • How do exponents • Exponents and radicals are inverse operations. 8/13/2012 7 Isaac Elementary School District
  • 8.
    8th Grade MathCurriculum Priority I Standard Mathematical Common Resources Practices Core/Cross Web Resources Core CurricuJar *S3C3P02 Evaluate an expression MC: Lesson 1-2 containing variables by substituting rational numbers for the variables. 8.EE.1. Know and apply the 8.MP.2 MC: Lesson 2-9 properties of integer exponents to 8.MP.5 generate equivalent numerical 8.MP.6 expressions. For example, 3'x3 =3­ 8.MP.7 3=1/3 3 =1/27 ':.;." 8.EE.2. Use square root and cube 8.MP.2 MC: Lesson 3-1 root symbols to represent solutions 8.MP.5 to equations of the form x' p and x' 8.MP.6 MC: Lesson 3-2 = p, where p is a positive rational 8.MP.7 number. Evaluate square roots of small perfect squares and cube roots of small perfect cubes. Know that '>/2 is irrational. Simpliest form Simplified expression Solution Square root Rational number Unit Project: 8113/2012 8 Isaac Elementary School District
  • 9.
    8 th GradeMath Curriculum Map Unit: Expression and Equations Cluster: Scientific Notation Time: 1 week Essential Questions • What is scientific notation used for? express the value of very large or • How do we use scientific notation to express equivalent 1O~~;t, standard notation to scientific notation and rational numbers? 8/13/2012 9 Isaac Elementary School District
  • 10.
    8th Grade MathCurriculum Priority I Standard Mathematical Common Resources Practices Core/Cross Web Resources Core Curricular 8.EE.3. Use numbers expressed in 8.MP.2 Me: Lesson 2-10 the form of a single digit times an 8.MP.5 integer power of 10 to estimate very 8.MP.6 large or very small quantities, and to express how many times as much one is than the other. For example, estimate the population ofthe United States as 3xIa' and the population olthe world as 7xJO and determine that the world populations is more than 20 times larger. 8.EEA. Perform operations with 8.MP.2 numbers expressed in scientific 8.MP.5 notation, including problems where 8.MP.6 both decimal and scientific notation are used. Use scientific notation and choose units of appropriate size for operations measurements of very large or very Negative Exponent small quantities (e.g., use Positive Exponent millimeters per year for seafloor Power of 10 spreading). Interpret scientific Scientific Notation notation that has been generated Standard Notation Unit Project: 8/13/2012 10 Isaac Elementary School District
  • 11.
    8th Grade MathCurriculum Map Unit: Expressions & Equations Cluster: Solving Linear Equations and Graphing Inequalities Time: 3 weeks Essential Questions Big Ideas • How can we use equations to represent real life sitautions? inequalities, and graphs are situations. • What are the different ways that linear equations can be .:~~);Oear equations can be expressed as a graph, an or a table of values. 8113/2012 11 Isaac Elementary School District
  • 12.
    8th Grade MathCurriculum Priority I Standard Mathematical Common Resources Practices Core/Cross Web Resources Core Curricular *S4C4P02 Solve geometric problems using ratios and proportions. *S3C4P02 Solve problems involving simple interest rates. *SIC2P03 Solve problems involving percent increase, percent decrease and simple interest rates. KA: Solving Percent Problems KA: Finding Unit Price KA: Solving Percent Problems 2 KA: Finding a Percent ofa Number 8.EE.7 Solve linear equations in one Algebraic Expression MC: Lesson 1-9 variable. Balance Coefficient sides. a. Give examples of Combine Like Terms MC: Lesson I-I 0 in one variable with Constant KA: Solving two step infinitely many Distributive property equations solutions. Equation MC: Lesson 8-1: possibilities is Equivalent Simplifying transforming the Inverse operations expressions simpler forms, until Isolate equation of the form x Like Terms a = b results (where a Linear equations MC: Lesson 8-2: different numbers). Multi-Step equation Two Step Non-Linear Equations Solution Term MC: Lesson 8-4: with 8113/2012 12 Isaac Elementary School District
  • 13.
    8 th GradeMath Curriculum Priority I Standard Mathematical Common Resources Practices Core/Cross Web Resources Core Curricular the distributive property and variables on both collecting like terms. sides *S3C3P05 Graph an inequality on a number line. Unit Project: Asse 8113/2012 13 Isaac Elementary School District
  • 14.
    sth Grade Math Curriculum Map U nit: Geometry Cluster: Pythagorean Theorem Time: 1 week Essential Questions Big Ideas • How do we apply the Pythagorean Theorem to calculate the distance of '''''''""....... can be used to calculate line segment? 1';'::~~J~e Pythagorean Theorem can be used to find the U'''1.'011.-", between two points in two-dimensional and three-dimensional objects. • How can the Pythagorean Theorem • The Pythagorean Theorem can be used to find the missing side of a right triangle • What is a • A Pythagorean Triple is set of three positive integers that satisfy the Pythagorean Theorem. S/13/2012 14 Isaac Elementary School District
  • 15.
    8 th GradeMath Curriculum Priority I Standard Mathematica I Common Resources Practices Core/Cross Web Resources Core Curricular 8.G.6 Explain a proof of the 8.MP.3 6-8.WHST.2a-f KA: Introduction to Pythagorean Theorem and its 8.MPA ET08-S1C2-01 the Pythagorean converse. 8.MP.6 Theorem 8.MP.7 8.G.7 Apply the Pythagorean KA: Pythagorean MC: Lesson 3-5, Theorem to determine unknown Theorem Example 3-6 side lengths in right triangles in real-world and mathematical KA: More problems in two and three Pythagorean Theorem dimensions. Leg Examples Perfect Square Pythagorean triples Radical Sign Radican Right triangle Square Root Square root Substituation Three-dimension object Two-dimensions Converse KA: Midpoint MC: Lesson 3-7 Coordinate plan Formula Distance Midpoint Origin Pythagorean triples Quadrants Right triangle SI *S4C3 PO I: Make and test a Midpoint about how to find the Coordinate olane 8/13/2012 15 Isaac Elementary School District
  • 16.
    8th Grade MathCurriculum Priority I Standard Mathematical Common Resources Practices Core/Cross Web Resources Core Curricular midpoint between any two points in the coordinate plane. Unit Project: Assessment: 8113/2012 16 Isaac Elementary School District
  • 17.
    8th Grade MathCurriculum Map Unit: Expressions and Equations Cluster: Graphing linear equations Time: 3 weeks Essential Questions Big Ideas • How do we use linear equations in real life? to represent a situation and h~rp~~pti graphically, as a table • What is slope? is a change in the independent variable. In ily math, it can be recognized as rise/run or ax. • What are the four types of • We recognize the slope by examing the relationship between the independent and dependent variable. • We can use slope to make conjectures about • geometric figures as well as similarity of equations. 8113/2012 17 Isaac Elementary School District
  • 18.
    8th Grade MathCurriculum Priority I Standard Mathematical Common Resources Practices Core/Cross Web Resources Core Curricular 8.EE.5. Graph proportional 8.MP.l 8.F.2 KA: Plotting Ordered relationships, interpreting the unit 8.MP.2 8.F.3 Pairs rate as the slope of the graph. 8.MP.3 6-8. RST,7 Compare two different proportional 8.MPA 6- 8.WHST,2b relationships represented in different 8.MP.5 SC08-S5C2-01 ways. For example. compare a 8.MP.6 SC08-S5C2-05 distance-time graph to a distance­ 8.MP.7 time equation to determine which of 8.MP.8 two moving objects has greater speed. 8.EE.6. Use similar triangles to plane explain why the slope m is the same Equivalence between any two distinct points on a Orgin non-vertical line in the coordinate Quadrant plane; derive the equation y mx for Rate of change a line through the origin and the Similar triangles equation y = mx + b for a line Slope intercepting the vertical axis at b. Slope-Intercept fonn X-intercept Y-intercept Unit Project: Assessment: 8/13/2012 18 Isaac Elementary School District
  • 19.
    sth Grade Math Curriculum Map Unit: Functions Cluster: Evaluating Functions ate Time: 3 weeks Essential Questions Big Ideas • What is a function? How do you if a graph represents a function? 4o1vu.,..ip bctwcen variables where one Y (output). We can line test. • What are the different ways to represent a function? function can bc represented with a table, a graph, a verbal description, or an equation. • • A function can be utilized to make conjectures about predicted outcomes. Sl13/2012 ]9 Isaac Elementary School District
  • 20.
    8th Grade MathCurriculum Priority I Standard Mathematica I Common Resources Practices Core/Cross Web Resources Core Curricular 8.F.l Understand that a function is a rule 8.MP.l SC08-SSC2-0S KA: Testing if a MC: Lesson 9-2: that assigns to each input exactly one 8.MP.2 relationship is a function I Functions output. The graph of a function is the set of 8.MP.6 ordered pairs consisting of an input and the corresponding output (Function notation is MC: Lesson 9-3: not required in Grade 8). Graphing functions 8.F.3 Interpret the equation y mx + b as 8.MP.2 8.EE.S; 8.EE.7a MC: Lesson 10­ defining a linear function, whose graph is a 8.MP.4 6-8.WHST.1 b slope intercept fonn I: Linear & straight line; give examples of functions 8.MP.5 8-S6C1-03 Nonlinear that are not linear. For example. the 8.MP.6 Functions function A s giving the area ofa square 8.MP.7 as a function ofits side length is not linear because its graph contains the points (1, J). (2.4) and (3.9). which are not on a straight line. Intprf'pnt fonn 8.F.2 Compare properties of two functions Algebraic expression each represented in a different way Domain (algebraically, graphically, numerically Function tables, or by verbal descriptions). For Function table example. given a linearfimction Linear equation represented by a table ofvalues and a Linear function linear function represente Non-Linear function expression, determine Point-Slope fonn the greater rate Proportional Quadratic function Range Rate of change Slope-Intercept fonn 8.EE.S Standard ~=.~----~------ Function ....... linear relationship between two 8.SP2 Function table Determine the rate of change and 8.SP.3 Initial value value of the function from a ET08-S1C2-01 Intercept relationship or from two (x, y) values, SC08-SSC2-01 Interpret including reading these from a table or SC08-S1C3-02 Linear relationship Ordered 811312012 20 Isaac Elementary School District
  • 21.
    8th Grade MathCurriculum Priority I Standard Mathematical Common Resources Practices Core/Cross Web Resources Core Curricular and initial value of a linear function in 8.MP.8 terms of the situation it models, and in terms of its graph or a table of values. 8.F.5. Describe qualitatively the functional 8.MP.2 6-8.WHST.2a-f MC: Lesson 9-6: relationship between two quantities by 8.MPJ ET08-S1 C2-01 Graphing in analyzing a graph (e.g., where the function 8.MP.4 SC08-S5C slope-intercept is increasing or decreasing, linear or 8.MP.5 form nonlinear). Sketch a graph that exhibits the 8.MP.6 qualitative features of a function that has 8.MP.7 been described verbally. 8.SP.3. Use the equation of a linear model 8.MP.2 MC: Lesson 9-4: to solve problems in the context of bivariate 8.MP.4 Slope measurement data, interpreting the slope 8.MP.5 and intercept. For example, in a linear 8.MP.6 model for a biology experiment, interpret a 8.MP.7 MC: Extend 9-5 slope of 1.5 cmlhr as meaning that an additional hour ofsunlight each day is associated with an additional 1.5 em in mature Unit Project: As 8/13/2012 21 Isaac Elementary School District
  • 22.
    8th Grade MathCurriculum Map Unit: Expressions & Equations Cluster: System of Equations roximate Time: 2 weeks Essential Questions Big Ideas • What is a system of equations? is a collection of equations variables-we use systems of equations to find a solution whose answer will each condition. • What are the ways to solve systems of equations? are three methods for solving system of equations: Graphing, Substitution and Elimination. 8/13/2012 22 Isaac Elementary School District
  • 23.
    8th Grade MathCurriculum Priority I Standard Mathematical Common Resources Practices Core/Cross Web Resources Core Curricular 8.EE.8. Analyze and solve pairs of 8.MP.1 6-S.RST.? KA: Graphing system Me: Lesson 9-7: simultaneous linear equations. 8.MP.2 ETOS-S1C2-01 of equations word Solving by 8.MP.3 ETOS-S1C2-02 problems graphing a. Understand that solutions to a 8.MP.4 system of two linear equations in two 8.MP.5 variables correspond to points of 8.MP.6 intersection of their graphs, because 8.MP.7 points of intersection satisfy both 8.MP.8 equations simultaneously. b. Solve systems of two linear equations in two variables algebraically, and estimate solutions by graphing the equations. Solve simple cases by inspection. For = example, 3x + 2y 5 and 3x + 2y = 6 have no solution because 3x + 2y cannot simultaneously be 5 and 6. c. Solve real-world and Simultaneous mathematical problems leading to Slope two linear equations in two Slope-Intercept form variables. For example, given Solution coordinates for two pairs of points, Standard form determine whether the line through the Variable first pair of points intersects the line X-intercept through the second pair. Y -intercept Unit Project: 8113/2012 23 Isaac Elementary School District
  • 24.
    8th Grade MathCurriculum Map Unit: Geometry Cluster: Surface Area & Volume Time: 1.5 weeks Essential Questions Big Ideas • What is volume? of 3 dimensional space inside x height) • What is the difference between volume and surface area? '~;'.;'Wl.nH'" is labeled with units cubed and surface area • Composite shapes can be decomposed into several different figures (such as circles or any polygon). 8113/2012 24 Isaac Elementary School District
  • 25.
    8th Grade MathCurriculum Priority I Standard Mathematical Common Resources Practices Core/Cross Web Resources Core Curricular *S4C 1PO 1 Identify the attributes of circles: radius, diameter, chords, tangents, secants, inscribed angles, central angles, intercepted arcs, circumference, and area. *S4C4P03 Calculate the surface MC: Lesson 7-7, area and volume of rectangular 7-8: Surface Area prisms, right triangular prisms and cylinders. Radius Rectangular Prism Right Triangle Surface Area Triangular prism Vertex Volume Area combining, Composite shapes changing Diameter and solids. Pi Plane figures Radius Solids --­ 6-8.RST.3 Base KA: Volume ofa MC: Lesson 7-5: volumes of cones, cylinders, 6-8. RST.7 Combine sphere Volume of spheres and use them to solve ET08-S2C2-01 Cones Cylinder world and mathematical problems. ET08-S1 C4-01 Edge KA: Face Volume ofa cylinder Height MC: Lesson 7-6: Pi Volume of Cone 8113/2012 25 Isaac Elementary School District
  • 26.
    8th Grade MathCurriculum Priority I Standard Mathematical Common Resources Practices Core/Cross Web Resources Core Curricular 8.MP.8 Unit Project: 8/13/2012 26 Isaac Elementary School District
  • 27.
    8 th GradeMath Curriculum Map Unit: Geometry Cluster: Congruence, Similarity and Transformations ~~~:-~te Time: 2 weeks Essential Questions Big Ideas • What is the difference between similarity and congruence? the same shape and same When two figures have the same shape, but different dimensions, they • What are the different types of geometric transformations? transiormations will never change a shape's dimensions. There are congruent transformations (reflection, rotations, translations) and similar transformations (dilations). 8/13/2012 27 Isaac Elementary School District
  • 28.
    8th Grade MathCurriculum Priority I Standard Mathematical Common Resources Practices Core/Cross Web Resources Core Curricular 8.G.2. Understand that a two­ 8.MP.2 6-8.WHST.2b,f KA: Congruent MC: Lesson 6-4 dimensional figure is congruent to 8.MPA ETOS-S6C1-03 Triangles another if the second can be 8.MP.6 obtained from the first by a 8.MP.7 sequence of rotations, reflections, and translations; given two congruent figures, describe a sequence that exhibits the congruence between them. 8.G.3. Describe the effect of 8.MP.3 MC: Lesson 4-7, dilations, translations, rotations, and 8.MPA 4-8: Similarity reflections on two-dimensional 8.MP.5 figures using coordinates. 8.MP.6 MC: Lesson 6-6: 8.MP.7 Reflections MC: Lesson 6-7: Translations a.G.l. Verify experimentally the Angle properties of rotations, reflections, Line segment and translations: Parallel lines Quadrant a. Lines are taken to Reflection segments to line Rotation same length. Transformations Translation b. Angles are Verify same measure. c. Parallel lines are lines. S.GA. Understand that a two- S.EE.6 Coordinate plane KA: Similar Triangles dimensional figure is similar to 6-S.WHST.2b,f Dilations another if the second can be ET08-S6C1-03 Orgin obtained from the first by a ETOS-S1C 1-01 Quadrants "--_ _ _ _1 sequence of!ota!iQ(1s,reflections, Reflections 8113/2012 28 Isaac Elementary School District
  • 29.
    8th Grade MathCurriculum Priority I Standard Mathematical Common Resources Practices Core/Cross Web Resources Core Curricular translations, and dilations; given two similar two-dimensional figures, describe a sequence that exhibits the similarity between them. *S4C2P03 IdentifY lines of symmetry in plane figures or classifY types or symmetries of2 dimensional Unit Project: ssessment: 8/13/2012 29 Isaac Elementary School District
  • 30.
    8th Grade MathCurriculum Unit: Geometry Cluster: Geometric arguments roximate Time: 1.5 weeks Essential Questions Big Ideas • What are the types of angle relationships? are vertical, iSWpn1-o:>"", alternate interior, • How can you use angle relationships to solve real world IJlU"'lii.;l·J1~ have one or more pieces of information about an angle relationship, you can deduce an unknown angle measure. 811312012 30 Isaac Elementary School District
  • 31.
    8th Grade MathCurriculum Priority I Standard Mathematical Common Resources Practices Core/Cross Web Resources Core Curricular 8.G.S. Use informal arguments to 8.MP.3 6-8.WHST.2b,f establish facts about the angle sum 8.MPA 6-8.WHST.1 b and exterior angle of triangles, about 8.MP.S ET08-S6C 1-03 the angles created when parallel 8.MP.6 ET08-S1 C1-01 lines are cut by a transversal, and 8.MP.7 ET08-S1C3-03 the angle-angle criterion for similarity of triangles. For example, arrange three copies ofthe same triangle so that the sum qfthe three angles appears to form a line, and give an argument in terms transversals why this is so. KA:'-'!.!.I~'--'-"'''-'-''-'''''' Between Transversals and Parallel Lines KA: Angles at the Intersection of Two Lines a Triangle with Exterior Angles KA: Finding Angles in a Triangle Unit Project: 8/13/2012 31 Isaac Elementary School District
  • 32.
    8th Grade MathCurriculum Map Unit: Statistics & Probability Cluster: Compound Probabilities and Combinations Time: 2 weeks 8113/2012 32 Isaac Elementary School District
  • 33.
    8 th GradeMath Curriculum Essential Questions Big Ideas • How does understanding probability help us to make informed • trial an experiment conducts the closer the predictions? probability and the theoretical probabily ranges from 0 to 1 or impossible to can be expressed as a decimal, percent, or a fraction. • If the order of an arrangement matters, it is a • What is the difference permutation. If the order of an arraggement does not matter it is a combination. In other words, a permutation is an ordered combination. 8113/2012 33 Isaac Elementary School District
  • 34.
    8 th GradeMath Curriculum Priority I Standard Mathematical Common Resources Practices Core/Cross Web Resources Core Curricular *S2C2PO I Determine theoretical and experimental conditional probabilities in compound probabilities in compound probability experiments. *S2C2P02 Interpret probabilities within a given context and compare the outcome of an experiment to the predictions made prior to performing the experiment. *S2C2P03 Use all possible Dependent events outcomes (sample space) to Independent events determine the probability of Possible outcomes dependent and independent events. Probability Sample Space Tree Combinations Factorial noation Fundamental counting principle Perm utati ons *S2C3P02 Solve Combinations problems and represent Factorial notation principles algebraically Permutations factorial notation. Unit Project: 8/1312012 34 Isaac Elementary School District
  • 35.
    8 th GradeMath Curriculum Map 8/13/2012 35 Isaac Elementary School District
  • 36.
    8th Grade MathCurriculum Map Unit: Statistics & Probability Cluster: Graphical Displays of Data roximate Time: Two weeks Essential Questions Big Ideas • At what benchmarks do associations become strong and very strong to show the assocations associations? !-,'-'''''''-'lU variable and the • How can different data representations be used to manipulate data? llJ'-'lCHH.Hli:> can be seen in bivariate categorical data displaying frequency in a two-way table. • Directed graphs are created to represent the reletionship between items. 8113/2012 36 Isaac Elementary School District
  • 37.
    8th Grade MathCurriculum Priority I Standard Mathematical Common Resources Practices Core/Cross Web Resources Core Curricular 8.SP.l. Construct and interpret 8.MP.2 6-S.WHST.2b,f MC: Lesson 9-9: scatter plots for bivariate 8.MP.4 ETOS-S 1C3-01 Interpreting scatter measurement data to investigate 8.MP.5 ETOS-S 1C3-02 plots/line of fit patterns of association between two 8.MP.6 ETOS-S6C 1-03 quantities. Describe patterns such as 8.MP.7 SSOS-S4C 1-01 clustering, outliers, positive or SSOS-S4C2-03 negative association, linear SSOS-S4C1-05 association, and nonlinear SCOS-S1 association. SCOS-S1C3-03 8.SP.2. Know that straight lines are widely used to model relationships between two quantitative variables. For scatter plots that suggest a linear Linear relationship association, informally fit a straight Negative association line, and informally assess the No association model fit by jUdging the closeness Nonlinear of the data points to the line. relationship Positive association Scatter Associations Bivariate categorical data Dependent variable Independent variable Line of best fit Linear . categorical variables col Negative association the same subjects. Use re No association frequencies calculated for rows Nonlinear columns to describe possible relationship association between the two Positive association variables. For example. collect data Scatter plots students in vour class on 8/13/2012 37 Isaac Elementary School District
  • 38.
    8th Grade MathCurriculum Priority I Standard Mathematical Common Resources Practices Core/Cross Web Resources Core Curricular whether or not they have a curfew on school nights and whether or not they have assigned chores at home. Is there evidence that those who have a curfew also tend to have chores? *S2CIPOISolve problems selecting, constructing, interpreting, and calculating with displays of data, including box and whicker plots and scatter plots. extreme *S2C4POI Use directed graphs to Directed graph solve problems. Eulter circuit Eulter path Hamilton circuit Hamilton Unit Project: ASSAccrnA nt· 8113/2012 38 Isaac Elementary School District
  • 39.
    8th Grade MathCurriculum Map Unit: Statistics & Probability Cluster: Evaluation of Experimental Design Time: 1 week Essential Questions Big Ideas • How can the design of a survey be biased? "f"rirrlf"nt is important to obtain • Why would someone want to design a biased survey? can be biased or unbiased based on their • Data displays can be manipulated to avance an argument or a particular view point. 8113/2012 39 Isaac Elementary School District
  • 40.
    8th Grade MathCurriculum Priority I Standard Mathematical Common Resources Practices Core/Cross Web Resources Core Curricular *S2CIP03 Describe how summary statistics relate to the shape of the distribution. *S2CIP04 Determine whether information is represented . and appropriately given a graph or a set of data by identifYing sources of bias and compare and contrast the effectiveness of different representations of data. *S2C I POS Evaluate the design of an experiment. Unit Project: 8/13/2012 40 Isaac Elementary School District