Inequalities 1_1.notebook                                 March 13, 2013




      Chapter 5 
      Graphing Inequalities and Systems of Equations


           Today ­ 5.1

           Thursday ­ 5.2  (pi day??)

           Monday ­ 5.3

           Thursday ­ Test 




                                        Mar 12­10:33 PM

                                                                           1
Inequalities 1_1.notebook                                                        March 13, 2013




       5.1 Solving Quadratic Inequalities in One Variable




         Illustrate   ­4            ≤  x  ≤  1   on a number line


                 ­5     ­4     ­3     ­2    ­1     0      1    2     3   4   5




           Illustrate   ­3    <  x  <  4   on a number line




                 ­5     ­4     ­3     ­2    ­1     0      1    2     3   4   5




           included

           not included




                                                   Mar 12­10:56 PM

                                                                                                  2
Inequalities 1_1.notebook                                                     March 13, 2013



               Quadratic inequalities in One Variable                      
               can be written in general form 4 ways:




              What is the solution to the inequality 

              x 2  ­3x + 2 > 0


            First lets graph y = x                  2    ­3x + 2 




                                                        Mar 12­11:30 PM

                                                                                               3
Inequalities 1_1.notebook                                                            March 13, 2013


                x­intercepts of the graph of a quadratic function are called 
                critical values      of the corresponding quadratic inequality.

                 These values are used to illustrate solutions to inequalities on 
                 number lines 



                Example #1
                 Solve this inequality:     2x 2  ­ 7x > ­3
                 Represent the solution on a number line.




                                                Mar 12­11:39 PM

                                                                                                      4
Inequalities 1_1.notebook                                                        March 13, 2013


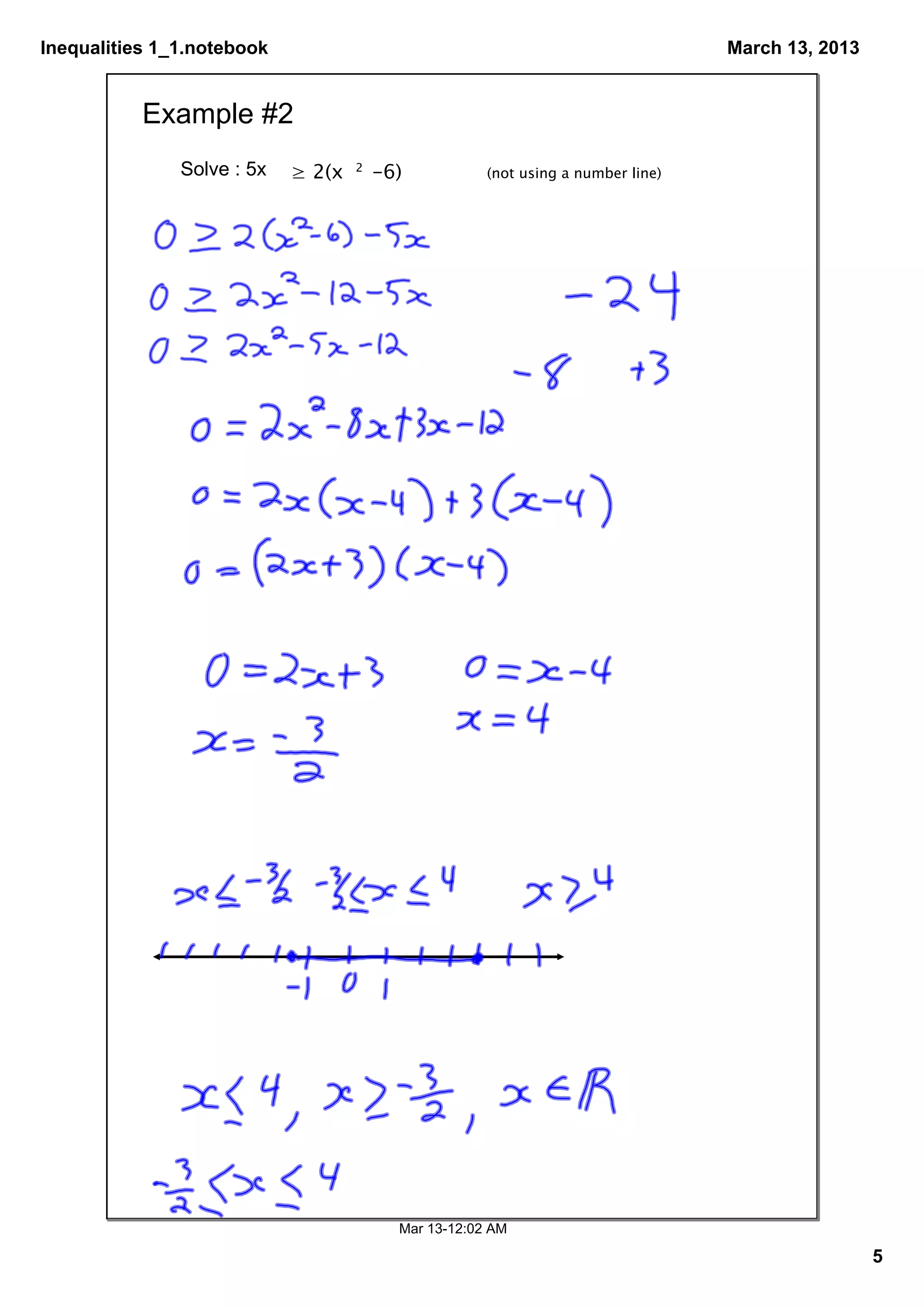
           Example #2
               Solve : 5x  ≥ 2(x   2
                                       -6)           (not using a number line)




                                         Mar 13­12:02 AM

                                                                                                  5
Inequalities 1_1.notebook                                                                    March 13, 2013




          Example #3

       The length of a rectangle is 2 cm greater than its width.  The area of the 
       rectangle is at least 8 cm      2 .  What are possible dimensions of the rectangle?




                                                  Mar 13­12:13 AM

                                                                                                              6
Inequalities 1_1.notebook                         March 13, 2013




        Homework 
        Page 345   #1­6, 8a, 10, 11, 13, 14




                                Mar 13­12:13 AM

                                                                   7

5.1 quadratic inequalities

  • 1.
    Inequalities 1_1.notebook March 13, 2013 Chapter 5  Graphing Inequalities and Systems of Equations Today ­ 5.1 Thursday ­ 5.2  (pi day??) Monday ­ 5.3 Thursday ­ Test  Mar 12­10:33 PM 1
  • 2.
    Inequalities 1_1.notebook March 13, 2013 5.1 Solving Quadratic Inequalities in One Variable Illustrate   ­4  ≤  x  ≤  1   on a number line ­5 ­4 ­3 ­2 ­1 0 1 2 3 4 5 Illustrate   ­3  <  x  <  4   on a number line ­5 ­4 ­3 ­2 ­1 0 1 2 3 4 5 included not included Mar 12­10:56 PM 2
  • 3.
    Inequalities 1_1.notebook March 13, 2013 Quadratic inequalities in One Variable   can be written in general form 4 ways: What is the solution to the inequality  x 2  ­3x + 2 > 0 First lets graph y = x 2  ­3x + 2  Mar 12­11:30 PM 3
  • 4.
    Inequalities 1_1.notebook March 13, 2013 x­intercepts of the graph of a quadratic function are called  critical values  of the corresponding quadratic inequality. These values are used to illustrate solutions to inequalities on  number lines  Example #1 Solve this inequality:  2x 2  ­ 7x > ­3 Represent the solution on a number line. Mar 12­11:39 PM 4
  • 5.
    Inequalities 1_1.notebook March 13, 2013 Example #2 Solve : 5x  ≥ 2(x 2 -6) (not using a number line) Mar 13­12:02 AM 5
  • 6.
    Inequalities 1_1.notebook March 13, 2013 Example #3 The length of a rectangle is 2 cm greater than its width.  The area of the  rectangle is at least 8 cm 2 .  What are possible dimensions of the rectangle? Mar 13­12:13 AM 6
  • 7.
    Inequalities 1_1.notebook March 13, 2013 Homework  Page 345   #1­6, 8a, 10, 11, 13, 14 Mar 13­12:13 AM 7