Lesson 5­3.notebook                                                        December 17, 2012


            Assignment:

            1­­>L5.3, pg. 298­299, #2­36 (evens) ­ Due Wednesday (12/19)
            2­­>Checkpoint 5.1 ­ 5.3 ­ Due Thursday (12/20)
            3­­>Chapter 4 Test signed for Extra Credit??




                                                                                               1
Lesson 5­3.notebook                                             December 17, 2012


             Lesson 5.3 WarmUp:
             Solve each inequality.  Then graph the solution.
             1) m ­ 4  <  3

             2) ­7  <  20  +  c

             3) ­1/2x  <  20

             4) ­33 <  3x

             5) ­10  >  x/­2




                                                                                    2
Lesson 5­3.notebook                                                                  December 17, 2012

           Lesson 5.3:
           *Solving multi­step inequalities can be done in the same way that you 
           solve multi­step equations.

                 **Simplify (distribute or combine like terms)...then undo the 
                 adding/subtracting before undoing the multiplication/division.

                      ***Don't forget­­>When you multiply/divide by a negative 
                                 number...flip the inequality!!

                         ****IF an inequality results in a "False" statement...the 
                                solution is the empty set  [    ]
                         IF an inequality results in all values working...the solution 
                         is "All real numbers"




                                                                                                         3
Lesson 5­3.notebook                 December 17, 2012

           Lesson 5.3 examples:
           Solve each inequality.
           A) 6x  ­  10  >  32




           B)    ­3x  +  7  >  43




                                                        4
Lesson 5­3.notebook                        December 17, 2012


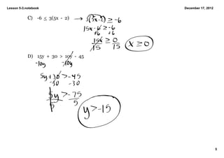
            C) ­6  <  3(5x  ­  2)




            D) 15y  +  30  >  10y  ­  45




                                                               5
Lesson 5­3.notebook                                                                    December 17, 2012


            Define a variable, write an inequality, and solve.
            E) Four times a number minus 6 is greater than eight plus two times the 
            number.




            F)   Two thirds of a number added to six is at least twenty­two.




                                                                                                           6

8th alg -l5.3--dec17

  • 1.
    Lesson 5­3.notebook December 17, 2012 Assignment: 1­­>L5.3, pg. 298­299, #2­36 (evens) ­ Due Wednesday (12/19) 2­­>Checkpoint 5.1 ­ 5.3 ­ Due Thursday (12/20) 3­­>Chapter 4 Test signed for Extra Credit?? 1
  • 2.
    Lesson 5­3.notebook December 17, 2012 Lesson 5.3 WarmUp: Solve each inequality.  Then graph the solution. 1) m ­ 4  <  3 2) ­7  <  20  +  c 3) ­1/2x  <  20 4) ­33 <  3x 5) ­10  >  x/­2 2
  • 3.
    Lesson 5­3.notebook December 17, 2012 Lesson 5.3: *Solving multi­step inequalities can be done in the same way that you  solve multi­step equations. **Simplify (distribute or combine like terms)...then undo the  adding/subtracting before undoing the multiplication/division. ***Don't forget­­>When you multiply/divide by a negative  number...flip the inequality!! ****IF an inequality results in a "False" statement...the  solution is the empty set  [    ] IF an inequality results in all values working...the solution  is "All real numbers" 3
  • 4.
    Lesson 5­3.notebook December 17, 2012 Lesson 5.3 examples: Solve each inequality. A) 6x  ­  10  >  32 B) ­3x  +  7  >  43 4
  • 5.
    Lesson 5­3.notebook December 17, 2012 C) ­6  <  3(5x  ­  2) D) 15y  +  30  >  10y  ­  45 5
  • 6.
    Lesson 5­3.notebook December 17, 2012 Define a variable, write an inequality, and solve. E) Four times a number minus 6 is greater than eight plus two times the  number. F) Two thirds of a number added to six is at least twenty­two. 6